Bidentate Substrate Binding Mode in Oxalate Decarboxylase
Abstract
1. Introduction
2. Results
2.1. 13C-ENDOR Spectra
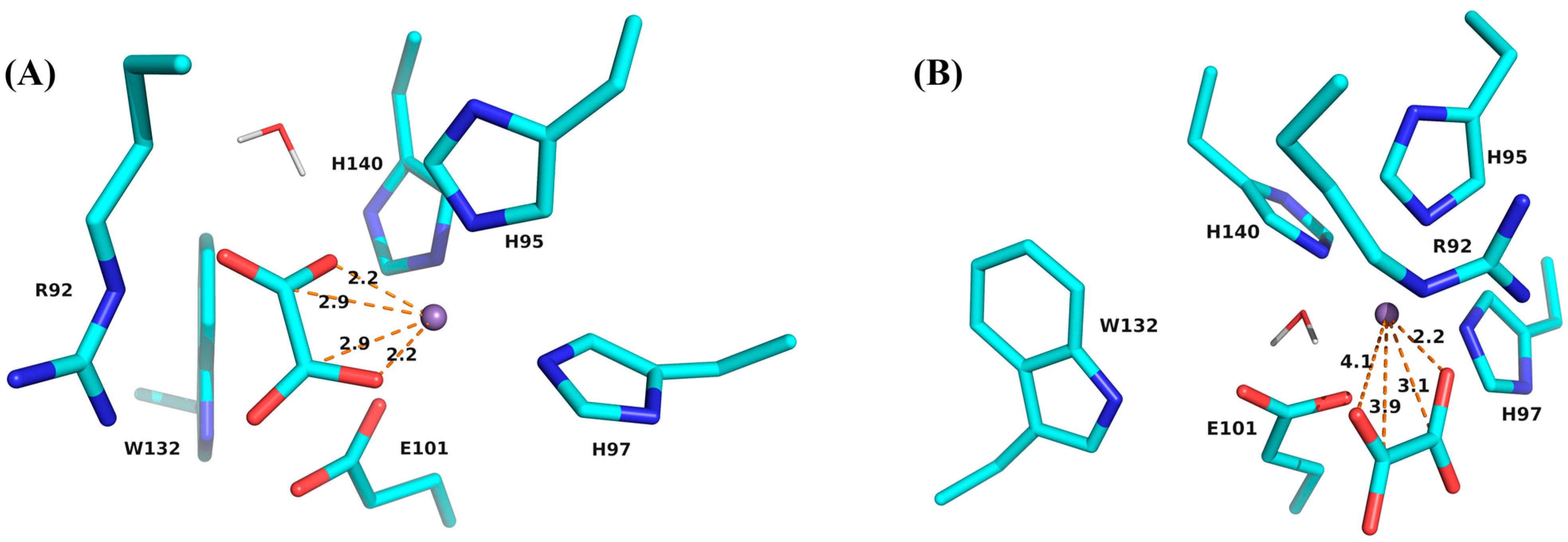
2.2. DFT Calculations
2.3. Spectral Simulations
3. Discussion
4. Materials and Methods
5. Conclusions
Supplementary Materials
Author Contributions
Funding
Institutional Review Board Statement
Data Availability Statement
Acknowledgments
Conflicts of Interest
References
- Krishnamurty, K.V.; Harris, G.M. The Chemistry of the Metal Oxalato Complexes. Chem. Rev. 1961, 61, 213–246. [Google Scholar] [CrossRef]
- Irving, H.; Williams, R.J.P. The stability of transition-metal complexes. J. Chem. Soc. 1953, 637, 3192–3210. [Google Scholar] [CrossRef]
- Urbańska, J. Polarographic Behavior of Manganese(II) in the Presence of Oxalate Ions in Perchlorate and Sulfate Solutions. J. Solut. Chem. 2011, 40, 247–260. [Google Scholar] [CrossRef][Green Version]
- Lis, T.; Matuszewski, J. Structure of Potassium Tris(Oxalato)Manganate(III) Trihydrate. Acta Crystallogr. Sect. B-Struct. Sci. 1980, 36, 1938–1940. [Google Scholar] [CrossRef]
- Lethbridge, Z.A.D.; Congreve, A.F.; Esslemont, E.; Slawin, A.M.Z.; Lightfoot, P. Synthesis and structure of three manganese oxalates: MnC2O4∙2H2O, [C4H8(NH2)2][Mn2(C2O4)3] and Mn2(C2O4)(OH)2. J. Solid State Chem. 2003, 172, 212–218. [Google Scholar] [CrossRef]
- Wu, W.Y.; Song, Y.; Li, Y.Z.; You, X.Z. One-dimensional structure and long-range antiferromagnetic behaviour of manganese (II) oxalate trihydrate:: {[Mn(μ-ox)(H2O)2∙H2O}n}. Inorg. Chem. Commun. 2005, 8, 732–736. [Google Scholar] [CrossRef]
- Soleimannejad, J.; Aghabozorg, H.; Hooshmand, S.; Ghadermazi, M.; Gharamaleki, J.A. The monoclinic polymorph of catena-[[poly diaquamanganese(II)]-μ-oxalato-κ4O1,O2:O1′,O2′]. Acta Crystallogr. Sect. E-Crystallogr. Commun. 2007, 63, M2389–U1294. [Google Scholar]
- Zilic, D.; Molcanov, K.; Juric, M.; Habjanic, J.; Rakvin, B.; Krupskaya, Y.; Kataev, V.; Wurmehl, S.; Büchner, B. 3D oxalate-based coordination polymers: Relationship between structure, magnetism and color, studied by high-field ESR spectroscopy. Polyhedron 2017, 126, 120–126. [Google Scholar] [CrossRef]
- Kofron, J.L.; Ash, D.E.; Reed, G.H. Coordination of manganous ion at the active site of pyruvate, phosphate dikinase: The complex of oxalate with the phosphorylated enzyme. Biochemistry 1988, 27, 4781–4787. [Google Scholar] [CrossRef]
- Lodato, D.T.; Reed, G.H. Structure of the oxalate-ATP complex with pyruvate kinase: ATP as a bridging ligand for the two divalent cations. Biochemistry 1987, 26, 2243–2250. [Google Scholar] [CrossRef]
- Buchbinder, J.L.; Reed, G.H. Electron paramagnetic resonance studies of the coordination schemes and site selectivities for divalent metal ions in complexes with pyruvate kinase. Biochemistry 1990, 29, 1799–1806. [Google Scholar] [CrossRef] [PubMed]
- Tan, X.L.; Poyner, R.; Reed, G.H.; Scholes, C.P. Electron-Nuclear Double-Resonance Study of the Mn2+ Environs in the Oxalate ATP Complex of Pyruvate Kinase. Biochemistry 1993, 32, 7799–7810. [Google Scholar] [CrossRef] [PubMed]
- Tanner, A.; Bornemann, S. Bacillus subtilis YvrK Is an Acid-Induced Oxalate Decarboxylase. J. Bacteriol. 2000, 182, 5271–5273. [Google Scholar] [CrossRef] [PubMed]
- Tanner, A.; Bowater, L.; Fairhurst, S.A.; Bornemann, S. Oxalate decarboxylase requires manganese and dioxygen for activity—Overexpression and characterization of Bacillus subtilis YvrK and YoaN. J. Biol. Chem. 2001, 276, 43627–43634. [Google Scholar] [CrossRef] [PubMed]
- Wolfenden, R.; Lewis, C.A., Jr.; Yuan, Y. Kinetic Challenges Facing Oxalate, Malonate, Acetoacetate, and Oxaloacetate Decarboxylases. J. Am. Chem. Soc. 2011, 133, 5683–5685. [Google Scholar] [CrossRef]
- Svedružić, D.; Jónsson, S.; Toyota, C.G.; Reinhardt, L.A.; Ricagno, S.; Lindqvist, Y.; Richards, N.G. The enzymes of oxalate metabolism: Unexpected structures and mechanisms. Arch. Biochem. Biophys. 2005, 433, 176–192. [Google Scholar] [CrossRef]
- Svedružić, D.; Liu, Y.; Reinhardt, L.A.; Wroclawska, E.; Cleland, W.W.; Richards, N.G. Investigating the roles of putative active site residues in the oxalate decarboxylase from Bacillus subtilis. Arch. Biochem. Biophys. 2007, 464, 36–47. [Google Scholar] [CrossRef]
- Dunwell, J.M. Cupins: A New Superfamily of Functionally Diverse Proteins that Include Germins and Plant Storage Proteins. Biotechnol. Genet. Eng. Rev. 1998, 15, 1–32. [Google Scholar] [CrossRef]
- Anand, R.; Dorrestein, P.C.; Kinsland, C.; Begley, T.P.; Ealick, S.E. Structure of Oxalate Decarboxylase from Bacillus subtilis at 1.75 Å Resolution. Biochemistry 2002, 41, 7659–7669. [Google Scholar] [CrossRef]
- Just, V.J.; Stevenson, C.E.M.; Bowater, L.; Tanner, A.; Lawson, D.M.; Bornemann, S. A Closed Conformation of Bacillus subtilis Oxalate Decarboxylase OxdC Provides Evidence for the True Identity of the Active Site. J. Biol. Chem. 2004, 279, 19867–19874. [Google Scholar] [CrossRef]
- Burg, M.J.; Goodsell, J.L.; Twahir, U.T.; Bruner, S.D.; Angerhofer, A. The Structure of Oxalate Decarboxylase at its Active pH. bioRxiv 2018, 426874. [Google Scholar] [CrossRef]
- Moomaw, E.W.; Angerhofer, A.; Moussatche, P.; Ozarowski, A.; García-Rubio, I.; Richards, N.G.J. Metal Dependence of Oxalate Decarboxylase Activity. Biochemistry 2009, 48, 6116–6125. [Google Scholar] [CrossRef] [PubMed]
- Zhu, W.; Richards, N.G. Biological functions controlled by manganese redox changes in mononuclear Mn-dependent enzymes. Essays Biochem. 2017, 61, 259–270. [Google Scholar] [PubMed]
- Just, V.J.; Burrell, M.R.; Bowater, L.; McRobbie, I.; Stevenson, C.E.; Lawson, D.M.; Bornemann, S. The identity of the active site of oxalate decarboxylase and the importance of the stability of active-site lid conformations. Biochem. J. 2007, 407, 397–406. [Google Scholar] [CrossRef]
- Pastore, A.J.; Teo, R.D.; Montoya, A.; Burg, M.J.; Twahir, U.T.; Bruner, S.D.; Beratan, D.N.; Angerhofer, A. Oxalate decarboxylase uses electron hole hopping for catalysis. J. Biol. Chem. 2021, 297, 100857. [Google Scholar] [CrossRef]
- Angerhofer, A.; Burg, M.J. RCSB PDB—5VG3: Structure of Oxalate Decarboxylase from Bacillus subtilis at pH 4.6. RCSB PDB Protein Data Bank: Piscataway, NJ, USA, 2017. [Google Scholar] [CrossRef]
- Zhu, W.; Easthon, L.M.; Reinhardt, L.A.; Tu, C.; Cohen, S.E.; Silverman, D.N.; Allen, K.N.; Richards, N.G.J. Substrate Binding Mode and Molecular Basis of a Specificity Switch in Oxalate Decarboxylase. Biochemistry 2016, 55, 2163–2173. [Google Scholar] [CrossRef]
- Reinhardt, L.A.; Svedruzic, D.; Chang, C.H.; Cleland, W.W.; Richards, N.G.J. Heavy Atom Isotope Effects on the Reaction Catalyzed by the Oxalate Decarboxylase from Bacillus subtilis. J. Am. Chem. Soc. 2003, 125, 1244–1252. [Google Scholar] [CrossRef] [PubMed]
- Conter, C.; Oppici, E.; Dindo, M.; Rossi, L.; Magnani, M.; Cellini, B. Biochemical properties and oxalate-degrading activity of oxalate decarboxylase from bacillus subtilis at neutral pH. IUBMB Life 2019, 71, 917–927. [Google Scholar] [CrossRef]
- Chang, C.H.; Svedružić, D.; Ozarowski, A.; Walker, L.; Yeagle, G.; Britt, R.D.; Angerhofer, A.; Richards, N.G.J. EPR spectroscopic characterization of the manganese center and a free radical in the oxalate decarboxylase reaction: Identification of a tyrosyl radical during turnover. J. Biol. Chem. 2004, 279, 52840–52849. [Google Scholar] [CrossRef]
- Angerhofer, A.; Moomaw, E.W.; García-Rubio, I.; Ozarowski, A.; Krzystek, J.; Weber, R.T.; Richards, N.G.J. Multifrequency EPR Studies on the Mn(II) Centers of Oxalate Decarboxylase. J. Phys. Chem. B 2007, 111, 5043–5046. [Google Scholar] [CrossRef] [PubMed]
- Imaram, W.; Saylor, B.T.; Centonze, C.P.; Richards, N.G.; Angerhofer, A. EPR spin trapping of an oxalate-derived free radical in the oxalate decarboxylase reaction. Free Radic. Biol. Med. 2011, 50, 1009–1015. [Google Scholar] [CrossRef] [PubMed]
- Twahir, U.; Molina, L.; Ozarowski, A.; Angerhofer, A. Immobilization of Bacillus subtilis oxalate decarboxylase on a Zn-IMAC resin. Biochem. Biophys. Rep. 2015, 4, 98–103. [Google Scholar] [CrossRef] [PubMed]
- Twahir, U.T.; Stedwell, C.N.; Lee, C.T.; Richards, N.G.; Polfer, N.C.; Angerhofer, A. Observation of superoxide production during catalysis of Bacillus subtilis oxalate decarboxylase at pH 4. Free Radic. Biol. Med. 2015, 80, 59–66. [Google Scholar] [CrossRef] [PubMed]
- Twahir, U.T.; Ozarowski, A.; Angerhofer, A. Redox Cycling, pH Dependence, and Ligand Effects of Mn(III) in Oxalate Decarboxylase from Bacillus subtilis. Biochemistry 2016, 55, 6505–6516. [Google Scholar] [CrossRef] [PubMed]
- Pastore, A.J.; Montoya, A.; Kamat, M.; Basso, K.B.; Italia, J.S.; Chatterjee, A.; Drosou, M.; Pantazis, D.A.; Angerhofer, A. Selective incorporation of 5-hydroxytryptophan blocks long range electron transfer in oxalate decarboxylase. Protein Sci. 2023, 32, e4537. [Google Scholar] [CrossRef] [PubMed]
- Anderegg, G.; Arnaud-Neu, F.; Delgado, R.; Felcman, J.; Popov, K. Critical evaluation of stability constants of metal complexes of complexones for biomedical and environmental applications* (IUPAC Technical Report). Pure Appl. Chem. 2005, 77, 1445–1495. [Google Scholar] [CrossRef]
- Frisch, M.J.; Trucks, G.W.; Schlegel, H.B.; Scuseria, G.E.; Robb, M.A.; Cheeseman, J.R.; Scalmani, G.; Barone, V.; Petersson, G.A.; Nakatsuji, H.; et al. Gaussian 16, Revision C.01; Gaussian, Inc.: Wallingford, CT, USA, 2016. [Google Scholar]
- Zhu, W.; Reinhardt, L.A.; Richards, N.G.J. Second-Shell Hydrogen Bond Impacts Transition-State Structure in Bacillus subtilis Oxalate Decarboxylase. Biochemistry 2018, 57, 3425–3432. [Google Scholar] [CrossRef]
- Delano, W.L. The PyMOL Molecular Graphics System. CCP4 Newsl. Protein Crystallogr. 2002, 40, 82–92. [Google Scholar]
- The PyMOL Molecular Graphics System, Version 2.5.1; Schrödinger, LLC.: New York, NY, USA, 2021.
- Hanwell, M.D.; Curtis, D.E.; Lonie, D.C.; Vandermeersch, T.; Zurek, E.; Hutchison, G.R. Avogadro: An advanced semantic chemical editor, visualization, and analysis platform. J. Cheminform. 2012, 4, 17. [Google Scholar] [CrossRef]
- Goodsell, J.L. Computational and Spectroscopic Insights into the Catalytic Mechanism of Bacillus subtilis Oxalate Decarboxylase. Ph.D. Dissertation, University of Florida, Gainesville, FL, USA, 2018. [Google Scholar]
- Neese, F. The ORCA program system. Wiley Interdiscip. Rev. Comput. Mol. Sci. 2012, 2, 73–78. [Google Scholar] [CrossRef]
- Neese, F.; Wennmohs, F.; Becker, U.; Riplinger, C. The ORCA quantum chemistry program package. J. Chem. Phys. 2020, 152, 224108. [Google Scholar] [CrossRef] [PubMed]
- Neese, F. Software update: The ORCA program system-Version 5.0. Wiley Interdiscip. Rev. Comput. Mol. Sci. 2022, 12, e1606. [Google Scholar] [CrossRef]
- Guo, Y.; Riplinger, C.; Becker, U.; Liakos, D.G.; Minenkov, Y.; Cavallo, L.; Neese, F. Communication: An improved linear scaling perturbative triples correction for the domain based local pair-natural orbital based singles and doubles coupled cluster method [DLPNO-CCSD(T)]. J. Chem. Phys. 2018, 148, 011101. [Google Scholar] [CrossRef] [PubMed]
- Riplinger, C.; Neese, F. An efficient and near linear scaling pair natural orbital based local coupled cluster method. J. Chem. Phys. 2013, 138, 034106. [Google Scholar] [CrossRef] [PubMed]
- Riplinger, C.; Sandhoefer, B.; Hansen, A.; Neese, F. Natural triple excitations in local coupled cluster calculations with pair natural orbitals. J. Chem. Phys. 2013, 139, 134101. [Google Scholar] [CrossRef]
- Riplinger, C.; Pinski, P.; Becker, U.; Valeev, E.F.; Neese, F. Sparse maps-A systematic infrastructure for reduced-scaling electronic structure methods. II. Linear scaling domain based pair natural orbital coupled cluster theory. J. Chem. Phys. 2016, 144, 024109. [Google Scholar] [CrossRef] [PubMed]
- Saitow, M.; Becker, U.; Riplinger, C.; Valeev, E.F.; Neese, F. A new near-linear scaling, efficient and accurate, open-shell domain-based local pair natural orbital coupled cluster singles and doubles theory. J. Chem. Phys. 2017, 146, 164105. [Google Scholar] [CrossRef]
- Sandler, I.; Chen, J.; Taylor, M.; Sharma, S.; Ho, J. Accuracy of DLPNO-CCSD(T): Effect of Basis Set and System Size. J. Phys. Chem. A 2021, 125, 1553–1563. [Google Scholar] [CrossRef] [PubMed]
- Guo, Y.; Riplinger, C.; Liakos, D.G.; Becker, U.; Saitow, M.; Neese, F. Linear scaling perturbative triples correction approximations for open-shell domain-based local pair natural orbital coupled cluster singles and doubles theory DLPNO-CCSD(T0T). J. Chem. Phys. 2020, 152, 024116. [Google Scholar] [CrossRef]
- Liakos, D.G.; Guo, Y.; Neese, F. Comprehensive Benchmark Results for the Domain Based Local Pair Natural Orbital Coupled Cluster Method (DLPNO-CCSD(T)) for Closed- and Open-Shell Systems. J. Phys. Chem. A 2019, 124, 90–100. [Google Scholar] [CrossRef] [PubMed]
- Liakos, D.G.; Neese, F. Is It Possible To Obtain Coupled Cluster Quality Energies at near Density Functional Theory Cost? Domain-Based Local Pair Natural Orbital Coupled Cluster vs Modern Density Functional Theory. J. Chem. Theory Comput. 2015, 11, 4054–4063. [Google Scholar] [CrossRef] [PubMed]
- Eschenbach, P.; Artiukhin, D.G.; Neugebauer, J. Reliable Isotropic Electron-Paramagnetic-Resonance Hyperfine Coupling Constants from the Frozen-Density Embedding Quasi-Diabatization Approach. J. Phys. Chem. A 2022, 126, 8358–8368. [Google Scholar] [CrossRef] [PubMed]
- Saitow, M.; Neese, F. Accurate spin-densities based on the domain-based local pair-natural orbital coupled-cluster theory. J. Chem. Phys. 2018, 149, 034104. [Google Scholar] [CrossRef] [PubMed]
- Gromov, O.I. Performance of the DLPNO-CCSD and recent DFT methods in the calculation of isotropic and dipolar contributions to 14N hyperfine coupling constants of nitroxide radicals. J. Mol. Model. 2021, 27, 194. [Google Scholar] [CrossRef]
- Auer, A.A.; Tran, V.A.; Sharma, B.; Stoychev, G.L.; Marx, D.; Neese, F. A case study of density functional theory and domain-based local pair natural orbital coupled cluster for vibrational effects on EPR hyperfine coupling constants: Vibrational perturbation theory versus ab initio molecular dynamics. Mol. Phys. 2020, 118, e1797916. [Google Scholar] [CrossRef]
- Gómez-Piñeiro, R.J.; Pantazis, D.A.; Orio, M. Comparison of Density Functional and Correlated Wave Function Methods for the Prediction of Cu(II) Hyperfine Coupling Constants. Chemphyschem 2020, 21, 2667–2679. [Google Scholar] [CrossRef]
- Stoll, S.; Schweiger, A. EasySpin, a comprehensive software package for spectral simulation and analysis in EPR. J. Magn. Reson. 2005, 178, 42–55. [Google Scholar] [CrossRef] [PubMed]
- Walsby, C.J.; Telser, J.; Rigsby, R.E.; Armstrong, R.N.; Hoffman, B.M. Enzyme control of small-molecule coordination in FosA as revealed by 31P pulsed ENDOR and ESE-EPR. J. Am. Chem. Soc. 2005, 127, 8310–8319. [Google Scholar] [CrossRef]
- Zänker, P.P.; Jeschke, G.; Goldfarb, D. Distance measurements between paramagnetic centers and a planar object by matrix Mims electron nuclear double resonance. J. Chem. Phys. 2005, 122, 024515. [Google Scholar] [CrossRef]
- Pribitzer, S.; Mannikko, D.; Stoll, S. Determining electron-nucleus distances and Fermi contact couplings from ENDOR spectra. Phys. Chem. Chem. Phys. 2021, 23, 8326–8335. [Google Scholar] [CrossRef] [PubMed]
- Tiesinga, E.; Mohr, P.J.; Newell, D.B.; Taylor, B.N. CODATA Recommended Values of the Fundamental Physical Constants: 2018. J. Phys. Chem. Ref. Data 2021, 50, 033105. [Google Scholar] [CrossRef] [PubMed]
- Habjanič, J.; Jurić, M.; Popović, J.; Molčanov, K.; Pajić, D. A 3D Oxalate-Based Network as a Precursor for the CoMn2O4 Spinel: Synthesis and Structural and Magnetic Studies. Inorg. Chem. 2014, 53, 9633–9643. [Google Scholar] [CrossRef]
- Luan, L.; Li, J.; Yin, C.; Lin, Z.; Huang, H. Solvent-free synthesis of new inorganic–organic hybrid solids with finely tuned manganese oxalate structures. Dalton Trans. 2015, 44, 5974–5977. [Google Scholar] [CrossRef] [PubMed]
- Sehimi, H.; Chérif, I.; Zid, M.F. Crystal structure and spectroscopic analysis of a new oxalate-bridged Mn(II) compound: Catena-poly[guanidinium [[aquachloridomanganese(II)]-μ2-oxalato-κ4O1,O2:O1′,O2′] monohydrate]. Acta Crystallographica. Sect. E Crystallogr. Commun. 2016, 72 Pt 5, 724–729. [Google Scholar] [CrossRef] [PubMed]
- Puzan, A.N.; Baumer, V.N.; Lisovytskiy, D.V.; Mateychenko, P.V. Structure disordering and thermal decomposition of manganese oxalate dihydrate, MnC2O4·2H2O. J. Solid State Chem. 2018, 260, 87–94. [Google Scholar] [CrossRef]
- Oh, J.; Goo, E.; Hwang, I.; Rhee, S. Structural Basis for Bacterial Quorum Sensing-mediated Oxalogenesis. J. Biol. Chem. 2014, 289, 11465–11475. [Google Scholar] [CrossRef] [PubMed]
- Zhu, W.; Wilcoxen, J.; Britt, R.D.; Richards, N.G.J. Formation of Hexacoordinate Mn(III) in Bacillus subtilis Oxalate Decarboxylase Requires Catalytic Turnover. Biochemistry 2016, 55, 429–434. [Google Scholar] [CrossRef] [PubMed]
- Bradford, M.M. A rapid and sensitive method for the quantitation of microgram quantities of protein utilizing the principle of protein-dye binding. Anal. Biochem. 1976, 72, 248–254. [Google Scholar] [CrossRef]
- Chovancova, E.; Pavelka, A.; Benes, P.; Strnad, O.; Brezovsky, J.; Kozlikova, B.; Gora, A.; Sustr, V.; Klvana, M.; Medek, P.; et al. CAVER 3.0: A Tool for the Analysis of Transport Pathways in Dynamic Protein Structures. PLoS Comput. Biol. 2012, 8, e1002708. [Google Scholar] [CrossRef]
- Brezovsky, J.; Chovancova, E.; Gora, A.; Pavelka, A.; Biedermannova, L.; Damborsky, J. Software tools for identification, visualization and analysis of protein tunnels and channels. Biotechnol. Adv. 2013, 31, 38–49. [Google Scholar] [CrossRef]
- Kozlikova, B.; Sebestova, E.; Sustr, V.; Brezovsky, J.; Strnad, O.; Daniel, L.; Bednar, D.; Pavelka, A.; Manak, M.; Bezdeka, M.; et al. CAVER Analyst 1.0: Graphic tool for interactive visualization and analysis of tunnels and channels in protein structures. Bioinformatics 2014, 30, 2684–2685. [Google Scholar] [CrossRef] [PubMed]
- Schwarzenbacher, R.; von Delft, F.; Jaroszewski, L.; Abdubek, P.; Ambing, E.; Biorac, T.; Brinen, L.S.; Canaves, J.M.; Cambell, J.; Chiu, H.J.; et al. Crystal structure of a putative oxalate decarboxylase (TM1287) from Thermotoga maritima at 1.95 A resolution. Proteins 2004, 56, 392–395. [Google Scholar] [CrossRef] [PubMed]
- Yanai, T.; Tew, D.P.; Handy, N.C. A new hybrid exchange–correlation functional using the Coulomb-attenuating method (CAM-B3LYP). Chem. Phys. Lett. 2004, 393, 51–57. [Google Scholar] [CrossRef]
- Dunning, T.H., Jr. Gaussian basis sets for use in correlated molecular calculations. I. The atoms boron through neon and hydrogen. J. Chem. Phys. 1989, 90, 1007–1023. [Google Scholar] [CrossRef]
- Stoll, S.; Britt, R.D. General and efficient simulation of pulse EPR spectra. Phys. Chem. Chem. Phys. 2009, 11, 6614–6625. [Google Scholar] [CrossRef] [PubMed]
- Deyrieux, R.; Berro, C.; Peneloux, A. Contribution à l’étude des oxalates de certains métaux bivalents. III.—Structure cristalline des oxalates dihydratés de manganèse, de cobalt, de nickel et de zinc. Polymorphisme des oxalates dihydratés de cobalt et de nickel. Bull. La Société Chim. Fr. 1973, 25–34. [Google Scholar]
- Siems, H.; Löhn, J. Die Kristallstruktur von Cs2Mn2(C2O4)3·3H2O. Z. Für Anorg. Und Allg. Chem. 1972, 393, 97–104. [Google Scholar] [CrossRef]
- Yang, Z.R.; Floyd, D.L.; Loeber, G.; Tong, L. Structure of a closed form of human malic enzyme and implications for catalytic mechanism. Nat. Struct. Biol. 2000, 7, 251–257. [Google Scholar]
- Yang, Z.; Lanks, C.W.; Tong, L. Molecular mechanism for the regulation of human mitochondrial NAD(P)+-dependent malic enzyme by ATP and fumarate. Structure 2002, 10, 951–960. [Google Scholar] [CrossRef]
- Manjasetty, B.A.; Powlowski, J.; Vrielink, A. Crvstal structure of a bifunctional aldolase-dehydrogenase: Sequestering a reactive and volatile intermediate. Proc. Natl. Acad. Sci. USA 2003, 100, 6992–6997. [Google Scholar] [CrossRef] [PubMed]
- Stiffin, R.M.; Sullivan, S.M.; Carlson, G.M.; Holyoak, T. Differential inhibition of cytosolic PEPCK by substrate analogues. Kinetic and structural characterization of inhibitor recognition. Biochemistry 2008, 47, 2099–2109. [Google Scholar] [CrossRef] [PubMed]
- Sullivan, S.M.; Holyoak, T. Enzymes with lid-gated active sites must operate by an induced fit mechanism instead of conformational selection. Proc. Natl. Acad. Sci. USA 2008, 105, 13829–13834. [Google Scholar] [CrossRef] [PubMed]
- Chen, C.; Sun, Q.H.; Narayanan, B.; Nuss, D.L.; Herzberg, O. Structure of Oxalacetate Acetylhydrolase, a Virulence Factor of the Chestnut Blight Fungus. J. Biol. Chem. 2010, 285, 26685–26696. [Google Scholar] [CrossRef]
- Johnson, T.A.; Holyoak, T. Increasing the Conformational Entropy of the Omega-Loop Lid Domain in Phosphoenolpyruvate Carboxykinase Impairs Catalysis and Decreases Catalytic Fidelity. Biochemistry 2010, 49, 5176–5187. [Google Scholar] [CrossRef]
- Johnson, T.A.; Holyoak, T. The Ω-Loop Lid Domain of Phosphoenolpyruvate Carboxykinase Is Essential for Catalytic Function. Biochemistry 2012, 51, 9547–9559. [Google Scholar] [CrossRef]
- Carere, J.; McKenna, S.E.; Kimber, M.S.; Seah, S.Y.K. Characterization of an Aldolase-Dehydrogenase Complex from the Cholesterol Degradation Pathway of Mycobacterium tuberculosis. Biochemistry 2013, 52, 3502–3511. [Google Scholar] [CrossRef] [PubMed]
- Kim, H.L.; Sacchettini, J.C. RCSB PDB—4WIU: Crystal Structure of PEPCK (Rv0211) from Mycobacterium tuberculosis in complex with oxalate and Mn2+; RCSB PDB Protein Data Bank: Piscataway, NJ, USA, 2014. [Google Scholar] [CrossRef]
- Johnson, T.A.; McLeod, M.J.; Holyoak, T. Utilization of Substrate Intrinsic Binding Energy for Conformational Change and Catalytic Function in Phosphoenolpyruvate Carboxykinase. Biochemistry 2016, 55, 575–587. [Google Scholar] [CrossRef]
- Cui, D.S.; Broom, A.; McLeod, M.J.; Meiering, E.M.; Holyoak, T. Asymmetric Anchoring Is Required for Efficient Omega-Loop Opening and Closing in Cytosolic Phosphoenolpyruvate Carboxykinase. Biochemistry 2017, 56, 2106–2115. [Google Scholar] [CrossRef]
- Jamsen, J.A.; Sassa, A.; Shock, D.D.; Beard, W.A.; Wilson, S.H. RCSB PDB—6VF5: DNA Polymerase Mu, 8-oxorGTP:At Product State Ternary Complex, 50 mM Mn2+ (120 min); RCSB PDB Protein Data Bank: Piscataway, NJ, USA, 2021. [Google Scholar] [CrossRef]
- Guo, T.F.; Sperber, A.M.; Krieger, I.V.; Duan, Y.; Chemelewski, V.R.; Sacchettini, J.C.; Herman, J.K. Bacillus subtilis YisK possesses oxaloacetate decarboxylase activity and exhibits Mbl-dependent localization. J. Bacteriol. 2024, 206, 20. [Google Scholar] [CrossRef]



| Bidentate | Monodentate | |||
|---|---|---|---|---|
| C1 | C2 | C3 | C4 | |
| A CCSD [MHz] | −0.7517, −0.8647, 1.1738 | −0.6525, −0.7583, 1.2959 | 0.0412, 0.0815, 1.8179 | 0.0742, 0.0811, 0.7358 |
| Aiso [MHz] | −0.1475 | −0.0383 | 0.6469 | 0.2970 |
| Adip [MHz] | 0.6607 | 0.6671 | 0.5855 | 0.2194 |
| C–Mn distance † [Å] | 3.117 | 3.107 | 3.245 | 4.501 |
| C–Mn distance ‡ [Å] | 3.060 | 3.053 | 3.260 | 4.569 |
| C–Mn distance * [Å] | 2.950 | 2.855 | 3.087 | 3.940 |
| C–Mn distance ° [Å] | 2.97 | 2.97 | ||
Disclaimer/Publisher’s Note: The statements, opinions and data contained in all publications are solely those of the individual author(s) and contributor(s) and not of MDPI and/or the editor(s). MDPI and/or the editor(s) disclaim responsibility for any injury to people or property resulting from any ideas, methods, instructions or products referred to in the content. |
© 2024 by the authors. Licensee MDPI, Basel, Switzerland. This article is an open access article distributed under the terms and conditions of the Creative Commons Attribution (CC BY) license (https://creativecommons.org/licenses/by/4.0/).
Share and Cite
Montoya, A.; Wisniewski, M.; Goodsell, J.L.; Angerhofer, A. Bidentate Substrate Binding Mode in Oxalate Decarboxylase. Molecules 2024, 29, 4414. https://doi.org/10.3390/molecules29184414
Montoya A, Wisniewski M, Goodsell JL, Angerhofer A. Bidentate Substrate Binding Mode in Oxalate Decarboxylase. Molecules. 2024; 29(18):4414. https://doi.org/10.3390/molecules29184414
Chicago/Turabian StyleMontoya, Alvaro, Megan Wisniewski, Justin L. Goodsell, and Alexander Angerhofer. 2024. "Bidentate Substrate Binding Mode in Oxalate Decarboxylase" Molecules 29, no. 18: 4414. https://doi.org/10.3390/molecules29184414
APA StyleMontoya, A., Wisniewski, M., Goodsell, J. L., & Angerhofer, A. (2024). Bidentate Substrate Binding Mode in Oxalate Decarboxylase. Molecules, 29(18), 4414. https://doi.org/10.3390/molecules29184414
