Photocurable Hypervalent Fluorinated Sulfur Containing Thin Films with Remarkable Hardness and Modulus
Abstract
1. Introduction
1.1. Polymer Film Mechanical Properties
1.1.1. Modulus
1.1.2. Hardness
1.2. UV Curing of Thin Polymer Films
1.3. Summary
2. Results
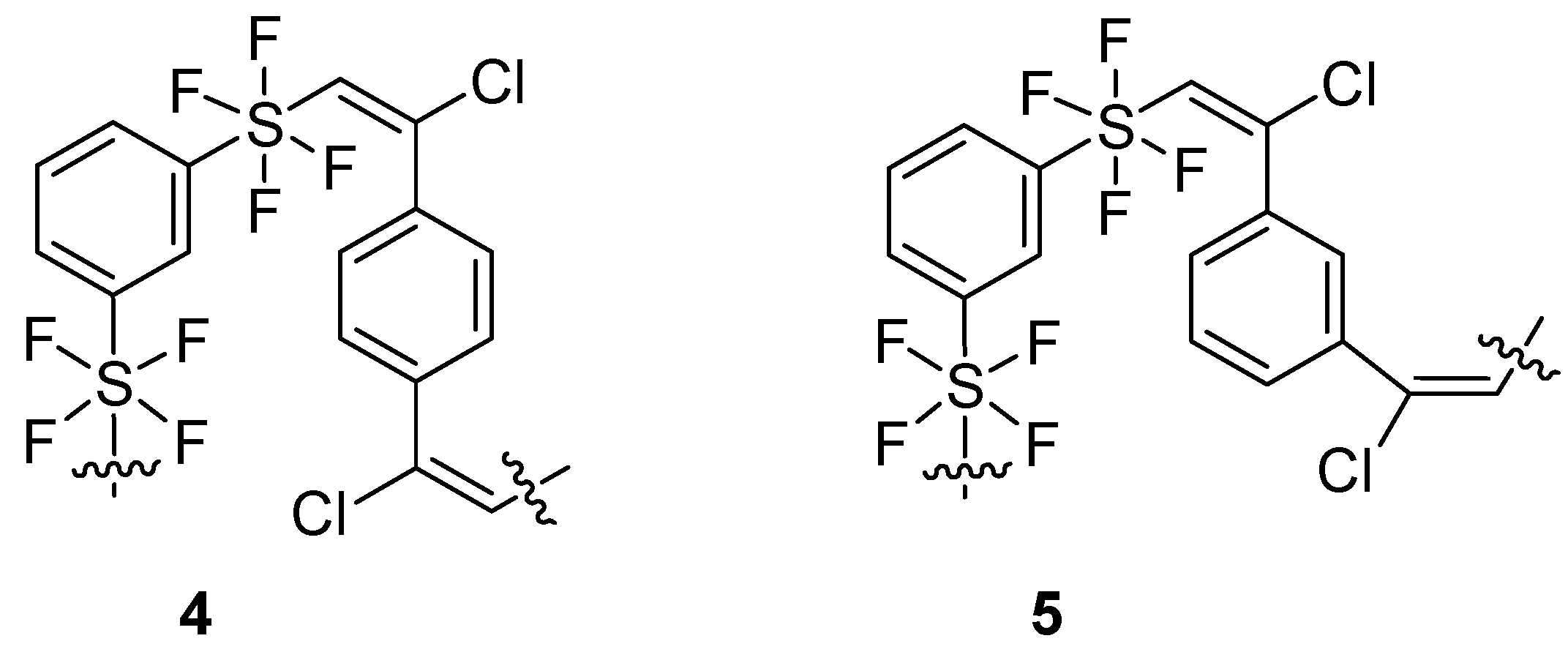
2.1. Tetrafluoro-λ6-Sulfanyl-Containing Oligomers
2.2. Kinetics of Oligomerization

2.3. Structure Function Relationship
2.4. Gel Permeation Chromatography (GPC)
2.5. Thermal Analysis
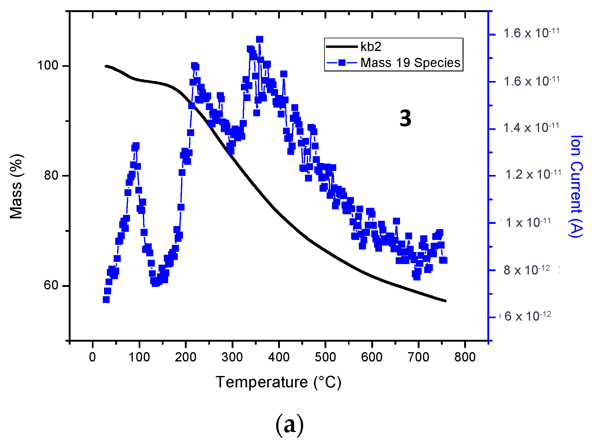
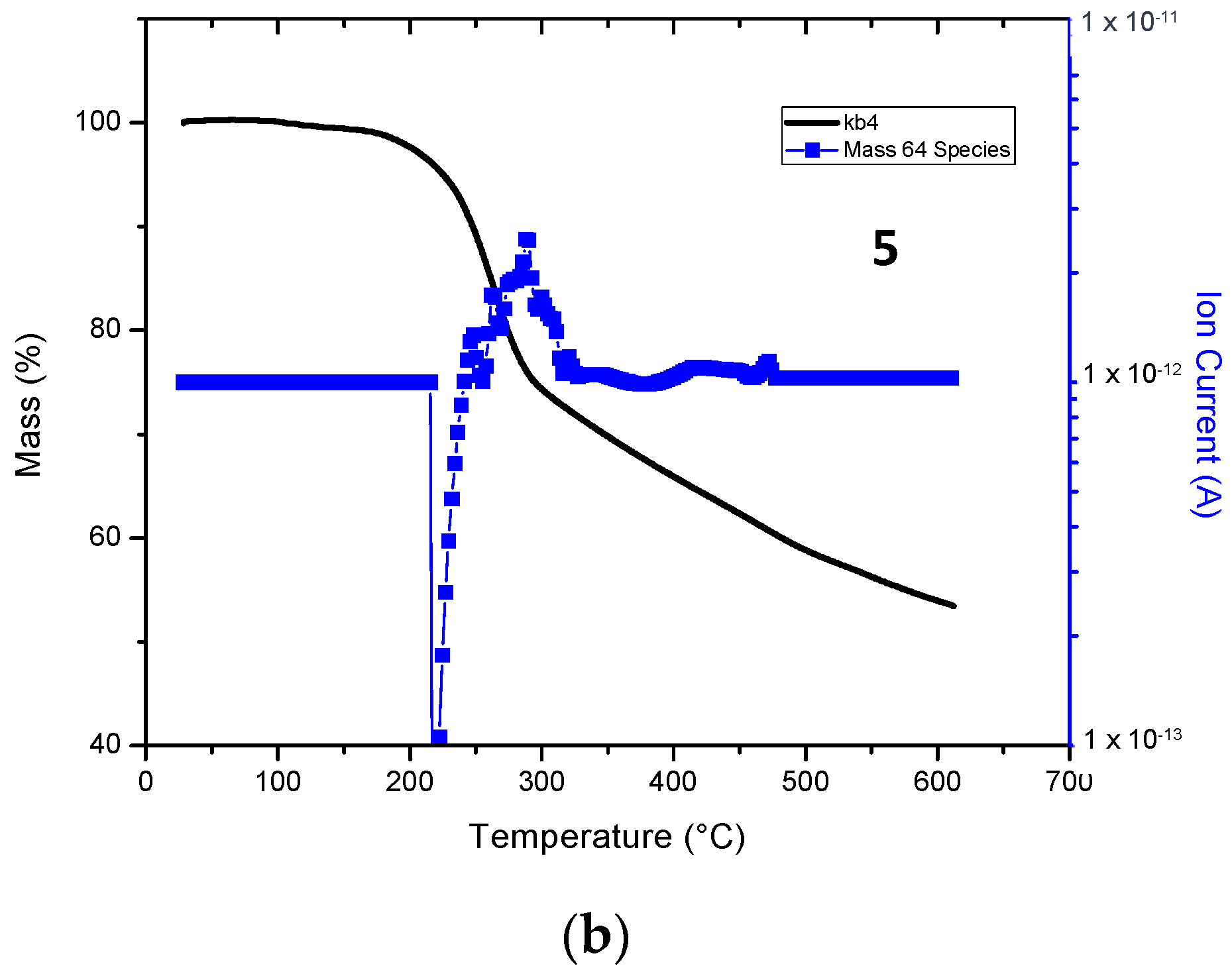
2.5.1. Thermal Gravimetric Analysis-Mass Spectrometry
2.5.2. Differential Scanning Calorimetry (DSC)
2.6. Nanoindentation Studies
2.6.1. Nanoindentation Studies of Thin Films of 3, 4, and 5
2.6.2. Polymer Moduli
2.6.3. Hardness
2.7. UV Photocuring Influence on Modulus and Hardness
Radiative Curing and Orientation
2.8. Wettability
3. Materials and Methods
3.1. Materials and Reagents
3.2. Material Preparation
3.3. Infrared Spectroscopy
3.4. Thermal Characterization
3.5. Gel Permeation Chromatography (GPC)
3.6. Sample Preparation for Nanoindentation Studies
3.7. Nanoindentation (NI) Measurements
4. Conclusions
Supplementary Materials
Author Contributions
Funding
Institutional Review Board Statement
Informed Consent Statement
Data Availability Statement
Conflicts of Interest
References
- Umemoto, T.; Garrick, L.M.; Saito, N. Discovery of practical production processes for arylsulfur pentafluorides and their higher homologs, bis- and tris-(sulfur pentafluorides): Beginning of a new era of super-trifluoromethyl arene chemistry and its industry. Beilstein J. Org. Chem. 2012, 8, 461–471. [Google Scholar] [CrossRef] [PubMed]
- Zhong, L.; Filatov, A.S.; Welch, J.T. Effects of substitution on the reactivity of alkyl aryl tetrafluoro-λ6-sulfanes. J. Fluor. Chem. 2014, 167, 192–197. [Google Scholar] [CrossRef]
- Zhong, L.; Savoie, P.R.; Filatov, A.S.; Welch, J.T. Preparation and Characterization of Alkenyl Aryl Tetrafluoro-λ6-sulfanes. Angew. Chem. Int. Ed. 2014, 53, 526–529. [Google Scholar] [CrossRef]
- Bonetti, K.A.; Murphy, M.; Brainard, R.L.; Zhong, L.; Welch, J.T. Photosensitive Hypervalent Fluorinated Sulfur Containing Polymers for Light Sensitive Applications. J. Polym. Sci. 2020, 58, 787–791. [Google Scholar] [CrossRef]
- Chung, P.C.; Glynos, E.; Green, P.F. The Elastic Mechanical Response of Supported Thin Polymer Films. Langmuir 2014, 30, 15200–15205. [Google Scholar] [CrossRef]
- Baker, D.V.; Bao, C.; Kim, W.S. Highly conductive 3D printable materials for 3D structural electronics. ACS Appl. Electron. Mater. 2021, 3, 2423–2433. [Google Scholar] [CrossRef]
- Barszczewska-Rybarek, I.M. A guide through the dental dimethacrylate polymer network structural characterization and interpretation of physico-mechanical properties. Materials 2019, 12, 4057. [Google Scholar] [CrossRef]
- Russell, T.P.; Chai, Y. 50th Anniversary Perspective: Putting the Squeeze on Polymers: A Perspective on Polymer Thin Films and Interfaces. Macromolecules 2017, 50, 4597–4609. [Google Scholar] [CrossRef]
- Strojny, A.; Xia, X.; Tsou, A.; Gerberich, W.W. Techniques and considerations for nanoindentation measurements of polymer thin film constitutive properties. J. Adhes. Sci. Technol. 1998, 12, 1299–1321. [Google Scholar] [CrossRef]
- Kim, E.; Yi, M.H.; Ahn, T. Low-temperature processable, photo-curable polyimides as gate insulators for thin-film transistors. J. Nanosci. Nanotechnol. 2016, 16, 11762–11765. [Google Scholar] [CrossRef]
- Carioscia, J.A.; Stansbury, J.W.; Bowman, C.N. Evaluation and control of thiol-ene/thiol-epoxy hybrid networks. Polymer 2007, 48, 1526–1532. [Google Scholar] [CrossRef] [PubMed]
- Fang, B.; Jin, M.; Wu, X.; Zhang, Y.; Wan, D. Near UV-vis LED-excitable two-branched sensitizers for cationic, radical, and thiol-ene photopolymerizations. Dye. Pigm. 2016, 126, 54–61. [Google Scholar] [CrossRef]
- Jasinski, F.; Rannee, A.; Schweitzer, J.; Fischer, D.; Lobry, E.; Croutxe-Barghorn, C.; Schmutz, M.; Le Nouen, D.; Criqui, A.; Chemtob, A. Thiol-Ene Linear Step-Growth Photopolymerization in Miniemulsion: Fast Rates, Redox-Responsive Particles, and Semicrystalline Films. Macromolecules 2016, 49, 1143–1153. [Google Scholar] [CrossRef]
- Gaud, V.; Rouge, F.; Gnanou, Y.; Desvergne, J.-P. Synthesis and properties of new photosensitive triazene and o-nitrobenzene methacrylates. React. Funct. Polym. 2012, 72, 521–532. [Google Scholar] [CrossRef]
- Lee, J.; Maddipatla, M.V.S.N.; Joy, A.; Vogt, B.D. Kinetics of UV Irradiation Induced Chain Scission and Cross-Linking of Coumarin-Containing Polyester Ultrathin Films. Macromolecules 2014, 47, 2891–2898. [Google Scholar] [CrossRef]
- Li, G.; Jiang, S.; Gao, Y.; Liu, X.; Sun, F. Synthesis and Property of Water-Soluble Hyperbranched Photosensitive Polysiloxane Urethane Acrylate. Ind. Eng. Chem. Res. 2013, 52, 2220–2227. [Google Scholar] [CrossRef]
- Fei, J.; Rong, Y.; Zhu, L.; Li, H.; Zhang, X.; Lu, Y.; An, J.; Bao, Q.; Huang, X. Progress in Photocurable 3D Printing of Photosensitive Polyurethane: A Review. Macromol. Rapid Commun. 2023, 44, 2300211. [Google Scholar] [CrossRef]
- Dumur, F. The future of visible light photoinitiators of polymerization for photocrosslinking applications. Eur. Polym. J. 2023, 187, 111883. [Google Scholar] [CrossRef]
- Dumur, F. Recent advances on photoinitiating systems designed for solar photocrosslinking polymerization reactions. Eur. Polym. J. 2023, 189, 111988. [Google Scholar] [CrossRef]
- Sheel Wali, A.; Kumar, S.; Khan, D. A review on recent development and application of radiation curing. Mater. Today Proc. 2023, 82, 68–74. [Google Scholar] [CrossRef]
- Jiang, B.; Shi, X.; Zhang, T.; Huang, Y. Recent advances in UV/thermal curing silicone polymers. Chem. Eng. J. 2022, 435, 134843. [Google Scholar] [CrossRef]
- Ritchie, R.O. The conflicts between strength and toughness. Nat. Mater. 2011, 10, 817–822. [Google Scholar] [CrossRef] [PubMed]
- Bencomo-Cisneros, J.A.; Tejeda-Ochoa, A.; Garcia-Estrada, J.A.; Herrera-Ramirez, C.A.; Hurtado-Macias, A.; Martinez-Sanchez, R.; Herrera-Ramirez, J.M. Characterization of Kevlar-29 fibers by tensile tests and nanoindentation. J. Alloys Compd. 2012, 536, S456–S459. [Google Scholar] [CrossRef]
- Miyake, K.; Satomi, N.; Sasaki, S. Elastic modulus of polystyrene film from near surface to bulk measured by nanoindentation using atomic force microscopy. Appl. Phys. Lett. 2006, 89, 031925. [Google Scholar] [CrossRef]
- Wang, J.; Shi, F.G.; Nieh, T.G.; Zhao, B.; Brongo, M.R.; Qu, S.; Rosenmayer, T. Thickness dependence of elastic modulus and hardness of on-wafer low-k ultrathin polytetrafluoroethylene films. Scr. Mater. 2000, 42, 687–694. [Google Scholar] [CrossRef]
- Gu, X.W.; Ye, X.; Koshy, D.M.; Vachhani, S.; Hosemann, P.; Alivisatos, A.P. Tolerance to structural disorder and tunable mechanical behavior in self-assembled superlattices of polymer-grafted nanocrystals. Proc. Natl. Acad. Sci. USA. 2017, 114, 2836–2841. [Google Scholar] [CrossRef]
- Mendes-Felipe, C.; Oliveira, J.; Etxebarria, I.; Vilas-Vilela, J.L.; Lanceros-Mendez, S. State-of-the-Art and Future Challenges of UV Curable Polymer-Based Smart Materials for Printing Technologies. Adv. Mater. Technol. 2019, 4, 1800618. [Google Scholar] [CrossRef]
- Kim, D.M.; Yu, S.H.; Lee, J.Y. Synthesis and characterization of thermally stable photocurable polymer with cyclohexane moiety. J. Nanosci. Nanotechnol. 2016, 16, 2641–2645. [Google Scholar] [CrossRef]
- Bahners, T.; Prager, L.; Kriehn, S.; Gutmann, J.S. Super-hydrophilic surfaces by photo-induced micro-folding. Appl. Surf. Sci. 2012, 259, 847–852. [Google Scholar] [CrossRef]
- Lee, Y.H.; Peranantham, P.; Hwangbo, C.K.; Kim, S.-M. Fabrication of a bilayer wire grid polarizer in the near infrared wavelength region by using a UV curing nanoimprinting method. J. Korean Phys. Soc. 2012, 61, 1714–1719. [Google Scholar] [CrossRef]
- Nakamoto, K.; Kurita, R.; Niwa, O.; Fujii, T.; Nishida, M. Development of a mass-producible on-chip plasmonic nanohole array biosensor. Nanoscale 2011, 3, 5067–5075. [Google Scholar] [CrossRef] [PubMed]
- Zhang, C.; Holdcroft, S. Photocrosslinking of low band-gap conjugated polymers using alkyl chloride sidechains: Toward high-efficiency, thermally stable polymer solar cells. J. Mater. Res. 2018, 33, 1879–1890. [Google Scholar] [CrossRef]
- Zhang, X.; Liu, H.; Li, H.; Zhai, T. Direct Nanopatterning Into Conjugated Polymers Using Interference Crosslinking. Macromol. Chem. Phys. 2012, 213, 1285–1290. [Google Scholar] [CrossRef]
- Mallikarjunachari, G.; Pijush, G. Nanomechanical study of polymer-polymer thin film interface under applied service conditions. J. Appl. Polym. Sci. 2016, 133, 43532. [Google Scholar] [CrossRef]
- Decker, C. The use of UV irradiation in polymerization. Polym. Int. 1998, 45, 133–141. [Google Scholar] [CrossRef]
- Oliver, W.C.; Pharr, G.M. An improved technique for determining hardness and elastic modulus using load and displacement sensing indentation experiments. J. Mater. Res. 1992, 7, 1564–1583. [Google Scholar] [CrossRef]
- Pharr, G.M.; Oliver, W.C.; Brotzen, F.R. On the generality of the relationship among contact stiffness, contact area, and elastic modulus during indentation. J. Mater. Res. 1992, 7, 613–617. [Google Scholar] [CrossRef]
- Shaw, G.A.; Stone, D.S.; Johnson, A.D.; Ellis, A.B.; Crone, W.C. Shape memory effect in nanoindentation of nickel-titanium thin films. Appl. Phys. Lett. 2003, 83, 257–259. [Google Scholar] [CrossRef]
- Jiang, G.; Xie, S. Comparison of AFM nanoindentation and gold nanoparticle embedding techniques for measuring the properties of polymer thin films. Polymers 2019, 11, 617. [Google Scholar] [CrossRef]
- Marasinghe, L.; Croutxe-Barghorn, C.; Allonas, X.; Criqui, A. Effect of reactive monomers on polymer structure and abrasion resistance of UV cured thin films. Prog. Org. Coat. 2018, 118, 22–29. [Google Scholar] [CrossRef]
- Liu, F.; Liu, A.; Tao, W.; Yang, Y. Preparation of UV curable organic/inorganic hybrid coatings-a review. Prog. Org. Coat. 2020, 145, 105685. [Google Scholar] [CrossRef]
- Hasanain, F.A.; Nassar, H.M. Utilizing light cure units: A concise narrative review. Polymers 2021, 13, 1596. [Google Scholar] [CrossRef] [PubMed]
- Czub, P.; Sienkiewicz, A. Cure reactions of polymer coatings. In Polymer Coatings: Technologies and Applications; CRC Press: Boca Raton, FL, USA, 2021; p. 137. [Google Scholar]
- Kessler, F.; Kuehn, S.; Radtke, C.; Weibel, D.E. Controlling the surface wettability of poly(sulfone) films by UV-assisted treatment: Benefits in relation to plasma treatment. Polym. Int. 2013, 62, 310–318. [Google Scholar] [CrossRef]
- Hughes, T.; Simon, G.P.; Saito, K. Chemistries and capabilities of photo-formable and photoreversible crosslinked polymer networks. Mater. Horiz. 2019, 6, 1762–1773. [Google Scholar] [CrossRef]
- Elkhoury, K.; Zuazola, J.; Vijayavenkataraman, S. Bioprinting the future using light: A review on photocrosslinking reactions, photoreactive groups, and photoinitiators. SLAS Technol. 2023, 28, 142–151. [Google Scholar] [CrossRef]
- Lim, G.; Lee, K.; Choi, S.; Yoon, H.J. Organometallic and coordinative photoresist materials for EUV lithography and related photolytic mechanisms. Coord. Chem. Rev. 2023, 493, 215307. [Google Scholar] [CrossRef]
- Calvez, I.; Davoudi, S.; Szczepanski, C.R.; Landry, V. Low-gloss UV-curable coatings: Light mechanisms, formulations and processes—A review. Prog. Org. Coat. 2022, 171, 107039. [Google Scholar] [CrossRef]
- Ribas-Massonis, A.; Cicujano, M.; Duran, J.; Besalu, E.; Poater, A. Free-Radical Photopolymerization for Curing Products for Refinish Coatings Market. Polymers 2022, 14, 2856. [Google Scholar] [CrossRef]











| Polymer | Mw (Daltons) a | Mn (Daltons) | Mp (Daltons) | Ð |
|---|---|---|---|---|
| 3 | 5800 | 3700 | 3900 | 1.6 |
| 4 | 4300 | 1800 | 3700 | 2.4 |
| 5 | 3400 | 1800 | 2400 | 1.9 |
Disclaimer/Publisher’s Note: The statements, opinions and data contained in all publications are solely those of the individual author(s) and contributor(s) and not of MDPI and/or the editor(s). MDPI and/or the editor(s) disclaim responsibility for any injury to people or property resulting from any ideas, methods, instructions or products referred to in the content. |
© 2024 by the authors. Licensee MDPI, Basel, Switzerland. This article is an open access article distributed under the terms and conditions of the Creative Commons Attribution (CC BY) license (https://creativecommons.org/licenses/by/4.0/).
Share and Cite
Bonetti, K.A.; Rende, D.; Murphy, M.; Welch, J.T. Photocurable Hypervalent Fluorinated Sulfur Containing Thin Films with Remarkable Hardness and Modulus. Molecules 2024, 29, 4413. https://doi.org/10.3390/molecules29184413
Bonetti KA, Rende D, Murphy M, Welch JT. Photocurable Hypervalent Fluorinated Sulfur Containing Thin Films with Remarkable Hardness and Modulus. Molecules. 2024; 29(18):4413. https://doi.org/10.3390/molecules29184413
Chicago/Turabian StyleBonetti, Kelly A., Deniz Rende, Michael Murphy, and John T. Welch. 2024. "Photocurable Hypervalent Fluorinated Sulfur Containing Thin Films with Remarkable Hardness and Modulus" Molecules 29, no. 18: 4413. https://doi.org/10.3390/molecules29184413
APA StyleBonetti, K. A., Rende, D., Murphy, M., & Welch, J. T. (2024). Photocurable Hypervalent Fluorinated Sulfur Containing Thin Films with Remarkable Hardness and Modulus. Molecules, 29(18), 4413. https://doi.org/10.3390/molecules29184413

