Amphetamine-like Deferiprone and Clioquinol Derivatives as Iron Chelating Agents
Abstract
1. Introduction
2. Results and Discussion
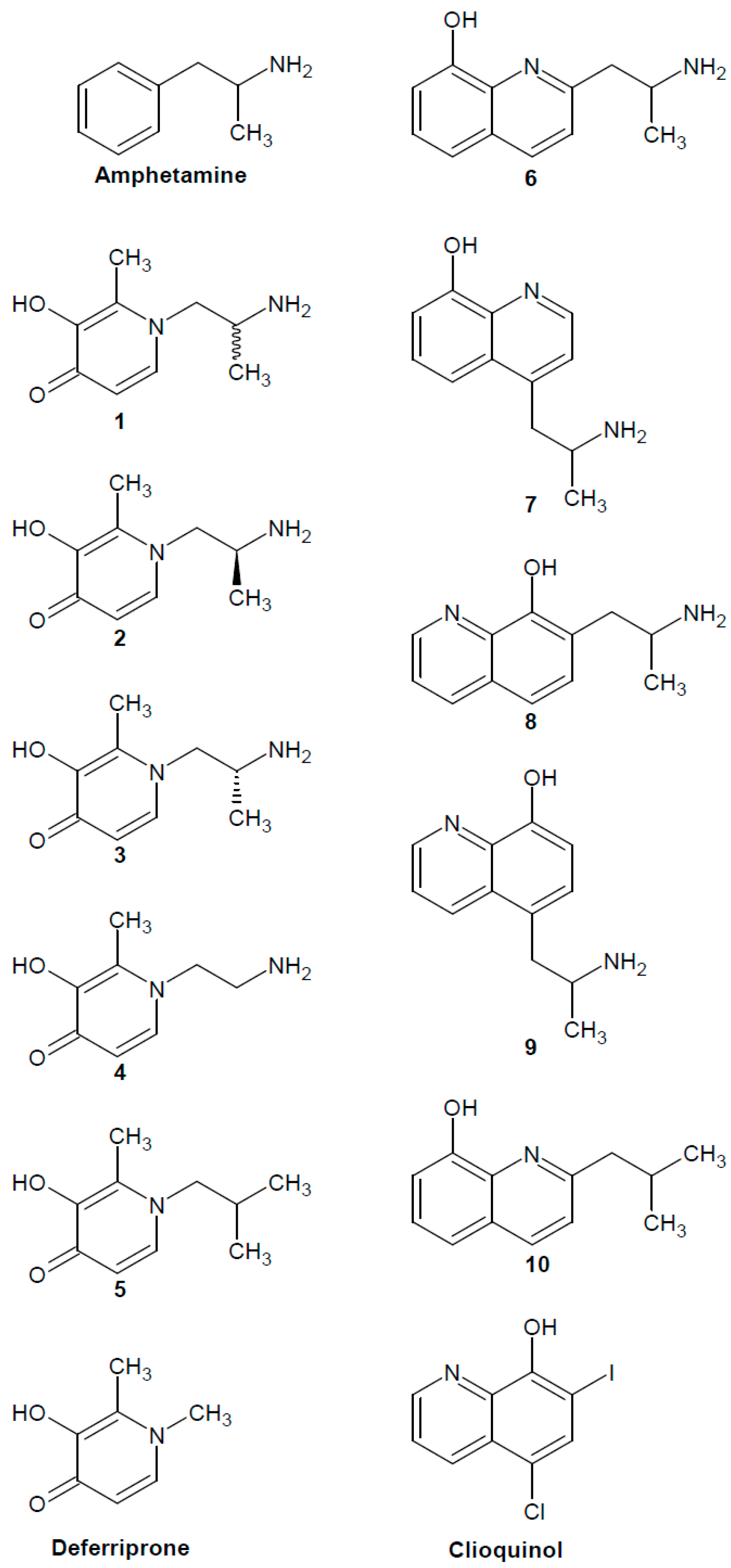
2.1. Design and Synthesis of the Target Compounds
2.2. Iron Chelation
2.3. Anti-Oxidant Activity
2.4. Molecular Dynamics Simulations
3. Materials and Methods
4. Conclusions
Supplementary Materials
Author Contributions
Funding
Data Availability Statement
Acknowledgments
Conflicts of Interest
References
- Foley, P.B.; Hare, D.J.; Double, K.L. A Brief History of Brain Iron Accumulation in Parkinson Disease and Related Disorders. J. Neural Transm. 2022, 129, 505–520. [Google Scholar] [CrossRef] [PubMed]
- Tosato, M.; Di Marco, V. Metal Chelation Therapy and Parkinson’s Disease: A Critical Review on the Thermodynamics of Complex Formation between Relevant Metal Ions and Promising or Established Drugs. Biomolecules 2019, 9, 269. [Google Scholar] [CrossRef]
- Bjorklund, G.; Stejskal, V.; Urbina, M.A.; Dadar, M.; Chirumbolo, S.; Mutter, J. Metals and Parkinson’s Disease: Mechanisms and Biochemical Processes. Curr. Med. Chem. 2018, 25, 2198–2214. [Google Scholar] [CrossRef]
- Belaidi, A.A.; Bush, A.I. Iron Neurochemistry in Alzheimer’s Disease and Parkinson’s Disease: Targets for Therapeutics. J. Neurochem. 2016, 139, 179–197. [Google Scholar] [CrossRef] [PubMed]
- Ward, R.J.; Dexter, D.T.; Martin-Bastida, A.; Crichton, R.R. Is Chelation Therapy a Potential Treatment for Parkinson’s Disease? Int. J. Mol. Sci. 2021, 22, 3338. [Google Scholar] [CrossRef] [PubMed]
- Segura-Aguilar, J.; Paris, I.; Munoz, P.; Ferrari, E.; Zecca, L.; Zucca, F.A. Protective and Toxic Roles of Dopamine in Parkinson’s Disease. J. Neurochem. 2014, 129, 898–915. [Google Scholar] [CrossRef] [PubMed]
- Sun, Y.; Pham, A.N.; Hare, D.J.; Waite, T.D. Kinetic Modeling of pH-Dependent Oxidation of Dopamine by Iron and Its Relevance to Parkinson’s Disease. Front. Neurosci. 2018, 12, 859. [Google Scholar] [CrossRef]
- Do Van, B.; Gouel, F.; Jonneaux, A.; Timmerman, K.; Gele, P.; Petrault, M.; Bastide, M.; Laloux, C.; Moreau, C.; Bordet, R.; et al. Ferroptosis, A Newly Characterized Form of Cell Death in Parkinson’s Disease That Is Regulated by PKC. Neurobiol. Dis. 2016, 94, 169–178. [Google Scholar] [CrossRef]
- Gonzalez-Alcocer, A.; Duarte-Jurado, A.P.; Soto-Dominguez, A.; Loera-Arias, M.J.; Villarreal-Silva, E.E.; Saucedo-Cardenas, O.; de Oca-Luna, R.M.; Garcia-Garcia, A.; Rodriguez-Rocha, H. Unscrambling the Role of Redox-Active Biometals in Dopaminergic Neuronal Death and Promising Metal Chelation-Based Therapy for Parkinson’s Disease. Int. J. Mol. Sci. 2023, 24, 1256. [Google Scholar] [CrossRef]
- Sun, Y.; Pham, A.N.; Waite, T.D. Mechanism Underlying the Effectiveness of Deferiprone in Alleviating Parkinson’s Disease Symptoms. ACS Chem. Neurosci. 2018, 9, 1118–1127. [Google Scholar] [CrossRef]
- Finkelstein, D.I.; Hare, D.J.; Billings, J.L.; Sedjahtera, A.; Nurjono, M.; Arthofer, E.; George, S.; Culvenor, J.G.; Bush, A.I.; Adlard, P.A. Clioquinol Improves Cognitive, Motor Function, and Microanatomy of the Alpha-Synuclein hA53T Transgenic Mice. ACS Chem. Neurosci. 2016, 7, 119–129. [Google Scholar] [CrossRef] [PubMed]
- Nunez, M.T.; Chana-Cuevas, P. New Perspectives in Iron Chelation Therapy for the Treatment of Neurodegenerative Diseases. Pharmaceuticals 2018, 11, 109. [Google Scholar] [CrossRef] [PubMed]
- Aguirre, P.; Mena, N.P.; Carrasco, C.M.; Munoz, Y.; Perez-Henriquez, P.; Morales, R.A.; Cassels, B.K.; Mendez-Galvez, C.; Garcia-Beltran, O.; Gonzalez-Billault, C.; et al. Iron Chelators and Antioxidants Regenerate Neuritic Tree and Nigrostriatal Fibers of MPP+/MPTP-Lesioned Dopaminergic Neurons. PLoS ONE 2015, 10, e0144848. [Google Scholar] [CrossRef] [PubMed]
- Kontoghiorghes, G.J. Deferiprone and Iron-Maltol: Forty Years since Their Discovery and Insights into Their Drug Design, Development, Clinical Use and Future Prospects. Int. J. Mol. Sci. 2023, 24, 4970. [Google Scholar] [CrossRef] [PubMed]
- Bareggi, S.R.; Cornelli, U. Clioquinol: Review of its Mechanisms of Action and Clinical Uses in Neurodegenerative Disorders. CNS Neurosci. Ther. 2012, 18, 41–46. [Google Scholar] [CrossRef]
- Mounsey, R.B.; Teismann, P. Chelators in the Treatment of Iron Accumulation in Parkinson’s Disease. Int. J. Cell Biol. 2012, 2012, 983245. [Google Scholar] [CrossRef]
- Santos, M.A.; Marques, S.M.; Chaves, S. Hydroxypyridinones as “Privileged” Chelating Structures for the Design of Medicinal Drugs. Coord. Chem. Rev. 2012, 256, 240–259. [Google Scholar] [CrossRef]
- Levi, S.; Volonte, M.A. Iron chelation in early Parkinson’s disease. Lancet Neurol. 2023, 22, 290–291. [Google Scholar] [CrossRef]
- Gutbier, S.; Kyriakou, S.; Schildknecht, S.; Uckert, A.K.; Brull, M.; Lewis, F.; Dickens, D.; Pearson, L.; Elson, J.L.; Michel, S.; et al. Design and Evaluation of Bi-functional Iron Chelators for Protection of Dopaminergic Neurons from Toxicants. Arch. Toxicol. 2020, 94, 3105–3123. [Google Scholar] [CrossRef]
- Zheng, H.; Gal, S.; Weiner, L.M.; Bar-Am, O.; Warshawsky, A.; Fridkin, M.; Youdim, M.B. Novel Multifunctional Neuroprotective Iron Chelator-Monoamine Oxidase Inhibitor Drugs For Neurodegenerative Diseases: In Vitro Studies On Antioxidant Activity, Prevention Of Lipid Peroxide Formation And Monoamine Oxidase Inhibition. J. Neurochem. 2005, 95, 68–78. [Google Scholar] [CrossRef]
- Zheng, H.; Weiner, L.M.; Bar-Am, O.; Epsztejn, S.; Cabantchik, Z.I.; Warshawsky, A.; Youdim, M.B.H.; Fridkin, M. Design, synthesis, and evaluation of novel bifunctional iron-chelators as potential agents for neuroprotection in Alzheimer’s, Parkinson’s, and other neurodegenerative diseases. Bioorg. Med. Chem. 2005, 13, 773–783. [Google Scholar] [CrossRef] [PubMed]
- Kupershmidt, L.; Youdim, M.B.H. The Neuroprotective Activities of the Novel Multi-Target Iron-Chelators in Models of Alzheimer’s Disease, Amyotrophic Lateral Sclerosis and Aging. Cells 2023, 12, 763. [Google Scholar] [CrossRef]
- Pierre, J.-L.; Baret, P.; Serratrice, G. Hydroxyquinolines as Iron Chelators. Curr. Med. Chem. 2003, 10, 1077–1084. [Google Scholar] [CrossRef] [PubMed]
- Scarrow, R.C.; Riley, P.E.; Abu-Dari, K.; White, D.L.; Raymond, K.N. Ferric Ion Sequestering Agents. 13. Synthesis, Structures, and Thermodynamics of Complexation of Cobalt(III) and Iron(III) Tris Complexes of Several Chelating Hydroxypyridinones. Inorg. Chem. 1985, 24, 954–967. [Google Scholar] [CrossRef]
- Boroujeni, H.C.; Gharib, F. Thermodynamic Investigation on Acid-base Equilibria of Deferiprone and Deferasirox at Different Ionic Strengths and Various Temperatures. J. Chem. Thermodyn. 2016, 103, 366–373. [Google Scholar] [CrossRef]
- Chan, S.H.; Chui, C.H.; Chan, S.W.; Kok, S.H.; Chan, D.; Tsoi, M.Y.; Leung, P.H.; Lam, A.K.; Chan, A.S.; Lam, K.H.; et al. Synthesis of 8-Hydroxyquinoline Derivatives as Novel Antitumor Agents. ACS Med. Chem. Lett. 2013, 4, 170–174. [Google Scholar] [CrossRef]
- Ding, X.; Zhang, F.; Bai, Y.; Zhao, J.; Chen, X.; Ge, M.; Sun, W. Quinoline-based Highly Selective and Sensitive Fluorescent Probe Specific for Cd2+ Detection in Mixed Aqueous Media. Tetrahedron Lett. 2017, 58, 3868–3874. [Google Scholar] [CrossRef]
- Fan, L.; Jiang, X.-h.; Wang, B.-d.; Yang, Z.-y. 4-(8′-Hydroxyquinolin-7′-yl)methyleneimino-1-phenyl-2,3-dimethyl-5-pyzole as a Fluorescent Chemosensor for Aluminum Ion in Acid Aqueous Medium. Sens. Actuators B 2014, 205, 249–254. [Google Scholar] [CrossRef]
- Liu, G.; Liu, X.; Cai, Z.; Jiao, G.; Xu, G.; Tang, W. Design of Phosphorus Ligands with Deep Chiral Pockets: Practical Synthesis of Chiral beta-Arylamines by Asymmetric Hydrogenation. Angew. Chem. Int. Ed. Engl. 2013, 52, 4235–4238. [Google Scholar] [CrossRef]
- Basak, A.; Abouelhassan, Y.; Norwood IV, V.M.; Bai, F.; Nguyen, M.T.; Jin, S.; Huigens, R.W., III. Synthetically Tuning the 2-Position of Halogenated Quinolines: Optimizing Antibacterial and Biofilm Eradication Activities via Alkylation and Reductive Amination Pathways. Chemistry 2016, 22, 9181–9189. [Google Scholar] [CrossRef]
- Ramsaywack, S.; Vogels, C.M.; Ricker, S.L.; Westcott, S.A.; Barclay, L.R.C. Pyridinones Are Not Antioxidants As Shown by Kinetics of Free Radical Autoxidation, but They Prevent Radical Oxidations Catalyzed by Toxic Heavy Metals. Chem. Res. Toxicol. 2013, 26, 399–409. [Google Scholar] [CrossRef] [PubMed]
- Chobot, V.; Hadacek, F.; Bachmann, G.; Weckwerth, W.; Kubicova, L. Antioxidant Properties and the Formation of Iron Coordination Complexes of 8-Hydroxyquinoline. Int. J. Mol. Sci. 2018, 19, 3917. [Google Scholar] [CrossRef]
- Jamieson, A.G.; Boutard, N.; Sabatino, D.; Lubell, W.D. Peptide Scanning for Studying Structure-activity Relationships in Drug Discovery. Chem. Biol. Drug. Des. 2013, 81, 148–165. [Google Scholar] [CrossRef]
- Sharma, O.P.; Bhat, T.K. DPPH Antioxidant Assay Revisited. Food Chem. 2009, 113, 1202–1205. [Google Scholar] [CrossRef]
- Mostyn, S.N.; Wilson, K.A.; Schumann-Gillett, A.; Frangos, Z.J.; Shimmon, S.; Rawling, T.; Ryan, R.M.; O’Mara, M.L.; Vandenberg, R.J. Identification of an Allosteric Binding Site on the Human Glycine Transporter, GlyT2, for Bioactive Lipid Analgesics. eLife 2019, 8, 47150. [Google Scholar] [CrossRef] [PubMed]
- Kelley, L.A.; Mezulis, S.; Yates, C.M.; Wass, M.N.; Sternberg, M.J. The Phyre2 Web Portal for Protein Modeling, Prediction and Analysis. Nat. Protoc. 2015, 10, 845–858. [Google Scholar] [CrossRef] [PubMed]
- Penmatsa, A.; Wang, K.H.; Gouaux, E. X-ray Structure of Dopamine Transporter Elucidates Antidepressant Mechanism. Nature 2013, 503, 85–90. [Google Scholar] [CrossRef]
- Trott, O.; Olson, A.J. AutoDock Vina: Improving the Speed and Accuracy of Docking with a New Scoring Function, Efficient Optimization, and Multithreading. J. Comput. Chem. 2010, 31, 455–461. [Google Scholar] [CrossRef]
- Abraham, M.J.; Murtola, T.; Schulz, R.; Páll, S.; Smith, J.C.; Hess, B.; Lindahl, E. GROMACS: High Performance Molecular Simulations Through Multi-level Parallelism from Laptops to Supercomputers. SoftwareX 2015, 1–2, 19–25. [Google Scholar] [CrossRef]
- Malde, A.K.; Zuo, L.; Breeze, M.; Stroet, M.; Poger, D.; Nair, P.C.; Oostenbrink, C.; Mark, A.E. An Automated Force Field Topology Builder (ATB) and Repository: Version 1.0. J. Chem. Theory Comput. 2011, 7, 4026–4037. [Google Scholar] [CrossRef]
- Páll, S.; Abraham, M.J.; Kutzner, C.; Hess, B.; Lindahl, E. Tackling Exascale Software Challenges in Molecular Dynamics Simulations with GROMACS. In Solving Software Challenges for Exascale; Markidis, S., Laure, E., Eds.; Springer International Publishing: Cham, Switzerland, 2015; pp. 3–27. [Google Scholar]
- Humphrey, W.; Dalke, A.; Schulten, K. VMD: Visual Molecular Dynamics. J. Mol. Graph. Modell. 1996, 14, 33–38. [Google Scholar] [CrossRef] [PubMed]






| Compound | n (L:Fe) | Kd (μM) | Ka = 1/Kd (μM−1) | ΔGapp (kcal/mol) | ΔH⁰app (kcal/mol) | TΔS⁰app (kcal/mol) |
|---|---|---|---|---|---|---|
| 1 | 2.94 | 66 ± 17 | 0.015 | −5.7 | −7.7 ± 0.8 | −2.0 |
| 2 | 2.91 | 62 ± 28 | 0.016 | −5.7 | −7.8 ± 2.6 | −2.1 |
| 3 | 3.03 | 63 ± 26 | 0.016 | −5.7 | −9.7 ± 1.7 | −3.9 |
| 4 | 3.01 | 34 ± 21 | 0.029 | −6.1 | −6.3 ± 1.3 | −0.20 |
| 5 | 3.03 | 52 ± 24 | 0.019 | −5.8 | −9.8 ± 1.6 | −4.0 |
| 6 | 2.99 | 5.0 ± 1.7 | 0.20 | −7.2 | −17 ± 0.6 | −9.5 |
| 7 | 2.63 | 9.0 ± 2.7 | 0.11 | −6.9 | −17 ± 1.3 | −9.6 |
| 8 | 2.67 | 8.1 ± 2.4 | 0.12 | −7.0 | −11 ± 0.4 | −4.0 |
| 9 | 2.93 | 8.6 ± 2.1 | 0.12 | −6.9 | −15 ± 1.0 | −7.7 |
| Concentration → Compound ↓ | 100 µM | 300 µM | 500 µM | 700 µM | 900 µM | EC50 (µM) |
|---|---|---|---|---|---|---|
| Ascorbic acid | 85 (max) | |||||
| 1 | 0.28 | 4.74 | 8.13 | 13.14 | 21.00 | 540 |
| 2 | 1.08 | 8.53 | 15.04 | 18.42 | 23.03 | 390 |
| 3 | 5.01 | 9.21 | 13.41 | 19.51 | 24.11 | 500 |
| 4 | 0.56 | 1.13 | 4.87 | 7.31 | 11.38 | 710 |
| 5 | 1.13 | 1.14 | 2.30 | 4.87 | 7.04 | 640 |
| 6 | 26.28 | 60.16 | 61.11 | 58.40 | 60.56 | 120 |
| 7 | 16.53 | 34.28 | 48.23 | 54.74 | 53.52 | 220 |
| 8 | 38.48 | 61.24 | 59.07 | 58.53 | 57.99 | 80 |
| 9 | 11.92 | 29.26 | 39.83 | 48.78 | 54.06 | 300 |
Disclaimer/Publisher’s Note: The statements, opinions and data contained in all publications are solely those of the individual author(s) and contributor(s) and not of MDPI and/or the editor(s). MDPI and/or the editor(s) disclaim responsibility for any injury to people or property resulting from any ideas, methods, instructions or products referred to in the content. |
© 2024 by the authors. Licensee MDPI, Basel, Switzerland. This article is an open access article distributed under the terms and conditions of the Creative Commons Attribution (CC BY) license (https://creativecommons.org/licenses/by/4.0/).
Share and Cite
El Safadi, M.; Wilson, K.A.; Strudwicke, I.J.; O’Mara, M.L.; Bhadbhade, M.; Rawling, T.; McDonagh, A.M. Amphetamine-like Deferiprone and Clioquinol Derivatives as Iron Chelating Agents. Molecules 2024, 29, 4213. https://doi.org/10.3390/molecules29174213
El Safadi M, Wilson KA, Strudwicke IJ, O’Mara ML, Bhadbhade M, Rawling T, McDonagh AM. Amphetamine-like Deferiprone and Clioquinol Derivatives as Iron Chelating Agents. Molecules. 2024; 29(17):4213. https://doi.org/10.3390/molecules29174213
Chicago/Turabian StyleEl Safadi, Mahmoud, Katie A. Wilson, Indigo J. Strudwicke, Megan L. O’Mara, Mohan Bhadbhade, Tristan Rawling, and Andrew M. McDonagh. 2024. "Amphetamine-like Deferiprone and Clioquinol Derivatives as Iron Chelating Agents" Molecules 29, no. 17: 4213. https://doi.org/10.3390/molecules29174213
APA StyleEl Safadi, M., Wilson, K. A., Strudwicke, I. J., O’Mara, M. L., Bhadbhade, M., Rawling, T., & McDonagh, A. M. (2024). Amphetamine-like Deferiprone and Clioquinol Derivatives as Iron Chelating Agents. Molecules, 29(17), 4213. https://doi.org/10.3390/molecules29174213

