Abstract
Lamellarins are natural products with a [3,4]-fused pyrrolocoumarin skeleton possessing interesting biological properties. More than 70 members have been isolated from diverse marine organisms, such as sponges, ascidians, mollusks, and tunicates. There is a continuous interest in the synthesis of these compounds. In this review, the synthetic strategies for the synthesis of the title compounds are presented along with their biological properties. Three routes are followed for the synthesis of lamellarins. Initially, pyrrole derivatives are the starting or intermediate compounds, and then they are fused to isoquinoline or a coumarin moiety. Second, isoquinoline is the starting compound fused to an indole moiety. In the last route, coumarins are the starting compounds, which are fused to a pyrrole moiety and an isoquinoline scaffold. The synthesis of isolamellarins, azacoumestans, isoazacoumestans, and analogues is also described. The above synthesis is achieved via metal-catalyzed cross-coupling, [3 + 2] cycloaddition, substitution, and lactonization reactions. The title compounds exhibit cytotoxic, multidrug resistance (MDR), topoisomerase I-targeted antitumor, anti-HIV, antiproliferative, anti-neurodegenerative disease, and anti-inflammatory activities.
1. Introduction
Coumarin (2H-1-benzopyran-2-one) derivatives are widely distributed in nature as secondary metabolites from plants, bacteria, fungi, and marine microorganisms [1,2,3,4,5,6,7,8,9,10,11]. Different derivatives of coumarins, natural or synthetic, possess diverse biological properties [12,13], such as anticancer [14,15], anti-inflammatory [16,17], anticoagulant [18,19], anti-HIV [20,21], antidiabetic [22,23], antibiotic [24,25], antitubercular [26,27], neuroprotective [28,29], etc. Fused coumarins also possess biological activities, and many of them, like furocoumarins [30,31], pyranocoumarins [32], pyridocoumarins [33,34], or pyrrolocoumarins [34,35,36], are isolated from nature. Fused pyrrolocoumarins present interesting biological activities, such as cytotoxic [37,38], antioxidant [39], anti-inflammatory [39,40], multidrug resistance (MDR) reversal [37], and act as benzodiazepine receptor (BZR) ligands [41,42], angiogenesis inhibitors [43], DYRK1A inhibitors [37,44], Wnt signaling inhibitors [45], or fluorescent sensors for live cell imaging [46]. The classes of lamellarins (Figure 1) and their related compounds (Figure 2) are the most important among [3,4]-fused pyrrolocoumarins. Lamellarins have been isolated from diverse marine organisms, such as sponges, ascidians, mollusks, and tunicates, and they are divided into two main groups [47,48,49,50,51]. Type I contains a fused pyrrole ring, while type II has a non-fused pyrrole ring (e.g., lamellarins Q and R). Type I lamellarins involve compounds with the fused piperidine ring being saturated (type Ia) (e.g., lamellarins A, C, G, J, etc.) or with an unsaturated piperidine ring (type Ib) (e.g., lamellarins B, W, D, H, etc.).
Figure 1.
Lamellarins found in nature.
Figure 2.
Lamellarin’s related compounds with biological interest.
More than 70 members of the family of lamellarins have now been isolated. In more detail, lamellarins A–D (Figure 1) were isolated in 1985 from the methanol extracts of the marine prosobranch mollusk, Lamellaria sp., by Faukner, Clardy, and coworkers [52]. Lamellarins E–H were identified in 1988 during the chemical investigation of the marine ascidian Didemnum chartaceum from the Indian Ocean by Fenical, Clardy et al. [53]. Lamellarins I–M and lamellarin N triacetate were isolated in 1993 by Caroll et al. from the marine ascidian Didemnum sp. collected at Southwest Cay, off the North Queensland coast [54]. Lamellarins Q and R were obtained in 1995 by Capon and coworkers from a specimen of Dendrila Cactos collected near the coast of New South Wales [55]. In 1996, an Australian tunicate Didemnum sp., collected near Duras, New South Wales, yielded the enantiomerically enriched lamellarin S, as reported by Urban and Capon [56]. Lamellarins T–X along with lamellarin Y 20-sulfate were isolated in 1997 by Faukner, Venkateswarlu, and coworkers from an unidentified ascidian (collection # IIC-197) collected in the Arabian Sea [57]. The same group presented the isolation of lamellarin E 20-sulfate and lamellarin α 20-sulfate from the same source in 1999 [58]. In 1999 also, Davis et al. described the isolation of lamellarin Z and lamellarins B 20-sulfate, C 20-sulfate, L 20-sulfate, and G 8-sulfate from the Australian Great Barrier Reef ascidian, Didemnum chartaceum [59]. In 2002, lamellarin β was isolated by Ham and Kang from a marine ascidian, Didemnum sp., collected in the Indian Ocean [60]. In 2004, Venkateswarlu and coworkers reported the isolation of lamellarins α, γ, and e from the Indian ascidian Didemnum obscurum [61]. Lamellarins ζ, η, φ, and χ were also isolated by the same group in 2005 from the Indian tunicate Didemnum obscurum [62]. In 2012, lamellarins A1, A2, A3, A4, and A5 were identified by Capon and coworkers during the chemical analysis of Didemnum sp. (CMB-01656) collected near Wasp Island, New South Wales, while lamellarin A6 was isolated from another Didemnum sp. (CMB-02127) collected from the Northern Rottnest Shelf, Western Australia [63]. In 2019, Bracegirdle et al. presented the isolation of lamellarins D 8-sulfate, E 20-sulfate, K 20-sulfate, A3 20-sulfate, B1 20-sulfate, and B2 20-sulfate from the methanolic extract of Pacific tunicate Didemnum ternerratum, collected from the Kingdom of Tonga [64].
Ningalins A and B (Figure 2) were isolated, in 1997, by Kang and Fenical from the methanol/chloroform extracts of an ascidian of the genus Didemnum collected in Western Australia near Ningaloo Reef [65]. Ningalins E and F were identified in 2012 by Capon and coworkers as components of a Didemnum sp. (CMB-02127) collected from the Northern Rottnest Shelf, Western Australia, after its chemical analysis [66]. Baculiferin O was isolated along with other baculiferins, in 2010, by Fan et al. from the Chinese marine sponge lotrochota baculifera [67]. The above-mentioned natural products, lamellarins and ningalins, present interesting biological activities, such as cytotoxic, immunomodulatory, anti-HIV-1 virus, antioxidant, antibacterial, and multidrug resistance (MDR) reversal [52,54,57,58,60,61,62,63,64,66,67]. Furthermore, they present promising kinase inhibitory properties [66].
The fused pyrrolo[3,2-c]coumarin and pyrrolo[3,4-c]coumarin are the core moieties of biologically active isolamellarin A, azacoumestans, and isolamellarin B, respectively (Figure 2) [36,68,69]. In the literature, lamellarins appear in a small number of specific reviews [48,50,51,70,71,72,73,74] or as part of a few reviews [1,36,49,75]. Azacoumestans are also presented in two reviews [36,69]. Herein, we present an overview of the advances demonstrated in the literature on the synthesis and biological evaluation of lamellarins, isolamellarins, and azacoumestans. First, the design and synthesis of those derivatives will be presented, followed by their biological properties.
2. Synthetic Strategies for the Preparation of Lamellarins and Related Compounds
The synthetic methods will be presented separately in three parts involving lamellarins, isolamellarins, and azacoumestans, respectively. Similar reaction strategies are used to build pyrrole, isoquinoline, or coumarin rings of those compounds, such as metal-catalyzed cross-coupling, [3 + 2] cycloaddition, substitution, lactonization, cyclocondensation, multicomponent reactions, or N-ylide-mediated pyrrole ring formation.
2.1. Synthesis of Lamellarins
The synthesis of lamellarins was achieved mainly by pyrrole derivatives or isoquinoline derivatives as starting or intermediate compounds. In a few cases, coumarin derivatives were utilized as starting compounds.
2.1.1. Synthesis Using Pyrrole Derivatives
In 1997, the research group of Prof. Steglich synthesized lamellarin G trimethyl ether (5) in 33% total yield in a biomimetic synthesis [76]. Oxidative coupling of two molecules of 3-(3,4-dimethoxyphenyl) pyruvic acid (1) furnished intermediate A, which in a cyclocondensation reaction with 2-phenylethylamine 2 furnished the pyrrole derivative 3 (Scheme 1). Treatment of 3 with Pb(OAc)4 afforded pyrrolo[2,3-c]coumarin derivative 4. Intramolecular Pd-catalyzed Heck coupling reaction of the latter under elimination of CO2 resulted in the formation of isoquinoline moiety of lamellarin G trimethyl ether (5).
Scheme 1.
Synthesis of lamellarin G trimethyl ether (5).
In 1998, Banwell et al. reported the synthesis of lamellarin framework 15 [77]. The synthesis started from the reaction of pyrrole (6) with trichloroacetyl chloride to trichloroacetyl derivative 7, which reacted with iodine in the presence of CF3CO2Ag to provide 4-iodinated adduct 8 (Scheme 2). Hydrolysis of the latter provided acid 9. The corresponding chloride 10 by reaction with o-bromophenol furnished ester 11. Alkylation at nitrogen of 11 with tosylate 12 yielded tri-substituted pyrrole 13. A Negishi cross-coupling of the latter with phenylzinc chloride chemoselectively afforded derivative 14 with 47% overall yield during the above steps. Double Heck cross-coupling reactions of 14 in the presence of Pd(OAc)2, PPh3, and NaOAc as base at 135 °C resulted in the final product 15 in low yield, 16%.
Scheme 2.
Synthesis of lamellarin framework 15.
The next year, Boger et al., prepared ningalin A (22) using a heterocyclic azadiene Diels–Alder strategy for the construction of pyrrole core [78]. Double Stille cross-coupling of 1-bromo-4,5-dimethoxy-2-(methoxymethoxy)benzene (16) with bis-(tributylstannyl)acetylene provided diarylacetylene 17 (Scheme 3). Diels–Alder cycloaddition reaction of 17 with tetrazine derivative afforded diazine adduct 18. Reductive ring contraction of the latter with zinc furnished pyrrole derivative 19. Deprotection of MOM ethers with HCl led to monolactone 20, which with the more forcing conditions of DBU resulted in tetramethyl ningalin A (21). Treatment with BBr completed the total synthesis of ningalin A (22) in 39% total yield.
Scheme 3.
Total synthesis of ningalin A (22).
In cytotoxicity test against L1210 cytotoxic assay, ningalin A was found to be weakly active.
In 2000, Boger et al. again used the heterocyclic azadiene Diels–Alder cycloaddition reaction for the synthesis of ningalin B (34) [79]. Sonogashira cross-coupling of acetylene 23 with aldehyde 24 provided alkyne derivative 25, which by Baeyer–Villinger oxidation and protection of the formed phenol with MOMCl afforded derivative 26 (Scheme 4). Diels–Alder cycloaddition reaction with tetrazine derivative furnished diazine adduct 27. Reductive ring contraction of the latter with zinc provided pyrrole 28, which upon N-alkylation with aryl ethyl bromide 29 resulted in 30. Lactonization of 30 led to coumarin derivative 31. Selective hydrolysis afforded acid 32 and decarboxylation with Cu2O in quinoline furnished hexamethyl ningalin B (33). Demethylation with BBr3 provided the product ningalin B (34) in 16% total yield. Compounds 30, 31, and 33 reversed the multidrug-resistant (MDR) phenotype, resensitizing a human colon cancer cell line (HCT116/VM46) to vinblastine and doxorubicin.
Scheme 4.
Total synthesis of ningalin B (34).
The same year, Peschko et al. again used aryl puruvic acid derivatives 35, 36, and aryl ethyl amine 37 for the construction of pyrrole moiety 38 via cyclocondensation for the synthesis of lamellarin L (43) in 38% total yield [80]. Selective hydrolysis of methyl ester of 38 to derivative 39 was achieved by heating in a suspension of NaCN in 1,3-dimethyl-3,4,5,6-tetrahydropyrimidin-2(1H)-one (DMPU) (Scheme 5). Oxidation of pyrrole 39 with Pb(OAc)4 afforded pyrrolo[2,3-c]coumarin derivative 40. Hydrolysis of the latter, to give adduct 41, followed by intramolecular Pd-catalyzed Heck cross-coupling reaction, and elimination of CO2 furnished the isoquinoline moiety 42. Finally, treatment of 42 with AlCl3 removed the isopropyl groups producing lamellarin L (43).
Scheme 5.
Total synthesis of lamellarin L (43).
Bullington et al. prepared ningalin B (34) in excellent yield, 90%, starting from pyrrole derivative 45 [81]. Pyrrole 45 is analogous to Furstner intermediate 47 [82], prepared by a [3 + 2] cycloaddition reaction of methyl isocyanoacetate with α,β-unsaturated nitrile 44 (Scheme 6).
Scheme 6.
Total synthesis of ningalin B (34).
In 2003, Gupton et al. provided an alternative pathway for the synthesis of ningalin B hexamethyl ether (33) in 18% overall yield, acting as multidrug reversal (MDR) agent [83]. The trisubstituted pyrrole derivative 52, analogous to Furstner intermediate 47, was prepared regioselectively starting from desoxyveratroin (48) (Scheme 7). The latter after reaction with N,N-dimethyl formamide dimethyl acetal furnished enamine 49, which upon chlorination with POCl3 to 50 and hydrolysis afforded β-chloroenal 51. Reaction of 51 with glycine methyl ester hydrochloride resulted in pyrrole 52 via the vinylogous iminium salt intermediate A and internal 1,3-dipolar cycloaddition reaction to dihydro pyrrole B. Alkylation of pyrrole 52 with mesylate ester 53 provided N-aryl ethyl pyrrole 54, which upon basic hydrolysis led to acid 55. Oxidation of the latter with lead tetraacetate, as in Scheme 1, resulted in ningalin B hexamethyl ether (33).
Scheme 7.
Synthesis of ningalin B hexamethyl ether (33).
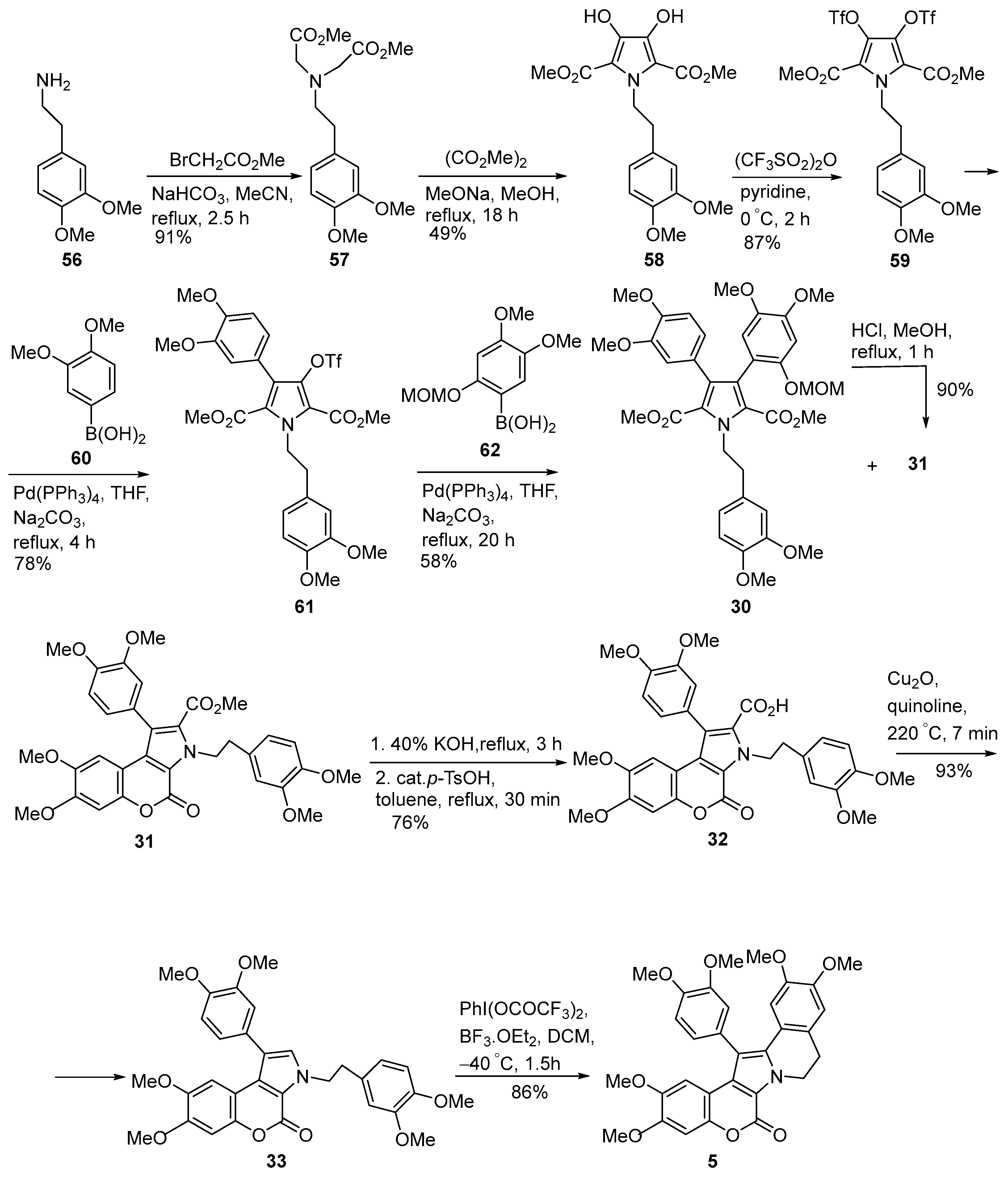
The same year, Iwao et al. achieved the synthesis of ningalin B hexamethyl ether (33) in 13.1% overall yield and lamellarin G trimethyl ether (5) in 11.3% overall yield using as key reactions the Hinsberg-type pyrrole 58 synthesis and the palladium-catalyzed Suzuki cross-coupling of 3,4-dihydroxypyrrole bis-triflate derivative 59 [84]. The Hinsberg-type cyclocondensation of aminodiacetate 57 with methyl oxalate provided the 3,4-dihydroxypyrrole derivative 58, which afforded 3,4-bis-triflate adduct 59 (Scheme 8). Pd-catalyzed Suzuki cross-coupling of the latter with arylboronic acid 60 furnished 4-arylpyrrole derivative 61, which with a second Suzuki coupling with arylboronic acid 62 led to 3,4-diarylpyrrole compound 30 and coumarin derivative 31. Derivative 30 by treatment with hydrochloric acid resulted also in coumarin compound 31. Hydrolysis of 31 to 32 followed by decarboxylation led to ningalin B hexamethyl ether (33). Treatment of the latter with phenyliodine bis(trifluoroacetate) (PIFA) provided lamellarin G trimethyl ether (5).
Scheme 8.
Synthesis of ningalin B hexamethyl ether (33) and lamellarin G trimethyl ether (5).
Handy et al. reported the synthesis of lamellarin G trimethyl ether (5) in 11 steps and 9% total yield using three sequential halogenation/Suzuki cross-coupling reactions [85]. Protection of bromopyrrole derivative 63 with (Boc)2O and cross-coupling of the adduct 64 with excess of boronic acid 60 furnished arylpyrrole compound 65 (Scheme 9). Bromination with NBS regioselectively to bromopyrrole 66 followed by Suzuki coupling with boronic acid 67, without the protection of hydroxy group, afforded 4,5-diarylpyrrole derivative 68. Intramolecular alkylatioin through the corresponding tosylate led to isoquinoline derivative 69. Bromination of the latter to 70 and Suzuki coupling with excess of boronic acid 71, added in two portions, resulted in lamellarin G trimethyl ether (5).
Scheme 9.
Synthesis of lamellarin G trimethyl ether (5).
Pla et al. [86] synthesized the cytotoxic lamellarin D (84) in 8 steps and 18% overall yield from methyl pyrrole-2-carboxylate (72) using sequential bromination/Suzuki cross-coupling reactions like the above-mentioned procedure by Handy [85]. N-alkylation of 72 with tosylate 73 followed by Heck cross-coupling and cyclization furnished dihydroisoquinoline framework 74 (Scheme 10). Regioselective bromination with NBS provided bromopyrrole 75, which under Suzuki cross-coupling with boronic ester 76 afforded 4-arylpyrrole adduct 77. Protection of phenol 77 to provide 78 and bromination to 79 followed by Suzuki coupling with boronate 80 led to 3,4-diarylpyrrole derivative 81. Oxidation with DDQ produced isoquinoline derivative 82, which by deprotection to 83 and cyclization resulted in the formation of coumarin moiety of lamellarin D (84).
Scheme 10.
Synthesis of lamellarin D (84).
Lamellarin D (84) was earlier reported to have good cytotoxic activity against different human tumor cell lines and to be a lead candidate for the development of topoisomerase I-targeted antitumor agents [87].
Fujikawa et al. presented [88] the synthesis of lamellarins D (84), L (43), and N (100) in 54, 58, and 50% yields, respectively, from their common precursor 85 using the procedure utilized earlier (Scheme 8) from their group [84]. Pyrrole derivative 85 was prepared by Hinsberg-type pyrrole synthesis [88], and Suzuki cross-coupling with boronic acids 86 or 87 provided monoaryl pyrrole derivatives 88 or 89, respectively (Scheme 11). A second Suzuki coupling with boronic acid 90 followed by treatment with HCl afforded coumarin adducts 91 or 92, which by hydrolysis furnished acids 93 or 94. Decarboxylation of 95 or 96 followed by oxidative cyclization by PIFA led to 97 or 42. Oxidation by DDQ provided isoquinoline products 98 or 99 and by deprotection of isopropoxy group by BCl3 resulted in lamellarin D (84) or lamellarin N (100). The corresponding deprotection of 42 produced lamellarin L (43). Treatment of 93 or 94 with palladium acetate also provided dihydroisoquinoline derivatives 97 or 42.
Scheme 11.
Synthesis of lamellarins D (84), L (43), and N (100).
The same group also reported the synthesis of lamellarin α 20-sulfate (112), selective inhibitor of HIV-1 integrase, in 24% total yield in a process similar to that mentioned above using as starting compound pyrrole derivative 59 [89]. Suzuki cross-coupling with boronic acid 87 provided 4-arylpyrrole adduct 101 and a second cross-coupling with boronic acid 102 led to 3,4-diarylpyrrole derivative 103 (Scheme 12). Treatment of the latter with concentrated HCl afforded coumarin derivative 104, which upon hydrolysis to 105 followed by decarboxylation to 106 and oxidative cyclization furnished dihydroisoquinoline derivative 107. Oxidation by DDQ produced isoquinoline adduct 108. Sequential deprotection of benzyl group upon hydrogenolysis under Pd-C to 109, reaction with trichloroethyl chlorosulfate to 110, selective deprotection of isopropyl group with BCl3 to 111, and finally reductive deprotection of trichloroethyl ester with Zn/HCO2NH4 followed by ion exchange under Amberlite resulted in lamellarin α 20-sulfate (112).
Scheme 12.
Synthesis of lamellarin α 20-sulfate (112).
Peschko et al. developed the synthesis of marine alkaloids ningalin B (34), lamellarin G (123), and lamellarin K (124) in 52%, 56%, and 37% overall yields, respectively, utilizing as key step their earlier-applied method for the formation of 3,4-diarylpyrrole-2,5-dicarboxylic acids 113, 117, and 118 by cyclocondensation from arylpuruvic acids 1, 114, and 115 and 2-arylethylamines 56, 37, and 116, respectively [90]. Oxidation of acids 113, 117, and 118 by lead tetraacetate led to coumarin derivatives 32, 119, and 120 (Scheme 13). Decarboxylation of 32 with copper chromite to 33 and deprotection with BBr3 resulted in ningalin B (34). Palladium-catalyzed Heck reaction and cyclization of 119 and 120 afforded the pentacyclic lamellarin derivatives 121 and 122, respectively. Selective deprotection of isopropyl group of compounds 121 and 122 under treatment with aluminum trichloride resulted in lamellarin G (123) and lamellarin K (124), respectively.
Scheme 13.
Synthesis of ningalin B (34), lamellarin G (123), and lamellarin K (124).
In 2009, Gupton et al. presented an alternative procedure for the synthesis of Steglich synthon 3 (Scheme 1), intermediate for the formation of lamellarin G trimethyl ether (5) [91]. The reaction of β-chloroenal 51 with alkyl glycine ester 125 to tetra-substituted pyrrole 126 was the key step for the construction of Steglish synthon 3 (Scheme 14). Vilsmeyer–Haack–Arnold formylation under microwave irradiation provided pyrrole derivative 127, which by oxidation with sodium chlorite to 128 and hydrolysis afforded 3. Ningalin B hexamethyl ether (33) was also synthesized by the reaction of aldehyde 51 with glycine ester 129 to pyrrole derivative 130, followed by hydrolysis to pyrrole-2-carbocylic acid 55, which by oxidation with lead tetraacetate resulted in product 33.
Scheme 14.
Synthesis of lamellarin G trimethyl ether (5) and ningalin B hexamethyl ether (33).
The same year, Ohta et al. designed and synthesized the analogues of lamellarin D 140 and 144a–h as inhibitors of topoisomerase I [92]. The key pentacycle intermediate 138 was obtained by intramolecular Heck reaction of pyrrolo[2,3-c]coumarin derivative 137 (Scheme 15). The synthesis started from bromination of pyrrole 131 to 132 followed by selective lithiation and reaction with methyl chloroformate to provide pyrrole derivative 133. Palladium-catalyzed Suzuki cross-coupling reaction with 90 afforded 134, which by hydrolysis and cyclization provided the coumarin derivative 135. N-alkylation led to the intermediate compound 137. Oxidation of 138 to isoquinoline derivative 139 and selective deprotection of isopropoxy group with BCl3 resulted in the non-substituted lamellarin D analogue 140. Reaction with electrophiles of 139 provided derivatives 141a–e in 53–99% yields. Suzuki cross-coupling of bromo derivative 141a with boronic acids 142a–e furnished derivatives 98 and 143a–d in 69–82% yields. Selective deprotection of intermediates 141a–e and 143a,c,d resulted in the lamellarin D analogues 144a–h.
Scheme 15.
Synthesis of 140 and 144a–h, analogues of lamellarin D.
Derivatives 140 and 144a–e,h were tested for their antiproliferative activity and found to be as potent as parent compound lamellarin D (84) against 39 different human cancer cell lines [93].
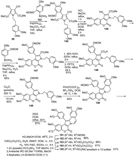
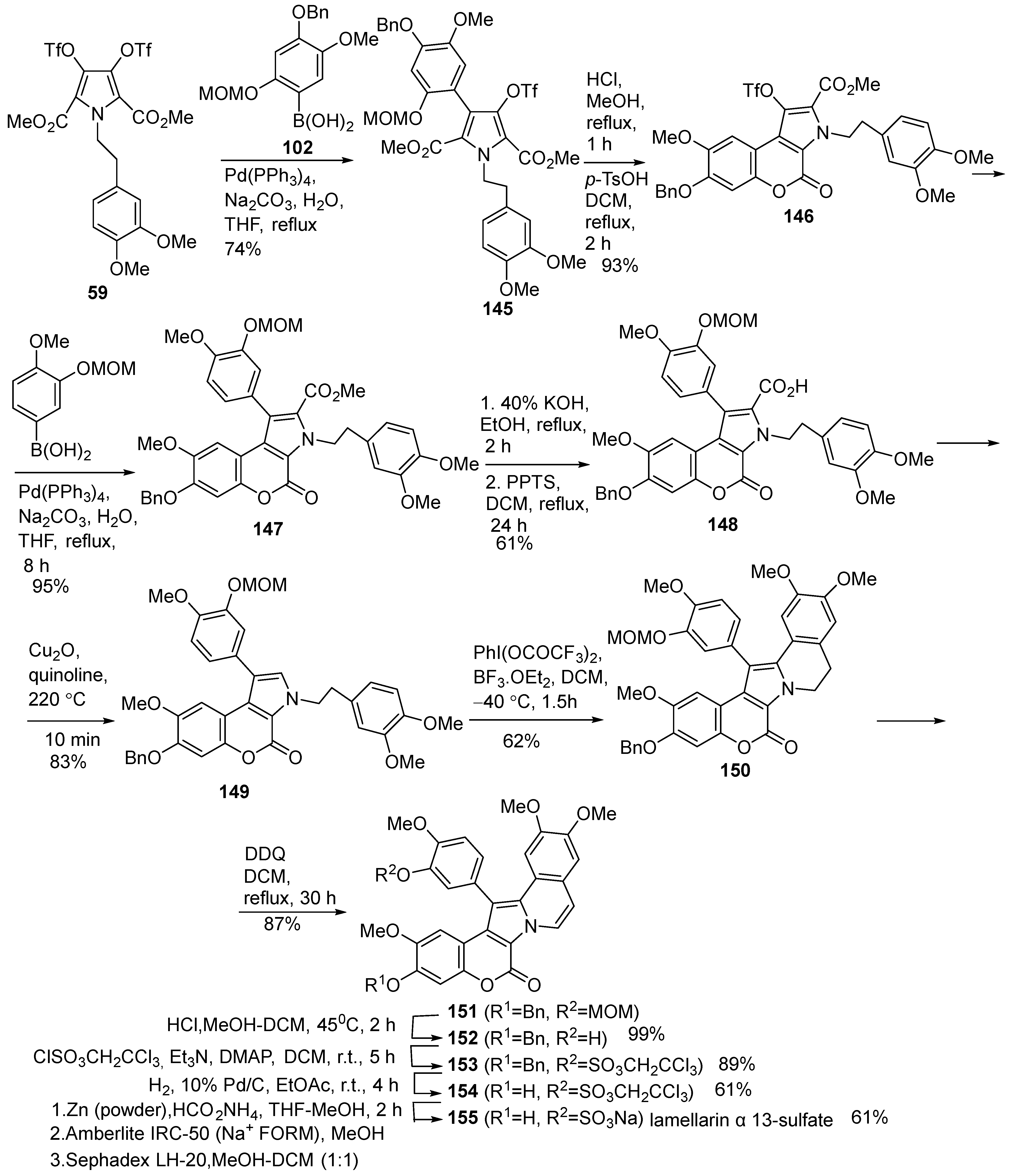
Fukuda et al. presented the synthesis of lamellarin α (158) and lamellarin α 13-sulfate (155), 20-sulfate (112), and 13,20-disulfate (159) using as common intermediate compound 151 with two different protecting groups, benzyl for 7-hydroxy coumarin moiety and methoxymethyl for 3-hydroxyphenyl moiety [94]. The reaction sequence started from penta-substituted pyrrole 59, which by Suzuki cross-coupling with boronic acid 102 provided arylpyrrole derivative 145. Hydrolysis and cyclization of 145 led to pyrrolo[2,3-c]coumarin 146. A new Suzuki reaction with MOM-protected boronic acid afforded derivative 147. Hydrolysis of the latter followed by decarboxylation, oxidation–cyclization with PIFA, and aromatization by DDQ resulted in the common intermediate 151 (Scheme 16).

Scheme 16.
Synthesis of lamellarin α (158) and lamellarin α 13-sulfate (155), 20-sulfate (112), and 13,20-disulfate (159).
Deprotection of MOM group of 151 with hydrochloric acid to 3-hydroxyaryl derivative 152 and reaction with 2,2,2-trichloroethyl chlorosulfate furnished sulfate 153, which by hydrogenolysis and reductive deprotection of 2,2,2-trichloroethyl ester 154 with Zn-HCO2NH4 followed by ion exchange with Amberlite and Sephadex purification resulted in lamellarin α 13-sulfate (155) in 6% overall yield from 59. Intermediate 151 under hydrogenolysis to hydroxycoumarin derivative 156 and reaction with 2,2,2-trichloroethyl chlorosulfate provided ester 157, which by MOM deprotection led to 3-hydroxyaryl compound 111 (Scheme 16). Treatment, in analogy to the above-mentioned transformation of 154 to 155, afforded lamellarin α 20-sulfate (112) in 8% total yield from 59. Deprotection of MOM group of 156 with hydrochloric acid resulted in lamellarin α (158) in 12% overall yield from 59, which by the reaction with pyridine-SO3 complex and ion exchange with Amberlite and purification by Sephadex led to lamellarin α 13,20-disulfate (159) in 8% total yield from 59.
Hasse et al. synthesized lamellarin G trimethyl ether (5) and lamellarin S (175) in 7% and 15% overall yields, respectively, starting from the iodopyrrole derivative 160 [95]. Suzuki cross-coupling reaction of 160 with boronic acid 161 followed by spontaneous lactonization afforded pyrrolo[2,3-c]coumarin derivative 162, which by selective bromination with NBS provided bromide 163 (Scheme 17). N-alkylation of the latter under Mitsunobu conditions furnished derivative 165, which by a new Suzuki coupling with boronic acid 60 generated compound 31. Compound 31, following the former method by Iwao [84], led to acid 32, which by decarboxylative Heck cross-coupling reaction resulted in lamellarin G trimethyl ether (5). Lamellarin S pentamethyl ether (174) was formed under a similar procedure starting from iodopyrrole derivative 160 and using boronic acids 166 and 171 and 2-arylethanol 169. Selective deprotection of isopropoxy group of 174 with BCl3 produced lamellarin S (175).
Scheme 17.
Synthesis of lamellarin G trimethyl ether (5) and lamellarin S (175).
Li et al. reported the total synthesis of lamellarins D (84) in 16.6% and H (181) in 16.1% and ningalin B (34) in 15% overall yields from 2-(4-isopropoxy-3-methoxyphenyl) acetaldehyde (176) and 2-(3-isopropoxy-4-methoxyphenyl) ethylamine (177) [96]. The key step for this procedure is at first AgOAc-mediative oxidative coupling of 176 and cyclocondensation with 177 to form pyrrole derivative 178 followed by a microwave-accelerated Vilsmaier–Haack reaction to aldehyde 179, which by Lindgren oxidation at 10 °C led to acid 180 (Scheme 18). A second oxidative cyclization of the latter with Pb(OAc)4 provided pyrrolo[2,3-c]coumarin compound 95. Deprotection of 95 afforded ningalin B (34). The third oxidative cyclization of 95 upon treatment with PIFA afforded dihydro isoquinoline adduct 97, which by oxidation with DDQ furnished isoquinoline product 98. Selective deprotection led to lamellarin D (84), while deprotection with BBr3 resulted in lamellarin H (181).
Scheme 18.
Synthesis of lamellarins D (84) and H (181) and ningalin B (34).
In 2014, Komatsubara et al., presented the synthesis of lamellarins L (43) and N (100) using as starting compound 3,4,5-differentially triarylated pyrrole-2-carboxylate as the 188 [97]. The 5-bromopyrrole-2-carboxylate 183 was synthesized from 2,5-dibromo-N-Bocpyrrole (182) through Br-Li exchange and methoxycarbonylation. This compound then underwent Suzuki cross-coupling reaction with boronic acid 86 to yield the 5-arylpyrrole-2-carboxylate derivative 184 (Scheme 19). Bromination with NBS to 185 and a second cross-coupling reaction with boronic acid 87 provided 4,5-diaryl pyrrole adduct 186. Bromination of the latter with NBS furnished 3-pyrrole derivative 187, which was followed by a new Suzuki coupling with 90 to 3,4,5-triaryl pyrrole compound 188. Treatment with p-TsOH led to pyrrolo[2,3-c]coumarin compound 189. N-thioalkylation with bromoethyl phenyl sulfide provided thioether 190. Oxidation of the latter to 191 and Pummerer cyclization led to dihydroisoquinoline derivative 192. Radical desulfurization of 192 with Bu3SnH/AIBN provided lamellarin L triisopropyl ether (42), which by treatment with BCl3 resulted in lamellarin L (43) in 29% total yield. Treatment of 192 with m-CPBA furnished the lamellarin N triisopropyl ether (99) and by selective hydrolysis with BCl3 generated lamellarin N (100) in 34% total yield. In an alternative procedure for the synthesis of lamellarin N (100) in 42% overall yield, coumarin intermediate 189 was treated with bromoacetaldehyde dimethyl acetal to provide derivative 193, which was cyclized in the presence of TfOH to provide triisopropyl ether of lamellarin N 99.
Scheme 19.
Synthesis of lamellarins L (43) and N (100).
Ueda et al. completed the synthesis of lamellarins I (199a) and C (199b) using the Rh-catalyzed β-selective cross-coupling arylation of pyrroles [98]. Pyrrole derivative 194 reacted with aryl iodides 195a,b and selectively provided 3-arylpyrrole adducts 196a,b under Rh-catalysis (Scheme 20). Reactions of the latter with trichloroacetyl chloride followed by hydrolysis and esterification with 3-isopropoxy-4-methoxyphenol afforded pyrrole-2-carboxylates 197a,b, which by oxidative coupling and double C-C bond formation in the presence of stoichiometric Pd(OAc)2, Cu(OAc)2, and K2CO3 furnished the isopropyl ethers of lamellarins I and C 198a,b. Finally, deprotection of isopropoxy group resulted in lamellarins I (199a) and C (199b).
Scheme 20.
Synthesis of lamellarins I (199a) and C (199b).
Gupton et al. used the formyl group activation strategy of 5-formylpyrrole-2-carboxylates for the regioselective introduction of different building blocks through Suzuki cross-coupling reactions. This method was used to synthesize lamellarin G trimethyl ether (5) and other natural products [99]. Suzuki coupling of ethyl 4-bromo-5-formylpyrrole-2-carboxylate (200) with boron compound 201 provided 4-aryl pyrrole derivative 202, which by iodination afforded 3-iodopyrrole compound 203 (Scheme 21). New Suzuki reaction with 201 generated 3,4-diarylpyrrole adduct 204, which was the intermediate for the synthesis of derivatives 127, 128, and 3 (Scheme 14) and finally the formation of lamellarin G trimethyl ether (5).
Scheme 21.
Synthesis of lamellarin G trimethyl ether (5).
Fukuda et al. synthesized lamellarin L (43) and lamellarin N (100) through the Paal–Knorr synthesis of pyrrole derivative 206 by the reaction of aryl ethyl amine hydrobromide 37 and one equivalent of 2,5-dimethoxyfuran (205) (Scheme 22). Pd-catalyzed direct intramolecular arylation of the latter provided 5,6-dihydropyrrolo[2,1-α]isoquinoline scaffold 207 [100]. Vilsmeier–Haack formylation to 208 followed by bromination with NBS afforded aldehyde 209, which by Suzuki cross-coupling with boronic acid 87 furnished arylpyrrole compound 210. A new bromination to 211 and a next cross-coupling with boronic acid 90 led to diarylpyrrole derivative 212. Hydrolysis with HCl followed by cyclization of the resulted phenolic aldehyde 213 upon treatment with Pd(OAc)2, bromobenzene, PPh3, and K2CO3 generated lamellarin L triisopropyl ether (42) in 14% overall yield. This was the intermediate (Scheme 11) for the former synthesis of lamellarin L (43) and lamellarin N (100) [87].
Scheme 22.
Synthesis of lamellarin L (43) and lamellarin N (100).
Pyrrole core 215 was the key step for the synthesis of lamellarin D trimethyl ether (218) and lamellarin H (181) presented by Dialer et al. [101]. The electrocyclic ring closure of the adduct generated in situ from the chalcone 214 and glycine ethyl ester hydrochloride in the presence of Cu(OAc)2 and NIS afforded pyrrole 215. Suzuki cross-coupling reaction of 215 with boronic acid 60 afforded 3,4,5-triaryl substituted pyrrole-2-carboxylate 216 (Scheme 23). N-alkylation of the latter with bromoacetaldehyde dimethyl acetal followed by intramolecular cyclization in the presence of triflic acid in a Pomeranz–Fritsch one-pot reaction led to isoquinoline product 217. After saponification and cyclization of sodium salt with copper (I) thiophene-2-carboxylate under microwave irradiation in an Ullmann-type reaction, the lamellarin D trimethyl ether (218) was obtained in 54% yield from chalcone. Deprotection with BBr3 resulted in lamellarin H (181) in 53% yield from chalcone.
Scheme 23.
Synthesis of lamellarin D trimethyl ether (218) and lamellarin H (181).
In 2017, Fukuda et al. synthesized lamellarins η (224a) and D (84) and 5,6-dehydrolamellarin Y (224b) via a different method started from 7-isopropyl-8-methoxy-[1]benzopyrano[3,4-b]pyrrol-4(3H)-one (135), prepared from N-benzenesufonyl-1H-pyrrole (131) [92]. Bromination of 135 with excess NBS led to dibromo-derivative 219, while, with one equivalent of NBS in DCM/AcOH (4:1), the monobromo-derivative 220 formed (Scheme 24). Suzuki cross-coupling reaction of 219 with boronic acids 60, 86, and 87 provided 2,3-diaryl-derivatives 221a–c, which, upon N-alkylation with bromo-acetaldehyde dimethyl acetal, furnished compounds 222a–c, respectively. TfOH-mediated cyclization of the latter afforded ethers 98 and 223a,b. Selective deprotection of isopropyl group by BCl3 resulted in lamellarins D (84) and η (224a) and 5,6-dehydrolamellarin Y (224b) in 48%, 40%, and 56% overall yields, respectively [102]. Suzuki cross-coupling of 220 with boronic acid 87 provided 3-aryl derivative 225, which upon bromination with NBS furnished bromo compound 226. New Suzuki coupling with boronic acids 60 and 86 afforded ethers 227 and 99, respectively. Compound 99 is the precursor for the synthesis of lamellarin N (100) [88]. Following the above-mentioned sequence by the N-alkylation of 227 with bromo-acetaldehyde dimethyl acetal, cyclization of 228 with TfOH, and selective hydrolysis of isopropyl group of 229 with BCl3, the lamellarin α (158) was isolated in 47% total yield.
Scheme 24.
Synthesis of lamellarins η (224a), D (84), N (100), and α (158) and 5,6-dehydrolamellarin Y (224b).
Ackermann and his colleagues presented the synthesis of lamellarins using the Ru-catalyzed C-H/N-H activation in an oxidation alkyne annulation process. So, the synthesis of pyrrole 232 was achieved from diaryl acetylene 230 and 2-aminoacrylate 231. Pd-catalyzed annulated formation of lactone 221b was obtained from 232 and boronate 233 in a one-pot bromination/Suzuki cross-coupling reaction procedure [103]. N-alkylation of compound 221b with bromo-acetaldehyde dimethyl acetal followed by cyclization led to ether 98, which by selective hydrolysis of isopropyl ether by BCl3 resulted in lamellarin D (84) in 55% total yield (Scheme 25). Deprotection of all ether groups in 98 by BBr3 afforded lamellarin H (181) in 54% overall yield. In this work, the lamellarin analogues 236 and 239 have been also prepared.
Scheme 25.
Synthesis of lamellarin D (84), lamellarin H (181), and lamellarin analogues 236 and 239.
In 2019, Kumar et al., prepared 1,2,4-trisubstituted pyrrole as key precursor for the total synthesis of lamellarins [104]. Aziridine ester 240 reacted with β-bromo-β-nitrostyrene (241) in a one-pot [3 + 2] cycloaddition/elimination/aromatization reaction sequence to provide pyrrole ester 242, which upon hydrolysis to 243 and esterification with phenol 244 led to the precursor 1,2,4-trisubstituted indole derivative 245 (Scheme 26). Double C-H oxidative coupling of the latter under Pd(OAc)2 catalysis in the presence of Cu(OAc)2 afforded lamellarin G trimethyl ether (5) in 22% total yield. Hydrolysis of 5 with BBr3 provided tris-desmethyl lamellarin G (246) in 18% total yield, while oxidation with DDQ furnished lamellarin D trimethyl ether (218) in 20% overall yield. Hydrolysis of 218 with BBr3 provided lamellarin H (181) in 14% total yield. Under analogous process, ester 248 led to dihydrolamellarin η (250) and lamellarin η (224a) in 14% and 11% total yields, respectively. By using β-nitrostyrene 251, the above-mentioned reaction sequence resulted in the synthesis of lamellarin U (256) in 12% overall yield in five steps (Scheme 27).
Scheme 26.
Synthesis of lamellarins H (181) and η (224a), dihydrolamellarin η (250), lamellarin G trimethyl ether (5), lamellarin D trimethyl ether (218), and tris-desmethyl lamellarin G (246).
Scheme 27.
Synthesis of lamellarin U (256).
The same year, Shirley et al. demonstrated the synthesis of lamellarin D (84) in seven steps and 22% total yield from puruvic acid utilizing the puruvic acid orthoester 257 as building block for the synthesis of 1,4-dicarbonyl adduct 260, by Pd-catalyzed arylation of 257 with bromoaryl derivative 258, followed by enolate alkylation with α-bromoacetophenone 259 (Scheme 28). Treatment of 260 with amino acetaldehyde diethyl acetal (261) under reflux afforded the pyrrolisoquinoline compound 262, which under transfer hydrogenation and lactonization furnished the fused pyrrolocoumarin product 139. Pd-catalyzed C-H arylation of the latter with aryl bromide 263 led to triisopropyl lamelarine D (98), and finally selective deprotection with BCl3 resulted in lamellarin D (84) [105].
Scheme 28.
Synthesis of lamellarin D (84) using puruvic acid orthoester.
Morikawa et al. reported the synthesis of ningalin B (34) and lamellarins S (175) and Z (277) using dibromopyrrolo derivative 266 as starting material [106]. Compound 266 was prepared by bromination of ethyl 1H-pyrrole-3-carboxylate (264) followed by protection of nitrogen with 2-(trimethylsilyl)ethoxymethyl (SEM) to provide 265 and subsequent treatment with LDA for the “halogen dance” via unstable intermediates A and B (Scheme 29). Suzuki–Miyaura cross-coupling reaction of 266 with boronate 267 afforded diarylated pyrrole ester 268, which upon hydrolysis and Pb(OAc)4-mediated lactonization furnished pyrrolocoumarin derivative 269. N-alkylation with 270 of the latter under Mitsunobu conditions resulted in ningalin B (34) in 10% yield over six steps from 266. When the N-alkylation with arylethanol 271 was performed, compound 272 was formed, which under treatment with PIFA upon oxidative C-C formation and benzyl deprotection by Pd-catalyzed hydrogenation led to lamellarin S (175) in 6% yield and 7 steps from 266. Regioselective Suzuki–Miyaura coupling of 266 with boronate 273 was provided under monoarylation pyrrole derivative 274. Second Pd-catalyzed arylation of the latter with boronate 267 afforded diarylated pyrrole 275. Similar treatment of the latter, like the above-mentioned compound 268, resulted in the formation of lamellarin Z (277) in 6% yield over 8 steps from 266.
Scheme 29.
Synthesis of ningalin B (34) and lamellarins S (175) and Z (277).
Khan and coworkers presented [107] the total synthesis of lamellarins S (175), Z (277), L (43), G (123), N (100), and D (84) using the strategy of Scheme 26 and Scheme 27, applied for the synthesis of lamellarins H, η, and U. The one-pot [3 + 2] cycloaddition/elimination/aromatization domino reaction of aziridine ester 278 with β-bromo-β-nitrostyrene 279 afforded ester 280 (Scheme 30). Hydrolysis of the latter to 281, esterification with phenols 281 or 282 to the esters 283a,b, followed by Pd-catalyzed cross-dehydrogenative coupling to 284a,b, and, finally, selective deprotection of isopropyl group resulted in lamellarins S (175) or Z (277) in 27% or 28% total yields, respectively, in 5 steps.
Scheme 30.
Total synthesis of lamellarins S (175), Z (277), L (43), G (123), and N (100).
The analogous reaction sequence starting from compounds 278 and 251 led to lamellarins L (43) and G (123) in 27% and 23% total yields, respectively, in five steps. Oxidation of the intermediate 42 with DDQ afforded the triisopropyl ether of lamellarin N (99), which by selective deprotection by BCl3 furnished lamellarin N (100) in 24% total yield and 6 steps (Scheme 30). The similar reaction sequence started from derivatives aziridine ester 278 and β-bromo-β-nitrostyrene 288 resulted in the formation of lamellarin D (84) in 20% total yield in six steps (Scheme 31).
Scheme 31.
Synthesis of lamellarin D (84).
In 2021, Okano and coworkers reported the total synthesis of lamellarins L (43), J (307), G (123), and Z (277) using a one-pot halogen dance/Negishi cross-coupling reaction of the α-lithiated dibromopyrrole intermediate B achieved from dibromopyrrole ester 265 (Scheme 32). Transmetallation of B to zinc-interrmediate C followed by coupling with iodide 292 afforded pentasubstituted pyrrole 293 [108]. Deprotection of the latter provided compound 294, which by mesylation and cyclization led to fused dihydroisoquinoline derivative 295. Borylation of 295 furnished the common intermediate for the synthesis of lamellarin 297. Suzuki–Miyaura coupling of 297 with iodides 298 and 300 afforded bromopyrrole derivatives 299 and 301, respectively. New Suzuki–Miyaura reaction of 299 and 301 with boronates 273 or 303 and 273 or 267 led to the fully arylated pyrrole derivatives 302 or 304 and 305 or 306. Hydrogenolysis of benzyl ethers 302, 304, 305, and acidic lactonization resulted in the formation of lamellarins L (43), J (307), and G (123), in 12%, 16%, and 14% total yields in 8 steps, respectively. After the hydrogenolysis of 306, basic lactonization with NaH was necessary for the synthesis of lamellarin Z (277) in 7% total yield.
Scheme 32.
Total synthesis of lamellarins L (43), J (307), G (123), and Z (277).
The same group [109] described the total synthesis of lamellarins U (256) and A3 (318) by interrupting the halogen dance of the metalated α,β-dibromopyrrole derivative (Scheme 33). Deprotonative metalation of pyrrole derivative 308 with (TMP)MgCl.LiCl (TMP = 2,2,6,6-tetramethylpiperidide) to intermediate A followed by transmetalation with ZnCl2.TMEDA furnished Zn-intermediate B, which did not promote halogen dance reaction. Negishi cross-coupling reaction of the latter with iodide 309 provided 4,5-dibromopyrrole ester 310 (Scheme 33). Hydrolysis and oxidative cyclization of 310 afforded [3,4]-fused pyrrolocoumarin 311, which by α-selective bromo-magnesium exchange and reaction with CO2 afforded acid 312. By Pd-mediated cyclization of 312, pentacyclic derivative 313 achieved. Kosugi–Migita–Stille cross-coupling reaction of the latter with stannous compounds 314 or 316 led to aryl derivatives 315 or 317, which by subsequent hydrogenolysis resulted in lamellarins U (256) and A3 (318) in 3% and 2% total yields in nine steps, respectively.
Scheme 33.
Total synthesis of lamellarins U (256) and A3 (318).
2.1.2. Synthesis Using Isoquinoline Derivatives
In 1997, Ishibashi and coworkers reported the total synthesis of lamellarins D (84) and H (181) as the first synthesis of lamellarin alkaloids [110]. The construction of pentacyclic ring of lamellarins was achieved by the N-ylide-mediated pyrrole formation from 329 followed by lactonization to provide ether 330. Hydrogenolysis of benzyl group of compound 330 led to lamellarin D (84) in 18% yield in 5 steps from 325, while deprotection under treatment with BBr3 resulted in lamellarin H (181) in 15% in 5 steps from 325 (Scheme 34). Isoquinolinium salt 329 was synthesized starting from benzylisoquinoline 325 (prepared from benzaldehyde 319 in 26% yield in 5 steps) under lithiation with LDA and reaction with benzoate 326 to provide the tautomeric mixture of acylated isoquinolines 327 and 327′. Reaction of the latter with ethyl bromoacetate provided protected quinolinium salt 328, which under deprotection with methanolic HCl afforded salt 329. In a similar reaction sequence starting from papaverine (331), have synthesized the lamellarin analogue 336 with 33% yield in 3 steps.
Scheme 34.
Synthesis of lamellarins D (84) and H (181) and lamellarin analogue 336.
The same year, Banwell et al. presented the total synthesis of lamellarin K (124) through an intramolecular [3 + 2] cycloaddition reaction of azomethine ylide, in situ formed from the isoquinolinium salt 344 in the presence of Hunig’s base (diisopropylethylamine), followed by aromatization to provide lamellarin K triisopropyl ether 122 (Scheme 35). Selective de-isopropylation of the latter with AlCl3 resulted in lamellarin K (124) [111]. The intermediate salt 344 was achieved by nucleophillic substitution of iodoacetate 342 by isoquinoline 343. Iodoacetate ester 342 was obtained by the reaction sequence starting from the reaction of styrene 337 with iodide 338 via treatment of 337 with n-BuLi, transmetallation of lithium acetylide formed with ZnCl2, and Pd-mediated coupling of the resulting zinc acetylide with iodide 338 to provide alkyne derivative 339. Baeyer–Villiger oxidation of 339 afforded formate ester 340, which by hydrolysis to phenol 341 and esterification with iodoacetic acid furnished iodoacetate ester 342.
Scheme 35.
Total synthesis of lamellarin K (124).
Ruchirawat and Mutarapat reported the total synthesis of lamellarin G trimethyl ether (5) starting from the condensation of dihydroisoquinolinium salt 345 and phenacyl bromide 346b under basic conditions for the synthesis of dihydropyrrolo[2,1-a]isoquinoline 347b [112]. Vilsmeier reaction of the latter led to the introduction of formyl group on pyrrole ring to provide adduct 348b (Scheme 36). After deprotection and oxidation of the resulting hydroxypyran derivative 350b in the presence of bromobenzene, Pd(OAc)2, PPh3, and K2CO3 in DMF, the lamellarin G trimethyl ether (5) was synthesized in 33% total yield.
Scheme 36.
Total synthesis of lamellarin G trimethyl ether (5).
Diaz et al. synthesized lamellarins I (199a) and K (124) by the 1,3-cycloaddition reactions of nitrones 352a,b with alkyne 353 [113]. The intermediate isoxazolines 354a,b, bearing a benzyl substituent at 3 position, were rearranged to pyrrole derivatives 355a,b, which by deprotection of isopropyl group with AlCl3 and lactonization resulted in lamellarins I (199a) and K (124) in 15%, and 27% yields, respectively (Scheme 37).
Scheme 37.
Synthesis of lamellarins I (199a) and K (124).
Ishibashi et al. presented the synthesis of lamellarin D derivatives 224a, 336, 360a–g, 361a–e, and 362 and their evaluation for cytotoxicity against HeLa cell lines [114]. This synthesis started from the condensation of benzyl isoquinolines 325, 330, and 356a,b with benzoates 326, 331, and 357a–c in the presence of LDA to provide adducts 332 and 358a–g (Scheme 38). N-alkylation of the latter with ethyl bromoacetate followed by hydrolysis of OMOM-protecting group afforded quaternary ammonium salts 335 and 359a–g. Treatment with Et3N furnished intermediate N-ylide, which cyclized intramolecularly to form pyrrole ring with simultaneous aromatization and lactonization, which led to lamellarin derivatives 336 and 360a–g. Hydrogenolysis of benzyl ethers resulted in products 224a and 361a–e. Deprotection of compound 336 with BBr3 afforded tetrahydroxy derivative 362.
Scheme 38.
Synthesis of lamellarin D analogues.
Compounds 84, 361a, 361c, and 361d showed high activity with IC50 values in the range 10.5–70.0 nM during the cytotoxicity test against HeLa cell lines. The authors examined the structure–activity relationships of all synthesized compounds and found that hydroxy groups at C-8 and C-20 positions were important for their cytotoxic activity.
Faulkner and coworkers [115] reported the synthesis of lamellarin H (181), lamellarin α (158), and lamellarin α 13,20-disulfate (159) following the above-mentioned procedure of Banwell et al. with intramolecular [3 + 2] cycloaddition reaction of azomethine ylide to alkyne moiety (Scheme 35). Azomethine ylide was formed in situ from the quaternary ammonium salt 365, achieved by coupling of iodoacetate 363 with dihydroisoquinoline 364, after treatment with diisopropyl ethyl amine (DIPEA and Hunig’s base), and via the [3 + 2] cycloaddition reaction resulted in the [3,4]-fused pyrrolocoumarin derivative 255 (Scheme 39). Oxidation with DDQ afforded the intermediate lamellarin derivative 366, which was the precursor for the synthesis of lamellarin H (181) and lamellarin α (158), after the deprotection with BBr3 or the selective deprotection with BCl3, respectively, in 15% overall yield. Treatment of compound 158 with a DMF complex of SO3 furnished lamellarin α 13,20-disulfate (159).
Scheme 39.
Synthesis of lamellarin H (181), lamellarin α (158), and lamellarin α 13,20-disulfate (159).
Compounds 158, 159, and 181 have been evaluated for their biological activities against HIV-1 integrase and MCV topoisomerase and for their cytotoxicity against HeLa cell lines. Lamellarin H (181) exhibited very potent inhibition of HIV-1 integrase with IC50 = 1.3 μM, better than lamellarin α 20-sulfate, which is a selective inhibitor of HIV-1 integrase (IC50 = 22 μM) but is also active in the MCV topoisomerase with IC50 = 0.23 μM having no specificity, as required to be attractive for drug development. Compound 181 was quite cytotoxic against HeLa cell lines with LD50 = 5.7 μM.
Ruchirawat and coworkers improved their former synthesis of lamellarin skeleton (Scheme 36) using as key step the direct remote metalation (DReM) or the metal–halogen exchange in intermediate fused pyrroloisoquinoline derivatives 368a,b, bearing an ortho-carbonate substituent as a directing group in the 3-aryl pyrrole ring [116]. Intermediates 368a,b achieved by the reaction of benzyl dihydroisoquinoline derivative 345 with carbonates 367a,b along with phenol adducts 369a,b as an inseparable mixture under treatment with DMAP, Et3N, and ethyl chloroformate afforded only carbonates 368a,b (Scheme 40). Bromination of the latter with NBS to provide bromides 370a,b, followed by treatment with tert-BuLi for the lithium–bromine exchange, and lactonization resulted in the formation of lamellarin analogues 336 and 5 in 72% and 67% yields, respectively.
Scheme 40.
Synthesis of lamellarin alkaloids via metal–halogen exchange.
Cironi et al. utilized a solid-phase synthesis using the Merrifield resin for the total synthesis of lamellarins U (256) and L (43) [117]. N-alkylation of dihydroisoquinoline derivative 364 with resin iodoacetate adduct 371 followed by [3 + 2] cycloaddition reaction of the azomethine ylide formed in situ after the treatment with DIPEA, in analogy to that depicted in Scheme 39, afforded the lamellarin framework 372 connected to the Merrifield-type resin (Scheme 41). The cleavage of the latter with excess of AlCl3 resulted in a crude product, which after separation with semipreparative HPLC furnished lamellarins U (256) and L (43) in 10% and 4% overall yields over 8-step solid-supported synthesis.
Scheme 41.
Synthesis of lamellarins U (256) and L (43).
Ruchirawat and coworkers presented another synthesis of lamellarins L (43) and K (124) in three steps from benzyl dihydroisoquinolines 373a,b and ethoxycarbonyl-β-nitrostyrene 374 in 61% and 65% overall yields, respectively [118]. The key step of this reaction is the Michael addition of 373a,b to 374 in the presence of NaHCO3 followed by ring closure to form the fused pyrrole ring of 375a,b (Scheme 42). Hydrogenolysis of the latter afforded the hydroxy-substituted derivatives 376a,b, which by lactonization under basic conditions resulted in the synthesis of lamellarins L (43) and K (124).
Scheme 42.
Synthesis of lamellarins L (43) and K (124).
In 2004, Bailly and coworkers used the procedure described by Banwell for the synthesis of lamellarins [110] (Scheme 35) to achieve derivatives of lamellarin D and of the dihydro adduct lamellarin-501. This work aimed to study their structure–activity relationship as lamellarin D is an antitumor agent targeting topoisomerase I [119]. Coupling of dihydroisoquinoline derivative 377 with iodoacetate 342, followed by azomethine ylide formation in the presence of DIPEA, intramolecular [3 + 2] cycloaddition reaction of azomethine ylide to triple bond, aromatization of pyrrole ring, and lactonization afforded lamellarin D triisopropyl ester 97, having saturated the 5,6-double bond (Scheme 43). Oxidation of the latter furnished the lamellarin D triisopropyl ether (98), and selective hydrolysis of isopropyl group with AlCl3 resulted in the synthesis of lamellari D (84). The lamellarin 501 (378), with a saturated 5,6-double bond derivative of lamellarin D, was achieved by analogous hydrolysis of compound 97. Lamellarin 501 (378) was the starting compound for the synthesis of triesters 380a–h after the treatment with acids in the presence of EDC.HCl or from the acid chlorides in the presence of Et3N. Oxidation of the latter with DDQ afforded lamellarin D triesters 381a–e. N-Protected aminoacid derivatives 383a–f and 384a–e,g of lamellarins 501 and D were achieved by similar reactions of the starting compound 378 (Scheme 44). Deprotection of aminoacids with trifluoroacetic acid (TFA) resulted in the cationic derivatives 385a–f and 386a–e,g, respectively.
Scheme 43.
Synthesis of lamellarin D (84) and lamellarin 501 (378) derivatives.
Scheme 44.
Synthesis of lamellarin D triester derivatives with aminoacids.
Compounds 380a–h and 381a–e were evaluated as topoisomerase I inhibitors and showed no activity, whilst they were non-cytotoxic. Compounds 386a–e,g strongly promoted DNA cleavage by human topoisomerase I. The Boc-protected compounds 384a–e,g and the analogue derivatives 383a–f without the 5,6-double bond showed no effect on topoisomerase I, and they were less cytotoxic than cationic compounds 386a–e,g. These aminoacid derivatives were found to be good antitumor agents targeting topoisomerase I. Compounds 386c and 386d with GI50 = 10.8 nM and 18.6 nM, respectively, have been selected for preclinical tests for their antitumor activity in vivo.
Cironi et al. utilized their former solid-phase synthesis (Scheme 41) to synthesize lamellarin derivatives using different Lewis acids for the cleavage of resins [120]. From the intermediate lamellarin derivative 372, prepared from Merrifield OH resin or Wang resin, 3,3′-diacetyllamellarin U (387) was achieved by treatment with ZnBr2 in the presence of acetylbromide in 8.5% overall yield (Scheme 45). When AlCl3 was used with the same derivative, 372 lamellarin U (256), lamellarin L (43), and 12-O-demethoxylamellarin U (388) were obtained in 9.2%, 2.0%, and 3.1% overall yields, respectively. The use of TFA with intermediate 372, prepared from Wang resin, resulted in the synthesis of 3-O-isopropyllamellarin U (389) and 2′-chloro-3-isopropyllamellarin (390) in 9% and 2% overall yields, respectively.
Scheme 45.
Synthesis of lamellarin U (256) and its derivatives, and lamellarin L (43) by solid-phase procedure.
Ruchirawat and coworkers presented the polymer-supported synthesis of lamellarins starting from phenacyl bromide derivatives or α-nitrocinnamate derivatives [121]. Bromination of substituted acetophenones 391a,b by the polymer-supported Amberlyst A-26 Br3- form afforded phenacyl bromide 367a,b (Scheme 46). Coupling of the latter with dihydroisoquinoline derivative 373c in the presence of Amberlyst A-26 NaCO3− as base furnished the pyrrole derivatives 368a,b. Intramolecular Friedel–Crafts transacylation from the carbonate carbonyl group to 2 position of pyrrole ring in the presence of acidic Amberlyst 15 followed by lactonization resulted in lamellarin derivatives 336 and 5. In an alternative procedure, Michael addition of 330 to α-nitrocinnamates 374,392 under basic conditions followed by ring closure afforded pyrrole derivatives 393a,b (Scheme 46). Deprotection of benzyl group with Amberlyst 15 followed by lactonization resulted in the formation of dihydrolamellarin η (250) and lamellarin G trimethyl ether (5) in 63% and 90% yields for the last step.
Scheme 46.
Synthesis of lamellarins by polymer-supported reagents.
Nyerges and Toke utilized the 1,5-electrocyclization of azomethine ylides leading to dihydropyrrolo[2,1-a]isoquinolines for the construction of lamellarin moiety [122]. The quaternary salt 399, precursor of azomethine ylide, was achieved from o-allyloxy stilbenic acid 396 under amide 397 formation by the reaction with aryl ethyl amine 56 (Scheme 47). Condensation of amide 397 under treatment with POCl3 afforded dihydroisoquinoline derivative 398, which after coupling with ethyl bromoacetate furnished salt 399. Treatment of the latter with Et3N led in situ to azomethine ylide, which after intramolecular 1,3-dipolar cycloaddition reaction with 1,5-electrocyclization afforded dihydropyrrole intermediate 400, and by aerobic oxidation resulted in the pyrrole derivative 401. Deprotection of the allyloxy group by 10% Pd/C in the presence of TsOH followed by lactonization led to the formation of lamellarin skeleton of 336 in 21% total yield.
Scheme 47.
Synthesis of lamellarin skeleton by 1,5-electrocyclization of azomethine ylides.
Ploypradith et al. synthesized 28 natural and synthetic lamellarins using their former procedure (Scheme 42) with benzyl dihydroisoquinolines 351a,c,d and 373a–i and α-nitrocinnamates 374, 392, and 402. Michael addition of 351a,c,d, 373a–i to β-nitro styrenes 374, 392, and 402 in the presence of NaHCO3 followed by ring closure afforded the fused pyrrole rings of 375a,b and 393a–l [123]. Hydrogenolysis of the latter furnished hydroxy-substituted derivatives 376a,b and 403a–l, which, by lactonization under basic conditions, resulted in the synthesis of lamellarins G trimethyl ether (5), L (43), G (123), K (124), I (199a), C (199b), dihydro η (250), U (256), J (307), X (404), Y (405), T (406), F (407), and E (408) in 45-71% overall yields in three steps (Scheme 48). For the synthesis of 5,6-dehydrated derivatives of the above-mentioned lamellarins, the derivatives L (43), G (123), K (124), I (199a), C (199b), dihydro η (250), U (256), J (307), X (404), Y (405), T (406), F (407), and E (408) were acetylated with acetyl chloride in the presence of DMAP and Et3N to provide acetylated derivatives 409a–m (Scheme 49). Oxidation of the latter by DDQ afforded deacetylatived derivatives 410a–m, which upon oxidation with DDQ resulted in the synthesis of lamellarins D (84), N (100), α (158), η (224a), 5,6-dehydro Y (224b), 5,6-dehydro G (412), M (413), ζ (414), B (415), 5,6-dehydro J (416), W (417), ε (418), and X (419) in 54–95% overall yields. The total yield over 6 steps was 23–63%. Similar oxidation of lamellarins G trimethyl ether (5) furnished 5,6-dehydro G trimethyl ether (411) in 95% yield.
Scheme 48.
Synthesis of lamellarins G trimethyl ether (5), L (43), G (123), K (124), I (199a), C (199b), dihydro η (250), U (256), J (307), X (404), Y (405), T (406), F (407), and E (408).
Scheme 49.
Synthesis of lamellarins D (84), N (100), α (158), η (224a), 5,6-dehydro Y (224b), 5,6-dehydro G trimethyl ether (411), 5,6-dehydro G (412), M (413), ζ (414), B (415), 5,6-dehydro J (416), W (417), ε (418), and X (419).
Ploypradith and coworkers examined the above synthesized lamellarin derivatives for their cytotoxicities against cancer cell lines of lung, breast, liver, oral, cervix, and blood cell [124]. Lamellarins D (84), X (419), K (124), M (413), N (100), ε (418), and dehydrolamellarin J (416) exhibited more potent anticancer activities with IC50 in nanomolar or low micromolar ranges than the positive control etoposide in most cancer cell lines. The results of the SAR studies revealed the contribution of the C5=C6 double bond as well as the hydroxy group at the C-8 and C-20 positions toward the anticancer activity of the lamellarin derivatives.
Liermann and Opatz used 1,2,3,4-tetrahydroisoquinoline-1-carbonitrile 420 for the preparation of 1-benzyl-3,4-dihydroisoquinolines 373c and 423 for the synthesis of lamellarins according to the above-mentioned method [125]. By this procedure, they avoided the harsh conditions of the Bischler–Napieralski reaction for the subsequent synthesis of fused 5,6-dihydropyrrolo[2,1-α]isoquinolines like 393b and 424, especially when the phenolic hydroxy moieties contain acid-sensitive protecting groups. The substitution of compounds 421a,b by aminonitrile 420 in the presence of KHDMS afforded derivatives 373c and 423 after the removal of HCN from intermediates 422a,b (Scheme 50). Michael addition of 373c and 423 to β-nitro styrenes 374 and 392 in the presence of pyridines followed by ring closure afforded the fused pyrrole ring of compounds 393b and 424. Hydrogenolysis of the latter and lactonization in the presence of DBU resulted in the synthesis of lamellarin G trimethyl ether (5) and lamellarin U (256) in 33% and 35% yields, respectively, for the last 2 steps.
Scheme 50.
Synthesis of lamellarin U (256) and lamellarin G trimethyl ether (5).
The synthesis of lamellarin G trimethyl ether (5) was achieved by the same group in 69% total yield over 7 steps starting from 1,2,3,4-tetraydroisoquinoline-1-carbonitrile 420 [126]. The reaction of the latter in the presence of KHMDS with the aldehydes 425a,b (prepared from 3,4-dialkoxyphenylacetonitrile) afforded fused 5,6-dihydropyrrolo[2,1-α]isoquinolines 426a,b, which by Vilsmeier formylation furnished formyl-substituted pyrrole derivatives 427a,b (Scheme 51). Lamellarin G trimethyl ether (5) and dihydrolamellarin η benzyl ether (429) were formed under oxidation of 427a,b with sodium chlorite and treatment with copper(I)-thiophene-2-carboxylate (CuTC) upon microwave irradiation of intermediate acids 428a,b. Selective deprotection of the benzyl group of the latter with BCl3 afforded dihydrolamellarin η (250) in 59% overall yield over 9 steps, while oxidation with DDQ furnished the benzyl ether of lamellarin η 430. Similar selective deprotection with BCl3 in compound 430 resulted in the synthesis of lamellarin η (424a) in 54% overall yield over 10 steps.
Scheme 51.
Synthesis of lamellarin G trimethyl ether (5), lamellarin η (224a), and dihydrolamellarin η (250).
Klintworth et al. presented a green synthesis of lamellarin G trimethyl ether (5) in 58–61% total yield starting from dihydropapaverine hydrochloride (345) and benzoate 431, which have been prepared from starting materials derived from woody biomass sources like lignin and lignocellulose [127]. The key step of this synthesis was the preparation of enaminone 432 by the treatment of hydrochloride 345 with excess of n-BuLi to provide intermediate aza-enolate A, and subsequent reaction of the latter with benzoate 431 (Scheme 52). The reaction of enaminone 432 with ethyl bromoacetate, in analogy to the pioneering work of Iwao for the synthesis of lamellarin D [110], afforded lamellarin G trimethyl ether (5) via intermediate N-substituted enaminone 433 and pyrrole adduct 393b followed by deprotection of benzyl group by hydrogenolysis and lactonization. In this process, no purification of the intermediates was necessary.
Scheme 52.
Synthesis of lamellarin G trimethyl ether (5).
The same group, using another enaminone derivative prepared trimethyl ethers of lamellarin G (5) and D (218) in 82% (6 steps) and 86% overall yields (7 steps) [128]. Enaminone 436 was achieved from the Eschenmoser sulfide contraction of the reaction of bromoacetophenone derivative 434 with dihydroisoquinolinethione 435 (Scheme 53). The reaction of enaminone 436 with ethyl bromoacetate afforded pyrrole ester 393b, which upon hydrolysis furnished pyrrole carboxylic acid 437. Demethylative lactonization of intermediate 436, upon formation of carboxylic acid chloride 438a under treatment with oxalyl chloride and transformation to acid iodide 438b by addition of NaI, and removal of NaCl, resulted in the synthesis of lamellarin G trimethyl ether (5). Oxidation of 393b with DDQ to pyrrole carboxylic ester 440 followed by the above-presented reaction sequence afforded lamellarin D trimethyl ether (218). Treatment of trimethyl ethers 5 and 218 with BBr3 resulted in the synthesis of lamellarin A4 or trisdesmethyllamellarin G (246) and lamellarin H (181) in 97 and 98% yields, respectively.
Scheme 53.
Synthesis of lamellarin G trimethyl ether (5), lamellarin A4 or trisdesmethyllamellarin G (246), lamellarin D trimethyl ether (218), and lamellarin H (181).
Lamellarin A4 (246) was evaluated against P-glycoprotein-mediated multidrug resistance in human colon adenocarcinoma cell line SW620 Ad300 and the corresponding parental cell line SW620 and it was determined that it is no P-gp inhibitor as it is non-cytotoxic [63]. When 246 was assessed against neurodegenerative disease targets casein kinase 1 (CK1δ) and cyclin-dependent kinase 5 (CDK5), it was found to exhibit activity against CK1δ with IC50 = 3 μM.
Manjappa et al. presented the synthesis of lamellarin D trimethyl ether (218), lamellarin D (84), and lamellarin analogues 450–452 using MCR constructing the lamellarin skeleton [129]. The multicomponent reaction of isoquinolinium salt 442 (prepared from the reaction of isoquinoline with ethyl bromoacetate), salicyl aldehyde 443, and nitromethane in the presence of Cs2CO3 afforded, after pyrrole ring formation and lactonization, coumarin-fused pyrrolo[1,2-α]isoquinoline 444 (Scheme 54). Bromination of the latter with NBS to provide bromo-pyrrole derivative 445, followed by Suzuki coupling reaction with boronic acid 60, resulted in the synthesis of lamellarin D trimethyl ether (218) in 24% total yield over 3 steps. Lamellarin D (84) was synthesized starting from salicyl aldehyde 446 through the formation of α-nitrostyrene 447 with nitromethane, followed by a reaction with isoquinoline 448 to yield pyrrolocoumarin derivative 449. Subsequent bromination with NBS, Suzuki coupling reaction, and debenzylation afforded lamellarin D (84) in 24% yield from 449, following their previously used procedure for the synthesis of lamellarins H and D starting from coumarin derivatives [130]. Regioselective demethylation of 218 under treatment with excess of BBr3 furnished tetrahydroxy lamellarin derivative 452 in 30% yield, along with dihydroxy derivatives 450 or 451 in 35% yield.
Scheme 54.
Synthesis of lamellarin D trimethyl ether (218), lamellarin D (84), and lamellarin analogues.
Recently, Silyanova et al. reported the synthesis of 1,2-diarylpyrrolo[2,1-α]isoquinoline 3-carboxylates and their transformation to lamellarin analogues [131]. 1,3-Dipolar cycloaddition reaction of nitrostilbenes 455a–f with isoquinolinium ylide, prepared in situ under treatment of isoquinolinium salt 442, 453, or 454 with DABCO, resulted in the preparation of pyrrolo[2,1-α]isoquinoline derivatives 456a–n in 52–78% yields. This process involved the removal of HNO2 from the intermediate formed pyrrolidine and subsequent oxidation by MnO2 (Scheme 55). Deprotection of the methoxy group of compounds 456b,c,e,f,h,j with 1 equivalent of BBr3 afforded unsubstituted lamellarin analogue 239 in 80% yield, and methoxy lamellarin analogues 457a–c in 59-70% yields, while treatment with excess of BBr3 furnished hydroxy lamellarin analogues 458a–d in 76–81% yields.
Scheme 55.
Synthesis of lamellarin analogues via 1,3-dipolar cycloaddition reaction of isoquinolinium ylides to nitrostilbenes.
2.1.3. Synthesis Starting from Coumarin Derivatives
Yadav and coworkers synthesized lamellarin G trimethyl ether (5) preparing at first 3-bromo-4-(3,4-dimethoxybenzoyl)-6,7-dimethoxychroman-2-one (462) [132]. Friedel–Crafts reaction of veratrole (459) and maleic anhydride afforded α,β-unsaturated acid 460, which upon esterification with phenol 244 furnished ester 461 (Scheme 56). Bromoarylation of ester 461 with NBS in the presence of Sm(OTf)3 resulted in the preparation of chroman-2-one 462. Coupling compound 462 with 6,7-dimethoxy-1,2,3,4-tetrahydroisoquinoline hydrochloride (463) in the presence of K2CO3 in MeCN under reflux led to lamellarin G trimethyl ether (5) in 44% overall yield over 4 steps. For the mechanism of the reaction, N-alkylation of isoquinoline 463 with bromo derivative 462 furnished N-alkylated adduct A, which with intramolecular aldol-type condensation afforded dihydro-derivative B. Oxidation of the latter by air resulted in the formation of lamellarin 5.
Scheme 56.
Synthesis of lamellarin G trimethyl ether (5) from 3-bromo-4-(3,4-dimethoxybenzoyl)-6,7-dimethoxychroman-2-one (459).
Chen and Hu reported the synthesis of lamellarin scaffold 239 from 2-phenylchromeno[3,4-b]pyrrol-4(3H)-one (470d) [133]. 2-Alkylchromeno[3,4-b]pyrrol-4(3H)-ones 470a–c were synthesized starting from 4-chloro-3-nitrocoumarin (464) by Sonogashira cross-coupling reaction with terminal alkynes 465a–d followed by reduction and C-N coupling reaction catalyzed by Pd(PPh3)Cl2 (Scheme 57). 2-Arylchromeno[3,4-b]pyrrol-4(3H)-ones 470d–k were achieved from 3-amino-4-ethynylcoumarin (468) through Sonogashira coupling reaction with aryl iodides 469a–h and subsequent Pd-catalyzed C-N coupling reaction of intermediate derivatives 470e–l. Bromination of compound 470d with NBS to provide bromo-pyrrole 471 followed by substitution of bromo-acetaldehyde diethyl acetal (BDEA) afforded N-alkylated derivative 472. Suzuki cross-coupling of the latter with phenylboronic acid furnished diphenyl adduct 473. Treatment of 473 with (CF3CO)2O/CF3CO2H resulted in the synthesis of pentacyclic lamellarin moiety 239.
Scheme 57.
Synthesis of lamellarin scaffold 239 from 2-phenylchromeno[3,4-b]pyrrol-4(3H)-one (470d).
Manjappa et al. demonstrated the construction of a coumarin–pyrrole–isoquinoline-fused pentacycle like 476 using the visible-light-promoted cyclization of 4-(isoquinolin-1-ylmethyl)-3-nitrocoumarin (475) or the Yb(OTf)3-catalyzed coupling of 4-chloro-3-nitrocoumarin (464) with 1-methylisoquinoline (474) [134]. Bromination of compound 476 with NBS followed by Suzuki coupling with phenylboronic acid afforded lamellarin core 239, which was also achieved by Rh-catalyzed coupling with phenyl iodide (Scheme 58). Lamellarin D trimethyl ether (218) was synthesized by application of this method from the reaction of 4-chloro-6,7-dimethoxy-3-nitrocoumarin (478) with 1-benzyl isoquinoline 330 in the presence of Yb(OTf)3. Deprotection of the latter with BBr3 resulted in the synthesis of lamellarin H (181). Lamellarin analogues 479 and 480 were also synthesized by this method.
Scheme 58.
Synthesis of lamellarin D trimethyl ether (218), lamellarin H (181), and the lamellarin analogues 479 and 480.
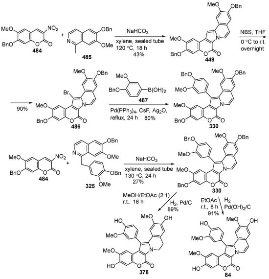
The same group demonstrated the synthesis of lamellarin core 239 from the reaction of 3-nitrocoumarin (481) with 1-benzylisoquinoline (482) [130], replacing 1-benzyl-3,4-dihydroisoquinoline used earlier by Ploypradith et al. [118] producing lamellarins in only 5–6% yield. Derivative 239 was achieved in 32% yield by refluxing a mixture of 481 and 482 in toluene in the presence of AlCl3 via the intermediates A, B, and C following the removal of water and nitroxyl (Scheme 59). They also synthesized the lamellarin analogue 479 by the NaHCO3-promoted Grob-type coupling of 3-nitrocoumarin (481) and papaverine (330) in a sealed tube. The same method with 6,7-dimethoxy-3-nitrocoumarin (483) and compound 330 as starting material afforded lamellarin D trimethyl ether (218) in 40% yield, which after deprotection of methoxy group with BBr3 furnished lamellarin H (181) in 31% overall yield in 3 steps. Tribenzyl ether of lamellarin D (330) was achieved in 31% yield, over 3 steps, from the similar reaction of 7-benzyloxy-6-methoxy-3-nitrocoumarin (484) with 6-benzyloxy-7-methoxy-1-methylisoquinoline (485) to provide derivative 449, bromination of the latter with NBS and Suzuki cross-coupling of derivative 486 formed with boronic acid 487 (Scheme 60). The Grob-type coupling of compound 484 with 1-benzylquinoline 325 resulted in the synthesis of tribenzyl ether 330 in 27% yield. Selective hydrogenation of the latter with Pd(OH)2/C afforded lamellarin D (84) in 12% or 14% in 6 or 8 steps overall yields, respectively, while hydrogenation with Pd/C furnished lamellarin 501 (378).
Scheme 59.
Synthesis of lamellarin D trimethyl ether (218) and lamellarin H (181).
Scheme 60.
Synthesis of lamellarin D (84) and 501 (378) and tribenzyl ether of lamellarin D (98).
Wu et al. reported the synthesis of ningalin B (34) starting from a three-component reaction of 4-chloro-6,7-dimethoxy-3-nitrocoumarin (478), (3,4-dimethoxyphenyl)acetaldehyde (488), and pyrrolidine (489) [135]. By mixing the above-mentioned reagents in DCM for 1 h and after the addition of HCl and iron powder, pyrrolocoumarin 490 was achieved (Scheme 61). Alkylation of the latter with 4-(2-bromoethyl)-1,2-dimethoxybenzene (29) afforded hexamethyl ether of ningalin B (33), which upon exhaustive demethylation with BBr3 furnished the ningalin B (34) in 41.5% overall yield over five steps.
Scheme 61.
Synthesis of ningalin B (34).
Ningalin B hexamethyl ether (33) was found to have immunosuppressive activity in tumor bearing mice [136]. Derivative 33 also exhibited an anti-inflammatory effect by intraperitonial injections in mice.
2.2. Synthesis of Isolamellarins and Analogues
Thassana et al. presented the synthesis of isolamellarins A 494a,b from dihydroisoquinoline and aryl puruvates under basic conditions and Cu-mediated Caryl-Ocarboxylic acid lactonization under microwave irradiation [137]. The reaction of dihydroisoquinoline 373c with aryl puruvates 491a–c afforded the fused pyrrolo[2,1-a]isoquinoline esters 492a–c (Scheme 62). Basic hydrolysis of the latter followed by oxidation with Pb(OAc)4 for 493a or CuTC (copper (I) thiophene-2-carboxylate) treatment under MW for the intermediates 493b,c resulted in the synthesis of isolamellarins 494a,b in 3% (from 493a) or 48% (from 493c) and 40% (from 493b) overall yields, respectively.
Scheme 62.
Synthesis of isolamellarins A 494a,b.
Padilha et al. used p-toluenesulfonic acid for the synthesis of 1,3-diphenylchromeno[4,3-b]pyrrol-4(1H)-ones 497 from 4-N-phenylaminocoumarins 495 and β-nitrostyrene (496) under solvent-free conditions (Scheme 63). Compound 497 reacted with diphenyl acetylene under oxidative cyclocondensation reaction to provide the pentacyclic derivative 498, analogue of isolamellarin skeleton in 43% yield over 2 steps [138].
Scheme 63.
Synthesis of pentacyclic compound 498.
Vyasamudri and Yang demonstrated the synthesis of isolamellarin A 505 and B 507a,b starting from the reactions of 4-chloro-3-formylcoumarins 499a–f with 1,2,3,4-tetrahydroisoquinolines 500a–c [139]. The reactions of coumarins 499a–f with tetrahydroisoquinolines 500a–c in the presence of Cs2CO3 as a base selectively afforded the pentacycle derivatives 501a–d in 38–53% yields, while the presence of DMAP as the base resulted in the synthesis of pentacycles 502a–l in 48–83% yields (Scheme 64). Bromination of compounds 501a and 502a,l with NBS furnished the bromo-pyrrole derivatives 503 and 506a,b, respectively, which by Suzuki cross-coupling reaction with boronic acids 504 or 60 afforded isolamellarin A 505 and isolamellarins B 507a,b, respectively. Compound 507b is the isolamellarin G trimethyl ether.
Scheme 64.
Synthesis of isolamellarin A 505 and isolamellarins B 507a,b.
Sarkar and Samanda reported the synthesis of isolamellarins A 505 and B 507a under tert-amide-assisted Ru(II)-catalyzed insertion of quinoid carbene in substituted indole-carboxylic acid amides during the synthesis of azacoumestans and related heterocycles [140]. The reaction of acrylate 508 with 1,2,3,4-tetrahydroisoquinoline (500a) in the presence of CuBr/TBHP followed by oxidation with DDQ afforded pyrrole[2,1-a]isoquinoline derivative 509, which by treatment with pyrrolidine and LiHMDS furnished the amide 510 (Scheme 65). Ru(II)-catalyzed reaction of the latter with o-quinonediazide 511 resulted in the formation of isolamellarin A 505 in 19% overall yield. The reaction of 500a with allyl acetate 512 in the presence of CuBr/TBHP furnished pyrrole[2,1-a]isoquinoline derivative 513. Site-selective C2-arylation of the latter under Pd(OAc)2 catalysis afforded 2-phenyl pyrrole derivative 514, which by treatment with LiHMDS and pyrrolidine provided the amide 515. Similarly, reaction with o-quinonediazide 511 under Ru(II)-catalysis resulted in the synthesis of isolamellarin B 507a in 20% overall yield.
Scheme 65.
Synthesis of isolamellarin A 505 and isolamellarin B 507a under Ru(II)-catalysis.
2.3. Synthesis of Azacoumestans, Isoazacoumestans, and Analogues
In 1948, King et al. synthesized for the first time 3-hydroxychromeno[3,4-b]indol-6(7H)-one (515), an isoazacoumestan [141]. The von Pechmann reaction of methyl 3-hydroxyindole-2-carboxylate (516) with resorcinol (517) afforded isoazacoumestan 518 in 91% yield (Scheme 66).
Scheme 66.
Synthesis of isoazacoumestan 518.
In 1984, Stadlbauer and Kappe reported the first synthesis of azacoumestans [142]. The reflux of 4-amino-3-phenylcoumarin 519a,b in diphenyl ether in the presence of Pd/C resulted in the synthesis of azacoumestans 520a,b in 13% and 90% yields, respectively (Scheme 67). This reaction proceeded via cyclodehydrogenation. 11H-Indolo[3,2-c]quinolin-6(5H)-ones 520c–g have been also been synthesized by this method.
Scheme 67.
Synthesis of azacoumestans 520a,b.
Azacoumestans are known to have antiosteoporotic activity [143].
The synthesis of isoazacoumestans 524a,b was demonstrated by Kurihara and coworkers [144]. The reaction of 1,4-benzoquinone cyanohydrin phosphates 521a,b with ethyl N-methyl indol-2-carboxylate (522) in the presence of boron trifluoride etherate resulted in the synthesis of isoazacoumestans 524a,b via the intermediate 3-arylindole-2-carboxylates 523a,b in 30% and 15% yields, respectively (Scheme 68).
Scheme 68.
Synthesis of isoazacoumestans 524a,b.
Stadlbauer and Kappe presented the synthesis of azacoumestrol (529) and azacoumestrol dimethyl ether 528 and diacetate 530 [68,143]. 4-Hydroxycoumarin derivative 525 under chlorination with POCl3 afforded the 4-chlorocoumarin derivative 526 (Scheme 69). Treatment of the latter with sodium azide in DMF at 150 °C afforded azacoumestrol dimethyl ether (528) in 88% yield. When the same reaction was performed at room temperature, the 4-coumarinyl azide 527 was synthesized, which upon heating at 150 °C furnished compound 528 in 92% total yield. Deprotection of the methyl group with HBr resulted in the synthesis of azacoumestrol (529) in 89% yield. Reaction of 529 with acetic anhydride afforded the diacetate 530.
Scheme 69.
Synthesis of azacoumestrol (529).
Azacoumestrol (529) was identified as a non-cytotoxic compound that inhibits vascular endothelial growth factor receptor-2 (VEGFR2) kinase effectively, blocking the progression of angiogenesis in the low micromolar range (10μM) [43].
Larock and coworkers synthesized azacoumestan 533 from 2-aryl-3-iodoindole derivative 532 upon Pd-catalyzed carbonylation/lactonization reactions [145]. 3-Iodoindole compound 532 was achieved by iodocyclization from diaryl alkyne 531. In the proposed mechanism for this carbonylation, oxidative addition of Pd(0) to indolyl iodide afforded the Pd(II)-intermediate A. Insertion of CO to this generated the acyl-palladium intermediate B (Scheme 70). Deacylation in the presence of K2CO3 furnished complex C, which by reductive elimination resulted in the formation of azacoumestan 533, regenerating the Pd-catalyst.
Scheme 70.
Pd-catalyzed synthesis of azacoumestan 533.
Thasana and coworkers demonstrated the synthesis of azacoumestan 533 and isoazacoumestan 536 along with the referred synthesis of isolamellarins A 494a–c in Scheme 62 [137]. The treatment of (2-haloaryl) indolecarboxylic acids 534a,b or 535a,b with excess of copper thiophene-2-carboxylate under microwave irradiation afforded azacoumestan 533 or isoazacoumestan 536 through C-O carboxylic coupling reaction in 63–99% yields (Scheme 71).
Scheme 71.
Synthesis of azacoumestan 533 and isoazacoumestan 536.
Snieckus and coworkers presented the synthesis of azacoumestan 540 and isoazacoumestan 544 by the LDA-induced C-O coupling of o-indoloaryl O-carbamates 539 and 543 in 83 and 60% yields, respectively [146]. The synthesis of derivatives 539 and 543 was achieved by the Suzuki cross-coupling reaction of aryl iodide 538 with 2-indoleboronic acid 537 and arylboronic acid 542 with 3-bromoindole 541 in 54 and 60% yields, respectively (Scheme 72).
Scheme 72.
Synthesis of azacoumestan 540 and isoazacoumestan 544.
Chang et al. have prepared the cobalt-sandwich diphosphine chelate palladium complex 548, which was used as catalyst for the synthesis of azacoumestans 520a and 549 in 73–79% isolated yields by the intramolecular Heck coupling reaction of 4-anilinocoumarins 547a,b [147]. The latter was achieved by the heating of 4-hydroxycoumarin (545) and anilines 546a,b (Scheme 73).
Scheme 73.
Pd-catalyzed synthesis of azacoumestanes 520a and 549.
Irgashev et al. demonstrated the synthesis of indol[3,2-c]coumarins (azacoumestans) 553a–h by the Cadogan reaction from 3-(o-nitroaryl)coumarins 552a–h [148]. Perkin condensation of salicylaldehydes 550a–h with benzyl cyanide 551 afforded derivatives 552a–h. Treatment of the latter with PPh3 or P(OEt)3 under microwave irradiation at 200 °C resulted in the synthesis of azacoumestans 553a–h in 16–85% total yields over 2 steps (Scheme 74).
Scheme 74.
Synthesis of azacoumestans 553a–h by the Cadogan reaction.
Wu et al. synthesized the azacoumestans 533 and 557a–f in 52–86% yields by the Pd-catalyzed intramolecular oxidative C-H/C-H coupling of 3-indolcarboxylic acid aryl esters 556a–g [149]. The latter was achieved in 65–93% yields by the Pd-catalyzed C-H carbonylation of indoles 554a–d by aryl formates 555a–d (Scheme 75).
Scheme 75.
Pd-catalyzed synthesis of azacoumestans 533 and 557a–f.
Cheng et al. presented the Pd-catalyzed synthesis of azacoumestans and coumestans [150]. Pd-catalyzed intramolecular cross-dehydrogenative coupling of 4-arylaminocoumarins 558a–e in the presence of excess of AgOAc as oxidative agent and CsOAc as base afforded the azacoumestans 520a and 559a–d in 63–92% yields (Scheme 76).
Scheme 76.
Pd-catalyzed synthesis of azacoumestans 520a and 559a–d.
The same group also demonstrated the Pd-catalyzed intramolecular cross-dehydrogenative coupling reactions of 4-anilinocoumarins 558a–aa for the synthesis of azacoumestans under base-free conditions in better yields [151]. Method A with air as oxidant was utilized for the synthesis of compounds 520a and 550a–n in 76–99% yields, while Method B with AgOAc as oxidant was used for the synthesis of compounds 559o–z in 86–99% yields (Scheme 77).
Scheme 77.
Pd-catalyzed synthesis of azacoumestans 520a and 559a–z (without base).
In 2017, Balalas et al. presented the Pd-catalyzed synthesis of azacoumestans under microwave irradiation [152]. The Pd-catalyzed oxidative coupling of (4-arylamino)coumarins 558 in the presence of Cu(OAc)2 under microwave irradiation or in the presence of O2 under reflux afforded the azacoumestans 520a and 559 in 50–96% yields (Scheme 78). (4-Arylamino) coumarins have been prepared under Pd-catalyzed C-N coupling from 4-bromocoumarin (560) and aniline 546 and heating in toluene, resulting in 85–99% yields. The arylaminocoumarins not having electron-withdrawing group were also achieved quantitatively by substitution of compound 560 with the corresponding anilines under microwaves.
Scheme 78.
Pd-catalyzed synthesis of azacoumestans 520a and 559e,I,j,v,w,aa–ae under MW.
In the preliminary biological tests, most of the azacoumestans exhibited high (100%) anti-lipid peroxidation at 0.1 mM. Compounds 520a and 559e presented IC50 values of 26.5 and 26 μM, respectively, as inhibitors of soybeal lipoxygenase, an enzyme implicated in inflammation.
Ding et al. reported the synthesis of indolo[3,2-c]coumarins by the Pd(II)-catalyzed carbonylated cyclization of o-hydroxy-o’-aminosubstituted alkynes 561a–k regioselectively in the presence of bulky and electron-rich ligands (Scheme 79). The reaction of alkynes 561a–k, etc., in the presence of Pd(MeCN)2Cl2 as catalyst, bis(diphenylphosphino)methane (DPPM) as ligand, 1,10-phenanthroline-5,6-dione (BQ) as oxidant under cyclization, carbonylation, and lactonization afforded azacoumestans 533, 557a, 562a–l, and some others with more complicated structures [153].
Scheme 79.
Pd-catalyzed synthesis of azacoumestans from alkynes under carbonylation.
Fukuda et al. synthesized the azacoumestan derivatives 573, 574, 576–577a–e, 578, and 579 and tested them for their potent topoisomerase I inhibitory activity in DNA relaxation assays [93]. N-Boc pyrrole (563) reacted with B(OMe)3 in the presence of LDA to provide pyrrole-2-boronic acid 564, which by a Suzuki cross-coupling reaction with o-bromobenzaldehyde derivative 565 afforded aldehyde 566 (Scheme 80). Wittig reaction of the latter with methoxymethylene triphenylphosphorane furnished enol ether 567. Acid-catalyzed cyclization resulted in the formation of benzo[g[indole derivative 568. Lithiation of the latter with t-BuLi followed by reaction with 1,2-dibromo-1,1,2,2-tetrafluoroethane afforded the 2-bromoindole derivative 569. Suzuki cross-coupling reaction with boronic acid 90 provided the 2-aryl indole adduct 570, which by electrophilic bromination with NBS furnished the 3-bromo-indole compound 571. Treatment with t-BuLi for a bromine-lithium exchange followed by a subsequent substitution of methyl chloroformate furnished the ester 572. Simultaneous deprotection of Boc and MOM group by hydrochloric acid and lactonization resulted in the formation of benzo[g][1]benzopyrano[4,3-b]indol-6(13H)-one skeleton of 573. Selective deporotection of isopropyl group by BCl3 provided derivative 574 in 39% overall yield in 10 steps from compound 563. Alkylation of compound 573 with alkyl halides 575a–e afforded N-alkyl derivatives 576a–e, which under deprotection with BCl3 furnished derivatives 577a–e. The water-soluble valine ester 579 was prepared from N-methyl derivative 577a by treatment with N-Boc-L-valine in the presence of EDC and DMAP to provide O-valinate ester 578, followed by cleavage of N-Boc groups with TFA.
Scheme 80.
Synthesis of azacoumestan derivatives 573, 574, and 576–579.
The topoisomerase I inhibitory activity of compounds 574, 577a, 577d, and 579 was found to be higher than that of reference compounds camptothecin (topoisomerase I inhibitor) and lamellarin D (84). The water-soluble compound 579 also exhibited antitumor activity against colon 26 (murine colon carcinima cell lines) comparable to the approved anticancer agent irinotecan.
Gu et al. reported the Pd-catalyzed synthesis of indolo[2,3-c]coumarins 581a–s from 3-arylaminocoumarins 580a–s under microwave irradiation [154]. The Pd-catalyzed cross-dehydrogenative coupling (CDC) of 3-anilinocoumarins 580a–s under microwave irradiation and base-free conditions resulted in the synthesis of isoazacoumestans 581a–s in 46–88% yields (Scheme 81).
Scheme 81.
Synthesis of isoazacoumestns 581a–s.
Sarkar and Samanda reported along with the synthesis of isolamellarins A 505 and B 507a the synthesis of azacoumestan 533 and related heterocycles 584a–j under tert-amide-assisted Ru(II)-catalyzed insertion of quinoid carbene in substituted indole-carboxylic acid amides [140]. The Ru-catalyzed reaction of 3-indole amide 597 with o-diazoquinones 511 and 583a–j provided azacoumestan 533 and azacoumestan derivatives 584a–j in 37–86% yields, respectively (Scheme 82). In the proposed mechanism, cationic Ru(II) species were formed by exchange. C-H metalation at C-2 carbon of indole 582 afforded the ruthenacycle A. Intermediate A reacted with quinonediazide 511 to provide Ru-quinoid intermediate B, under removal of nitrogen. Six-membered intermediate C was formed by migratory insertion. Protodemetalation of the latter and aromatization furnished intermediate D, followed by lactonization in the presence of acetic acid to provide the final product, 533.
Scheme 82.
Synthesis of azacoumestans 533 and 584a–j.
Recently, Rusanov et al. presented the synthesis and biological evaluation for their cytotoxicity of isoazacoumestan analogues, the “E-ring free” lamellarin analogues 587a–c [155]. The 1,3-dipolar cycloaddition reaction of pyridinium ylide, generated in situ from pyridinium salt 585 under basic conditions, bearing the electron-withdrawing group CO2Me in meta-position, with α-stilbenes 455g–i afforded the indolizine derivatives 586a–c in 74–85% yields (Scheme 83). The selective O-demethylation of the o-OMe group with BBr3 followed by lactonization resulted in the formation of lamellarin analogues 587a–c in 33–56% yields.
Scheme 83.
Synthesis of “E-ring free” lamellarin analogues 587a–c.
In the evaluation of anticancer activity for compounds 587a–c, they have found that these compounds are devoid of cytotoxicity. In comparison, lamellarin analogues 239, 458a, 458b, and 588, bearing the “E-ring”, exhibited cytotoxicity in a micromolar concentration range in four cancer cell lines, especially for 458a, 458b, and 588.
Das et al. demonstrated the reactions of 2-hydroxychalcones like 589a,b with ethyl isocyanoacetate 590 for the synthesis of 1-benzoylchromeno[3,4-b]pyrrol-4(3H)-ones like 591a,b [156]. The [3 + 2] cycloaddition reaction of ethyl isocyanoacetate (590) in the presence of a base with the double bond of chalcone 589 followed by intramolecular lactonization afforded pyrrolocoumarin 581 in one step. When the o-iodo substituent existed in the benzoyl group, like 591a,b, the Pd-catalyzed cross-coupling reaction resulted in the formation of pentacycle isoazacoumestan analogues 592a,b in 87% and 83% yields, respectively (Scheme 84).
Scheme 84.
Synthesis of pentacycle isoazacoumestan analogues 592a,b.
3. Conclusions
In this literature review, three routes were presented for the synthesis of lamellarins. First, pyrrole derivatives are the starting or the intermediate compounds, and then they are fused to isoquinoline or a coumarin moiety. Then, isoquinoline is the starting compound, next forming the indole moiety. In the last route, with fewer synthetic procedures, the synthesis starts from coumarins, which are then fused to the pyrrole moiety and to the isoquinoline framework. The synthesis processes of isolamellarins, azacoumestans, isoazacoumestans, and analogues are also described. Similar reaction strategies are utilized for the construction of pyrrole, isoquinoline, or coumarin rings, such as metal-catalyzed cross-coupling, [3 + 2] cycloaddition, substitution, lactonization, multicomponent reactions, or N-ylide-mediated pyrrole ring formation. The following reactions, the Suzuki–Miyaura cross-coupling reaction, Heck reaction, Stille reaction, Sonogashira reaction, Cadogan reaction, Michael addition, Perkin condensation, Friedel–Crafts reaction, Bischler–Napieralski reaction, Vilsmeier–Haack formylation, Paal–Knorr reaction, Baeyer–Villiger oxidation, and Diels–Alder reaction, are useful for the described synthesis.
The title compounds exhibit properties including cytotoxicity, multidrug resistance (MDR), topoisomerase I-targeted antitumor, anti-HIV, antiproliferative, anti-neurodegenerative disease, anti-inflammatory, and antiosteoporotic activities. Especially, lamellarin D (84) and its derivatives 464a,c,d demonstrated cytotoxic activity against the Hella cell lines in the range of 10.7–70.0 nM with the hydroxy group at the C-8 and C-20 positions to be important for this activity. Lamellarin’s D derivatives with valine (386c) and proline (386d) have been selected for preclinical trials as they were found to be good antitumor agents targeting topoisomerase I with GI50 = 10.8 nM and 18.6 nM, respectively. Lamellarin H (181) exhibited the inhibition of HIV-1 integrase with IC50 = 1.3 μM and is active against MCV topoisomeraee with IC50 = 0.23 μM. In the test against neurodegenerative disease targeting casein kinase 1 (CK1δ), lamellarin A4 (246) demonstrated IC50 = 3 μM. Azacoumestrol (529) inhibited the VEGFR2 kinase in the 10 μM range, blocking the progression of angiogenesis.
We hope this review can benefit researchers in the fields of lamellarins, azacoumestans, and generally the field of coumarins.
Author Contributions
Investigation, resources, writing—original draft preparation, V.-P.M.M.; data curation, writing—review and editing, A.-M.N.A.; data curation, writing-review and editing, M.D.D.; conceptualization, supervision, project administration, writing—review and editing, K.E.L. All authors have read and agreed to the published version of the manuscript.
Funding
This research received no external funding.
Institutional Review Board Statement
Not applicable.
Informed Consent Statement
Not applicable.
Data Availability Statement
No new data were created or analyzed in this study.
Conflicts of Interest
The authors declare no conflicts of interest.
References
- Fernández-Peña, L.; Matos, M.J.; López, E. Recent Advances in Biologically Active Coumarins from Marine Sources: Synthesis and Evaluation. Mar. Drugs 2023, 21, 37. [Google Scholar] [CrossRef]
- Flores-Morales, V.; Villasana-Ruíz, A.P.; Garza-Veloz, I.; González-Delgado, S.; Martinez-Fierro, M.L. Therapeutic Effects of Coumarins with Different Substitution Patterns. Molecules 2023, 28, 2413. [Google Scholar] [CrossRef] [PubMed]
- Abdelmohsen, U.R.; Albohy, A.; Abdulrazik, B.S.; Bayoumi, S.A.L.; Malak, L.G.; Khallaf, I.S.A.; Bringmann, G.; Farag, S.F. Natural coumarins as potential anti-SARS-CoV-2 agents supported by docking analysis. RSC Adv. 2021, 11, 16970–16979. [Google Scholar] [CrossRef] [PubMed]
- Carneiro, A.; Matos, M.J.; Uriarte, E.; Santana, L. Trending Topics on Coumarin and Its Derivatives in 2020. Molecules 2021, 26, 501. [Google Scholar] [CrossRef] [PubMed]
- Lončarić, M.; Gašo-Sokač, D.; Jokić, S.; Molnar, M. Recent Advances in the Synthesis of Coumarin Derivatives from Different Starting Materials. Biomolecules 2020, 10, 151. [Google Scholar] [CrossRef]
- Stringlis, I.A.; De Jonge, R.; Pieterse, C.M.J. The Age of Coumarins in Plant–Microbe Interactions. Plant Cell Physiol. 2019, 60, 1405–1419. [Google Scholar] [CrossRef]
- Hussain, M.I.; Syed, Q.A.; Khattak, M.N.K.; Hafez, B.; Reigosa, M.J.; El-Keblawy, A. Natural product coumarins: Biological and pharmacological perspectives. Biologia 2019, 74, 863–888. [Google Scholar] [CrossRef]
- Voges, M.J.E.E.E.; Bai, Y.; Schulze-Lefert, P.; Sattely, E.S. Plant-derived coumarins shape the composition of an Arabidopsis synthetic root microbiome. Proc. Natl. Acad. Sci. USA 2019, 116, 12558–12565. [Google Scholar] [CrossRef]
- Matos, M.J.; Santana, L.; Uriarte, E.; Abreu, O.A.; Molina, E.; Yordi, E.M.A.E.G. Coumarins—An Important Class of Phytochemicals. In Phytochemicals—Isolation, Characterisation and Role in Human Health; Rao, A.V., Rao, L.G., Eds.; IntechOpen: London, UK, 2015; pp. 113–140. [Google Scholar] [CrossRef]
- O’Kennedy, R.; Thornes, R.D. Coumarins: Biology, Applications and Mode of Action; John Wiley & Sons: Chichester, UK, 1997. [Google Scholar]
- Murray, D.H.; Mendez, J.; Brown, S.A. The Natural Coumarins: Occurrence, Chemistry and Biochemistry; John Wiley & Sons: New York, NY, USA, 1982. [Google Scholar]
- Pereira, T.M.; Franco, D.P.; Vitorio, F.; Kummerle, A.E. Coumarin Compounds in Medicinal Chemistry: Some Important Examples from the Last Years. Curr. Top. Med. Chem. 2018, 18, 124–148. [Google Scholar] [CrossRef]
- Stefanachi, A.; Leonetti, F.; Pisani, L.; Catto, M.; Carotti, A. Coumarin: A Natural, Privileged and Versatile Scaffold for Bioactive Compounds. Molecules 2018, 23, 250. [Google Scholar] [CrossRef]
- Rubab, L.; Afroz, S.; Ahmad, S.; Hussain, S.; Nawaz, I.; Irfan, A.; Batool, F.; Kotwica-Mojzych, K.; Mojzych, M. An Update on Synthesis of Coumarin Sulfonamides as Enzyme Inhibitors and Anticancer Agents. Molecules 2022, 27, 1604. [Google Scholar] [CrossRef]
- Thakur, A.; Singla, R.; Jaitak, V. Coumarins as anticancer agents: A review on synthetic strategies, mechanism of action and SAR studies. Eur. J. Med. Chem. 2015, 101, 476–495. [Google Scholar] [CrossRef]
- Alshibl, H.M.; Al-Abdullah, E.S.; Haiba, M.E.; Alkahtani, H.M.; Awad, G.E.A.; Mahmoud, A.H.; Ibrahim, B.M.M.; Bari, A.; Villinger, A. Synthesis and Evaluation of New Coumarin Derivatives as Antioxidant, Antimicrobial, and Anti-Inflammatory Agents. Molecules 2020, 25, 3251. [Google Scholar] [CrossRef]
- Fylaktakidou, K.C.; Hadjipavlou-Litina, D.J.; Litinas, K.E.; Nicolaides, D.N. Natural and Synthetic Coumarin Derivatives with Anti-Inflammatory/Antioxidant Activities. Curr. Pharm. Des. 2004, 10, 3813–3833. [Google Scholar] [CrossRef] [PubMed]
- Kasperkiewicz, K.; Ponczek, M.B.; Owczarek, J.; Guga, P.; Budzisz, E. Antagonists of Vitamin K—Popular Coumarin Drugs and New Synthetic and Natural Coumarin Derivatives. Molecules 2020, 25, 1465. [Google Scholar] [CrossRef] [PubMed]
- Lowenthal, J.; Birnbaum, H. Vitamin K and Coumarin Anticoagulants: Dependence of Anticoagulant Effect on Inhibition of Vitamin K Transport. Science 1969, 164, 181–183. [Google Scholar] [CrossRef]
- Sharapov, A.D.; Fatykhov, R.F.; Khalymbadzha, I.A.; Zyryanov, G.V.; Chupakhin, O.N.; Tsurkan, M.V. Plant Coumarins with Anti-HIV Activity: Isolation and Mechanisms of Action. Int. J. Mol. Sci. 2023, 24, 2839. [Google Scholar] [CrossRef]
- Xu, Z.; Chen, Q.; Zhang, Y.; Liang, C. Coumarin-based derivatives with potential anti-HIV activity. Fitoterapia 2021, 150, 104863. [Google Scholar] [CrossRef] [PubMed]
- Pan, Y.; Liu, T.; Wang, X.; Sun, J. Research progress of coumarins and their derivatives in the treatment of diabetes. J. Enzym. Inhib. Med. Chem. 2022, 37, 616–628. [Google Scholar] [CrossRef] [PubMed]
- Li, H.; Yao, Y.; Li, L. Coumarins as potential antidiabetic agents. J. Pharm. Pharmacol. 2017, 69, 1253–1264. [Google Scholar] [CrossRef] [PubMed]
- Martin, A.L.A.R.; De Menezes, I.R.A.; Sousa, A.K.; Farias, P.A.M.; dos Santos, F.A.V.; Freitas, T.S.; Figueredo, F.G.; Ribeiro-Filho, J.; Carvalho, D.T.; Coutinho, H.D.M.; et al. In vitro and in silico antibacterial evaluation of coumarin derivatives against MDR strains of Staphylococcus aureus and Escherichia coli. Microb. Pathog. 2023, 177, 106058. [Google Scholar] [CrossRef] [PubMed]
- Zou, J.; Liu, Y.; Guo, R.; Tang, Y.; Shi, Z.; Zhang, M.; Wu, W.; Chen, Y.; Hou, K. An In Vitro Coumarin-Antibiotic Combination Treatment of Pseudomonas aeruginosa Biofilms. Nat. Prod. Commun. 2021, 16, 1–7. [Google Scholar] [CrossRef]
- Reddy, D.S.; Kongot, M.; Kumar, A. Coumarin hybrid derivatives as promising leads to treat tuberculosis: Recent developments and critical aspects of structural design to exhibit anti-tubercular activity. Tuberculosis 2021, 127, 102050. [Google Scholar] [CrossRef] [PubMed]
- Hu, Y.-Q.; Xu, Z.; Zhang, S.; Wu, X.; Ding, J.-W.; Lv, Z.-S.; Feng, L.-S. Recent developments of coumarin-containing derivatives and their anti-tubercular activity. Eur. J. Med. Chem. 2017, 136, 122–130. [Google Scholar] [CrossRef] [PubMed]
- de Oliveira, L.M.G.; Carreira, R.B.; de Oliveira, J.V.R.; Nascimento, R.P.D.; Souza, C.d.S.; Trias, E.; da Silva, V.D.A.; Costa, S.L. Impact of Plant-Derived Compounds on Amyotrophic Lateral Sclerosis. Neurotox. Res. 2023, 41, 288–309. [Google Scholar] [CrossRef]
- Lin, T.-H.; Chang, K.-H.; Chiu, Y.-J.; Weng, Z.-K.; Sun, Y.-C.; Lin, W.; Lee-Chen, G.-J.; Chen, C.-M. Neuroprotective Action of Coumarin Derivatives through Activation of TRKB-CREB-BDNF Pathway and Reduction of Caspase Activity in Neuronal Cells Expressing Pro-Aggregated Tau Protein. Int. J. Mol. Sci. 2022, 23, 12734. [Google Scholar] [CrossRef]
- El-Sawy, E.R.; Abdelwahab, A.B.; Kirsch, G. Synthetic Routes to Coumarin(Benzopyrone)-Fused Five-Membered Aromatic Heterocycles Built on the α-Pyrone Moiety. Part 1: Five-Membered Aromatic Rings with One Heteroatom. Molecules 2021, 26, 483. [Google Scholar] [CrossRef]
- Woźniak, Ł.; Połaska, M.; Marszałek, K.; Skąpska, S. Photosensitizing Furocoumarins: Content in Plant Matrices and Kinetics of Supercritical Carbon Dioxide Extraction. Molecules 2020, 25, 3805. [Google Scholar] [CrossRef]
- Vlachou, E.-E.N.; Litinas, K.E. An Overview on Pyranocoumarins: Synthesis and Biological Activities. Curr. Org. Chem. 2019, 23, 2679–2721. [Google Scholar] [CrossRef]
- Douka, M.D.; Litinas, K.E. An Overview on the Synthesis of Fused Pyridocoumarins with Biological Interest. Molecules 2022, 27, 7256. [Google Scholar] [CrossRef]
- Patra, P.; Patra, S. 4-Aminocoumarin Derivatives as Multifaceted Building Blocks for the Development of Various Bioactive Fused Coumarin Heterocycles: A Brief Review. Curr. Org. Chem. 2022, 26, 1585–1614. [Google Scholar] [CrossRef]
- Patra, P.; Manna, S.; Patra, S.; Samanta, K.; Roy, D. A Brief Review on the Synthesis of Pyrrolo [2,3-c]coumarins, including Lamellarin and Ningalin Scaffolds. Org. Prep. Proced. Int. 2023, 55, 63–83. [Google Scholar] [CrossRef]
- Samanta, K.; Patra, P.; Kar, G.K.; Dinda, S.K.; Mahanty, D.S. Diverse synthesis of pyrrolo/indolo[3,2-c]coumarins as isolamellarin-A scaffolds: A brief update. New J. Chem. 2021, 45, 7450–7485. [Google Scholar] [CrossRef]
- Salehian, F.; Nadri, H.; Jalili-Baleh, L.; Youseftabar-Miri, L.; Bukhari, S.N.A.; Foroumadi, A.; Küçükkilinç, T.T.; Sharifzadeh, M.; Khoobi, M. A review: Biologically active 3,4-heterocycle-fused coumarins. Eur. J. Med. Chem. 2020, 212, 113034. [Google Scholar] [CrossRef]
- Soman, S.S.; Thaker, T.H.; Rajput, R.A. Novel synthesis and cytotoxic activity of some chromeno[3,4-b]pyrrol-4(3H)-ones. Chem. Heterocycl. Compd. 2011, 46, 1514–1519. [Google Scholar] [CrossRef]
- Litinas, K.E.; Balalas, T.D.; Kanelli, M.G.; Gabriel, C.; Pontiki, E.; Hadjipavlou-Litina, D.J. Pd-Catalyzed N–H or C–H Functionalization/Oxidative Cyclization for the Efficient Synthesis of N-Aryl-Substituted [3,4]-Fused Pyrrolocoumarins. Synthesis 2022, 54, 2894–2906. [Google Scholar] [CrossRef]
- Kontogiorgis, C.; Litinas, K.E.; Makri, A.; Nicolaides, D.N.; Vronteli, A.; Hadjipavlou-Litina, D.J.; Pontiki, E.; Siohou, A. Synthesis and biological evaluation of novel angular fused Pyrrolocoumarins. J. Enzym. Inhib. Med. Chem. 2008, 23, 43–49. [Google Scholar] [CrossRef]
- Thakur, A.; Thakur, M.; Khadikar, P. Topological modeling of benzodiazepine receptor binding. Bioorganic Med. Chem. 2003, 11, 5203–5207. [Google Scholar] [CrossRef] [PubMed]
- Colotta, V.; Cecchi, L.; Melani, F.; Filacchioni, G.; Martini, C.; Giannaccini, G.; Lucacchini, A. Tricyclic heteroaromatic systems. [1]benzopyranopyrrol-4-ones and [1]benzopyrano-1,2,3-triazol-4-ones as benzodiazepine receptor ligands. Synthesis and structure-activity relationships. J. Med. Chem. 1990, 33, 2646–2651. [Google Scholar] [CrossRef]
- Dakshanamurthy, S.; Kim, M.; Brown, M.L.; Byers, S.W. In-silico fragment-based identification of novel angiogenesis inhibitors. Bioorganic Med. Chem. Lett. 2007, 17, 4551–4556. [Google Scholar] [CrossRef]
- Neagoie, C.; Vedrenne, E.; Buron, F.; Mérour, J.-Y.; Rosca, S.; Bourg, S.; Lozach, O.; Meijer, L.; Baldeyrou, B.; Lansiaux, A.; et al. Synthesis of chromeno[3,4-b]indoles as Lamellarin D analogues: A novel DYRK1A inhibitor class. Eur. J. Med. Chem. 2012, 49, 379–396. [Google Scholar] [CrossRef]
- Friese, A.; Kapoor, S.; Schneidewind, T.; Vidadala, S.R.; Sardana, J.; Brause, A.; Förster, T.; Bischoff, M.; Wagner, J.; Janning, P.; et al. Chemical Genetics Reveals a Role of dCTP Pyrophosphatase 1 in Wnt Signaling. Angew. Chem. Int. Ed. 2019, 58, 13009–13013. [Google Scholar] [CrossRef]
- Mukherjee, S.; Hazra, S.; Chowdhury, S.; Sarkar, S.; Chattopadhyay, K.; Pramanik, A. A novel pyrrole fused coumarin based highly sensitive and selective fluorescence chemosensor for detection of Cu2+ ions and applications towards live cell imaging. J. Photochem. Photobiol. A Chem. 2018, 364, 635–644. [Google Scholar] [CrossRef]
- Vazquez-Rodriguez, S.; Matos, M.J.; Borges, F.; Uriarte, E.; Santana, L. Bioactive coumarins from marine sources: Origin, structural features and pharmacological properties. Curr. Top. Med. Chem. 2015, 15, 1755–1766. [Google Scholar] [CrossRef]
- Duc, D.X.; Van Quoc, N. Isolation, Bioactivities, and Synthesis of Lamellarin Alkaloids: A Review. Curr. Org. Chem. 2022, 26, 961–990. [Google Scholar] [CrossRef]
- Seipp, K.; Geske, L.; Opatz, T. Marine Pyrrole Alkaloids. Mar. Drugs 2021, 19, 514. [Google Scholar] [CrossRef] [PubMed]
- Fukuda, T.; Ishibashi, F.; Iwao, M. Chapter One—Lamellarin Alkaloids: Isolation, Synthesis, and Biological Activity. In The Alkaloids: Chemistry and Biology, 1st ed.; Elsevier: Cambridge, MA, USA; San Diego, CA, USA; London, UK; Oxford, UK, 2020; Volume 83, pp. 1–112. [Google Scholar]
- Fan, H.; Peng, J.; Hamann, M.T.; Hu, J.-F. Lamellarins and Related Pyrrole-Derived Alkaloids from Marine Organisms. Chem. Rev. 2007, 108, 264–287. [Google Scholar] [CrossRef]
- Andersen, R.J.; Faulkner, D.J.; He, C.H.; Van Duyne, G.D.; Clardy, J. Metabolites of the marine prosobranch mollusk Lamellaria sp. J. Am. Chem. Soc. 1985, 107, 5492–5495. [Google Scholar] [CrossRef]
- Lindquist, N.; Fenical, W.; Van Duyne, G.D.; Clardy, J. New alkaloids of the lamellarin class from the marine ascidian Didemnum chartaceum (Sluiter, 1909). J. Org. Chem. 1988, 53, 4570–4574. [Google Scholar] [CrossRef]
- Carroll, A.R.; Bowden, B.F.; Coll, J.C. Studies of Australian Ascidians. I. Six New Lamellarin-Class Alkaloids From a Colonial Ascidian, Didemnum sp. Aust. J. Chem. 1993, 46, 489–501. [Google Scholar] [CrossRef]
- Urban, S.; Hobbs, L.; Hooper, J.N.A.; Capon, R.J. Lamellarins Q and R: New Aromatic Metabolites From an Australian Marine Sponge, Dendrilla cactos. Aust. J. Chem. 1995, 48, 1491–1494. [Google Scholar] [CrossRef]
- Urban, S.; Capon, R.J. Lamellarin-S: A New Aromatic Metabolite from an Australian Tunicate, Didemnum sp. Aust. J. Chem. 1996, 49, 711–713. [Google Scholar] [CrossRef]
- Reddy, M.V.R.; Faulkner, D.J.; Venkateswarlu, Y.; Rao, M.R. New lamellarin alkaloids from an unidentified ascidian from the Arabian Sea. Tetrahedron 1997, 53, 3457–3466. [Google Scholar] [CrossRef]
- Reddy, M.V.R.; Rao, M.R.; Rhodes, D.; Hansen, M.S.T.; Rubins, K.; Bushman, F.D.; Venkateswarlu, Y.; Faulkner, D.J. Lamellarin α 20-Sulfate, an Inhibitor of HIV-1 Integrase Active against HIV-1 Virus in Cell Culture. J. Med. Chem. 1999, 42, 1901–1907. [Google Scholar] [CrossRef] [PubMed]
- Davis, R.A.; Carroll, A.R.; Pierens, G.K.; Quinn, R.J. New Lamellarin Alkaloids from the Australian Ascidian, Didemnum chartaceum. J. Nat. Prod. 1999, 62, 419–424. [Google Scholar] [CrossRef] [PubMed]
- Ham, J.; Kang, H. A Novel Cytotoxic Alkaloid of Lamellarin Class from a Marine Ascidian Didemnum sp. Bull. Korean Chem. Soc. 2002, 23, 163–166. [Google Scholar] [CrossRef]
- Krishnaiah, P.; Reddy, V.L.N.; Venkataramana, G.; Ravinder, K.; Srinivasulu, M.; Raju, T.V.; Ravikumar, K.; Chandrasekar, D.; Ramakrishna, S.; Venkateswarlu, Y. New Lamellarin Alkaloids from the Indian Ascidian Didemnum obscurum and Their Antioxidant Properties. J. Nat. Prod. 2004, 67, 1168–1171. [Google Scholar] [CrossRef]
- Reddy, S.M.; Srinivasulu, M.; Satyanarayana, N.; Kondapi, A.K.; Venkateswarlu, Y. New potent cytotoxic lamellarin alkaloids from Indian ascidian Didemnum obscurum. Tetrahedron 2005, 61, 9242–9247. [Google Scholar] [CrossRef]
- Plisson, F.; Huang, X.; Zhang, H.; Khalil, Z.; Capon, R.J. Lamellarins as Inhibitors of P-Glycoprotein-Mediated Multidrug Resistance in a Human Colon Cancer Cell Line. Chem. Asian J. 2012, 7, 1616–1623. [Google Scholar] [CrossRef]
- Bracegirdle, J.; Robertson, L.P.; Hume, P.A.; Page, M.J.; Sharrock, A.V.; Ackerley, D.F.; Carroll, A.R.; Keyzers, R.A. Lamellarin Sulfates from the Pacific Tunicate Didemnum ternerratum. J. Nat. Prod. 2019, 82, 2000–2008. [Google Scholar] [CrossRef]
- Kang, H.; Fenical, W. Ningalins A−D: Novel Aromatic Alkaloids from a Western Australian Ascidian of the Genus Didemnum. J. Org. Chem. 1997, 62, 3254–3262. [Google Scholar] [CrossRef] [PubMed]
- Plisson, F.; Conte, M.; Khalil, Z.; Huang, X.; Piggott, A.M.; Capon, R.J. Kinase Inhibitor Scaffolds against Neurodegenerative Diseases from a Southern Australian Ascidian, Didemnum sp. ChemMedChem 2012, 7, 983–990. [Google Scholar] [CrossRef] [PubMed]
- Fan, G.; Li, Z.; Shen, S.; Zeng, Y.; Yang, Y.; Xu, M.; Bruhn, T.; Bruhn, H.; Morschhäuser, J.; Bringmann, G.; et al. Baculiferins A–O, O-sulfated pyrrole alkaloids with anti-HIV-1 activity, from the Chinese marine sponge Iotrochota baculifera. Bioorganic Med. Chem. 2010, 18, 5466–5474. [Google Scholar] [CrossRef]
- Kappe, T.; Stadlbauer, W. Simple and Effective Approaches to Coumestans and Azacoumestans. Heterocycles 1993, 35, 1425–1440. [Google Scholar] [CrossRef]
- Patra, P. A short review on the synthesis of pyrrolo[3,4-c]coumarins an isolamellarin-B scaffolds. Synth. Commun. 2022, 52, 1999–2018. [Google Scholar] [CrossRef]
- Pla, D.; Albericio, F.; Alvarez, M. Recent Advances in Lamellarin Alkaloids: Isolation, Synthesis and Activity. Anti-Cancer Agents Med. Chem. 2008, 8, 746–760. [Google Scholar] [CrossRef]
- Iwao, M.; Fukuda, T.; Ishibashi, F. Synthesis and Biological Activity of Lamellarin Alkaloids: An Overview. Heterocycles 2011, 83, 491–529. [Google Scholar] [CrossRef]
- Imbri, D.; Tauber, J.; Opatz, T. Synthetic Approaches to the Lamellarins—A Comprehensive Review. Mar. Drugs 2014, 12, 6142–6177. [Google Scholar] [CrossRef]
- Bailly, C. Anticancer Properties of Lamellarins. Mar. Drugs 2015, 13, 1105–1123. [Google Scholar] [CrossRef]
- Wei, M.; Chen, J.; Song, Y.; Monserrat, J.-P.; Zhang, Y.; Shen, L. Progress on synthesis and structure-activity relationships of lamellarins over the past decade. Eur. J. Med. Chem. 2024, 269, 116294. [Google Scholar] [CrossRef]
- Cui, H.-L. Recent progress in the synthesis of pyrrolo[2,1-a]isoquinolines. Org. Biomol. Chem. 2022, 20, 2779–2801. [Google Scholar] [CrossRef] [PubMed]
- Heim, A.; Terpin, A.; Steglich, W. Biomimetic Synthesis of Lamellarin G. Trimethyl Ether. Angew. Chem. Int. Ed. Engl. 1997, 36, 155–156. [Google Scholar] [CrossRef]
- Banwell, M.G.; Hockless, D.C.R.; Flynn, B.L.; Longmore, R.W.; Rae, D. Assessment of Double-Barrelled Heck Cyclizations as a Means for Construction of the 14-Phenyl-8,9-dihydro- 6H-[1]benzopyrano[4′,3′:4,5]pyrrolo[2,1-a]isoquinolin- 6-one Core Associated with Certain Members of the Lamellarin Class of Marine Natural Product. Aust. J. Chem. 1998, 52, 755–766. [Google Scholar] [CrossRef]
- Boger, D.L.; Boyce, C.W.; Labroli, M.A.; Sehon, C.A.; Jin, Q. Total Syntheses of Ningalin A, Lamellarin O, Lukianol A, and Permethyl Storniamide A Utilizing Heterocyclic Azadiene Diels−Alder Reactions. J. Am. Chem. Soc. 1999, 121, 54–62. [Google Scholar] [CrossRef]
- Boger, D.L.; Soenen, D.R.; Boyce, C.W.; Hedrick, M.P.; Jin, Q. Total Synthesis of Ningalin B Utilizing a Heterocyclic Azadiene Diels−Alder Reaction and Discovery of a New Class of Potent Multidrug Resistant (MDR) Reversal Agents. J. Org. Chem. 2000, 65, 2479–2483. [Google Scholar] [CrossRef]
- Peschko, C.; Winklhofer, C.; Steglich, W. Biomimetic total synthesis of lamellarin L by coupling of two different arylpuru-vic acid units. Chem. Eur. J. 2000, 6, 1147–1152. [Google Scholar] [CrossRef]
- Bullington, J.L.; Wolff, R.R.; Jackson, P.F. Regioselective Preparation of 2-Substituted 3,4-Diaryl Pyrroles: A Concise Total Synthesis of Ningalin B. J. Org. Chem. 2002, 67, 9439–9442. [Google Scholar] [CrossRef] [PubMed]
- Furstner, A.; Weintritt, H.; Hupperts, A. A New, Titanium-Mediated Approach to Pyrroles: First Synthesis of Lukianol A and Lamellarin O Dimethyl Ether. J. Org. Chem. 1995, 60, 6637–6641. [Google Scholar] [CrossRef]
- Gupton, J.T.; Clough, S.C.; Miller, R.B.; Lukens, J.R.; Henry, C.A.; Kanters, R.P.; Sikorski, J.A. The application of vinylogous iminium salt derivatives to the synthesis of Ningalin B hexamethyl ether. Tetrahedron 2002, 59, 207–215. [Google Scholar] [CrossRef]
- Iwao, M.; Takeuchi, T.; Fujikawa, N.; Fukuda, T.; Ishibashi, F. Short and flexible route to 3,4-diarylpyrrole marine alkaloids: Syntheses of permethyl storniamide A, ningalin B, and lamellarin G trimethyl ether. Tetrahedron Lett. 2003, 44, 4443–4446. [Google Scholar] [CrossRef]
- Handy, S.T.; Zhang, Y.; Bregman, H. A Modular Synthesis of the Lamellarins: Total Synthesis of Lamellarin G Trimethyl Ether. J. Org. Chem. 2004, 69, 2362–2366. [Google Scholar] [CrossRef]
- Pla, D.; Marchal, A.; Olsen, C.A.; Albericio, F.; Álvarez, M. Modular Total Synthesis of Lamellarin D. J. Org. Chem. 2005, 70, 8231–8234. [Google Scholar] [CrossRef] [PubMed]
- Facompré, M.; Tardy, C.; Bal-Mahieu, C.; Colson, P.; Perez, C.; Manzanares, I.; Cuevas, C.; Bailly, C. Lamellarin D: A novel potent inhibitor of topoisomerase I. Cancer Res. 2003, 63, 7392–7399. [Google Scholar]
- Fujikawa, N.; Ohta, T.; Yamaguchi, T.; Fukuda, T.; Ishibashi, F.; Iwao, M. Total synthesis of Lamellarins D, L, and N. Tetrahedron 2006, 62, 594–604. [Google Scholar] [CrossRef]
- Yamaguchi, T.; Fukuda, T.; Ishibashi, F.; Iwao, M. The first total synthesis of lamellarin α 20-sulfate, a selective inhibitor of HIV-1 integrase. Tetrahedron Lett. 2006, 47, 3755–3757. [Google Scholar] [CrossRef]
- Steglich, W.; Peschko, C.; Winklhofer, C.; Terpin, A. Biomimetic Syntheses of Lamellarin and Lukianol-Type Alkaloids. Synthesis 2006, 3048–3057. [Google Scholar] [CrossRef]
- Gupton, J.T.; Giglio, B.C.; Eaton, J.E.; Rieck, E.A.; Smith, K.L.; Keough, M.J.; Barelli, P.J.; Firich, L.T.; Hempel, J.E.; Smith, T.M.; et al. The application of vinylogous iminium salt derivatives to efficient formal syntheses of the marine alkaloids lamellarin G trimethyl ether and ningalin B. Tetrahedron 2009, 65, 4283–4292. [Google Scholar] [CrossRef] [PubMed]
- Ohta, T.; Fukuda, T.; Ishibashi, F.; Iwao, M. Design and Synthesis of Lamellarin D Analogues Targeting Topoisomerase I. J. Org. Chem. 2009, 74, 8143–8153. [Google Scholar] [CrossRef]
- Fukuda, T.; Nanjo, Y.; Fujimoto, M.; Yoshida, K.; Natsui, Y.; Ishibashi, F.; Okazaki, F.; To, H.; Iwao, M. Lamellarin-inspired potent topoisomerase I inhibitors with the unprecedented benzo[g][1]benzopyrano[4,3-b]indol-6(13H)-one scaffold. Bioorganic Med. Chem. 2019, 27, 265–277. [Google Scholar] [CrossRef]
- Iwao, M.; Fukuda, T.; Saeki, S.; Ohta, T. Divergent Synthesis of Lamellarin α 13-Sulfate, 20-Sulfate, and 13,20-Disulfate. Heterocycles 2010, 80, 841–846. [Google Scholar] [CrossRef]
- Hasse, K.; Willis, A.C.; Banwell, M.G. Modular Total Syntheses of Lamellarin G Trimethyl Ether and Lamellarin S. Eur. J. Org. Chem. 2011, 88–99. [Google Scholar] [CrossRef]
- Li, Q.; Jiang, J.; Fan, A.; Cui, Y.; Jia, Y. Total Synthesis of Lamellarins D, H, and R and Ningalin B. Org. Lett. 2011, 13, 312–315. [Google Scholar] [CrossRef] [PubMed]
- Komatsubara, M.; Umeki, T.; Fukuda, T.; Iwao, M. Modular Synthesis of Lamellarins via Regioselective Assembly of 3,4,5-Differentially Arylated Pyrrole-2-carboxylates. J. Org. Chem. 2014, 79, 529–537. [Google Scholar] [CrossRef]
- Ueda, K.; Amaike, K.; Maceiczyk, R.M.; Itami, K.; Yamaguchi, J. β-Selective C–H Arylation of Pyrroles Leading to Concise Syntheses of Lamellarins C and I. J. Am. Chem. Soc. 2014, 136, 13226–13232. [Google Scholar] [CrossRef] [PubMed]
- Gupton, J.T.; Telang, N.; Patteson, J.; Lescalleet, K.; Yeudall, S.; Sobieski, J.; Harrison, A.; Curry, W. The application of formyl group activation of bromopyrrole esters to formal syntheses of lycogarubin C, permethyl storniamide A and lamellarin G trimethyl ether. Tetrahedron 2014, 70, 9759–9767. [Google Scholar] [CrossRef]
- Iwao, M.; Fukuda, T.; Sato, D. A Synthesis of Lamellarins via Regioselective Assembly of 1,2,3-Differentially Substituted 5,6-Dihydropyrrolo[2,1-a]Isoquinoline Core. Heterocycles 2015, 91, 782–794. [Google Scholar] [CrossRef]
- Dialer, C.; Imbri, D.; Hansen, S.P.; Opatz, T. Synthesis of Lamellarin D Trimethyl Ether and Lamellarin H via 6π-Electrocyclization. J. Org. Chem. 2015, 80, 11605–11610. [Google Scholar] [CrossRef]
- Fukuda, T.; Katae, T.; Harada, I.; Iwao, M. Synthesis of Lamellarins via Regioselective Assembly of 1,2-Diarylated [1]Benzopyrano[3,4-b]pyrrol-4(3H)-one Core. Heterocycles 2017, 95, 950–971. [Google Scholar] [CrossRef]
- Mei, R.; Zhang, S.-K.; Ackermann, L. Concise Synthesis of Lamellarin Alkaloids by C–H/N–H Activation: Evaluation of Metal Catalysts in Oxidative Alkyne Annulation. Synlett 2017, 28, 1715–1718. [Google Scholar] [CrossRef][Green Version]
- Kumar, V.; Awasthi, A.; Salam, A.; Khan, T. Scalable Total Syntheses of Some Natural and Unnatural Lamellarins: Application of a One-Pot Domino Process for Regioselective Access to the Central 1,2,4-Trisubstituted Pyrrole Core. J. Org. Chem. 2019, 84, 11596–11603. [Google Scholar] [CrossRef]
- Shirley, H.J.; Koyioni, M.; Muncan, F.; Donohoe, T.J. Synthesis of lamellarin alkaloids using orthoester-masked α-keto acids. Chem. Sci. 2019, 10, 4334–4338. [Google Scholar] [CrossRef] [PubMed]
- Morikawa, D.; Morii, K.; Yasuda, Y.; Mori, A.; Okano, K. Convergent Total Synthesis of Lamellarins and Their Congeners. J. Org. Chem. 2020, 85, 8603–8617. [Google Scholar] [CrossRef] [PubMed]
- Kumar, V.; Salam, A.; Kumar, D.; Khan, T. Concise and Scalable Total Syntheses of Lamellarin Z and other Natural Lamellarins. ChemistrySelect 2020, 5, 14510–14514. [Google Scholar] [CrossRef]
- Morii, K.; Yasuda, Y.; Morikawa, D.; Mori, A.; Okano, K. Total Synthesis of Lamellarins G, J, L, and Z Using One-Pot Halogen Dance/Negishi Coupling. J. Org. Chem. 2021, 86, 13388–13401. [Google Scholar] [CrossRef] [PubMed]
- Okano, K.; Okui, Y.; Yasuda, Y.; Mori, A. Total Synthesis of Lamellarins U and A3 by Interrupting Halogen Dance. Synthesis 2022, 54, 2647–2660. [Google Scholar] [CrossRef]
- Ishibashi, F.; Miyazaki, Y.; Iwao, M. Total Syntheses of Lamellarin D and H. The First Synthesis of Lamellarin-Class Marine Alkaloids. Tetrahedron 1997, 53, 5951–5962. [Google Scholar] [CrossRef]
- Banwell, M.; Flynn, B.; Hockless, D. Convergent total synthesis of lamellarin K. Chem. Commun. 1997, 23, 2259–2260. [Google Scholar] [CrossRef]
- Ruchirawat, S.; Mutarapat, T. An efficient synthesis of lamellarin alkaloids: Synthesis of lamellarin G trimethyl ether. Tetrahedron Lett. 2001, 42, 1205–1208. [Google Scholar] [CrossRef]
- Díaz, M.; Guitián, E.; Castedo, L. Syntheses of Lamellarins I and K by [3 + 2] Cycloaddition of a Nitrone to an Alkyne. Synlett 2001, 2001, 1164–1166. [Google Scholar] [CrossRef]
- Ishibashi, F.; Tanabe, S.; Oda, T.; Iwao, M. Synthesis and Structure−Activity Relationship Study of Lamellarin Derivatives. J. Nat. Prod. 2002, 65, 500–504. [Google Scholar] [CrossRef]
- Ridley, C.P.; Reddy, M.V.R.; Rocha, G.; Bushman, F.D.; Faulkner, D.J. Total synthesis and evaluation of lamellarin α 20-Sulfate analogues. Bioorganic Med. Chem. 2002, 10, 3285–3290. [Google Scholar] [CrossRef]
- Ploypradith, P.; Jinaglueng, W.; Pavaro, C.; Ruchirawat, S. Further developments in the synthesis of lamellarin alkaloids via direct metal–halogen exchange. Tetrahedron Lett. 2003, 44, 1363–1366. [Google Scholar] [CrossRef]
- Cironi, P.; Manzanares, I.; Albericio, F.; Álvarez, M. Solid-Phase Total Synthesis of the Pentacyclic System Lamellarins U and L. Org. Lett. 2003, 5, 2959–2962. [Google Scholar] [CrossRef] [PubMed]
- Ploypradith, P.; Mahidol, C.; Sahakitpichan, P.; Wongbundit, S.; Ruchirawat, S. A Highly Efficient Synthesis of Lamellarins K and L by the Michael Addition/Ring-Closure Reaction of Benzyldihydroisoquinoline Derivatives with Ethoxycarbonyl-β-nitrostyrenes. Angew. Chem. Int. Ed. 2004, 43, 866–868. [Google Scholar] [CrossRef] [PubMed]
- Tardy, C.; Facompré, M.; Laine, W.; Baldeyrou, B.; García-Gravalos, D.; Francesch, A.; Mateo, C.; Pastor, A.; Jiménez, J.A.; Manzanares, I.; et al. Topoisomerase I-mediated DNA cleavage as a guide to the development of antitumor agents derived from the marine alkaloid lamellarin D: Triester derivatives incorporating amino acid residues. Bioorganic Med. Chem. 2004, 12, 1697–1712. [Google Scholar] [CrossRef] [PubMed]
- Cironi, P.; Cuevas, C.; Albericio, F.; Álvarez, M. Gaining diversity in solid-phase synthesis by modulation of cleavage conditions from hydroxymethyl-based supports. Application to lamellarin synthesis. Tetrahedron 2004, 60, 8669–8675. [Google Scholar] [CrossRef]
- Ploypradith, P.; Kagan, R.K.; Ruchirawat, S. Utility of Polymer-Supported Reagents in the Total Synthesis of Lamellarins. J. Org. Chem. 2005, 70, 5119–5125. [Google Scholar] [CrossRef]
- Nyerges, M.; Tőke, L. 1,5-Electrocyclisation of azomethine ylides leading to pyrrolo[2,1-a]isoquinolines—Concise construction of the lamellarin skeleton. Tetrahedron Lett. 2005, 46, 7531–7534. [Google Scholar] [CrossRef]
- Ploypradith, P.; Petchmanee, T.; Sahakitpichan, P.; Litvinas, N.D.; Ruchirawat, S. Total Synthesis of Natural and Unnatural Lamellarins with Saturated and Unsaturated D-Rings. J. Org. Chem. 2006, 71, 9440–9448. [Google Scholar] [CrossRef]
- Chittchang, M.; Batsomboon, P.; Ruchirawat, S.; Ploypradith, P. Cytotoxicities and Structure–Activity Relationships of Natural and Unnatural Lamellarins toward Cancer Cell Lines. ChemMedChem 2009, 4, 457–465. [Google Scholar] [CrossRef]
- Liermann, J.C.; Opatz, T. Synthesis of Lamellarin U and Lamellarin G Trimethyl Ether by Alkylation of a Deprotonated α-Aminonitrile. J. Org. Chem. 2008, 73, 4526–4531. [Google Scholar] [CrossRef]
- Imbri, D.; Tauber, J.; Opatz, T. A High-Yielding Modular Access to the Lamellarins: Synthesis of Lamellarin G Trimethyl Ether, Lamellarin η and Dihydrolamellarin η. Chem. Eur. J. 2013, 19, 15080–15083. [Google Scholar] [CrossRef] [PubMed]
- Klintworth, R.; de Koning, C.B.; Opatz, T.; Michael, J.P. A Xylochemically Inspired Synthesis of Lamellarin G Trimethyl Ether via an Enaminone Intermediate. J. Org. Chem. 2019, 84, 11025–11031. [Google Scholar] [CrossRef] [PubMed]
- Klintworth, R.; de Koning, C.B.; Michael, J.P. Demethylative Lactonization Provides a Shortcut to High-Yielding Syntheses of Lamellarins. J. Org. Chem. 2020, 85, 1054–1061. [Google Scholar] [CrossRef] [PubMed]
- Manjappa, K.B.; Jhang, J.; Lakshmi, K.C.S.; Yang, D. Four-Component Construction of Coumarin-Fused Pyrrolo[2,1-a]isoquinoline: Expedient Synthesis of Lamellarins and Their Regioselective Demethylation. Asian J. Org. Chem. 2022, 11, e202100659. [Google Scholar] [CrossRef]
- Manjappa, K.B.; Lin, J.-M.; Yang, D.-Y. Construction of Pentacyclic Lamellarin Skeleton via Grob Reaction: Application to Total Synthesis of Lamellarins H and D. J. Org. Chem. 2017, 82, 7648–7656. [Google Scholar] [CrossRef]
- Silyanova, E.A.; Samet, A.V.; Semenov, V.V. A Two-Step Approach to a Hexacyclic Lamellarin Core via 1,3-Dipolar Cycloaddition of Isoquinolinium Ylides to Nitrostilbenes. J. Org. Chem. 2022, 87, 6444–6453. [Google Scholar] [CrossRef] [PubMed]
- Yadav, J.S.; Gayathri, K.U.; Reddy, B.V.S.; Prasad, A.R. Modular Total Synthesis of Lamellarin G Trimethyl Ether. Synlett 2009, 2009, 43–46. [Google Scholar] [CrossRef]
- Chen, L.; Xu, M. A New Approach to Pyrrolocoumarin Derivatives by Palladium-Catalyzed Reactions: Expedient Construction of Polycyclic Lamellarin Scaffold. Adv. Synth. Catal. 2009, 351, 2005–2012. [Google Scholar] [CrossRef]
- Manjappa, K.B.; Syu, J.-R.; Yang, D.-Y. Visible-Light-Promoted and Yb(OTf)3-Catalyzed Constructions of Coumarin-Pyrrole-(Iso)quinoline-Fused Pentacycles: Synthesis of Lamellarin Core, Lamellarin D Trimethyl Ether, and Lamellarin H. Org. Lett. 2016, 18, 332–335. [Google Scholar] [CrossRef]
- Wu, C.-K.; Weng, Z.; Yang, D.-Y. One-Pot Construction of 1-Phenylchromeno[3,4-b]pyrrol-4(3H)-one: Application to Total Synthesis of Ningalin B and a Pyrrolocoumarin-Based Electrochromic Switch. Org. Lett. 2019, 21, 5225–5228. [Google Scholar] [CrossRef] [PubMed]
- Chou, T.-C. Immunosuppressive Ningalin Compounds. WO2006026496A2, 2006. Available online: https://patentscope.wipo.int/search/en/detail.jsf?docId=WO2006026496 (accessed on 9 March 2006).
- Thasana, N.; Worayuthakarn, R.; Kradanrat, P.; Hohn, E.; Young, L.; Ruchirawat, S. Copper(I)-Mediated and Microwave-Assisted Caryl−Ocarboxylic Coupling: Synthesis of Benzopyranones and Isolamellarin Alkaloids. J. Org. Chem. 2007, 72, 9379–9382. [Google Scholar] [CrossRef] [PubMed]
- Padilha, G.; Iglesias, B.A.; Back, D.F.; Kaufman, T.S.; Silveira, C.C. Synthesis of Chromeno[4,3-b]pyrrol-4(1H)-ones, from β-Nitroalkenes and 4-Phenylaminocoumarins, under Solvent–free Conditions. ChemistrySelect 2017, 2, 1297–1304. [Google Scholar] [CrossRef]
- Vyasamudri, S.; Yang, D.-Y. Base-Dependent Divergent Annulation of 4-Chloro-3-formylcoumarin and Tetrahydroisoquinoline: Application to the Synthesis of Isolamellarins and Hydroxypyrrolones. J. Org. Chem. 2019, 84, 3662–3670. [Google Scholar] [CrossRef] [PubMed]
- Sarkar, S.; Samanta, R. Weakly Coordinating tert-Amide-Assisted Ru(II)-Catalyzed Synthesis of Azacoumestans via Migratory Insertion of Quinoid Carbene: Application in the Total Synthesis of Isolamellarins. Org. Lett. 2022, 24, 4536–4541. [Google Scholar] [CrossRef]
- King, H.I.; Holland, R.H.; Reed, F.P.; Robertson, A. Analogues of rotenone and related compounds. Part II. Coumarono-(2?:3?:3:4)-coumarins. J. Chem. Soc. 1948, 3, 1672–1674. [Google Scholar] [CrossRef]
- Stadlbauer, W.; Kappe, T. Synthese von Indolen und Isochinolonen aus Phenylmalonylheterocyclen. Monatshefte Fur Chemie/Chem. Mon. 1984, 115, 467–475. [Google Scholar] [CrossRef]
- Stadlbauer, W.; Laschober, R.; Kappe, T. Potential non-steroidal estrogens and antiestrogens, IV Organic azides in heterocyclic synthesis, part 13: Synthesis of aza- and diazacoumestrols via azido derivatives. Monatshefte Fur Chemie/Chem. Mon. 1991, 122, 853–861. [Google Scholar] [CrossRef]
- Kurihara, T.; Harusawa, S.; Hirai, J.-I.; Yoneda, R. Regiospecific arylation of 1,4-benzoquinone cyanohydrin phosphate: Synthesis of 3-aryl-4-hydroxybenzonitriles. J. Chem. Soc. Perkin Trans. 1 1987, 1771–1776. [Google Scholar] [CrossRef]
- Yao, T.; Yue, D.; Larock, R.C. An Efficient Synthesis of Coumestrol and Coumestans by Iodocyclization and Pd-Catalyzed Intramolecular Lactonization. J. Org. Chem. 2005, 70, 9985–9989. [Google Scholar] [CrossRef]
- James, C.A.; Coelho, A.L.; Gevaert, M.; Forgione, P.; Snieckus, V. Combined Directedortho and Remote Metalation−Suzuki Cross-Coupling Strategies. Efficient Synthesis of Heteroaryl-Fused Benzopyranones from BiarylO-Carbamates. J. Org. Chem. 2009, 74, 4094–4103. [Google Scholar] [CrossRef] [PubMed]
- Chang, C.-P.; Pradiuldi, S.V.; Hong, F.-E. Synthesis of coumarin derivatives by palladium complex catalyzed intramolecular Heck reaction: Preparation of a 1,2-cyclobutadiene-substituted CpCoCb diphosphine chelated palladium complex. Inorg. Chem. Commun. 2009, 12, 596–598. [Google Scholar] [CrossRef]
- Irgashev, R.A.; Karmatsky, A.A.; Slepukhin, P.A.; Rusinov, G.L.; Charushin, V.N. A convenient approach to the design and synthesis of indolo[3,2-c]coumarins via the microwave-assisted Cadogan reaction. Tetrahedron Lett. 2013, 54, 5734–5738. [Google Scholar] [CrossRef]
- Wu, J.; Lan, J.; Guo, S.; You, J. Pd-Catalyzed C–H Carbonylation of (Hetero)arenes with Formates and Intramolecular Dehydrogenative Coupling: A Shortcut to Indolo[3,2-c]coumarins. Org. Lett. 2014, 16, 5862–5865. [Google Scholar] [CrossRef]
- Cheng, C.; Chen, W.-W.; Xu, B.; Xu, M.-H. Intramolecular cross dehydrogenative coupling of 4-substituted coumarins: Rapid and efficient access to coumestans and indole[3,2-c]coumarins. Org. Chem. Front. 2016, 3, 1111–1115. [Google Scholar] [CrossRef]
- Cheng, C.; Chen, W.-W.; Xu, B.; Xu, M.-H. Access to Indole-Fused Polyheterocycles via Pd-Catalyzed Base-Free Intramolecular Cross Dehydrogenative Coupling. J. Org. Chem. 2016, 81, 11501–11507. [Google Scholar] [CrossRef] [PubMed]
- Balalas, T.; Abdul-Sada, A.; Hadjipavlou-Litina, D.J.; Litinas, K.E. Pd-Catalyzed Efficient Synthesis of Azacoumestans Via Intramolecular Cross Coupling of 4-(Arylamino)coumarins in the Presence of Copper Acetate under Microwaves. Synthesis 2017, 49, 2575–2583. [Google Scholar] [CrossRef]
- Ding, D.; Zhu, G.; Jiang, X. Ligand-Controlled Palladium(II)-Catalyzed Regiodivergent Carbonylation of Alkynes: Syntheses of Indolo[3,2-c]coumarins and Benzofuro[3,2-c]quinolinones. Angew. Chem. Int. Ed. 2018, 57, 9028–9032. [Google Scholar] [CrossRef]
- Gu, C.-X.; Chen, W.-W.; Xu, B.; Xu, M.-H. Synthesis of indolo[2,3-c]coumarins and indolo[2,3-c]quinolinones via microwave-assisted base-free intramolecular cross dehydrogenative coupling. Tetrahedron 2019, 75, 1605–1611. [Google Scholar] [CrossRef]
- Rusanov, D.A.; Alfadul, S.M.; Portnyagina, E.Y.; Silyanova, E.A.; Kuznetsov, N.A.; Podpovetny, K.E.; Samet, A.V.; Semenov, V.V.; Babak, M.V. Toward “E-Ring-Free” Lamellarin Analogues: Synthesis and Preliminary Biological Evaluation. ChemBioChem 2023, 24, e202300161. [Google Scholar] [CrossRef]
- Das, B.; Dahiya, A.; Chakraborty, N.; Patel, B.K. Synthesis of Chromenopyrroles (Azacoumestans) from Functionalized Enones and Alkyl Isocyanoacetates. Org. Lett. 2023, 25, 5209–5213. [Google Scholar] [CrossRef] [PubMed]
Disclaimer/Publisher’s Note: The statements, opinions and data contained in all publications are solely those of the individual author(s) and contributor(s) and not of MDPI and/or the editor(s). MDPI and/or the editor(s) disclaim responsibility for any injury to people or property resulting from any ideas, methods, instructions or products referred to in the content. |
© 2024 by the authors. Licensee MDPI, Basel, Switzerland. This article is an open access article distributed under the terms and conditions of the Creative Commons Attribution (CC BY) license (https://creativecommons.org/licenses/by/4.0/).






















































































