Abstract
Quorum sensing (QS) is a bacterial cell-to-cell communication mechanism that plays an essential role in bacterial pathogenesis. QS governs bacterial behavior and controls biofilm formation, which in turn contributes to antibiotic resistance. Therefore, identifying and synthesizing novel compounds to overcome QS and inhibit biofilm formation are essential. Coumarins are important plant-derived natural products with wide-ranging bioactivities and extensive applications, including antibacterial, antifungal, anticoagulant, antioxidant, anticancer, and anti-inflammatory properties. Additionally, coumarins are capable of QS rewiring and biofilm formation inhibition, leading to higher susceptibility to antimicrobial agents and less antibiotic resistance. Therefore, in this review, we aim to provide an overview of QS and biofilm formation. This review also discusses the role of natural and synthesized coumarins in controlling QS, inhibiting biofilm formation, and inducing synergy in antibiotic–coumarin combinations. Hence, this review emphasizes the potential of coumarin compounds to act as antibacterial agents and demonstrates their ability to alleviate antibiotic resistance.
1. Introduction
Bacterial adaptability to the complicated, constantly changing host environment is crucial for their pathogenesis. Therefore, bacteria have the ability to recognize and respond to these environmental changes by producing different signals. Such bacterial signals facilitate cellular communication within a single population of bacteria (interspecies communication) or between different bacterial populations (interspecies communication). Additionally, they enable bacteria to modify the expression of specific genes and rewire their metabolic pathways to accommodate their needs [1]. Quorum sensing (QS) is a major molecular mechanism that is involved in bacterial adaptation to the host environment [2,3]. QS is bacterial cell-to-cell communication that plays a critical role in microbial communities. Microbial communication through QS occurs via many chemical signals called autoinducers [4,5]. Autoinducers are small molecules produced by bacteria that are responsible for transferring different information and signals across the microbial community. Therefore, they control bacterial density, competence, virulence, resistance to antibiotics, and biofilm formation [3,4,5,6,7]. Autoinducers are divided into three main categories; acyl homoserine lactones (AHLs), which primarily exist in Gram-negative bacteria; autoinducer oligopeptides, which are predominant in Gram-positive bacteria’ and autoinducer-2 (AI-2), a furanosyl borate diester, that was first discovered in the Gram-negative, bioluminescent marine bacterium Vibrio harveyi [8]. Through these autoinducers, bacteria can regulate their behavior and cellular pathways according to their population density and in response to changes in the host environment.
One of the main processes controlled by QS is biofilm formation. Bacterial biofilm is a mode of growth where bacteria are frequently found encased in a polysaccharide matrix attached to a solid surface. Hence, biofilm formation offers protection from environmental agents and ensures bacterial survival [9]. It has been shown that bacterial cells that inhabit biofilms exhibit 10 to 1000 times less susceptibility to antimicrobial agents [10]. This poor susceptibility is attributed to poor antibiotic permeability due to less penetration of the bacterial biofilm. The high population densities and proximity of cells in biofilms also increase the chances for genetic exchange of antimicrobial resistance genes [11]. Additionally, biofilm is considered a special microenvironment that harbors heterogeneous areas with different concentrations of nutrients and bacterial secretions. Such heterogeneity leads to different levels of bacterial resistance [3,7]. Thus, biofilm formation is a central mechanism that confers antibiotic resistance, which we need to overcome to improve bacterial susceptibility to antimicrobial agents.
Over the past decades, there has been increasing interest in the potential human health benefits of natural compounds. Therefore, identifying and developing novel compounds from natural sources represent a safer approach for combating microbial resistance and inhibiting biofilm formation due to their fewer side effects.
The most promising anti-QS molecules and inhibitors of biofilm formation found in plants are from the coumarin family, a large structurally diverse family of plant phenolic compounds characterized by various pharmacological properties.
Coumarin is a natural compound that was isolated from Coumarouna odorata in 1820 by Vogel. It belongs to the group of simple phenolic compounds found in plants, microorganisms, and some animals [12]. Some plant families like Umbelliferae, Rutaceae, Compositae, Leguminosae, Oleaceae, Moraceae, and Thymelaeaceae produce high levels of coumarin compounds. 2H-1-benzopyran-2-one is the basic structure of coumarin (1), and coumarins are further classified into simple and complex coumarins based on this structure. Simple coumarins include 3-hydroxy (2), 4-hydroxy (3), 6-hydroxy (4), 7-hydroxy (umbelliferone, 5), 6,7-dihydroxycoumarins (6), daphnetin (7), 4-methylumbelliferone (8), esculin (9), herniarin (10), fraxetin (11), scopoletin (12), scoparone (13), and lacinartin (14). Complex coumarins include biscoumarins, furanocoumarins, pyranocoumarins, and dihydrofurocoumarins [12,13,14,15] (Figure 1).
Figure 1.
The chemical structures of some simple and complex coumarins.
Coumarin and its derivatives have diverse biological activities, including anti-tumor [16], anti-inflammatory [17], anticoagulant [18], antiviral [19,20], antimicrobial [21,22], and insecticidal activity [23]. One of the most important biological features that distinguish the coumarin family is that they have been identified as potent anti-virulent compounds [24] and as inhibitors of biofilm formation of a wide range of pathogens. This includes ESKAPE pathogens such as Staphylococcus epidermidis, Porphyromonas gingivalis, Escherichia coli, Salmonella typhimurium, Candida albicans, and Pseudomonas aeruginosa and the phytopathogen Ralstonia solanacearum [25,26].
Through our current review, we will shed light on QS, explain the mechanisms of biofilm formation, and demonstrate the relationship between QS and biofilm formation. Moreover, we will describe the importance of natural and synthesized coumarins that combat QS and biofilm formation, considering the literature was published from 2011 until now.
2. Quorum Sensing (QS)
QS is a route enabling bacterial cells to communicate chemically that relies on the production, detection, and response to extracellular signaling molecules known as autoinducers. QS permits groups of bacteria to alter their behaviors in response to changes in the population density and species composition of the vicinal community [27]. QS, as a communication mechanism, is found in all kinds of microorganisms [28]. It regulates gene expression in response to variations in cell population density. Through QS, both Gram-positive and Gram-negative bacteria form communication circuits to control different ranges of bacterial characteristics, such as virulence, conjugation, competence, antibiotic production, sporulation, motility, and biofilm formation [29]. Bacteria produce and release small molecules as chemical QS signals known as autoinducers. Autoinducers of Gram-negative bacteria are acylated homoserine lactones (AHLs), whereas Gram-positive bacteria use oligopeptides to communicate [3]. Recent investigations in this field indicated that cell–cell communication through autoinducers occurs either within the same bacterial species or between different bacterial species [30]. Additionally, there are increasing investigations suggesting that bacterial autoinducers provoke exact responses in their hosts. It has been found that the bacterial ability to communicate with each other allows them to coordinate gene expression, thus modulating the bacterial behavior of the entire community [27,31]. Nearly 80% of microbial infections are related to biofilm formation, which is controlled by QS [32]. It has been shown that, compared to free single cells, bacteria that are found in biofilms are more resistant to antibiotics, environmental pressure, and the host immune system [33].
2.1. Quorum Sensing in Gram-Negative Bacteria
AHLs are the QS signaling molecules found in Gram-negative bacteria, with autoinducer 1 (AI-1) serving as an example. They are water-soluble molecules that can easily permeate through bacterial cellular membranes. Consequently, AHLs freely enter and leave the bacterial cells to maintain constant concentrations inside and outside [34,35]. The LuxR–LuxI system is the typical regulatory system of Gram-negative bacteria. A monomeric LuxI homolog catalyzes the synthesis of an AHL. When the AHL reaches a critical concentration, it can bind to a LuxR homolog and stabilize the active dimeric protein. The AHL-bound LuxR can bind to QS-activated promoters of specific DNA target sites to adjust the expression of the target genes [36] (Figure 2).
Figure 2.
Quorum sensing in Gram-positive bacteria.
2.2. Quorum Sensing in Gram-Positive Bacteria
Autoinducer peptides (AIPs) are the signaling molecules of Gram-positive bacteria that are recognized by histidine kinases (receptors) on the membrane or in the cytoplasm. The QS system in Gram-positive bacteria is divided into two parts. The first part is a specific autoinducer peptide transport system, and the second part is a regulatory signal transduction system [37,38]. Through a series of changes and processes, the peptide precursor becomes a stable active signaling molecule (AIP) that is secreted into the extracellular environment with the help of enzyme ABC transferase (ATP-binding cassette transporter). When the extracellular secretion of AIPs reaches the needed concentration, it interacts with the phosphokinase biocomponent on the cell membrane. This interaction between phosphokinase and AIP leads to the autophosphorylation of retained histidine residues (H) followed by the phosphorylation of the aspartic acid residues (D) in the regulatory protein that responds to it. Lastly, the phosphorylated response regulatory protein interacts with specific DNA target sites to adjust the expression of the target genes [39] (Figure 3).
Figure 3.
Quorum sensing in Gram-negative bacteria.
2.3. Detection of Quorum Sensing Signaling Molecules
QS signal molecules can be detected using three different methods. First, Chromobacterium violaceum, Agrobacterium tumefaciens, E. coli, or Vibrio fischeri biosensors are used to sense N-acyl homoserine lactones (AHLs) [40]. Bacterial biosensors can be induced by strains containing AHLs to produce distinguishable phenotypic changes, including large-scale expression of purple color and/or β-galactosidase. Second, QS can be detected using chromatographic techniques such as thin layer chromatography (TLC) and high-performance liquid chromatography (HPLC) [41]. Third, a combination of the TLC method with a bacterial biosensor (TLC-Biosensor) can also be used to detect QS signal molecules [42].
2.4. Qs as a Chemical Tool in Enhancing Biofilm Formation in Bacteria
The colony behavior of bacterial cells is controlled by both QS and biofilm formation. The signal transmission of autoinducers between cells leading to the detection of bacterial cell density is known as QS, while biofilm is known as bacterial cell aggregation. The cell aggregates are quite similar and connected to each other through bacterial cell self-excretion of an extracellular matrix known as biofilm; thus, biofilm is known as an environment controlled by QS [43]. Streptococcus oralis 34 secretes autoinducer (AI-2), which is necessary for biofilm formation by S. oralis 34 and Actinomyces naeslundii [44]. AI-2 was also found to be a mediator for QS in E. coli; thus, it is involved in biofilm formation, regulation of motility genes, synthesis of flagellum, and chemotaxis [45]. Biofilm formation in bacteria is an active and layered process. The first and crucial stage of the formation of bacterial biofilm is adhesion to the host, which is followed by the biofilm aggregation stage, maturation, and dispersion (Figure 4). Bacterial cells adhere mainly by binding to the host surface through the outer membrane adhesive proteins and by excreting exopolysaccharides (EPSs) [46]. Furthermore, QS is involved in the dynamic process of biofilm formation in both Gram-negative and Gram-positive bacteria [47]. QS in P. aeruginosa (as a representative Gram-negative bacteria) is complicated and is judged by transcriptional regulators MvaT and RsaL. It is also controlled by post transcriptional regulators (RsmA), sigma factors (RpoN and RpoS), and 2-heptyl-3-hydroxy-4(1H)-quinolone (PQS) systems [43]. In addition to the functions that are controlled by LasI/LasR/RhII/RhIR, there are several virulence factors responsible for biofilm formation, such as rhamnolipid, lectin, and siderophores [48]. Surface movement (clustering) is maintained by rhamnolipid, leading to biofilm formation. Additionally, LecA and LecB are considered QS-dependent carbohydrates (bending lectins) that exhibit an essential role in biofilm formation in mutants that cannot produce biofilm [49,50]. The PQS activates the production of extracellular DNA (eDNA) that interacts with exopolysaccharides (positively charged molecules) in the matrix to form the biofilm [51].
Figure 4.
Stages of biofilm formation from initiation to dispersion.
Biofilm is also known to be produced by Staphylococcus aureus (a Gram-positive representative) through the AIP-mediated QS sensing system. Additionally, the Agr QS system, where the agr locus encodes a QS circuit, inhibits the formation of biofilm; therefore, the biofilm formed by the agr-carrying strain of S. aureus is thinner than that by the agr-deficient strain. The Agr system upregulates the expression of δ-hemolysin (cleaved mature biofilms) and downregulates the expression of adhesion proteins that play an important role in maintaining the integrity of biofilms [52]. Furthermore, RNAIII inhibiting peptide (RIP, YSPWTNF) is a heptapeptide that interferes with the biofilm formation of S. aureus by preventing the agr system [53]. In the LuxS/AI-2 QS system of S. aureus, the deletion of the LuxS gene could lead to enhanced biofilm inhibition and antibiotic sensitivity, thus affecting the pathogenicity of the strain [54]. This biofilm inhibition may be due to the ability of the luxS gene to downregulate the genes related to biofilm formation. Moreover, environmental conditions such as carbon sources, pH, and flow rates regulate QS and affect biofilm formation as well [27]. It was shown that AHLs of Gram-negative bacteria are fairly stable at acidic and neutral pH. In contrast, at high pH, chemical hydrolysis of the homoserine lactone ring occurs. Regardless of whether the QS regulating biofilm formation is negative or positive, the bacterial biomass required to initiate QS in a given bacterial population increases with the fluid environment flow rate [55].
3. QS Activity and Biofilm Formation Inhibition of Natural Coumarins
Coumarins are a family of phenolic compounds that are derived from plant sources. They have received considerable attention due to their antimicrobial properties. Thus, coumarins are emerging as promising candidates for developing next-generation antimicrobial agents. One of the most important biological features of the coumarin family is that they act as potent antivirulent compounds [24] and inhibit biofilm formation in a wide range of pathogens [25,26]. Table 1 presents natural coumarin derivatives that have shown QS activity and inhibit biofilm formation.
Table 1.
Quorum sensing activity and biofilm formation inhibition of natural coumarins.
The anti-QS activity of coumarin (1) is mainly due to its effect on various Gram-negative bacteria that utilize type 1 density-dependent communication systems [25]. This includes its impact on P. aeruginosa by inhibiting biofilm formation, phenazine biosynthesis, and motility. On the other hand, the effect of coumarin (1) on Aliivibrio fischeri involves inhibition of bioluminescence, which is caused by transcription of the lux operon (which is induced through population-dependent quorum sensing) [25]. It is important to note that the reduction in biofilm formation by coumarin (1), unlike antibiotics that aim to inhibit cell growth, is due to its antibiofilm activity and not its antimicrobial activity [72]. Hence, certain coumarins that act as biofilm inhibitors but do not inhibit bacterial growth could reduce the risk of drug resistance [72].
Another simple coumarin, dihydrocoumarin (15), exhibited activity that effectively suppressed the biosynthesis of quorum-dependent violacein, a blue-violet pigment, in C. violaceum and biofilm formation in Hafnia alvei [71].
In a distinctive study, the effect of some members of the coumarin family (coumarin (1), 4-hydroxycoumarin (3), umbelliferone (5), 6,7-dihydroxycoumarin (6), daphnetin (7), and scopoletin (13)) on biofilm formation in E. coli O157:H7 was investigated. The study confirmed the antibiofilm effect of the identified coumarins and demonstrated for the first time the distinct antibiofilm properties of umbelliferone (5) [56]. In another study, two furocoumarins, bergamottin (18) and 6,7-dihydrobergamottin (19) isolated from grapefruit juice as well as citrus fruits (Citrus bergamia, Citrus maxima, and Citrus paradisi), suppressed QS biofilm formation in E. coli O157:H7 by 72 and 58.3%, respectively (Figure 5). The two furocoumarins (18 and 19) exhibited their activity vis-à-vis bacteria that use both AI-1 (N-acyl homoserine lactones, AHLs) and AI-2 (furanosyl borate diester) signaling through density-dependent communication [73].
Figure 5.
The chemical structures of coumarins isolated from citrus fruits.
While the furocoumarins 7-methoxy-8-(2-formyl-2-methylpropyl) coumarin (20), bergaptene (21), and 7-geranyloxycoumarin (22) (Figure 5), along with flavonoids from grapefruit (Citrus paradisi) essential oils, did not inhibit the growth of P. aeruginosa, they did inhibit biofilm formation by 52% and 55%, sessile cell viability by 45% and 48%, autoinducer production, and elastase activity by 30% and 56% [74].
In 2017, D’Almeida and his colleagues studied the inhibitory effects of coumarin (1) and six structurally related compounds: 3-hydroxy (2), 4-hydroxy (3), 6-hydroxy (4), 7-hydroxy (5), 6,7-dihydroxy coumarins (6), and dihydrocoumarin (15) on the QS of P. aeruginosa and C. violaceum. They demonstrated that the coumarins with hydroxyl groups on the phenyl ring displayed higher activity against P. aeruginosa biofilm formation than the coumarins with hydroxyl groups on the pyrane ring or dihydrocoumarin. In addition, 3-hydroxy and 4-hydroxy coumarins showed a decrease in their antibiofilm activity compared with coumarin itself. Additionally, 3-hydroxycoumarin was important for the inhibition of P. aeruginosa and C. violaceum QS. These observed effects were active independently of any effect on growth, indicating that hydroxycoumarins are useful as anti-virulence agents against P. aeruginosa and C. violaceum [75].
Coumarin (1) and 6,7-dihydroxycoumarin (6) were identified as components of Acacia species collected from Benin and obtained using the ethanol extraction process. These compounds showed antimicrobial activity with MIC values ranging from 0.1562 mg/mL to 2.5 mg/mL against S. aureus, Enterococcus faecalis, P. aeruginosa, Salmonella typhi, and C. albicans, with excellent biofilm inhibition at MIC and sub-MIC concentrations, especially against E. coli [76]. Additionally, the extracts were able to disrupt QS processes in C. violaceum CV12472 and C. violaceum CV026 as they inhibited violacein production, possibly through modulating signal production and reception mechanisms [76].
4. QS Activity and Biofilm Formation Inhibition of Synthetic Coumarin Compounds
The inhibition of QS and the inhibition of biofilm formation by coumarin and its derivatives have encouraged researchers to develop the coumarin ring by constructing new coumarin compounds, searching for derivatives that counter or reduce the risk of bacterial resistance, and then determining their mechanism of action as biofilm inhibitors.
In unique research, Qu et al. prepared a series of bis-coumarin derivatives [77] via the reaction of substituted benzaldehyde and 4-hydroxycoumarin (3) in the presence of a catalytic amount of piperidine (Scheme 1). One biscoumarin derivative (DCH, 24) showed unique activity against a broad range of Gram-positive and Gram-negative bacteria, as well as methicillin-susceptible S. aureus (MSSA) and methicillin-resistant S. aureus (MRSA) strains. The results indicated that DCH (24) showed antimicrobial activity against Gram-positive bacteria such as S. aureus and S. epidermidis with MIC values ranging from 4 to 32 μg/mL and was ineffective against Gram-negative bacterial strains [77]. Additionally, DCH (24) inhibited MRSA with a MIC of 4 or 8 μg/mL in comparison to a quinolone antibacterial agent, which significantly inhibited the growth of S. aureus ATCC 29213 at 8 μg/mL [77]. Next, they studied the mechanistic pathway of its action against MRSA and indicated that DCH (24) at a concentration range of 0.25 to 4 μg/mL (below the MIC) inhibited MRSA biofilm by inhibiting the expression levels of genes including srtA, atlE, aap, and icaA [77]. In addition, DCH (24) inhibited MRSA adhesion and biofilm formation on the catheter surface and inhibited the spread and growth of MRSA from the catheter to the liver, spleen, lung, and kidney [77].
Scheme 1.
Synthesis of a biscoumarin derivative (DCH, 24).
A series of C-7(O) modified 4-methyl coumarinylamines (26a–26d) and 7-hydroxycoumarinyl acetamides (28a–28f) have been synthesized according to Scheme 2 and were screened for their antibiofilm activity against S. aureus and P. aeruginosa [78]. Compounds 26a–26d were obtained via the reaction of compound 8 with 1,2-dibromoethane under reflux in the presence of anhydrous K2CO3 to yield compound 25 as an intermediate. The reaction of the intermediate 25 with different primary aromatic amines in dry N,N-dimethylformamide and in the presence of anhydrous K2CO3 under reflux afforded C-7(O) modified 4-methyl coumarinylamines (26a–26d) (Scheme 2). Compounds 28a–28f were prepared via heating of 2-(7-hydroxy-2-oxo-2H-chromen-4-yl)acetic acid (27) with dicyclohexyl carbodiimide (DCC) in dry DMF. Then, different aromatic amins were added in the presence of a catalytic amount of triethylamine and 4-dimethylaminopyridine (DMAP) to afford the corresponding 7-hydroxycoumarinyl acetamides (28a–28f) (Scheme 2). Most of the tested compounds 26a–d and 28a–f showed maximum inhibition of 50% against both S. aureus and P. aeruginosa [78]. Total protein quantification of surface-adhered biofilm revealed a significant decrease in the biofilm-forming ability of both S. aureus and P. aeruginosa by 26a (66.96% and 84.19%) and 26b (54.73% and 55.06%), respectively. However, compounds 26a (66.86%), 26b (66.77%), 28c (71.91%), and 26c (71.95%) showed a significant antibiofilm effect against S. aureus only. On the other hand, compounds 28d (60.96%), 28e (61.56%), 28f (73.35%), and 26d (53.97%) showed a maximum antibiofilm effect against P. aeruginosa only as revealed by total protein quantification of biofilm [78].
Scheme 2.
Synthesis of C-7(O) modified 4-methyl coumarinylamines (26a–26d) and 7-hydroxycoumarinyl acetamides (28a–28f).
The Ag(I) phenanthroline–coumarin complexes 30a and 30b were synthesized by treating a solution of coumarin acids 29 and silver nitrate with 1,10-phenanthroline in ethanol under stirring for 2 h (Scheme 3). The complexes 30a and 30b were screened for their in vitro antibacterial activity against P. aeruginosa ATCC 27853. The silver complexes 30a and 30b showed minimum inhibition concentration (MIC90) values of 55.7 and 48.5 μM against P. aeruginosa. These compounds exerted their activity by disrupting the signal processes associated with biofilm formation, thus hindering the mechanisms involved in biofilm resistance to antimicrobial agents [79].
Scheme 3.
Synthesis of Ag(I) phenanthroline-coumarin complexes 30a and 30b.
A one-pot three-component reaction of 6-fluoro-4-hydroxycoumarin (31), 5,6-diamino-1,3-dimethylpyrimidine-2,4(1H,3H)-dione (32), and various heterocyclic aldehydes (33) in acetic acid led to the formation of a series of 3-benzylpyrimidino chromen-2-ones (34) (Scheme 4). The obtained compounds were evaluated for their antibacterial and antibiofilm formation activities against Micrococcus luteus MTCC 2470, S. aureus MTCC 96, S. aureus MLS-16 MTCC 2940, Bacillus subtilis MTCC 121, Gram-positive bacterial strains, and P. aeruginosa MTCC 2453, which is a Gram-negative bacterium. Compounds 34b and 34c showed anti-M. luteus activity with a MIC of 0.55 μg/mL and were equivalent to ciprofloxacin. Additionally, both coumarin derivatives were able to inhibit M. luteus biofilm formation at a minimum biofilm eradication concentration (MBEC) of 4 μg/mL. On the other hand, compound 34a had fair antibacterial activity against M. luteus MTCC 2470, S. aureus MTCC 96, and S. aureus MLS-16 MTCC 2940 with MICs of 2.34, 2.34, and 1.17 μg/mL, respectively. Meanwhile, 34a inhibited S. aureus MTCC 96 biofilm with a MBEC of 4 μg/mL [80].
Scheme 4.
Synthesis of 3-benzylpyrimidino chromen-2-ones (34).
Fluoro-coumarin-substituted pyrazole-derived hydrazones (39a–39d) have been synthesized as outlined in Scheme 5. First, the reaction of fluoro-3-acetyl coumarin (35) with 4-hydrazinobenzoic acid (36) in ethanol and in the presence of glacial acetic acid gave the hydrazone product (37). The latter compound under the Vilsmier-Haack formylation reaction yielded the corresponding pyrazole aldehyde derivative (38). The reaction of compound (38) with various primary aromatic amines afforded the target fluoro-coumarin-substituted pyrazole-derived hydrazones (39a–39d) (Scheme 5) [81]. Compounds 39a and 39d showed notable activity against MRSA, with MICs as low as 3.125 µg/mL. Additionally, 39a inhibited biofilm formation by 85% of its half MIC, while 39d removed more than 90% of the biofilm at 2× and 1× of its MICs. Although compound 39b showed moderate antimicrobial activity with a MIC that did not exceed 12.25 µg/mL, it inhibited biofilm formation at 2× and 1× of its MIC values. These results were very significant, as vancomycin (the positive control) could only eliminate ~70% of the preformed biofilm at 2× of its MIC (0.78–3.125 µg/mL) [81].
Scheme 5.
Synthesis of fluoro-coumarin-substituted pyrazole-derived hydrazone derivatives.
Yang et al. prepared a series of coumarin aminophosphonates as coumaphos analogs (insecticide reveals great medical potential in agriculture) via the reaction of 4-methyl-7-aminocoumarin (40) with various aldehydes (41) in the presence of diethyl phosphonate (Scheme 6). The bioactivity assessment identified that 3-hydroxylphenyl aminophosphonate (42) exhibited profound in vitro inhibition potency against S. aureus at low concentrations (0.5 μg/mL). Also, 42 was capable of eradicating the S. aureus biofilm, thus alleviating the development of S. aureus resistance. Thus, it was able to destroy the integrity of the cell membrane, which resulted in protein leakage and metabolism inhibition. Biofilm formation decreased significantly by 30% at a concentration of compound 42 that was 16 times its MIC [82].
Scheme 6.
Synthesis of 3-hydroxylphenyl aminophosphonate (42).
Zhang et al. prepared a series of coumarin–chalcone derivatives using the basic catalyzed reaction of 3-acetyl coumarin (43) and various aldehydes (41) [Claisen–Schmidt condensation reaction] (Scheme 7). Out of these compounds, (E)-3-(3-(3-methoxy-phenyl)acryloyl)-2H-chromen-2-one (44) decreased P. aeruginosa (PAO1) biofilm biomass by 70%, demonstrating strong biofilm formation inhibition with IC50 values ranging from 0.5 and 5 mM without significant impact on the growth of PAO1 or motilities [83]. They suggested that the bioactivity of the methoxy compound depends on reducing the transcription of the exopolysaccharide (PSL) operon to decrease their production, leading to a 60% reduction in its production. Additionally, the methoxy compound reduced the synthesis of c-di-GMP, an important signaling molecule controlling biofilm formation, lowering its concentration in PAO1 by twofold. Furthermore, the methoxy compound reduced the transcription of eight genes, namely, PA4843 (gcbA), PA4396, PA1107 (roeA), PA4929 (nicD), PA3343 (hsbD), PA0290, PA5487 (dgcH), and PA0847, which encode diguanylate cyclases (DGCs) in P. aeruginosa to synthesize c-di-GMP. Moreover, the methoxy compound significantly reduced the virulence of P. aeruginosa by inhibiting the transcription of several QS regulators, especially interfering with the function of LasR and PqsR, which are two key QS regulators. Hence, they concluded that the methoxy compound inhibits biofilm formation and reduces the virulence of P. aeruginosa by repressing c-di-GMP, Psl production, and the QS system.
Scheme 7.
Synthesis of (E)-3-(3-(3-methoxyphenyl) acryloyl)-2H-chromen-2-one (44).
Yung et al. prepared unique conjugated indole coumarin thiazolidinone compounds (47a–47d) as novel broad-spectrum antibacterial agents with the basic catalyzed reaction of (Z)-3-(2-hydroxyethyl)-2-((4-methyl-2-oxo-2H-chromen-7-yl)methylene)thiazolidine-4-one (45) with various 1,5-disubstituted indole aldehydes (46) (Scheme 8). Compound 47a, with low cytotoxicity to mammalian cells, exhibited a wide antibacterial spectrum and demonstrated potent inhibition efficiencies against Gram-positive and Gram-negative bacteria at low concentrations (0.25–2 μg/mL) compared to clinical norfloxacin. Furthermore, compound 47a eradicated the burden of Acinetobacter baumannii biofilm by 45% at 2 μg/mL (8 × MIC), which could potentially alleviate the development of drug resistance, as it had the ability to damage cell membranes, leading to protein and DNA leakage and hindering normal metabolism [84].
Scheme 8.
Synthesis of conjugated indole coumarin thiazolidinone compounds (47a–47d).
Coumarin containing thiazoles (49a–49i) has been synthesized starting from hydroxyethyl-connected coumarin thiazole (48) as a unique structural skeleton with antimicrobial characteristics (Scheme 9). The compound (Z)-7-(2-(methoxyimino)-2-(thiazol-2-yl) ethoxy)-4-methyl-2H-chromen-2-one (49a), where n = 0, showed potent inhibitory efficacy against MRSA at a low concentration (1 μg/mL), as well as good capability of eradicating MRSA biofilms. Compound 49a was able to damage the integrity of the bacterial membrane to trigger leakage of proteins, insert itself into MRSA DNA to block its replication, and induce the generation of reactive oxygen species (ROS) to inhibit bacterial growth [85].
Scheme 9.
Synthesis of coumarin-containing thiazoles (49a–49i).
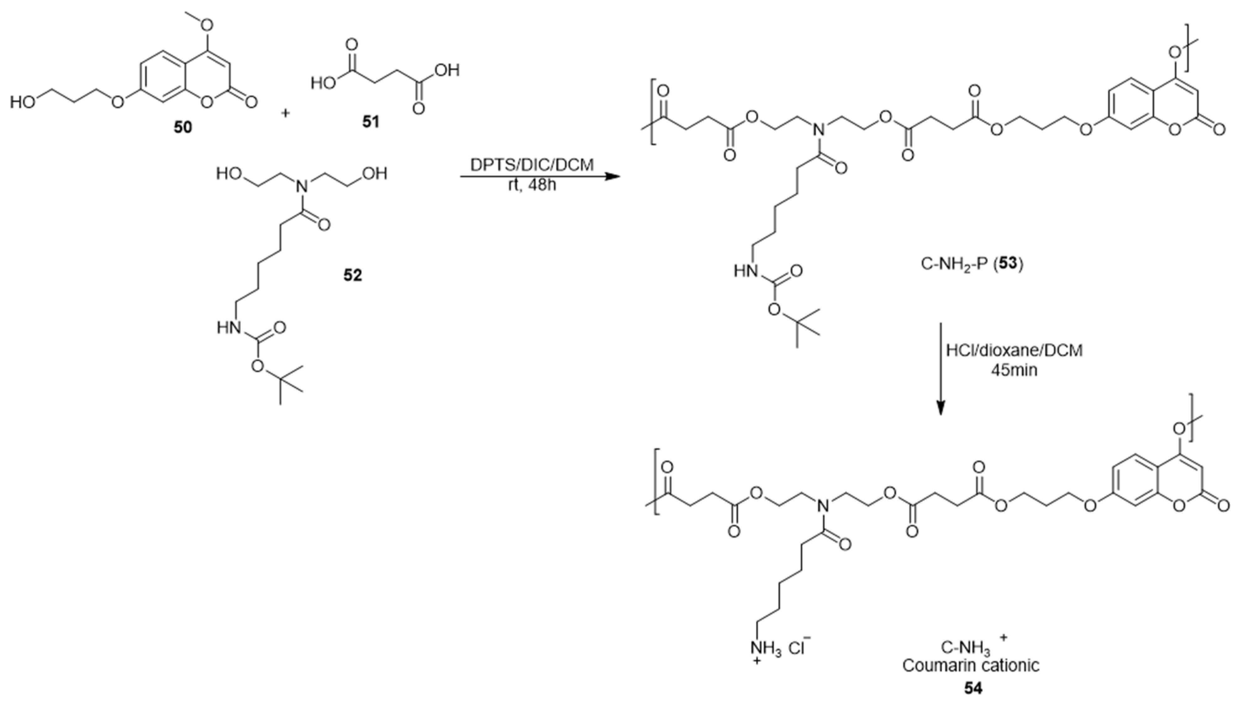
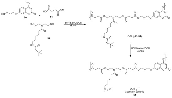
In the field of polymeric antimicrobial coatings for medical applications, a new coumarin polyester with pendant cationic amine was synthesized (Scheme 10). Coumarin polyester (protected amine) (C-NH2-P, 53) was synthesized via the reaction of 7-(3-hydroxypropoxy)-4-methoxy-2H-chromen-2-one (50), succinic acid (51), and tert-butyl (6-(bis(2-hydroxyethyl) amino)-6-oxohexyl)carbamate (52) in the presence of 4-(N,N-dimethylamino)pyridinium-4-toluenesulfonate (DPTS). The latter reaction mixture was treated with N,N-diisopropylcarbodiimide (DIC) in dichloromethan to give C-NH2-P (53) after standing for 48 h at room temperature. Deprotected coumarin polyester (54) was obtained via the acid hydrolysis of C-NH2-P (53) with 4N HCl in dioxane. The new coumarin polyesters were coated onto glass coverslips, and their antimicrobial activity against P. aeruginosa colonization on the surface was assessed. The cationic amine polyester (C-NH3+, 54) showed a remarkable ability to kill the attached P. aeruginosa cells, resulting in the absence of biofilm formation; this effect arises from the pendant cationic charge and is not due to the leaching of small molecules or oligomers from the polymeric matrix [86].
Scheme 10.
Synthesis of a coumarin polyester with a pendant cationic amine (C-NH3 +, 54).
5. Synergy between Antibiotics and Coumarin Compounds
Different studies showed that coumarins have synergistic effects when combined with other antibiotics and antifungal agents. Osthole (55) is a natural coumarin derived from the Cnidium monnieri plant that inhibits C. albicans SC5314 growth and biofilm formation (Figure 6). Li and his colleagues showed that both osthole (55) and fluconazole alone did not exhibit an antibiofilm effect. However, combining fluconazole and osthole (55) had a significant synergistic effect by reducing C. albicans biofilm formation by 90%. An expression profile microarray revealed that the combined treatment of fluconazole and osthole induced significant changes in the expression of several genes. These genes were associated with oxidation–reduction processes and energy metabolism [87,88,89].
Figure 6.
Chemical structure of osthole (55).
Another study demonstrated that the addition of plant-derived coumarins to the culture of C. violaceum ATCC 31532 inhibited its growth. Additionally, combining amikacin with coumarin inhibited QS-dependent violacein biosynthesis. Thus, minimal concentrations of amikacin were required for 50% suppression of violacein biosynthesis in the presence of coumarin. A superadditive anti-QS effect was observed while testing a whole range of subinhibitory concentrations of both amikacin and coumarin. This superadditive anti-QS effect was due to a nonspecific decrease in bacterial cell sensitivity to the autoinducer C6-AHL [90]. Additionally, coumarin displayed antimicrobial and antibiofilm effects on S. typhimurium. It inhibited extracellular matrix production by suppressing cellulose and curli fimbriae production through downregulating three main biofilm regulatory genes, namely curlin subunit gene D (csgD), curlin subunit gene A (csgA), and adhesion-related gene A (adrA). Coumarin also reduced the flagellar motility of S. typhimurium. Another study demonstrated that when coumarin is combined with resveratrol, it exhibited improved antibiofilm properties compared with each compound alone, leading to an additive effect [91]. Similar improved antibiofilm activity against P. aeruginosa was observed when coumarin derived from Angelica dahurica was combined with ampicillin and ceftazidime [92].
In 2022, a global proteomic profiling of several P. aeruginosa strains treated with umbelliferone (5) was conducted. The protein–protein interaction network analysis demonstrated that UMB differentially regulates the proteins involved in QS, virulence, stress responses, and the biosynthesis of secondary metabolites. Additionally, gene enrichment analysis showed that UMB treatment regulated several genes responsible for P. aeruginosa molecular processes, such as proton-transporting ATP synthase and the succinate–CoA ligase complex. Many major P. aeruginosa virulence-associated proteins, including RhlR, LasA, and AlgL, were suppressed upon UMB treatment. Pyocyanin, protease, elastase, and catalase were also reduced, confirming the anti-virulence capacity of UMB against different strains of P. aeruginosa. UMB treatment enhanced antibiotic susceptibility to various antibiotics, including amikacin, tobramycin, and cefotaxime [93]. Thus, the synergistic effect resulting from the coumarin–antibiotic combination could be a promising approach for significantly reducing the usage of antibiotics against bacterial resistance.
Quorum Sensing and Antibiofilm Formation: Theoretical Studies of Coumarin Compounds
A number of theoretical studies addressed the activity of coumarin and its derivatives (natural or synthetic) as biofilm inhibitors in order to identify their mode of action. In 2023, Khalil and his coworkers used computational methods including molecular docking, ADMET properties, and the Lipinski rule of five to study the antimicrobial activity of ten bioactive compounds from Reynoutria japonica as quorum quenchers. The molecular docking studies showed the binding modes of the compounds to the active pockets of the target proteins of S. aureus: AgrA, AgrB, AgrC, and TRA. Coumarin (1) showed a -6.6 Kcal/mol binding score with one hydrogen bond with the amino acid (ASN353) of the active pocket and seven hydrophobic interactions with LEU381, LEU365, ASN323, PHE405, ILE359, ALA327, and CYS355. On the other hand, physiochemical and pharmacokinetic properties indicated that coumarin did not obey the Lipinski rule of five [94].
Qu and his colleagues showed that DCH’s anti-MRSA activity likely occurred through targeting bacterial arginine repressor (ArgR). ArgR is the master regulator of arcABCD operon expression in many bacterial species, and the presence of arginine results in decreased binding of ArgR to the arc promoter, allowing arginine to be catabolized through the arc-encoded enzyme degradation pathway. They studied the molecular docking of DCH (24) toward the C-terminal domain of S. aureus arginine repressor (S. aureus ArgRC). The molecular docking results indicated that DCH (24) binds to arginine in the active pocket of ArgRC and recorded a docking score of −5.07 Kcal/mol. It showed two obvious interactions between the DCH’s benzene rings and GLN25 and ASP46 amino acids in the active pocket of ArgRC. Thus, the molecular docking study provided evidence that DCH targets the arginine repressor ArgR of S. aureus [77].
In 2021, molecular docking studies were conducted to identify the mode of interaction between 6-methycoumarin (6MC, 21) and QS receptors of P. aeruginosa and C. violaceum [69]. The structures of QS activator proteins from P. aeruginosa, including LasI (acyl-homoserine-lactone synthase), LasR (transcriptional activator protein receptor protein), PqsE (pseudomonas quinolone signal response protein), and SidA (QS transcription regulator protein), as well as the structure of the QS activator protein from C. violaceum CviR, were used. The molecular docking study verified that 6MC showed a higher binding affinity toward Rhl systems than LasI with a docking score of −7.9 kcal mol−1 and revealed its interaction with Tyr55 and His-53 (π-π non-covalent interaction) as well as Leu-42 (π–sigma interaction) [69]. In a similar manner, 6MC binds to the active pocket of CviR with a binding energy score of −6.8 kcal mol−1 and forms two hydrogen bonds with the active amino acids Gln-90 and Ser-89. Hence, by comparing the binding affinity and types of bond formed, 6MC was demonstrated to be a potential QS inhibitor against P. aeruginosa compared to C. violaceum [69]. As a result, in both bacteria, 6MC mainly binds to the QS system receptor [69].
In a later study in 2021, Abul Qais and others studied the mode of action of coumarin (1) against the active site of acylhomoserine lactone (AHL) synthases and QS regulatory proteins. Coumarin (1) was tested against the QS-regulated virulent traits of Gram-negative bacteria, including C. violaceum ATCC 12472, P. aeruginosa PAO1, and Pantoea stewartii [24]. The results showed that coumarin (1) bound to the active sites of proteins, including AHL synthases and regulatory proteins (Table 2), forming a stable complex. Table 2 displays the Gram-negative bacterial proteins targeted by coumarin (1).
Table 2.
Gram-negative bacterial proteins targeted by coumarin (1).
Ding and colleagues analyzed the effectiveness of daphnetin (7), which was shown to reduce the production of extracellular polysaccharides and virulence factors in R. solanacearum in a molecular docking study using the EpsB protein [65]. Eps genes are necessary for biofilm formation and virulence in tobacco plants. The molecular docking results indicated that daphnetin showed a favorable binding mode inside the active pocket of EpsB protein. Moreover, daphnetin showed a binding energy score of −4.25 Kcal mol−1 and interacted with four key amino acids (LEU222, ARG227, ALA285, and GLU286) in the active pocket of EpsB via conventional hydrogen bonds and hydrophobic interactions. The hydroxyl group at position 8 of daphnetin formed a conventional hydrogen bond with ALA285 in addition to Van der Waals interactions with the acidic residues ALA213, ASP225, SER226, GLU283, GLU284, VAL290, and LEU289 of the active pocket of EpsB. This indicated that daphnetin can be considered a specific ligand for EpsB protein [65].
6. Conclusions
This review shows how well coumarin and its derivatives (plant-derived and synthetic) function as QS and biofilm formation inhibitors. Coumarin derivatives, especially the hydroxylated forms, represent an interesting group of compounds to be used as anti-virulence agents against a wide range of pathogens. Thus, coumarin and its derivatives should be considered for the treatment of pathogens and biofilm-associated infections. Moreover, the applications of coumarin derivatives can be expanded in the medical field, where they can be used as coating material for medical tubes to prevent the growth and spread of MRSA through catheters. In addition, animal studies and clinical trials are necessary to demonstrate the effects of different coumarin derivatives on various aspects and to confirm the in vitro findings. Collectively, all the above mentioned studies open the door to the identification and development of new coumarin derivatives to act as antimicrobial agents through the inhibition of QS and biofilm formation.
Author Contributions
Conceptualization, E.R.E.-S., M.S.A.-A. and G.K.; methodology, E.R.E.-S., M.S.A.-A. and H.A.; investigation, E.R.E.-S., M.S.A.-A. and H.A.; resources, G.K.; data curation, E.R.E.-S., M.S.A.-A. and H.A.; writing—original draft preparation, E.R.E.-S., M.S.A.-A., H.A. and G.K.; writing—review and editing, E.R.E.-S., M.S.A.-A., H.A. and G.K.; visualization, M.S.A.-A.; supervision, E.R.E.-S., M.S.A.-A. and G.K.; project administration. All authors have read and agreed to the published version of the manuscript.
Funding
This research received no external funding.
Conflicts of Interest
The authors declare no conflicts of interest.
References
- Pierson, L.S.; Maier, R.M.; Pepper, I.L. Microbial Communication: Bacteria–Bacteria and Bacteria–Host. In Environmental Microbiology; Elsevier: Amsterdam, The Netherlands, 2009; pp. 335–346. ISBN 978-0-12-370519-8. [Google Scholar]
- Moreno-Gámez, S.; Hochberg, M.E.; Van Doorn, G.S. Quorum Sensing as a Mechanism to Harness the Wisdom of the Crowds. Nat. Commun. 2023, 14, 3415. [Google Scholar] [CrossRef] [PubMed]
- Wang, Y.; Bian, Z.; Wang, Y. Biofilm Formation and Inhibition Mediated by Bacterial Quorum Sensing. Appl. Microbiol. Biotechnol. 2022, 106, 6365–6381. [Google Scholar] [CrossRef] [PubMed]
- Abisado, R.G.; Benomar, S.; Klaus, J.R.; Dandekar, A.A.; Chandler, J.R. Bacterial Quorum Sensing and Microbial Community Interactions. mBio 2018, 9, e02331-17. [Google Scholar] [CrossRef] [PubMed]
- Bouyahya, A.; Chamkhi, I.; Balahbib, A.; Rebezov, M.; Shariati, M.A.; Wilairatana, P.; Mubarak, M.S.; Benali, T.; El Omari, N. Mechanisms, Anti-Quorum-Sensing Actions, and Clinical Trials of Medicinal Plant Bioactive Compounds against Bacteria: A Comprehensive Review. Molecules 2022, 27, 1484. [Google Scholar] [CrossRef]
- Juszczuk-Kubiak, E. Molecular Aspects of the Functioning of Pathogenic Bacteria Biofilm Based on Quorum Sensing (QS) Signal-Response System and Innovative Non-Antibiotic Strategies for Their Elimination. Int. J. Mol. Sci. 2024, 25, 2655. [Google Scholar] [CrossRef] [PubMed]
- Zhao, X.; Yu, Z.; Ding, T. Quorum-Sensing Regulation of Antimicrobial Resistance in Bacteria. Microorganisms 2020, 8, 425. [Google Scholar] [CrossRef]
- Hense, B.A.; Schuster, M. Core Principles of Bacterial Autoinducer Systems. Microbiol. Mol. Biol. Rev. 2015, 79, 153–169. [Google Scholar] [CrossRef]
- De Kievit, T.R.; Iglewski, B.H. Bacterial Quorum Sensing in Pathogenic Relationships. Infect. Immun. 2000, 68, 4839–4849. [Google Scholar] [CrossRef]
- Gilbert, P.; Maira-Litran, T.; McBain, A.J.; Rickard, A.H.; Whyte, F.W. The Physiology and Collective Recalcitrance of Microbial Biofilm Communities. Adv. Microb. Physiol. 2002, 46, 202–256. [Google Scholar]
- Balcázar, J.L.; Subirats, J.; Borrego, C.M. The Role of Biofilms as Environmental Reservoirs of Antibiotic Resistance. Front. Microbiol. 2015, 6, 1216. [Google Scholar] [CrossRef]
- Nugbemado, I.N.; Danquah, C.A.; Ofori, M. Hydroethanolic Stem Bark Extract of Treculia africana Decne (Moraceae) Shows Antimicrobial Resistance Modulatory Effects. South. Afr. J. Bot. 2022, 148, 546–551. [Google Scholar] [CrossRef]
- Mali, G.; Maji, S.; Chavan, K.A.; Shukla, M.; Kumar, M.; Bhattacharyya, S.; Erande, R.D. Effective Synthesis and Biological Evaluation of Functionalized 2,3-Dihydrofuro[3,2-c]Coumarins via an Imidazole-Catalyzed Green Multicomponent Approach. ACS Omega 2022, 7, 36028–36036. [Google Scholar] [CrossRef] [PubMed]
- El-Sawy, E.R.; Abdelwahab, A.B.; Kirsch, G. Synthetic Routes to Coumarin(Benzopyrone)-Fused Five-Membered Aromatic Heterocycles Built on the α-Pyrone Moiety. Part II: Five-Membered Aromatic Rings with Multi Heteroatoms. Molecules 2021, 26, 3409. [Google Scholar] [CrossRef] [PubMed]
- El-Sawy, E.R.; Abdelwahab, A.B.; Kirsch, G. Synthetic Routes to Coumarin(Benzopyrone)-Fused Five-Membered Aromatic Heterocycles Built on the α-Pyrone Moiety. Part 1: Five-Membered Aromatic Rings with One Heteroatom. Molecules 2021, 26, 483. [Google Scholar] [CrossRef]
- Wu, Y.; Xu, J.; Liu, Y.; Zeng, Y.; Wu, G. A Review on Anti-Tumor Mechanisms of Coumarins. Front. Oncol. 2020, 10, 592853. [Google Scholar] [CrossRef]
- Rostom, B.; Karaky, R.; Kassab, I.; Sylla-Iyarreta Veitía, M. Coumarins Derivatives and Inflammation: Review of Their Effects on the Inflammatory Signaling Pathways. Eur. J. Pharmacol. 2022, 922, 174867. [Google Scholar] [CrossRef]
- Kasperkiewicz, K.; Ponczek, M.B.; Owczarek, J.; Guga, P.; Budzisz, E. Antagonists of Vitamin K—Popular Coumarin Drugs and New Synthetic and Natural Coumarin Derivatives. Molecules 2020, 25, 1465. [Google Scholar] [CrossRef]
- Mishra, S.; Pandey, A.; Manvati, S. Coumarin: An Emerging Antiviral Agent. Heliyon 2020, 6, e03217. [Google Scholar] [CrossRef]
- Hassan, M.Z.; Osman, H.; Ali, M.A.; Ahsan, M.J. Therapeutic Potential of Coumarins as Antiviral Agents. Eur. J. Med. Chem. 2016, 123, 236–255. [Google Scholar] [CrossRef]
- Patil, S.A.; Nesaragi, A.R.; Rodríguez-Berrios, R.R.; Hampton, S.M.; Bugarin, A.; Patil, S.A. Coumarin Triazoles as Potential Antimicrobial Agents. Antibiotics 2023, 12, 160. [Google Scholar] [CrossRef]
- Ranjan Sahoo, C.; Sahoo, J.; Mahapatra, M.; Lenka, D.; Kumar Sahu, P.; Dehury, B.; Nath Padhy, R.; Kumar Paidesetty, S. Coumarin Derivatives as Promising Antibacterial Agent(s). Arab. J. Chem. 2021, 14, 102922. [Google Scholar] [CrossRef]
- Xia, T.; Liu, Y.; Lu, Z.; Yu, H. Natural Coumarin Shows Toxicity to Spodoptera Litura by Inhibiting Detoxification Enzymes and Glycometabolism. Int. J. Mol. Sci. 2023, 24, 13177. [Google Scholar] [CrossRef]
- Qais, F.A.; Khan, M.S.; Ahmad, I.; Husain, F.M.; Khan, R.A.; Hassan, I.; Shahzad, S.A.; AlHarbi, W. Coumarin Exhibits Broad-Spectrum Antibiofilm and Antiquorum Sensing Activity against Gram-Negative Bacteria: In Vitro and In Silico Investigation. ACS Omega 2021, 6, 18823–18835. [Google Scholar] [CrossRef] [PubMed]
- Gutiérrez-Barranquero, J.A.; Reen, F.J.; McCarthy, R.R.; O’Gara, F. Deciphering the Role of Coumarin as a Novel Quorum Sensing Inhibitor Suppressing Virulence Phenotypes in Bacterial Pathogens. Appl. Microbiol. Biotechnol. 2015, 99, 3303–3316. [Google Scholar] [CrossRef]
- Reen, F.J.; Gutiérrez-Barranquero, J.A.; Parages, M.L.; O Gara, F. Coumarin: A Novel Player in Microbial Quorum Sensing and Biofilm Formation Inhibition. Appl. Microbiol. Biotechnol. 2018, 102, 2063–2073. [Google Scholar] [CrossRef]
- Mukherjee, S.; Bassler, B.L. Bacterial Quorum Sensing in Complex and Dynamically Changing Environments. Nat. Rev. Microbiol. 2019, 17, 371–382. [Google Scholar] [CrossRef]
- Li, J.; Zhao, X. Effects of Quorum Sensing on the Biofilm Formation and Viable but Non-Culturable State. Food Res. Int. 2020, 137, 109742. [Google Scholar] [CrossRef] [PubMed]
- Zeng, X.; Zou, Y.; Zheng, J.; Qiu, S.; Liu, L.; Wei, C. Quorum Sensing-Mediated Microbial Interactions: Mechanisms, Applications, Challenges and Perspectives. Microbiol. Res. 2023, 273, 127414. [Google Scholar] [CrossRef]
- Fan, Q.; Wang, H.; Mao, C.; Li, J.; Zhang, X.; Grenier, D.; Yi, L.; Wang, Y. Structure and Signal Regulation Mechanism of Interspecies and Interkingdom Quorum Sensing System Receptors. J. Agric. Food Chem. 2022, 70, 429–445. [Google Scholar] [CrossRef]
- Miller, M.B.; Bassler, B.L. Quorum Sensing in Bacteria. Annu. Rev. Microbiol. 2001, 55, 165–199. [Google Scholar] [CrossRef]
- Arciola, C.R.; Campoccia, D.; Speziale, P.; Montanaro, L.; Costerton, J.W. Biofilm Formation in Staphylococcus Implant Infections. A Review of Molecular Mechanisms and Implications for Biofilm-Resistant Materials. Biomaterials 2012, 33, 5967–5982. [Google Scholar] [CrossRef] [PubMed]
- Galié, S.; García-Gutiérrez, C.; Miguélez, E.M.; Villar, C.J.; Lombó, F. Biofilms in the Food Industry: Health Aspects and Control Methods. Front. Microbiol. 2018, 9, 898. [Google Scholar] [CrossRef] [PubMed]
- Brexó, R.P.; Sant’Ana, A. de S. Microbial Interactions during Sugar Cane Must Fermentation for Bioethanol Production: Does Quorum Sensing Play a Role? Crit. Rev. Biotechnol. 2018, 38, 231–244. [Google Scholar] [CrossRef] [PubMed]
- Gobbetti, M.; De Angelis, M.; Di Cagno, R.; Minervini, F.; Limitone, A. Cell-Cell Communication in Food Related Bacteria. Int. J. Food Microbiol. 2007, 120, 34–45. [Google Scholar] [CrossRef]
- Soto-Aceves, M.P.; Diggle, S.P.; Greenberg, E.P. Microbial Primer: LuxR-LuxI Quorum Sensing. Microbiology 2023, 169, 001343. [Google Scholar] [CrossRef]
- Borges, A.; Sousa, P.; Gaspar, A.; Vilar, S.; Borges, F.; Simões, M. Furvina Inhibits the 3-Oxo-C12-HSL-Based Quorum Sensing System of Pseudomonas aeruginosa and QS-Dependent Phenotypes. Biofouling 2017, 33, 156–168. [Google Scholar] [CrossRef]
- Nazzaro, F.; Fratianni, F.; Coppola, R. Quorum Sensing and Phytochemicals. Int. J. Mol. Sci. 2013, 14, 12607–12619. [Google Scholar] [CrossRef]
- Kang, B.H.; Xia, F.; Pop, R.; Dohi, T.; Socolovsky, M.; Altieri, D.C. Developmental Control of Apoptosis by the Immunophilin Aryl Hydrocarbon Receptor-Interacting Protein (AIP) Involves Mitochondrial Import of the Survivin Protein. J. Biol. Chem. 2011, 286, 16758–16767. [Google Scholar] [CrossRef]
- Liu, L.-P.; Huang, L.-H.; Ding, X.-T.; Yan, L.; Jia, S.-R.; Dai, Y.-J.; Xie, Y.-Y.; Zhong, C. Identification of Quorum-Sensing Molecules of N-Acyl-Homoserine Lactone in Gluconacetobacter Strains by Liquid Chromatography-Tandem Mass Spectrometry. Molecules 2019, 24, 2694. [Google Scholar] [CrossRef]
- Chorianopoulos, N.G.; Giaouris, E.D.; Kourkoutas, Y.; Nychas, G.-J.E. Inhibition of the Early Stage of Salmonella enterica Serovar Enteritidis Biofilm Development on Stainless Steel by Cell-Free Supernatant of a Hafnia Alvei Culture. Appl. Environ. Microbiol. 2010, 76, 2018–2022. [Google Scholar] [CrossRef]
- Shaw, P.D.; Ping, G.; Daly, S.L.; Cha, C.; Cronan, J.E.; Rinehart, K.L.; Farrand, S.K. Detecting and Characterizing N-Acyl-Homoserine Lactone Signal Molecules by Thin-Layer Chromatography. Proc. Natl. Acad. Sci. USA 1997, 94, 6036–6041. [Google Scholar] [CrossRef] [PubMed]
- Passos da Silva, D.; Schofield, M.C.; Parsek, M.R.; Tseng, B.S. An Update on the Sociomicrobiology of Quorum Sensing in Gram-Negative Biofilm Development. Pathogens 2017, 6, 51. [Google Scholar] [CrossRef] [PubMed]
- Rickard, A.H.; Palmer, R.J.; Blehert, D.S.; Campagna, S.R.; Semmelhack, M.F.; Egland, P.G.; Bassler, B.L.; Kolenbrander, P.E. Autoinducer 2: A Concentration-Dependent Signal for Mutualistic Bacterial Biofilm Growth. Mol. Microbiol. 2006, 60, 1446–1456. [Google Scholar] [CrossRef]
- Silagyi, K.; Kim, S.-H.; Lo, Y.M.; Wei, C. Production of Biofilm and Quorum Sensing by Escherichia coli O157:H7 and Its Transfer from Contact Surfaces to Meat, Poultry, Ready-to-Eat Deli, and Produce Products. Food Microbiol. 2009, 26, 514–519. [Google Scholar] [CrossRef] [PubMed]
- Machado, I.; Silva, L.R.; Giaouris, E.D.; Melo, L.F.; Simões, M. Quorum Sensing in Food Spoilage and Natural-Based Strategies for Its Inhibition. Food Res. Int. 2020, 127, 108754. [Google Scholar] [CrossRef] [PubMed]
- Gohil, N.; Ramírez-García, R.; Panchasara, H.; Patel, S.; Bhattacharjee, G.; Singh, V. Book Review: Quorum Sensing vs. Quorum Quenching: A Battle With No End in Sight. Front. Cell. Infect. Microbiol. 2018, 8, 106. [Google Scholar] [CrossRef]
- Smith, R.S.; Iglewski, B.H.P. Aeruginosa Quorum-Sensing Systems and Virulence. Curr. Opin. Microbiol. 2003, 6, 56–60. [Google Scholar] [CrossRef]
- Tielker, D.; Hacker, S.; Loris, R.; Strathmann, M.; Wingender, J.; Wilhelm, S.; Rosenau, F.; Jaeger, K.-E. Pseudomonas aeruginosa Lectin LecB Is Located in the Outer Membrane and Is Involved in Biofilm Formation. Microbiology 2005, 151, 1313–1323. [Google Scholar] [CrossRef]
- Winzer, K.; Hardie, K.R.; Williams, P. LuxS and Autoinducer-2: Their Contribution to Quorum Sensing and Metabolism in Bacteria. Adv. Appl. Microbiol. 2003, 53, 291–396. [Google Scholar] [CrossRef]
- Jennings, L.K.; Storek, K.M.; Ledvina, H.E.; Coulon, C.; Marmont, L.S.; Sadovskaya, I.; Secor, P.R.; Tseng, B.S.; Scian, M.; Filloux, A.; et al. Pel Is a Cationic Exopolysaccharide That Cross-Links Extracellular DNA in the Pseudomonas aeruginosa Biofilm Matrix. Proc. Natl. Acad. Sci. USA 2015, 112, 11353–11358. [Google Scholar] [CrossRef]
- Parsek, M.R.; Greenberg, E.P. Sociomicrobiology: The Connections between Quorum Sensing and Biofilms. Trends Microbiol. 2005, 13, 27–33. [Google Scholar] [CrossRef] [PubMed]
- Cirioni, O.; Mocchegiani, F.; Cacciatore, I.; Vecchiet, J.; Silvestri, C.; Baldassarre, L.; Ucciferri, C.; Orsetti, E.; Castelli, P.; Provinciali, M.; et al. Quorum Sensing Inhibitor FS3-Coated Vascular Graft Enhances Daptomycin Efficacy in a Rat Model of Staphylococcal Infection. Peptides 2013, 40, 77–81. [Google Scholar] [CrossRef] [PubMed]
- Xue, T.; Zhao, L.; Sun, B. LuxS/AI-2 System Is Involved in Antibiotic Susceptibility and Autolysis in Staphylococcus aureus NCTC 8325. Int. J. Antimicrob. Agents 2013, 41, 85–89. [Google Scholar] [CrossRef] [PubMed]
- Kim, M.K.; Ingremeau, F.; Zhao, A.; Bassler, B.L.; Stone, H.A. Local and Global Consequences of Flow on Bacterial Quorum Sensing. Nat. Microbiol. 2016, 1, 15005. [Google Scholar] [CrossRef]
- Lee, J.-H.; Kim, Y.-G.; Cho, H.S.; Ryu, S.Y.; Cho, M.H.; Lee, J. Coumarins Reduce Biofilm Formation and the Virulence of Escherichia coli O157:H7. Phytomedicine 2014, 21, 1037–1042. [Google Scholar] [CrossRef]
- Thakur, S.; Ray, S.; Jhunjhunwala, S.; Nandi, D. Insights into Coumarin-Mediated Inhibition of Biofilm Formation in Salmonella Typhimurium: Biofouling. Biofouling 2020, 36, 479–491. [Google Scholar] [CrossRef]
- Chen, J.; Yu, Y.; Li, S.; Ding, W. Resveratrol and Coumarin: Novel Agricultural Antibacterial Agent against Ralstonia solanacearum In Vitro and In Vivo. Molecules 2016, 21, 1501. [Google Scholar] [CrossRef] [PubMed]
- Xu, K.; Wang, J.L.; Chu, M.P.; Jia, C. Activity of Coumarin against Candida albicans Biofilms. J. De. Mycol. Méd. 2019, 29, 28–34. [Google Scholar] [CrossRef]
- Marquis, A.; Genovese, S.; Epifano, F.; Grenier, D. The Plant Coumarins Auraptene and Lacinartin as Potential Multifunctional Therapeutic Agents for Treating Periodontal Disease. BMC Complement. Altern. Med. 2012, 12, 80. [Google Scholar] [CrossRef]
- Monte, J.; Abreu, A.C.; Borges, A.; Simões, L.C.; Simões, M. Antimicrobial Activity of Selected Phytochemicals against Escherichia coli and Staphylococcus aureus and Their Biofilms. Pathogens 2014, 3, 473–498. [Google Scholar] [CrossRef]
- Swetha, T.K.; Pooranachithra, M.; Subramenium, G.A.; Divya, V.; Balamurugan, K.; Pandian, S.K. Umbelliferone Impedes Biofilm Formation and Virulence of Methicillin-Resistant Staphylococcus epidermidis via Impairment of Initial Attachment and Intercellular Adhesion. Front. Cell. Infect. Microbiol. 2019, 9, 357. [Google Scholar] [CrossRef] [PubMed]
- Kasthuri, T.; Barath, S.; Nandhakumar, M.; Karutha Pandian, S. Proteomic Profiling Spotlights the Molecular Targets and the Impact of the Natural Antivirulent Umbelliferone on Stress Response, Virulence Factors, and the Quorum Sensing Network of Pseudomonas aeruginosa. Front. Cell. Infect. Microbiol. 2022, 12, 998540. [Google Scholar] [CrossRef] [PubMed]
- Sushmitha, T.J.; Rajeev, M.; Kathirkaman, V.; Shivam, S.; Rao, T.S.; Pandian, S.K. 3-Hydroxy Coumarin Demonstrates Anti-Biofilm and Anti-Hyphal Efficacy against Candida albicans via Inhibition of Cell-Adhesion, Morphogenesis, and Virulent Genes Regulation. Sci. Rep. 2023, 13, 11687. [Google Scholar] [CrossRef] [PubMed]
- Yang, L.; Wei, Z.; Li, S.; Xiao, R.; Xu, Q.; Ran, Y.; Ding, W. Plant Secondary Metabolite, Daphnetin Reduces Extracellular Polysaccharides Production and Virulence Factors of Ralstonia solanacearum. Pestic. Biochem. Physiol. 2021, 179, 104948. [Google Scholar] [CrossRef]
- Yang, L.; Ding, W.; Xu, Y.; Wu, D.; Li, S.; Chen, J.; Guo, B. New Insights into the Antibacterial Activity of Hydroxycoumarins against Ralstonia solanacearum. Molecules 2016, 21, 468. [Google Scholar] [CrossRef]
- Lemos, A.S.O.; Florêncio, J.R.; Pinto, N.C.C.; Campos, L.M.; Silva, T.P.; Grazul, R.M.; Pinto, P.F.; Tavares, G.D.; Scio, E.; Apolônio, A.C.M.; et al. Antifungal Activity of the Natural Coumarin Scopoletin Against Planktonic Cells and Biofilms From a Multidrug-Resistant Candida tropicalis Strain. Front. Microbiol. 2020, 11, 1525. [Google Scholar] [CrossRef]
- Yang, L.; Wang, Y.; He, X.; Xiao, Q.; Han, S.; Jia, Z.; Li, S.; Ding, W. Discovery of a Novel Plant-Derived Agent against Ralstonia solanacearum by Targeting the Bacterial Division Protein FtsZ. Pestic. Biochem. Physiol. 2021, 177, 104892. [Google Scholar] [CrossRef]
- Bajire, S.K.; Jain, S.; Johnson, R.P.; Shastry, R.P. 6-Methylcoumarin Attenuates Quorum Sensing and Biofilm Formation in Pseudomonas aeruginosa PAO1 and Its Applications on Solid Surface Coatings with Polyurethane. Appl. Microbiol. Biotechnol. 2021, 105, 8647–8661. [Google Scholar] [CrossRef]
- da Cunha, M.G.; de Cássia Orlandi Sardi, J.; Freires, I.A.; Franchin, M.; Rosalen, P.L. Antimicrobial, Anti-Adherence and Antibiofilm Activity against Staphylococcus aureus of a 4-Phenyl Coumarin Derivative Isolated from Brazilian Geopropolis. Microb. Pathog. 2020, 139, 103855. [Google Scholar] [CrossRef]
- Hou, H.M.; Jiang, F.; Zhang, G.L.; Wang, J.Y.; Zhu, Y.H.; Liu, X.Y. Inhibition of Hafnia Alvei H4 Biofilm Formation by the Food Additive Dihydrocoumarin. J. Food Prot. 2017, 80, 842–847. [Google Scholar] [CrossRef]
- Clatworthy, A.E.; Pierson, E.; Hung, D.T. Targeting Virulence: A New Paradigm for Antimicrobial Therapy. Nat. Chem. Biol. 2007, 3, 541–548. [Google Scholar] [CrossRef] [PubMed]
- Girennavar, B.; Cepeda, M.L.; Soni, K.A.; Vikram, A.; Jesudhasan, P.; Jayaprakasha, G.K.; Pillai, S.D.; Patil, B.S. Grapefruit Juice and Its Furocoumarins Inhibits Autoinducer Signaling and Biofilm Formation in Bacteria. Int. J. Food Microbiol. 2008, 125, 204–208. [Google Scholar] [CrossRef]
- Luciardi, M.C.; Blázquez, M.A.; Alberto, M.R.; Cartagena, E.; Arena, M.E. Grapefruit Essential Oils Inhibit Quorum Sensing of Pseudomonas aeruginosa. Food Sci. Technol. Int. 2020, 26, 231–241. [Google Scholar] [CrossRef] [PubMed]
- D’Almeida, R.E.; Molina, R.D.I.; Viola, C.M.; Luciardi, M.C.; Nieto Peñalver, C.; Bardón, A.; Arena, M.E. Comparison of Seven Structurally Related Coumarins on the Inhibition of Quorum Sensing of Pseudomonas aeruginosa and Chromobacterium Violaceum. Bioorg Chem. 2017, 73, 37–42. [Google Scholar] [CrossRef] [PubMed]
- Alain, K.Y.; Tamfu, A.N.; Kucukaydin, S.; Ceylan, O.; Cokou Pascal, A.D.; Félicien, A.; Koko Dominique, S.C.; Duru, M.E.; Dinica, R.M. Phenolic Profiles, Antioxidant, Antiquorum Sensing, Antibiofilm and Enzyme Inhibitory Activities of Selected Acacia Species Collected from Benin. LWT 2022, 171, 114162. [Google Scholar] [CrossRef]
- Qu, D.; Hou, Z.; Li, J.; Luo, L.; Su, S.; Ye, Z.; Bai, Y.; Zhang, X.; Chen, G.; Li, Z.; et al. A New Coumarin Compound DCH Combats Methicillin-Resistant Staphylococcus aureus Biofilm by Targeting Arginine Repressor. Sci. Adv. 2020, 6, eaay9597. [Google Scholar] [CrossRef]
- Das, T.; Das, M.C.; Das, A.; Bhowmik, S.; Sandhu, P.; Akhter, Y.; Bhattacharjee, S.; De, U.C. Modulation of S. Aureus and P. Aeruginosa Biofilm: An in Vitro Study with New Coumarin Derivatives. World J. Microbiol. Biotechnol. 2018, 34, 170. [Google Scholar] [CrossRef]
- Sullivan, M.; Kia, A.F.-A.; Long, M.; Walsh, M.; Kavanagh, K.; McClean, S.; Creaven, B.S. Isolation and Characterisation of Silver(I) Complexes of Substituted Coumarin-4-Carboxylates Which Are Effective against Pseudomonas aeruginosa Biofilms. Polyhedron 2014, 67, 549–559. [Google Scholar] [CrossRef]
- Emmadi, N.R.; Atmakur, K.; Bingi, C.; Godumagadda, N.R.; Chityal, G.K.; Nanubolu, J.B. Regioselective Synthesis of 3-Benzyl Substituted Pyrimidino Chromen-2-Ones and Evaluation of Anti-Microbial and Anti-Biofilm Activities. Bioorg. Med. Chem. Lett. 2014, 24, 485–489. [Google Scholar] [CrossRef]
- Alnufaie, R.; Raj KC, H.; Alsup, N.; Whitt, J.; Andrew Chambers, S.; Gilmore, D.; Alam, M.A. Synthesis and Antimicrobial Studies of Coumarin-Substituted Pyrazole Derivatives as Potent Anti-Staphylococcus aureus Agents. Molecules 2020, 25, 2758. [Google Scholar] [CrossRef]
- Yang, X.-C.; Zeng, C.-M.; Avula, S.R.; Peng, X.-M.; Geng, R.-X.; Zhou, C.-H. Novel Coumarin Aminophosphonates as Potential Multitargeting Antibacterial Agents against Staphylococcus aureus. Eur. J. Med. Chem. 2023, 245, 114891. [Google Scholar] [CrossRef] [PubMed]
- Zhang, Y.; Bhasme, P.; Reddy, D.S.; Liu, D.; Yu, Z.; Zhao, T.; Zheng, Y.; Kumar, A.; Yu, H.; Ma, L.Z. Dual Functions: A Coumarin-Chalcone Conjugate Inhibits Cyclic-Di-GMP and Quorum-Sensing Signaling to Reduce Biofilm Formation and Virulence of Pathogens. mLife 2023, 2, 283–294. [Google Scholar] [CrossRef]
- Yang, X.-C.; Zhang, P.-L.; Kumar, K.V.; Li, S.; Geng, R.-X.; Zhou, C.-H. Discovery of Unique Thiazolidinone-Conjugated Coumarins as Novel Broad Spectrum Antibacterial Agents. Eur. J. Med. Chem. 2022, 232, 114192. [Google Scholar] [CrossRef]
- Yang, X.-C.; Hu, C.-F.; Zhang, P.-L.; Li, S.; Hu, C.-S.; Geng, R.-X.; Zhou, C.-H. Coumarin Thiazoles as Unique Structural Skeleton of Potential Antimicrobial Agents. Bioorg. Chem. 2022, 124, 105855. [Google Scholar] [CrossRef]
- Chamsaz, E.A.; Mankoci, S.; Barton, H.A.; Joy, A. Nontoxic Cationic Coumarin Polyester Coatings Prevent Pseudomonas aeruginosa Biofilm Formation. ACS Appl. Mater. Interfaces 2017, 9, 6704–6711. [Google Scholar] [CrossRef] [PubMed]
- Li, Z.; Zhu, B.; Chen, W.; Hu, J.; Xue, Y.; Yin, H.; Hu, X.; Liu, W. Pseudolaric Acid A: A Promising Antifungal Agent Against Prevalent Non-Albicans Candida Species. Infect. Drug Resist. 2023, 16, 5953–5964. [Google Scholar] [CrossRef] [PubMed]
- Li, D.-D.; Chai, D.; Huang, X.-W.; Guan, S.-X.; Du, J.; Zhang, H.-Y.; Sun, Y.; Jiang, Y.-Y. Potent In Vitro Synergism of Fluconazole and Osthole against Fluconazole-Resistant Candida albicans. Antimicrob. Agents Chemother. 2017, 61, e00436-17. [Google Scholar] [CrossRef]
- Bonincontro, G.; Scuderi, S.A.; Marino, A.; Simonetti, G. Synergistic Effect of Plant Compounds in Combination with Conventional Antimicrobials against Biofilm of Staphylococcus aureus, Pseudomonas aeruginosa, and Candida spp. Pharmaceuticals 2023, 16, 1531. [Google Scholar] [CrossRef]
- Inchagova, K.S.; Duskaev, G.K.; Deryabin, D.G. Quorum Sensing Inhibition in Chromobacterium Violaceum by Amikacin Combination with Activated Charcoal or Small Plant-Derived Molecules (Pyrogallol and Coumarin). Microbiology 2019, 88, 63–71. [Google Scholar] [CrossRef]
- Elmaidomy, A.H.; Shady, N.H.; Abdeljawad, K.M.; Elzamkan, M.B.; Helmy, H.H.; Tarshan, E.A.; Adly, A.N.; Hussien, Y.H.; Sayed, N.G.; Zayed, A.; et al. Antimicrobial Potentials of Natural Products against Multidrug Resistance Pathogens: A Comprehensive Review. RSC Adv. 2022, 12, 29078–29102. [Google Scholar] [CrossRef]
- Zou, J.; Liu, Y.; Guo, R.; Tang, Y.; Shi, Z.; Zhang, M.; Wu, W.; Chen, Y.; Hou, K. An In Vitro Coumarin-Antibiotic Combination Treatment of Pseudomonas aeruginosa Biofilms. Nat. Prod. Commun. 2021, 16, 1934578X2098774. [Google Scholar] [CrossRef]
- Qais, F.A.; Ahmad, I.; Husain, F.M.; Arshad, M.; Khan, A.; Adil, M. Umbelliferone modulates the quorum sensing and biofilm of Gram–ve bacteria: In vitro and in silico investigations. J. Biomol. Struct. Dyn. 2023, 42, 5827–5840. [Google Scholar] [CrossRef] [PubMed]
- Fatima, M.; Amin, A.; Alharbi, M.; Ishtiaq, S.; Sajjad, W.; Ahmad, F.; Ahmad, S.; Hanif, F.; Faheem, M.; Khalil, A.A.K. Quorum Quenchers from Reynoutria Japonica in the Battle against Methicillin-Resistant Staphylococcus aureus (MRSA). Molecules 2023, 28, 2635. [Google Scholar] [CrossRef] [PubMed]
Disclaimer/Publisher’s Note: The statements, opinions and data contained in all publications are solely those of the individual author(s) and contributor(s) and not of MDPI and/or the editor(s). MDPI and/or the editor(s) disclaim responsibility for any injury to people or property resulting from any ideas, methods, instructions or products referred to in the content. |
© 2024 by the authors. Licensee MDPI, Basel, Switzerland. This article is an open access article distributed under the terms and conditions of the Creative Commons Attribution (CC BY) license (https://creativecommons.org/licenses/by/4.0/).
























