Experimental and In Silico Comparative Study of Physicochemical Properties and Antimicrobial Activity of Carboxylate Ionic Liquids
Abstract
1. Introduction
2. Results and Discussion
2.1. Experimental Density, Viscosity and Conductivity of Studied ILs
| T (K) | d (g∙cm−3) | κ (mS∙cm−1) | (S·cm2·mol−1) | η (mPa·s) |
|---|---|---|---|---|
| [Bmim][Phe] | ||||
| 293.15 | 1.09608 | 0.036 | 0.009 | 705.14 |
| 298.15 | 1.09286 | 0.074 | 0.019 | 461.22 |
| 303.15 | 1.08959 | 0.139 | 0.035 | 308.93 |
| 308.15 | 1.08626 | 0.221 | 0.056 | 215.01 |
| 313.15 | 1.08285 | 0.317 | 0.080 | 155.76 |
| 318.15 | 1.07942 | 0.421 | 0.107 | 116.77 |
| 323.15 | 1.07608 | 0.538 | 0.137 | 92.61 |
| [Bmim][Ben] | ||||
| 293.15 | 1.10804 | 0.193 | 0.045 | 775.41 |
| 298.15 | 1.10493 | 0.303 | 0.071 | 508.13 |
| 303.15 | 1.10170 | 0.450 | 0.106 | 346.85 |
| 308.15 | 1.09841 | 0.650 | 0.154 | 237.55 |
| 313.15 | 1.09502 | 0.910 | 0.216 | 170.07 |
| 318.15 | 1.09155 | 1.578 | 0.376 | 124.73 |
| 323.15 | 1.08810 | 2.124 | 0.508 | 95.15 |
| [Bmim][CH3OPhe] | ||||
| 293.15 | 1.12334 | 0.068 | 0.018 | 1215.11 |
| 298.15 | 1.12008 | 0.119 | 0.032 | 766.18 |
| 303.15 | 1.11678 | 0.211 | 0.057 | 496.26 |
| 308.15 | 1.11340 | 0.323 | 0.088 | 336.43 |
| 313.15 | 1.10995 | 0.459 | 0.126 | 236.58 |
| 318.15 | 1.10636 | 0.619 | 0.170 | 172.06 |
| 323.15 | 1.10276 | 0.811 | 0.224 | 130.95 |

2.2. Chemometric Analysis of Similarities
2.3. Antimicrobial Activity of Ionic Liquids
3. Materials and Methods
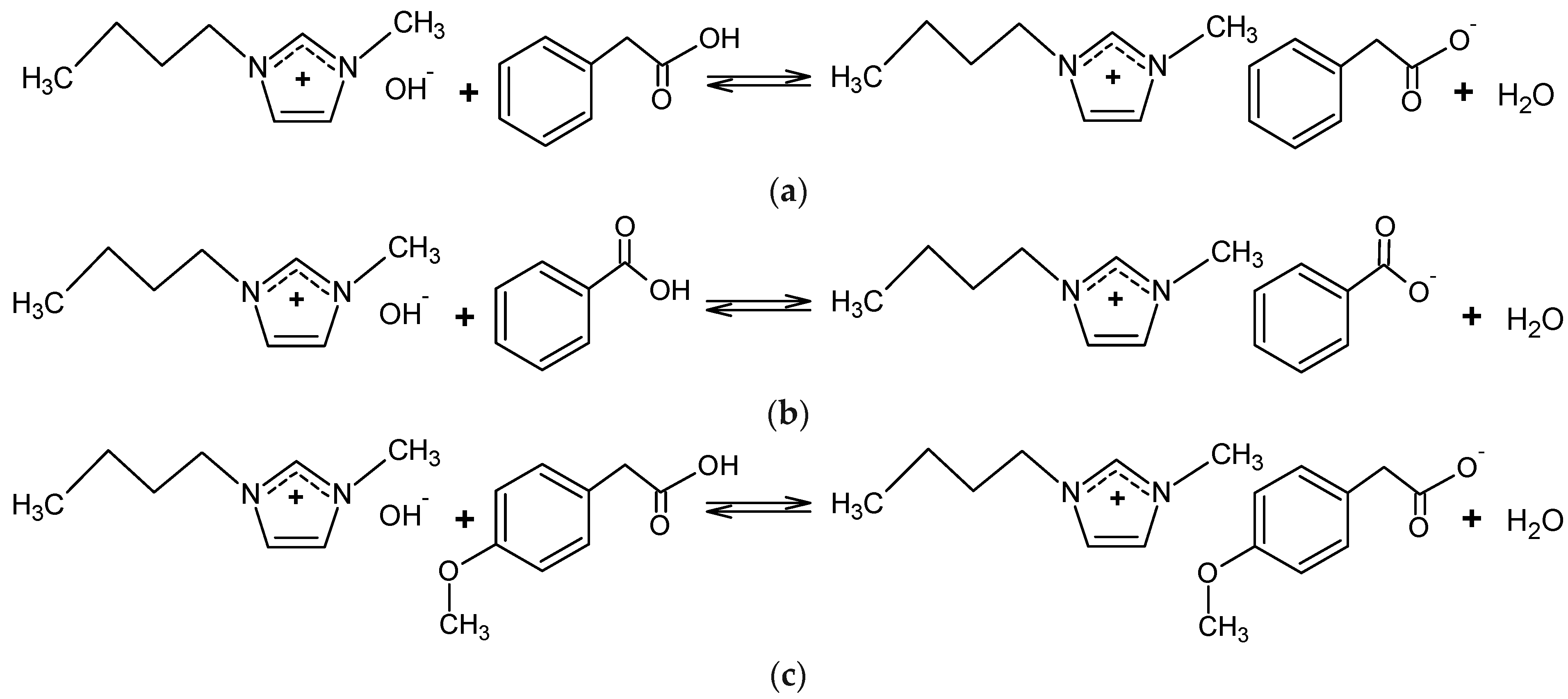
3.1. Synthesis
3.2. Structure Determination
3.3. Physicochemical Properties: Experimental Density, Viscosity, and Electrical Conductivity
3.4. In Silico Calculation of Physicochemical Properties of the Studied ILs
3.5. Antimicrobial Activity of the Studied ILs
4. Conclusions
Supplementary Materials
Author Contributions
Funding
Institutional Review Board Statement
Informed Consent Statement
Data Availability Statement
Acknowledgments
Conflicts of Interest
References
- Shah, F.U.; An, R.; Muhammad, N. Editorial: Properties and applications of ionic liquids in energy and environmental science. Front. Chem. 2020, 8, 627213. [Google Scholar] [CrossRef]
- Hallett, J.P.; Welton, T. Room-temperature ionic liquids: Solvents for synthesis and catalysis. Chem. Rev. 2011, 111, 3508. [Google Scholar] [CrossRef]
- Wasewar, K.L. Ionic Liquids: The smart materials in process industry. In Handbook of Smart Materials, Technologies and Devices, 1st ed.; Hussain, C.M., Di Sia, P., Eds.; Springer: Berlin/Heidelberg, Germany, 2022; pp. 647–674. [Google Scholar] [CrossRef]
- Saptarshi, R.; Ahmaruzzaman, M. Ionic liquid-based composites: A versatile material for remediation of aqueous environmental contaminants. J. Environ. Manag. 2022, 315, 115089. [Google Scholar] [CrossRef]
- Gonçalves, A.R.P.; Xavier, P.; Cristino, A.F.; Santos, F.J.V.; Queirós, C.S.G.P. Ionic liquids-A review of their toxicity to living organisms. Int. J. Mol. Sci. 2021, 22, 5612. [Google Scholar] [CrossRef] [PubMed]
- Greer, A.J.; Jacquemin, J.; Hardacre, C. Industrial Applications of Ionic Liquids. Molecules 2020, 25, 5207. [Google Scholar] [CrossRef] [PubMed]
- Hassan, R.; Asghar, M.A.; Iqbal, M.; Qaisar, A.; Habib, U.; Ahmad, B. A comparative evaluation of antibacterial activities of imidazolium-, pyridinium-, and phosphonium-based ionic liquids containing octyl side chains. Heliyon 2022, 8, e09533. [Google Scholar] [CrossRef] [PubMed]
- Bains, D.; Singh, G.; Kaur, N.; Singh, N. Functionalized imidazolium/benzimidazolium-derived ionic liquid-based materials for biomedical applications. In Advanced Materials for Biomedical Applications; Rajput, V.S., Bhinder, J., Eds.; Springer: Berlin/Heidelberg, Germany, 2023; pp. 85–117. [Google Scholar] [CrossRef]
- Trush, M.M.; Semenyuta, I.V.; Hodyna, D.; Ocheretniuk, A.D.; Vdovenko, S.I.; Rogalsky, S.P.; Kalashnikova, L.E.; Blagodatnyi, V.; Kobzar, O.L.; Metelytsiaet, L.O. Functionalized imidazolium-based ionic liquids: Biological activity evaluation, toxicity screening, spectroscopic, and molecular docking studies. Med. Chem. Res. 2020, 29, 2181. [Google Scholar] [CrossRef]
- Pramisandi, A.; Suyanto, R.S.; Prabandari, E.E. Effect of phenylacetic acid addition on productivity of penicillium chrysogenum in Penicillin G production using pilot scale reactor. In Proceedings of the International Conference on Chemical and Material Engineering 2012, Jawa Tengah, Indonesia, 12–13 September 2012. [Google Scholar]
- Brul, S.; Coote, P. Preservative agents in foods. Mode of action and microbial resistance mechanisms. Int. J. Food Microbiol. 1999, 50, 1. [Google Scholar] [CrossRef]
- Regueira, T.; Lugo, L.; Fernandez, J. Influence of the pressure, temperature, cation, and anion on the volumetric properties of ionic liquids: New experimental values for two salts. J. Chem. Thermodyn. 2013, 58, 440. [Google Scholar] [CrossRef]
- Tang, S.; Baker, G.A.; Zhao, H. Ether- and alcohol-functionalized task-specific ionic liquids: Attractive properties and applications. Chem. Soc. Rev. 2012, 41, 4030. [Google Scholar] [CrossRef]
- Ji, X.; Adidharma, H. Thermodynamic modeling of ionic liquid density with hetero segmented statistical associating fluid theory. Chem. Eng. Sci. 2009, 64, 1985. [Google Scholar] [CrossRef]
- Fang, D.; Li, L.; Miao, J.; Gao, P.; Zhang, Y.; Hong, M.; Liu, J.; Wei, J. Insight into the solute-solvent interactions by physicochemical and excess properties in binary systems of the ether- and allyl-based functionalized ionic liquids with acetonitrile. J. Taiwan Inst. Chem. Eng. 2022, 133, 104275. [Google Scholar] [CrossRef]
- Das, D.; Salhi, H.; Dallel, M.; Trabelsi, Z.; Al-Arfaj, A.A.; Ouerfelli, N. Viscosity Arrhenius activation energy and derived partial molar properties in isobutyric acid + water binary mixtures near and far away from the critical temperature, 302.15 to 313.15 K. J. Sol. Chem. 2015, 44, 54–66. [Google Scholar] [CrossRef]
- Schreiner, C.; Zugmann, S.; Hartl, R.; Gores, H.J. Fractional Walden rule for ionic liquids: Examples from recent measurements and a critique of the so-called ideal KCl line for the Walden plot. J. Chem. Eng. Data 2010, 55, 1784. [Google Scholar] [CrossRef]
- Angell, C.A.; Ansari, Y.; Zhao, Z. Ionic Liquids: Past, present and future. Faraday Discuss. 2012, 154, 81. [Google Scholar] [CrossRef]
- Hajfarajollah, H.; Mokhtarani, B.; Noghabi, K.A.; Sharifi, A.; Mirzaei, M. Antibacterial and antiadhesive properties of butyl-methylimidazolium ionic liquids toward pathogenic bacteria. RSC Adv. 2014, 4, 42751. [Google Scholar] [CrossRef]
- Anvari, S.; Hajfarajollah, H.; Mokhtarani, B.; Enayati, M.; Sharifi, A.; Mirzaei, M. Antibacterial and anti-adhesive properties of ionic liquids with various cationic and anionic heads toward pathogenic bacteria. J. Mol. Liq. 2016, 221, 685. [Google Scholar] [CrossRef]
- Karaman, M.; Vraneš, M.; Tot, A.; Papović, S.; Miljaković, D.; Gadžurić, S.; Ignjatov, M. Ionic liquids as potentially new antifungal agents against Alternaria species. RSC Adv. 2020, 10, 22318. [Google Scholar] [CrossRef]
- Kumer, A.; Khan, M.W. Synthesis, characterization, antimicrobial activity and computational exploration of ortho toludinium carboxylate ionic liquids. J. Mol. Struct. 2021, 1245, 131087. [Google Scholar] [CrossRef]
- Elmahdy, M.M.; Fahmy, T.; Aldhafeeri, K.A.; Ibnouf, E.O.; Riadi, Y. Optical and antibacterial properties of 1-butyl-3-methylimidazolium ionic liquids with trifluoromethanesulfonate or tetrafluoroborate anion. Mater. Chem. Phys. 2021, 264, 124369. [Google Scholar] [CrossRef]
- Tot, A.; Vraneš, M.; Maksimović, I.; Putnik-Delić, M.; Daničić, M.; Belić, S.; Gadžurić, S. The effect of imidazolium based ionic liquids on wheat and barley germination and growth: Influence of length and oxygen functionalization of alkyl side chain. Ecotoxicol. Environ. Saf. 2018, 147, 401. [Google Scholar] [CrossRef] [PubMed]
- Xu, A.; Wang, J.; Wang, H. Effects of anionic structure and lithium salts addition on the dissolution of cellulose in 1-butyl-3-methylimidazolium-based ionic liquid solvent systems. Green Chem. 2010, 12, 268. [Google Scholar] [CrossRef]
- ChemBioDraw Ultra, version 13; Perkin Elmer Inc.: Waltham, MA, USA, 2021.










| T (K) | αp·104 (K−1) | ||
|---|---|---|---|
| [Bmim][Phe] | [Bmim][Ben] | [Bmim][CH3OPhe] | |
| 293.15 | 6.10 | 6.01 | 6.10 |
| 298.15 | 6.12 | 6.03 | 6.12 |
| 303.15 | 6.14 | 6.05 | 6.14 |
| 308.15 | 6.16 | 6.06 | 6.16 |
| 313.15 | 6.18 | 6.08 | 6.18 |
| 318.15 | 6.20 | 6.10 | 6.20 |
| 323.15 | 6.21 | 6.12 | 6.22 |
| Bacteria | [Bmim][Ben] | [Bmim][Phe] | [Bmim][CH3OPhe] | NaBen | NaPhe | NaCH3OPhe | BmimCl | |
|---|---|---|---|---|---|---|---|---|
| E. coli | MIC | <3.5 | <3.5 | 14.1 | 28.1 | 14.1 | 28.1 | 56.3 |
| MBC | <3.5 | <3.5 | 56.3 | >900 | <3.5 | >900 | 113 | |
| P. aeruginosa | MIC | <3.5 | <3.5 | >900 | <3.5 | <3.5 | 28.1 | 113 |
| MBC | <3.5 | <3.5 | >900 | >900 | <5 | >900 | 450 | |
| Fungi | ||||||||
| P. verrucosum | MIC | 14.1 | 56.3 | 56.3 | 56.3 | 900 | 900 | 900 |
| MFC | 14.1 | 56.3 | 113 | 56.3 | 900 | 900 | 900 | |
| A. flavus | MIC | 56.3 | 113 | 56.3 | 113 | 900 | 900 | >900 |
| MFC | 56.3 | 113 | 56.3 | 113 | 900 | 900 | 900 | |
| A. parasiticus | MIC | 56.3 | 113 | 113 | 113 | >900 | >900 | >900 |
| MFC | 56.3 | 113 | 225 | 225 | >900 | >900 | 900 |
Disclaimer/Publisher’s Note: The statements, opinions and data contained in all publications are solely those of the individual author(s) and contributor(s) and not of MDPI and/or the editor(s). MDPI and/or the editor(s) disclaim responsibility for any injury to people or property resulting from any ideas, methods, instructions or products referred to in the content. |
© 2024 by the authors. Licensee MDPI, Basel, Switzerland. This article is an open access article distributed under the terms and conditions of the Creative Commons Attribution (CC BY) license (https://creativecommons.org/licenses/by/4.0/).
Share and Cite
Cakó Bagány, N.; Čapelja, E.; Kovačević, S.; Karaman, M.; Podunavac-Kuzmanović, S.; Gadžurić, S.; Belić, S. Experimental and In Silico Comparative Study of Physicochemical Properties and Antimicrobial Activity of Carboxylate Ionic Liquids. Molecules 2024, 29, 3668. https://doi.org/10.3390/molecules29153668
Cakó Bagány N, Čapelja E, Kovačević S, Karaman M, Podunavac-Kuzmanović S, Gadžurić S, Belić S. Experimental and In Silico Comparative Study of Physicochemical Properties and Antimicrobial Activity of Carboxylate Ionic Liquids. Molecules. 2024; 29(15):3668. https://doi.org/10.3390/molecules29153668
Chicago/Turabian StyleCakó Bagány, Nikolett, Eleonora Čapelja, Strahinja Kovačević, Maja Karaman, Sanja Podunavac-Kuzmanović, Slobodan Gadžurić, and Sanja Belić. 2024. "Experimental and In Silico Comparative Study of Physicochemical Properties and Antimicrobial Activity of Carboxylate Ionic Liquids" Molecules 29, no. 15: 3668. https://doi.org/10.3390/molecules29153668
APA StyleCakó Bagány, N., Čapelja, E., Kovačević, S., Karaman, M., Podunavac-Kuzmanović, S., Gadžurić, S., & Belić, S. (2024). Experimental and In Silico Comparative Study of Physicochemical Properties and Antimicrobial Activity of Carboxylate Ionic Liquids. Molecules, 29(15), 3668. https://doi.org/10.3390/molecules29153668

