Five Underutilized Ecuadorian Fruits and Their Bioactive Potential as Functional Foods and in Metabolic Syndrome: A Review
Abstract
1. Introduction
Context
2. Method
3. Overview
3.1. Alibertia patinoi
3.2. Bactris gasipaes
3.3. Eugenia stipitata
3.4. Pourouma cecropiifolia
3.5. Solanum sessiliflorum
3.6. Nutritional properties
4. Biological Activity
| Activity | Ap | Bg | Es | Pc | Ss | Ref. |
|---|---|---|---|---|---|---|
| Antigenotoxic | X | X | [84] | |||
| Anti-inflammatory | X | X | [63,85] | |||
| Antimicrobial | X | X | X | X | [53,83,86,87] | |
| Antimutagenic | X | [80] | ||||
| Antitumor | X | [53] | ||||
| Antitumor activity regulation | X | [53] | ||||
| Cytoprotective | X | [83] | ||||
| Cytotoxic | X | X | X | X | [27,84] | |
| Hepatoprotective | X | [88] | ||||
| Hypoglucemiant | X | X | [69,88] | |||
| Skin protection | X | X | [89] | |||
| Spermicide | X | [90] |
4.1. Anti-Inflammatory
4.2. Anticancer
4.3. Antimicrobial
4.4. Hypoglucemiant and Hypolipemiant
4.5. Other Activity
5. Phytochemical Composition and Activity
6. Patents
7. Trends and Future Directions
7.1. Practical Implications
7.2. Limitations
8. Conclusions
Author Contributions
Funding
Institutional Review Board Statement
Informed Consent Statement
Data Availability Statement
Acknowledgments
Conflicts of Interest
References
- Nwosu, O.K.; Ubaoji, K.I. Nutraceuticals: History, Classification and Market Demand. In Functional Foods and Nutraceuticals: Bioactive Components, Formulations and Innovations; Egbuna, C., Dable Tupas, G., Eds.; Springer International Publishing: Cham, Switzerland, 2020; pp. 13–22. ISBN 978-3-030-42319-3. [Google Scholar]
- Saklayen, M.G. The Global Epidemic of the Metabolic Syndrome. Curr. Hypertens. Rep. 2018, 20, 12. [Google Scholar] [CrossRef] [PubMed]
- Fabiani, R.; Naldini, G.; Chiavarini, M. Dietary Patterns and Metabolic Syndrome in Adult Subjects: A Systematic Review and Meta-Analysis. Nutrients 2019, 11, 2056. [Google Scholar] [CrossRef] [PubMed]
- Soto, D.; Wittig, E.; Guerrero, L.; Garrido, F.; Fuenzalida, R. Aliemntos Funcionales: Comportamiento Del Consumidor Chileno. Rev. Chil. De Nutr. 2006, 33, 43–54. [Google Scholar] [CrossRef]
- Castro, J.; Fornasini, M.; Acosta, M. Prevalencia y Factores de Riesgo de Sobrepeso En Colegialas de 12 a 19 Años En Una Región Semiurbana Del Ecuador. Rev. Panam. Salud Publica/Pan. Am. J. Public Health 2003, 13, 277–284. [Google Scholar] [CrossRef]
- Shamah, T.; Cuevas, L.; Gaona, E.; Gómez, L.; Morales, M.; Hernández, M.; Rivera, J. Sobrepeso y Obesidad En Niños y Adolescentes En México, Actualización de La Encuesta Nacional de Salud y Nutrición de Medio Camino 2016. Salud Pública Méx. 2018, 60, 244–253. [Google Scholar] [CrossRef] [PubMed]
- Vezza, T.; Abad-Jiménez, Z.; Marti-Cabrera, M.; Rocha, M.; Víctor, V.M. Microbiota-Mitochondria Inter-Talk: A Potential Therapeutic Strategy in Obesity and Type 2 Diabetes. Antioxidants 2020, 9, 848. [Google Scholar] [CrossRef] [PubMed]
- Wisnuwardani, R.; De Henauw, S.; Forsner, M.; Gottrand, F.; Huybrechts, I.; Knaze, V.; Kersting, M.; Le Donne, C.; Manios, Y.; Marcos, A.; et al. Polyphenol Intake and Metabolic Syndrome Risk in European Adolescents: The HELENA Study. Eur. J. Nutr. 2020, 59, 801–812. [Google Scholar] [CrossRef]
- Taghizadeh, S.; Khodayari, R.; Abbasalizad, M. Childhood Obesity Prevention Policies in Iran: A Policy Analysis of Agenda-Setting Using Kingdon’s Multiple Streams. BMC Pediatr. 2021, 21, 250. [Google Scholar] [CrossRef] [PubMed]
- Smith, E.; Hay, P.; Campbell, L.; Trollor, J. A Review of the Association between Obesity and Cognitive Function across the Lifespan: Implications for Novel Approaches to Prevention and Treatment. Obes. Rev. 2011, 12, 740–755. [Google Scholar] [CrossRef]
- Nguyen, T.; Sokal, K.; Lahiff, M.; Fernald, L.; Ivey, S. Early Childhood Factors Associated with Obesity at Age 8 in Vietnamese Children: The Young Lives Cohort Study. BMC Public Health 2021, 21, 301. [Google Scholar] [CrossRef]
- Power, S.E.; O’Toole, P.W.; Stanton, C.; Ross, R.P.; Fitzgerald, G.F. Intestinal Microbiota, Diet and Health. Br. J. Nutr. 2013, 111, 387–402. [Google Scholar] [CrossRef] [PubMed]
- Fernandes, F.; de Paulo, D.; Neri-Numa, I.; Pastore, G. Polyphenols and Their Applications: An Approach in Food Chemistry and Innovation Potential. Food Chem. 2021, 338, 127535. [Google Scholar] [CrossRef] [PubMed]
- Deledda, A.; Annunziata, G.; Tenore, G.C.; Palmas, V.; Manzin, A.; Velluzzi, F. Diet-Derived Antioxidants and Their Role in Inflammation, Obesity and Gut Microbiota Modulation. Antioxidants 2021, 10, 708. [Google Scholar] [CrossRef] [PubMed]
- Abeyrathne, E.; Nam, K.; Huang, X.; Ahn, D.U. Plant- and Animal-Based Antioxidants’ Structure, Efficacy, Mechanisms, and Applications: A Review. Antioxidants 2022, 11, 1025. [Google Scholar] [CrossRef] [PubMed]
- Castro-Barquero, S.; Ruiz-León, A.M.; Sierra-Pérez, M.; Estruch, R.; Casas, R. Dietary Strategies for Metabolic Syndrome: A Comprehensive Review. Nutrients 2020, 12, 2983. [Google Scholar] [CrossRef] [PubMed]
- Loi, M.; Paciolla, C. Plant Antioxidants for Food Safety and Quality: Exploring New Trends of Research. Antioxidants 2021, 10, 972. [Google Scholar] [CrossRef] [PubMed]
- Romero-Benavides, J.C.; Guaraca-Pino, E.; Duarte-Casar, R.; Rojas-Le-Fort, M.; Bailon-Moscoso, N. Chenopodium quinoa Willd. and Amaranthus hybridus L.: Ancestral Andean Food Security and Modern Anticancer and Antimicrobial Activity. Pharmaceuticals 2023, 16, 1728. [Google Scholar] [CrossRef] [PubMed]
- González-Jaramillo, N.; Bailon-Moscoso, N.; Duarte-Casar, R.; Romero-Benavides, J.C. Peach Palm (Bactris gasipaes Kunth.): Ancestral Tropical Staple with Future Potential. Plants 2022, 11, 3134. [Google Scholar] [CrossRef] [PubMed]
- González-Jaramillo, N.; Bailon-Moscoso, N.; Duarte-Casar, R.; Romero-Benavides, J.C. Alibertia patinoi (Cuatrec.) Delprete & C.H.Perss. (Borojó): Food Safety, Phytochemicals, and Aphrodisiac Potential. SN Appl. Sci. 2023, 5, 27. [Google Scholar] [CrossRef]
- Kelebek, H.; Sasmaz, H.K.; Aksay, O.; Selli, S.; Kahraman, O.; Fields, C. Exploring the Impact of Infusion Parameters and In Vitro Digestion on the Phenolic Profile and Antioxidant Capacity of Guayusa (Ilex guayusa Loes.) Tea Using Liquid Chromatography, Diode Array Detection, and Electrospray Ionization Tandem Mass Spectrometry. Foods 2024, 13, 694. [Google Scholar] [CrossRef]
- Laurindo, L.F.; Barbalho, S.M.; Araújo, A.C.; Guiguer, E.L.; Mondal, A.; Bachtel, G.; Bishayee, A. Açaí (Euterpe oleracea Mart.) in Health and Disease: A Critical Review. Nutrients 2023, 15, 989. [Google Scholar] [CrossRef] [PubMed]
- Curll, J.; Parker, C.; MacGregor, C.; Petersen, A. Unlocking the Energy of the Amazon? The Need for a Food Fraud Policy Approach to the Regulation of Anti-Ageing Health Claims on Superfood Labelling. Fed. Law Rev. 2016, 44, 419–449. [Google Scholar] [CrossRef]
- Gupta, E.; Mishra, P. Functional Food with Some Health Benefits, So Called Superfood: A Review. Curr. Nutr. Food Sci. 2021, 17, 144–166. [Google Scholar] [CrossRef]
- Reisman, E. Superfood as Spatial Fix: The Ascent of the Almond. Agric. Hum. Values 2020, 37, 337–351. [Google Scholar] [CrossRef]
- Fisher, C.; Albacete, C. Ancient Greenwashing: On Food Justice and Civilizations in the Supermarket. Gastronomica 2023, 23, 46–64. [Google Scholar] [CrossRef]
- Coyago-Cruz, E.; Guachamin, A.; Villacís, M.; Rivera, J.; Neto, M.; Méndez, G.; Heredia-Moya, J.; Vera, E. Evaluation of Bioactive Compounds and Antioxidant Activity in 51 Minor Tropical Fruits of Ecuador. Foods 2023, 12, 4439. [Google Scholar] [CrossRef] [PubMed]
- FAO. FAO Major Tropical Fruits: Market Review 2020; FAO: Rome, Italy, 2021. [Google Scholar]
- Llerena, W.; Samaniego, I.; Angós, I.; Brito, B.; Ortiz, B.; Carrillo, W. Biocompounds Content Prediction in Ecuadorian Fruits Using a Mathematical Model. Foods 2019, 8, 284. [Google Scholar] [CrossRef] [PubMed]
- de la Torre, L.; Navarrete, H.; Muriel, P.; Macía, M.; Balslev, H. Enciclopedia de Las Plantas Útiles Del Ecuador; Herbario QCA de la Escuela de Ciencias Biológicas de la Pontificia Universidad Católica del Ecuador: Quito, Ecuador, 2008; ISBN 978-9978-77-135-8. [Google Scholar]
- Caceres, L.G.; Andrade, J.S.; Silva Filho, D.F.d. Effects of Peeling Methods on the Quality of Cubiu Fruits. Food Sci. Technol. 2012, 32, 255–260. [Google Scholar] [CrossRef][Green Version]
- Smith, N. A Rainforest Cornucopia: The Cultural Importance of Native Fruits in Amazonia. In Amazonía. Memorias de las conferencias magistrales del 3er Encuentro Internacional de Arqueología Amazónica; Rostain, S., Ed.; Tercer Encuentro Internacional de Arqueología Amazónica: Quito, Ecuador, 2014; ISBN 978-9942-13-893-4. [Google Scholar]
- Manessis, G.; Kalogianni, A.I.; Lazou, T.; Moschovas, M.; Bossis, I.; Gelasakis, A.I. Plant-Derived Natural Antioxidants in Meat and Meat Products. Antioxidants 2020, 9, 1215. [Google Scholar] [CrossRef]
- Zugravu, C.A.; Bohiltea, R.E.; Salmen, T.; Pogurschi, E.; Otelea, M.R. Antioxidants in Hops: Bioavailability, Health Effects and Perspectives for New Products. Antioxidants 2022, 11, 241. [Google Scholar] [CrossRef]
- Ziauddeen, N.; Rosi, A.; Del Rio, D.; Amoutzopoulos, B.; Nicholson, S.; Page, P.; Scazzina, F.; Brighenti, F.; Ray, S.; Mena, P. Dietary Intake of (Poly)Phenols in Children and Adults: Cross-Sectional Analysis of UK National Diet and Nutrition Survey Rolling Programme (2008–2014). Eur. J. Nutr. 2019, 58, 3183–3198. [Google Scholar] [CrossRef] [PubMed]
- Liu, J.; Xu, D.; Chen, S.; Yuan, F.; Mao, L.; Gao, Y. Superfruits in China: Bioactive Phytochemicals and Their Potential Health Benefits—A Review. Food Sci. Nutr. 2021, 9, 6892–6902. [Google Scholar] [CrossRef] [PubMed]
- Heim, K.C.; Tagliaferro, A.R.; Heim, K.E.; Tagliaferro, A.R.; Bobilya, D.J. Flavonoid Antioxidants: Chemistry, Metabolism and Structure-Activity Relationships. J. Nutr. Biochem. 2002, 13, 572–584. [Google Scholar] [CrossRef] [PubMed]
- OECD; Food and Agriculture Organization of the United Nations. OCDE-FAO Perspectivas Agrícolas 2021–2030; OCDE-FAO Perspectivas Agrícolas; OECD: Paris, France, 2021; ISBN 978-92-64-58956-8. [Google Scholar]
- Paul, J.; Lim, W.M.; O’Cass, A.; Hao, A.W.; Bresciani, S. Scientific Procedures and Rationales for Systematic Literature Reviews (SPAR-4-SLR). Int. J. Consum. Stud. 2021, 45, O1–O16. [Google Scholar] [CrossRef]
- de Cássia Spacki, K.; Corrêa, R.C.G.; Uber, T.M.; Barros, L.; Ferreira, I.C.F.R.; Peralta, R.A.; de Fátima Peralta Muniz Moreira, R.; Helm, C.V.; de Lima, E.A.; Bracht, A.; et al. Full Exploitation of Peach Palm (Bactris gasipaes Kunth): State of the Art and Perspectives. Plants 2022, 11, 3175. [Google Scholar] [CrossRef] [PubMed]
- Peixoto Araujo, N.M.; Arruda, H.S.; Marques, D.R.P.; de Oliveira, W.Q.; Pereira, G.A.; Pastore, G.M. Functional and Nutritional Properties of Selected Amazon Fruits: A Review. Food Res. Int. 2021, 147, 110520. [Google Scholar] [CrossRef] [PubMed]
- Avila-Sosa, R.; Montero-Rodríguez, A.F.; Aguilar-Alonso, P.; Vera-López, O.; Lazcano-Hernández, M.; Morales-Medina, J.C.; Navarro-Cruz, A.R. Antioxidant Properties of Amazonian Fruits: A Mini Review of In Vivo and In Vitro Studies. Oxidative Med. Cell. Longev. 2019, 2019, e8204129. [Google Scholar] [CrossRef] [PubMed]
- Vargas-Arana, G.; Rengifo-Salgado, E.; Simirgiotis, M.J. Antidiabetic Potential of Medicinal Plants from the Peruvian Amazon: A Review. Bol. Latinoam. Y Del Caribe De Plantas Med. Y Aromat. 2023, 22, 277–300. [Google Scholar] [CrossRef]
- Digital Science Dimensions. Available online: https://app.dimensions.ai/ (accessed on 25 May 2022).
- Australian Bureau of Statistics Australian and New Zealand Standard Research Classification (ANZSRC). Available online: https://www.abs.gov.au/statistics/classifications/australian-and-new-zealand-standard-research-classification-anzsrc/latest-release (accessed on 24 July 2022).
- Aria, M.; Cuccurullo, C. Bibliometrix: An R-Tool for Comprehensive Science Mapping Analysis. J. Informetr. 2017, 11, 959–975. [Google Scholar] [CrossRef]
- Orduña-Malea, E.; Costas, R. Link-Based Approach to Study Scientific Software Usage: The Case of VOSviewer. Scientometrics 2021, 126, 8153–8186. [Google Scholar] [CrossRef]
- POWO. The International Plant Names Index and World Checklist of Vascular Plants. Available online: https://powo.science.kew.org/ (accessed on 18 October 2023).
- Carlsen, L.; Bruggemann, R. The 17 United Nations’ Sustainable Development Goals: A Status by 2020. Int. J. Sustain. Dev. World Ecol. 2022, 29, 219–229. [Google Scholar] [CrossRef]
- Sánchez-Capa, M.; Corell González, M.; Mestanza-Ramón, C. Edible Fruits from the Ecuadorian Amazon: Ethnobotany, Physicochemical Characteristics, and Bioactive Components. Plants 2023, 12, 3635. [Google Scholar] [CrossRef] [PubMed]
- Garavito, G.; Clavijo, R.; Luengas, P.; Palacios, P.; Arias, M.H. Assessment of Biodiversity Goods for the Sustainable Development of the Chagra in an Indigenous Community of the Colombian Amazon: Local Values of Crops. J. Ethnobiol. Ethnomed. 2021, 17, 23. [Google Scholar] [CrossRef] [PubMed]
- Restrepo-Salazar, J. Borojó. Reciteia 2007, 7, 44. [Google Scholar]
- Chaves-López, C.; Usai, D.; Gavino Donadu, M.; Serio, A.; González-Mina, R.T.; Simeoni, M.C.; Molicotti, P.; Zanetti, S.; Pinna, A.; Paparella, A. Potential of: Borojoa Patinoi Cuatrecasas Water Extract to Inhibit Nosocomial Antibiotic Resistant Bacteria and Cancer Cell Proliferation In Vitro. Food Funct. 2018, 9, 2725–2734. [Google Scholar] [CrossRef] [PubMed]
- Paniagua-Zambrana, N.Y.; Bussmann, R.W.; Romero, C. Bactris gasipaes Kunth. In Ethnobotany of the Andes; Paniagua-Zambrana, N.Y., Bussmann, R.W., Eds.; Ethnobotany of Mountain Regions; Springer International Publishing: Cham, Switzerland, 2020; pp. 1–17. ISBN 978-3-319-77093-2. [Google Scholar]
- Silva NA, D.; Rodrigues, E.; Mercadante, A.Z.; de Rosso, V.V. Phenolic Compounds and Carotenoids from Four Fruits Native from the Brazilian Atlantic Forest. J. Agric. Food Chem. 2014, 62, 5072–5084. [Google Scholar] [CrossRef]
- Quevedo Garcia, E. Aspectos agronómicos sobre el cultivo del arazá (Wugenia stipitata Mc Vaugh) frutal promisorio de la amazonia colombiana. Agron. Colomb. 1995, XII, 27–65. [Google Scholar]
- Fernández-Trujillo, J.P.; Hernández, M.S.; Carrillo, M.; Barrera, J. Arazá (Eugenia Stipitata McVaugh). In Postharvest Biology and Technology of Tropical and Subtropical Fruits; Yahia, E.M., Ed.; Woodhead Publishing Series in Food Science, Technology and Nutrition; Woodhead Publishing: Sawston, UK, 2011; pp. 98–117. ISBN 978-1-84569-734-1. [Google Scholar]
- Peixoto Araujo, N.M.; Arruda, H.S.; de Paulo Farias, D.; Molina, G.; Pereira, G.A.; Pastore, G.M. Plants from the Genus Eugenia as Promising Therapeutic Agents for the Management of Diabetes Mellitus: A Review. Food Res. Int. 2021, 142, 110182. [Google Scholar] [CrossRef]
- Medeiros, J.R.; Medeiros, N.; Medeiros, H.; Davin, L.B.; Lewis, N.G. Composition of the Bioactive Essential Oils from the Leaves of Eugenia Stipitata McVaugh Ssp. Sororia from the Azores. J. Essent. Oil Res. 2003, 15, 293–295. [Google Scholar] [CrossRef]
- Franco, M.R.B.; Shibamoto, T. Volatile Composition of Some Brazilian Fruits: Umbu-Caja (Spondias citherea), Camu-Camu (Myrciaria dubia), Araça-Boi (Eugenia stipitata), and Cupuaçu (Theobroma grandiflorum). J. Agric. Food Chem. 2000, 48, 1263–1265. [Google Scholar] [CrossRef]
- de Jesus Tello, J.P.; da Silva Biê, M.L.; Billacrês, M.A.R.; de Souza, J.D.; Lujan, M.P.R. A Comercialização Do Açaí e Do Mapati Na Tríplice Fronteira (Brasil, Colômbia e Peru): The Commercialization of Açaí and Mapati in the Triple Border (Brazil, Colombia and Peru). Stud. Soc. Sci. Rev. 2022, 3, 713–731. [Google Scholar] [CrossRef]
- Kaunda, J.S.; Zhang, Y.-J. The Genus Solanum: An Ethnopharmacological, Phytochemical and Biological Properties Review. Nat. Prod. Bioprospect. 2019, 9, 77–137. [Google Scholar] [CrossRef] [PubMed]
- Franco Dalenogare, J.; de Souza Vencato, M.; Franciele Feyh dos Santos Montagner, G.; Duarte, T.; Maria Medeiros Frescura Duarte, M.; Camponogara, C.; Marchesan Oliveira, S.; Leite da Veiga, M.; de Ugalde Marques da Rocha, M.I.; Pavanato, M.A.; et al. Toxicity, Anti-Inflammatory, and Antioxidant Activities of Cubiu (Solanum sessiliflorum) and Its Interaction with Magnetic Field in the Skin Wound Healing. Evid. Based Complement Altern. Med. 2022, 2022, 7562569. [Google Scholar] [CrossRef]
- Patiño, V.M. Historia y Dispersión de los Frutales Nativos del Neotrópico; CIAT: Rome, Italy, 2002; ISBN 978-958-694-037-5. [Google Scholar]
- Graefe, S.; Dufour, D.; van Zonneveld, M.; Rodriguez, F.; Gonzalez, A. Peach Palm (Bactris gasipaes) in Tropical Latin America: Implications for Biodiversity Conservation, Natural Resource Management and Human Nutrition. Biodivers. Conserv. 2013, 22, 269–300. [Google Scholar] [CrossRef]
- Carvalho, R.P.; Lemos, J.R.G.; de Aquino Sales, R.S.; Martins, M.G.; Nascimento, C.H.; Bayona, M.; Marcon, J.L.; Monteiro, J.B. The Consumption of Red Pupunha (Bactris gasipaes Kunth) Increases HDL Cholesterol and Reduces Weight Gain of Lactating and Post-Lactating Wistar Rats. J. Aging Res. Clin. Pr. 2013, 2, 257–260. [Google Scholar]
- Santos, O.V.D.; Soares, S.D.; Dias, P.C.S.; Duarte, S.D.P.D.A.; Santos, M.P.L.D.; Nascimento, F.D.C.A.D. Chromatographic Profile and Bioactive Compounds Found in the Composition of Pupunha Oil (Bactris gasipaes Kunth): Implications for Human Health. Rev. Nutr. 2020, 33, e190146. [Google Scholar] [CrossRef]
- dos Santos, O.V.; Soares, S.D.; Dias, P.C.S.; do Nascimento, F.D.C.A.; da Conceicao, L.R.V.; da Costa, R.S.; da Silva Pena, R. White Peach Palm (Pupunha) a New Bactris gasipaes Kunt Variety from the Amazon: Nutritional Composition, Bioactive Lipid Profile, Thermogravimetric and Morphological Characteristics. J. Food Compos. Anal. 2022, 112, 104684. [Google Scholar] [CrossRef]
- de Araújo, F.F.; de Paulo Farias, D.; Neri-Numa, I.A.; Dias-Audibert, F.L.; Delafiori, J.; de Souza, F.G.; Catharino, R.R.; do Sacramento, C.K.; Pastore, G.M. Chemical Characterization of Eugenia Stipitata: A Native Fruit from the Amazon Rich in Nutrients and Source of Bioactive Compounds. Food Res. Int. 2021, 139, 109904. [Google Scholar] [CrossRef] [PubMed]
- Ordóñez-Araque, R. Iron, Phosphorous and Calcium Quantification in Thermal Processes Aplied to Borojó (Borojoa patinoi Cuatrec). Idesia 2018, 36, 275–281. [Google Scholar]
- Brito Grandes, B.; Espín, S.; Paredes, N.; Vaillant, F.; Rodríguez Gavilanes, M.; Toledo, D. Potencial Nutritivo, Funcional y Procesamiento de Tres Frutales Amazónicos; INIAP, Estación Experimental Santa Catalina, Departamento de Nutrición y Calidad: Quito, Ecuador, 2009. [Google Scholar]
- Madrigal Redondo, G.; Vargas Zúñiga, R.; Carazo Berrocal, G.; Ramírez Arguedas, N.A.; Baltodano Viales, E.; Blanco Barrantes, J.; Porras Navarro, M. Phytochemical Characterization of Extracts of the Mesocarp of Bactris gasipaes and Evaluation of Its Antioxidant Power for Pharmaceutical Dermal Formulations. Int. J. Herb. Med. 2019, 7, 56–67. [Google Scholar]
- Filgueiras, H.A.C.; Alves, R.E.; Moura, C.F.H.; Araújo, N.C.C.; Almeida, A.S. Quality of Fruits Native to Latin America for Processing: Araza (Eugenia stipitata Mcvaugh). Acta Hortic. 2002, 575, 543–547. [Google Scholar] [CrossRef]
- Lim, T.K. Eugenia Stipitata. In Edible Medicinal and Non Medicinal Plants: Volume 3, Fruits; Lim, T.K., Ed.; Springer: Dordrecht, The Netherlands, 2012; pp. 616–619. ISBN 978-94-007-2534-8. [Google Scholar]
- Barrantes Inga, R.; Yaya Ñahui, D.; Arias Arroyo, G. Estudio Químico Bromatológico de Diferentes Individuos de Eugenia stipitata Mc Vaugh (Arazá). Cienc. Investig. 2002, 5, 37–43. [Google Scholar] [CrossRef]
- Lopes, D.; Antoniassi, R.; de Lourdes Souza, M.; Castro, I.M.; Souza, N.R.; Carauta, J.P.P.; Kaplan, M.A.C. Caracterizacao Quimica Dos Frutos Do Mapati (Pourouma cecropiifolia Martius—Moraceae). Braz. J. Food Technol. 1999, 2, 45–50. [Google Scholar]
- Jr, M.C.A.; Andrade, J.S.; Costa, S.S.; Leite, E.A.S. Nutrients of Cubiu Fruits (Solanum sessiliflorum Dunal, Solanaceae) as a Function of Tissues and Ripening Stages. J. Food Nutr. Res. 2017, 5, 674–683. [Google Scholar] [CrossRef]
- Sereno, A.B.; Bampi, M.; dos Santos, I.E.; Ferreira, S.M.R.; Bertin, R.L.; Krüger, C.C.H. Mineral Profile, Carotenoids and Composition of Cocona (Solanum sessiliflorum Dunal), a Wild Brazilian Fruit. J. Food Compos. Anal. 2018, 72, 32–38. [Google Scholar] [CrossRef]
- Jiménez, P. Cocona—Solanum sessiliflorum. In Exotic Fruits; Rodrigues, S., de Oliveira Silva, E., de Brito, E.S., Eds.; Academic Press: Cambridge, MA, USA, 2018; pp. 153–158. ISBN 978-0-12-803138-4. [Google Scholar]
- Neri-Numa, I.A.; Carvalho-Silva, L.B.; Morales, J.P.; Malta, L.G.; Muramoto, M.T.; Ferreira, J.E.M.; de Carvalho, J.E.; Ruiz, A.L.T.G.; Maróstica Junior, M.R.; Pastore, G.M. Evaluation of the Antioxidant, Antiproliferative and Antimutagenic Potential of Araçá-Boi Fruit (Eugenia stipitata Mc Vaugh—Myrtaceae) of the Brazilian Amazon Forest. Food Res. Int. 2013, 50, 70–76. [Google Scholar] [CrossRef]
- Barrios, J.; Cordero, C.P.; Aristizabal, F.; Heredia, F.J.; Morales, A.L.; Osorio, C. Chemical Analysis and Screening as Anticancer Agent of Anthocyanin-Rich Extract from Uva Caimarona (Pourouma cecropiifolia Mart.) Fruit. J. Agric. Food Chem. 2010, 58, 2100–2110. [Google Scholar] [CrossRef] [PubMed]
- Rea Martínez, J.L.; Moya Arízaga, J.M. Evaluation of the Ache Inhibitory Capacity of a Hydroalcoholic Extract of Amazonian Grape (Pourouma cecropiifolia). J. Adv. Zool. 2023, 44, 210–216. [Google Scholar]
- Montagner GF FD, S.; Barbisan, F.; Ledur, P.C.; Bolignon, A.; Motta JD, R.; Ribeiro, E.E.; Raquel de Souza Praia; Azzolin, V.F.; Cadoná, F.C.; Machado, A.K.; et al. In Vitro Biological Properties of Solanum sessiliflorum (Dunal), an Amazonian Fruit. J. Med. Food 2020, 23, 978–987. [Google Scholar] [CrossRef]
- Hernandes, L.C.; Aissa, A.F.; de Almeida, M.R.; Darin, J.D.C.; Rodrigues, E.; Batista, B.L.; Barbosa, F.; Mercadante, A.Z.; Bianchi, M.L.P.; Antunes, L.M.G. In Vivo Assessment of the Cytotoxic, Genotoxic and Antigenotoxic Potential of Maná-Cubiu (Solanum sessiliflorum Dunal) Fruit. Food Res. Int. 2014, 62, 121–127. [Google Scholar] [CrossRef]
- Santamarina, A.B.; de Souza Mesquita, L.M.; Casagrande, B.P.; Sertorio, M.N.; Vitor de Souza, D.; Mennitti, L.V.; Ribeiro, D.A.; Estadella, D.; Ventura, S.P.M.; de Rosso, V.V.; et al. Supplementation of Carotenoids from Peach Palm Waste (Bactris gasipaes) Obtained with an Ionic Liquid Mediated Process Displays Kidney Anti-Inflammatory and Antioxidant Outcomes. Food Chem. X 2022, 13, 100245. [Google Scholar] [CrossRef]
- Soares, S.D.; Santos, O.V.D.; Nascimento, F.D.C.A.D.; Pena, R.d.S. A Review of the Nutritional Properties of Different Varieties and Byproducts of Peach Palm (Bactris gasipaes) and Their Potential as Functional Foods. Int. J. Food Prop. 2022, 25, 2146–2165. [Google Scholar] [CrossRef]
- Costa, W.K.; de Oliveira, A.M.; da Silva Santos, I.B.; Silva VB, G.; da Silva EK, C.; de Oliveira Alves, J.V.; da Silva, A.; de Menezes Lima, V.L.; Correia, M.T.D.S.; da Silva, M.V. Antibacterial Mechanism of Eugenia Stipitata McVaugh Essential Oil and Synergistic Effect against Staphylococcus aureus. S. Afr. J. Bot. 2022, 147, 724–730. [Google Scholar] [CrossRef]
- Quesada, S.; Azofeifa, G.; Jatunov, S.; Jiménez, G.; Navarro, L.; Gómez, G. Carotenoids Composition, Antioxidant Activity and Glycemic Index of Two Varieties of Bactris gasipaes. Emir. J. Food Agric. 2011, 23, 482–489. [Google Scholar]
- Jiao, H. Borojo Skin Care Product and Use Thereof for Natural Moisturizing, Anti-Ageing, Anti-UV, Anti-Anaphylaxis and Whitening. U.S. Patent 9839605B2, 12 December 2017. [Google Scholar]
- Ospina Medina, L.F.; Pastrana, M.; Maya, W.D.C. Extractos de frutas afrodisíacas como inhibidores de la movilidad espermática humana in vitro. Rev. Cuba. Plantas Med. 2018, 23. [Google Scholar]
- Wang, W.; Liu, Z.; Jing, B.; Mai, H.; Jiao, H.; Guan, T.; Chen, D.; Kong, J.; Pan, T. 4,8-Dicarboxyl-8,9-Iridoid-1-Glycoside Promotes Neural Stem Cell Differentiation Through MeCP2. Dose-Response 2022, 20, 15593258221112959. [Google Scholar] [CrossRef]
- dos Santos, O.V.; do Rosário, R.C.; Teixeira-Costa, B.E. Sources of Carotenoids in Amazonian Fruits. Molecules 2024, 29, 2190. [Google Scholar] [CrossRef]
- Álvarez, A.; Jiménez, Á.; Méndez, J.; Murillo, E. Chemical and Biological Study of Eugenia stipitata Mc Vaugh Collected in the Colombian Andean Region. Asian J. Pharm. Clin. Res. 2018, 11, 362–369. [Google Scholar] [CrossRef]
- Farhadi, F.; Khameneh, B.; Iranshahi, M.; Iranshahy, M. Antibacterial Activity of Flavonoids and Their Structure–Activity Relationship: An Update Review. Phytother. Res. 2019, 33, 13–40. [Google Scholar] [CrossRef]
- Naveed, M.; Hejazi, V.; Abbas, M.; Kamboh, A.A.; Khan, G.J.; Shumzaid, M.; Ahmad, F.; Babazadeh, D.; FangFang, X.; Modarresi-Ghazani, F.; et al. Chlorogenic Acid (CGA): A Pharmacological Review and Call for Further Research. Biomed. Pharmacother. 2018, 97, 67–74. [Google Scholar] [CrossRef]
- Britton, G. Carotenoid Research: History and New Perspectives for Chemistry in Biological Systems. Biochim. Biophys. Acta (BBA)—Mol. Cell Biol. Lipids 2020, 1865, 158699. [Google Scholar] [CrossRef] [PubMed]
- Soares, J.C.; Rosalen, P.L.; Lazarini, J.G.; Massarioli, A.P.; da Silva, C.F.; Nani, B.D.; Franchin, M.; de Alencar, S.M. Comprehensive Characterization of Bioactive Phenols from New Brazilian Superfruits by LC-ESI-QTOF-MS, and Their ROS and RNS Scavenging Effects and Anti-Inflammatory Activity. Food Chem. 2019, 281, 178–188. [Google Scholar] [CrossRef] [PubMed]
- Garzón, G.A.; Narváez-Cuenca, C.-E.; Kopec, R.E.; Barry, A.M.; Riedl, K.M.; Schwartz, S.J. Determination of Carotenoids, Total Phenolic Content, and Antioxidant Activity of Arazá (Eugenia stipitata McVaugh), an Amazonian Fruit. J. Agric. Food Chem. 2012, 60, 4709–4717. [Google Scholar] [CrossRef] [PubMed]
- Sytařová, I.; Orsavová, J.; Snopek, L.; Mlček, J.; Byczyński, Ł.; Mišurcová, L. Impact of Phenolic Compounds and Vitamins C and E on Antioxidant Activity of Sea Buckthorn (Hippophaë rhamnoides L.) Berries and Leaves of Diverse Ripening Times. Food Chem. 2020, 310, 125784. [Google Scholar] [CrossRef] [PubMed]
- Badshah, S.L.; Faisal, S.; Muhammad, A.; Poulson, B.G.; Emwas, A.H.; Jaremko, M. Antiviral Activities of Flavonoids. Biomed. Pharmacother. 2021, 140, 111596. [Google Scholar] [CrossRef] [PubMed]
- Lopes-Lutz, D.; Dettmann, J.; Nimalaratne, C.; Schieber, A. Characterization and Quantification of Polyphenols in Amazon Grape (Pourouma cecropiifolia Martius). Molecules 2010, 15, 8543–8552. [Google Scholar] [CrossRef] [PubMed]
- Mattioli, R.; Francioso, A.; Mosca, L.; Silva, P. Anthocyanins: A Comprehensive Review of Their Chemical Properties and Health Effects on Cardiovascular and Neurodegenerative Diseases. Molecules 2020, 25, 3809. [Google Scholar] [CrossRef] [PubMed]
- Rothwell, J.A.; Perez-Jimenez, J.; Neveu, V.; Medina-Remón, A.; M’Hiri, N.; García-Lobato, P.; Manach, C.; Knox, C.; Eisner, R.; Wishart, D.S.; et al. Phenol-Explorer 3.0: A Major Update of the Phenol-Explorer Database to Incorporate Data on the Effects of Food Processing on Polyphenol Content. Database 2013, 2013, bat070. [Google Scholar] [CrossRef] [PubMed]
- Rodrigues, E.; Mariutti, L.R.B.; Mercadante, A.Z. Carotenoids and Phenolic Compounds from Solanum Sessiliflorum, an Unexploited Amazonian Fruit, and Their Scavenging Capacities against Reactive Oxygen and Nitrogen Species. J. Agric. Food Chem. 2013, 61, 3022–3029. [Google Scholar] [CrossRef]
- Mascato DR DL, H.; Monteiro, J.B.; Passarinho, M.M.; Galeno DM, L.; Cruz, R.J.; Ortiz, C.; Morales, L.; Lima, E.S.; Carvalho, R.P. Evaluation of Antioxidant Capacity of Solanum sessiliflorum (Cubiu) Extract: An In Vitro Assay. J. Nutr. Metab. 2015, 2015, 364185. [Google Scholar] [CrossRef]
- Terada, S.; Itoh, K.; Noguchi, N.; Ishida, T. Alpha-Glucosidase Inhibitor, Inhibitor for Blood Glucose Level Elevation and Functional Food Containing Tricaffeoylaldaric Acid and Method for Producing Tricaffeoylaldaric Acid. U.S. Patent 12/304,803, 20 August 2009. [Google Scholar]
- Ahrens, M.J.; Thompson, D.L. Effect of Emulin on Blood Glucose in Type 2 Diabetics. J. Med. Food 2013, 16, 211–215. [Google Scholar] [CrossRef] [PubMed]
- Ganeshpurkar, A.; Saluja, A.K. The Pharmacological Potential of Rutin. Saudi Pharm. J. 2017, 25, 149–164. [Google Scholar] [CrossRef] [PubMed]
- Chaves-López, C.; Mazzarrino, G.; Rodríguez, A.; Fernández-López, J.; Pérez-Álvarez, J.A.; Viuda-Martos, M. Assessment of Antioxidant and Antibacterial Potential of Borojo Fruit (Borojoa patinoi Cuatrecasas) from the Rainforests of South America. Ind. Crops Prod. 2015, 63, 79–86. [Google Scholar] [CrossRef]
- Cardona, J.J.E.; Cuca, S.L.E.; Barrera, G.J.A. Determination of Some Secondary Metabolites in Three Ethnovarieties of Cocona (Solanum sessiliforum Dunal). Rev. Colomb. Quím. 2011, 40, 185–200. [Google Scholar]
- Faria, J.V.; Valido, I.H.; Paz, W.H.P.; da Silva, F.M.A.; de Souza, A.D.L.; Acho, L.R.D.; Lima, E.S.; Boleti, A.P.A.; Marinho, J.V.N.; Salvador, M.J.; et al. Comparative Evaluation of Chemical Composition and Biological Activities of Tropical Fruits Consumed in Manaus, Central Amazonia, Brazil. Food Res. Int. 2021, 139, 109836. [Google Scholar] [CrossRef] [PubMed]
- Colodel, C.; de Oliveira Petkowicz, C.L. Acid Extraction and Physicochemical Characterization of Pectin from Cubiu (Solanum sessiliflorum D.) Fruit Peel. Food Hydrocoll. 2019, 86, 193–200. [Google Scholar] [CrossRef]
- Mao, P.; Liu, Z.; Xie, M.; Jiang, R.; Liu, W.; Wang, X.; Meng, S.; She, G. Naturally Occurring Methyl Salicylate Glycosides. Mini Rev. Med. Chem. 2014, 14, 56–63. [Google Scholar] [CrossRef] [PubMed]
- Guimarães, A.C.; Meireles, L.M.; Lemos, M.F.; Guimarães, M.C.C.; Endringer, D.C.; Fronza, M.; Scherer, R. Antibacterial Activity of Terpenes and Terpenoids Present in Essential Oils. Molecules 2019, 24, 2471. [Google Scholar] [CrossRef]
- Balahbib, A.; El Omari, N.; Hachlafi, N.E.L.; Lakhdar, F.; El Menyiy, N.; Salhi, N.; Mrabti, H.N.; Bakrim, S.; Zengin, G.; Bouyahya, A. Health Beneficial and Pharmacological Properties of p-Cymene. Food Chem. Toxicol. 2021, 153, 112259. [Google Scholar] [CrossRef]
- Crupi, P.; Faienza, M.F.; Naeem, M.Y.; Corbo, F.; Clodoveo, M.L.; Muraglia, M. Overview of the Potential Beneficial Effects of Carotenoids on Consumer Health and Well-Being. Antioxidants 2023, 12, 1069. [Google Scholar] [CrossRef]
- Lu, Y.; Zhao, J.; Xin, Q.; Yuan, R.; Miao, Y.; Yang, M.; Mo, H.; Chen, K.; Cong, W. Protective Effects of Oleic Acid and Polyphenols in Extra Virgin Olive Oil on Cardiovascular Diseases. Food Sci. Hum. Wellness 2024, 13, 529–540. [Google Scholar] [CrossRef]
- Koh, Y.G.; Seok, J.; Park, J.W.; Kim, K.R.; Yoo, K.H.; Kim, Y.J.; Kim, B.J. Efficacy and Safety of Oral Palmitoleic Acid Supplementation for Skin Barrier Improvement: A 12-Week, Randomized, Double-Blinded, Placebo-Controlled Study. Heliyon 2023, 9, e16711. [Google Scholar] [CrossRef]
- Kusumah, D.; Wakui, M.; Murakami, M.; Xie, X.; Yukihito, K.; Maeda, I. Linoleic Acid, α-Linolenic Acid, and Monolinolenins as Antibacterial Substances in the Heat-Processed Soybean Fermented with Rhizopus Oligosporus. Biosci. Biotechnol. Biochem. 2020, 84, 1285–1290. [Google Scholar] [CrossRef] [PubMed]
- Wang, L.; Song, J.; Liu, A.; Xiao, B.; Li, S.; Wen, Z.; Lu, Y.; Du, G. Research Progress of the Antiviral Bioactivities of Natural Flavonoids. Nat. Prod. Bioprospect. 2020, 10, 271–283. [Google Scholar] [CrossRef]
- Hassen, I.; Casabianca, H.; Hosni, K. Biological Activities of the Natural Antioxidant Oleuropein: Exceeding the Expectation—A Mini-Review. J. Funct. Foods 2015, 18, 926–940. [Google Scholar] [CrossRef]
- Moran, J.M.; Leal-Hernandez, O.; Canal-Macías, M.L.; Roncero-Martin, R.; Guerrero-Bonmatty, R.; Aliaga, I.; Zamorano, J.D.P. Antiproliferative Properties of Oleuropein in Human Osteosarcoma Cells. Nat. Prod. Commun. 2016, 11, 1934578X1601100418. [Google Scholar] [CrossRef]
- Oi-Kano, Y.; Kawada, T.; Watanabe, T.; Koyama, F.; Watanabe, K.; Senbongi, R.; Iwai, K. Oleuropein Supplementation Increases Urinary Noradrenaline and Testicular Testosterone Levels and Decreases Plasma Corticosterone Level in Rats Fed High-Protein Diet. J. Nutr. Biochem. 2013, 24, 887–893. [Google Scholar] [CrossRef] [PubMed]
- Panchal, S.K.; Poudyal, H.; Brown, L. Quercetin Ameliorates Cardiovascular, Hepatic, and Metabolic Changes in Diet-Induced Metabolic Syndrome in Rats. J. Nutr. 2012, 142, 1026–1032. [Google Scholar] [CrossRef]
- Meng, Z.; Wang, M.; Xing, J.; Liu, Y.; Li, H. Myricetin Ameliorates Atherosclerosis in the Low-Density-Lipoprotein Receptor Knockout Mice by Suppression of Cholesterol Accumulation in Macrophage Foam Cells. Nutr. Metab. 2019, 16, 25. [Google Scholar] [CrossRef]
- Han, S.-H.; Lee, J.-H.; Woo, J.-S.; Jung, G.-H.; Jung, S.-H.; Han, E.-J.; Kim, B.; Cho, S.D.; Nam, J.S.; Che, J.H.; et al. Myricetin Induces Apoptosis and Autophagy in Human Gastric Cancer Cells through Inhibition of the PI3K/Akt/mTOR Pathway. Heliyon 2022, 8, e09309. [Google Scholar] [CrossRef]
- Wang, S.B.; Jang, J.Y.; Chae, Y.H.; Min, J.H.; Baek, J.Y.; Kim, M.; Park, Y.; Hwang, G.S.; Ryu, J.-S.; Chang, T.-S. Kaempferol Suppresses Collagen-Induced Platelet Activation by Inhibiting NADPH Oxidase and Protecting SHP-2 from Oxidative Inactivation. Free Radic Biol. Med. 2015, 83, 41–53. [Google Scholar] [CrossRef] [PubMed]
- Ren, K.; Jiang, T.; Zhou, H.-F.; Liang, Y.; Zhao, G.-J. Apigenin Retards Atherogenesis by Promoting ABCA1-Mediated Cholesterol Efflux and Suppressing Inflammation. Cell. Physiol. Biochem. 2018, 47, 2170–2184. [Google Scholar] [CrossRef] [PubMed]
- Luo, D.; Xu, J.; Chen, X.; Zhu, X.; Liu, S.; Li, J.; Xu, X.; Ma, X.; Zhao, J.; Ji, X. (−)-Epigallocatechin-3-Gallate (EGCG) Attenuates Salt-Induced Hypertension and Renal Injury in Dahl Salt-Sensitive Rats. Sci. Rep. 2020, 10, 4783. [Google Scholar] [CrossRef]
- Dong, R.; Huang, R.; Shi, X.; Xu, Z.; Mang, J. Exploration of the Mechanism of Luteolin against Ischemic Stroke Based on Network Pharmacology, Molecular Docking and Experimental Verification. Bioengineered 2021, 12, 12274–12293. [Google Scholar] [CrossRef]
- Dong, M.; Luo, Y.; Lan, Y.; He, Q.; Xu, L.; Pei, Z. Luteolin Reduces Cardiac Damage Caused by Hyperlipidemia in Sprague-Dawley Rats. Heliyon 2023, 9, e17613. [Google Scholar] [CrossRef]
- Tao, Z.; Zhang, R.; Zuo, W.; Ji, Z.; Fan, Z.; Chen, X.; Huang, R.; Li, X.; Ma, G. Association between Dietary Intake of Anthocyanidins and Heart Failure among American Adults: NHANES (2007–2010 and 2017–2018). Front. Nutr. 2023, 10, 1107637. [Google Scholar] [CrossRef]
- Sakaki, J.R.; Melough, M.M.; Chun, O.K. Chapter 14—Anthocyanins and Anthocyanin-Rich Food as Antioxidants in Bone Pathology. In Pathology; Preedy, V.R., Ed.; Academic Press: Cambridge, MA, USA, 2020; pp. 145–158. ISBN 978-0-12-815972-9. [Google Scholar]
- Ye, W.; Fan, C.; Wang, Y.; Mei, J.; Liu, J.; Huang, X.; Xu, L.; Zhao, X. Borojo Monomer, Borojo Extract, and Preparation Method and Application Thereof. CN110343038B, 15 March 2022. [Google Scholar]
- Valencia, G.; DeLaRosa, D.M. Formulations Containing Borojo. U.S. Patent 20110150951-A1, 22 December 2009. [Google Scholar]
- Sierra Ávila, C.A.; Martínez Gómez, S.M.; Gutiérrez Carranza, L.A.; Rodríguez Angulo, R. Empaque Polimérico Que Retarda El Proceso de Maduración y Senescencia de Productos Vegetales Frescos. WO2016071875A1, 12 May 2016. [Google Scholar]
- Carhuallanqui, A.S.; Ugarte, M.D.A.Y.M.; Salazar, G.A.X.; Palomino, V.M.A.; Asto, H.R.C. Procedimiento para la Obtencion de una Salsa Picante de aji Charapita (Capsicum frutescens) con Pulpa de pina (Ananas comosus). PE20201474A1, 18 December 2020. [Google Scholar]
- Boyes-Cotera, A.T. Exploración del potencial del Borojó (Alibertia patinoi) en la pastelería Ecuatoriana. Rev. De Gastron. Y Cocina 2023, 2, 22–29. [Google Scholar] [CrossRef]
- Nouioura, G.; Lyoussi, B.; Derwich, E. Rekindling Desire: Unveiling the Aphrodisiac Potential of Apiaceae Elixirs. Phytomed. Plus 2024, 4, 100530. [Google Scholar] [CrossRef]
- Barros, J.H.T.; Frasson, S.F.; Colussi, R. Characterization of Pupunha Starch (Bactris gasipaes Var. Gasipaes) and Its Application in Aerogel Production. Food Biosci. 2024, 59, 104243. [Google Scholar] [CrossRef]
- Desireé Sousa da Costa, R.; Hickmann Flôres, S.; Brandelli, A.; Galarza Vargas, C.; Carolina Ritter, A.; Manoel da Cruz Rodrigues, A.; Helena Meller da Silva, L. Development and Properties of Biodegradable Film from Peach Palm (Bactris gasipaes). Food Res. Int. 2023, 173, 113172. [Google Scholar] [CrossRef]
- Queiroz de Oliveira, W.; Angélica Neri Numa, I.; Alvim, I.D.; Azeredo, H.M.C.; Santos, L.B.; Borsoi, F.T.; de Araújo, F.F.; Sawaya, A.C.H.F.; do Nascimento, G.C.; Clerici, M.T.P.S.; et al. Multilayer Microparticles for Programmed Sequential Release of Phenolic Compounds from Eugenia stipitata: Stability and Bioavailability. Food Chem. 2024, 443, 138579. [Google Scholar] [CrossRef] [PubMed]
- Maia SD, S.; Smiderle, O.J.; Souza AD, G.; Torres, S.B. Adaptation of Tetrazolium Test Methodology to Estimate the Viability of Eugenia stipitata McVaugh Ssp. Sororia McVaugh Seeds. Hoehnea 2023, 50, e142023. [Google Scholar] [CrossRef]
- Costa, W.K.; da Cruz, R.C.D.; da Silva Carvalho, K.; de Souza, I.A.; dos Santos Correia, M.T.; de Oliveira, A.M.; da Silva, M.V. Insecticidal Activity of Essential Oil from Leaves of Eugenia stipitata McVaugh against Aedes aegypti. Parasitol. Int. 2024, 98, 102820. [Google Scholar] [CrossRef] [PubMed]
- de Andrade MT, P.; Gibbert, L.; Sereno, A.B.; Silva, M.B.; Guilhen, V.A.; da Silva, L.A.; Casagrande, T.A.C.; de Messias-Reason, I.J.; de Fatima Gaspari Dias, J.; Kruger, C.H.; et al. Effect of Solanum Sessiliflorum Dunal (Maná-Cubiu) Extract in Diet-Induced Metabolic Syndrome in Rats. J. Food Res. 2023, 12, 77–84. [Google Scholar] [CrossRef]
- Cáceda, H.A.V.; Quispe, A.R.O.; Saldarriaga, C.A.A. Antibacterial effect of hydroalcoholic extract of Solanum sessiliflorum Dunal (cocona) on Streptococcus mutans. Rev. Cuba. Med. Mil. 2023, 52. [Google Scholar]
- da Cruz, J.F.; da Conceição Quiterio, T.; Franco PV, M.; de Castro, A.P. Cubiu Solanum sessiliflorum Uma Fruta Alimentar, Medicinal e Cultural. Braz. J. Dev. 2023, 9, 93–107. [Google Scholar] [CrossRef]
- Di Cosmo, A.; Pinelli, C.; Scandurra, A.; Aria, M.; D’Aniello, B. Research Trends in Octopus Biological Studies. Animals 2021, 11, 1808. [Google Scholar] [CrossRef]
- Agbo, F.J.; Oyelere, S.S.; Suhonen, J.; Tukiainen, M. Scientific Production and Thematic Breakthroughs in Smart Learning Environments: A Bibliometric Analysis. Smart Learn. Environ. 2021, 8, 1. [Google Scholar] [CrossRef]
- Mattes, W.B. In Vitro to in Vivo Translation. Curr. Opin. Toxicol. 2020, 23–24, 114–118. [Google Scholar] [CrossRef]
- Sierra, R. Food Production Systems in the Amazon. In Encyclopaedia of the History of Science, Technology, and Medicine in Non-Western Cultures; Selin, H., Ed.; Springer: Dordrecht, The Netherlands, 2016; pp. 1–15. ISBN 978-94-007-3934-5. [Google Scholar]
- Carvalho, E.A.; Nunes, L.V.; Goes LM, D.S.; Silva EG, P.D.; Franco, M.; Gross, E.; Uetanabaro, A.P.T.; da Costa, A.M. Peach-Palm (Bactris gasipaes Kunth.) Waste as Substrate for Xylanase Production by Trichoderma stromaticum AM7. Chem. Eng. Commun. 2018, 205, 975–985. [Google Scholar] [CrossRef]
- Fernandes, F.; Farias, A.; Carneiro, L.; Santos, R.; Torres, D.; Silva, J.; Souza, J.; Souza, É. Dilute Acid Hydrolysis of Wastes of Fruits from Amazon for Ethanol Production. AIMS Bioeng. 2021, 8, 221–234. [Google Scholar] [CrossRef]
- Visser, M.; van Eck, N.J.; Waltman, L. Large-Scale Comparison of Bibliographic Data Sources: Scopus, Web of Science, Dimensions, Crossref, and Microsoft Academic. Quant. Sci. Stud. 2021, 2, 20–41. [Google Scholar] [CrossRef]
- Hedding, D.W.; Breetzke, G. “Here Be Dragons!” The Gross under-Representation of the Global South on Editorial Boards in Geography. Geogr. J. 2021, 187, 331–345. [Google Scholar] [CrossRef]
- Amarante, V.; Burger, R.; Chelwa, G.; Cockburn, J.; Kassouf, A.; McKay, A.; Zurbrigg, J. Underrepresentation of Developing Country Researchers in Development Research. Appl. Econ. Lett. 2022, 29, 1659–1664. [Google Scholar] [CrossRef]
- Campos-Arceiz, A.; Primack, R.B.; Miller-Rushing, A.J.; Maron, M. Striking Underrepresentation of Biodiversity-Rich Regions among Editors of Conservation Journals. Biol. Conserv. 2018, 220, 330–333. [Google Scholar] [CrossRef]













| Antioxidant | Family/Examples | Mechanism | Chemical Feature | References |
|---|---|---|---|---|
| Phenolic acids | Salicylic, gentisic, p-hydroxybenzoic, protocatechuic, vanillic, syringic, gallic, p-coumaric, ferulic, caffeic and synapic acids | Hydrogen donors or transfer single electrons | Carboxylic acids with a hydroxy-substituted benzene ring within their structure | [15,33,36] |
| Flavonoids | Flavone (apigenin) Flavanol (epicatechin) Flavanone (naringenin) Flavanonol (taxifolin) Flavanol (quercetin) Isoflavone (genistein) Anthocyanidin (cyanidin) | Suppression of the formation of ROS or scavenging of ROS | Three rings of carbon atoms (C6-C3-C6) with additions of functional groups | [14,15,33,37] |
| Carotenoids | Lycopene, lutein, zeaxanthin, β-carotene | Scavenge singlet oxygen O2 and peroxyl-radicals by physical quenching | Carbon chain of conjugated carbon bonds | [15,33,36] |
| Tannins | Gallic acid, tannic acid, epigallocatechin | Donate hydrogen and electrons, chelate iron, and inhibit the activity of cyclooxygenase | Polymerization of phenylpropanoid compounds | [15,33,36] |
| Stilbenes | Piceid, resveratrol, piceatannol, and pterostilbene | Electron donor or enzyme activation | 1,2-diphenylethylene structure | [15,33,36] |
| Ascorbic acid | - | Electron donor, scavenging free radicals | Vicinal OH groups | [15,33,36] |
| Vitamin E | Tocopherols tocotrienols | Donate hydrogen to lipid free radicals | Phenolic and a heterocyclic ring, conjugated with a phytyl chain | [15,33,36] |
| Stage | Substage | |
|---|---|---|
| 1 Assembling | 1a Identification | Domain: health sciences, food science, ethnopharmacology, phytochemistry, phytomedicine Research question: What is the current knowledge about the potential against MetS of five underutilized Ecuadorian Amazon fruits Borojó, chonta, arazá, tree grape, and cocona? Source type:
|
| 1b Acquisition | Search mechanism and material acquisition: Dimensions, Scopus. Abstract and keyword queries. Search period: 2011–2024 Search keywords: (Borojoa OR Alibertia) AND patinoi, Bactris AND gasipaes, Eugenia AND stipitata, Pourouma AND cecropiifolia, Solanum AND sessiliflorum Total number of articles returned from the search: 554 | |
| 2 Arranging | 2a Organization | Organizing codes: ANZSRC, SDG. |
| 2b Purification | Article type excluded (n = 444): duplicates, remove predatory titles, remove non-empirical, non-review articles. Remove articles not directly related to the topic (cosmetics, plant genetics, pest control, etc.). Article type included (n = 110): Triangulation with previous reviews to ensure seminal articles are included [19,20,40,41,42,43]. | |
| 3 Assessing | 3a Evaluation | Analysis method: Content—descriptive Agenda proposal method: Future research directions, identification of existing gaps, practical applications. |
| 3c Reporting | Reporting conventions: Discussion and summaries in the form of tables and figures. Limitations: Discussed Sources of support: Acknowledged | |
| Species | Documents | Top 5 Research Categories | Top SDGs |
|---|---|---|---|
| A. patinoi (Ap) | 8 | 30 3006 31 40 32 | 15 2 7 12 13 |
| B. gasipaes (Bg) | 57 | 30 31 3006 3004 3108 | 2 14 15 |
| E. stipitata (Es) | 31 | 30 3006 3008 31 3004 | 15 3 |
| P. cecropiifolia (Pc) | 6 | 30 31 3004 34 3006 | 2 15 |
| S. sessiliflorum (Ss) | 20 | 30 3008 31 3004 3006 | 14 |
| Species | Energy (kcal/100 g) | Carbohydrate (g/100 g) | Protein (g/100 g) | Fat (g/100 g) | Vitamins (/100 g) | Minerals (mg/100 g) | Ref. |
|---|---|---|---|---|---|---|---|
| Ap | 127.4 | 28.9 | 1.18 | 0.05 | A: 253 UI C: 12.4 mg | Ca: 18.1 P: 18.6 Fe: 18.1 | [20,70] |
| Bg | 185–196 | 37.6 -41.7 | 2.6–3.3 | 4.3–4.6 | A: 1117–3000 UI B9: 34 mg | K: 196 Mg: 20 Ca: 14–26 | [19,71,72] |
| Es | 15.6 | 3.6 | 0.71 | 0.3 | A: 150 UI C: 36.8 mg | K: 827 Fe: 3.74 Mg: 76 Ca: 126 Cu: 1.12 | [71,73,74,75] |
| Pc | 36.6 | 15.5 | 0.3 | 0.4 | B3: 1.2 mg C: 6 mg | K: 127 P: 32 | [74,76] |
| Ss | 33 | 5.7 | 0.6 | 1.4 | A: 92 µg C: 14 mg B3: 2.5 mg | K: 1710 P: 1 Ca: 121 | [77,78,79] |
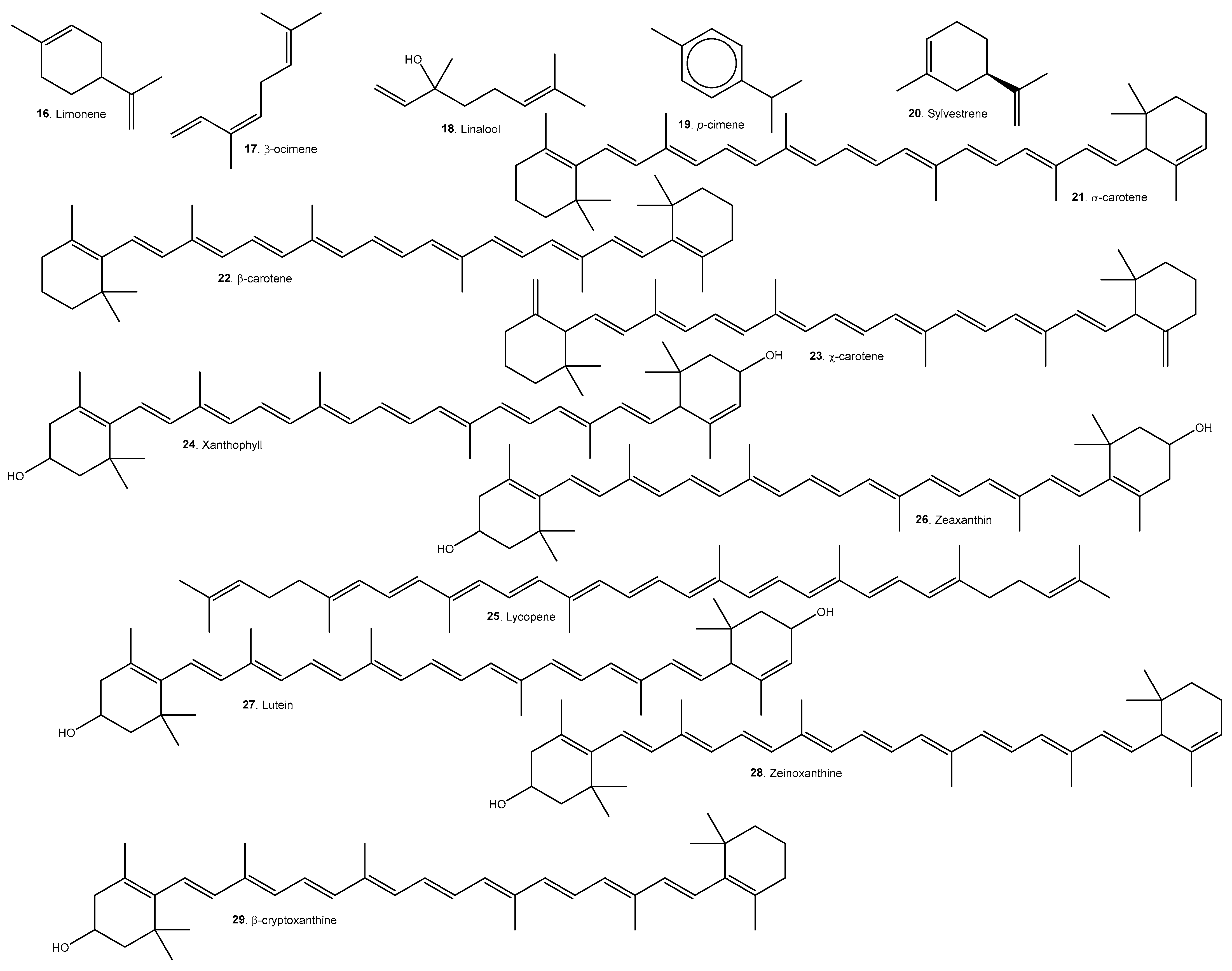
| N° | Compound | Ap | Bg | Es | Pc | Ss |
|---|---|---|---|---|---|---|
| Esters | ||||||
| 1. | Benzyl acetate | X | ||||
| 2. | Ethyl decanoate | X | ||||
| 3. | Ethyl hexanoate | X | ||||
| 4. | Ethyl octanoate | X | X | X | ||
| 5. | Ethyl propionate | X | ||||
| 6. | Ethyl-2-methylbutanoate | X | ||||
| 7. | Hexyl acetate | X | ||||
| 8. | Hexyl butyrate | X | ||||
| 9. | Methyl salicylate | X | X | X | ||
| Alcohols | ||||||
| 10. | 1-hexanol | X | X | X | ||
| 11. | 2-heptanol | X | ||||
| 12. | 2-nonanol | X | ||||
| 13. | 2-phenylethanol | X | X | |||
| 14. | 2,3-butanediol | X | ||||
| 15. | 1-nonanol | X | ||||
| Terpenoids | ||||||
| 16. | Limonene | X | ||||
| 17. | β-ocimene | X | ||||
| 18. | Linalool | X | X | |||
| 19. | p-cymene | X | ||||
| 20. | Sylvestrene | X | ||||
| Carotenoids | ||||||
| 21. | α-carotene | X | ||||
| 22. | β-carotene | X | X | X | ||
| 23. | γ-carotene | X | ||||
| 24. | Xanthophyll | X | ||||
| 25. | Lycopene | X | X | |||
| 26. | Zeaxanthin | X | ||||
| 27. | Lutein | X | ||||
| 28. | Zeinoxanthin | X | ||||
| 29. | β-cryptoxanthin | X | ||||
| Carboxylic acids | ||||||
| 30. | Acetic acid | X | ||||
| 31. | Citric acid | X | X | X | ||
| 32. | Hexanoic acid | X | ||||
| 33. | Malic acid | X | ||||
| 34. | Oxalic acid | X | ||||
| 35. | Tartaric acid | X | ||||
| Fatty acids | ||||||
| 36. | Linoleic acid | X | X | |||
| 37. | Oleic acid | X | ||||
| 38. | Palmitic acid | X | X | |||
| 39. | Palmitoleic acid | X | ||||
| 40. | Stearic acid | X | ||||
| Phenolic acids | ||||||
| 41. | Caffeic acid | X | X | |||
| 42. | Caffeoyl methylquinic acid | X | ||||
| 43. | Caffeoyl quinic acid | X | ||||
| 44. | Caffeoyl tartaric acid | X | ||||
| 45. | Chlorogenic acid (not specified) | X | X | X | ||
| 46. | Fertaric acid | X | ||||
| 47. | Gallic acid | X | X | |||
| 48. | Neochlorogenic acid | X | ||||
| 49. | o-coumaric acid | X | ||||
| 50. | p-hydroxybenzoic acid | X | ||||
| 51. | Quinic acid, 4,5-O-dicaffeoyl | X | ||||
| 52. | Quinic acid, 5-O-feruloyl | X | ||||
| 53. | Syringic acid | X | ||||
| 54. | Vanillic acid | X | X | |||
| Flavonoids | ||||||
| 55. | Apigenin hexoside | X | ||||
| 56. | Methylapigenin hexoside | X | ||||
| 57. | Apigenin hexoside caffeate | X | ||||
| 58. | Catechin | X | X | X | ||
| 59. | Catechin hexoside | X | ||||
| 60. | Catechin dihexoside | X | ||||
| 61. | Cyanidin-3-O-β-glucopyranoside | X | ||||
| 62. | Cyanidin-3-O-(6″malonyl)-glucopyranoside | X | ||||
| 63. | Delphinidin-3-O-β-glucoside | X | ||||
| 64. | Epicatechin | X | ||||
| 65. | Gallocatechin | X | ||||
| 66. | Kaempferol | X | ||||
| 67. | Kaempferol diacetyl dicoumaroyl hexoside | X | ||||
| 68. | Kaempferol dihexoside | X | ||||
| 69. | Kaempferol hydroxypropionylhexoside hexoside | X | ||||
| 70. | Luteolin hexoside | X | ||||
| 71. | Luteolin malonyl dihexoside | X | ||||
| 72. | Myricetin | X | ||||
| 73. | Myricetin coumarylhexoside hexoside | X | ||||
| 74. | Neohesperidin | X | ||||
| 75. | Procyanidin B | X | ||||
| 76. | Quercetin | X | X | |||
| 77. | Isoquercetin | X | ||||
| 78. | Quercetin 3-O-α-rhamnopyranosyl-(1-6)-β-galactopyranoside | X | ||||
| 79. | Quercetin 3-O-α-rhamnopyranosyl-(1-6)-β-glucopyranoside | X | ||||
| 80. | Quercetin-3-galactoside | X | ||||
| 81. | Quercetin-3-glucoside | X | ||||
| 82. | Quercetin-3-xyloside | X | ||||
| 83. | Quercetin-3-arabinopyranoside | X | ||||
| 84. | Quercetin hexopyranosyl hexoside | X | ||||
| 85. | Rutin | X | X | X | ||
| Other | ||||||
| 86. | β-ionone | X | ||||
| 87. | Oleuropein | X | ||||
| 88. | Maltose | X | ||||
| 89. | Sucrose | X | X | |||
| 90. | Fructose | X | X | |||
| 91. | Glucose | X | X | |||
| 92. | Ascorbic acid | X | X | |||
| 93. | Cetyl alcohol | X | ||||
| 94. | Guaiacol | X | ||||
| 95. | (E)-hexenyl-2-butyrate | X | ||||
| 96. | Tridecane | X | ||||
| 97. | (E)-2-heptadecene | X | ||||
| 98. | 7-methylheptadecane | X | ||||
| 99. | 2-methyloctadecane | X | ||||
| 100. | 2-methyleicosane | X | ||||
| 101. | Pectin | X | ||||
| 102. | Nonanal | X | X | |||
| Antioxidant | Action | Targeted Conditions | Present in | Ref. |
|---|---|---|---|---|
| Chlorogenic acid | Lowering of glycemic impact of foods, lowering of background glucose level | Type 2 diabetes in a commercial product: Emulin™ | Ap, Pc, Ss | [107] |
| Rutin | Nephroprotective | MetS-related kidney damage | Ap, Pc, Ss | [108] |
| Quercetin | Ameliorates MetS-related changes | Cardiovascular, hepatic, metabolic | Es, Ss | [124] |
| Myricetin | Antioxidant, anti-inflammatory, anticancer | Atherosclerosis, hypertension, ischemic heart disease | Es | [125,126] |
| Kaempferol | Anticoagulant, anti-platelet, antioxidant | Cardiovascular diseases associated with hyperactivation of platelets | Es | [127] |
| Apigenin | Antioxidant, anti-inflammatory anti-hypercholesterolemia | Atherosclerosis | Es | [128] |
| Gallocatechin | Vasorelaxation, antioxidant, anti-inflammatory | Hypertension | Es | [129] |
| Luteolin | Hypolipidemic, antioxidant, anti-atherosclerotic, hypotensive, diuretic | Ischemic cardiac disease, hyperlipidemia | Es | [130,131] |
| Cyanidins | Anti-inflammatory, antioxidant | Ischemic heart disease, hypertension | Pc | [132] |
| Anthocyanins, flavan-3-ols, flavanols, chlorogenic acids | Reduction in the expression of OC marker genes (calcitonin receptor, cathepsin K and RANK) | Osteoclastogenesis | Ap, Es, Pc, Ss | [133] |
Disclaimer/Publisher’s Note: The statements, opinions and data contained in all publications are solely those of the individual author(s) and contributor(s) and not of MDPI and/or the editor(s). MDPI and/or the editor(s) disclaim responsibility for any injury to people or property resulting from any ideas, methods, instructions or products referred to in the content. |
© 2024 by the authors. Licensee MDPI, Basel, Switzerland. This article is an open access article distributed under the terms and conditions of the Creative Commons Attribution (CC BY) license (https://creativecommons.org/licenses/by/4.0/).
Share and Cite
Duarte-Casar, R.; González-Jaramillo, N.; Bailon-Moscoso, N.; Rojas-Le-Fort, M.; Romero-Benavides, J.C. Five Underutilized Ecuadorian Fruits and Their Bioactive Potential as Functional Foods and in Metabolic Syndrome: A Review. Molecules 2024, 29, 2904. https://doi.org/10.3390/molecules29122904
Duarte-Casar R, González-Jaramillo N, Bailon-Moscoso N, Rojas-Le-Fort M, Romero-Benavides JC. Five Underutilized Ecuadorian Fruits and Their Bioactive Potential as Functional Foods and in Metabolic Syndrome: A Review. Molecules. 2024; 29(12):2904. https://doi.org/10.3390/molecules29122904
Chicago/Turabian StyleDuarte-Casar, Rodrigo, Nancy González-Jaramillo, Natalia Bailon-Moscoso, Marlene Rojas-Le-Fort, and Juan Carlos Romero-Benavides. 2024. "Five Underutilized Ecuadorian Fruits and Their Bioactive Potential as Functional Foods and in Metabolic Syndrome: A Review" Molecules 29, no. 12: 2904. https://doi.org/10.3390/molecules29122904
APA StyleDuarte-Casar, R., González-Jaramillo, N., Bailon-Moscoso, N., Rojas-Le-Fort, M., & Romero-Benavides, J. C. (2024). Five Underutilized Ecuadorian Fruits and Their Bioactive Potential as Functional Foods and in Metabolic Syndrome: A Review. Molecules, 29(12), 2904. https://doi.org/10.3390/molecules29122904

