Extraction and Quantification of Azelaic Acid from Different Wheat Samples (Triticum durum Desf.) and Evaluation of Their Antimicrobial and Antioxidant Activities
Abstract
1. Introduction
2. Results and Discussion
2.1. Analyte-Validation Method
2.2. Quantification of Azelaic Acid
2.3. Antioxidant Activity
2.4. Antimicrobial Activity
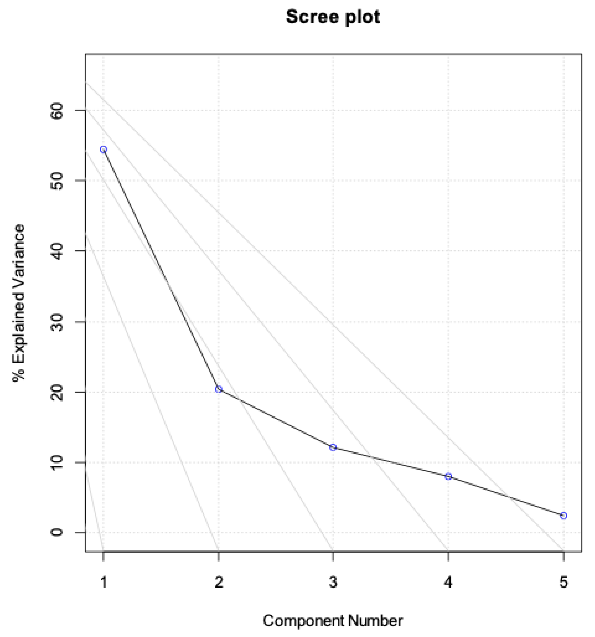
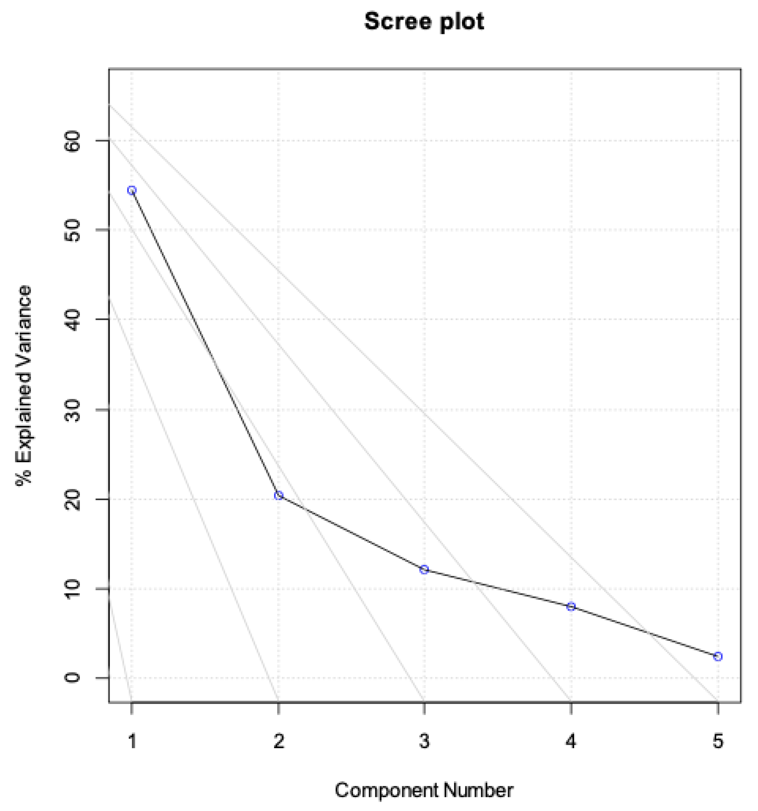
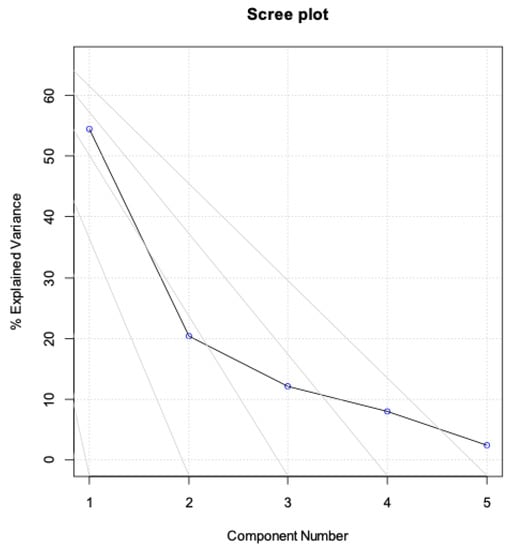
2.5. Multivariate Modelling and Data Analysis
3. Materials and Methods
3.1. Chemicals and Reagents
3.2. Plant Material
3.3. Sample Preparation
3.4. Instrumentation
3.5. Preparation of Stock Solutions
3.6. Method Validation
3.6.1. Linearity
3.6.2. Specificity
3.6.3. Precision
3.7. Evaluation of Antimicrobial/Antifungal Activity
3.7.1. Inoculum Preparation
3.7.2. MIC Assay
3.8. Determination of Antioxidant Activity
3.9. Spectrophotometric Measurement
3.10. Multivariate Modelling
4. Conclusions
Supplementary Materials
Author Contributions
Funding
Institutional Review Board Statement
Informed Consent Statement
Data Availability Statement
Conflicts of Interest
References
- Holland, K.; Bojar, R. Antimicrobial effects of azelaic acid. J. Dermatol. Treat. 1993, 4, S8–S11. [Google Scholar] [CrossRef]
- Sieber, M.; Hegel, J. Azelaic acid: Properties and mode of action. Ski. Pharm. Physiol 2013, 27, 9–17. [Google Scholar] [CrossRef] [PubMed]
- Apriani, E.F.; Rosana, Y. Formulation, characterization, and in vitro testing of azelaic acid ethosome-based cream against Propionibacterium acnes for the treatment of acne. J. Adv. Pharm. Technol. Res. 2019, 10, 75–80. [Google Scholar] [CrossRef] [PubMed]
- Apriani, E.F.; Nurleni, N.; Nugrahani, H.N.; Iskandarsyah, I. Stability testing of azelaic acid cream based ethosome. Asian J. Pharm. Clin. Res. 2018, 11, 270–273. [Google Scholar] [CrossRef]
- Coulomb, M.; Gombert, A.; Moazzami, A.A. Metabolomics study of cereal grains reveals the discriminative metabolic markers associated with anatomical compartments. Ital. J. Food Sci. 2015, 27, 142–150. [Google Scholar]
- Lusianti, E.; Wibowo, R.; Hudiyono, S. The Development of Analytical Method for the Determination of Azelaic Acid Content in Cosmetic Cream Products. IOP Conf. Ser. Mater. Sci. Eng. 2018, 299, 012011. [Google Scholar] [CrossRef]
- Adom, K.K.; Liu, R.H. Antioxidant activity of grains. J. Agric. Food Chem. 2002, 50, 6182–6187. [Google Scholar] [CrossRef] [PubMed]
- Di Loreto, A.; Bosi, S.; Montero, L.; Bregola, V.; Marotti, I.; Dinelli, G.; Herrero, M.; Cifuentes, A.; Sferrazza, R.E. Determination of phenolic compounds in ancient and modern durum wheat genotypes. Electrophoresis 2018, 39, 2001–2010. [Google Scholar] [CrossRef] [PubMed]
- Blaskovich, M.A.T.; Elliott, A.G.; Kavanagh, A.M.; Ramu, S.; Cooper, M.A. In vitro Antimicrobial Activity of Acne Drugs Against Skin-Associated Bacteria. Sci. Rep. 2019, 9, 1–8. [Google Scholar] [CrossRef]
- Leeming, J.; Holland, K.; Bojar, R. The In Vitro Antimicrobial Effect of Azelaic Acid. Br. J. Dermatol. 1986, 115, 551–556. [Google Scholar] [CrossRef] [PubMed]
- Uhrovčík, J. Strategy for determination of LOD and LOQ values—Some basic aspects. Talanta 2014, 119, 178–180. [Google Scholar] [CrossRef] [PubMed]
- Rahman, M.; Islam, B.; Biswas, M.; Alam, A.H.M.K. In vitro antioxidant and free radical scavenging activity of different parts of Tabebuia pallida growing in Bangladesh. BMC Res. Notes 2015, 8, 621. [Google Scholar] [CrossRef] [PubMed]
- Fernandes, R.P.P.; Trindade, M.A.; Tonin, F.G.; Lima, C.G.; Pugine, S.M.P.; Munekata, P.E.S.; Lorenzo, J.M.; De Melo, M.P. Evaluation of antioxidant capacity of 13 plant extracts by three different methods: Cluster analyses applied for selection of the natural extracts with higher antioxidant capacity to replace synthetic antioxidant in lamb burgers. J. Food Sci. Technol. 2016, 53, 451–460. [Google Scholar] [CrossRef] [PubMed]
- Sánchez-Rangel, J.C.; Benavides, J.; Heredia, J.B.; Cisneros-Zevallos, L.; Jacobo-Velázquez, D.A. The Folin-Ciocalteu assay revisited: Improvement of its specificity for total phenolic content determination. Anal. Methods 2013, 5, 5990–5999. [Google Scholar] [CrossRef]
- Jollife, I.; Cadima, J. Principal component analysis: A review and recent developments. Philos. Trans. R. Soc. A Math. Phys. Eng. Sci. 2016, 374, 20150202. [Google Scholar] [CrossRef] [PubMed]






| Regression Equation | R2 | Calibration-Curve Slope | LOD (µg/mL) | LOQ (µg/mL) | |
|---|---|---|---|---|---|
|
Azelaic acid Integration (n = 3) | 17.407x + 928.16 15.966x + 1452 17.454x + 954.97 16.942x + 1111.7 | 0.9977 0.9954 0.9929 0.9932 | 16.942 | 0.18 | 0.54 |
| Intra-Day Variability (n = 3) | Inter-Day Variability (n = 3) | ||||
|---|---|---|---|---|---|
| Standard | Concentration (ng/mL) | Mean ± SD (Peaks Area) | %RSD | Mean ± SD (Peaks Area) | %RSD |
| 300 | 6182.33 ± 62.40 | 1.01 | 6157.66 ± 78.52 | 1.28 | |
| Azelaic acid | 500 | 9525.66 ± 74.14 | 0.78 | 9490.66 ± 140.20 | 1.48 |
| 1000 | 18801 ± 160 | 0.85 | 18.236 ± 222 | 1.22 | |
| Samples | Concentration (ng/mL ± SD) | w/v % | |
|---|---|---|---|
| Whole grain | Water extraction (F) | 9579.95 ± 74.47 | 0.96 |
| Water extraction (D) | <LOQ | / | |
| Water and ultra-sound extraction (F) | <LOQ | / | |
| Water and ultra-sound extraction (D) | <LOQ | / | |
| Hydroalcoholic 70% and ultra-sound extraction (F) | 4711.96 ± 87.48 | 0.47 | |
| Hydroalcoholic 70% and ultra-sound extraction (D) | 2288.00 ± 75.95 | 0.23 | |
| Hydroalcoholic 70% maceration (F) | 5805.88 ± 68.45 | 0.6 | |
| Hydroalcoholic 70% maceration (D) | 1245.22 ± 100.24 | 0.12 | |
| Naviglio (F) | 34911.06 ± 79.66 | 3.4 | |
| Wheat flour | Water extraction (F) | 9193.89 ± 98.12 | 0.92 |
| Water extraction (D) | <LOQ | / | |
| Water and ultra-sound extraction (F) | 5927.87 ± 78.35 | 0.6 | |
| Water and ultra-sound extraction (D) | <LOQ | / | |
| Hydroalcohlic 70% and ultra-sound extraction (F) | 1510.84 ± 66.52 | 0.15 | |
| Hydroalcoholic 70% and ultra-sound extraction (D) | 1994.84 ± 78.03 | 0.20 | |
| Hydroalcoholic 70% maceration (F) | 1961.39 ± 100.55 | 0.20 | |
| Hydroalcoholic 70% maceration (D) | <LOQ |
| SAMPLES | ABTS-TEAC | DPPH-TEAC | TPC (µg/GAE) | |
|---|---|---|---|---|
| Whole grain | F Water extraction | 0.402 ± 0.045 | 0.015 ± 0.004 | 6.02 ± 0 |
| D Water extraction | 0.008 ± 0.000 | 0.002 ± 0 | 5.66 ± 0.01 | |
| F Water and ultra-sound extraction | 0.009 ± 0.001 | 0.001 ± 0 | 0.34 ± 0 | |
| D Water and ultra-sound extraction | 0.343 ± 0.054 | 0.026 ± 0.006 | 7.79 ± 0 | |
| F Hydroalcoholic 70% and ultra-sound extraction | 1.059 ± 0.021 | 0.017 ± 0.003 | 13.05 ± 0 | |
| D Hydroalcoholic 70% and ultra-sound extraction | 0.182 ± 0.010 | 0.004 ± 0 | 56.13 ± 0.01 | |
| F Hydroalcoholic 70% maceration | 3.643 ± 0.026 | 0.089 ± 0.005 | 22.1 ± 0 | |
| D Hydroalcoholic 70% maceration | 0.036 ± 0.013 | 0.003 ± 0 | 91.4 ± 0.01 | |
| F Naviglio | 0.678 ± 0.278 | 0.2 ± 0 | 10.48 ± 0.01 | |
| Wheat flour | F Water extraction | 1.165 ± 0.041 | ND | 69.48 ± 0.03 |
| D Water extraction | 0.001 ± 0.001 | 0.002 ± | 60.39 ± 0.02 | |
| F Water and ultra-sound extraction | 0.506 ± 0.378 | ND | 66.03 ± 0.02 | |
| D Water and ultra-sound extraction | 0.009 ± 0.001 | 0.001 ± 0 | 7.99 ± 0.01 | |
| F Hydroalcoholic 70% and ultra-sound extraction | 3.572 ± 0.158 | 0.228 ± 0.004 | 52.27 ± 0.02 | |
| D Hydroalcoholic 70% and ultra-sound extraction | 0.044 ± 0.033 | ND | 7.99 ± 0.01 | |
| F Hydroalcoholic 70% maceration | 2.965 ± 0.052 | 0.103 ± 0.004 | 50.77 ± 0.04 | |
| D Hydroalcoholic 70% maceration | 0.068 ± 0.01 | 0.003 ± 0 | 66.84 ± 0.04 |
| µg/mL | E. coli ATCC 25922 | S. aureus ATCC 25923 | S. pyogenes ATCC 19615 | P. aeruginosa ATCC 27853 | C. albicans ATCC 11006 | M. furfur ATCC 14521 |
|---|---|---|---|---|---|---|
| Azelaic acid | > 256 ± 0 | > 256 ± 0 | 256 ± 0 | > 256 ± 0 | > 256 ± 0 | > 256 ± 0 |
| Entry | Fluid Extracts (v/v %) | E. coli ATCC 25922 | S. aureus ATCC 25923 | S. pyogenes ATCC 19615 | P. aeruginosa ATCC 27853 | C. albicans ATCC 11006 | M. furfur ATCC 14521 |
|---|---|---|---|---|---|---|---|
| 1 | F HA maceration | 0.781 ± 0.29 | 1.562 ± 0.58 | 0.156 ± 0 | > 5 ± 0 | 0.469 ± 0.17 | 0.313 ± 0 |
| 2 | F HA + ultra-sound | 0.625 ± 0 | 0.937 ± 0.67 | 0.176 ± 0.05 | > 5 ± 0 | 0.508 ± 0.33 | 0.313 ± 0 |
| 3 | F W + ultra-sound | 5 ± 0 | 2.5 ± 0 | 1.72 ± 0.65 | 5 ± 0 | 2.5 ± 0 | 2.81 ± 0.88 |
| 4 | F W maceration | > 5 ± 0 | 5 ± 0 | 5 ± 0 | > 5 ± 0 | 5 ± 0 | 5 ± 0 |
| 5 | WG HA + ultra-sound | 0.508±0,16 | 0.625 ± 0 | 0.156 ± 0 | > 5 ± 0 | 0.391±0.14 | 0.176 ± 0.05 |
| 6 | WG W maceration | > 5 ± 0 | > 5 ± 0 | 2.97 ± 1.32 | > 5 ± 0 | > 5 ± 0 | > 5 ± 0 |
| 7 | WGHA maceration | 0.703 ± 0.22 | 1.093 ± 0.65 | 0.313 ± 0 | 1.41 ± 0.44 | 0.313 ± 0 | 0.195 ± 0.07 |
Disclaimer/Publisher’s Note: The statements, opinions and data contained in all publications are solely those of the individual author(s) and contributor(s) and not of MDPI and/or the editor(s). MDPI and/or the editor(s) disclaim responsibility for any injury to people or property resulting from any ideas, methods, instructions or products referred to in the content. |
© 2023 by the authors. Licensee MDPI, Basel, Switzerland. This article is an open access article distributed under the terms and conditions of the Creative Commons Attribution (CC BY) license (https://creativecommons.org/licenses/by/4.0/).
Share and Cite
Spaggiari, C.; Annunziato, G.; Spadini, C.; Montanaro, S.L.; Iannarelli, M.; Cabassi, C.S.; Costantino, G. Extraction and Quantification of Azelaic Acid from Different Wheat Samples (Triticum durum Desf.) and Evaluation of Their Antimicrobial and Antioxidant Activities. Molecules 2023, 28, 2134. https://doi.org/10.3390/molecules28052134
Spaggiari C, Annunziato G, Spadini C, Montanaro SL, Iannarelli M, Cabassi CS, Costantino G. Extraction and Quantification of Azelaic Acid from Different Wheat Samples (Triticum durum Desf.) and Evaluation of Their Antimicrobial and Antioxidant Activities. Molecules. 2023; 28(5):2134. https://doi.org/10.3390/molecules28052134
Chicago/Turabian StyleSpaggiari, Chiara, Giannamaria Annunziato, Costanza Spadini, Sabrina Lucia Montanaro, Mattia Iannarelli, Clotilde Silvia Cabassi, and Gabriele Costantino. 2023. "Extraction and Quantification of Azelaic Acid from Different Wheat Samples (Triticum durum Desf.) and Evaluation of Their Antimicrobial and Antioxidant Activities" Molecules 28, no. 5: 2134. https://doi.org/10.3390/molecules28052134
APA StyleSpaggiari, C., Annunziato, G., Spadini, C., Montanaro, S. L., Iannarelli, M., Cabassi, C. S., & Costantino, G. (2023). Extraction and Quantification of Azelaic Acid from Different Wheat Samples (Triticum durum Desf.) and Evaluation of Their Antimicrobial and Antioxidant Activities. Molecules, 28(5), 2134. https://doi.org/10.3390/molecules28052134

