Abstract
Sulfoximines, a ubiquitous class of structural motifs, are widely present in bioactive molecules and functional materials that have received considerable attention from modern organic chemistry, pharmaceutical industries, and materials science. Sulfoximines have proved to be an effective directing group for C–H functionalization which was widely investigated for the synthesis of cyclic sulfoximines. Within the last decade, great progress has been achieved in the synthesis of cyclic sulfoximines. Thus, this review highlights the recent advances in the synthesis of cyclic sulfoximines via the C–H activation strategy and is classified based on the substrate types.
1. Introduction
In the field of cancer treatment, sulfoximine, which was found as a toxic compound in the 1940s, is now called Rising Star due to its unique significance in recent drug discovery [1,2,3]. Since sulfoximines are the isosteres of sulfones with a mono-aza nitrogen atom [4], they have special properties, such as the sulfur atom with an optical rotation property [5,6], the S=N bond with the double bond property, and nitrogen with weak nucleophilicity [7]. Sulfoximines have been widely applied in asymmetric catalysis, synthesis of bioactive molecules, and modern pharmaceutical and agrichemical industries [8]. Over the past decades, cyclic sulfoximines, as an important kind of sulfoximine derivatives, attracted a great deal of attention for chemists. Due to their outstanding biological properties, a number of molecules with potential medical application values appeared [9], for example, five-membered cycle I which performed well under in vitro pharmacokinetic studies [10], and motif II which could be transformed to potential scaffolds for peptide mimetics [11]. Furthermore, analogues which also have the S=O bond and S–N bond, such as 1,2-benzothiazine 1,1-dioxides III and IV, were found to be anti-inflammatory drugs (Figure 1) [12].
Figure 1.
Structures of bioactive cyclic sulfoximines and analogues.
It was once overlooked, but it has been re-emphasized recently that sulfoximine derivatives possess desirable properties as promising drug candidates. Additionally, C–H activation of sulfoximines has been widely considered to be an efficient method to construct complex scaffolds with potential bioactivities, especially since Bolm discovered the first efficient strategy of Rh-catalyzed annulation of sulfoximines and alkynes in 2013 [13]. In addition, methyl phenyl sulfoximine (MPS) was proved to have better coordination adaptability to the transition metal center in C–H activation steps than some other nitrogen hetero groups [14]. In a word, the cyclic sulfoximines exhibit great values, especially in the medicinal field.
With the above concepts in mind, and based on our long-term studies on the synthesis of sulfoximines [15,16,17,18,19], we concentrate on the advances in the synthesis of cyclic sulfoximines via C–H bond activation since 2018 in this review. Additionally, the previously developed main approaches towards cyclic sulfoximines from sulfoximines are shown in Figure 2. It was worth noting that the Co-catalyzed strategy was difficult to conduct smoothly but breakthroughs were also made in this area recently [13,20,21,22,23,24,25,26,27].
Figure 2.
The main strategies towards cyclic sulfoximines synthesis.
2. Synthesis of Cyclic Sulfoximines via Intermolecular C–H Activation
2.1. Metal Carbenoids as Coupling Partners
2.1.1. Diazo Compounds as Carbene Precursors
In 2015, Bolm and coworkers first described a Rh(III)-catalyzed intermolecular annulation between sulfoximines 1 and diazo compounds 2 for the synthesis of 1,2-benzothiazine products 3 (Scheme 1) through the domino C–H activation/cyclization/condensation pathway [21]. DCE was proved to be the optimal solvent and the yield of desired products reached up to 99% in the presence of NaOAc (1.0 equiv) as a base. Moreover, this kind of C–H activation featured wide substitution tolerance and afforded the desired adducts with low to excellent yields (32–99%).
Scheme 1.
Rhodium-catalyzed annulation reactions for the synthesis of 1,2-benzothiazines.
In 2018, the Ir(III)-catalyzed C–H functionalization of sulfoximines 4 with α-diazocarbonyl compounds 5 (Scheme 2) was first developed by Pawar and coworkers [28]. Furthermore, this C–H functionalization system was compatible with a broad scope of sulfoximines including electron-donating substituents, halogen substituents, and olefin motifs. However, the presence of strong electron-withdrawing groups such as NO2 and CN significantly resulted in lower yields. Moreover, diazo compounds bearing various substituents were also tolerated in this protocol.
Scheme 2.
Ir(III)-catalyzed C–H functionalization of sulfoximines with α-diazocarbonyl compounds.
The plausible mechanism (Scheme 3) involves the following steps: firstly, neutral Ir(III) species A1 with catalytic activity formed by [Cp*IrCl2]2 reacts with pivalic acid. Next, NH-sulfoximines 4 coordinate to the metal center to generate five-membered iridacycle A2 via deprotonation and metallization. Subsequently, A2 is coordinated with diazo precursors 5 and the loss of N2 generates carbene species A4. Then, the alkylated migratory insertion takes place, and subsequent protonolysis affords alkylated product A6 and Ir(III) species A1. Finally, A6 undergoes the acid-promoted cyclization/dehydration process to give the expected product 6.
Scheme 3.
Proposed mechanism of the formation of 1,2-benzothiazines in the Ir(III) catalytic system.
In the same year, Cramer’s group reported the enantioselective [4+2] annulative coupling reaction of diaryl sulfoximines 7 and acyl diazo compounds 8 for the synthesis of chiral-at-sulfur 1,2-benzothiazines 9 catalyzed by [RhCp*Cl2]2 and N-protected amino acid 10 (Scheme 4) [29]. Under the optimal condition, various substituted cyclic products were given with good to excellent yields (61–95%) and moderate to excellent enantioselectivities (77:23–96:4 e.r.). Moreover, it should be highlighted that the addition of polyfluoro-substituted alcohols such as TFE and HFIP as the solvents had a profound effect on the enantioselectivity for this reaction which gave the opposite main enantiomeric products.
Scheme 4.
Synthesis of chiral-at-sulfur 1,2-benzothiazines via C–H functionalization of sulfoximines.
A plausible mechanism is shown in Scheme 5, which is similar to the achiral version reported by Bolm. At first, sulfoximines 7 coordinate to the Rh(III) center to produce B1 (possibly B2 or B3), and initiate the enantiodetermining ortho-C–H activation step by a concerted metalation deprotonation pathway to give intermediates B4. Then, five-membered cyclic rhodium complexes B5 are formed by the auxiliary of the N-protected amino acid. Subsequently, carbenoid intermediates B6, formed by coordination of the diazo species 8, undergo subsequent insertion and protonation to access B7. Then, the product 1,2-benzothiazines 9 are generated by dehydration cyclization.
Scheme 5.
Proposed mechanism of Rh-catalyzed chiral-at-sulfur 1,2-benzothiazines formation.
In 2018, Li and coworkers developed an enantiodivergent annulation between sulfoximines 10 and diazo compounds 11 catalyzed by rhodium(III) complexes [30]. In this strategy, the authors employed the Cramer type Cp*Rh(III) complexes and various carboxylic acids with different steric bulks to invert the absolute configuration of the product, which gave (R)-12 and (S)-12, respectively, under the optimized conditions A and conditions B (Scheme 6).
Scheme 6.
Rhodium-catalyzed strategy for the enantiodivergent desymmetrization of sulfoximines.
One year later, Wang and Wu reported a sustainable Rh(III)-catalyzed C–H activation/cyclization of sulfoximines 13 with diazo derivatives 14 to produce 1,2-benzothiazines 15 in the ionic liquid [BMIM][PF6] (1-butyl-3-methylimidazolium-hexafluorophosphate) as a solvent (Scheme 7) [31]. This strategy exhibited a good tolerance for electron-donating and electron-withdrawing sulfoximine substituents. Moreover, this catalyst system could recycle at least 10 times before losing high-efficiency catalytic ability.
Scheme 7.
Sustainable Rh(III)-catalyzed C–H activation/cyclization of sulfoximines to form 1,2-benzothiazines.
A proposed catalytic circle is shown in Scheme 8. In the beginning, the dissociation of the ionic liquid [BMIM] [PF6] gives PF6* as a substitute anion to activate the catalyst [RhCp*Cl2]2 in the presence of AgSbF6. Then, the activated catalyst C1 is coordinated with sulfoximines 13 to form the five-membered Rh complexes C2 and releases HSbF6. Subsequently, diazo derivatives 14 coordinate to the Rh center and afford the carbene species C3. Then, the insertion reaction of carbenes gives the six-membered intermediates C4 and the following demetallization and intramolecular condensation furnish the product 15.
Scheme 8.
Proposed catalytic circle.
In the same year, Cramer developed a Rh(III)-catalyzed C–H functionalization strategy for the kinetic resolution of racemic sulfoximines 16 to generate S-chiral 1,2-benzothiazines 18 [32]. Compared to Cramer’s previous research in 2018, this approach could result in a higher e.r. value. In this case, sulfoximines were treated with diazoketoesters 17, giving the desired products in high s-value (Scheme 9). Moreover, different substituted aryl sulfoximines could react smoothly and the enantioselectivity was up to >99:1, including the groups with remarkable steric hindrance, such as i-Pr and cyclohexyl. Para-nitrophenyl methyl sulfoximine was a supreme substrate under these conditions, resulting in s-values of more than 200 with 47% yields for both of the two products.
Scheme 9.
Rh(III)-catalyzed C–H functionalization strategy for the kinetic resolution of racemic sulfoximines.
Highly fused polycyclic scaffolds exist widely in bioactive molecules, so their synthesis methods have also attracted much attention. In 2020, Li and Liu disclosed a Rh(III)-catalyzed method for the synthesis of fused 1,2-benzothiazines 22 from various sulfoximines 20 and 4-diazoisochroman-3-imines 21 (Scheme 10) [33]. Optimization studies showed that [RhCp*Cl2]2 (5 mol%) as a catalyst could work well with AgOPiv (20 mol%) as an additive under air in TFE at room temperature. In this strategy, haloalkanes were proved to be unfavorable to the yields because of the lack of polarity. Moreover, this reaction had a good substituent tolerance and resulted in moderate to excellent yields. However, ortho- and para-Me substrates could not form the desired products in high yields as expected, and the meta-Br substrate could give a single site-selective product while the meta-OMe substrate gave a mixture of two products.
Scheme 10.
Rh(III)-catalyzed method for the synthesis of fused 1,2-benzothiazines from sulfoximines and 4-diazoisochroman-3-imines.
The mechanistic study demonstrated that the catalytic cycle (Scheme 11) begins with the formation of the rhodacycle intermediate D2, which is generated by the coordination of sulfoximine 20 to the Rh center of the activated catalyst [RhCp*(OPiv)2] D1 and the electrophilic C–H bond cleavage. Next, the rhodium carbenoid complex D3 is formed by the coordination of D2 with diazo compound 21, via the loss of nitrogen gas. Then, the insertion to the Ph–Rh bond gives intermediate D4, and subsequently, the catalyst is recycled by protonation of D4, giving intermediate D5. At last, the product 22 is obtained by the condensation of D5 with the loss of TsNH2.
Scheme 11.
Proposed mechanism of the annulation between sulfoximines and 4-diazoisochroman-3-imines.
In 2021, Ye and Liu and coworkers described a methodology for the synthesis of highly conjugated 1,2-benzothiazine scaffolds 25 using sulfoximines 23 and 2-diazo-1H-indene-1,3(2H)-diones 24 (Scheme 12) [34]. The silver additive was proved to be important for high yields. Moreover, this protocol tolerated a wide range of substituted sulfoximines and provided target products with 74%–88% yields. Furthermore, it was worth mentioning that the C–H bond activation of meta-substituted sulfoximines tended to proceed on the more hindered ortho-positions. Various mono-substituted diazo compounds could also react smoothly, but the corresponding products were a regional isomers mixture.
Scheme 12.
Rh-catalyzed synthesis of highly conjugated 1,2-benzothiazine scaffolds.
Very recently, Hong and Shi reported an Ir(III)-catalyzed C–H activation/annulation strategy for the synthesis of chiral 1,2-benzothiazines 28 by the desymmetrization of sulfoximines 26 with diazo compounds 27 in the presence of chiral carboxylic acid 29 as ligand (Scheme 13) [35]. Various electron-withdrawing groups on the diazo compounds were screened to be well tolerated and the ee value was up to 97%. Both electron-donating and electron-withdrawing substituents of sulfoximines could also transform smoothly. Notably, the kinetic resolution and parallel kinetic resolution of racemic sulfoximines with this protocol were also developed by the authors.
Scheme 13.
Ir(III)-catalyzed C–H activation/annulation strategy for the synthesis of chiral 1,2-benzothiazines.
2.1.2. Ylide Active Intermediates as Carbene Precursors
In 2018, Li’s group reported a novel rhodium(III)-catalyzed annulative coupling strategy for the synthesis of 1,2-benzothiazines 32 between sulfoximines 30 and sulfoxonium ylides 31 (Scheme 14) [36]. Various substituted substrates were compatible. Moreover, different N-protected benz-amidines and benzophenone NH-imines were also tolerated, and they could provide various isoquinoline products in good yields. In order to clarify the reaction mechanism, a H/D exchange experiment was conducted and the results showed that partial H/D exchange was appeared at the ortho- position of the product. It was obvious evidence to reveal that the C–H activation is reversible. Moreover, the kinetic isotope effect of this reaction was also measured, and the result suggested that the C–H activation step was involved in the turnover-limiting process.
Scheme 14.
The synthesis of 1,2-benzothiazine through rhodium(III)-catalyzed annulative couplings.
The proposed catalytic mechanism is presented in Scheme 15. At first, the activated RhCp*X2 complex E1 is coordinated with sulfoximine 30 to form intermediate E2 by a metalation-deprotonation process. Then, the sulfoxonium ylides 31 coordinate to the rhodium center to generate intermediate E3. Subsequently, α-elimination of DMSO occurs, which leads to an active carbene complex E4. In addition, the Rh–Ar bond of the carbene species undergoes the migratory insertion pathway to generate intermediate E5. At last, reductive elimination and intramolecular dehydration obtain product 32.
Scheme 15.
Proposed mechanism of the tandem annulative coupling between sulfoximines and sulfoxonium ylides.
In 2021, Shi’s group reported an enantioselective C–H functionalization of sulfoximines 33 with sulfoxonium ylides 34 using chiral binaphthyl carboxylic acids 41 as the optimal chiral ligand in combination with [(p-cymene)RuCl2]2 as a catalyst to obtain 1,2-benzothiazines 35 with good to excellent yields (75–99%) and excellent enantioselectivities (96–98% ee) (Scheme 16) [37]. Moreover, the kinetic resolution of racemic sulfoximines 36 could also be achieved when chiral binaphthyl carboxylic acids 42 were selected as the ligand, which produced the cyclization products (S)-37 with low to moderate yields (29–53%) and moderate to excellent enantioselectivities (64–91%). Furthermore, the unreacted (R)-36, with low to moderate yields (35–41%) and excellent enantioselectivities (86–98%), could also be obtained. Fortunately, parallel kinetic resolution of racemic diaryl sulfoximine 38 could be carried out smoothly with high ee values (up to 95%) under the standard conditions.
Scheme 16.
Desymmetrization, kinetic resolution, and parallel kinetic resolution of sulfoximines with sulfoxonium ylides under the Ru-catalyzed system.
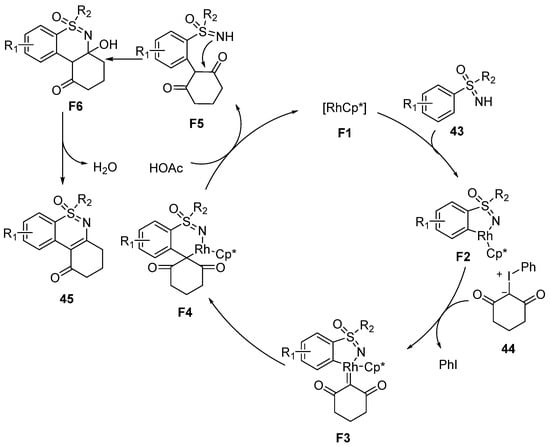
In 2021, Yu and Pan disclosed a rhodium-catalyzed strategy for the synthesis of polycyclic 1,2-benzothiazines 45 using different aryl sulfoximines 43 and iodonium ylides 44 as substrates (Scheme 17) [38]. Through the catalyst screening, [RhCp*Cl2]2 was proved to be the most efficient catalyst for this reaction system. Moreover, various polycyclic 1,2-benzothiazines with good functional group tolerance were furnished in moderate to excellent yields.
Scheme 17.
Rhodium-catalyzed strategy for the synthesis of polycyclic 1,2-benzothiazines from different aryl sulfoximines and iodonium ylides.
In order to reveal the reaction mechanism, the H/D exchange experiment and KIE studies were conducted. The results indicated that the C–H activation step may be irreversible and the cleavage of the C–H bond may not be involved in the rate-determining step. Moreover, the intermolecular competition experiments were also conducted and the results confirmed that electron-donating sulfoximines were beneficial to the C–H functionalization process. The proposed mechanism was similar to the previous reports (Scheme 18). At first, sulfoximines 43 coordinate to the Rh-catalysis F1 to achieve C–H activation and yield a five-membered cyclic complex F2. Then, 44 reacts with F2 to generate a carbene species F3 along with the loss of PhI. Subsequently, the migratory insertion of Rh–carbene into the C–Rh bond is conducted, and obtains intermediate F4. After the reductive elimination of F4, the intramolecular nucleophilic cyclization and dehydration take place to form the desired product 45.
Scheme 18.
Proposed mechanism of the reaction between sulfoximines and iodonium ylides.
Almost simultaneously, Wu et al. reported a very similar approach to provide polycyclic 1,2-benzothiazines 48 in good to excellent yields (Scheme 19). In this case, trimethylacetic acid (PivOH) was added as an additive [39]. Similar with Yu’s work, this protocol exhibited a broad substrate scope and was easy to obtain cyclohexanone-1,2-benzothiazine scaffolds.
Scheme 19.
Rhodium-catalyzed strategy for the synthesis of polycyclic 1,2-benzothiazines.
In 2022, Yoshino et al. developed a Ru(II)-catalyzed C–H activation/annulation of sulfoximines 49 with sulfoxonium ylides 50 for the enantioselective synthesis of 1,2-benzothiazines 51 (Scheme 20) [40]. The pseudo-C2-symmetric binaphthyl monocarboxylic acid 52 (10 mol%) proved to be the most optimal chiral ligand. A broad range of S-chiral 1,2-benzothiazine products were prepared in moderate to excellent yields with up to 92:8 er. Moreover, this protocol showed a compatibility for electron-donating substituents, electron-withdrawing substituents, and steric hindrance substituents.
Scheme 20.
Ru(II)-catalyzed C–H functionalization strategy of sulfoximines for the enantioselective synthesis of 1,2-benzothiazines.
A plausible catalytic cycle is outlined in Scheme 21. It includes five main steps. At the beginning, a Ru–carboxylate catalyst complex G1 is formed by [RuCl2 (p-cymene)]2, AgSbF6, and 52. Next, the sulfoximines 49 coordinate to G1, to assist C–H activation via a selective deprotonation process to give intermediate G3. Then, the chiral metallacycle complex G3 coordinates with sulfoxonium ylides 50, and next, the insertion of carbene to the Ru–Aryl bond gives a six-membered cycle G4, with the loss of DMSO in the reaction process. At last, the protonation and intramolecular condensation take place to access the desired products 51.
Scheme 21.
Proposed mechanism of Ru-catalyzed enantioselective synthesis of 1,2-benzothiazines.
2.2. Metal Nitrene as Coupling Partner
In 2019, Rh(III)-catalyzed C–H activation/cyclization for the synthesis of dihydrobenzo thiadiazine 1-oxide derivatives 55 using sulfoximines 53 and benzyl azides 54 as starting materials was reported by Xu and Dong (Scheme 22) [41]. This catalytic reaction was tolerant to various substrates bearing various electron-donating and electron-withdrawing groups, but the heterocyclic NH-sulfoximines and fluorinated or free benzyl azides afforded poor results. Additionally, the cyclization products were obtained in moderate to good yields (41–85%).
Scheme 22.
Rh(III)-catalyzed C–H functionalization of sulfoximines to prepare dihydrobenzo thiadiazine 1-oxide derivatives.
Based on a series of control experiments, a proposed mechanism is suggested in Scheme 23. Firstly, the sulfoximines 53 coordinate to the activated Rh(III) compound H1 and subsequently undergo the C−H bond cleavage process to generate five-membered rhodacyclic complexes H2. After the coordination of the benzyl azides 54, the nitrene intermediates H3 are formed. Then, the migratory insertion occurs, and the C−N bond formation leads to a six-membered rhodium cycle H4 with the loss of N2. Finally, protonolysis of H4 leads to the formation of H5 and recycle catalyst H1. Further cyclization leads to the formation of the observed products 55 with the loss of NH3.
Scheme 23.
Proposed mechanism of C–H functionalization of sulfoximines and annulation with benzyl azides.
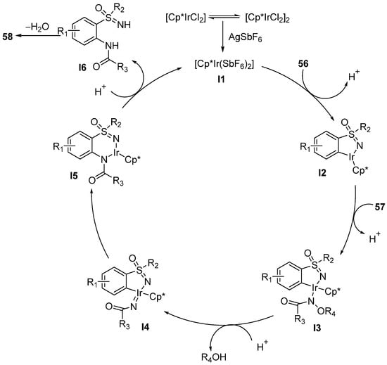
One year later, Dong’s group disclosed an Ir(III)-catalyzed amidation/cyclization of sulfoximines 56 with N-alkoxyamides 57 to synthesize thiadiazine 1-oxides 58 in low to high yields (28–85%) (Scheme 24) [42]. This method featured diverse substituents and functional groups tolerance, but the substrates with strong electron-withdrawing groups did not react smoothly.
Scheme 24.
Ir(III)-catalyzed amidation/cyclization for the C–H activation of sulfoximines with N-alkoxyamides to synthesize the corresponding thiadiazine 1-oxides.
According to the reaction mechanism (Scheme 25), the cleavage of the N–O bond of the intermediate I3 was considered to be a key step, which generates the nitrene complex I4 by protonation.
Scheme 25.
Proposed catalytic cycle.
In 2020, Bolm and coworkers reported an effective Rh(III)-catalyzed C–H functionalization cyclization strategy to prepare benzothiadiazine-1-oxides 61 from various sulfoximines 59 and 1,4,2-dioxazol-5-ones 60 (Scheme 26) [43]. This protocol could be conducted in the air without other protecting strategies.
Scheme 26.
Rh(III)-catalyzed method to obtain benzothiadiazine-1-oxides using 1,4,2-dioxazol-5-ones.
The results of the substrate scope studies show that all of the substrates with electron-donating, electron-withdrawing groups, and huge steric hindrance afforded the benzothiadiazine-1-oxides 61 in moderate to excellent yields (53–91%). Moreover, this work was well-suited for S-alkyl-S-aryl-substituted sulfoximines, which were specific comparing with the previous reports.
Consistent with the previously reported mechanism (Scheme 27), the five-membered rhodacycles J2 are formed by the reaction of sulfoximines 59 and the activated Rh(III) catalyst. Then, they react with 60 to generate nitrenoid intermediates J3, accompanied by the loss of CO2. Next, the products 61 are obtained via a classical insertion–demetallization–condensation pathway.
Scheme 27.
Proposed mechanism.
In 2022, Yoshino and coworker described a protocol involving Cp*Co(CO)I2/chiral carboxylic acid 66 as a catalytic system, which promoted the C–H functionalization reaction of sulfoximines 62 with dioxazolone 63 for the enantioselective synthesis of benzothiadiazine-1-oxides 65 (Scheme 28) [44]. This strategy consisted of two reaction steps. Firstly, under the transition metal catalyst system, sulfoximines 62 reacted with dioxazolones 63 to form the amidation product 64. Then, 64 was treated with AcOH in toluene to give the cyclic products with moderate to excellent yields and good to excellent e.r. values. Moreover, the control experiments and DFT calculation were performed to confirm that the cleavage of the C–H bond is the enantiodetermining step. Furthermore, the studies of the scope of the substrates showed that this protocol has a good compatibility with several functional groups.
Scheme 28.
Co(III)-catalyzed enantioselective C–N bond formation of cyclic sulfoximines.
2.3. Alkenes as Coupling Partner
In 2022, Shi’s group developed an asymmetric [4+3] annulation between sulfoximines 67 and α,β-unsaturated ketones 68, which was promoted by the Ruthenium(II) /chiral carboxylic acid 71 catalyst system. It generated a broad range of sulfur-stereogenic 1,2-benzothiazepine 1-oxides with up to 90% yield and up to >99% ee. It is worth noting that the positions of electron-withdrawing and electron-donating groups often led to the different main products. For example, para-substituted diarylsulfoximines bearing electron-donating groups (OMe, Ph) often benefited to the dialkylation/cyclization products, and the para- or meta-substituted diarylsulfoximines sulfoximines with electron-withdrawing groups would help to access mono alkylation/cyclization products. Moreover, a series of chiral N-benzoyl sulfoximines with a C–S chiral axis could be obtained after the oxidative cleavage of the double bonds in the products (Scheme 29) [45].
Scheme 29.
Ru(II)/chiral-carboxylic-acid-catalyzed enantioselectivity synthesis of seven-membered cyclic sulfoximines.
2.4. Alkynes as Coupling Partner
It was generally considered that terminal alkynes were incompatible with the Rh(Ⅲ) catalytic system because of the existence of the active hydrogen atoms. In 2019, Prabhu et al. reported a novel strategy for the synthesis of 1,2-benzothiazines 74 using diphenyl sulfoximines 72 and alkynyl silanes 73 as substrates catalyzed by the Rh(Ⅲ) catalytic system (Scheme 30) [46]. In the presence of AgSbF6 and H2O, the TMS group was facilely removed from the alkynyl silanes to give the desired motifs. Oxygen was necessary for this reaction. A series of 1,2-benzothiazine derivatives with a free substituent at the C-4 position were obtained in low to moderate yields (32–67%), which had the potential to transform into other functional scaffolds. In addition, the degradation of the sulfoximines may be the reason for the relatively low yields.
Scheme 30.
The synthesis of 1, 2-benzothiazines in the Rh(Ⅲ) catalytic system using alkynyl silanes.
The plausible mechanism is demonstrated in Scheme 31. In the beginning of the cycle, AgSbF6 and Cu(OAc)2·H2O play a key role for the activation of the catalyst. Next, K1 coordinates with sulfoximines 72 to form the five-membered rhodacycle complexes K2. Then, the insertion of arylalkynyl silanes 73 provides the intermediates K3. At last, the products 74 are obtained by reductive elimination of K3, and the active catalyst K1 is also regenerated.
Scheme 31.
Proposed mechanism of annulation of sulfoximines and alkynyl silanes in the Rh catalytic system.
In the same year, Prabhu developed a Rh(Ⅲ)-catalyzed cascade C−H activation, regioselective annulation, and lactonization strategy for the synthesis of furanone-fused 1,2-benzothiazines derivatives 77a using sulfoximines 75 and 4-hydroxy-2-alkynoates 76 (Scheme 32) [47]. The reaction exhibited good functional group tolerance and displayed regioselectivity in forming single regioisomers 77a in moderate to good yields. The other regioisomer 77b was not detected, which may be due to the steric interaction between the hydroxyl oxygen atom and the Rh(III) center.
Scheme 32.
Tandem Rh(Ⅲ)-catalyzed C–H activation of sulfoximines to furnish furanone-fused 1,2-benzothiazines derivatives.
In 2020, Li et al. demonstrated Pd(II)-catalyzed C–H functionalization/cyclization of sulfoximines 78 with aryne precursors 79 to prepare tricyclic dibenzothiazines 80 by utilizing Pd(OAc)2 as the optimal catalyst, and CuO as the oxidant (Scheme 33) [48]. A variety of sulfoximines bearing electron-rich, halogen, and S-substituents performed well and the naphthyl- sulfoximine afforded a mixture of regioselective products.
Scheme 33.
Pd(II)-catalyzed C–H functionalization strategy for the preparation of dibenzothiazines.
The proposed mechanism is shown in Scheme 34. Initially, Pd(OAc)2 reacts with sulfoximines 78 directly to generate the acyclic Pd species L2 accompanied by the release of AcOH. Then, five-membered palladium cyclic complexes L3 are formed by the intramolecular deprotonation with the loss of another molecule of AcOH. Subsequently, benzyne insertion occurs and produces seven-membered cyclic palladium complexes L4. At last, L4 undergo a reductive elimination pathway to furnish the products 80. Simultaneously, the activated catalyst L1 is regenerated by reoxidation of Pd(0) to Pd(II) in the presence of the copper salt.
Scheme 34.
Proposed mechanism of Pd-catalyzed annulation of sulfoximines with arynes.
3. Synthesis of Cyclic Sulfoximines via Intramolecular C–H Activation
In 2018, Zhang et al. reported a metal-free method to synthesize benzothiazines 82 through one-pot N,O-transfer and intramolecular C–H amination of 2-biphenylsulfoximines 81 (Scheme 35) [49]. The results of reaction conditions screening showed that selecting (NH4)3PO4·3H2O as the N-source and PhI(OAc)2 as the oxidant was necessary to generate the products 82 in high yields. Noteworthy, the mechanism studies proposed that PhI(OAc)2 could perform as a free radical initiator for NH-sulfoximines to form the crucial intermediate 84 and 85 in the plausible pathway. Moreover, this protocol has a wider universality to the substrates. Various dibenzothiazine derivatives could be conveniently accessed in the yield ranging from 24–94%.
Scheme 35.
Metal-free method for the intramolecular C–N coupling to form benzothiazines.
Based on the previous studies, Zhang’s group further investigated the one-pot N,O-transfer and intramolecular C–H amination of 2-biaryl sulfides 86 to afford a series of iodo-dibenzothiazines compounds 87 (Scheme 36) [50]. However, monoiodo-dibenzothiazines 88 were also observed when the 4′-positions of sulfides were substituted by large steric hindrance substituents or the strong electron-withdrawing substituents such as CF3. Moreover, the desired products could be further transformed to other functional thiazine compounds through the cross-coupling reaction.
Scheme 36.
Tandem C–H activation and C–N coupling of sulfoximines to form iodo-thiazines.
In 2019, Ma and coworkers reported a metal-free tandem amination/bromination method for the synthesis of bromobenzothiazines 90 by intramolecular C–H activation of N-methyl-2-biphenylsulfonamides and 2-biphenylsulfoximines 89 (Scheme 37) [51]. Interestingly, different from the sulfonamides substrates, sulfoximines could afford dibromothiazines as the only products and the momo-bromothiazines were not detected under the standard conditions.
Scheme 37.
Metal-free tandem amination/bromination method for the synthesis of bromobenzothiazines.
One year later, Zhang and Chen developed a step-economic DBH-promoted cyclization strategy for the synthesis of bromo-N-heterocycles 93 from the 2-biphenyl sulfoximines 91 in water (Scheme 38) [52]. Moreover, this novel strategy fulfilled the synthesis of various N-heterocycles products in moderate to good yields and up to >20:1 dr, and the substrate scope was also extended to 2-biphenyl phosphamides.
Scheme 38.
DBH-promoted strategy for the cyclization of sulfoximines.
4. Miscellaneous
In 2018, Chen and coworkers reported the Pd/norbornene-catalyzed coupling reaction for the synthesis of fused polycyclic sulfoximines 96 with 2-bromo-NH-sulfoximines 94 and aryl iodides 95 (Scheme 39) [53]. PPh3 was confirmed to be the optimal ligand and norbornene was proved to be necessary for this reaction. The scope of substrates was also explored under the optimized conditions. Reaction of aryl iodides and ortho-bromophenyl sulfoximines successfully afforded the desired products in good yields. Moreover, aryl iodides with electron-withdrawing groups (CO2Me and CF3) also transformed smoothly. However, ortho-substituent would affect the reaction process.
Scheme 39.
Pd/norbornene-catalyzed coupling reaction for the synthesis of fused polycyclic sulfoximines.
5. Conclusions
A number of protocols reported in the recent few years for the synthesis of cyclic sulfoximines via C–H bond activation have been summarized in this review. Various coupling partners including diazo compounds, sulfoxonium ylides, iodonium ylides, benzyl azides, N-alkoxyamides, 1,4,2-dioxazol-5-ones, α,β-unsaturated ketones, alkynyl silanes, 4-hydroxy-2-alkynoates, and arynes were successfully assembled with NH-sulfoximines, forming the corresponding [4+2] or [4+3] annulation products bearing a variety of substituents. Despite the huge advances in this area, there still remain a number of limitations. The commonly used catalysts such as Ru(II) and Rh(III) are costly, while the relatively cheap Co(III) catalysts have not been employed widely or performed poorly. The metal-free methods are still limited to intramolecular reactions and the scope of substrates is generally narrow. Except the nitrogen atom, it has not been reported that other heteroatoms are introduced into the cyclic sulfoximines. Furthermore, the cyclic products formed are almost six- and seven-membered sulfoximines. We hope that this review will inspire more researchers to conceive more fantastic ideas and to find more valuable new synthetic methods.
Funding
This research was funded by Science and Technology Department of Sichuan Province (Granted No. 2021ZYD0055), and the State Key Laboratory of Geohazard Prevention and Geoenvironment Protection (Granted No. SKLGP2020Z003).
Data Availability Statement
No new data were created.
Conflicts of Interest
The authors declare no conflict of interest.
References
- Borst, M.L.G.; Ouairy, C.M.J.; Fokkema, S.C.; Cecchi, A.; Kerckhoffs, J.M.C.A.; de Boer, V.L.; Boogaard, P.J.V.D.; Bus, R.F.; Ebens, R.; van der Hulst, R.; et al. Polycyclic Sulfoximines as New Scaffolds for Drug Discovery. ACS Comb. Sci. 2018, 20, 335–343. [Google Scholar] [CrossRef] [PubMed]
- Mader, P.; Kattner, L. Sulfoximines as Rising Stars in Modern Drug Discovery? Current Status and Perspective on an Emerging Functional Group in Medicinal Chemistry. J. Med. Chem. 2020, 63, 14243–14275. [Google Scholar] [CrossRef] [PubMed]
- Sirvent, J.A.; Lucking, U. Novel Pieces for the Emerging Picture of Sulfoximines in Drug Discovery: Synthesis and Evaluation of Sulfoximine Analogues of Marketed Drugs and Advanced Clinical Candidates. ChemMedChem 2017, 12, 487–501. [Google Scholar] [CrossRef] [PubMed]
- Han, Y.; Xing, K.; Zhang, J.; Tong, T.; Shi, Y.; Cao, H.; Yu, H.; Zhang, Y.; Liu, D.; Zhao, L. Application of sulfoximines in medicinal chemistry from 2013 to 2020. Eur. J. Med. Chem. 2021, 209, 112885. [Google Scholar] [CrossRef]
- Coquerel, Y.; Rodriguez, J. Chemo- and regioselective synthesis of 2-alkylidenetetrahydrofurans bearing a chiral sulfur atom by domino reactions of sulfoximines. Tetrahedron. Lett. 2008, 47, 8503–8506. [Google Scholar] [CrossRef]
- Mendonca Matos, P.; Lewis, W.; Argent, S.P.; Moore, J.C.; Stockman, R.A. General Method for the Asymmetric Synthesis of N-H Sulfoximines via C-S Bond Formation. Org. Lett. 2020, 22, 2776–2780. [Google Scholar] [CrossRef] [PubMed]
- Zheng, W.; Chen, X.; Chen, F.; He, Z.; Zeng, Q. Syntheses and Transformations of Sulfoximines. Chem. Rec. 2021, 21, 396–416. [Google Scholar] [CrossRef]
- Wiezorek, S.; Lamers, P.; Bolm, C. Conversion and degradation pathways of sulfoximines. Chem. Soc. Rev. 2019, 48, 5408–5423. [Google Scholar] [CrossRef]
- Patel, C.; Bassin, J.P.; Scott, M.; Flye, J.; Hunter, A.P.; Martin, L.; Goyal, M. Synthesis and Antimicrobial Activity of 1,2-Benzothiazine Derivatives. Molecules 2016, 21, 861. [Google Scholar] [CrossRef]
- Boulard, E.; Zibulski, V.; Oertel, L.; Lienau, P.; Schafer, M.; Ganzer, U.; Lucking, U. Increasing Complexity: A Practical Synthetic Approach to Three-Dimensional, Cyclic Sulfoximines and First Insights into Their in Vitro Properties. Chem. Eur. J. 2020, 26, 4378–4388. [Google Scholar] [CrossRef]
- Reggelin, M.; Junker, B.; Heinrich, T.; Slavik, S.; Bühle, P. Asymmetric Synthesis of Highly Substituted Azapolycyclic Compounds via 2-Alkenyl Sulfoximines: Potential Scaffolds for Peptide Mimetics. J. Am. Chem. Soc. 2006, 128, 4023–4034. [Google Scholar] [CrossRef] [PubMed]
- Shu, X.; Carol, A.R.; Lawrence, J.M. Oxicams, a class of nonsteroidal anti-inflammatory drugs and beyond. IUBMB Life 2014, 66, 803–811. [Google Scholar]
- Dong, W.; Wang, L.; Parthasarathy, K.; Pan, F.; Bolm, C. Rhodium-catalyzed oxidative annulation of sulfoximines and alkynes as an approach to 1,2-benzothiazines. Angew. Chem. Int. Ed. 2013, 52, 11573–11576. [Google Scholar] [CrossRef] [PubMed]
- Ghosh, K.; Ghosh, A.; Mukherjee, K.; Rit, R.K.; Sahoo, A.K. Sulfoximine-Assisted Unsymmetrical Twofold C–H Functionalization of Arenes. J. Org. Chem. 2020, 85, 8618–8626. [Google Scholar] [CrossRef] [PubMed]
- Kang, X.; Wang, H.; Zeng, Q. Transition-metal-free N-sulfenylation of sulfoximines with thiosulfonates under mild conditions. Eur. J. Org. Chem. 2022, 2022, e202201229. [Google Scholar] [CrossRef]
- Zheng, W.; Tan, M.; Yang, L.; Zhou, L.; Zeng, Q. I2-Catalyzed N-sulfonylation of Sulfoximines with Sulfinates in Water at Room Temperature. Eur. J. Org. Chem. 2020, 2020, 1764–1768. [Google Scholar] [CrossRef]
- Jiang, W.; Huang, Y.; Zhou, L.; Zeng, Q. Visible light promoted synthesis of N-aroylsulfoximines by oxidative C–H acylation of NH-sulfoximines. Sci. China. Chem. 2019, 62, 1213–1220. [Google Scholar] [CrossRef]
- Tan, M.; Zheng, W.; Yang, L.; Zhou, L.; Qingle, Z. *Synthesis of N-phosphinyl sulfoximines by I2-catalyzed oxidative cross-coupling reaction. Asian. J. Org. Chem. 2019, 8, 2027–2031. [Google Scholar] [CrossRef]
- Yang, L.; Feng, J.; Qiao, M.; Zeng, Q. Synthesis of N-sulfenyl-sulfoximines and -sulfenamides through a metal-free N–H/S–H dehydrocoupling reaction. Org. Chem. Front. 2018, 5, 24–28. [Google Scholar] [CrossRef]
- Ghosh, P.; Ganguly, B.; Das, S. N–H and C–H Functionalization of Sulfoximine: Recent Advancement and Prospects. Asian J. Org. Chem. 2020, 9, 2035–2082. [Google Scholar] [CrossRef]
- Cheng, Y.; Bolm, C. Regioselective Syntheses of 1,2-Benzothiazines by Rhodium-Catalyzed Annulation Reactions. Angew. Chem. Int. Ed. 2015, 54, 12349–12352. [Google Scholar] [CrossRef] [PubMed]
- Yu, D.G.; de Azambuja, F.; Glorius, F. alpha-MsO/TsO/Cl Ketones as Oxidized Alkyne Equivalents: Redox-Neutral Rhodium(III)-Catalyzed C–H Activation for the Synthesis of N-Heterocycles. Angew. Chem. Int. Ed. 2014, 53, 2754–2758. [Google Scholar] [CrossRef] [PubMed]
- Jeon, W.H.; Son, J.Y.; Kim, J.E.; Lee, P.H. Synthesis of 1,2-Benzothiazines by a Rhodium-Catalyzed Domino C–H Activation/Cyclization/Elimination Process from S-Aryl Sulfoximines and Pyridotriazoles. Org. Lett. 2016, 18, 3498–3501. [Google Scholar] [CrossRef]
- Ko, G.H.; Son, J.Y.; Kim, H.; Maeng, C.; Baek, Y.; Seo, B.; Um, K.; Lee, P.H. Synthesis of Indolo-1,2-Benzothiazines from Sulfoximines and 3-Diazoindolin-2-imines. Adv. Synth. Catal. 2017, 359, 3362–3370. [Google Scholar] [CrossRef]
- Wen, J.; Cheng, H.C.; Raabe, G.; Bolm, C. Rhodium-Catalyzed [4+3] Annulations of Sulfoximines with alpha,beta-Unsaturated Ketones Leading to 1,2-Benzothiazepine 1-Oxides. Org. Lett. 2017, 19, 6020–6023. [Google Scholar] [CrossRef]
- Li, Y.; Dong, L. Rhodium-catalyzed benzoisothiazole synthesis by tandem annulation reactions of sulfoximines and activated olefins. Org. Biomol. Chem. 2017, 15, 9983–9986. [Google Scholar] [CrossRef] [PubMed]
- Huang, J.P.; Huang, Y.F.; Wang, T.; Huang, Q.; Wang, Z.H.; Chen, Z.Y. Microwave-Assisted Cp*Co-III-Catalyzed C–H Activation/Double C-N Bond Formation Reactions to Thiadiazine 1-Oxides. Org. Lett. 2017, 19, 1128–1131. [Google Scholar] [CrossRef]
- Aher, Y.N.; Lade, D.M.; Pawar, A.B. Cp*Ir (III)-catalyzed C–H/N–H functionalization of sulfoximines for the synthesis of 1,2-benzothiazines at room temperature. Chem. Commun. 2018, 54, 6288–6291. [Google Scholar] [CrossRef]
- Sun, Y.; Cramer, N. Enantioselective Synthesis of Chiral-at-Sulfur 1,2-Benzothiazines by Cp(x)Rh(III)-Catalyzed C–H Functionalization of Sulfoximines. Angew. Chem. Int. Ed. 2018, 57, 15539–15543. [Google Scholar] [CrossRef]
- Shen, B.; Wan, B.; Li, X. Enantiodivergent Desymmetrization in the Rhodium (III)-Catalyzed Annulation of Sulfoximines with Diazo Compounds. Angew. Chem. Int. Ed. 2018, 57, 15534–15538. [Google Scholar] [CrossRef]
- Liu, Y.-Z.; Hu, Y.; Lv, G.-H.; Nie, R.-H.; Peng, Y.; Zhang, C.; Wu, Y. Synthesis of 1,2-Benzothiazines via C–H Activation/Cyclization in a Recyclable, Mild System. ACS Sustain. Chem. Eng. 2019, 7, 13425–13429. [Google Scholar] [CrossRef]
- Brauns, M.; Cramer, N. Efficient Kinetic Resolution of Sulfur-Stereogenic Sulfoximines by Exploiting Cp(X)Rh(III)-Catalyzed C–H Functionalization. Angew. Chem. Int. Ed. 2019, 58, 8902–8906. [Google Scholar] [CrossRef] [PubMed]
- Wang, B.; Han, X.; Li, J.; Li, C.; Liu, H. Sulfoximines-Assisted Rh(III)-Catalyzed C–H Activation and Intramolecular Annulation for the Synthesis of Fused Isochromeno-1,2-Benzothiazines Scaffolds under Room Temperature. Molecules 2020, 25, 2515. [Google Scholar] [CrossRef] [PubMed]
- Li, J.; Li, H.; Fang, D.; Liu, L.; Han, X.; Sun, J.; Liu, H. Sulfoximines Assisted Rh(III)-Catalyzed C–H Activation/Annulation Cascade to Synthesize Highly Fused Indeno-1,2-benzothiazines. J. Org. Chem. 2021, 86, 15217–15227. [Google Scholar] [CrossRef] [PubMed]
- Li, J.-Y.; Xie, P.-P.; Zhou, T.; Qian, P.-F.; Zhou, Y.-B.; Li, H.-C.; Shi, B.-F. Ir (III)-Catalyzed Asymmetric C–H Activation/Annulation of Sulfoximines Assisted by the Hydrogen-Bonding Interaction. ACS Catal. 2022, 12, 9083–9091. [Google Scholar] [CrossRef]
- Zheng, G.; Tian, M.; Xu, Y.; Chen, X.; Li, X. Rhodium (III)-catalyzed annulative coupling between arenes and sulfoxonium ylides via C–H activation. Org. Chem. Front. 2018, 5, 998–1002. [Google Scholar] [CrossRef]
- Zhou, T.; Qian, P.F.; Li, J.Y.; Zhou, Y.B.; Li, H.C.; Chen, H.Y.; Shi, B.F. Efficient Synthesis of Sulfur-Stereogenic Sulfoximines via Ru (II)-Catalyzed Enantioselective C–H Functionalization Enabled by Chiral Carboxylic Acid. J. Am. Chem. Soc. 2021, 143, 6810–6816. [Google Scholar] [CrossRef]
- Huang, G.; Shan, Y.; Yu, J.T.; Pan, C. Rhodium-catalyzed C–H activation/cyclization of aryl sulfoximines with iodonium ylides towards polycyclic 1,2-benzothiazines. Org. Biomol. Chem. 2021, 19, 10085–10089. [Google Scholar] [CrossRef]
- Chen, L.; Wang, Z.; Wang, Y.; Hao, L.; Xu, X.; Wu, G.; Ji, Y. Rhodium (III)-catalyzed cascade C–H functionalization/annulation of sulfoximines with iodonium ylides for the synthesis of cyclohexanone-1,2-benzothiazines. Org. Biomol. Chem. 2022, 20, 887–894. [Google Scholar] [CrossRef]
- Matsunaga, S.; Yoshino, T.; Huang, L.-T.; Hirata, Y.; Kato, Y.; Lin, L.; Kojima, M. Ruthenium (II)/Chiral Carboxylic Acid Catalyzed Enantioselective C–H Functionalization of Sulfoximines. Synthesis 2021, 54, 4703–4710. [Google Scholar]
- Li, Y.; Liu, C.-F.; Liu, X.-Y.; Xu, Y.-J.; Dong, L. Rhodium (iii)-catalyzed tandem reaction: Efficient synthesis of dihydrobenzo thiadiazine 1-oxide derivatives. Org. Chem. Front. 2019, 6, 1458–1462. [Google Scholar] [CrossRef]
- Xu, H.B.; Yang, J.H.; Chai, X.Y.; Zhu, Y.Y.; Dong, L. Iridium (III)-Catalyzed C–H Amidation/Cyclization of NH-Sulfoximines with N-Alkoxyamides: Formation of Thiadiazine 1-Oxides. Org. Lett. 2020, 22, 2060–2063. [Google Scholar] [CrossRef] [PubMed]
- Shi, P.; Tu, Y.; Wang, C.; Kong, D.; Ma, D.; Bolm, C. Synthesis of Benzothiadiazine-1-oxides by Rhodium-Catalyzed C–H Amidation/Cyclization. Org. Lett. 2020, 22, 8842–8845. [Google Scholar] [CrossRef]
- Hirata, Y.; Sekine, D.; Kato, Y.; Lin, L.; Kojima, M.; Yoshino, T.; Matsunaga, S. Cobalt (III)/Chiral Carboxylic Acid-Catalyzed Enantioselective Synthesis of Benzothiadiazine-1-oxides via C–H Activation. Angew. Chem. Int. Ed. 2022, 61, e202205341. [Google Scholar] [CrossRef] [PubMed]
- Qian, P.-F.; Zhou, T.; Li, J.-Y.; Zhou, Y.-B.; Shi, B.-F. Ru (II)/Chiral Carboxylic Acid-Catalyzed Asymmetric [4+3] Annulation of Sulfoximines with α,β-Unsaturated Ketones. ACS Catal. 2022, 12, 13876–13883. [Google Scholar] [CrossRef]
- Hanchate, V.; Kumar, A.; Prabhu, K.R. Synthesis of Furanone-Fused 1,2-Benzothiazine by Rh(III)-Catalyzed C–H Activation: Regioselective Oxidative Annulation Leading to in Situ Lactonization in One Pot. J. Org. Chem. 2019, 84, 11335–11342. [Google Scholar] [CrossRef] [PubMed]
- Hanchate, V.; Muniraj, N.; Prabhu, K.R. Rh(III)-Catalyzed Oxidative Annulation of Sulfoximines with Arylalkynyl Silanes via Desilylation. J. Org. Chem. 2019, 84, 8248–8255. [Google Scholar] [CrossRef]
- Li, S.; Liu, L.; Wang, R.; Yang, Y.; Li, J.; Wei, J. Palladium-Catalyzed Oxidative Annulation of Sulfoximines and Arynes by C–H Functionalization as an Approach to Dibenzothiazines. Org. Lett. 2020, 22, 7470–7474. [Google Scholar] [CrossRef]
- Ma, Y.-N.; Guo, C.-Y.; Zhao, Q.; Zhang, J.; Chen, X. Synthesis of dibenzothiazines from sulfides by one-pot N,O-transfer and intramolecular C–H amination. Green. Chem. 2018, 20, 2953–2958. [Google Scholar] [CrossRef]
- Ma, Y.N.; Bian, Y.; Liu, X.; Zhang, J.; Chen, X. One-Pot Synthesis of Iodo-Dibenzothiazines from 2-Biaryl Sulfides. J. Org. Chem. 2019, 84, 450–457. [Google Scholar] [CrossRef]
- Li, L.; Li, Y.; Zhao, Z.; Luo, H.; Ma, Y.N. Facial Syntheses of Bromobenzothiazines via Catalyst-Free Tandem C–H Amination/Bromination in Water. Org. Lett. 2019, 21, 5995–5999. [Google Scholar] [CrossRef] [PubMed]
- Ma, Y.N.; Gao, Y.; Jing, Y.; Kang, J.; Zhang, J.; Chen, X. Syntheses of Bromo-N-heterocycles through Dibromohydantoin-Promoted Tandem C–H Amination/Bromination. J. Org. Chem. 2020, 85, 2918–2926. [Google Scholar] [CrossRef] [PubMed]
- Zhou, H.; Chen, W.; Chen, Z. Pd/Norbornene Collaborative Catalysis on the Divergent Preparation of Heterocyclic Sulfoximine Frameworks. Org. Lett. 2018, 20, 2590–2594. [Google Scholar] [CrossRef] [PubMed]
Disclaimer/Publisher’s Note: The statements, opinions and data contained in all publications are solely those of the individual author(s) and contributor(s) and not of MDPI and/or the editor(s). MDPI and/or the editor(s) disclaim responsibility for any injury to people or property resulting from any ideas, methods, instructions or products referred to in the content. |
© 2023 by the authors. Licensee MDPI, Basel, Switzerland. This article is an open access article distributed under the terms and conditions of the Creative Commons Attribution (CC BY) license (https://creativecommons.org/licenses/by/4.0/).








































