Abstract
Phosphonates are compounds containing a direct carbon–phosphorus (C–P) bond, which is particularly resistant to chemical and enzymatic degradation. They are environmentally ubiquitous: some of them are produced by microorganisms and invertebrates, whereas others derive from anthropogenic activities. Because of their chemical stability and potential toxicity, man-made phosphonates pose pollution problems, and many studies have tried to identify biocompatible systems for their elimination. On the other hand, phosphonates are a resource for microorganisms living in environments where the availability of phosphate is limited; thus, bacteria in particular have evolved systems to uptake and catabolize phosphonates. Such systems can be either selective for a narrow subset of compounds or show a broader specificity. The role, distribution, and evolution of microbial genes and enzymes dedicated to phosphonate degradation, as well as their regulation, have been the subjects of substantial studies. At least three enzyme systems have been identified so far, schematically distinguished based on the mechanism by which the C–P bond is ultimately cleaved—i.e., through either a hydrolytic, radical, or oxidative reaction. This review summarizes our current understanding of the molecular systems and pathways that serve to catabolize phosphonates, as well as the regulatory mechanisms that govern their activity.
1. Introduction
Organophosphonates (henceforth termed phosphonates for simplicity) are compounds containing a direct C–P bond instead of the more usual C–O–P ester linkage [1]. Despite a similar dissociation energy of the C–P bond as compared to the O–P bond, the cleavage of the former requires a much higher activation energy [2]. Hence, phosphonates are characterized by a high chemical and thermal stability, in addition to the fact that the C–P bond is resistant to the action of phosphatases. Phosphonates regularly occur in the environment, coming from two main sources: either biological (natural phosphonates) or anthropogenic (man-made phosphonates).
The most common natural phosphonates are shown in Figure 1. They are synthesized by a large variety of microorganisms (including protozoa, archaea, bacteria) as well as by coelenterates, mollusks, and possibly plants and insects [3,4,5,6,7]. Natural phosphonates are particularly abundant and biologically important in freshwater and marine ecosystems [8]. In certain marine environments, for example, phosphonates can represent up to 10% of the total dissolved organic phosphorus (DOP) pool [9,10], which becomes 25% in high-molecular-weight DOP [9]. Phosphonates are also found in soil [11,12], although their concentration is, in general, lower than in aquatic environments.
Figure 1.
The most common natural phosphonates. Phosphonopyruvate (PnPyr) is the precursor of nearly all known natural phosphonates. It is formed from the glycolytic intermediate phosphoenolpyruvate via the reaction of phosphoenolpyruvate mutase [1] coupled with one of four known irreversible processes (in particular, the decarboxylation of PnPyr to yield phosphonoacetaldehyde—PAA), which serves to thermodynamically ‘drive’ the formation of the stable C–P bond.
Anthropogenic phosphonates in the environment derive primarily from large-scale human activities, such as agricultural treatments (e.g., pesticides, insecticides) and industrial processes [13]. Because of the wide use of these compounds and the extremely inert nature of the C–P bond, anthropogenic phosphonates tend to accumulate in the environment and represent a major source of both land and water pollution. Some examples of anthropogenic phosphonates are shown in Figure 2.
Figure 2.
Some man-made phosphonates that may occur in the environment. Glyphosate is the most widely used herbicide. AMPA is a long-lasting breakdown product of glyphosate. Ethephon is a plant growth regulator (ultimately converted into ethylene by plants) that is used to induce the ripening of various crops. Metrifonate is used as an insecticide in restricted applications. 1-Hydroxyethane 1,1-diphosphonic acid (HEDP), nitrilotris(methylene phosphonic acid) (NTMP), ethylenediamine tetra(methylene phosphonic acid) (EDTMP), and diethylenetriamine penta(methylene phosphonic acid) (DTPMP) are chelating agents used in water treatment as antiscalants and anti-corrosion agents [13].
While phosphorus is an essential nutrient for living organisms, its simplest bioavailable form (inorganic phosphate) is found in low concentrations in various environments, often limiting microbial growth. To cope with the scarcity of inorganic phosphate, many microorganisms have developed peculiar strategies, one of which is scavenging the phosphorus from environmentally available phosphonates [14,15,16]. Several different types of microorganisms are able to degrade phosphonates, including fungi [17,18] and possibly Archaea [19], but by far the most abundant information has been collected on bacteria. In bacteria, the study is facilitated by the tendency of genes involved in the same metabolism to be grouped in operons or clusters [20].
So far, all the metabolic systems identified as degrading the C–P bond can be subdivided based on the mechanism by which the bond is ultimately cleaved. Accordingly, we schematically distinguish the hydrolytic, oxidative, and radical pathways. The hydrolytic and oxidative pathways are generally specific for one or a few substrates, whereas the radical mechanism of cleavage is typical of the C–P lyase complex, which has a broad substrate scope.
This paper provides an updated overview on the biochemical and regulatory strategies that microbes adopt to degrade phosphonates, as well as the abundance and distribution of phosphonate degradative pathways in natural environments. Our focus is primarily on the catabolism of naturally occurring molecules, but we also provide information on the degradation of anthropogenic compounds. While some phosphonate catabolic pathways have been individually reviewed in recent years [21,22,23], there are few reviews (and no very recent ones) that offer a global perspective on the topic, analogous to the one provided here [1,3,14,24,25]. Among other things, we report on recently described phosphonate transporters, illustrate novel accessory enzymes that expand the substrate range of otherwise substrate-specific pathways, and analyze the output of recent metagenomic studies on the abundance of phosphonate degradative systems. Finally, we propose future avenues of research in the field.
2. Bacterial Phosphonate Transporters
An early step in the microbial process of scavenging the phosphorus from phosphonates is the uptake of the latter from the environment, and since biological membranes are generally impermeable to charged substances, the import of phosphonates implies the involvement of transporters. Indeed, the bacterial gene clusters dedicated to phosphonate degradation very often include genes encoding transporter proteins. While direct experimental data on these transporters are quite limited, it is evident that different types of bacterial phosphonate transporters exist, arguably distinct on the basis of structure, specificity, and regulation.
Most of the transporters seem to belong to two main classes: ABC transporters and symporters/antiporters.
2.1. ABC Transporters
ATP binding cassette (ABC) transporters are multiprotein complexes that encompass one (or more) membrane-associated ATPase subunits and exploit ATP hydrolysis to drive the translocation of substrates across membranes (in our case, to import phosphonates), potentially against their concentration gradient. A typical ABC transporter consists of four components: a substrate-binding protein (SBP), two transmembrane domains, and an ATPase domain [26]. The SBP binds the phosphonate with high affinity and delivers it to the transmembrane domains, which transport it across the membrane using the energy from ATP hydrolysis [26]. SBPs are associated not only with bacterial ABC importers but also with a family of symporters/antiporters called tripartite ATP-independent periplasmic (TRAP) transporters [27].
There are a few known or putative ABC transporters found in bacterial gene clusters dedicated to phosphonate degradation [28]. The best studied is arguably the PhnCDE transporter (Figure 3), whose genes in many bacteria are associated with the cluster for the broad substrate specificity C–P lyase complex [21]. For example, as detailed in Section 5 below, the genes for phosphonate metabolism in Escherichia coli are encompassed in the phn operon, whose first three genes are phnC, phnD, and phnE. They encode, respectively, an ATP-binding subunit [29], a periplasmic substrate binding protein, and a phosphonate permease (Figure 3a). The function of phnE is cryptic in several E. coli strains (such as K-12), which are unable to grow on phosphonates [30]. The schematic mechanism through which the PhnCDE transporter is assumed to work is depicted in Figure 3.
Figure 3.
In E. coli and many other Gram-negative bacteria, phosphonates such as 2-aminoethylphosphonate (AEP, also known as ciliatine; see Figure 1) can be transferred from the periplasm to the cell interior by an ABC-type transporter called PhnCDE. (a) When the ligand (symbolized by the red diamond) is not present in the periplasm, the substrate-binding protein (PhnD) is not associated with the transporter. Presumably, phosphonates enter the periplasm through the same porins exploited by other phosphate compounds—for example, through PhoE. PhoE is a porin which allows for the diffusion of several phosphorus-containing molecules, is under the control of the Pho regulon (see Section 7), and is expressed when the levels of environmental phosphorus are low [28,31,32]. (b) Upon the binding of the phosphonate, PhnD interacts with the transmembrane complex and the nucleotide binding domains of PhnC move towards each other. (c) ATP (symbolized by the orange circle) binds to PhnC and the channel moves to an outward conformation, allowing the substrate to enter. (d) ATP is hydrolyzed (circle changes from orange to yellow) and the channel adopts an inwards conformation, allowing the phosphonate to diffuse into the cytoplasm.
The properties of PhnD from E. coli have been studied at the structural, functional, and applicative levels [29,33,34]. It seems rather specific for AEP (see Figure 1), with a Kd = 5 nM [33], keeping with the notion that this phosphonate is particularly abundant in nature [5,9,35,36]. By comparison, methylphosphonate (MePn, Figure 1; another common natural phosphonate) showed a Kd = 1 µM, whereas the anthropogenic aminomethylphosphonate (AMPA, Figure 2) showed a Kd = 5 µM [33], despite its obvious structural resemblance to AEP. The binding of AEP to PhnD brings about a substantial structural change in the protein [29] which is believed to be important for the functioning of the transporter (Figure 3).
Another ABC-type transporter (very distinct from PhnCDE) that has been studied to some extent is PhnSTUV from Salmonella typhimurium LT2, whose function in AEP uptake was inferred by Jiang and coworkers through complementation experiments [37,38]. The three-dimensional structure of the substrate-binding protein PhnS is known (PDB 4R6Y), although it has never been described in the primary literature.
The expression of the PhnCDE transporter is sensitive to phosphate levels [30], but this is not true for all ABC transporters for phosphonates. For example, the AepXVW transporter of the marine bacterium Stappia stellulata DSM5886 (belonging to the Hyphomicrobiales) was highly expressed during both phosphate-sensitive and phosphate-insensitive growth on AEP [39]. The substrate binding protein AepX showed an affinity for AEP comparable to that of PhnD (Kd = 23 nM) but a much higher specificity (the Kd values for MePn and AMPA were 3.4 mM and 4.4 mM, respectively), consistent with the observation that aepXVW genes are commonly associated with either phnWX or phnWAY clusters, which encode AEP-specific degradation systems (Section 3.1) [39]. Homologs of aepXVW are expressed constitutively in diverse marine heterotrophs and are ubiquitously distributed in mesopelagic and epipelagic waters. In the global ocean, aepX was heavily transcribed (~100-fold more than phnD) independently of phosphate and nitrogen concentrations [39].
2.2. Symporters/Antiporters (Facilitators)
Antiporters (which move two substrates across a membrane in opposite directions) and symporters (which transport two substrates in the same direction) do not require ATP hydrolysis but, in general, utilize some ion gradient as a secondary energy source.
Some of these transporters involved specifically in phosphonate uptake have been characterized. In a recent study, Murphy et al. found that the facilitator-type AEP permease (AepP) was essential for the phosphate-insensitive growth of Pseudomonas putida BIRD-1 on AEP. The expression of the aepP gene occurred both in the presence and in the absence of phosphate, and it significantly increased during growth on AEP as a sole N source (phosphate-insensitive) [39]. A similar gene was identified in the genome of Sinorhizobium meliloti 1021 [39]. Indeed, it had been noted before that in S. meliloti 1021, the same operon encoding the AEP-specific PhnWAY pathway (see Section 3.1 below) also encompasses the genes for a putative sodium-dependent symporter (NCBI WP_010975820) as well as an ABC transporter [40]. The compresence of this Na+ symporter with the genes for an AEP-specific degradation pathway is retained in a number of related species, strongly suggesting that this transporter is involved in AEP uptake. Notably, the Pho regulon is not essential for AEP transport in S. meliloti 1021 [41].
Wicke et al. [42] identified another facilitator involved in phosphonate transport by assessing the adaptation of the Gram-positive Bacillus subtilis to the herbicide glyphosate (Figure 2). Through analyses at the whole genome level, they found that B. subtilis develops resistance to glyphosate primarily by inactivating gltT, which encodes a high-affinity glutamate/aspartate symporter. Metabolome analyses confirmed that GltT is the major entryway of glyphosate into B. subtilis. The same transporter also appeared to be involved in the uptake of the herbicide glufosinate (a phosphinate, rather than a phosphonate compound). Complementation experiments indicated that the ectopic expression of GltP, the GltT homolog of E. coli, restored the glyphosate sensitivity of a B. subtilis gltT mutant, suggesting that GltP could also be involved in glyphosate uptake in E. coli [42].
3. Hydrolytic Pathways for the Catabolism of Phosphonates
In compounds such as PnPyr or phosphonoacetate (PnAc; Figure 1), the reactivity of the C–P bond is increased by the presence of a neighboring carbonyl or carboxyl group, making its cleavage through a hydrolytic mechanism possible. Analogously, the corresponding aminophosphonates (PnAla or AEP) can be activated by converting the amino group to a carbonyl or carboxyl functionality. In the hydrolytic pathways of aminophosphonate degradation, such an initial activation precedes the cleavage of the C–P bond and the assimilation of phosphate. This metabolic activation strategy is common in microbial biodegradation pathways and is observed, in addition to phosphonates, with aromatic hydrocarbons and many other compounds. Among the phosphonate hydrolytic pathways, those targeting AEP are unsurprisingly the most abundant ones, since AEP is the most widespread natural phosphonate [5,9,36].
3.1. Degradation of AEP through the PhnWX and PhnWAY Pathways
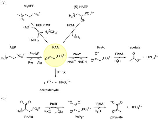
The two best-known routes for AEP catabolism are sometimes called the PhnWX and PhnWAY pathways (from the gene symbols of the involved enzymes). The two pathways are partially overlapping in that they both start with the transamination of AEP, catalyzed by the enzyme PhnW (2-aminoethylphosphonate:pyruvate aminotransferase), to yield PAA and alanine (Figure 4a). PhnW uses pyridoxal phosphate (PLP) as the cofactor, and its reaction involves the formation of a Schiff base between PLP and the β-carbonyl group of AEP. Subsequent steps lead to the release of PAA with the concomitant formation of the aminated form of the cofactor (pyridoxamine phosphate). In the second half of the reaction, pyruvate binds to the active site, forming a Schiff base with the pyridoxamine. The Schiff base is then hydrolyzed, and alanine is produced [38]. Structural analysis of PhnW from both Salmonella typhimurium [43] and Pseudomonas aeruginosa PAO1 [44] revealed that the enzyme is catalytically active as a homodimer, and each monomer has a tertiary structure common to the majority of transaminases [43,44]. It involves a large domain for PLP binding and a smaller domain that switches from an open to a closed conformation upon substrate binding. The active site is located between the two domains [43,44].
Figure 4.
Schematic representation of the hydrolytic pathways. (a) The PhnWX and PhnWAY pathways share the common intermediate PAA, which is produced from AEP by the enzymatic activity of the transaminase PhnW. PAA can also be derived from (R)-1-hydroxy-2-aminoethyl phosphonate-(R)-HAEP-by the PLP-dependent lyase PbfA [45] or obtained from the oxidation of N-methyl AEP (M1AEP), operated by some ancillary FAD-dependent enzyme (PbfB, PbfC, or PbfD) [46]. PAA is then further processed by either the hydrolase PhnX (PhnWX pathway) or the dehydrogenase PhnY (PhnWAY pathway). (b) The PalAB pathway allows for PnAla mineralization.
The PhnWX pathway was initially described in Bacillus cereus, an organism that could use AEP as the sole P source [47,48]. In this pathway, subsequent to the PhnW reaction, the Mg2+-dependent enzyme phosphonoacetaldeyde hydrolase (PhnX) cleaves PAA into acetaldehyde and phosphate (Figure 4a). A number of studies have led to a better understanding of the mechanism and structure of PhnX [37,48,49,50,51]. In its reaction, an unprotonated catalytic lysine generates a Schiff base with PAA. The activated C–P bond is then hydrolytically cleaved through a highly conserved active-site Asp residue, thus releasing the final products [49,50,52].
An analysis of the S. meliloti genome sequence revealed the absence of a phnX homolog, yet the organism was able to grow using AEP as the sole phosphorus source. In this case, the AEP degradation took place alternatively through the PhnWAY pathway, which could also be the main route for PnAc production in nature [40,53,54]. Indeed, in this pathway, PAA is oxidized to PnAc by the NAD-dependent PAA dehydrogenase (PhnY) (Figure 4a). Finally, phosphonoacetate hydrolase (PhnA) catalyzes the Zn2+-dependent hydrolytic cleavage of PnAc, yielding inorganic phosphate [40,55].
PhnA had been discovered earlier than the whole pathway. Pseudomonas fluorescens 23F was the first isolated environmental microbe capable of using PnAc as a C and P source, converting it to phosphate and acetate [56,57]. Further studies led to the purification and characterization of P. fluorescens 23F PhnA, which was able to degrade only PnAc and, to a lesser extent, 2-phosphonopropionate [53,58]. Homologs of the phnA gene were detected in soil isolates of several geographical regions as well as in coral-living microbes, without enrichment on PnAc. The latter was considered a synthetic phosphonate compound (used as an antiviral medication) [59] However, the ubiquitous presence of phnA genes in isolates from distinct geographical regions as well as the high specificity of the enzyme toward PnAc indicated that PnAc can have a biogenic origin [59,60].
The PhnWX and PhnWAY pathways do not co-occur among marine genomes, likely due to their superimposable functions [36]. Moreover, it has been suggested that the two pathways are taxonomically separated among proteobacteria; while the phnWX pathway is particularly frequent in Vibrionales, Oceanospirillales, and Alteromonadales (all Gammaproteobacteria), the phnWAY pathway has been found in Alphaproteobacteria, specifically in Rhodobacterales species [36].
3.2. Ancillary Enzymes Can Expand the Usefulness of AEP Degradation Pathways
While the PhnWX and PhnWAY pathways are broadly diffused, they are also apparently limited in versatility, as they only serve to process AEP (or, in the case of the PhnWAY pathway, AEP and PnAc). However, as in other branches of catabolism (e.g., [61,62]), the usefulness of the pathways might be improved by ancillary enzymes that convey other types of substrates into the pipeline. A case in point is represented by the identification of a PLP-dependent lyase, termed PbfA, whose gene is recurrently found adjacent to the phnWX gene cluster in many Gammaproteobacteria and to the phnWAY cluster in many Alphaproteobacteria. This enzyme was shown to catalyze an elimination reaction on its specific phosphonate substrate (R)-HAEP (Figure 1), yielding PAA and ammonia and thereby expanding the substrate scope of the pathway [45] (Figure 4a).
On a similar note, a recent study focused on three groups of FAD-dependent oxidoreductases, named PbfB, PbfC, and PbfD, whose genes were often found associated with gene clusters of the phnWX and phnWAY types and in some cases to just phnX [46]. Even though these three groups of enzymes were quite different sequence-wise, all of them appeared capable of converting M1AEP into PAA through a redox reaction, leading to methylamine release (Figure 4a). However, they showed different functional properties regarding their preference to employ (or not) molecular oxygen as the electron acceptor and the ability to also use AEP as their substrate. One functionally characterized PbfD-type enzyme was able to oxidize M1AEP and AEP with similar efficiencies, producing PAA in both cases. Such PbfD may effectually replace the PhnW activity in those microorganisms where the phnW gene is absent [46].
3.3. Hydrolytic Degradation of Phosphonoalanine (PnAla)
A distinct hydrolytic pathway allows for the utilization of PnAla and PnPyr (Figure 1). PnAla is a component of phosphonolipids, and it is particularly abundant among marine microbes and invertebrates [25,63]. This pathway was first identified in the environmental isolate Burkholderia cepacia Pal6 and involves two enzymatic steps (Figure 4b) [64]. As in the case of AEP mineralization, the first step is a PLP-dependent transamination reaction catalyzed by the transaminase PalB, which converts PnAla into PnPyr. The latter is then hydrolyzed into pyruvate and phosphate by the Co2+-dependent phosphonopyruvate hydrolase (PalA) [65,66]. PalA was first purified from Variovorax sp. Pal2 and showed sequence similarities with several phosphoenolpyruvate mutase superfamily members; the enzyme was very specific for PnPyr [65].
Although the three substrate-specific phosphonohydrolases described above (PhnX, PhnA, and PalA) are all metal ion-dependent and catalyze similar enzymatic reactions, these enzymes are not evolutionarily related. In fact, unlike PalA, PhnX belongs to the haloacid dehalogenase (HAD) family, which uses an Asp as the catalytic residue contained in the active site. Instead, PhnA is part of the alkaline phosphatase superfamily of Zn2+-dependent hydrolases and is likely to use a Thr residue as the nucleophile to attack PnAc [16,23,32]. Specifically, the X-ray structure of the P. fluorescens 23F PhnA revealed its high similarity with the metalloenzyme nucleotide pyrophosphatase/diesterase [50,55,65]. Nonetheless, the PhnA chemical function is new among the alkaline phosphatase superfamily, and it differs in the stabilization of the leaving group, which, in the case of PnAc, is an aci-carboxylate dianion. This intermediate, indeed, should be stabilized by two Lys residues instead of one of the zinc ions, as in the case of the phosphate esters compounds [55].
4. Oxidative Pathways for Phosphonate Catabolism
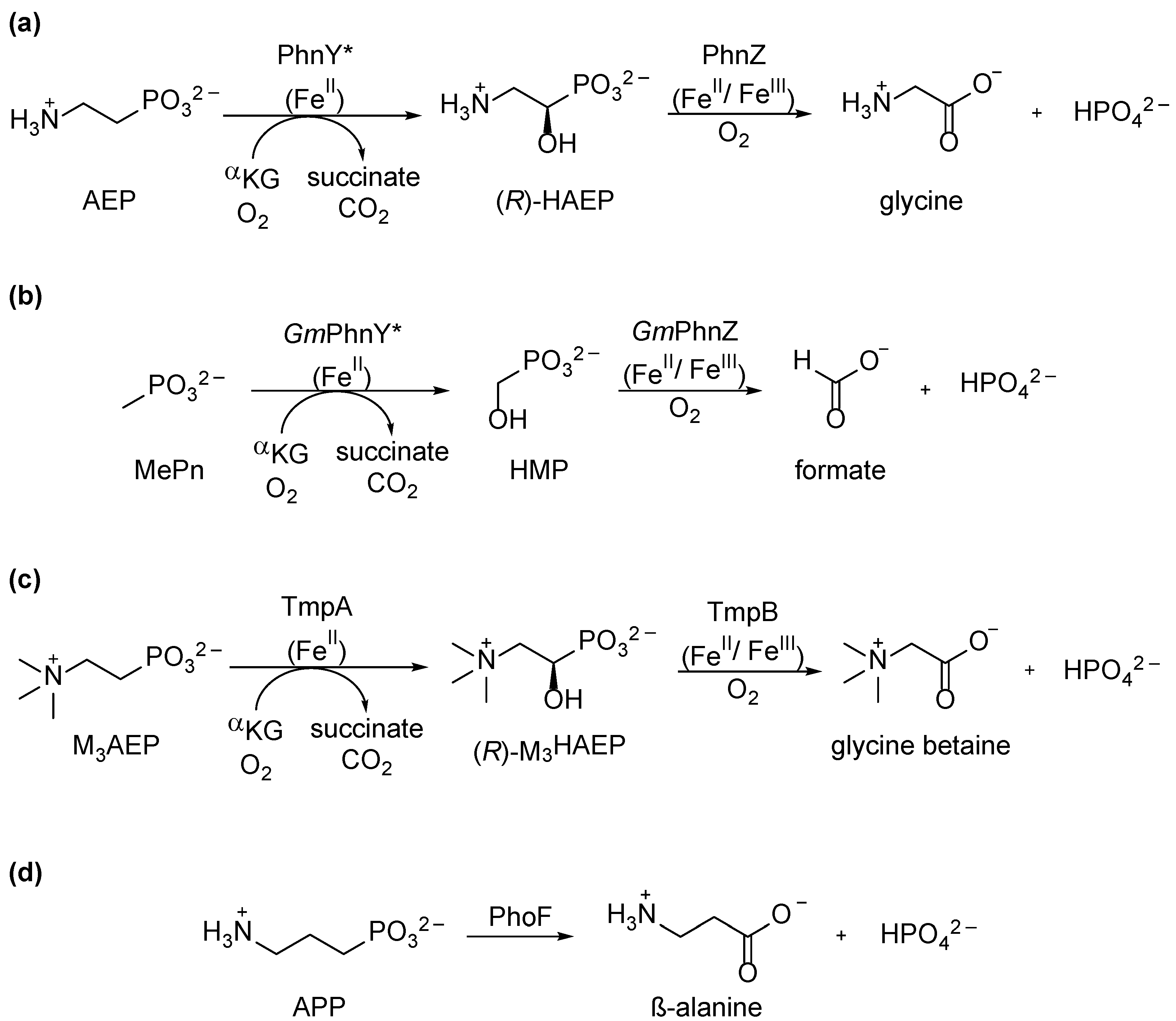
The oxidative C–P bond cleavage pathway was discovered most recently. In 2010, during screenings of metagenomic marine DNA libraries, Martinez et al. identified the first set of genes involved in this process, HF130PhnY* and HF130PhnZ [8]. The encoded enzymes [36] and homologs thereof are commonly found in marine bacteria and catalyze a two-step reaction sequence. The α-ketoglutarate/non-heme FeII-dependent dioxygenase PhnY* performs a stereospecific hydroxylation of the α-carbon of AEP (Figure 5a) during which O2 and the co-substrate, α-ketoglutarate, bind to the active site bound FeII. Then, molecular oxygen is reduced to superoxide, followed by the oxidative decarboxylation of α-ketoglutarate to form succinate. This leads to the highly reactive FeIV = O species, which is able to abstract the α-hydrogen of AEP, upon which an a FeIII-OH-species and a radical in α-position to the phosphorus of the substrate are formed. The hydroxy group is immediately transferred to the substrate in a radical reaction, which provides the enantiopure intermediate (R)-HAEP, which is the substrate for PhnZ [67,68]. This enzyme is nowadays classified as a member of the mixed valent (FeII/FeIII) diiron-dependent oxygenases (MVDOs) [69] and thus belongs to the histidine-aspartate (HD) superfamily of metalloproteins [70]. Another prominent example of this family is the mammalian enzyme myo-inositol oxygenase (MIOX), which forms D-glucuronic acid by the oxidative cleavage of the C1–C6 bond of myo-inositol [71].
Figure 5.
Oxidative degradation pathways for phosphonates catalyzed by (a) PhnY*/PhnZ, substrate: AEP, (b) GmPhnY*/GmPhnZ, substrate: MePn, (c) TmpA/TmpB, substrate: M3AEP, and (d) PhoF, substrates: AEP and 3-aminopropyl phosphonate (APP).
The mechanism of C–P bond cleavage by PhnZ is still not fully elucidated, but several computational, structural, and biochemical studies led to the following assumptions discussed in detail in a very recent review by Pallitsch and Zechel [23]. While PhnY* is highly substrate-specific, PhnZ shows some substrate tolerance but high specificity towards (R)-configured α-hydroxyphosphonates. In brief: PhnZ undergoes three main stages: first, a conformational change in the active site loops is promoted during substrate-binding; then, the activation of dioxygen is followed by α-H abstraction of the substrate and, finally, by C–P bond cleavage to form inorganic phosphate and glycine.
Soon, PhnY*/PhnZ homologs with different substrate specificities were discovered, and today, four versions of this pathway are known. Gama et. al. showed that the microorganism Gimesia maris DSM8797 encodes the enzyme pair GmPhnY* and GmPhnZ. While GmPhnY* is specific for MePn, the corresponding PhnZ-variant is able to cleave both (R)-HAEP and hydroxymethylphosphonate (HMP) [72] (Figure 5a,b). This is the only known pathway for MePn degradation apart from the C–P lyase (discussed in Section 5). However, here, the final products of MePn degradation are inorganic phosphate and formate, generated via the intermediate HMP. Intriguingly, and in contrast to C–P lyase, the byproduct, formate, can also be used as a carbon source during purine biosynthesis by the host bacterium [73].
In Leisingera caerulea, another very similar set of enzymes was discovered by Rajakovich et al. in 2019 [74,75]. The respective two-gene operon encodes the enzymes TmpA and TmpB. The highly substrate-specific dioxygenase TmpA performs the stereospecific hydroxylation of M3AEP to (R)-M3HAEP, followed by C–P bond cleavage to inorganic phosphate and glycine betaine by TmpB (Figure 5c).
phnY*/phnZ-like genes are, however, not uniquely found in bacteria. Recently, a fourth version of this pathway was discovered in Fonsecaea multimorphosa, a fungal pathogen [76]. In this special case, PhnY* and PhnZ are fused to the single bifunctional enzyme called PhoF. Besides AEP, APP can also serve as a substrate for PhoF (Figure 5d), making its substrate-scope unique among all known oxidative pathways.
5. The C–P–Lyase Complex
Of all C–P bond-cleaving enzymes identified to date, the carbon–phosphorus lyase (C–P lyase) complex has garnered prominent attention in the fields of biogeochemistry and environmental science [77,78,79,80]. By comparison to the substrate-specific enzymes discussed above, C–P lyase displays a high degree of promiscuity with a remarkable substrate range [25,81]. This activity was first described by Wackett et al. [82], who documented the consumption of structurally diverse alkyl, aminoalkyl, and arylphosphonates in various bacterial isolates. Subsequent attempts to purify the C–P lyase and study, in vitro, its activity were unsuccessful, owing to the poor solubility of the central C–P cleavage proteins. In general, the study of the C–P lyase has been hindered by the intricacy of the enzyme system’s various interacting protein domains and enzymes coupled with the need for anaerobic reaction conditions. In recent years, however, significant advances have been made in understanding the major structural features and the catalytic mechanism of the multienzyme complex [83,84].
5.1. Organization of the C–P Lyase Complex
Intensively studied and best characterized in E. coli, the subunits of the C–P lyase complex are encoded within the 14-gene phnCDEFGHIJLKMNOP operon (Figure 6), first elucidated by Metcalf et al. [85]. However, variant operon structures are known to exist in taxonomically diverse bacterial species and some halophilic Archaea (Figure 6) [77,86,87]. The expression of the co-transcribed genes is upregulated in response to P-limitation [88]. To date, Pho regulation (see Section 7) is the only known mechanism of the transcriptional control of C–P lyase activity. Despite this, a study by Karl et al. [89] demonstrated the downregulation of C–P lyase activity but not total abolishment within marine surface water cultures supplemented with MePn (Figure 1) and phosphate, which suggests that alternative and possibly dual regulation mechanisms of the C–P lyase exist.
Figure 6.
Operon structures of the C–P lyase complex in E. coli ATCC 8739 (Genbank accession CP033020.1) Haloquadratum walsbyi DSM 16790 (Genbank accession AM180088.1) Stutzerimonas stutzeri (Genbank accession AY505177.1) and Trichodesmeium erythraeum IMS 101 (Genbank accession CP000393.1). Subunits are colored by function. Genes encoding transport proteins are shown in blue (phnCDE), the regulatory gene phnF is shown in orange, the ‘core’ C–P lyase genes are shown in green (phnGHIJKLM), and the accessory genes (phnNOP) are shown in pink [90]. Note the variation in the presence of accessory genes as well as the phnF regulator. Gene lengths are proportionate, with the scale bar at the top equal to 1 kb.
Among the 14 proteins encoded by the C–P lyase complex in E. coli, PhnCDE functions as an ABC transport system, as described in Section 2. This transport system has been found to be negatively regulated by PhnF, which functions as an operon repressor [91]. Of the ten proteins encoded by phnGHIJKLMNOP, a subgroup, specifically PhnGHIJKLM, is critical for enzymatically cleaving the C–P bond [92]. In recent years, the function and crystal structure of the 220 kDa catalytic core complex (PhnGHIJ) and the proteins involved in exposing the active site of the core complex (PhnKL) have been resolved [83,84,93].
5.2. Reaction Mechanism by the ‘Central’ C–P Lyase Subunits
The consumption of phosphonates by the C–P lyase pathway in E. coli occurs in an ATP-dependent manner, converting phosphonates into 5-ribosyl-α-1-diphosphate (PRPP), a central metabolite in intermediary metabolism (Figure 7) [83].
Figure 7.
Mechanism and products of the reaction catalyzed by PhnGHIJKLMOP of the C–P lyase pathway, with MePn as an example substrate. The phosphonate-derived phosphorus atom is highlighted in red. ATP: adenosine triphosphate. RTP: D-ribose-5-triphosphate. RPnTP: α-D-ribose-1-methylphosphonate-5-triphosphate. PRPn: α-D-ribose-1-methylphosphonate-5-phosphate. PRcP: α-D-ribose-1,2-cyclic-phosphate-5-phosphate. RbP: Ribose-1,5-bisphosphate. PRPP: phosphoribosyl pyrophosphate (α-D-ribose-1-diphosphate-5-phosphate).
The initial step of the C–P lyase reaction is initiated by the nucleotide phosphorylase PhnI, which catalyzes the displacement of adenine from ATP, forming D-ribose-5-triphosphate (RTP; Figure 7). In the presence of PhnGHL, the phosphonate substrate (e.g., MePn) is coupled with RTP, forming the triphosphate ester α-D-ribose-1-methylphosphonate-5-triphosphate (RPnTP). The hydrolysis of the triphosphate moiety by the phosphohydrolase PhnM yields pyrophosphate and α-D-ribose-1-methylphosphonate-5-phosphate (PRPn) [94]. The latter serves as the substrate for PhnJ, in which the C–P bond is cleaved via a strictly anaerobic S-adenosyl methionine (SAM)-dependent glycine-radical reaction mechanism to yield the alkyl group (in the case of MePn, CH4) and α-D-ribose-1,2-cyclic-phosphate-5-phosphate (PRcP) [92].
Essential for C–P lyase catalysis via PhnJ are PhnK and PhnL, two non-transport ABC proteins with ATPase activity, which bind simultaneously to the core complex, where the hydrolysis of ATP exposes the active site between PhnI and PhnJ upon the opening of the catalytic core [84]. This activity is essential for E. coli growth on phosphonates. Forming the end stages of the reaction and the incorporation of the phosphonate-derived phosphorus atom into the intermediary metabolism in E. coli, the cyclic phosphate PRcP is hydrolyzed by the phosphodiesterase PhnP, yielding RbP [95]. The phosphorylation of RbP by the ribose bisphosphokinase PhnN yields the central metabolite PRPP [96].
5.3. Role of Nonessential Subunits in the C–P Lyase Function
The PhnO protein is an N-acetyltransferase which is non-essential for the catabolism of phosphonates with the amino group at carbon 2 or higher such as AEP. The role of PhnO is the detoxification (via acetylation) of 1-aminoalkylphosphonates such as AMPA (Figure 2), a bacteriocidal breakdown product of glyphosate, before utilization as a source of phosphate [97,98]. Thus, PhnO performs an important although optional accessory function depending on the organism and on the availability of substrates. For example, S. stutzeri is deficient in PhnO (Figure 6) and lacks the ability to grow on AMPA as a source of phosphate [77]. Similarly, PhnP and PhnN are replaced in some organisms harboring variant C–P lyase operons. For example, the marine cyanobacterium T. erythraeum is capable of growth on MePn and AEP as sources of phosphate, despite lacking the PhnNOP proteins [99]. Additionally, within C–P lyase operons lacking phnP, the rcsF gene (encoding a member of the 2Hphosphodiesterase superfamily) has been noted to be uniquely associated with phn operons. A survey of the SEED database using PhnM as a query showed that, of a total of 54 bacterial operons, 27 of these co-occurred with PhnP. However, the rcsF gene was present within the 16 operons lacking phnP. This family of proteins can hydrolyze ribosyl-1′, 2′-cyclic phosphates and could potentially process the cyclic phosphodiester intermediate PRcP [95]. While best studied in bacteria, the consumption of phosphonates may be extended to archaeal organisms—for example, H. walsbyi [19] (Figure 6) and Natronomonas moolapensis [77] possess the core genes phnGHIJKLM, which are required for C–P cleavage. Analogously to the cyanobacterium T. erythraeum (Figure 6), both archaeal strains lack the accessory genes phnNOP and the regulatory protein PhnF [77]; however, there are no published data for archaeal phosphonates consumption.
The unique capacity of the C–P lyase complex to metabolize various phosphonates provides a distinct advantage to microbial species which can hence exploit both biogenic and anthropogenic phosphonates as a source of phosphate. This ability is particularly important in oceanic ecosystems which are either chronically or transiently depleted of phosphate [88,100]. The utilization of phosphonates via C–P lyase has a significant role in both phosphorus and carbon biogeochemistry coupled with aerobic CH4 production [89,101,102]. Attracting considerable scientific interest is the role of C–P lyase in the microbial mineralization of the simplest C–P bond-bearing compound, MePn, which is proposedly responsible for supersaturating CH4 concentrations in oceanic surface waters [103]. Until recently, C–P lyase was the only known biological mechanism to metabolize MePn as a source of phosphate. However, a significant revelation in terms of C–P biochemistry emerged when a novel oxidative mechanism of MePn catabolism was unveiled in the organism G. maris DSM8797 by Gama et al. [72] [Section 4].
6. Genomic and Environmental Distribution of the Known Phosphonate Degradation Pathways
The advancements in our understanding of phosphonate degradation pathways naturally raised questions about the importance of these processes for microbial communities and biogeochemical cycling. A search of bacterial genomes in the Joint Genome Institute’s Integrated Microbial Genomes and Microbiomes database found more genomes containing the phnJ gene than any other (4139; phnX = 3452 genomes; phnZ = 2688 genomes; phnA = 1524 genomes; palA = 201 genomes). Notably, the majority of these homologs belonged to Classes in the Phylum Pseudomonadota, with a combined total of 99.0% of palA, 85.0% of phnJ, 81.6% of phnZ, 80.6% of phnA, and 71.4% of phnX homologs belonging to the Alpha, Beta, and Gammaproteobacteria. The Pseudomonadota are highly diverse and abundant across ecosystems [104], suggesting that phosphonate metabolism is likely to be similarly widely distributed. The abundance of phosphonate catabolism genes in non-Pseudomonadota was highest in the Bacilli (14.7% of phnX genes) and the Actinomycetia (4.3% of phnA homologs) [36].
These trends are consistent with a previous study of genomes in the NCBI GenBank database [3] and with isolation experiments which predominantly recovered phosphonate-consuming Pseudomonadota such as Pseudomonas, Roseovarius, and Sulfitobacter species [16,59]. Despite this, some other taxa which are highly adapted to low phosphorus levels may also possess phosphonate catabolism genes, such as Trichodesmium spp. in the Class Cyanophyceae [105]. However, databases of sequenced isolates are known to be biased towards medically and industrially important organisms [106], and while growth experiments do suggest that bacteria from a wide range of environments can consume phosphonates, these studies fail to culture representatives of many taxa [107,108]. The development of metagenomic sequencing has allowed for the quantification of phosphonate catabolism genes from a much wider range of taxa within diverse ecosystems to better understand their environmental role.
6.1. Studies in Marine Systems
Large-scale marine studies have provided metagenomes from water samples across the globe, accompanied by metadata such as inorganic nutrient levels, which can be used to determine the environmental factors which drive gene abundance. Studies of these datasets generally compare the abundance of a gene of interest to markers of cell abundance, yielding estimates of the proportion of the microbial community with that gene. While these studies have shown variations in precise abundance estimates, likely due to differences in sampling and data processing approaches, clear trends are apparent (Table 1).
Table 1.
Abundance of phosphonate catabolism genes in surface waters of metagenomic databases, assessed in different studies. Values for refs. [3,8] are taken directly from the text, while those for refs. [36,39] are approximated from the respective figures. All values are the average percentage of expected genomes per sample containing the gene, except for Murphy et al. 2021 [39], who presented the median percentage of expected genomes per sample. nd: not determined.
The Global Ocean Sampling (GOS) expedition collected surface water samples from a transect across the North Atlantic to the South Pacific oceans [109]. Two analyses of the ensuing metagenomic data found that phnA was the most abundant phosphonate catabolism gene, followed by phnJ and then phnX (9%, 8%, and 1% of expected bacteria, respectively, for Martinez et al. [8], and 11.2%, 5.1%, and 1.8%, respectively, for Villarreal-Chiu et al. [3]). A qualitatively consistent result was obtained from an analysis of global surface seawater samples in the Tara Oceans dataset [110] by Murphy et al. [39], who found that the median abundance of phnA was slightly under 10% of expected bacterial cells, with median abundances of phnJ and phnX less than 1% and 0.1%, respectively. However, another analysis of the same data by Lockwood et al. [36] found the average phnJ abundances to be over 10% of expected cells, followed by phnA and then phnX (approximately 10% and 2% of cells, respectively), emphasizing the impact that different data processing approaches can have on metagenomic analysis (Table 1). The palA gene was only examined by Villarreal-Chiu et al. and Lockwood et al., who found that it was not abundant in surface waters (0.1% and <5% of expected genomes, respectively).
Significantly different abundances have also been estimated for the phnZ gene. Martinez et al. [8] and Villarreal-Chiu et al. [3] estimated that approximately 7% and 9.4%, respectively, of expected cells in the GOS data possessed phnZ, making it only slightly less abundant than phnA. By contrast, Lockwood et al. [36] found that ~20% of expected bacteria in the surface samples possessed it, making it the most abundant enzyme-coding gene in their analysis by a factor of two. However, Murphy et al. [39] noted that after AEP catabolism by PhnZ was discovered, homologs of phnZ were found, which were specific for different substrates (MePn in the case of the G. maris-like phnZ, or M3AEP in the case of tmpB; discussed in Section 4). Murphy and colleagues differentiated these subtypes and found a median AEP-phnZ abundance of <0.01% of bacteria in surface waters, making it the least abundant enzyme-coding gene in their dataset. They further estimated that the G. maris and tmpB phnZ-like genes were present in <1% of expected bacteria. Even collectively, the total abundance of phnZ-like genes in this study was significantly lower than in other studies, leaving estimates for phnZ abundance ranging from one of the least abundant to the most abundant phosphonate catalytic pathway in surface waters. This makes it difficult to form a consensus on the abundance of phnZ-like pathways in surface oceans.
The pathways for phosphonate degradation were initially thought to help marine bacteria survive in surface waters by allowing for the consumption of phosphonates when orthophosphate was scarce [111]. This would suggest that deeper waters, which tend to be more orthophosphate-rich [112], would have lower abundances of these genes. However, some strains of marine bacteria have been shown to consume phosphonates regardless of phosphate levels to acquire nitrogen, which can also be limiting in marine environments [39,113]. The Tara Oceans data do include samples from the mesopelagic, the layer of water approximately 200 to 1000 m deep which receives little to no sunlight [110]. Using these samples, Murphy et al. [39] and Lockwood et al. [36] observed either no change or an increase in the abundance of all of the enzyme-coding genes, with phnA and phnX being more abundant than phnJ, and the abundance of phnZ remaining inconsistent. This suggests a continued or increased consumption of phosphonates as nutrients sink down the water column, rather than a reduction.
NMR studies of the change in the seawater phosphonate concentration with depth have provided inconsistent results [9,114,115], but it was shown using 33P-labeled orthophosphate that some marine microbes synthesize reduced P compounds, including phosphonates, in greater quantities at a 150 m depth than a 40 m depth [116]. This suggests that marine phosphonate abundance is controlled by a complex interaction between the microbial community members capable of synthesis and/or degradation, which will likely vary according to the local depth and nutrient abundances. For example, in the Mediterranean Sea, which is extremely phosphate-limited, phnJ is the most abundant catabolic gene [36], and so presumably, an increase in broad substrate-range phosphonate catabolism leads to a more wide-ranging reduction in phosphonate abundance than if AEP-specific metabolism was predominant.
6.2. Studies in Freshwater and Soil Systems
Compared to the global-scale analyses of metagenomic datasets from marine environments, the analysis of phosphonate catabolic gene abundance in other environments is significantly more limited. A number of studies identified phosphonate metabolism, largely via C–P lyase, as an important phosphorus starvation survival mechanism in freshwater systems [117,118,119], but the abundance of different catabolism genes was not analyzed in detail. Phosphonate metabolism, predominantly via C–P lyase, also appears to be an important survival mechanism in serpentinizing hydrothermal systems [120]. Divergent phosphonate catabolism behavior has been observed in two strains of Synechococcus spp. inhabiting a hot spring microbial mat [121], suggesting important roles for phosphonates as both carbon and phosphorus sources. While this demonstrates that phosphonates are important in diverse aquatic habitats, they remain less well characterized than in marine habitats.
Similarly, while many of the bacteria in which phosphonate metabolism was first characterized were terrestrial bacteria, there are few studies of soil phosphonate metabolism. One study of global soil metagenomes observed that cropland and grassland soils had a relatively low functional redundancy of C–P lyase genes, an indication that relatively few taxa of the microbial community possessed the pathway and, therefore, that it was potentially less important for community stability. Conversely, in forest soils, the genes showed similar levels of redundancy to the phoD and phoX alkaline phosphatases, suggesting a more significant role for C–P lyase in soils which may be more depleted in phosphoesters [122]. However, estimates of the abundance per expected bacterial cells were not produced. Similarly, a study of microbial community resilience in a Chinese grassland soil sample observed that genes categorized as part of “phosphonate and phosphinate metabolism” by the Kyoto Encyclopedia of Genes and Genomes were important for maintaining community stability, although no specific genes were identified [123]. Oliverio and coworkers [124] examined metagenomes from 275 Australian soil samples, observing that genes in the “alkylphosphonate utilization” SEED category were approximately a tenth as abundant as those in the “phosphate metabolism” category, although again, specific genes were not indicated. However, the C–P lyase pathway and phnX gene were implicated as important for soils that were low in phosphate, suggesting that it is a major survival mechanism for soil bacteria, similar to some aquatic environments.
The majority of soil phosphonate studies have focused on environmental pollutants such as glyphosate, which is generally degraded via C–P lyase (discussed in Section 8), and so the study of substrate-specific pathways has been significantly neglected in this environment [125]. Better characterized is phosphonate synthesis, with one study suggesting that a diverse range of phosphonates are likely to be produced in soils [4]. It would seem logical that the soil microbiota would subsequently consume these compounds, but a better characterization of what these compounds are, as well as a quantitative study of the abundance of catalytic genes, is needed before this can be confirmed.
7. Regulation of Phosphonate Degradation Pathways
As in the case of other metabolic networks, the expression of bacterial genes involved in phosphonate catabolism is under tight control. Such control can vary substantially depending on the organism and on the pathway and can be complex and multi-layered [126,127]. Below, we try to provide some general principles on the phenomenon, while illustrating some well-studied examples of regulation.
7.1. Phosphonate Catabolism Is Usually under the Pho Regulon Control
The C–P bond cleavage systems were thought to be regulated by the two-component system phoBR [24]. It regulates the expression of genes, which together are part of the so-called Pho regulon, to acquire inorganic phosphate by catabolizing alternative P sources when the cells are under phosphate-starved conditions [128]. In the case of E. coli K12, among the genes expressed during phosphate-limiting conditions, there is the C–P lyase enzymatic complex, having the Pho box promoter upstream of the phnC gene encoding a phosphonate transporter [22,129] (see Section 2.1). Thus, the C–P lyase is part of the E. coli Pho regulon and allows the organism to grow on MePn as the P source [129]. Studies on the Pho+ E. coli strains and phoB and phoR-phoM E. coli mutants have, in fact, shown that C–P lyase synthesis is induced only in Pho+ bacteria while failing to be expressed in the other mutants [129]. In parallel, growth studies have shown that when in the presence of a growth-limiting concentration of phosphate and MePn, the organism had a lag phase with the concomitant starting of methane production after the phosphate was completely consumed [129]. A similar result was obtained with in vivo experiments on the Kluyvera ascorbata C–P lyase: in the presence of limiting concentrations of both phosphate and ethyl phosphonate, the organism started to produce ethane, accompanied by a smaller lag phase, after consuming the phosphate [82]. These results are indicative of the C–P lyase induction under only phosphate-starved conditions, allowing phosphonate compounds to be utilized only as alternative sources of P [82,129].
It has been shown that Enterobacter aerogenes possesses the gene operon for the broad-specificity C–P lyase, as well as the phnWX cluster, specific for AEP degradation [130]. Like in E. coli, the E. aerogenes C–P lyase as well as PhnX seem to be under the Pho regulon control [130]. Gene homologs for the PhnWX pathway of E. aerogenes were also found in Salmonella typhimurium [6]. As in the case of E. aerogenes [130], since the plasmid carrying the S. typhimurium phnWX operon was unable to allow for the growth of ΔphoBR E. coli mutants on AEP as the P source, the S. typhimurium PhnWX pathway may also be controlled by its Pho regulon, which acts similarly to that of E. coli [37]. Studies on P. fluorescens 23F revealed that phnX was only expressed under phosphate-starvation, rather than being phosphate-independent and substrate-inducible like phnA, as described below [131]. A detailed ‘omics’ study on three different Pseudomonas strains revealed remarkably variegated responses to phosphate depletion, suggesting that Pho regulation extended to several proteins (such as putative hydrolases, putative phosphonate transporters, and outer membrane proteins) previously not associated with P starvation [132].
7.2. Substrate-Specific Hydrolytic Pathways Expression Can Be Phosphate-Independent and Substrate-Inducible
The assumption that the C–P bond cleavage only occurs when phosphate is depleted has led to the inference that phosphonate degradation is limited to environments where phosphate is the limiting growth factor, such as in many marine environments; thus, phosphonates would be used only as a P source and not as C or N sources, since phosphate release does not allow for the complete mineralization of these compounds [133]. However, phosphonate degradation does actually occur in a phosphate-independent and substrate-inducible manner, and the enzymes involved in the phosphate-insensitive C–P bond cleavage are usually specific for a single phosphonate compound [134]. Studies on the distribution of genes for C–P cleavage in microbial genome sequences, as well as in metagenomic databases, revealed the presence of enzymes for phosphonate degradation even in marine areas where the growth-limiting element is not P but rather N [3,8,39]. In these oligotrophic environments, the phosphate-independent induction of genes for aminophosphonate degradation allows microbes to fully mineralize these compounds to have usable forms of C, N, or P [3,8,39]. Enrichment experiments using AEP as the sole N source and KH2PO4 as the P source led to the isolation of seven Alphaproteobacteria strains [113]. It was shown that all the isolates could mineralize AEP through the PhnWAY pathway since only inorganic phosphate and acetic acid were detected as products, which is consistent with metagenomic studies revealing that phnA is the most abundant gene for phosphonate catabolism among marine microbes [113]. Further studies revealed that a number of other Alphaproteobacteria possessing phnWX and phnWYA operons were also able to grow on AEP as the sole N source in the presence of phosphate [39]. In a recent, detailed study [126], Murphy et al. provided evidence that the AEP catabolism in Pseudomonas putida BIRD1 is not only under the PhoBR regulation in phosphate-limiting conditions. Specifically, phnWX gene expression also occurred under C or N depletion, and it was regulated by the two-component system regulators CbrAB and NtrBC, respectively [126].
The finding that aminophosphonate catabolism can occur in phosphate-rich marine environments increases the importance of these compounds not only in the P cycle but also in those of bioavailable N and C.
Studies on the P. putida NG2 and P. aeruginosa PAO1 PhnWX pathway for AEP degradation led to opposite conclusions to those obtained from studies on E. aerogenes and S. typhimurium, proving the presence of phosphate-independent C–P cleavage not only in marine environments but also in soil bacteria. In fact, in the two Pseudomonas isolates, the AEP degradation through the PhnWX pathway occurs regardless of the phosphate levels, allowing the cell to use AEP as a C, N, and P source [133,135]. In these organisms, the PhnWX operon was induced only when AEP was present in the medium and did not require phosphate starvation [133,135].
Another study on the degradation of several phosphonate compounds, both natural and synthetic, led to the discovery of environmental microbes capable of utilizing four of the studied phosphonates (AEP, PnAc, PnAla, and phosphonomycin) as C and energy sources with a detectable phosphate release [136].
PhnA, the key enzyme for PnAc utilization, was first found in the soil isolate P. fluorescens 23F, as described above. Afterward, other soil isolates from different regions were tested for PhnA activity, and all of them could utilize PnAc as C, P, and energy source, with phosphate release [59]. The expression of the phnA gene in the P. fluorescens 23F isolate was shown to be substrate-inducible and independent of the presence of phosphate in the medium [53,131]. Hence, the phnA gene expression was not under Pho regulation, since it was not influenced by the presence of phosphate. Not only is phnA expression phosphate-independent, but it requires the presence of PnAc as well [53,127,131]. Moreover, as the amount of PnAc in the medium increased, there was an increased activity level of PhnA in an Agromyces fucosus strain [127]. On the other hand, the same study on this organism has also revealed a possible mechanism of inhibition for PhnA driven by glucose [127]. In fact, when the organism grew on PnAc as the sole P source and pyruvate as the sole C source, phosphate was released. However, when glucose was used as the C source, no phosphate release was detected. Phosphate was also released when some disaccharides were used as C sources, indicating that when the organism is unable to use a given C source, it can metabolize the C contained in PnAc [127]. Glucose-driven repression was also shown when AEP was used as the P source but not when it was used as the sole N or N and P source [127].
The Bulkhoderia cepacia Pal6 phosphonopyruvate hydrolase, PalA, allows for the utilization of L-PnAla as the C, N, and P source by the environmental isolate [64]. In particular, cells were able to grow in phosphate-starved conditions and in the presence of PnAc as the sole P source thanks to C–P lyase activity. Instead, PalA activity was induced only when PnAla was present in the medium and regardless of the presence of phosphate [64]. These findings suggest that PalA may not belong to the Pho regulon, since its expression is phosphate-independent; instead, it is substrate-inducible, as in the case of phnA [64]. Similar results were obtained from studies on Variovorax sp. Pal2, where palA gene expression was induced only when the organism was grown on PnAla or PnAc and in a phosphate-independent manner [66].
7.3. LysR-Like Transcriptional Regulator Proteins Are Recurrent in Operons for C–P Hydrolysis
Since the ability (or inability) to degrade phosphonate is controlled at the stage of gene expression, rather than through the regulation of enzyme activity [8], and since there is clear evidence that phosphate-independent C–P bond cleavage occurs among both soil and marine microbes, alternative regulatory mechanisms should exist, not related to the PhoBR system. Evidence of this was found in studies on the C–P hydrolases neighboring regions, which led to the discovery of genes predicted to encode transcriptional regulators belonging to the LysR family.
For example, structural analysis of the P. fluorescens 23F phnA gene region has shown five more genes clustered with the hydrolase [53]. The products of three of them are putative transporters, while a gene found upstream phnA was named phnR, and its product showed high similarities to members of the LysR family of transcriptional regulators [53]. Studies on the regulation of PhnA activity have established the importance of the PhnR protein in gene expression. In fact, both PnAc and phosphonopropionate acted as inducers of phnA gene expression in clones possessing both PhnA and PhnR, while clones that possessed a non-functional PhnR were unable to grow on PnAc, suggesting that PhnR is necessary for the substrate-dependent induction of phnA [53].
The discovery and functional characterization of PhnR on P. fluorescens 23F paved the way for the construction of a biosensor capable of detecting low levels of PnAc as well as PAA and arsonoacetate with less sensitivity [137]. The PnAc “sensor region” involved the phnR gene with its promoter region, as well as part of the phnA gene with its promoter, and it was fused with the gfp gene [137]. Hence, with the presence of PnAc in the medium, this C–P compound acts as the co-inducer binding PhnR, which, in turn, induces gfp expression. With this biosensor, the lowest PnAc concentration detected was 500 nM, 100 times less than that of other available analytical methods [137].
The S. meliloti phnWAY cluster, as well as the P. putida NG2 phnWX cluster, both for AEP degradation, also include a divergently transcribed open reading frame, located upstream of the structural genes, which appears to encode a LysR-like transcriptional regulation protein [40,133]. Even in the absence of direct experimental evidence, the closeness to the phnWAY and phnWX genes led to the hypothesis that these putative transcriptional regulators could be involved, in some way, in the regulation of the pathways. On the other hand, the AEP utilization in Pseudomonas putida BIRD1 through the PhnWX pathway was shown to be under a complex dual regulation, which involves the CbrAB and NtrBC systems, as described above, and a LysR-like transcriptional regulator called AepR [126]. In fact, phnWX gene expression under C or N depletion occurred only when AEP was present as the C or N source, respectively, and when AepR was functionally active [126]. These findings revealed that AEP is likely to be the co-inducer which enables the substrate-inducible expression of phnWX through the LysR-like regulator.
An analysis of the neighboring region to the Variovorax sp. Pal2 palA gene led to the discovery of five other genes involved in PnAla uptake and degradation [23]. Among these, the palB gene encodes the enzyme involved in the first step of the pathway (Section 3), three other genes (palC, palD, and palE) encode putative transporters, and finally, palR encodes a protein highly similar to several transcriptional regulators belonging to the LysR family [66]. In this Variovorax strain, both a functional PalR and the presence of either PnAla or PnPyr are required to induce the gene operon related to PnAla degradation [66].
The transcriptional regulator proteins belonging to the LysR family are the most abundant and highly conserved among bacteria [138]. The LysR-dependent regulation involves the presence of a co-inducer which determines the protein affinity with the binding regions on the DNA and, thus, allows LysR to enhance or inhibit gene expression [138].
In conclusion, the three main C–P hydrolases, PhnX, PhnA, and PalA, are specific for different phosphonate compounds, which also act as the co-inducers for the activation of their respective catabolism. Such catabolism, in turn, would likely depend on LysR transcriptional regulators found near the structural genes.
8. The Microbial Degradation of Man-Made Phosphonates
Anthropogenic phosphonates pose a high environmental risk due to their extensive use in combination with a high water solubility [139]. As phosphonates began to be used in cleaning detergents, washing agents, and technical processes, their share of the DOP fraction started to increase significantly in free waters [140]. Today, several thousand tons of phosphonates are introduced into the environment every year. A substantial rise in phosphonate concentrations was also detected in the effluents of many European wastewater treatment plants (WWTPs), where they become increasingly problematic.
Among xenobiotic phosphonates, polyaminomethylenepolyphosphonates (polyphosphonates, PPns) and glyphosate (Figure 2) have the highest industrial importance, and their microbial degradation will thus be discussed in this section.
8.1. Polyphosphonates (PPns)
PPns typically contain more than two C–P bonds, and interest in them has grown due to their effective chelating properties. They form highly stable metal complexes with Fe, Mg, and Ca, especially at an alkaline pH [141], and thus proved to be useful additives in many industrial and household processes over the past 30 years. They are used in bulk quantities during textile and paper production, in household and industrial cleaners, and in the building materials industry; additionally, they are integral components of anticorrosives and fire retardants, are essential additives during membrane filtration, and are approved for the treatment of various bone diseases. The quantitatively most important individual compounds of this group are 2-phosphonobutane-1,2,4-tricarboxylic acid (PBTC), 1-hydroxyethane 1,1-diphosphonic acid (HEDP), nitrilotris(methylene phosphonic acid) (NTMP), ethylenediamine tetra(methylene phosphonic acid) (EDTMP), and diethylenetriamine penta(methylene phosphonic acid) (DTPMP) (Figure 2) [142]. They were shown to inhibit algal growth and oyster shell formation at relatively low concentrations, presumably due to their complexing properties, and to effect varied fish populations [13,143].
In the early 1990s, the Europe-wide consumption of polyphosphonates (excluding PBTC) was estimated to be 11,820 t/a. [141]. These numbers rose dramatically until 2012, when the European phosphonate consumption alone reached 49,000 t and the world-wide consumption reached 94,000 t, which equals a 70% increase between 1998 and 2012 [13]. Notably, Europe is the continent with the highest phosphonate consumption, and approximately 85% of the PPns in WWTPs stem from domestic use [144].
The overall microbial degradability of PPns was found to be low, and degradation rates typically range from 0 to 40%, presumably due to their slow uptake [143]. Today, various microorganisms are known to degrade biogenic and xenobiotic phosphonates, including bacteria, fungi [145], and green algae [146]. Among all studied microbes, Arthrobacter sp. GLP-1 was the only one capable of degrading HEDP, NTMP, EDTMP, and DTPMP. Most other studied organisms were found to only degrade one group of phosphonates, such as Anabaena variabilis (degrades DTPMP to N-acetyl-aminomethylphosphonate (AcAMP)) or Spirulina platensis, which effectively degrades 50% of HDTMP to AMPA (Figure 2).
Studies on PPn degradation further show a general trend towards the faster microbial degradation of nitrogen-containing PPns [13], and PPn degradation was shown to occur preferentially under phosphate-free conditions. There do not seem to be significant differences in the degree of phosphonate degradation between sludge samples which should be adapted to phosphonates and natural environmental samples [107]. Thus, PPn-degrading microorganisms seem to be ubiquitous but not necessarily abundant.
The biodegradation of PPns is the subject of much active research [147]. While the microbial breakdown of these compounds is generally a slow process, their contribution to processes such as eutrophication should not be underestimated [13]. Their microbial degradation occurs in parallel to abiotic processes such as catalytic oxidation and photolytic decomposition, especially in the presence of iron salts and at an acidic pH [78,141]. In experimental set-ups, these abiotic processes were shown to be the predominant route for PPn degradation in aqueous systems, with orthophosphate (93%) and AMPA (7%) being the major products. As a consequence, even microorganisms lacking enzymes for phosphonate degradation can indirectly use PPns as a phosphorus source [148].
8.2. Glyphosate
The single most important anthropogenic phosphonate is certainly the herbicide glyphosate (Figure 2). It was commercialized in 1974, and ever since, glyphosate production and use increased. Today, glyphosate sales account for more than 25% of the global herbicide market [25]. It interferes with the enzyme 5-enolpyruvylshikimate-3-phosphate synthase (EPSPS) of the shikimic acid pathway and thus inhibits the biosynthesis of aromatic amino acids and plant hormones [149].
Despite the controversies about the potential environmental and health issues related to extensive glyphosate use, the global production increased from 620,000 t/a in 2008 [150] to 825,000 t/a in 2014 [151]. Between 1995 and 2014, the use of glyphosate in agricultural and domestic herbicides has risen by over 12-fold, and between 2004 and 2014, 6.1 billion kg of glyphosate were used, which equals 72% of the entire used amount [152].
As a result of its extensive use, glyphosate concentrations far above the legal limits were reported in many ecosystems, and it is known to widely occur in agricultural soils, surface water sediments, and shallow groundwaters around riverbanks [153]. Rare examples even report its presence in deep groundwater. Studies show that almost 52% of the sprayed glyphosate reaches surface water bodies, mainly by deposition, and it is estimated that approximately 1% of the global cropland is polluted by glyphosate [154].
Even though microbial organisms generally rely on EPSP for the synthesis of aromatic amino acids, several resistance mechanisms towards glyphosate developed, which include the synthesis of EPSP that is insensitive towards glyphosate [77], the synthesis of an increased amount of EPSP, and the downregulation of the major glyphosate transporters [42,77]. The phosphorylation [155] or acetylation [156,157] of glyphosate are equally known detoxification strategies.
As a result, glyphosate is more readily used by microbes than PPns, and microbial degradation is the only known degradation process of glyphosate in soil [158]. Among the studied microbial species, most use glyphosate as the phosphorus source, with a few exceptions using it as a nitrogen [159,160] or carbon [161] source. Today, most known glyphosate degraders are either aerobic or facultatively anaerobic bacteria [162], with Pseudomonas spp. being the biggest bacterial group of glyphosate degraders [149,163]. The ability to degrade glyphosate is also known in the fungal genera Penicillium, Aspergillus, Fusarium, Scopulariopsis, and Trichoderma [145,164,165,166], with degradation efficiencies ranging from 40 to 100% [25]. Glyphosate degradation was also observed in plants [167] and animal cells [168] but is most likely attributed to associated microorganisms there.
In general, glyphosate degradation occurs via two different pathways, both of which involve C–P lyase and either start with C–P bond cleavage (sarcosine pathway) or C–N bond cleavage (AMPA pathway) (Figure 8) [98]. However, it was noticed that there seems to be a glyphosate-specific variant of C–P lyase present in some bacterial strains that functions differently with respect to the well-studied version from E. coli [86,87]. While glyphosate is not a substrate for C–P lyase from E. coli and S. stutzeri, it is accepted by Ochrobactrum antrhopi, S. meliloti, Agrobacterium radiobacter, Burkhoderia pseudomallei, and Nostoc sp. [77], as well as by C–P lyases from naturally isolated Klebsiella and Pantoea strains [169]. Bacterial strains with glyphosate-specific C–P lyase are typically highly efficient in their degradation under laboratory conditions. However, this often changes in natural ecosystems due to several factors, such as the fact that C–P lyase is expressed only under phosphate starvation conditions [149].
Figure 8.
Known microbial pathways for glyphosate degradation.
The dominant pathway for glyphosate usage is the AMPA pathway [3], where first, a C–N bond is broken by the flavine-dependent glyphosate oxidoreductase to yield AMPA and glyoxylate. The latter can be readily used as a carbon source by many microbial strains [170]. The resulting AMPA is, however, microbially very stable. Most microorganisms release the resulting AMPA to the environment, suggesting that genes for glyphosate detoxification and for phosphonate use as a P-source developed independently.
AMPA is also the main microbial degradation product of NTMP, EDTMP, and DTPMP in soil [171]. Its environmental relevance is controversial, and it was shown to cause DNA and chromosomal damage in fish [172]. Each year, 70 t of AMPA is released to surface waters from soil, with 63 t derived from glyphosate and 7 t derived from other aminophosphonates. Generally, AMPA degradation is a microbiological process, which increases with increasing humidity and temperature due to increased microbial activity and growth. Its soil half-life heavily depends on the exact composition of the microbial community and can range from 10 to 100 days.
There are, however, a few microbial strains [173,174,175] that effectively degrade AMPA, either by hydrolytic enzymes (phosphonatase) after transamination (a corresponding glyphosate-specific aminotransferase was identified in O. anthropi GPK 3 [176]) to give phosphate and formaldehyde [87] or by C–P lyase to give methylamine and phosphate [160]. Of these, AMPA degradation by C–P lyase is the most common strategy but only becomes possible after acetylation by PhnO (see Section 5.3) [177]. The formed AcAMPA can enter the classical C–P lyase degradation pathway and finally lead to a release of phosphate and N-methylacetamide. The latter can be further degraded to CO2 in several microorganisms [160].
The second pathway for glyphosate degradation is known as the sarcosine pathway after its major intermediate. In this case, glyphosate directly undergoes C–P bond cleavage by C–P lyase to give sarcosine and phosphate [174]. While the sarcosine pathway is favorable from a thermodynamic point of view (producing both N and P as nutrients), after very short culture times (typically within 10 days), most microbial cultures favor the AMPA pathway. This observation was speculated to prevent ammonia overflow in cells. However, there are certainly also other factors influencing the shift between both known major glyphosate degradation pathways such as the availability of phosphate [77,178]. As a consequence, the sarcosine pathway has so far only been observed in experimental set-ups. The ability to degrade glyphosate to sarcosine was, however, equally detected in bacteria from glyphosate-polluted soil and in strains that were never exposed to glyphosate before. This suggests the existence of natural compounds of a similar structure that might serve as substrates for the involved glyphosate-specific C–P lyase [176]. The resulting sarcosine can be further metabolized to glycine and formaldehyde under the action of sarcosine oxidase and thus finally yield CO2 and NH3 [158].
Apart from these two major microbial degradation pathways, other enzymes are also known to be involved in glyphosate degradation such as glycine oxidase [177].
9. Concluding Remarks
The microbial degradation of phosphonates is a very active area of research, given the wide-ranging involvement of phosphonates in biology, ecology, and geochemistry. Studies in the field keep revealing a remarkable diversity of catalytic tools and biochemical pathways that microorganisms employ to catabolize phosphonates [1,8,23,179]. This, in turn, provides a better understanding of the role of phosphonates in the global biogeochemical P-cycling and may be helpful in view of bioremediation efforts concerning the anthropogenic phosphonate pollutants.
As outlined in this review, a large number of studies in the last few decades have led to exciting discoveries and to a much better understanding of the topic. However, many challenges remain ahead, a few of which are outlined below.
For example, future work investigating the regulation of C–P lyase and organisms harboring variant C–P lyase operons including archaeal organisms would provide an in-depth understanding of the uses of the enzyme system in nature.
Additionally, while the biochemistry of phosphonate degradation is increasingly well understood, the biogeochemical role of these pathways is still comparatively poorly characterized. While traditionally viewed as a method for obtaining P by P-starved microorganisms, there is an increasing amount of culture, metagenomic, and transcriptomic data showing that phosphonates can be consumed under abundant phosphate levels as a source of N or C. Further study of phosphonate turnover may reveal whether providing phosphorus is the major environmental function of phosphonate catabolism pathways or if this catabolism is largely driven by the need to obtain C or N or by other factors entirely.
Furthermore, while the scope of this review was focused on phosphonate catabolism, characterizing the reasons for synthesizing these molecules will also be needed to complete our understanding of their environmental metabolism. Recent work has shown that bacteria can produce specific phosphonate products as antimicrobials and pathogenic agents (e.g., [180,181]), but the function(s) of common phosphonates like AEP and MePn remain poorly defined. There is some evidence to suggest that the production of P compounds including phosphonates may facilitate interactions between closely associated microbes [116] and that they may also protect cells from grazing and lysis [182]. Attempting to empirically demonstrate these functions will be essential for understanding how and when these molecules become available for catabolism.
Finally, while there is much left to discover about phosphonate cycling in prokaryotes, phosphonates remain even more cryptic in eukaryotes, even though these molecules were originally found in eukaryotic cells. The recent progress that has been made in phosphonate biochemistry has significantly improved our understanding of how these molecules can be catabolized, but much remains to be learned about their synthesis and function in cells and environments.
Author Contributions
All authors contributed to writing the initial draft of this review article and to preparing the associated visual items. All authors have read and agreed to the published version of the manuscript.
Funding
The work on phosphonate metabolism in A.P.’s laboratory is supported by an FIL–Bando di Ateneo per la Ricerca 2021, Azione A- from the University of Parma. K.P. greatly acknowledges the financial support of the Austrian Science Fund (FWF): P27987-N28. L.M. is supported by the Postgraduate Studentship Scheme from the Department for Economy, Northern Ireland, UK.
Acknowledgments
The work in A.P.’s laboratory has benefited from the framework of the COMP-R Initiative, funded by the ‘Departments of Excellence’ program of the Italian Ministry for University and Research (MUR, 2023-2027).
Conflicts of Interest
The authors declare no conflict of interest.
References
- Horsman, G.P.; Zechel, D.L. Phosphonate Biochemistry. Chem. Rev. 2017, 117, 5704–5783. [Google Scholar] [CrossRef]
- Black, S.; Morel, B.; Zapf, P. Verification of the Chemical Convention. Nature 1991, 351, 515–516. [Google Scholar] [CrossRef]
- Villarreal-Chiu, J.F.; Quinn, J.P.; McGrath, J.W. The Genes and Enzymes of Phosphonate Metabolism by Bacteria, and Their Distribution in the Marine Environment. Front. Microbiol. 2012, 3, 19. [Google Scholar] [CrossRef] [PubMed]
- Yu, X.; Doroghazi, J.R.; Janga, S.C.; Zhang, J.K.; Circello, B.; Griffin, B.M.; Labeda, D.P.; Metcalf, W.W. Diversity and Abundance of Phosphonate Biosynthetic Genes in Nature. Proc. Natl. Acad. Sci. USA 2013, 110, 20759–20764. [Google Scholar] [CrossRef] [PubMed]
- Li, S.; Horsman, G.P. An Inventory of Early Branch Points in Microbial Phosphonate Biosynthesis. Microb. Genom. 2022, 8, 000781. [Google Scholar] [CrossRef]
- Wieczorek, D.; Żyszka-haberecht, B.; Kafka, A.; Lipok, J. Phosphonates as Unique Components of Plant Seeds—A Promising Approach to Use Phosphorus Profiles in Plant Chemotaxonomy. Int. J. Mol. Sci. 2021, 22, 11501. [Google Scholar] [CrossRef] [PubMed]
- Kilby, P.M.; Radda, G.K.; Wegener, G. 2-Aminoethylphosphonic Acid Is the Main Phosphorus Compound in Locust Hemolymph. Naturwissenschaften 1991, 78, 514–517. [Google Scholar] [CrossRef]
- Martinez, A.; Tyson, G.W.; DeLong, E.F. Widespread Known and Novel Phosphonate Utilization Pathways in Marine Bacteria Revealed by Functional Screening and Metagenomic Analyses. Environ. Microbiol. 2010, 12, 222–238. [Google Scholar] [CrossRef] [PubMed]
- Clark, L.L.; Ingall, E.D.; Benner, R. Marine Phosphorus Is Selectively Remineralized. Nature 1998, 393, 426. [Google Scholar] [CrossRef]
- Kolowith, L.C.; Ingall, E.D.; Benner, R. Composition and Cycling of Marine Organic Phosphorus. Limnol. Oceanogr. 2001, 46, 309–320. [Google Scholar] [CrossRef]
- Newman, R.H.; Tate, K.R. Soil Phosphorus Characterisation By 31P Nuclear Magnetic Resonance. Commun. Soil. Sci. Plant Anal. 1980, 11, 835–842. [Google Scholar] [CrossRef]
- Vestergren, J.; Vincent, A.G.; Jansson, M.; Persson, P.; Ilstedt, U.; Gröbner, G.; Giesler, R.; Schleucher, J. High-Resolution Characterization of Organic Phosphorus in Soil Extracts Using 2D 1H-31P NMR Correlation Spectroscopy. Environ. Sci. Technol. 2012, 46, 3950–3956. [Google Scholar] [CrossRef] [PubMed]
- Rott, E.; Steinmetz, H.; Metzger, J.W. Organophosphonates: A Review on Environmental Relevance, Biodegradability and Removal in Wastewater Treatment Plants. Sci. Total Environ. 2018, 615, 1176–1191. [Google Scholar] [CrossRef] [PubMed]
- Kononova, S.V.; Nesmeyanova, M.A. Phosphonates and Their Degradation by Microorganisms. Biochemistry 2002, 67, 184–195. [Google Scholar] [PubMed]
- Fox, E.M.; Mendz, G.L. Phosphonate Degradation in Microorganisms. Enzyme Microb. Technol. 2006, 40, 145–150. [Google Scholar] [CrossRef]
- Sosa, O.A.; Repeta, D.J.; Ferrón, S.; Bryant, J.A.; Mende, D.R.; Karl, D.M.; DeLong, E.F. Isolation and Characterization of Bacteria That Degrade Phosphonates in Marine Dissolved Organic Matter. Front. Microbiol. 2017, 8, 1786. [Google Scholar] [CrossRef]
- Krzyśko-Lupicka, T.; Strof, W.; Kubsâ, K.; Skorupa, M.; Wieczorek, P.; Lejczak, B.; Kafarski, P. The Ability of Soil-Borne Fungi to Degrade Organophosphonate Carbon-to-Phosphorus Bonds. Appl. Microbiol. Biotechnol. 1997, 48, 549–552. [Google Scholar] [CrossRef]
- Klimek-Ochab, M. Phosphate-Independent Utilization of Phosphonoacetic Acid as Sole Phosphorus Source by a Psychrophilic Strain of Geomyces pannorum P15. Folia Microbiol. 2014, 59, 375–380. [Google Scholar] [CrossRef][Green Version]
- Bolhuis, H.; Palm, P.; Wende, A.; Falb, M.; Rampp, M.; Rodriguez-Valera, F.; Pfeiffer, F.; Oesterhelt, D. The Genome of the Square Archaeon Haloquadratum walsbyi: Life at the Limits of Water Activity. BMC Genom. 2006, 7, 169. [Google Scholar] [CrossRef]
- Lawrence, J.G.; Roth, J.R. Selfish Operons: Horizontal Transfer May Drive the Evolution of Gene Clusters. Genetics 1996, 143, 184–1860. [Google Scholar] [CrossRef]
- Manav, M.C.; Sofos, N.; Hove-Jensen, B.; Brodersen, D.E. The Abc of Phosphonate Breakdown: A Mechanism for Bacterial Survival. BioEssays 2018, 40, e1800091. [Google Scholar] [CrossRef] [PubMed]
- Stosiek, N.; Klimek-Ochab, M. Carbon-Phosphorus Lyase—The State of the Art. Appl. Biochem. Biotechnol. 2020, 190, 1525–1552. [Google Scholar] [CrossRef] [PubMed]
- Pallitsch, K.; Zechel, D.L. The Functional Importance of Bacterial Oxidative Phosphonate Pathways. Biochem. Soc. Trans. 2023, 51, 487–499. [Google Scholar] [CrossRef]
- Ternan, N.G.; Grath, J.W.M.; Mullan, G.M.; Quinn, J.P. Organophosphonates: Occurrence, Synthesis and Biodegradation by Microorganisms. World J. Microbiol. Biotechnol. 1998, 14, 635–647. [Google Scholar] [CrossRef]
- McGrath, J.W.; Chin, J.P.; Quinn, J.P. Organophosphonates Revealed: New Insights into the Microbial Metabolism of Ancient Molecules. Nat. Rev. Microbiol. 2013, 11, 412–419. [Google Scholar] [CrossRef] [PubMed]
- Martín, J.F.; Liras, P. Molecular Mechanisms of Phosphate Sensing, Transport and Signalling in Streptomyces and Related Actinobacteria. Int. J. Mol. Sci. 2021, 22, 1129. [Google Scholar] [CrossRef]
- Mulligan, C.; Fischer, M.; Thomas, G.H. Tripartite ATP-Independent Periplasmic (TRAP) Transporters in Bacteria and Archaea. FEMS Microbiol. Rev. 2011, 35, 68–86. [Google Scholar] [CrossRef]
- Rugg, S.J. Characterisation of Bacterial Phosphonate Transporters and Their Application as Glyphosate Biosensors. Ph.D. Thesis, University of York, York, UK, 2018. [Google Scholar]
- Alicea, I.; Marvin, J.S.; Miklos, A.E.; Ellington, A.D.; Looger, L.L.; Schreiter, E.R. Structure of the Escherichia coli Phosphonate Binding Protein PhnD and Rationally Optimized Phosphonate Biosensors. J. Mol. Biol. 2011, 414, 356–369. [Google Scholar] [CrossRef]
- Stasi, R.; Neves, H.I.; Spira, B. Phosphate Uptake by the Phosphonate Transport System PhnCDE. BMC Microbiol. 2019, 19, 79. [Google Scholar] [CrossRef]
- Rao, N.N.; Torriani, A. Molecular Aspects of Phosphate Transport in Escherichia coli. Mol. Microbiol. 1990, 4, 1083–1090. [Google Scholar] [CrossRef]
- Cowan, S.W.; Schirmer, T.; Rummel, G.; Steiert, M.; Ghosh, R.; Pauptit, R.A.; Jansonius, J.N.; Rosenbusch, J.P. Crystal Structures Explain Functional Properties of Two E. coli Porins. Nature 1992, 358, 727–733. [Google Scholar] [CrossRef] [PubMed]
- Rizk, S.S.; Cuneo, M.J.; Hellinga, H.W. Identification of Cognate Ligands for the Escherichia coli phnD Protein Product and Engineering of a Reagentless Fluorescent Biosensor for Phosphonates. Protein Sci. 2006, 15, 1745–1751. [Google Scholar] [CrossRef] [PubMed]
- Bernhard, M.; Diefenbach, M.; Biesalski, M.; Laube, B. Electrical Sensing of Phosphonates by Functional Coupling of Phosphonate Binding Protein PhnD to Solid-State Nanopores. ACS Sens. 2020, 5, 234–241. [Google Scholar] [CrossRef]
- Hilderbrand, R.L.; Henderson, T. Phosphonic Acids in Nature. In The Role of Phosphonates in Living Systems; Hilderbrand, R.L., Ed.; CRC Press: Boca Raton, FL, USA, 1983; pp. 5–28. [Google Scholar]
- Lockwood, S.; Greening, C.; Baltar, F.; Morales, S.E. Global and Seasonal Variation of Marine Phosphonate Metabolism. ISME J. 2022, 16, 2198–2212. [Google Scholar] [CrossRef] [PubMed]
- Jiang, W.; Metcalf, W.W.; Lee, K.-S.; Wanner, B.L. Molecular Cloning, Mapping, and Regulation of Pho Regulon Genes for Phosphonate Breakdown by the Phosphonatase Pathway of Salmonella typhimurium LT2. J. Bacteriol. 1995, 177, 6411–6421. [Google Scholar] [CrossRef] [PubMed]
- Kim, A.D.; Baker, A.S.; Dunaway-Mariano, D.; Metcalf, W.W.; Wanner, B.L.; Martin, B.M. The 2-Aminoethylphosphonate-Specific Transaminase of the 2-Aminoethylphosphonate Degradation Pathway. J. Bacteriol. 2002, 184, 4134–4140. [Google Scholar] [CrossRef]
- Murphy, A.R.J.; Scanlan, D.J.; Chen, Y.; Adams, N.B.P.; Cadman, W.A.; Bottrill, A.; Bending, G.; Hammond, J.P.; Hitchcock, A.; Wellington, E.M.H.; et al. Transporter Characterisation Reveals Aminoethylphosphonate Mineralisation as a Key Step in the Marine Phosphorus Redox Cycle. Nat. Commun. 2021, 12, 4554. [Google Scholar] [CrossRef]
- Borisova, S.A.; Christman, H.D.; Mourey Metcalf, M.E.; Zulkepli, N.A.; Zhang, J.K.; Van Der Donk, W.A.; Metcalf, W.W. Genetic and Biochemical Characterization of a Pathway for the Degradation of 2-Aminoethylphosphonate in Sinorhizobium meliloti 1021. J. Biol. Chem. 2011, 286, 22283–22290. [Google Scholar] [CrossRef]
- Voegele, R.T.; Bardin, S.; Finan, T.M. Characterization of the Rhizobium (Sinorhizobium) meliloti High- and Low-Affinity Phosphate Uptake Systems. J. Bacteriol. 1997, 179, 7226–7232. [Google Scholar] [CrossRef]
- Wicke, D.; Schulz, L.M.; Lentes, S.; Scholz, P.; Poehlein, A.; Gibhardt, J.; Daniel, R.; Ischebeck, T.; Commichau, F.M. Identification of the First Glyphosate Transporter by Genomic Adaptation. Environ. Microbiol. 2019, 21, 1287–1305. [Google Scholar] [CrossRef]
- Chen, C.C.H.; Zhang, H.; Kim, A.D.; Howard, A.; Sheldrick, G.M.; Mariano-Dunaway, D.; Herzberg, O. Degradation Pathway of the Phosphonate Ciliatine: Crystal Structure of 2-Aminoethylphosphonate Transaminase. Biochemistry 2002, 41, 13162–13169. [Google Scholar] [CrossRef]
- Jia, H.; Chen, Y.; Chen, Y.; Liu, R.; Zhang, Q.; Bartlam, M. Structural Characterization of a 2-Aminoethylphosphonate:Pyruvate Aminotransferase from Pseudomonas aeruginosa PAO1. Biochem. Biophys. Res. Commun. 2021, 552, 114–119. [Google Scholar] [CrossRef]
- Zangelmi, E.; Stanković, T.; Malatesta, M.; Acquotti, D.; Pallitsch, K.; Peracchi, A. Discovery of a New, Recurrent Enzyme in Bacterial Phosphonate Degradation: (R)-1-Hydroxy-2-Aminoethylphosphonate Ammonia-Lyase. Biochemistry 2021, 60, 1214–1225. [Google Scholar] [CrossRef]
- Zangelmi, E.; Ruffolo, F.; Dinhof, T.; Gerdol, M.; Malatesta, M.; Chin, J.P.; Rivetti, C.; Secchi, A.; Pallitsch, K.; Peracchi, A. Deciphering the Role of Recurrent FAD-Dependent Enzymes in Bacterial Phosphonate Catabolism. iScience, 2023; accepted for publication. [Google Scholar] [CrossRef]
- La Nauze, J.M.; Rosenberg, H. The Breakdown of Aminoethylphosphonate by Cell-Free Extracts of Bacillus cereus. Biochim. Biophys. Acta 1967, 148, 811–813. [Google Scholar] [CrossRef]
- La Nauze, J.M.; Rosenberg, H.; Shaw, D.C. The Enzymic Cleavage of the Carbon-Phosphorus Bond: Purification and Properties of Phosphonatase. Biochim. Biophys. Acta 1970, 212, 332–350. [Google Scholar] [CrossRef] [PubMed]
- Dumora, C.; Lacoste, A.-M.; Cassaigne, A. Phosphonoacetaldehyde Hydrolase from Pseudomonas aeuginosa: Purification Properties and Comparison with Bacillus cereus Enzyme. Biochim. Biophys. Acta 1989, 997, 193–198. [Google Scholar] [CrossRef] [PubMed]
- Baker, A.S.; Ciocci, M.J.; Metcalf, W.W.; Kim, J.; Babbitt, P.C.; Wanner, B.L.; Martin, B.M.; Dunaway-Mariano, D. Insights into the Mechanism of Catalysis by the P-C Bond-Cleaving Enzyme Phosphonoacetaldehyde Hydrolase Derived from Gene Sequence Analysis and Mutagenesis. Biochemistry 1998, 37, 9305–9315. [Google Scholar] [CrossRef]
- Morais, M.C.; Zhang, W.; Baker, A.S.; Zhang, G.; Dunaway-Mariano, D.; Allen, K.N. The Crystal Structure of Bacillus cereus Phosphonoacetaldehyde Hydrolase: Insight into Catalysis of Phosphorus Bond Cleavage and Catalytic Diversification within the HAD Enzyme Superfamily. Biochemistry 2000, 39, 10385–10396. [Google Scholar] [CrossRef]
- Cui, Y.; Lin, X.; Zhang, H.; Lin, L.; Lin, S. PhnW-PhnX Pathway in Dinoflagellates Not Functional to Utilize Extracellular Phosphonates. Front. Mar. Sci. 2016, 2, 120. [Google Scholar] [CrossRef]
- Kulakova, A.N.; Kulakov, L.A.; Akulenko, N.V.; Ksenzenko, V.N.; Hamilton, J.T.G.; Quinn, J.P. Structural and Functional Analysis of the Phosphonoacetate Hydrolase (phnA) Gene Region in Pseudomonas fluorescens 23F. J. Bacteriol. 2001, 183, 3268–3275. [Google Scholar] [CrossRef]
- Cooley, N.A.; Kulakova, A.N.; Villarreal-Chiu, J.F.; Gilbert, J.A.; McGrath, J.W.; Quinn, J.P. Phosphonoacetate Biosynthesis: In Vitro Detection of a Novel NADP+-Dependent Phosphonoacetaldehyde-Oxidizing Activity in Cell-Extracts of a Marine Roseobacter. Microbiology 2011, 80, 335–340. [Google Scholar] [CrossRef]
- Kim, A.; Benning, M.M.; OkLee, S.; Quinn, J.; Martin, B.M.; Holden, H.M.; Dunaway-Mariano, D. Divergence of Chemical Function in the Alkaline Phosphatase Superfamily: Structure and Mechanism of the P-C Bond Cleaving Enzyme Phosphonoacetate Hydrolase. Biochemistry 2011, 50, 3481–3494. [Google Scholar] [CrossRef] [PubMed]
- Mcmullan, G.; Quinn, J.P. Detection of a Novel Carbon-Phosphorus Bond Cleavage Activity in Cell-Free Extracts of an Environmental Pseudomonas fluorescens Isolate. Biochem. Biophys. Res. Commun. 1992, 184, 1022–1027. [Google Scholar] [CrossRef] [PubMed]
- Mcmullan, G.; Harrington, F.; Quinn, J.P. Metabolism of Phosphonoacetate as the Sole Carbon and Phosphorus Source by an Environmental Bacterial Isolate. Appl. Environ. Microbiol. 1992, 58, 1364–1366. [Google Scholar] [CrossRef] [PubMed]
- McGrath, J.W.; Wisdom, G.B.; McMullan, G.; Larkin, M.J.; Quinn, J.P. The Purification and Properties of Phosphonoacetate Hydrolase, a Novel Carbon-Phosphorus Bond-Cleavage Enzyme from Pseudomonas fluorescens 23F. Eur. J. Biochem. 1995, 234, 225–230. [Google Scholar] [CrossRef]
- Panas, P.; Ternan, N.G.; Dooley, J.S.G.; McMullan, G. Detection of Phosphonoacetate Degradation and phnA Genes in Soil Bacteria from Distinct Geographical Origins Suggest Its Possible Biogenic Origin. Environ. Microbiol. 2006, 8, 939–945. [Google Scholar] [CrossRef] [PubMed]
- Thomas, S.; Burdett, H.; Temperton, B.; Wick, R.; Snelling, D.; McGrath, J.W.; Quinn, J.P.; Munn, C.; Gilbert, J.A. Evidence for Phosphonate Usage in the Coral Holobiont. ISME J. 2010, 4, 459–461. [Google Scholar] [CrossRef] [PubMed]
- Caescu, C.I.; Vidal, O.; Krzewinski, F.; Artenie, V.; Bouquelet, S. Bifidobacterium longum Requires a Fructokinase (Frk; ATP:D-Fructose 6-Phosphotransferase, EC 2.7.1.4) for Fructose Catabolism. J. Bacteriol. 2004, 186, 6515–6525. [Google Scholar] [CrossRef]
- Kentache, T.; Thabault, L.; Peracchi, A.; Frédérick, R.; Bommer, G.T.; Van Schaftingen, E. The Putative Escherichia coli Dehydrogenase YjhC Metabolises Two Dehydrated Forms of N-Acetylneuraminate Produced by Some Sialidases. Biosci. Rep. 2020, 40, BSR20200927. [Google Scholar] [CrossRef]
- Quin, L.D.; Quin, G.S. Screening for Carbon-Bound Phosphorus in Marine Animals by High-Resolution 31P-NMR Spectroscopy: Coastal and Hydrothermal Vent Invertebrates. Comp. Biochem. Physiol. B Biochem. Mol. Biol. 2001, 128, 173–185. [Google Scholar] [CrossRef]
- Ternan, N.G.; Hamilton, J.; Quinn, J.P. Initial in Vitro Characterisation of Phosphonopyruvate Hydrolase, a Novel Phosphate Starvation-Independent, Carbon-Phosphorus Bond Cleavage Enzyme in Burkholderia cepacia Pal6. Arch. Microbiol. 2000, 173, 35–41. [Google Scholar] [CrossRef] [PubMed]
- Kulakova, A.N.; Wisdom, G.B.; Kulakov, L.A.; Quinn, J.P. The Purification and Characterization of Phosphonopyruvate Hydrolase, a Novel Carbon-Phosphorus Bond Cleavage Enzyme from Variovorax sp. Pal2. J. Biol. Chem. 2003, 278, 23426–23431. [Google Scholar] [CrossRef] [PubMed]
- Kulakova, A.N.; Kulakov, L.A.; Villarreal-Chiu, J.F.; Gilbert, J.A.; McGrath, J.W.; Quinn, J.P. Expression of the Phosphonoalanine-Degradative Gene Cluster from Variovorax sp. Pal2 Is Induced by Growth on Phosphonoalanine and Phosphonopyruvate. FEMS Microbiol. Lett. 2009, 292, 100–106. [Google Scholar] [CrossRef] [PubMed]
- Van Staalduinen, L.M.; McSorley, F.R.; Schiessl, K.; Séguin, J.; Wyatt, P.B.; Hammerschmidt, F.; Zechel, D.L.; Jia, Z. Crystal Structure of PhnZ in Complex with Substrate Reveals a Di-Iron Oxygenase Mechanism for Catabolism of Organophosphonates. Proc. Natl. Acad. Sci. USA 2014, 111, 5171–5176. [Google Scholar] [CrossRef]
- McSorley, F.R.; Wyatt, P.B.; Martinez, A.; DeLong, E.F.; Hove-Jensen, B.; Zechel, D.L. PhnY and PhnZ Comprise a New Oxidative Pathway for Enzymatic Cleavage of a Carbon—Phosphorus Bond. J. Am. Chem. Soc. 2012, 134, 8364–8367. [Google Scholar] [CrossRef]
- Wörsdörfer, B.; Lingaraju, M.; Yennawar, N.H.; Boal, A.K.; Krebs, C.; Bollinger, J.M.; Pandelia, M.E. Organophosphonate-Degrading PhnZ Reveals an Emerging Family of HD Domain Mixed-Valent Diiron Oxygenases. Proc. Natl. Acad. Sci. USA 2013, 110, 18874–18879. [Google Scholar] [CrossRef]
- Langton, M.; Sun, S.; Ueda, C.; Markey, M.; Chen, J.; Paddy, I.; Jiang, P.; Chin, N.; Milne, A.; Pandelia, M.E. The HD-Domain Metalloprotein Superfamily: An Apparent Common Protein Scaffold with Diverse Chemistries. Catalysts 2020, 10, 1191. [Google Scholar] [CrossRef]
- Bollinger, J.M.; Diao, Y.; Matthews, M.L.; Xing, G.; Krebs, C. Myo-Inositol Oxygenase: A Radical New Pathway for O2 and C–H Activation at a Nonheme Diiron Cluster. Dalton Trans. 2009, 905–914. [Google Scholar] [CrossRef]
- Gama, S.R.; Vogt, M.; Kalina, T.; Hupp, K.; Hammerschmidt, F.; Pallitsch, K.; Zechel, D.L. An Oxidative Pathway for Microbial Utilization of Methylphosphonic Acid as a Phosphate Source. ACS Chem. Biol. 2019, 14, 735–741. [Google Scholar] [CrossRef]
- Sosa, O.A.; Casey, J.R.; Karl, D.M. Methylphosphonate Oxidation in Prochlorococcus Strain MIT9301 Supports Phosphate Acquisition, Formate Excretion, and Carbon Assimilation into Purines. Appl. Environ. Microbiol. 2019, 85, e00289-19. [Google Scholar] [CrossRef]
- Rajakovich, L.J.; Pandelia, M.E.; Mitchell, A.J.; Chang, W.C.; Zhang, B.; Boal, A.K.; Krebs, C.; Bollinger, J.M. A New Microbial Pathway for Organophosphonate Degradation Catalyzed by Two Previously Misannotated Non-Heme-Iron Oxygenases. Biochemistry 2019, 58, 1627–1647. [Google Scholar] [CrossRef] [PubMed]
- Rajakovich, L.J.; Zhang, B.; McBride, M.J.; Boal, A.K.; Krebs, C.; Martin Bollinger, J. Emerging Structural and Functional Diversity in Proteins With Dioxygen-Reactive Dinuclear Transition Metal Cofactors. In Comprehensive Natural Products III; Liu, H.-W., Begley, T.P., Eds.; Elsevier: Oxford, UK, 2020; pp. 215–250. [Google Scholar]
- Langton, M.; Appell, M.; Koob, J.; Pandelia, M.-E. Domain Fusion of Two Oxygenases Affords Organophosphonate Degradation in Pathogenic Fungi. Biochemistry 2022, 61, 956–962. [Google Scholar] [CrossRef]
- Hove-Jensen, B.; Zechel, D.L.; Jochimsen, B. Utilization of Glyphosate as Phosphate Source: Biochemistry and Genetics of Bacterial Carbon-Phosphorus Lyase. Microbiol. Mol. Biol. Rev. 2014, 78, 176–197. [Google Scholar] [CrossRef] [PubMed]
- Nowack, B. Environmental Chemistry of Phosphonates. Water Res. 2003, 37, 2533–2546. [Google Scholar] [CrossRef]
- Singh, S.; Kumar, V.; Gill, J.P.K.; Datta, S.; Singh, S.; Dhaka, V.; Kapoor, D.; Wani, A.B.; Dhanjal, D.S.; Kumar, M.; et al. Herbicide Glyphosate: Toxicity and Microbial Degradation. Int. J. Environ. Res. Public. Health 2020, 17, 7519. [Google Scholar] [CrossRef] [PubMed]
- Ingall, E.D. Making Methane. Nat. Geosci. 2008, 1, 420. [Google Scholar] [CrossRef]
- Chin, J.P.; McGrath, J.W.; Quinn, J.P. Microbial Transformations in Phosphonate Biosynthesis and Catabolism, and Their Importance in Nutrient Cycling. Curr. Opin. Chem. Biol. 2016, 31, 50–57. [Google Scholar] [CrossRef]
- Wackett, L.P.; Shames, S.L.; Venditti, C.P.; Walsh, C.T. Bacterial Carbon-Phosphorus Lyase: Products, Rates, and Regulation of Phosphonic and Phosphinic Acid Metabolism. J. Bacteriol. 1987, 169, 710–717. [Google Scholar] [CrossRef]
- Seweryn, P.; Van, L.B.; Kjeldgaard, M.; Russo, C.J.; Passmore, L.A.; Hove-Jensen, B.; Jochimsen, B.; Brodersen, D.E. Structural Insights into the Bacterial Carbon-Phosphorus Lyase Machinery. Nature 2015, 525, 68–72. [Google Scholar] [CrossRef] [PubMed]
- Amstrup, S.K.; Ong, S.C.; Sofos, N.; Karlsen, J.L.; Skjerning, R.B.; Boesen, T.; Enghild, J.J.; Hove-Jensen, B.; Brodersen, D.E. Structural Remodelling of the Carbon–Phosphorus Lyase Machinery by a Dual ABC ATPase. Nat. Commun. 2023, 14, 1001. [Google Scholar] [CrossRef] [PubMed]
- Metcalf, W.W.; Wanner, B.L. Evidence for a Fourteen-Gene, PhnC to PhnP Locus for Phosphonate Metabolism in Escherichia coli. Gene 1993, 129, 27–32. [Google Scholar] [CrossRef] [PubMed]
- Kertesz, M.; Elgorriaga, A.; Amrhein, N. Evidence for Two Distinct Phosphonate-Degrading Enzymes (C-P Lyases) in Arthrobacter sp. GLP-1. Biodegradation 1991, 2, 53–59. [Google Scholar] [CrossRef]
- Sviridov, A.V.; Shushkova, T.V.; Zelenkova, N.F.; Vinokurova, N.G.; Morgunov, I.G.; Ermakova, I.T.; Leontievsky, A.A. Distribution of Glyphosate and Methylphosphonate Catabolism Systems in Soil Bacteria Ochrobactrum anthropi and Achromobacter sp. Appl. Microbiol. Biotechnol. 2012, 93, 787–796. [Google Scholar] [CrossRef] [PubMed]
- Sosa, O.A.; Repeta, D.J.; DeLong, E.F.; Ashkezari, M.D.; Karl, D.M. Phosphate-Limited Ocean Regions Select for Bacterial Populations Enriched in the Carbon–Phosphorus Lyase Pathway for Phosphonate Degradation. Environ. Microbiol. 2019, 21, 2402–2414. [Google Scholar] [CrossRef]
- Karl, D.M.; Beversdorf, L.; Björkman, K.M.; Church, M.J.; Martinez, A.; Delong, E.F. Aerobic Production of Methane in the Sea. Nat. Geosci. 2008, 1, 473–478. [Google Scholar] [CrossRef]
- Harrison, K.J.; de Crécy-Lagard, V.; Zallot, R. Gene Graphics: A Genomic Neighborhood Data Visualization Web Application. Bioinformatics 2018, 34, 1406–1408. [Google Scholar] [CrossRef]
- Gebhard, S.; Cook, G.M. Differential Regulation of High-Affinity Phosphate Transport Systems of Mycobacterium smegmatis: Identification of PhnF, a Repressor of the phnDCE Operon. J. Bacteriol. 2008, 190, 1335–1343. [Google Scholar] [CrossRef]
- Kamat, S.S.; Williams, H.J.; Raushel, F.M. Intermediates in the Transformation of Phosphonates to Phosphate by Bacteria. Nature 2011, 480, 570–573. [Google Scholar] [CrossRef]
- Yang, K.; Ren, Z.; Raushel, F.M.; Zhang, J. Structures of the Carbon-Phosphorus Lyase Complex Reveal the Binding Mode of the NBD-like PhnK. Structure 2016, 24, 37–42. [Google Scholar] [CrossRef]
- Jochimsen, B.; Lolle, S.; McSorley, F.R.; Nabi, M.; Stougaard, J.; Zechel, D.L.; Hove-Jensen, B. Five Phosphonate Operon Gene Products as Components of a Multi-Subunit Complex of the Carbon-Phosphorus Lyase Pathway. Proc. Natl. Acad. Sci. USA 2011, 108, 11393–11398. [Google Scholar] [CrossRef] [PubMed]
- Podzelinska, K.; He, S.-M.; Wathier, M.; Yakunin, A.; Proudfoot, M.; Hove-Jensen, B.; Zechel, D.L.; Jia, Z. Structure of PhnP, a Phosphodiesterase of the Carbon-Phosphorus Lyase Pathway for Phosphonate Degradation. J. Biol. Chem. 2009, 284, 17216–17226. [Google Scholar] [CrossRef]
- Hove-Jensen, B.; Rosenkrantz, T.J.; Andreas, H.A.; Wanner, B.L. Escherichia poli phnN, Encoding Ribose 1,5-Bisphosphokinase Activity (Phosphoribosyl Diphosphate Forming): Dual Role in Phosphonate Degradation and NAD Biosynthesis Pathways. J. Bacteriol. 2003, 185, 2793–2801. [Google Scholar] [CrossRef] [PubMed]
- Errey, J.C.; Blanchard, J.S. Functional Annotation and Kinetic Characterization of PhnO from Salmonella enterica. Biochemistry 2006, 45, 3033–3039. [Google Scholar] [CrossRef] [PubMed][Green Version]
- Hove-Jensen, B.; McSorley, F.R.; Zechel, D.L. Catabolism and Detoxification of 1-Aminoalkylphosphonic Acids: N-Acetylation by the phnO Gene Product. PLoS ONE 2012, 7, e46416. [Google Scholar] [CrossRef] [PubMed]
- Beversdorf, L.J.; White, A.E.; Björkman, K.M.; Letelier, R.M.; Karl, D.M. Phosphonate Metabolism by Trichodesmium IMS101 and the Production of Greenhouse Gases. Limnol. Oceanogr. 2010, 55, 1768–1778. [Google Scholar] [CrossRef]
- Sosa, O.A.; Burrell, T.J.; Wilson, S.T.; Foreman, R.K.; Karl, D.M.; Repeta, D.J. Phosphonate Cycling Supports Methane and Ethylene Supersaturation in the Phosphate-Depleted Western North Atlantic Ocean. Limnol. Oceanogr. 2020, 65, 2443–2459. [Google Scholar] [CrossRef]
- Teikari, J.E.; Fewer, D.P.; Shrestha, R.; Hou, S.; Leikoski, N.; Mäkelä, M.; Simojoki, A.; Hess, W.R.; Sivonen, K. Strains of the Toxic and Bloom-Forming Nodularia spumigena (Cyanobacteria) Can Degrade Methylphosphonate and Release Methane. ISME J. 2018, 12, 1619–1630. [Google Scholar] [CrossRef]
- Duhamel, S.; Diaz, J.M.; Adams, J.C.; Djaoudi, K.; Steck, V.; Waggoner, E.M. Phosphorus as an Integral Component of Global Marine Biogeochemistry. Nat. Geosci. 2021, 14, 359–368. [Google Scholar] [CrossRef]
- Repeta, D.J.; Ferrón, S.; Sosa, O.A.; Johnson, C.G.; Repeta, L.D.; Acker, M.; DeLong, E.F.; Karl, D.M. Marine Methane Paradox Explained by Bacterial Degradation of Dissolved Organic Matter. Nat. Geosci. 2016, 9, 884–887. [Google Scholar] [CrossRef]
- Zhou, Z.; Tran, P.Q.; Kieft, K.; Anantharaman, K. Genome Diversification in Globally Distributed Novel Marine Proteobacteria Is Linked to Environmental Adaptation. ISME J. 2020, 14, 2060–2077. [Google Scholar] [CrossRef]
- Dyhrman, S.T.; Chappell, P.D.; Haley, S.T.; Moffett, J.W.; Orchard, E.D.; Waterbury, J.B.; Webb, E.A. Phosphonate Utilization by the Globally Important Marine Diazotroph Trichodesmium. Nature 2006, 439, 68–71. [Google Scholar] [CrossRef]
- Walker, A. Adding Genomic “foliage” to the Tree of Life. Nat. Rev. Microbiol. 2014, 12, 78. [Google Scholar] [CrossRef] [PubMed]
- Schowanek, D.; Verstraete, W. Phosphonate Utilization by Bacterial Cultures and Enrichments from Environmental Samples. Appl. Environ. Microbiol. 1990, 56, 895–903. [Google Scholar] [CrossRef]
- Vartoukian, S.R.; Palmer, R.M.; Wade, W.G. Strategies for Culture of ‘Unculturable’ Bacteria. FEMS Microbiol. Lett. 2010, 309, 1–7. [Google Scholar] [CrossRef] [PubMed]
- Rusch, D.B.; Halpern, A.L.; Sutton, G.; Heidelberg, K.B.; Williamson, S.; Yooseph, S.; Wu, D.; Eisen, J.A.; Hoffman, J.M.; Remington, K.; et al. The Sorcerer II Global Ocean Sampling Expedition: Northwest Atlantic through Eastern Tropical Pacific. PLoS Biol. 2007, 5, 0398–0431. [Google Scholar] [CrossRef] [PubMed]
- Sunagawa, S.; Acinas, S.G.; Bork, P.; Bowler, C.; Babin, M.; Boss, E.; Cochrane, G.; de Vargas, C.; Follows, M.; Gorsky, G.; et al. Tara Oceans: Towards Global Ocean Ecosystems Biology. Nat. Rev. Microbiol. 2020, 18, 428–445. [Google Scholar] [CrossRef]
- Karl, D.M. Microbially Mediated Transformations of Phosphorus in the Sea: New Views of an Old Cycle. Ann. Rev. Mar. Sci. 2014, 6, 279–337. [Google Scholar] [CrossRef] [PubMed]
- Karl, D.M.; Björkman, K.M. Dynamics of Dissolved Organic Phosphorus. In Biogeochemistry of Marine Dissolved Organic Matter (Second Edition); Hansell, D.A., Carlson, C.A., Eds.; Academic Press: Boston, MA, USA, 2015; pp. 233–334. [Google Scholar]
- Chin, J.P.; Quinn, J.P.; McGrath, J.W. Phosphate Insensitive Aminophosphonate Mineralisation within Oceanic Nutrient Cycles. ISME J. 2018, 12, 973–980. [Google Scholar] [CrossRef]
- Clark, L.L.; Ingall, E.D.; Benner, R. Marine Organic Phosphorus Cycling; Novel Insights from Nuclear Magnetic Resonance. Am. J. Sci. 1999, 299, 724–737. [Google Scholar] [CrossRef]
- Benitez-Nelson, C.R.; O’Neill, L.; Kolowith, L.C.; Pellechia, P.; Thunell, R. Phosphonates and Particulate Organic Phosphorus Cycling in an Anoxic Marine Basin. Limnol. Oceanogr. 2004, 49, 1593–1604. [Google Scholar] [CrossRef]
- Van Mooy, B.A.S.; Krupke, A.; Dyhrman, S.T.; Fredricks, H.F.; Frischkorn, K.R.; Ossolinski, J.E.; Repeta, D.J.; Rouco, M.; Seewald, J.D.; Sylva, S.P. Major Role of Planktonic Phosphate Reduction in the Marine Phosphorus Redox Cycle. Science 2015, 348, 783–785. [Google Scholar] [CrossRef] [PubMed]
- Vila-Costa, M.; Sharma, S.; Moran, M.A.; Casamayor, E.O. Diel Gene Expression Profiles of a Phosphorus Limited Mountain Lake Using Metatranscriptomics. Environ. Microbiol. 2013, 15, 1190–1203. [Google Scholar] [CrossRef]
- Yao, M.; Henny, C.; Maresca, J.A. Freshwater Bacteria Release Methane as a By-Product of Phosphorus Acquisition. Appl. Environ. Microbiol. 2016, 82, 6994–7003. [Google Scholar] [CrossRef]
- Wang, Q.; Dore, J.E.; McDermott, T.R. Methylphosphonate Metabolism by Pseudomonas sp. Populations Contributes to the Methane Oversaturation Paradox in an Oxic Freshwater Lake. Environ. Microbiol. 2017, 19, 2366–2378. [Google Scholar] [CrossRef] [PubMed]
- Frouin, E.; Lecoeuvre, A.; Armougom, F.; Schrenk, M.O.; Erauso, G. Comparative Metagenomics Highlight a Widespread Pathway Involved in Catabolism of Phosphonates in Marine and Terrestrial Serpentinizing Ecosystems. mSystems 2022, 7, e00328-22. [Google Scholar] [CrossRef]
- Gomez-Garcia, M.R.; Davison, M.; Blain-Hartnung, M.; Grossman, A.R.; Bhaya, D. Alternative Pathways for Phosphonate Metabolism in Thermophilic Cyanobacteria from Microbial Mats. ISME J. 2011, 5, 141–149. [Google Scholar] [CrossRef] [PubMed]
- Siles, J.A.; Starke, R.; Martinovic, T.; Parente Fernandes, M.L.; Orgiazzi, A.; Bastida, F. Distribution of Phosphorus Cycling Genes across Land Uses and Microbial Taxonomic Groups Based on Metagenome and Genome Mining. Soil. Biol. Biochem. 2022, 174, 108826. [Google Scholar] [CrossRef]
- Xun, W.; Liu, Y.; Li, W.; Ren, Y.; Xiong, W.; Xu, Z.; Zhang, N.; Miao, Y.; Shen, Q.; Zhang, R. Specialized Metabolic Functions of Keystone Taxa Sustain Soil Microbiome Stability. Microbiome 2021, 9, 35. [Google Scholar] [CrossRef]
- Oliverio, A.M.; Bissett, A.; McGuire, K.; Saltonstall, K.; Turner, B.L.; Fierer, N. The Role of Phosphorus Limitation in Shaping Soil Bacterial Communities and Their Metabolic Capabilities. mBio 2020, 11, e01718-20. [Google Scholar] [CrossRef]
- Kehler, A.; Haygarth, P.; Tamburini, F.; Blackwell, M. Cycling of Reduced Phosphorus Compounds in Soil and Potential Impacts of Climate Change. Eur. J. Soil. Sci. 2021, 72, 2517–2537. [Google Scholar] [CrossRef]
- Murphy, A.R.J.; Scanlan, D.J.; Chen, Y.; Bending, G.D.; Hammond, J.P.; Wellington, E.M.H.; Lidbury, I.D.E.A. 2-Aminoethylphosphonate Utilization in Pseudomonas putida BIRD-1 Is Controlled by Multiple Master Regulators. Environ. Microbiol. 2022, 24, 1902–1917. [Google Scholar] [CrossRef] [PubMed]
- O’Loughlin, S.N.; Graham, R.L.J.; McMullan, G.; Ternan, N.G. A Role for Carbon Catabolite Repression in the Metabolism of Phosphonoacetate by Agromyces fucosus Vs2. FEMS Microbiol. Lett. 2006, 261, 133–140. [Google Scholar]
- Gardner, S.G.; McCleary, W.R. Control of the phoBR Regulon in Escherichia coli. EcoSal Plus 2019, 8, ESP-0006–2019. [Google Scholar] [CrossRef]
- Wackett, L.P.; Wanner, B.L.; Venditti, C.P.; Walsh, C.T. Involvement of the Phosphate Regulon and the psiD Locus in Carbon-Phosphorus Lyase Activity of Escherichia coli K-12. J. Bacteriol. 1987, 169, 1753–1756. [Google Scholar] [CrossRef]
- Lee, K.S.; Metcalf, W.W.; Wanner, B.L. Evidence for Two Phosphonate Degradative Pathways in Enterobacter aerogenes. J. Bacteriol. 1992, 174, 2501–2510. [Google Scholar] [CrossRef] [PubMed]
- McMullan, G.; Quinn, J.P. In Vitro Characterization of a Phosphate Starvation-Independent Carbon-Phosphorus Bond Cleavage Activity in Pseudomonas fluorescens. J. Bacteriol. 1994, 176, 320–324. [Google Scholar] [CrossRef]
- Lidbury, I.D.E.A.; Murphy, A.R.J.; Scanlan, D.J.; Bending, G.D.; Jones, A.M.E.; Moore, J.D.; Goodall, A.; Hammond, J.P.; Wellington, E.M.H. Comparative Genomic, Proteomic and Exoproteomic Analyses of Three Pseudomonas Strains Reveals Novel Insights into the Phosphorus Scavenging Capabilities of Soil Bacteria. Environ. Microbiol. 2016, 18, 3535–3549. [Google Scholar] [CrossRef]
- Quinn, J.P.; Kulakova, A.N.; Cooley, N.A.; McGrath, J.W. New Ways to Break an Old Bond: The Bacterial Carbon-Phosphorus Hydrolases and Their Role in Biogeochemical Phosphorus Cycling. Environ. Microbiol. 2007, 9, 2392–2400. [Google Scholar] [CrossRef]
- Ternan, N.G.; McMullan, G. The Utilization of 4-Aminobutylphosphonate as Sole Nitrogen Source by a Strain of Kluyveromyces fragilis. FEMS Microbiol. Lett. 2000, 184, 237–240. [Google Scholar] [CrossRef][Green Version]
- Ternan, N.G.; Quinn, J.P. Phosphate Starvation-Independent 2-Aminoethylphosphonic Acid Biodegradation in a Newly Isolated Strain of Pseudomonas putida, NG2. Syst. Appl. Microbiol. 1998, 21, 346–352. [Google Scholar] [CrossRef]
- McGrath, J.W.; Ternan, N.G.; Quinn, J.P. Utilization of Organophosphonates by Environmental Microorganisms. Lett. Appl. Microbiol. 1997, 24, 69–73. [Google Scholar] [CrossRef]
- Kulakova, A.N.; Kulakov, L.A.; McGrath, J.W.; Quinn, J.P. The Construction of a Whole-Cell Biosensor for Phosphonoacetate, Based on the LysR-like Transcriptional Regulator PhnR from Pseudomonas fluorescens 23F. Microb. Biotechnol. 2009, 2, 234–240. [Google Scholar] [CrossRef]
- Maddocks, S.E.; Oyston, P.C.F. Structure and Function of the LysR-Type Transcriptional Regulator (LTTR) Family Proteins. Microbiology 2008, 154, 3609–3623. [Google Scholar] [CrossRef] [PubMed]
- Norgaard, T.; Moldrup, P.; Ferré, T.P.A.; Olsen, P.; Rosenbom, A.E.; de Jonge, L.W. Leaching of Glyphosate and Aminomethylphosphonic Acid from an Agricultural Field over a Twelve-Year Period. Vadose Zone J. 2014, 13, 608–620. [Google Scholar] [CrossRef]
- Neft, A.; Claus, M.; Schmidt, S.; Minke, R.; Steinmetz, H. Looking Closer on Phosphorus Fractions in WWTP Effluents: Implications on the Optimisation of Phosphorus Removal. In Proceedings of the 1st IWA Austrian Young Water Professionals Conference, Vienna, Austria, 9–11 June 2010. [Google Scholar]
- Gledhill, W.E.; Feijtel, T.C.J. Environmental Properties and Safety Assessment of Organic Phosphonates Used for Detergent and Water Treatment Applications. In Detergents; de Oude, N.T., Ed.; Springer: Berlin/Heidelberg, Germany, 1992; pp. 261–285. [Google Scholar]
- Wang, S.; Zhang, B.; Shan, C.; Yan, X.; Chen, H.; Pan, B. Occurrence and Transformation of Phosphonates in Textile Dyeing Wastewater along Full-Scale Combined Treatment Processes. Water Res. 2020, 184, 116173. [Google Scholar] [CrossRef] [PubMed]
- Studnik, H.; Liebsch, S.; Forlani, G.; Wieczorek, D.; Kafarski, P.; Lipok, J. Amino Polyphosphonates—Chemical Features and Practical Uses, Environmental Durability and Biodegradation. New Biotechnol. 2015, 32, 1–6. [Google Scholar] [CrossRef]
- Chillè, D.; Aiello, D.; Grasso, G.I.; Giuffrè, O.; Napoli, A.; Sgarlata, C.; Foti, C. Complexation of As(III) by Phosphonate Ligands in Aqueous Fluids: Thermodynamic Behavior, Chemical Binding Forms and Sequestering Abilities. J. Environ. Sci. 2020, 94, 100–110. [Google Scholar] [CrossRef]
- Castro, J.V.; Peralba, M.C.R.; Ayub, M.A.Z. Biodegradation of the Herbicide Glyphosate by Filamentous Fungi in Platform Shaker and Batch Bioreactor. J. Environ. Sci. Health B 2007, 42, 883–886. [Google Scholar] [CrossRef]
- Lipok, J.; Wieczorek, D.; Jewgiński, M.; Kafarski, P. Prospects of in Vivo 31P NMR Method in Glyphosate Degradation Studies in Whole Cell System. Enzyme Microb. Technol. 2009, 44, 11–16. [Google Scholar] [CrossRef]
- Riedel, R.; Krahl, K.; Buder, K.; Böllmann, J.; Braun, B.; Martienssen, M. Novel Standard Biodegradation Test for Synthetic Phosphonates. J. Microbiol. Methods 2023, 212, 106793. [Google Scholar] [CrossRef] [PubMed]
- Piel, S.; Grandcoin, A.; Baurès, E. L’acide Aminométhylphosphonique (AMPA) Dans Les Eaux Naturelles et Les Filières de Traitement: Origines, Comportement et Devenir. Tech. Sci. Méthodes 2019, 114, 45–56. [Google Scholar] [CrossRef]
- Chen, Y.; Chen, W.-J.; Huang, Y.; Li, J.; Zhong, J.; Zhang, W.; Zou, Y.; Mishra, S.; Bhatt, P.; Chen, S. Insights into the Microbial Degradation and Resistance Mechanisms of Glyphosate. Environ. Res. 2022, 215, 114153. [Google Scholar] [CrossRef] [PubMed]
- Bøhn, T.; Cuhra, M.; Traavik, T.; Sanden, M.; Fagan, J.; Primicerio, R. Compositional Differences in Soybeans on the Market: Glyphosate Accumulates in Roundup Ready GM Soybeans. Food Chem. 2014, 153, 207–215. [Google Scholar] [CrossRef] [PubMed]
- Benbrook, C.M. Trends in Glyphosate Herbicide Use in the United States and Globally. Environ. Sci. Eur. 2016, 28, 3. [Google Scholar] [CrossRef] [PubMed]
- Drzyzga, D.; Lipok, J. Glyphosate Dose Modulates the Uptake of Inorganic Phosphate by Freshwater Cyanobacteria. J. Appl. Phycol. 2018, 30, 299–309. [Google Scholar] [CrossRef] [PubMed]
- Villamar-Ayala, C.A.; Carrera-Cevallos, J.V.; Vasquez-Medrano, R.; Espinoza-Montero, P.J. Fate, Eco-Toxicological Characteristics, and Treatment Processes Applied to Water Polluted with Glyphosate: A Critical Review. Crit. Rev. Environ. Sci. Technol. 2019, 49, 1476–1514. [Google Scholar] [CrossRef]
- Mohanty, S.S.; Das, A.P. A Systematic Study on the Microbial Degradation of Glyphosate: A Review. Geomicrobiol. J. 2022, 39, 316–327. [Google Scholar] [CrossRef]
- Peñaloza-Vazquez, A.; Mena, G.L.; Herrera-Estrella, L.; Bailey, A.M. Cloning and Sequencing of the Genes Involved in Glyphosate Utilization by Pseudomonas pseudomallei. Appl. Environ. Microbiol. 1995, 61, 538–543. [Google Scholar] [CrossRef]
- Wehrmann, A.; van Vliet, A.; Opsomer, C.; Botterman, J.; Schulz, A. The Similarities of Bar and Pat Gene Products Make Them Equally Applicable for Plant Engineers. Nat. Biotechnol. 1996, 14, 1274–1278. [Google Scholar] [CrossRef]
- Castle, L.A.; Siehl, D.L.; Gorton, R.; Patten, P.A.; Chen, Y.H.; Bertain, S.; Cho, H.-J.; Duck, N.; Wong, J.; Liu, D.; et al. Discovery and Directed Evolution of a Glyphosate Tolerance Gene. Science 2004, 304, 1151–1154. [Google Scholar] [CrossRef] [PubMed]
- Borggaard, O.K.; Gimsing, A.L. Fate of Glyphosate in Soil and the Possibility of Leaching to Ground and Surface Waters: A Review. Pest. Manag. Sci. 2008, 64, 441–456. [Google Scholar] [CrossRef] [PubMed]
- Obojska, A.; Lejczak, B.; Kubrak, M. Degradation of Phosphonates by Streptomycete Isolates. Appl. Microbiol. Biotechnol. 1999, 51, 872–876. [Google Scholar] [CrossRef] [PubMed]
- Pipke, R.; Amrhein, N. Degradation of the Phosphonate Herbicide Glyphosate by Arthrobacter atrocyaneus ATCC 13752. Appl. Environ. Microbiol. 1988, 54, 1293–1296. [Google Scholar] [CrossRef]
- McAuliffe, K.S.; Hallas, L.E.; Kulpa, C.F. Glyphosate Degradation by Agrobacterium radiobacter Isolated from Activated Sludge. J. Ind. Microbiol. 1990, 6, 219–221. [Google Scholar] [CrossRef]
- Singh, B.; Singh, K. Microbial Degradation of Herbicides. Crit. Rev. Microbiol. 2016, 42, 245–261. [Google Scholar] [CrossRef]
- Wijekoon, N.; Yapa, N. Assessment of Plant Growth Promoting Rhizobacteria (PGPR) on Potential Biodegradation of Glyphosate in Contaminated Soil and Aquifers. Groundw. Sustain. Dev. 2018, 7, 465–469. [Google Scholar] [CrossRef]
- Correa, L.O.; Bezerra, A.F.M.; Honorato, L.R.S.; Cortez, A.C.A.; Souza, J.V.B.; Souza, E.S. Amazonian Soil Fungi Are Efficient Degraders of Glyphosate Herbicide; Novel Isolates of Penicillium, Aspergillus, and Trichoderma. Braz. J. Biol. 2023, 83, e242830. [Google Scholar] [CrossRef]
- Bujacz, B.; Wieczorek, P.; Krzysko-Lupicka, T.; Golab, Z.; Lejczak, B.; Kavfarski, P. Organophosphonate Utilization by the Wild-Type Strain of Penicillium notatum. Appl. Environ. Microbiol. 1995, 61, 2905–2910. [Google Scholar] [CrossRef]
- Fu, G.; Chen, Y.; Li, R.; Yuan, X.; Liu, C.; Li, B.; Wan, Y. Pathway and Rate-Limiting Step of Glyphosate Degradation by Aspergillus oryzae A-F02. Prep. Biochem. Biotechnol. 2017, 47, 782–788. [Google Scholar] [CrossRef]
- González-Torralva, F.; Rojano-Delgado, A.M.; Luque de Castro, M.D.; Mülleder, N.; De Prado, R. Two Non-Target Mechanisms Are Involved in Glyphosate-Resistant Horseweed (Conyza canadensis L. Cronq.) Biotypes. J. Plant Physiol. 2012, 169, 1673–1679. [Google Scholar] [CrossRef] [PubMed]
- Boutet, I.; Tanguy, A.; Moraga, D. Molecular Identification and Expression of Two Non-P450 Enzymes, Monoamine Oxidase A and Flavin-Containing Monooxygenase 2, Involved in Phase I of Xenobiotic Biotransformation in the Pacific Oyster, Crassostrea gigas. Biochim. Biophys. Acta 2004, 1679, 29–36. [Google Scholar] [CrossRef]
- Hernández-Alomia, F.; Ballesteros, I.; Castillejo, P. Bioremediation Potential of Glyphosate-Degrading Microorganisms in Eutrophicated Ecuadorian Water Bodies. Saudi J. Biol. Sci. 2022, 29, 1550–1558. [Google Scholar] [CrossRef] [PubMed]
- Obojska, A.; Ternan, N.G.; Lejczak, B.; Kafarski, P.; McMullan, G. Organophosphonate Utilization by the Thermophile Geobacillus caldoxylosilyticus T20. Appl. Environ. Microbiol. 2002, 68, 2081–2084. [Google Scholar] [CrossRef]
- Grandcoin, A.; Piel, S.; Baurès, E. AminoMethylPhosphonic Acid (AMPA) in Natural Waters: Its Sources, Behavior and Environmental Fate. Water Res. 2017, 117, 187–197. [Google Scholar] [CrossRef]
- Guilherme, S.; Santos, M.A.; Gaivão, I.; Pacheco, M. DNA and Chromosomal Damage Induced in Fish (Anguilla anguilla L.) by Aminomethylphosphonic Acid (AMPA)—The Major Environmental Breakdown Product of Glyphosate. J. Environ. Sci. Int. 2014, 21, 8730–8739. [Google Scholar] [CrossRef] [PubMed]
- Kertesz, M.A.; Cook, A.M.; Leisinger, T. Microbial Metabolism of Sulfur and Phosphorus-Containing Xenobiotics. FEMS Microbiol. Rev. 1994, 15, 195–215. [Google Scholar] [CrossRef] [PubMed]
- Kishore, G.M.; Jacob, G.S. Degradation of Glyphosate by Pseudomonas sp. PG2982 via a Sarcosine Intermediate. J. Biol. Chem. 1987, 262, 12164–12168. [Google Scholar] [CrossRef] [PubMed]
- Pipke, R.; Amrhein, N.; Jacob, G.S.; Schaefer, J.; Kishore, G.M. Metabolism of Glyphosate in an Arthrobacter sp. GLP-1. Eur. J. Biochem. 1987, 165, 267–273. [Google Scholar] [CrossRef]
- Sviridov, A.V.; Shushkova, T.V.; Ermakova, I.T.; Ivanova, E.V.; Epiktetov, D.O.; Leontievsky, A.A. Microbial Degradation of Glyphosate Herbicides. Appl. Biochem. Microbiol. 2015, 51, 188–195. [Google Scholar] [CrossRef]
- Pedotti, M.; Rosini, E.; Molla, G.; Moschetti, T.; Savino, C.; Vallone, B.; Pollegioni, L. Glyphosate Resistance by Engineering the Flavoenzyme Glycine Oxidase. J. Biol. Chem. 2009, 284, 36415–36423. [Google Scholar] [CrossRef] [PubMed]
- Huntscha, S.; Stravs, M.A.; Bühlmann, A.; Ahrens, C.H.; Frey, J.E.; Pomati, F.; Hollender, J.; Buerge, I.J.; Balmer, M.E.; Poiger, T. Seasonal Dynamics of Glyphosate and AMPA in Lake Greifensee: Rapid Microbial Degradation in the Epilimnion During Summer. Environ. Sci. Technol. 2018, 52, 4641–4649. [Google Scholar] [CrossRef] [PubMed]
- Peck, S.C.; van der Donk, W.A. Phosphonate Biosynthesis and Catabolism: A Treasure Trove of Unusual Enzymology. Curr. Opin. Chem. Biol. 2013, 17, 580–588. [Google Scholar] [CrossRef]
- Polidore, A.L.A.; Furiassi, L.; Hergenrother, P.J.; Metcalf, W.W. A Phosphonate Natural Product Made by Pantoea ananatis Is Necessary and Sufficient for the Hallmark Lesions of Onion Center Rot. mBio 2021, 12, e03402-20. [Google Scholar] [CrossRef]
- Jake, W.; Jerry, C.; Toshiki, N.; Happy, K.; Yeying, Z.; Kayrouz, C.M.; Pham, T.M.; Hannah, R.; Kou-San, J. Discovery of Antimicrobial Phosphonopeptide Natural Products from Bacillus velezensis by Genome Mining. Appl. Environ. Microbiol. 2023, 89, e00338-23. [Google Scholar]
- Acker, M.; Hogle, S.L.; Berube, P.M.; Hackl, T.; Coe, A.; Stepanauskas, R.; Chisholm, S.W.; Repeta, D.J. Phosphonate Production by Marine Microbes: Exploring New Sources and Potential Function. Proc. Natl. Acad. Sci. USA 2022, 119, e2113386119. [Google Scholar] [CrossRef] [PubMed]
Disclaimer/Publisher’s Note: The statements, opinions and data contained in all publications are solely those of the individual author(s) and contributor(s) and not of MDPI and/or the editor(s). MDPI and/or the editor(s) disclaim responsibility for any injury to people or property resulting from any ideas, methods, instructions or products referred to in the content. |
© 2023 by the authors. Licensee MDPI, Basel, Switzerland. This article is an open access article distributed under the terms and conditions of the Creative Commons Attribution (CC BY) license (https://creativecommons.org/licenses/by/4.0/).







