Effects of Infrared and Microwave Radiation on the Bioactive Compounds of Microalga Spirulina platensis after Continuous and Intermittent Drying
Abstract
1. Introduction
2. Results and Discussion
2.1. Infrared Drying
2.1.1. General Considerations
2.1.2. Final Moisture, Water Activity (aw) and Drying Kinetics
2.1.3. Bioactive Compounds
2.2. Microwave Drying
2.2.1. General Considerations
2.2.2. Final Moisture, Water Activity (aw) and Drying Kinetics
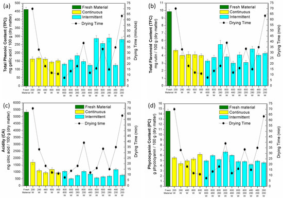
2.2.3. Bioactive Compounds
3. Materials and Methods
3.1. Raw Material
3.2. Experimental Apparatus
3.3. Experimental Design
3.4. Moisture and Water Activity (aw) Analysis
3.5. Scanning Electron Microscopy (SEM)
3.6. Drying Kinetics
3.7. Analysis of Bioactive Compounds
3.7.1. Total Phenolic Content (TPC)
3.7.2. Total Flavonoid Content (TFC)
3.7.3. Acidity or Citric Acid Content (CA)
3.7.4. Phycocyanin Content (PC)
4. Conclusions
Author Contributions
Funding
Institutional Review Board Statement
Informed Consent Statement
Data Availability Statement
Acknowledgments
Conflicts of Interest
Sample Availability
References
- Agustini, T.W.; Suzery, M.; Sutrinanto, D.; Ma’ruf, W.F.; Hadyanto. Comparative Study of Bioactive Substances Extracted from Fresh and Dried Spirulina sp. Procedia Environ. Sci. 2015, 23, 282–289. [Google Scholar] [CrossRef]
- AlfFadhly, N.K.Z.; Alhelfi, N.; Altemini, A.B.; Verma, D.K.; Cacciola, F.; Narayanankutty, A. Trends and Technological Advancements in the Possible Food Applications of Spirulina ant Their Health Benefits: A Review. Molecules 2022, 27, 5584. [Google Scholar] [CrossRef] [PubMed]
- Dissa, A.O.; Desmorieux, H.; Savadogo, P.W.; Segda, B.G.; Koulidiati, J. Shrinkage, porosity and density behavior during convective drying of spirulina. J. Food Eng. 2010, 97, 410–418. [Google Scholar] [CrossRef]
- Doke, J.M., Jr. An Improved and Efficient Method for the Extraction of Phycocyanin from Spirulina sp. Int. J. Food Eng. 2005, 1, 1–13. [Google Scholar] [CrossRef]
- Habib, M.A.B.; Parvin, M.; Huntington, T.C.; Hasan, M.R. A Review on Culture, Production and Use of Spirulina as Food for Humans and Feeds for Domestic Animals and Fish; FIMA/C1034; FAO–Food and Agriculture Organization of the United Nations: Rome, Italy, 2008; p. 41. [Google Scholar]
- Estrada, J.E.P.; Bescós, P.B.; Fresno, A.M.V. Antioxidant activity of different fractions of Spirulina platensis protean extract. Il Farmaco 2001, 56, 497–500. [Google Scholar] [CrossRef]
- Costa, B.R.; Rodrigues, M.C.K.; Rocha, S.F.; Pohndorf, R.S.; Larrosa, A.P.Q.; Pinto, L.A.A. Optimization of Spirulina sp. Drying in heat pump: Effects on the physicochemical properties and color parameters. J. Food Process. Preserv. 2016, 40, 934–942. [Google Scholar] [CrossRef]
- Oliveira, E.G.; Duarte, J.H.; Moraes, K.; Crexi, V.T.; Pinto, L.A.A. Optimization of Spirulina platensis convective drying: Evaluation of phycocyanin loss and lipid oxidation. Int. J. Food Sci. Technol. 2010, 45, 1572–1578. [Google Scholar] [CrossRef]
- Desmorieux, H.; Decaen, N. Convective drying of spirulina in thin layer. J. Food Eng. 2005, 66, 497–503. [Google Scholar] [CrossRef]
- Oliveira, E.G.; Rosa, G.S.; Moraes, M.A.; Pinto, L.A.A. Phycocyanin content of Spirulina platensis dried in spouted bed and thin layer. J. Food Process. Eng. 2008, 31, 34–50. [Google Scholar] [CrossRef]
- Desmorieux, H.; Madiouli, J.; Herraud, C.; Mouaziz, H. Effects of size and form of Arthrospira Spirulina biomass on the shrinkage and porosity during drying. J. Food Eng. 2010, 100, 585–595. [Google Scholar] [CrossRef]
- Silva, N.C.; Machado, M.V.C.; Brandão, R.J.; Duarte, C.R.; Barrozo, M.A.S. Dehydration of microalgae Spirulina platensis in a rotary drum with inert bed. Powder Technol. 2019, 351, 178–188. [Google Scholar] [CrossRef]
- Nakagawa, K.; Ritcharoen, W.; Sri-uam, P.; Pavasant, P.; Adachi, S. Antioxidant properties of convective-air-dried Spirulina maxima: Evaluation of phycocyanin retention by a simple mathematical model of air-drying. Food Bioprod. Process. 2016, 100, 292–302. [Google Scholar] [CrossRef]
- Show, K.Y.; Lee, D.J.; Tay, J.H.; Lee, T.M.; Chang, J.S. Microalgal drying and cell disruption—Recent advances. Bioresour. Technol. 2015, 184, 258–266. [Google Scholar] [CrossRef]
- Silva, N.C.; Freitas, L.V.D.; Silva, T.C.; Duarte, C.R.; Barrozo, M.A.S. Use of Refractance Window Drying as an Alternative Method for Processing the Microalga Spirulina platensis. Molecules 2023, 28, 720. [Google Scholar] [CrossRef] [PubMed]
- Nowak, D.; Lewicki, P.P. Infrared drying of apple slices. Innov. Food Sci. Emerg. Technol. 2004, 5, 353–360. [Google Scholar] [CrossRef]
- Togrul, H. Simple modeling of infrared drying of fresh apple slices. J. Food Eng. 2005, 71, 311–323. [Google Scholar] [CrossRef]
- Cenkowski, S.; Arntfield, S.D.; Scanlon, M.G. Far Infrared Dehydration and Processing. In Food Drying Science and Technology; Hui, Y.H., Clary, C., Farid, M.M., Fasina, O.O., Noomhorm, A., Welti-Chanes, J., Eds.; DEStech Publication, Inc.: Lancaster, PA, USA, 2008; Chapter 7; pp. 157–202. [Google Scholar]
- Abbaspour-Gilandeh, Y.; Kaveh, M.; Fatemi, H.; Khalife, E.; Witrowa-Rajchert, D.; Nowacka, M. Effect of Pretreatments on Convective and Infrared Drying Kinetics, Energy Consumption and Quality of Terebinth. Appl. Sci. 2021, 11, 7672. [Google Scholar] [CrossRef]
- Maskan, M. Microwave/air and microwavefinish dryingof banana. J. Food Eng. 2000, 44, 71–78. [Google Scholar] [CrossRef]
- Li, H.; Ramaswamy, H.S. MicrowaveDrying. In Food Drying Science and Technology; Hui, Y.H., Clary, C., Farid, M.M., Fasina, O.O., Noomhorm, A., Welti-Chanes, J., Eds.; DEStech Publication, Inc.: Lancaster, PA, USA, 2008; Chapter 6; pp. 127–156. [Google Scholar]
- Zhang, M.; Tang, J.; Mujumdar, A.S.; Wang, S. Trends in microwave-related drying of fruits and vegetables. Trends Food Sci. Technol. 2006, 17, 524–534. [Google Scholar] [CrossRef]
- Tomas-Egea, J.A.; Traffano-Schiffo, M.V.; Castro-Giraldez, M.; Fito, P.J. Hot Air and Microwave Combined Drying of Potato Monitored by Infrared Thermography. Appl. Sci. 2021, 11, 1730. [Google Scholar] [CrossRef]
- Chua, K.J.; Chou, S.K.; Ho, J.C.; Mujumdar, A.S.; Hawlader, M.N.A. Cyclicair temperaturedryingofguavapieces: Effectson moistureandascorbicacid contents. Food Bioprod. Process. 2000, 78, 72–78. [Google Scholar] [CrossRef]
- Kowalski, S.J.; Pawlowski, A. Energy consumption and quality aspect by intermittent drying. Chem. Eng. Process. 2011, 50, 384–390. [Google Scholar] [CrossRef]
- Kumar, C.; Karim, M.A.; Joardder, M.U.H. Intermittent drying of food products: A critical review. J. Food Eng. 2014, 121, 48–57. [Google Scholar] [CrossRef]
- Allaf, K.; Mounir, S.; Negm, M.; Allaf, T.; Ferrasse, H.; Mujumdar, A.S. Intermittent Drying. In Handbook of Industrial Drying, 4th ed.; Mujumdar, A.S., Ed.; CRC Press, Taylor & Francis Group: Boca Raton, FL, USA, 2015; Chapter 22; pp. 491–501. [Google Scholar] [CrossRef]
- Defraeye, T. Towards more efficient intermittent drying of fruit: Insights from combined hygrothermal-quality modelling. Innov. Food Sci. Emerg. 2016, 38, 262–271. [Google Scholar] [CrossRef]
- Desmorieux, H.; Hernandez, F. Biochemical and Physical Criteria of Spirulina After Different Drying Processes. Drying 2004. In Proceedings of the 14th International Drying Symposium (IDS 2004), São Paulo, Brazil, 22–25 August 2004; Volume B, pp. 900–907. [Google Scholar]
- Lia Longodor, A.; Coroian, A.; Balta, I.; Taulescu, M.; Toma, C.; Sevastre, B.; Marchiș, Z.; Andronie, L.; Pop, I.; Matei, F.; et al. Protective Effects of Dietary Supplement Spirulina (Spirulina platensis) against Toxically Impacts of Monosodium Glutamate in Blood and Behavior of Swiss mouse. Separations 2021, 8, 218. [Google Scholar] [CrossRef]
- Chen, X.D.; Patel, K.C. Biological changes during food drying processes. In Drying Technologies in Food Processing; Chen, X.D., Mujumdar, A.S., Eds.; Blackwell Publishing Ltd.: West Sussex, UK, 2008; p. 90. [Google Scholar]
- Sablani, S.S.; Rahman, M.S. Fundamentals of Food Dehydration. In Food Drying Science and Technology; Hui, Y.H., Clary, C., Farid, M.M., Fasina, O.O., Noomhorm, A., Welti-Chanes, J., Eds.; DEStech Publication, Inc.: Lancaster, PA, USA, 2008; Chapter 1; pp. 1–42. [Google Scholar]
- Midilli, A.; Kucuk, H.; Yapar, Z. A new model for single-layer drying. Dry. Technol. 2002, 20, 1503–1513. [Google Scholar] [CrossRef]
- Barrozo, M.A.S.; Murata, V.V.; Costa, S.M. The drying of soybean seeds in countercurrent and concurrent moving bed dryers. Dry. Technol. 1998, 16, 2033–2047. [Google Scholar] [CrossRef]
- Ciferri, O. Spirulina platensis, the edible microorganism. Microbiol. Rev. 1983, 47, 551–578. [Google Scholar] [CrossRef] [PubMed]
- Vavoura, M.V.; Karabagias, I.K.; Kosma, I.S.; Badeka, A.V.; Kontominas, M.G. Characterization and Differentiation of Fresh Orange Juice Variety Based on Conventional Physicochemical Parameters, Flavonoids, and Volatile Compounds Using Chemometrics. Molecules 2022, 27, 6166. [Google Scholar] [CrossRef]
- Podsedek, A. Natural antioxidant and antioxidant capacity of Brassica vegetables: A review. LWT-Food Sci. Technol. 2007, 40, 1–11. [Google Scholar] [CrossRef]
- Hansuld, M.K.; Briant, A.M. The effect of citric acid on selected edible starches and flours. J. Food Sci. 1954, 19, 581–589. [Google Scholar] [CrossRef]
- Silveira, S.T.; Quines, L.K.M.; Burkert, C.A.V.; Kalil, S.J. Separation of phycocyanin from Spirulina platensis using ion exchange chromatography. Bioproc. Biosyst. Eng. 2008, 31, 477–482. [Google Scholar] [CrossRef] [PubMed]
- Puglisi, R.; Biazzi, E.; Gesmundo, D.; Vanni, R.; Tava, A.; Cenadelli, S. The Antioxidant Activity of a Commercial and a Fractionated Phycocyanin on Human Skin Cells In Vitro. Molecules 2022, 27, 5276. [Google Scholar] [CrossRef]
- Li, Y.; Li, X.; Liang, Z.P.; Chang, X.Y.; Li, F.T.; Wang, X.O.; Lian, X.J. Progress of Microencapsulated Phycocyanin in Food and Pharma Industries: A Review. Molecules 2022, 27, 5854. [Google Scholar] [CrossRef]
- Sarada, R.; Pillai, M.G.; Ravishankar, G.A. Phycocyanin from Spirulina sp.: Influence of processing of biomass on phycocyanin yield, analysis of efficacy of extraction methods and stability studies on phycocyanin. Process Biochem. 1999, 34, 795–801. [Google Scholar] [CrossRef]
- Datta, A.K.; Anantheswaran, R.C. Handbook of Microwave Technology for Food Applications; Marcel Dekker: New York, NY, USA, 2001. [Google Scholar] [CrossRef]
- Schiffmann, R.F. Microwave and Dielectric Drying. In Handbook of Industrial Drying, 3rd ed.; Mujumdar, A.S., Ed.; CRC Press, Taylor & Francis Group: Boca Raton, FL, USA, 2007; Chapter 12; pp. 286–305. [Google Scholar]
- AOAC, Association of Official Analytical Chemists. Official Methods of Analysis of the Association of Official Analytical Chemists, 16th ed.; AOAC: Gaithersburg, MD, USA, 1995; Volume 1. [Google Scholar]
- Bhandari, B.R.; Adhikari, B.P. Water activity in food processing and preservation. In Drying Technologies in Food Processing; Chen, X.D., Mujumdar, A.S., Eds.; Blackwell Publishing Ltd.: West Sussex, UK, 2008; p. 55. [Google Scholar]
- Barrozo, M.A.S.; Sartori, D.J.M.; Freire, J.T.; Achcar, J.A. Discrimination of equilibrium moisture equations for soybean using nonlinearity measures. Dry. Technol. 1996, 14, 1779–1794. [Google Scholar] [CrossRef]
- Felipe, C.A.S.; Barrozo, M.A.S. Drying of soybean seeds in a concurrent moving bed: Heat and mass transfer and quality analysis. Dry. Technol. 2003, 21, 439–456. [Google Scholar] [CrossRef]
- Lewis, W.K. The rate of drying of solid materials. Indian Chem. Eng. 1921, 13, 427. [Google Scholar] [CrossRef]
- Page, G.E. Factors Influencing the Maximum Rates of Air Drying Shelled Corn in Thin-Layer; Purdue University: West Lafayette, IN, USA, 1949. [Google Scholar]
- Overhults, D.G.; White, G.M.; Hamilton, H.E.; Ross, I.J. Drying soybeans with heated air. Trans. ASAE 1973, 16, 112–113. [Google Scholar] [CrossRef]
- Brooker, D.B.; Bakker-Arkema, F.W.; Hall, C.W. Drying Cereal Grains; Avi: Westport, CT, USA, 1974. [Google Scholar]
- Singleton, V.L.; Orthofer, R.; Lamuela-Raventós, R.M. Analysis of total phenols and other oxidation substrates and antioxidants by means of folin–ciocalteu reagent. Methods Enzymol. 1999, 299, 52–178. [Google Scholar] [CrossRef]
- Zhishen, J.; Mengcheng, T.; Jianming, W. The determination of flavonoid contents in mulberry and their scavenging effects on superoxide radicals. Food Chem. 1999, 64, 555–559. [Google Scholar] [CrossRef]
- Bennett, A.; Bogorad, L. Complementary chromatic adaptation in a filamentous blue-green alga. J. Cell Biol. 1973, 58, 419–435. [Google Scholar] [CrossRef] [PubMed]









| Temperature (°C) | Final Moisture (%) | Water Activity (aw) | Drying Time (min) |
|---|---|---|---|
| 50 °C | 28.72 ± 0.15% | 0.736 | 720.0 |
| 65 °C | 12.92 ± 0.46% | 0.503 | 600.0 |
| 80 °C | 4.97 ± 0.39% | 0.444 | 330.0 |
| 95 °C | 4.38 ± 0.31% | 0.415 | 177.0 |
| 110 °C | 4.25 ± 0.08% | 0.348 | 117.0 |
| Experiments | k | n | A | B | R2 |
|---|---|---|---|---|---|
| 65 °C | −1.62 × 10−2 | 0.54 | 0.9687 | −2.72 × 10−3 | 0.9817 |
| 80 °C | −2.26 × 10−2 | 0.53 | 0.9689 | −4.72 × 10−3 | 0.9918 |
| 95 °C | −3.29 × 10−2 | 0.53 | 0.9713 | −8.98 × 10−3 | 0.9917 |
| 110 °C | −4.69 × 10−2 | 0.53 | 0.9711 | −1.53 × 10−2 | 0.9825 |
| R2 medium | 0.9869 |
| Power (W) | Final Moisture (%) | Water Activity (aw) | Drying Time (min) |
|---|---|---|---|
| 200 W | 8.11 ± 0.03% | 0.429 | 70.0 |
| 280 W | 6.62 ± 0.26% | 0.392 | 33.0 |
| 480 W | 4.46 ± 0.19% | 0.347 | 18.0 |
| 600 W | 4.10 ± 0.08% | 0.337 | 12.0 |
| 800 W | 4.48 ± 0.23% | 0.342 | 11.0 |
| Experiments | k | n | A | B | R2 |
|---|---|---|---|---|---|
| 200 W | 7.00 × 10−6 | 3.67 | 0.9698 | 2.93 × 10−4 | 0.9980 |
| 280 W | 1.08 × 10−3 | 2.69 | 0.9935 | 1.97 × 10−3 | 0.9969 |
| 480 W | 6.14 × 10−3 | 2.66 | 0.9998 | 2.19 × 10−3 | 0.9975 |
| 600 W | 8.66 × 10−3 | 2.99 | 0.9905 | 1.70 × 10−3 | 0.9982 |
| R2 medium | 0.9977 |
| Drying | Experiment | Infrared | Microwave |
|---|---|---|---|
| Continuous | - | 50, 65, 80, 95 and 110 °C | 200, 280, 480, 600 and 800 W |
| Intermittent | 1 | 110 → 95 °C | 800 → 600 W |
| 2 | 110 → 80 °C | 800 → 480 W | |
| 3 | 110 → 65 °C | 800 → 280 W | |
| 4 | 110 → 50 °C | 800 → 200 W | |
| 5 | 95 → 80 °C | 600 → 480 W | |
| 6 | 95 → 65 °C | 600 → 280 W | |
| 7 | 95 → 50 °C | 600 → 200 W | |
| 8 | 80 → 65 °C | 480 → 280 W | |
| 9 | 80 → 50 °C | 480 → 200 W | |
| 10 | 65 → 50 °C | 280 → 200 W |
Disclaimer/Publisher’s Note: The statements, opinions and data contained in all publications are solely those of the individual author(s) and contributor(s) and not of MDPI and/or the editor(s). MDPI and/or the editor(s) disclaim responsibility for any injury to people or property resulting from any ideas, methods, instructions or products referred to in the content. |
© 2023 by the authors. Licensee MDPI, Basel, Switzerland. This article is an open access article distributed under the terms and conditions of the Creative Commons Attribution (CC BY) license (https://creativecommons.org/licenses/by/4.0/).
Share and Cite
Silva, N.C.; Graton, I.S.; Duarte, C.R.; Barrozo, M.A.S. Effects of Infrared and Microwave Radiation on the Bioactive Compounds of Microalga Spirulina platensis after Continuous and Intermittent Drying. Molecules 2023, 28, 5963. https://doi.org/10.3390/molecules28165963
Silva NC, Graton IS, Duarte CR, Barrozo MAS. Effects of Infrared and Microwave Radiation on the Bioactive Compounds of Microalga Spirulina platensis after Continuous and Intermittent Drying. Molecules. 2023; 28(16):5963. https://doi.org/10.3390/molecules28165963
Chicago/Turabian StyleSilva, Neiton C., Isabelle S. Graton, Claudio R. Duarte, and Marcos A. S. Barrozo. 2023. "Effects of Infrared and Microwave Radiation on the Bioactive Compounds of Microalga Spirulina platensis after Continuous and Intermittent Drying" Molecules 28, no. 16: 5963. https://doi.org/10.3390/molecules28165963
APA StyleSilva, N. C., Graton, I. S., Duarte, C. R., & Barrozo, M. A. S. (2023). Effects of Infrared and Microwave Radiation on the Bioactive Compounds of Microalga Spirulina platensis after Continuous and Intermittent Drying. Molecules, 28(16), 5963. https://doi.org/10.3390/molecules28165963

