Methodological Aspects of Green Extraction of Usnic Acid Using Natural Deep Eutectic Solvents
Abstract
1. Introduction
2. Results and Discussion
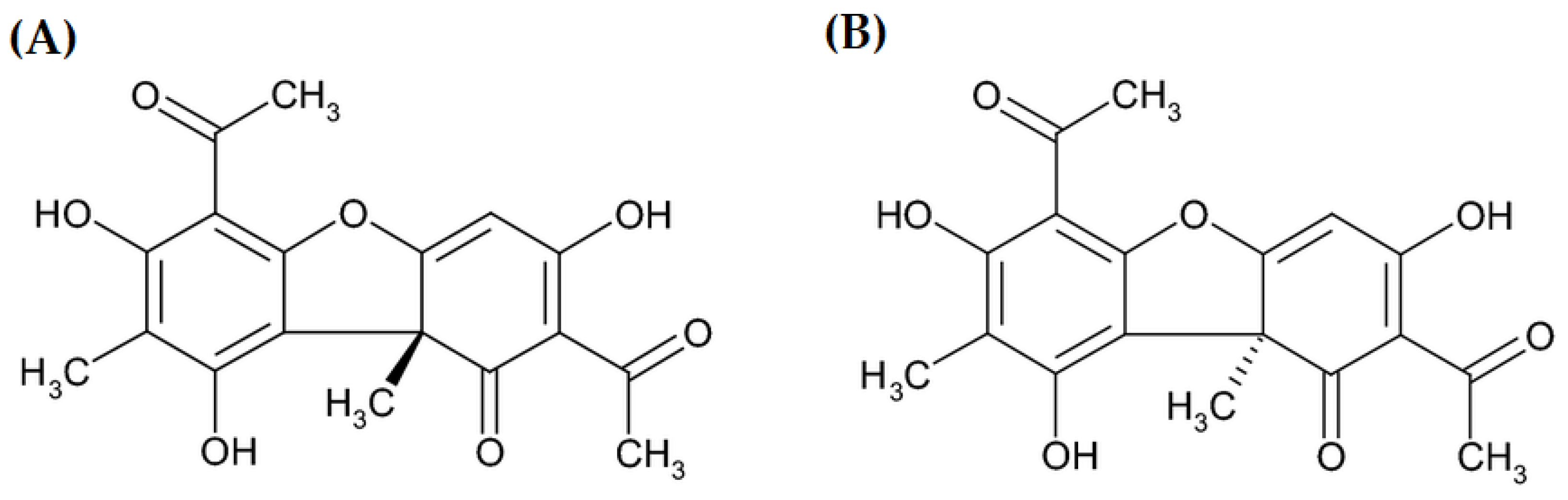
2.1. Solubility of Usnic Acid
2.1.1. Solubility of Usnic Acid in One-Component Solvents
2.1.2. Solubility of Usnic Acid in Lipophilic NADESs
2.1.3. Solubility of Usnic Acid in Hydrophilic NADESs
2.2. Usnic Acid Accumulation in Lichen
2.3. Polynomial Regression Modes Development
2.4. Effect of Extraction Variables on the Usnic Acid Yield
2.5. Optimization of the Extraction Process and Model Validation
3. Materials and Methods
3.1. Chemicals
3.2. Lichen Material
3.3. Preparation of NADESs
3.3.1. Lipophilic NADESs
3.3.2. Hydrophilic NADESs
3.4. Determination of the Solubility of Usnic Acid in NADESs
3.5. HPLC-PDA Analysis of UA
3.6. Determination of the Total UA Content in Cladonia Uncialis Thallus
3.7. Design of Experiment
3.8. Preparation of Extracts
3.9. Viscosity Measurement
4. Conclusions
Supplementary Materials
Author Contributions
Funding
Institutional Review Board Statement
Informed Consent Statement
Data Availability Statement
Acknowledgments
Conflicts of Interest
Sample Availability
References
- Cavalloro, V.; Marrubini, G.; Stabile, R.; Rossi, D.; Linciano, P.; Gheza, G.; Assini, S.; Martino, E.; Collina, S. Microwave-assisted extraction and HPLC-UV-CD determination of (S)-usnic acid in Cladonia foliacea. Molecules 2021, 26, 455. [Google Scholar] [CrossRef] [PubMed]
- Dinçer, C.A.; Gökalp, C.; Getiren, B.; Yildiz, A.; Yildiz, N. Supercritical carbon dioxide extraction of Usnea longissima (L.) Ach.: Optimization by Box-Behnken design (BBD). Turk. J. Chem. 2021, 45, 1248–1256. [Google Scholar] [CrossRef] [PubMed]
- Boitsova, T.A.; Brovko, O.S.; Ivakhnov, A.D.; Zhil’tsov, D.V. Optimizing Supercritical Fluid Extraction of Usnic Acid from the Lichen Species Usnea subfloridana. Russ. J. Phys. Chem. B 2020, 14, 1135–1141. [Google Scholar] [CrossRef]
- Brovko, O.S.; Ivakhnov, A.D.; Palamarchuk, I.A.; Boitsova, T.A. Supercritical Fluid Extraction of Usnic Acid from Lichen of Cladonia Genus. Russ. J. Phys. Chem. B 2017, 11, 1306–1311. [Google Scholar] [CrossRef]
- Dailey, R.; Siemion, R.; Raisbeck, M.; Jesse, C. Analysis of salazinic, norstictic, and usnic acids in Xanthoparmelia chlorochroa by ultra-performance liquid chromatography/tandem mass spectrometry. J. AOAC Int. 2010, 93, 1137–1142. [Google Scholar] [CrossRef]
- Fernandes, R.F.; Porto, A.B.; Flores, L.S.; Maia, L.F.; Corrêa, C.C.; Spielmann, A.S.; Edwards, H.G.M.; de Oliveira, L.F.C. Nature of light-absorbing pigments from Brazilian lichens identified by Raman spectroscopy. Vib. Spectrosc. 2018, 99, 59–66. [Google Scholar] [CrossRef]
- Galanty, A.; Paśko, P.; Podolak, I.; Zagrodzki, P. Optimization of usnic acid extraction conditions using fractional factorial design. Lichenologist 2020, 52, 397–401. [Google Scholar] [CrossRef]
- Studzińska-Sroka, E.; Tomczak, H.; Malińska, N.; Wrońska, M.; Kleszcz, R.; Galanty, A.; Cielecka-Piontek, J.; Latek, D.; Paluszczak, J. Cladonia uncialis as a valuable raw material of biosynthetic compounds against clinical strains of bacteria and fungi. Acta Biochim. Pol. 2019, 66, 397–401. [Google Scholar] [CrossRef]
- Popovici, V.; Matei, E.; Cozaru, G.C.; Bucur, L.; Gîrd, C.E.; Schröder, V.; Ozon, E.A.; Musuc, A.M.; Mitu, M.A.; Atkinson, I.; et al. In Vitro Anticancer Activity of Mucoadhesive Oral Films Loaded with Usnea barbata (L.) F. H. Wigg Dry Acetone Extract, with Potential Applications in Oral Squamous Cell Carcinoma Complementary Therapy. Antioxidants 2022, 11, 1934. [Google Scholar] [CrossRef]
- Popovici, V.; Bucur, L.; Gîrd, C.E.; Popescu, A.; Matei, E.; Cozaru, G.C.; Schröder, V.; Ozon, E.A.; Fița, A.C.; Lupuliasa, D.; et al. Phenolic Secondary Metabolites and Antiradical and Antibacterial Activities of Different Extracts of Usnea barbata (L.) Weber ex F.H. Wigg from Călimani Mountains, Romania. Pharmaceuticals 2022, 15, 829. [Google Scholar] [CrossRef]
- Basiouni, S.; Fayed, M.A.A.; Tarabees, R.; El-Sayed, M.; Elkhatam, A.; Töllner, K.R.; Hessel, M.; Geisberger, T.; Huber, C.; Eisenreich, W.; et al. Characterization of sunflower oil extracts from the lichen Usnea barbata. Metabolites 2020, 10, 353. [Google Scholar] [CrossRef]
- Sangster, J. LOGKOW Databank; Sangster Res. Lab.: Montreal, QC, Canada, 1994. [Google Scholar]
- Pub Chem. Available online: https://pubchem.ncbi.nlm.nih.gov/compound/5646 (accessed on 1 June 2023).
- González, A.G.; Barrera, J.B.; Pérez, E.M.R.; Padrón, C.E.H. Chemical Constituents of the Lichen Cladina macaronesica. Z. Naturforsch. Sect. C J. Biosci. 1991, 46, 12–18. [Google Scholar] [CrossRef]
- Cansaran, D.; Çetin, D.; Halici, M.G.; Atakol, O. Determination of usnic acid in some Rhizoplaca species from middle Anatolia and their antimicrobial activities. Z. Naturforsch. Sect. C J. Biosci. 2006, 61, 47–51. [Google Scholar] [CrossRef]
- Cansaran, D.; Kahya, D.; Yurdakulol, E.; Atakol, O. Identification and quantitation of usnic acid from the lichen Usnea species of Anatolia and antimicrobial activity. Z. Naturforsch. Sect. C J. Biosci. 2006, 61, 773–776. [Google Scholar] [CrossRef]
- Cansaran, D.; Atakol, O.; Halici, M.G.; Aksoy, A. HPLC analysis of usnic acid in some Ramalina species from Anatolia and investigation of their antimicrobial activities. Pharm. Biol. 2007, 45, 77–81. [Google Scholar] [CrossRef]
- Falk, A.; Green, T.K.; Barboza, P. Quantitative determination of secondary metabolites in Cladina stellaris and other lichens by micellar electrokinetic chromatography. J. Chromatogr. A 2008, 1182, 141–144. [Google Scholar] [CrossRef] [PubMed]
- Manojlovic, N.T.; Vasiljevic, P.J.; Maskovic, P.Z. Chemical composition and antioxidant activity of lichen Toninia candida. Rev. Bras. Farmacogn. 2012, 22, 291–298. [Google Scholar] [CrossRef]
- Thuan, N.H.; Polimati, H.; Alluri, R.; Tatipamula, V.B. Bioassay-guided isolation of antimycobacterial substances from the traditionally used lichen Cladonia pyxidata (L.) Hoffm. 3 Biotech 2022, 12, 95. [Google Scholar] [CrossRef]
- Schmeda-Hirschmann, G.; Tapia, A.; Lima, B.; Pertino, M.; Sortino, M.; Zacchino, S.; De Arias, A.R.; Feresin, G.E. A new antifungal and antiprotozoal depside from the Andean lichen Protousnea poeppigii. Phytother. Res. 2008, 22, 349–355. [Google Scholar] [CrossRef]
- König, G.M.; Wright, A.D. 1H and 13C-NMR and biological activity investigations of four lichen-derived compounds. Phytochem. Anal. 1999, 10, 279–284. [Google Scholar] [CrossRef]
- Zrnzević, I.; Jovanović, O.; Zlatanović, I.; Stojanović, I.; Petrović, G.; Stojanović, G. Constituents of Ramalina capitata (Ach.) Nyl. extracts. Nat. Prod. Res. 2017, 31, 857–860. [Google Scholar] [CrossRef] [PubMed]
- Ingelfinger, R.; Henke, M.; Roser, L.; Ulshöfer, T.; Calchera, A.; Singh, G.; Parnham, M.J.; Geisslinger, G.; Fürst, R.; Schmitt, I.; et al. Unraveling the Pharmacological Potential of Lichen Extracts in the Context of Cancer and Inflammation With a Broad Screening Approach. Front. Pharmacol. 2020, 11, 1322. [Google Scholar] [CrossRef] [PubMed]
- Tosun, F.; Kizilay, Ç.A.; Şener, B.; Vural, M. The evaluation of plants from Turkey for in vitro antimycobacterial activity. Pharm. Biol. 2005, 43, 58–63. [Google Scholar] [CrossRef]
- Kocovic, A.; Jeremic, J.; Bradic, J.; Sovrlic, M.; Tomovic, J.; Vasiljevic, P.; Andjic, M.; Draginic, N.; Grujovic, M.; Mladenovic, K.; et al. Phytochemical Analysis, Antioxidant, Antimicrobial, and Cytotoxic Activity of Different Extracts of Xanthoparmelia stenophylla Lichen from Stara Planina, Serbia. Plants 2022, 11, 1624. [Google Scholar] [CrossRef]
- Studzińska-Sroka, E.; Hołderna-Kędzia, E.; Galanty, A.; Bylka, W.; Kacprzak, K.; Ćwiklińska, K. In vitro antimicrobial activity of extracts and compounds isolated from Cladonia uncialis. Nat. Prod. Res. 2015, 29, 2302–2307. [Google Scholar] [CrossRef]
- Marante, F.J.T.; Castellano, A.G.; Rosas, F.E.; Aguiar, J.Q.; Barrera, J.B. Identification and quantitation of allelochemicals from the lichen Lethariella canariensis: Phytotoxicity and antioxidative activity. J. Chem. Ecol. 2003, 29, 2049–2071. [Google Scholar] [CrossRef] [PubMed]
- Ahmad, R.; Borowiec, P.; Falck-Ytter, A.B.; Strætkvern, K.O. Extraction, solubility and antimicrobial activity of (-) usnic acid in ethanol, a pharmaceutically relevant solvent. Nat. Prod. Commun. 2017, 12, 1101–1104. [Google Scholar] [CrossRef]
- Zugic, A.; Jeremic, I.; Isakovic, A.; Arsic, I.; Savic, S.; Tadic, V. Evaluation of anticancer and antioxidant activity of a commercially available CO2 supercritical extract of old man’s beard (Usnea barbata). PLoS ONE 2016, 11, e0146342. [Google Scholar] [CrossRef]
- Nekhoroshev, S.V.; Leonov, V.V.; Nekhorosheva, A.V.; Gornikov, N.V.; Kot, M.F.; Karpova, Y.A. Antimicrobial Activity of Some Lichen Extracts. Pharm. Chem. J. 2022, 55, 1190–1195. [Google Scholar] [CrossRef]
- Dai, Y.; Rozema, E.; Verpoorte, R.; Choi, Y.H. Application of natural deep eutectic solvents to the extraction of anthocyanins from Catharanthus roseus with high extractability and stability replacing conventional organic solvents. J. Chromatogr. A 2016, 1434, 50–56. [Google Scholar] [CrossRef]
- Silva, N.H.C.S.; Morais, E.S.; Freire, C.S.R.; Freire, M.G.; Silvestre, A.J.D. Extraction of high value triterpenic acids from Eucalyptus globulus biomass using hydrophobic deep eutectic solvents. Molecules 2020, 25, 210. [Google Scholar] [CrossRef] [PubMed]
- Strzemski, M.; Dresler, S.; Podkościelna, B.; Skic, K.; Sowa, I.; Załuski, D.; Verpoorte, R.; Zielińska, S.; Krawczyk, P.; Wójciak, M. Effectiveness of Volatile Natural Deep Eutectic Solvents (VNADESs) for the Green Extraction of Chelidonium majus Isoquinoline Alkaloids. Molecules 2022, 27, 2815. [Google Scholar] [CrossRef] [PubMed]
- Choi, Y.H.; van Spronsen, J.; Dai, Y.; Verberne, M.; Hollmann, F.; Arends, I.W.C.E.; Witkamp, G.J.; Verpoorte, R. Are natural deep eutectic solvents the missing link in understanding cellular metabolism and physiology? Plant Physiol. 2011, 156, 1701–1705. [Google Scholar] [CrossRef]
- Fernández, M.d.l.Á.; Boiteux, J.; Espino, M.; Gomez, F.J.V.; Silva, M.F. Natural deep eutectic solvents-mediated extractions: The way forward for sustainable analytical developments. Anal. Chim. Acta 2018, 1038, 1–10. [Google Scholar] [CrossRef]
- Shikov, A.N.; Kosman, V.M.; Flissyuk, E.V.; Smekhova, I.E.; Elameen, A.; Pozharitskaya, O.N. Natural deep eutectic solvents for the extraction of phenyletanes and phenylpropanoids of Rhodiola rosea L. Molecules 2020, 25, 1826. [Google Scholar] [CrossRef] [PubMed]
- Bajkacz, S.; Adamek, J. Evaluation of new natural deep eutectic solvents for the extraction of isoflavones from soy products. Talanta 2017, 168, 329–335. [Google Scholar] [CrossRef] [PubMed]
- Nicolae, C.-V.; Trică, B.; Doncea, S.-M.; Marinaș, I.C.; Oancea, F.; Constantinescu-Aruxandei, D. Evaluation and Optimization of Polysaccharides and Ferulic Acid Solubility in NADES Using Surface Response Methodology. Proceedings 2019, 29, 96. [Google Scholar]
- Obluchinskaya, E.D.; Pozharitskaya, O.N.; Zakharova, L.V.; Daurtseva, A.V.; Flisyuk, E.V.; Shikov, A.N. Efficacy of natural deep eutectic solvents for extraction of hydrophilic and lipophilic compounds from Fucus vesiculosus. Molecules 2021, 26, 4198. [Google Scholar] [CrossRef]
- Zhang, Y.; Tan, C.Y.; Spjut, R.W.; Fuchs, J.R.; Kinghorn, A.D.; Rakatondraibe, L.H. Specialized metabolites of the United States lichen Niebla homalea and their antiproliferative activities. Phytochemistry 2020, 180, 112521. [Google Scholar] [CrossRef]
- O’Neil, M.J.; Smith, A.; Heckelman, P.E.; Budavari, S. The Merck Index: An Encyclopedia of Chemicals, Drugs, and Biologicals; Merck and Co., Inc.: Rahway, NJ, USA, 2001; Volume 767, p. 4342. [Google Scholar]
- Dresler, S.; Strzemski, M.; Baczewska, I.; Koselski, M.; Hassanpouraghdam, M.B.; Szczepanek, D.; Sowa, I.; Wójciak, M.; Hanaka, A. Extraction of Isoflavones, Alpha-Hydroxy Acids, and Allantoin from Soybean Leaves—Optimization by a Mixture Design of the Experimental Method. Molecules 2023, 28, 3963. [Google Scholar] [CrossRef]
- Philibert, J. One and a half centrury of diffusion: Fick, Einstein, Before and Beyond. Diffus. Phundamentals 2005, 2, 1–10. [Google Scholar]




| One-Component Solvents | Solubility (mg/100 mL) | |
|---|---|---|
| Ethyl acetate | 656.72 | |
| Acetone | 636.70 | |
| Dimethyl sulfoxide | 345.52 | |
| Levulinic acid | 55.50 | |
| 1,3-Propanediol | 41.74 | |
| Ethanol | 32.76 | |
| Methanol | 13.35 | |
| Lactic acid | 5.07 | |
| Glycerol | 1.38 | |
| Water | 0.02 | |
| Lipophilic NADESs | Molar ratio | Solubility (mg/100 mL) |
| Thymol based | ||
| Thymol:borneol | 2:1 | 601.43 |
| Thymol:borneol | 3:1 | 1022.49 |
| Thymol:lactic acid:water | 1:2.79:1.55 | 401.43 |
| Thymol:lactic acid:water | 1:1.44:0.8 | 587.00 |
| Thymol:lactic acid:water | 1:2.7:1.5 | 319.10 |
| Thymol:menthol | 1:1 | 300.28 |
| Thymol:menthol | 2:3 | 498.85 |
| Thymol:lactic acid:water:choline chloride | 1:3.6:2:1 | 8.51 |
| Camphor based | ||
| Camphor:thymol | 1:1 | 396.97 |
| Camphor:thymol | 1:4 | 904.50 |
| Camphor:thymol | 3:2 | 805.83 |
| Camphor:thymol | 3:7 | 841.30 |
| Camphor:menthol | 2:3 | 369.79 |
| Menthol based | ||
| Menthol:lactic acid:water | 1:1.8:1 | 162.32 |
| Menthol:lauric acid | 2:1 | 113.98 |
| Menthol:myristic acid | 8:1 | 108.22 |
| Mean value | 465.125 (p < 0.0000) * | |
| Independent Variables | Responses | |||
|---|---|---|---|---|
| Molar Ratio Camphor:Thymo (X1) | Liquid:Solid Ratio (Volume/Mass) (X2) | Temp. (°C) (X3) | Time (min) (X4) | Usnic Acid (mg/g of Dry Lichen Thallus) |
| 0.3 | 12.5 | 27.5 | 20 | 11.30 ± 0.64 |
| 1.5 | 12.5 | 27.5 | 20 | 11.42 ± 0.03 |
| 0.3 | 60 | 27.5 | 20 | 13.09 ± 0.27 |
| 1.5 | 60 | 27.5 | 20 | 10.41 ± 0.11 |
| 0.875 | 36.25 | 20 | 10 | 9.25 ± 0.2 |
| 0.875 | 36.25 | 35 | 10 | 10.35 ± 0.13 |
| 0.875 | 36.25 | 20 | 30 | 9.12 ± 0.27 |
| 0.875 | 36.25 | 35 | 30 | 9.82 ± 0.14 |
| 0.3 | 36.25 | 27.5 | 10 | 10.73 ± 0.18 |
| 1.5 | 36.25 | 27.5 | 10 | 9.76 ± 0.28 |
| 0.3 | 36.25 | 27.5 | 30 | 13.10 ± 0.19 |
| 1.5 | 36.25 | 27.5 | 30 | 10.46 ± 1.11 |
| 0.875 | 12.5 | 20 | 20 | 11.39 ± 0.24 |
| 0.875 | 60 | 20 | 20 | 9.45 ± 0.16 |
| 0.875 | 12.5 | 35 | 20 | 9.86 ± 0.29 |
| 0.875 | 60 | 35 | 20 | 10.15 ± 0.25 |
| 0.3 | 36.25 | 20 | 20 | 11.21 ± 0.35 |
| 1.5 | 36.25 | 20 | 20 | 10.43 ± 0.31 |
| 0.3 | 36.25 | 35 | 20 | 12.52 ± 0.22 |
| 1.5 | 36.25 | 35 | 20 | 10.62 ± 0.34 |
| 0.875 | 12.5 | 27.5 | 10 | 10.73 ± 0.36 |
| 0.875 | 60 | 27.5 | 10 | 8.11 ± 0.16 |
| 0.875 | 12.5 | 27.5 | 30 | 10.07 ± 0.53 |
| 0.875 | 60 | 27.5 | 30 | 11.26 ± 0.02 |
| 0.875 | 36.25 | 27.5 | 20 | 9.91 ± 0.17 |
| 0.875 | 36.25 | 27.5 | 20 | 10.58 ± 0.29 |
| 0.875 | 36.25 | 27.5 | 20 | 11.31 ± 0.49 |
| 0.875 | 36.25 | 27.5 | 20 | 11.05 ± 0.44 |
| 0.875 | 36.25 | 27.5 | 20 | 11.14 ± 0.28 |
| Fit Statistics | ||||
|---|---|---|---|---|
| R2 | 0.7127 | |||
| Adjusted R2 | 0.6170 | |||
| Predicted R2 | 0.4692 | |||
| Adeq Precision | 11.936 | |||
| Term 1 | Coefficient estimate | Sum of squares | df | p-value |
| Model | 24.39 | 7 | 0.0002 | |
| Intercept | 10.92 | |||
| X1 | −0.9162 | 12.97 | 1 | <0.0001 |
| X2 | 0.0740 | 0.0452 | 1 | 0.7591 |
| X4 | 0.4083 | 2.00 | 1 | 0.0512 |
| X1X2 | −0.3985 | 1.87 | 1 | 0.0588 |
| X2X4 | 0.9525 | 3.63 | 1 | 0.0111 |
| X12 | 0.3402 | 6.87 | 1 | 0.0010 |
| X42 | −0.5690 | 2.23 | 1 | 0.0404 |
| Residual | 9.32 | 21 | ||
| Lack of Fit | 8.55 | 17 | 0.3559 | |
| Pure Error | 1.28 | 4 | ||
| Cor Total | 34.22 | 28 | ||
| No. | Camphor:Thymol Ratio (X1) | Liquid:Solid Ratio (X2) | Temperature (X3) | Time (X4) | Response Usnic Acid Extraction Yield (mg/g DW) |
|---|---|---|---|---|---|
| 1 | 0.304 | 57.548 | 27.5 | 28.434 | 13.241 |
| 2 | 0.314 | 58.780 | 27.5 | 25.580 | 13.108 |
| 3 | 0.300 | 56.705 | 27.5 | 26.134 | 13.127 |
| 4 | 0.320 | 59.081 | 27.5 | 28.906 | 13.252 |
| 5 | 0.327 | 58.932 | 27.5 | 27.046 | 13.130 |
| 6 | 0.305 | 59.460 | 27.5 | 24.717 | 13.120 |
| 7 | 0.342 | 59.728 | 27.5 | 28.923 | 13.168 |
| 8 | 0.309 | 58.512 | 27.5 | 25.271 | 13.100 |
| 9 | 0.362 | 59.986 | 27.5 | 29.992 | 13.104 |
| 10 | 0.308 | 58.228 | 27.5 | 29.341 | 13.282 |
| Response Variables | Predicted Mean Value | Experimental Mean Values | 95% PI Low | 95% PI High | RD (%) |
|---|---|---|---|---|---|
| Usnic acid (mg/g DW) | 13.44 | 13.08 | 11.93 | 14.96 | −0.36 |
Disclaimer/Publisher’s Note: The statements, opinions and data contained in all publications are solely those of the individual author(s) and contributor(s) and not of MDPI and/or the editor(s). MDPI and/or the editor(s) disclaim responsibility for any injury to people or property resulting from any ideas, methods, instructions or products referred to in the content. |
© 2023 by the authors. Licensee MDPI, Basel, Switzerland. This article is an open access article distributed under the terms and conditions of the Creative Commons Attribution (CC BY) license (https://creativecommons.org/licenses/by/4.0/).
Share and Cite
Kulinowska, M.; Dresler, S.; Skalska-Kamińska, A.; Hanaka, A.; Strzemski, M. Methodological Aspects of Green Extraction of Usnic Acid Using Natural Deep Eutectic Solvents. Molecules 2023, 28, 5321. https://doi.org/10.3390/molecules28145321
Kulinowska M, Dresler S, Skalska-Kamińska A, Hanaka A, Strzemski M. Methodological Aspects of Green Extraction of Usnic Acid Using Natural Deep Eutectic Solvents. Molecules. 2023; 28(14):5321. https://doi.org/10.3390/molecules28145321
Chicago/Turabian StyleKulinowska, Magdalena, Sławomir Dresler, Agnieszka Skalska-Kamińska, Agnieszka Hanaka, and Maciej Strzemski. 2023. "Methodological Aspects of Green Extraction of Usnic Acid Using Natural Deep Eutectic Solvents" Molecules 28, no. 14: 5321. https://doi.org/10.3390/molecules28145321
APA StyleKulinowska, M., Dresler, S., Skalska-Kamińska, A., Hanaka, A., & Strzemski, M. (2023). Methodological Aspects of Green Extraction of Usnic Acid Using Natural Deep Eutectic Solvents. Molecules, 28(14), 5321. https://doi.org/10.3390/molecules28145321

