S-Ethyl-Isothiocitrullin-Based Dipeptides and 1,2,4-Oxadiazole Pseudo-Dipeptides: Solid Phase Synthesis and Evaluation as NO Synthase Inhibitors
Abstract
1. Introduction
2. Results and Discussion
2.1. Chemistry
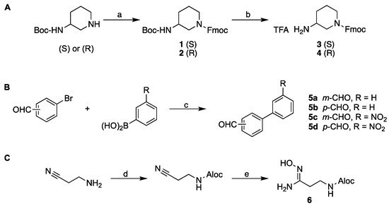
2.1.1. Synthesis of Dipeptide-like Compounds 7–27 (Scheme 2)

2.1.2. Synthesis of 1,2,4-Oxadiazole Analogs 28–42 (Scheme 3)

2.2. Biological Evaluation
2.2.1. Inhibition of NO Synthases
![]() | |||||
|---|---|---|---|---|---|
| Cpds | R | St 2 | IC50 (μM) | ||
| nNOS (Rat) | iNOS (Mouse) | eNOS (Bovine) | |||
| 7 | ![]() | (S) | 17.5 | 73.4 | NI |
| 8 | ![]() | (R) | 15.6 | 25.6 | NI |
| 9 | ![]() | (S) | 51.1 | 51.0 | NI |
| 10 | ![]() | (S) | 2.0 | 23.9 | 26.7 |
| 11 | ![]() | (R) | 17.5 | 73.4 | 25.4 |
| 12 | ![]() | (S) | NI | 46.0 | NI |
| 13 | ![]() | (R) | 30.6 | 78.9 | NI |
| 14 | ![]() | (S) | 5.4 | 27.8 | ND |
| 15 | ![]() | (S) | 25.2 | 31.3 | NI |
| 16 | ![]() | (S) | 49.6 | 54.9 | NI |
| 17 | ![]() | (S) | 5.0 | 12.9 | NI |
| 18 | ![]() | (S) | 6.0 | NI | NI |
| 19 | ![]() | (S) | 7.7 | NI | NI |
| 20 | ![]() | (S) | 15.4 | NI | NI |
| 21 | ![]() | (S) | 1.0 | 45.5 | NI |
| 22 | ![]() | (S) | 12.7 | 11.9 | NI |
| 23 | ![]() | (S) | 5.4 | 46.9 | NI |
| 24 | ![]() | (S) | 3.5 | 21.6 | 18.0 |
| 25 | ![]() | (S) | 2.8 | 36.5 | NI |
| 26 | ![]() | (S) | 1.3 | 48.3 | NI |
| 27 | ![]() | (S) | 9.5 | NI | NI |
![]() | |||||
|---|---|---|---|---|---|
| Cpds | R1 | R2 | IC50 (μM) | ||
| nNOS (Rat) | iNOS (Mouse) | eNOS (Bovine) | |||
| 28 | -H | -H | 58.9 | 83.7 | NI |
| 29 | ![]() | -H | 13.4 | 11.1 | 17.9 |
| 30 | ![]() | -R1 | 1.6 | 1.3 | 99.6 |
| 31 | ![]() | -R1 | 9.9 | 11.1 | NI |
| 32 | ![]() | -H | 60.1 | 51.6 | ND |
| 33 | ![]() | -R1 | 10.1 | 71.5 | NI |
| 34 | ![]() | -R1 | 1.4 | 4.0 | NI |
| 35 | ![]() | -R1 | 0.4 | 11.7 | NI |
| 36 | ![]() | -R1 | 3.1 | 24.3 | 20.2 |
| 37 | ![]() | -R1 | 0.3 | 15.8 | 11.8 |
| 38 | ![]() | -R1 | 0.6 | 15.9 | 3.9 |
| 39 | ![]() | -H | 27.0 | 8.0 | 48.2 |
| 40 | ![]() | -R1 | 61.0 | 2.0 | NI |
| 41 | ![]() | -H | 3.0 | 36.3 | ND |
| 42 | ![]() | -R1 | 1.1 | 7.0 | NI |
2.2.2. Spectral Studies
2.2.3. Cell Toxicity
2.2.4. Inhibition of NOS in Cells
2.3. Modeling Study
2.3.1. Compound 21
2.3.2. Compound 26
2.3.3. Compound 30
2.3.4. Compound 35
3. Conclusions
4. Materials and Methods
4.1. General
4.1.1. Materials
4.1.2. NMR Spectroscopy
4.1.3. Analysis and Purification
4.2. Chemical Synthesis of the Supported Intermediates
4.2.1. Synthesis of the Supported Dipeptide-like Intermediates VI (S) and (R)
4.2.2. Synthesis of the Supported Dipeptide-like Intermediates VII: Reductive Amination
4.2.3. Synthesis of the Supported 1,2,4-Oxadiazole Intermediate VIII
4.2.4. General Synthesis of the Supported 1,2,4-Oxadiazole Intermediates IX: Mono-Alkylation
4.2.5. General Synthesis of the Supported 1,2,4-Oxadiazole Intermediates X: Homo-Dialkylation
4.2.6. Synthesis of Supported S-Ethyl-Isothiourea Derivatives
4.2.7. Cleavage from the Solid Support
4.3. Biological Evaluation
4.3.1. Production of Recombinant NOSs
4.3.2. Measurement of NO Production by Recombinant NOSs
4.3.3. Effects of Selected Compounds on UV-Visible Spectra of n- and iNOSoxy
4.3.4. Evaluation of Cellular Models
4.4. Modeling Study
Supplementary Materials
Author Contributions
Funding
Institutional Review Board Statement
Informed Consent Statement
Data Availability Statement
Acknowledgments
Conflicts of Interest
Sample Availability
References
- Bredt, D.S.; Snyder, S.H. Nitric oxide: A physiologic messenger molecule. Annu. Rev. Biochem. 1994, 63, 175–195. [Google Scholar] [CrossRef] [PubMed]
- Vallance, P. Nitric oxide: Therapeutic opportunities. Fundam. Clin. Pharmacol. 2003, 17, 1–10. [Google Scholar] [CrossRef]
- Alderton, W.K.; Cooper, C.E.; Knowles, R.G. Nitric oxide synthases: Structure, function and inhibition. Biochem. J. 2001, 357, 593–615. [Google Scholar] [CrossRef] [PubMed]
- Zhou, L.; Zhu, D.-Y. Neuronal nitric oxide synthase: Structure, subcellular localization, regulation, and clinical implications. Nitric Oxide 2009, 20, 223–230. [Google Scholar] [CrossRef] [PubMed]
- Lajoix, A.-D.; Reggio, H.; Chardès, T.; Péraldi-Roux, S.; Tribillac, F.; Roye, M.; Dietz, S.; Broca, C.; Manteghetti, M.; Ribes, G.; et al. A neuronal isoform of nitric oxide synthase expressed in pancreatic beta-cells controls insulin secretion. Diabetes 2001, 50, 1311–1323. [Google Scholar] [CrossRef]
- Krol, M.; Kepinska, M. Human Nitric Oxide Synthase—Its functions, polymorphisms, and inhibitors in the context of inflammation, diabetes and cardiovascular diseases. Int. J. Mol. Sci. 2020, 22, 56. [Google Scholar] [CrossRef]
- Bogdan, C. Nitric oxide synthase in innate and adaptive immunity: An update. Trends Immunol. 2015, 36, 161–178. [Google Scholar] [CrossRef]
- Campbell, M.G.; Smith, B.C.; Potter, C.S.; Carragher, B.; Marletta, M.A. Molecular architecture of mammalian nitric oxide synthases. Proc. Natl. Acad. Sci. USA 2014, 111, E3614–E3623. [Google Scholar] [CrossRef]
- Stuehr, D.J.; Haque, M.M. Nitric oxide synthase enzymology in the twenty years after the Nobel Prize. Br. J. Pharmacol. 2019, 176, 177–188. [Google Scholar] [CrossRef]
- Carvalho-Filho, M.A.; Ueno, M.; Hirabara, S.M.; Seabra, A.B.; Carvalheira, J.B.; de Oliveira, M.G.; Velloso, L.A.; Curi, R.; Saad, M.J. S-Nitrosation of the insulin receptor, insulin receptor substrate 1, and protein kinase B/Akt: A novel mechanism of insulin resistance. Diabetes 2005, 54, 959–967. [Google Scholar] [CrossRef]
- Franco, M.C.; Estévez, A.G. Tyrosine nitration as mediator of cell death. Cell. Mol. Life Sci. 2014, 71, 3939–3950. [Google Scholar] [CrossRef] [PubMed]
- Moldogazieva, N.T.; Lutsenko, S.V.; Terentiev, A.A. Reactive oxygen and nitrogen species-induced protein modifications: Implication in carcinogenesis and anticancer therapy. Cancer Res. 2018, 78, 6040–6047. [Google Scholar] [CrossRef] [PubMed]
- Ferrer-Sueta, G.; Campolo, N.; Trujillo, M.; Bartesaghi, S.; Carballal, S.; Romero, N.; Alvarez, B.; Radi, R. Biochemistry of peroxynitrite and protein tyrosine nitration. Chem. Rev. 2018, 118, 1338–1408. [Google Scholar] [CrossRef] [PubMed]
- Sims, N.R.; Anderson, M.F. Mitochondrial contributions to tissue damage in stroke. Neurochem. Int. 2002, 40, 511–526. [Google Scholar] [CrossRef] [PubMed]
- Dawson, V.L.; Dawson, T.M. Nitric oxide in neurodegeneration. Prog. Brain Res. 1998, 118, 215–229. [Google Scholar] [CrossRef]
- Yang, Z.; Misner, B.; Ji, H.; Poulos, T.L.; Silverman, R.B.; Meyskens, F.L.; Yang, S. Targeting nitric oxide signaling with nNOS inhibitors as a novel strategy for the therapy and prevention of human melanoma. Antioxid. Redox Signal. 2013, 19, 433–447. [Google Scholar] [CrossRef]
- Boveris, A.; Alvarez, S.; Navarro, A. The role of mitochondrial nitric oxide synthase in inflammation and septic shock. Free Radic. Biol. Med. 2002, 33, 1186–1193. [Google Scholar] [CrossRef]
- Perreault, M.; Marette, A. Targeted disruption of inducible nitric oxide synthase protects against obesity-linked insulin resistance in muscle. Nat. Med. 2001, 7, 1138–1143. [Google Scholar] [CrossRef]
- Mocellin, S.; Bronte, V.; Nitti, D. Nitric oxide, a double-edged sword in cancer biology: Searching for therapeutic opportunities. Med. Res. Rev. 2007, 27, 317–352. [Google Scholar] [CrossRef]
- Grimm, E.A.; Ellerhorst, J.; Tang, C.H.; Ekmekcioglu, S. Constitutive intracellular production of iNOS and NO in human melanoma: Possible role in regulation of growth and resistance to apoptosis. Nitric Oxide 2008, 19, 133–137. [Google Scholar] [CrossRef]
- Li, J.; Vause, C.V.; Durham, P.L. Calcitonin gene-related stimulation of nitric oxide synthesis and release from trigeminal ganglion glial cells. Brain Res. 2008, 1196, 22–32. [Google Scholar] [CrossRef]
- Cinelli, M.A.; Do, H.T.; Miley, G.P.; Silverman, R.B. Inducible nitric oxide synthase: Regulation, structure, and inhibition. Med. Res. Rev. 2020, 40, 158–189. [Google Scholar] [CrossRef]
- Vallance, P.; Leiper, J. Blocking NO synthesis: How, where and why? Nat. Rev. Drugs Discov. 2002, 1, 939–950. [Google Scholar] [CrossRef] [PubMed]
- Crane, B.R.; Arvai, A.S.; Ghosh, D.K.; Wu, C.; Getzoff, E.D.; Stuehr, D.J.; Tainer, J.A. Structure of nitric oxide synthase oxygenase dimer with pterin and substrate. Science 1998, 279, 2121–2126. [Google Scholar] [CrossRef]
- Fischmann, T.O.; Hruza, A.; Niu, X.D.; Fossetta, J.D.; Lunn, C.A.; Dolphin, E.; Prongay, A.J.; Reichert, P.; Lundell, D.J.; Narula, S.K.; et al. Structural characterization of nitric oxide synthase isoforms reveals striking active-site conservation. Nat. Struct. Biol. 1999, 6, 233–242. [Google Scholar] [CrossRef] [PubMed]
- Doukov, T.; Li, H.; Soltis, M.; Poulos, T.L. Single crystal structure and absorption spectral characterizations of nitric oxide synthase complexed with Nω-hydroxy-L-arginine and diatomic ligands. Biochemistry 2009, 48, 10246–10254. [Google Scholar] [CrossRef] [PubMed]
- Li, H.; Jamal, J.; Plaza, C.; Pineda, S.H.; Chreifi, G.; Jing, Q.; Cinelli, M.A.; Silverman, R.B.; Poulos, T.L. Structures of human constitutive nitric oxide synthases. Acta Cryst. D Biol. Cryst. 2014, D70, 2667–2674. [Google Scholar] [CrossRef]
- Silverman, R.B. Design of selective neuronal nitric oxide synthase inhibitors for the prevention and treatment of neurodegenerative diseases. Acc. Chem. Res. 2009, 42, 439–451. [Google Scholar] [CrossRef]
- Flinspach, M.L.; Li, H.; Jamal, J.; Yang, W.; Huang, H.; Hah, J.M.; Gomez-Vidal, J.A.; Litzinger, E.A.; Silverman, R.B.; Poulos, T.L. Structural basis for dipeptide amide isoform-selective inhibition of neuronal nitric oxide synthase. Nat. Struct. Mol. Biol. 2004, 11, 54–59. [Google Scholar] [CrossRef]
- Poulos, T.L.; Li, H. Nitric oxide synthase and structure-based inhibitor design. Nitric Oxide 2017, 63, 68–77. [Google Scholar] [CrossRef]
- Ji, H.; Stanton, B.Z.; Igarashi, J.; Li, H.; Martasek, P.; Roman, L.J.; Poulos, T.L.; Silverman, R.B. Minimal pharmacophoric elements and fragment hopping, an approach directed at molecular diversity and isozyme selectivity. Design of selective neuronal nitric oxide synthase inhibitors. J. Am. Chem. Soc. 2008, 130, 3900–3914. [Google Scholar] [CrossRef]
- Garvey, E.P.; Oplinger, J.A.; Furfine, E.S.; Kiff, R.J.; Laszlo, F.; Whittle, B.J.; Knowles, R.G. 1400W is a slow, tight binding, and highly selective inhibitor of inducible nitric oxide synthase in vitro and in vivo. J. Biol. Chem. 1997, 272, 4959–4963. [Google Scholar] [CrossRef]
- Zhu, Y.; Nikolic, D.; Van Breemen, R.B.; Silverman, R.B. Mechanism of inactivation of inducible nitric oxide synthase by amidines. Irreversible enzyme inactivation without inactivator modification. J. Am. Chem. Soc. 2005, 127, 858–868. [Google Scholar] [CrossRef] [PubMed]
- Alderton, W.K.; Angell, A.D.; Craig, C.; Dawson, J.; Garvey, E.; Moncada, S.; Monkhouse, J.; Rees, D.; Russell, L.J.; Russell, R.J.; et al. GW274150 and GW273629 are potent and highly selective inhibitors of inducible nitric oxide synthase in vitro and in vivo. Br. J. Pharmacol. 2005, 145, 301–312. [Google Scholar] [CrossRef] [PubMed]
- McMillan, K.; Adler, M.; Auld, D.S.; Baldwin, J.J.; Blasko, E.; Browne, L.J.; Chelsky, D.; Davey, D.; Dolle, R.E.; Eagen, K.A.; et al. Allosteric inhibitors of inducible nitric oxide synthase dimerization discovered via combinatorial chemistry. Proc. Natl. Acad. Sci. USA 2000, 97, 1506–1511. [Google Scholar] [CrossRef] [PubMed]
- Nagpal, L.; Haque, M.H.; Saha, A.; Mukherjee, N.; Ghosh, A.; Ranu, B.C.; Stuehr, D.J.; Panda, K. Mechanism of inducible nitric-oxide synthase dimerization inhibition by novel pyrimidine imidazoles. J. Biol. Chem. 2013, 288, 19685–19697. [Google Scholar] [CrossRef]
- Garcin, E.D.; Arvai, A.S.; Rosenfeld, R.J.; Kroeger, M.D.; Crane, B.R.; Andersson, G.; Andrews, G.; Hamley, P.J.; Mallinder, P.R.; Nicholls, D.J.; et al. Anchored plasticity opens door for selective inhibitor design in nitric oxide synthase. Nat. Chem. Biol. 2008, 4, 700–707. [Google Scholar] [CrossRef]
- Van der Schueren, B.J.; Lunnon, M.W.; Laurijssens, B.E.; Guillard, F.; Palmer, J.; Van Hecken, A.; Depré, M.; Vanmolkot, F.H.; de Hoon, J.N. Does the unfavourable pharmacokinetic and pharmacodynamic profile of the iNOS inhibitor GW273629 lead to inefficacy in acute migraine? J. Clin. Pharmacol. 2009, 49, 281–290. [Google Scholar] [CrossRef]
- Hougaard, A.; Hauge, A.W.; Guo, S.; Tfelt-Hansen, P. The nitric oxide synthase inhibitor and serotonin-receptor agonist NXN-188 during the aura phase of migraine with aura: A randomized, double-blind, placebo-controlled cross-over study. Scand. J. Pain 2013, 4, 48–52. [Google Scholar] [CrossRef]
- Barbanti, P.; Egeo, G.; Aurilia, C.; Fofi, L.; Della-Morte, D. Drugs targeting nitric oxide synthase for migraine treatment. Expert Opin. Investig. Drugs 2014, 23, 1141–1148. [Google Scholar] [CrossRef]
- Grover, R.; Zaccardelli, D.; Colice, G.; Guntupalli, K.; Watson, D.; Vincent, J.L. An open-label dose escalation study of the nitric oxide synthase inhibitor, N(G)-methyl-L-arginine hydrochloride (546C88), in patients with septic shock. Glaxo Wellcome International Septic Shock Study Group. Crit. Care Med. 1999, 27, 913–922. [Google Scholar] [CrossRef]
- Dao, V.T.; Elbatreek, M.H.; Fuchß, T.; Grädler, U.; Schmidt, H.H.H.W.; Shah, A.M.; Wallace, A.; Knowles, R. Nitric Oxide Synthase inhibitors into the clinic at last. Handb. Exp. Pharmacol. 2021, 264, 169–204. [Google Scholar] [CrossRef]
- Casas, A.I.; Hassan, A.A.; Larsen, S.J.; Gomez-Rangel, V.; Elbatreek, M.; Kleikers, P.W.M.; Guney, E.; Egea, J.; López, M.G.; Baumbach, J.; et al. From single drug targets to synergistic network pharmacology in ischemic stroke. Proc. Natl. Acad. Sci. USA 2019, 116, 7129–7136. [Google Scholar] [CrossRef] [PubMed]
- Mohamed, M.F.; Marzouk, A.A.; Nafady, A.; El-Gamal, D.A.; Allam, R.M.; Abuo-Rahma, G.E.A.; El Subbagh, H.I.; Moustafa, A.H. Design, synthesis and molecular modeling of novel aryl carboximidamides and 3-aryl-1,2,4-oxadiazoles derived from indomethacin as potent anti-inflammatory iNOS/PGE2 inhibitors. Bioorg. Chem. 2020, 105, 104439. [Google Scholar] [CrossRef] [PubMed]
- Chung, A.W.; Anand, K.; Anselme, A.C.; Chan, A.A.; Gupta, N.; Venta, L.A.; Schwartz, M.R.; Qian, W.; Xu, Y.; Zhang, L.; et al. A phase 1/2 clinical trial of the nitric oxide synthase inhibitor L-NMMA and taxane for treating chemoresistant triple-negative breast cancer. Sci. Transl. Med. 2021, 13, eabj5070. [Google Scholar] [CrossRef] [PubMed]
- Do, H.T.; Li, H.; Chreifi, G.; Poulos, T.L.; Silverman, R.B. Optimization of blood-brain barrier permeability with potent and selective human neuronal nitric oxide synthase inhibitors having a 2-aminopyridine scaffold. J. Med. Chem. 2019, 62, 2690–2707. [Google Scholar] [CrossRef] [PubMed]
- Vasu, D.; Li, H.; Hardy, C.D.; Poulos, T.L.; Silverman, R.B. 2-Aminopyridines with a shortened amino sidechain as potent, selective, and highly permeable human neuronal nitric oxide synthase inhibitors. Bioorg. Med. Chem. 2022, 69, 116878. [Google Scholar] [CrossRef] [PubMed]
- Touati-Jallabe, Y.; Tintillier, T.; Mauchauffée, E.; Boucher, J.-L.; Leroy, J.; Ramassamy, B.; Hamzé, A.; Mezghenna, K.; Bouzekrini, A.; Verna, C.; et al. Solid-Phase Synthesis of substrate-based dipeptides and heterocyclic pseudo-dipeptides as potential NO Synthase inhibitors. ChemMedChem 2020, 15, 517–531. [Google Scholar] [CrossRef]
- Hamzé, A.; Martinez, J.; Hernandez, J.-F. Solid-phase synthesis of arginine-containing peptides and fluorogenic substrates using a side-chain anchoring approach. J. Org. Chem. 2004, 69, 8394–8402. [Google Scholar] [CrossRef]
- Huang, H.; Martasek, P.; Roman, L.J.; Silverman, R.B. Synthesis and evaluation of peptidomimetics as selective inhibitors and active site probes of nitric oxide synthases. J. Med. Chem. 2000, 43, 2938–2945. [Google Scholar] [CrossRef]
- Seo, J.; Martásek, P.; Roman, L.J.; Silverman, R.B. Selective L-nitroargininylaminopyrrolidine and L-nitroargininylaminopiperidine neuronal nitric oxide synthase inhibitors. Bioorg. Med. Chem. 2007, 15, 1928–1938. [Google Scholar] [CrossRef]
- Boström, J.; Hogner, A.; Llinas, A.; Wellner, E.; Plowright, A.T. Oxadiazoles in medicinal chemistry. J. Med. Chem. 2012, 55, 1817–1830. [Google Scholar] [CrossRef]
- Hevel, J.M.; Marletta, M.A. Nitric oxide synthase assays. Meth. Enzymol. 1994, 233, 250–258. [Google Scholar] [CrossRef]
- McMillan, K.; Masters, B.S. Optical difference spectrophotometry as a probe of rat brain nitric oxide synthase heme-substrate interaction. Biochemistry 1993, 32, 9875–9880. [Google Scholar] [CrossRef] [PubMed]
- Nakane, M.; Klinghofer, V.; Kuk, J.E.; Donnelly, J.L.; Budzik, G.P.; Pollock, J.S.; Basha, F.; Carter, G.W. Novel potent and selective inhibitors of inducible nitric oxide synthase. Mol. Pharmacol. 1995, 47, 831–834. [Google Scholar] [PubMed]
- Brown, G.C.; Cooper, C.E. Nanomolar concentrations of nitric oxide reversibly inhibit synaptosomal respiration by competing with oxygen at cytochrome oxidase. FEBS Lett. 1994, 356, 295–298. [Google Scholar] [CrossRef]
- Lajoix, A.-D.; Badiou, S.; Péraldi-Roux, S.; Chardès, T.; Dietz, S.; Aknin, C.; Tribillac, F.; Petit, P.; Gross, R. Protein inhibitor of neuronal nitric oxide synthase (PIN) is a new regulator of glucose-induced insulin secretion. Diabetes 2006, 55, 3279–3288. [Google Scholar] [CrossRef]
- Moali, C.; Boucher, J.-L.; Sari, M.A.; Stuehr, D.J.; Mansuy, D. Substrate specificity of NO synthases: Detailed comparison of L-arginine, homo-L-arginine, their Nω-hydroxy derivatives, and Nω-hydroxynor-L-arginine. Biochemistry 1998, 37, 10453–10460. [Google Scholar] [CrossRef]
- Wu, C.; Zhang, J.; Abu-Soud, H.; Ghosh, D.K.; Stuehr, D.J. High-level expression of mouse inducible nitric oxide synthase in Escherichia coli requires coexpression with calmodulin. Biochem. Biophys. Res. Commun. 1996, 222, 439–444. [Google Scholar] [CrossRef] [PubMed]
- Ghosh, S.; Gachhui, R.; Crooks, C.; Wu, C.; Lisanti, M.P.; Stuehr, D.J. Interaction between caveolin-1 and the reductase domain of endothelial nitric-oxide synthase. Consequences for catalysis. J. Biol. Chem. 1998, 273, 22267–22271. [Google Scholar] [CrossRef]
- Abu-Soud, H.M.; Gachhui, R.; Raushel, F.M.; Stuehr, D.J. The ferrous-dioxy complex of neuronal nitric oxide synthase. Divergent effects of L-arginine and tetrahydrobiopterin on its stability. J. Biol. Chem. 1997, 272, 17349–17353. [Google Scholar] [CrossRef] [PubMed]
- Ghosh, D.K.; Wu, C.; Pitters, E.; Moloney, M.; Werner, E.R.; Mayer, B.; Stuehr, D.J. Characterization of the inducible nitric oxide synthase oxygenase domain identifies a 49 amino acid segment required for subunit dimerization and tetrahydrobiopterin interaction. Biochemistry 1997, 36, 10609–10619. [Google Scholar] [CrossRef] [PubMed]
- Bradford, M.M. A rapid and sensitive method for the quantitation of microgram quantities of protein utilizing the principle of protein-dye binding. Anal. Biochem. 1976, 72, 248–252. [Google Scholar] [CrossRef]
- Stuehr, D.J.; Ikeda-Saito, M. Spectral characterization of brain and macrophage nitric oxide synthases. Cytochrome P-450-like hemeproteins that contain a flavin semiquinone radical. J. Biol. Chem. 1992, 267, 20547–20550. [Google Scholar] [CrossRef] [PubMed]
- Asfari, M.; Janjic, D.; Meda, P.; Li, G.; Halban, P.A.; Wollheim, C.B. Establishment of 2-mercaptoethanol-dependent differentiated insulin-secreting cell lines. Endocrinology 1992, 130, 167–178. [Google Scholar] [CrossRef]
- Green, L.C.; Wagner, D.A.; Glogowski, J.; Skipper, P.L.; Wishnok, J.S.; Tannenbaum, S.R. Analysis of nitrate, nitrite, and [15N]nitrate in biological fluids. Anal. Biochem. 1982, 126, 131–138. [Google Scholar] [CrossRef]
- Morris, G.M.; Huey, R.; Lindstrom, W.; Sanner, M.F.; Belew, R.K.; Goodsell, D.S.; Olson, A.J. AutoDock4 and AutoDockTools4: Automated docking with selective receptor flexibility. J. Comput. Chem. 2009, 16, 2785–2791. [Google Scholar] [CrossRef]
- Sanner, M.F. Python: A programming language for software integration and development. J. Mol. Graph. Mod. 1999, 17, 57–61. [Google Scholar]





| Cpds | Ks (μM) | |
|---|---|---|
| nNOSoxy | iNOSoxy | |
| SEITU | 6.4 ± 1.5 | 1.7 ± 0.1 |
| 7 | 7.1 ± 2.6 | 406 ± 97 |
| 17 | 3.6 ± 1.5 | 36.4 ± 4.6 |
| 19 | 5.2 ± 1.1 | 96 ± 36 |
| 23 | 11.4 ± 3.8 | 92.5 ± 8.8 |
| 27 | 70.6 ± 22.8 | 57.9 ± 8.0 |
| 35 | 47.1 ± 13.0 | 42.4 ± 8.7 |
Disclaimer/Publisher’s Note: The statements, opinions and data contained in all publications are solely those of the individual author(s) and contributor(s) and not of MDPI and/or the editor(s). MDPI and/or the editor(s) disclaim responsibility for any injury to people or property resulting from any ideas, methods, instructions or products referred to in the content. |
© 2023 by the authors. Licensee MDPI, Basel, Switzerland. This article is an open access article distributed under the terms and conditions of the Creative Commons Attribution (CC BY) license (https://creativecommons.org/licenses/by/4.0/).
Share and Cite
Mauchauffée, E.; Leroy, J.; Chamcham, J.; Ejjoummany, A.; Maurel, M.; Nauton, L.; Ramassamy, B.; Mezghenna, K.; Boucher, J.-L.; Lajoix, A.-D.; et al. S-Ethyl-Isothiocitrullin-Based Dipeptides and 1,2,4-Oxadiazole Pseudo-Dipeptides: Solid Phase Synthesis and Evaluation as NO Synthase Inhibitors. Molecules 2023, 28, 5085. https://doi.org/10.3390/molecules28135085
Mauchauffée E, Leroy J, Chamcham J, Ejjoummany A, Maurel M, Nauton L, Ramassamy B, Mezghenna K, Boucher J-L, Lajoix A-D, et al. S-Ethyl-Isothiocitrullin-Based Dipeptides and 1,2,4-Oxadiazole Pseudo-Dipeptides: Solid Phase Synthesis and Evaluation as NO Synthase Inhibitors. Molecules. 2023; 28(13):5085. https://doi.org/10.3390/molecules28135085
Chicago/Turabian StyleMauchauffée, Elodie, Jérémy Leroy, Jihanne Chamcham, Abdelaziz Ejjoummany, Manon Maurel, Lionel Nauton, Booma Ramassamy, Karima Mezghenna, Jean-Luc Boucher, Anne-Dominique Lajoix, and et al. 2023. "S-Ethyl-Isothiocitrullin-Based Dipeptides and 1,2,4-Oxadiazole Pseudo-Dipeptides: Solid Phase Synthesis and Evaluation as NO Synthase Inhibitors" Molecules 28, no. 13: 5085. https://doi.org/10.3390/molecules28135085
APA StyleMauchauffée, E., Leroy, J., Chamcham, J., Ejjoummany, A., Maurel, M., Nauton, L., Ramassamy, B., Mezghenna, K., Boucher, J.-L., Lajoix, A.-D., & Hernandez, J.-F. (2023). S-Ethyl-Isothiocitrullin-Based Dipeptides and 1,2,4-Oxadiazole Pseudo-Dipeptides: Solid Phase Synthesis and Evaluation as NO Synthase Inhibitors. Molecules, 28(13), 5085. https://doi.org/10.3390/molecules28135085






































