Novel 2-Sulfanylquinazolin-4(3H)-one Derivatives as Multi-Kinase Inhibitors and Apoptosis Inducers: A Synthesis, Biological Evaluation, and Molecular Docking Study
Abstract
1. Introduction
2. Results and Discussion
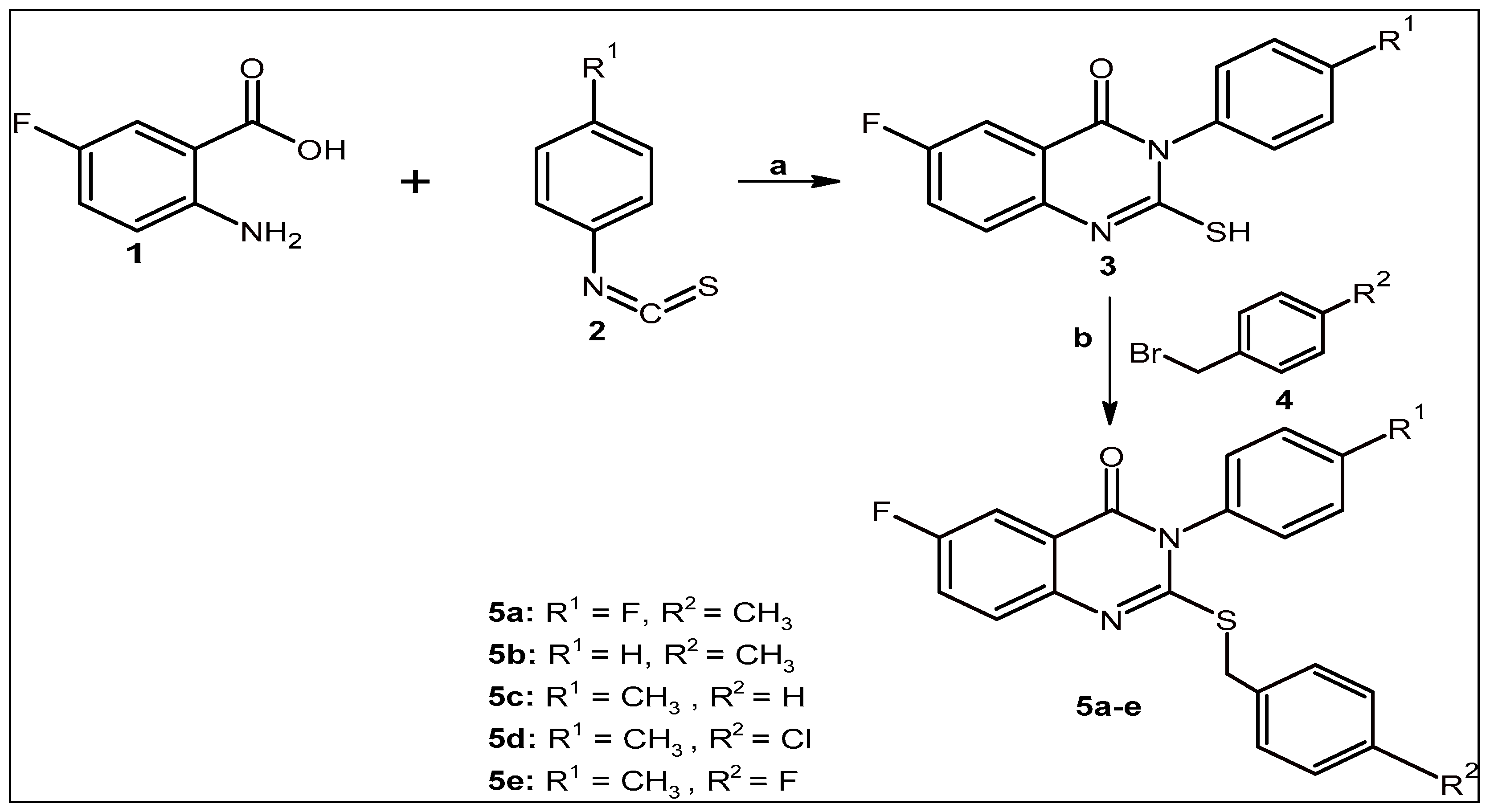
2.1. Chemistry
2.2. Biological Evaluation
2.2.1. In Vitro Anti-Proliferative Activity
2.2.2. Kinase Inhibitory Activity
2.2.3. Investigation of Apoptosis
Annexin V/PI Staining and Cell Cycle Analysis
Real-Time Polymerase Chain Reaction (RT-PCR) for the Selected Genes
2.3. Molecular Docking
3. Materials and Methods
3.1. Synthesis
- 3-(4-fluoro-Arenyl)-6-fluoro-2-(4-methyl-benzylsulfanyl)-3H-quinazolin-4-one (5a) white solid (82%); MP: 166−168 °C; IR (cm−1): 1560 (C = C), 1689 (C = O), 3042 (ArC-H); 1H NMR (500 MHz, DMSO) δ: 2.44 (s, 3H, CH3), 4.39 (s, 2H, SCH2), 7.09–7.13 (m, 2H, HAr, J = 10 Hz), 7.36–7.40 (m, 2H, HAr, J = 10 Hz), 7.47–7.53 (m, 4H, HAr, J = 10 Hz), 7.61 (d, 1H, H8), 7.69 (m, 1H, H7), 7.88 (s, 1H, H5). 13C NMR (125 MHz, CDCl3) δ: 21.32 (CH3), 36.72 (CH2), 117.02 (CH), 117.20 (CH), 118.75 (CH × 2), 119.60 (CH), 124.98 (Cq), 127.32 (CH), 129.63 (CH), 129.77 (CH × 3), 131.07 (Cq), 132.78 (CH), 136.96 (Cq), 142.36 (Cq), 144.80 (Cq), 157.32 (Cq), 161.25 (Cq), 167.08 (Cq), 196.96 (Cq); MS: m/z 394.7.
- 6-Fluoro-2-(4-methyl-benzylsulfanyl)-3-Arenyl-3H-quinazolin-4-one (5b) white solid (86%); M.P.: 158-160 °C; IR (cm−1): 1572 (C = C), 1692 (C = O), 3036 (ArC-H); 1H NMR (500 MHz, CDCl3) δ: 2.51 (s, 3H, CH3), 4.47 (s, 2H, SCH2), 7.20–7.24 (m, 2H, HAr, J = 10 Hz), 7.27–7.34 (m, 5H, HAr, J = 10 Hz), 7.42–7.44 (d, 2H, HAr, J = 10 Hz), 7.59–7.66 (m, 2H, H7, H8, J = 10 Hz), 8.08 (s, 1H, H5). 13C NMR (125 MHz, CDCl3) δ: 21.36 (CH3), 37.17 (CH2), 116.73 (CH), 116.92 (CH), 119.60 (CH), 126.18 (CH), 126.73 (CH), 127.62 (CH), 128.66 (CH × 2), 129.46 (CH × 2), 131.30 (CH), 131.83 (Cq), 136.14 (CH), 136.27 (Cq), 136.42 (Cq), 145.89 (Cq), 155.91 (Cq), 161.95 (Cq), 162.27 (Cq), 164.26 (Cq); MS: m/z 376.7.
- 2-Benzylsulfanyl-6-fluoro-3-(4-methyl-Arenyl)-3H-quinazolin-4-one (5c) white solid (81%); M.P.: 156-158 °C; IR (cm−1): 1578 (C = C), 1678 (C = O), 3056 (ArC-H); 1H NMR (500 MHz, CDCl3) δ: 2.49 (s, 3H, CH3), 4.45 (s, 2H, SCH2), 7.16–7.26 (m, 2H, HAr, J = 5 Hz), 7.27–7.33 (m, 5H, HAr, J = 10 Hz), 7.41–7.43 (d, 2H, HAr, J = 10 Hz), 7.58–7.63 (m, 2H, H7, H8, J = 10 Hz), 8.06 (s, 1H, H5). 13C NMR (125 MHz, CDCl3) δ: 21.52 (CH3), 37.33 (CH2), 116.89 (CH), 117.08 (CH), 119.76 (CH), 126.34 (CH), 126.89 (CH), 127.78 (CH), 128.82 (CH), 129.62 (CH), 131.39 (CH), 131.46 (Cq), 131.96 (CH), 131.99 (CH), 136.30 (CH), 136.43 (Cq), 136.58 (Cq),145.05 (Cq), 156.07 (Cq), 162.11 (Cq), 162.43 (Cq), 164.42 (Cq); MS: m/z 376.7.
- 2-(4-Chloro-benzylsulfanyl)-6-fluoro-3-(4-methylArenyl)-3H-quinazolin-4-one (5d) white solid (78%); M.P.: 164-166 °C; IR (cm−1): 1562 (C = C), 1684 (C = O), 3061 (ArC-H); 1H NMR (500 MHz, CDCl3) δ: 2.34 (s, 3H, CH3), 4.28 (s, 2H, SCH2), 6.99–7.03 (m, 2H, HAr, J = 10 Hz), 7.26–7.30 (m, 2H, HAr, J = 10 Hz), 7.37–7.42 (m, 4H, HAr, J = 10 Hz), 7.50–7.52 (d, 1H, H8, J = 10 Hz), 7.57–7.59 (m, 1H, H7), 7.79 (d, 1H, H5, J = 5 Hz). 13C NMR (125 MHz, CDCl3) δ: 21.33 (CH3), 36.74 (CH2), 117.02 (CH), 117.21 (CH), 118.76 (CH × 2), 119.61 (CH), 124.99 (CH), 127.33 (CH), 129.64 (CH), 129.78 (CH × 3), 131.08 (Cq), 132.79 (Cq), 136.97 (Cq), 142.37 (Cq), 144.81 (Cq), 157.33 (Cq), 161.25 (Cq), 167.09 (Cq), 196.97 (Cq); MS: m/z 410.8.
- 2-(4-Fluoro-benzylsulfanyl)-6-fluoro-3-(4-methylArenyl)-3H-quinazolin-4-one (5e) white solid (73%); M.P.: 170-172 °C; IR (cm−1): 1548 (C = C), 1669 (C = O), 3058 (ArC-H); 1H NMR (500 MHz, CDCl3) δ: 2.33 (s, 3H, CH3), 4.28 (s, 2H, SCH2), 6.98–7.02 (m, 2H, HAr, J = 10 Hz), 7.25–7.29 (m, 2H, HAr, J = 10 Hz), 7.36–7.42 (m, 4H, HAr, J = 10 Hz), 7.49–7.51 (d, 1H, H8, J = 10 Hz), 7.56 (m, 1H, H7, J = 10 Hz), 7.77 (d, 1H, H5, J = 5 Hz). 13CNMR (125 MHz, CDCl3) δ: 20.77 (CH3), 36.18 (CH2), 116.46 (CH), 116.65 (CH), 118.20 (CH × 2), 119.05 (CH), 124.43 (CH), 126.77 (CH), 129.08 (CH × 2), 129.22 (Cq), 130.52 (CH), 132.22 (Cq), 136.41 (Cq), 141.81 (Cq), 144.25 (Cq), 156.77 (Cq), 160.69 (Cq), 166.53 (Cq), 196.41 (Cq); MS: m/z 394.7.
3.2. Biological Testing
3.2.1. In Vitro Anti-Proliferative Activity
3.2.2. In Vitro VEGFR2 Kinase Assay
3.2.3. Flow Cytometry Analysis of Cell Cycle
3.2.4. Annexin V-FITC Apoptosis Assay
3.2.5. RT-PCR of Selected Apoptosis-Related Genes
- RNA isolation and reverse transcription.
- 2.
- Master mix preparation.
- 3.
- Amplification protocol.
3.3. Molecular Docking
4. Conclusions
Supplementary Materials
Author Contributions
Funding
Institutional Review Board Statement
Informed Consent Statement
Data Availability Statement
Acknowledgments
Conflicts of Interest
Sample Availability
References
- Sung, H.; Ferlay, J.; Siegel, R.L.; Laversanne, M.; Soerjomataram, I.; Jemal, A.; Bray, F. Global cancer statistics 2020: GLOBOCAN estimates of incidence and mortality worldwide for 36 cancers in 185 countries. CA Cancer J. Clin. 2021, 71, 209–249. [Google Scholar] [CrossRef] [PubMed]
- Siegel, R.L.; Miller, K.D.; Wagle, N.S.; Jemal, A. Cancer statistics, 2023. CA Cancer J. Clin. 2023, 73, 17–48. [Google Scholar] [CrossRef] [PubMed]
- Baselga, J. Targeting tyrosine kinases in cancer: The second wave. Science 2006, 312, 1175–1178. [Google Scholar] [CrossRef] [PubMed]
- Ferguson, F.M.; Gray, N.S. Kinase inhibitors: The road ahead. Nat. Rev. Drug Discov. 2018, 17, 353–377. [Google Scholar] [CrossRef]
- Bertram, J.S. The molecular biology of cancer. Mol. Asp. Med. 2000, 21, 167–223. [Google Scholar] [CrossRef]
- Paul, M.K.; Mukhopadhyay, A.K. Tyrosine kinase–role and significance in cancer. Int. J. Med. Sci. 2004, 1, 101. [Google Scholar] [CrossRef]
- Lemmon, M.A.; Schlessinger, J. Cell signaling by receptor tyrosine kinases. Cell 2010, 141, 1117–1134. [Google Scholar] [CrossRef]
- Tsai, C.-J.; Nussinov, R. The molecular basis of targeting protein kinases in cancer therapeutics. In Seminars in Cancer Biology; Elsevier: Amsterdam, The Netherlands, 2013. [Google Scholar]
- Sawyers, C.L. Rational therapeutic intervention in cancer: Kinases as drug targets. Curr. Opin. Genet. Dev. 2002, 12, 111–115. [Google Scholar] [CrossRef]
- Hu, L.; Fan, M.; Shi, S.; Song, X.; Wang, F.; He, H.; Qi, B. Dual target inhibitors based on EGFR: Promising anticancer agents for the treatment of cancers (2017-). Eur. J. Med. Chem. 2022, 227, 113963. [Google Scholar] [CrossRef]
- Hawash, M. Highlights on specific biological targets; cyclin-dependent kinases, epidermal growth factor receptors, ras protein, and cancer stem cells in anticancer drug development. Drug Res. 2019, 69, 471–478. [Google Scholar] [CrossRef]
- Uribe, M.L.; Marrocco, I.; Yarden, Y. EGFR in cancer: Signaling mechanisms, drugs, and acquired resistance. Cancers 2021, 13, 2748. [Google Scholar] [CrossRef] [PubMed]
- Chohan, T.A.; Qayyum, A.; Rehman, K.; Tariq, M.; Akash, M.S.H. An insight into the emerging role of cyclin-dependent kinase inhibitors as potential therapeutic agents for the treatment of advanced cancers. Biomed. Pharmacother. 2018, 107, 1326–1341. [Google Scholar] [CrossRef] [PubMed]
- Fu, R.-g.; Sun, Y.; Sheng, W.-b.; Liao, D.-f. Designing multi-targeted agents: An emerging anticancer drug discovery paradigm. Eur. J. Med. Chem. 2017, 136, 195–211. [Google Scholar] [CrossRef]
- Roskoski, R. Properties of FDA-approved small molecule protein kinase inhibitors: A 2022 update. Pharmacol. Res. 2021, 187, 106037. [Google Scholar] [CrossRef] [PubMed]
- Guo, T.; Ma, S. Recent advances in the discovery of multitargeted tyrosine kinase inhibitors as anticancer agents. ChemMedChem 2021, 16, 600–620. [Google Scholar] [CrossRef]
- Ayala-Aguilera, C.C.; Valero, T.; Lorente-Macías, Á.; Baillache, D.J.; Croke, S.; Unciti-Broceta, A. Small molecule kinase inhibitor drugs (1995–2021): Medical indication, pharmacology, and synthesis. J. Med. Chem. 2021, 65, 1047–1131. [Google Scholar] [CrossRef]
- Kerru, N.; Gummidi, L.; Maddila, S.; Gangu, K.K.; Jonnalagadda, S.B. A review on recent advances in nitrogen-containing molecules and their biological applications. Molecules 2020, 25, 1909. [Google Scholar] [CrossRef]
- Vitaku, E.; Smith, D.T.; Njardarson, J.T. Analysis of the structural diversity, substitution patterns, and frequency of nitrogen heterocycles among US FDA approved pharmaceuticals: Miniperspective. J. Med. Chem. 2014, 57, 10257–10274. [Google Scholar] [CrossRef]
- Karan, R.; Agarwal, P.; Sinha, M.; Mahato, N. Recent Advances on Quinazoline Derivatives: A Potential Bioactive Scaffold in Medicinal Chemistry. ChemEngineering 2021, 5, 73. [Google Scholar] [CrossRef]
- Guillon, R.; Pagniez, F.; Picot, C.; Hédou, D.; Tonnerre, A.; Chosson, E.; Duflos, M.; Besson, T.; Logé, C.; Le Pape, P. Discovery of a novel broad-spectrum antifungal agent derived from albaconazole. ACS Med. Chem. Lett. 2013, 4, 288–292. [Google Scholar] [CrossRef]
- Fan, Z.; Shi, J.; Bao, X. Synthesis and antimicrobial evaluation of novel 1, 2, 4-triazole thioether derivatives bearing a quinazoline moiety. Mol. Divers. 2018, 22, 657–667. [Google Scholar] [CrossRef] [PubMed]
- Amrane, D.; Gellis, A.; Hutter, S.; Prieri, M.; Verhaeghe, P.; Azas, N.; Vanelle, P.; Primas, N. Synthesis and Antiplasmodial Evaluation of 4-Carboxamido-and 4-Alkoxy-2-Trichloromethyl Quinazolines. Molecules 2020, 25, 3929. [Google Scholar] [CrossRef] [PubMed]
- Jadhavar, P.S.; Patel, K.I.; Dhameliya, T.M.; Saha, N.; Vaja, M.D.; Krishna, V.S.; Sriram, D.; Chakraborti, A.K. Benzimidazoquinazolines as new potent anti-TB chemotypes: Design, synthesis, and biological evaluation. Bioorg. Chem. 2020, 99, 103774. [Google Scholar] [CrossRef] [PubMed]
- Zhang, J.; Yang, P.L.; Gray, N.S. Targeting cancer with small molecule kinase inhibitors. Nat. Rev. Cancer 2009, 9, 28–39. [Google Scholar] [CrossRef]
- Bansal, R.; Malhotra, A. Therapeutic progression of quinazolines as targeted chemotherapeutic agents. Eur. J. Med. Chem. 2021, 211, 113016. [Google Scholar] [CrossRef]
- Ahmad, I. An insight into the therapeutic potential of quinazoline derivatives as anticancer agents. MedChemComm 2017, 8, 871–885. [Google Scholar]
- Bareschino, M.A.; Schettino, C.; Troiani, T.; Martinelli, E.; Morgillo, F.; Ciardiello, F. Erlotinib in cancer treatment. Ann. Oncol. 2007, 18, vi35–vi41. [Google Scholar] [CrossRef]
- Rawluk, J.; Waller, C.F. Gefitinib. In Small Molecules in Oncology; Springer: Berlin/Heidelberg, Germany, 2018; pp. 235–246. [Google Scholar]
- Zirlik, K.; Veelken, H. Idelalisib. In Small Molecules in Hematology; Springer: Berlin/Heidelberg, Germany, 2018; pp. 243–264. [Google Scholar]
- Kim, H.-P.; Yoon, Y.-K.; Kim, J.-W.; Han, S.-W.; Hur, H.-S.; Park, J.; Lee, J.-H.; Oh, D.-Y.; Im, S.-A.; Bang, Y.-J. Lapatinib, a dual EGFR and HER2 tyrosine kinase inhibitor, downregulates thymidylate synthase by inhibiting the nuclear translocation of EGFR and HER2. PLoS ONE 2009, 4, e5933. [Google Scholar] [CrossRef]
- Frampton, J.E. Vandetanib. Drugs 2012, 72, 1423–1436. [Google Scholar] [CrossRef]
- Alkahtani, H.M.; Abdalla, A.N.; Obaidullah, A.J.; Alanazi, M.M.; Almehizia, A.A.; Alanazi, M.G.; Ahmed, A.Y.; Alwassil, O.I.; Darwish, H.W.; Alaa, A.-M. Synthesis, cytotoxic evaluation, and molecular docking studies of novel quinazoline derivatives with benzenesulfonamide and anilide tails: Dual inhibitors of EGFR/HER2. Bioorg. Chem. 2020, 95, 103461. [Google Scholar] [CrossRef]
- Li, W.; Chen, S.-Y.; Hu, W.-N.; Zhu, M.; Liu, J.-M.; Fu, Y.-H.; Wang, Z.-C.; OuYang, G.-P. Design, synthesis, and biological evaluation of quinazoline derivatives containing piperazine moieties as antitumor agents. J. Chem. Res. 2020, 44, 536–542. [Google Scholar] [CrossRef]
- Ewes, W.A.; Elmorsy, M.A.; El-Messery, S.M.; Nasr, M.N. Synthesis, biological evaluation and molecular modeling study of [1, 2, 4]-Triazolo [4, 3-c] quinazolines: New class of EGFR-TK inhibitors. Bioorg. Med. Chem. 2020, 28, 115373. [Google Scholar] [CrossRef] [PubMed]
- Altamimi, A.S.; El-Azab, A.S.; Abdelhamid, S.G.; Alamri, M.A.; Bayoumi, A.H.; Alqahtani, S.M.; Alabbas, A.B.; Altharawi, A.I.; Alossaimi, M.A.; Mohamed, M.A. Synthesis, Anticancer Screening of Some Novel Trimethoxy Quinazolines and VEGFR2, EGFR Tyrosine Kinase Inhibitors Assay; Molecular Docking Studies. Molecules 2021, 26, 2992. [Google Scholar] [CrossRef] [PubMed]
- Riadi, Y.; Alamri, M.A.; Geesi, M.H.; Anouar, E.H.; Ouerghi, O.; Alabbas, A.B.; Alossaimi, M.A.; Altharawi, A.; Dehbi, O.; Alqahtani, S.M. Synthesis, characterization, biological evaluation and molecular docking of a new quinazolinone-based derivative as a potent dual inhibitor for VEGFR-2 and EGFR tyrosine kinases. J. Biomol. Struct. Dyn. 2022, 40, 6810–6816. [Google Scholar] [CrossRef]
- Riadi, Y.; Geesi, M. Photochemical route for the synthesis of novel 2-monosubstituted pyrido [2, 3-d] pyrimidines by palladium-catalyzed cross-coupling reactions. Chem. Pap. 2018, 72, 697–701. [Google Scholar] [CrossRef]
- Mosmann, T. Rapid colorimetric assay for cellular growth and survival: Application to proliferation and cytotoxicity assays. J. Immunol. Methods 1983, 65, 55–63. [Google Scholar] [CrossRef]
- Gad, E.M.; Nafie, M.S.; Eltamany, E.H.; Hammad, M.S.; Barakat, A.; Boraei, A.T. Discovery of new apoptosis-inducing agents for breast cancer based on ethyl 2-amino-4, 5, 6, 7-tetra hydrobenzo [b] thiophene-3-carboxylate: Synthesis, in vitro, and in vivo activity evaluation. Molecules 2020, 25, 2523. [Google Scholar] [CrossRef]
- Nafie, M.S.; Arafa, K.; Sedky, N.K.; Alakhdar, A.A.; Arafa, R.K. Triaryl dicationic DNA minor-groove binders with antioxidant activity display cytotoxicity and induce apoptosis in breast cancer. Chem. Biol. Interact. 2020, 324, 109087. [Google Scholar] [CrossRef]
- El-Dash, Y.; Elzayat, E.; Abdou, A.M.; Hassan, R.A. Novel thienopyrimidine-aminothiazole hybrids: Design, synthesis, antimicrobial screening, anticancer activity, effects on cell cycle profile, caspase-3 mediated apoptosis and VEGFR-2 inhibition. Bioorg. Chem. 2021, 114, 105137. [Google Scholar] [CrossRef]
- Alanazi, M.M.; Aldawas, S.; Alsaif, N.A. Design, Synthesis, and Biological Evaluation of 2-Mercaptobenzoxazole Derivatives as Potential Multi-Kinase Inhibitors. Pharmaceuticals 2023, 16, 97. [Google Scholar] [CrossRef]
- Martin, M.P.; Alam, R.; Betzi, S.; Ingles, D.J.; Zhu, J.Y.; Schönbrunn, E. A novel approach to the discovery of small-molecule ligands of CDK2. Chembiochem 2012, 13, 2128–2136. [Google Scholar] [CrossRef] [PubMed]
- Aertgeerts, K.; Skene, R.; Yano, J.; Sang, B.-C.; Zou, H.; Snell, G.; Jennings, A.; Iwamoto, K.; Habuka, N.; Hirokawa, A. Structural analysis of the mechanism of inhibition and allosteric activation of the kinase domain of HER2 protein. J. Biol. Chem. 2011, 286, 18756–18765. [Google Scholar] [CrossRef] [PubMed]
- Norman, M.H.; Liu, L.; Lee, M.; Xi, N.; Fellows, I.; D’Angelo, N.D.; Dominguez, C.; Rex, K.; Bellon, S.F.; Kim, T.-S. Structure-based design of novel class II c-Met inhibitors: 1. Identification of pyrazolone-based derivatives. J. Med. Chem. 2012, 55, 1858–1867. [Google Scholar] [CrossRef]
- Friesner, R.A.; Murphy, R.B.; Repasky, M.P.; Frye, L.L.; Greenwood, J.R.; Halgren, T.A.; Sanschagrin, P.C.; Mainz, D.T. Extra precision glide: Docking and scoring incorporating a model of hydrophobic enclosure for protein-ligand complexes. J. Med. Chem. 2006, 49, 6177–6196. [Google Scholar] [CrossRef] [PubMed]









![]() | |||||||
|---|---|---|---|---|---|---|---|
| Comp. | In Vitro Cytotoxicity IC50 (µM) a,b | ||||||
| R1 | R2 | WI38 | HepG2 | MCF-7 | MDA-MB-231 | HeLa | |
| 3a | CH3 | -H | 36.54 ± 2.5 | 82.54 ± 4.3 | 77.25 ± 4.0 | 65.48 ± 3.7 | 73.71 ± 3.9 |
| 5a | F | -CH3 | 28.70 ± 2.2 | >100 | 86.02 ± 4.4 | 79.14 ± 4.0 | 83.23 ± 4.1 |
| 5b | H | -CH3 | >100 | 85.01 ± 4.6 | 91.18 ± 4.8 | 78.26 ± 3.9 | >100 |
| 5c | CH3 | H | 40.85 ± 2.6 | 34.28 ± 2.4 | 51.88 ± 3.1 | 26.87 ± 1.9 | 31.25 ± 2.1 |
| 5d | CH3 | Cl | 64.29 ± 3.5 | 7.10 ± 0.6 | 2.48 ± 0.2 | 1.94 ± 0.1 | 6.38 ± 0.4 |
| 5e | CH3 | F | 55.81 ± 3.2 | 29.54 ± 2.2 | 25.20 ± 1.9 | 19.18 ± 1.5 | 38.17 ± 2.3 |
| Dox. | ---- | ---- | 6.72 ± 0.5 | 4.50 ± 0.2 | 4.17 ± 0.2 | 3.18 ± 0.1 | 5.57 ± 0.4 |
| Sunitinib | ---- | ---- | 77.33 ± 4.3 | 11.35 ± 1.0 | 24.83 ± 1.8 | 19.04 ± 1.5 | 21.84 ± 1.7 |
| Compound | Kinase Inhibition IC50 (µM) a | |||
|---|---|---|---|---|
| EGFR | HER2 | VEGFR2 | CDK2 | |
| 5d | 0.22 ± 0.013 | 0.184 ± 0.008 | 0.336 ± 0.009 | 2.097 ± 0.126 |
| Positive Control | 0.036 ± 0.002 b | 0.031 ± 0.002 b | 0.042 ± 0.002 c | 0.32 ± 0.019 d |
| CDK2 (PDB ID: 3TI1) | EGFR (PDB ID: 3POZ) | VEGFR2 (PDB ID: 3U6J) | |||||||
|---|---|---|---|---|---|---|---|---|---|
| Ligands | Docking Score | Glide Emodel (Kcal/mol) | H-Bond Interactions | Docking Score | Glide Emodel (Kcal/mol) | H-Bond Interactions | Docking Score | Glide Emodel (Kcal/mol) | H-Bond Interactions |
| Compound 5d | −6.786 | −64.058 | --- | −8.514 | −68.117 | -H2O-Thr854 | −6.150 | −46.976 | --- |
| Sunitinib | −9.576 | −81.386 | Leu83, Glu81, Ile10, Glu8 | --- | --- | --- | --- | --- | --- |
| Erlotinib | --- | --- | --- | −9.660 | −83.352 | Met793, -H2O-Thr854 | --- | --- | --- |
| Sorafenib | --- | --- | --- | --- | --- | --- | −9.529 | −84.199 | Cys919, Asp1046 |
Disclaimer/Publisher’s Note: The statements, opinions and data contained in all publications are solely those of the individual author(s) and contributor(s) and not of MDPI and/or the editor(s). MDPI and/or the editor(s) disclaim responsibility for any injury to people or property resulting from any ideas, methods, instructions or products referred to in the content. |
© 2023 by the authors. Licensee MDPI, Basel, Switzerland. This article is an open access article distributed under the terms and conditions of the Creative Commons Attribution (CC BY) license (https://creativecommons.org/licenses/by/4.0/).
Share and Cite
Altharawi, A.; Alanazi, M.M.; Alossaimi, M.A.; Alanazi, A.S.; Alqahtani, S.M.; Geesi, M.H.; Riadi, Y. Novel 2-Sulfanylquinazolin-4(3H)-one Derivatives as Multi-Kinase Inhibitors and Apoptosis Inducers: A Synthesis, Biological Evaluation, and Molecular Docking Study. Molecules 2023, 28, 5548. https://doi.org/10.3390/molecules28145548
Altharawi A, Alanazi MM, Alossaimi MA, Alanazi AS, Alqahtani SM, Geesi MH, Riadi Y. Novel 2-Sulfanylquinazolin-4(3H)-one Derivatives as Multi-Kinase Inhibitors and Apoptosis Inducers: A Synthesis, Biological Evaluation, and Molecular Docking Study. Molecules. 2023; 28(14):5548. https://doi.org/10.3390/molecules28145548
Chicago/Turabian StyleAltharawi, Ali, Mohammed M. Alanazi, Manal A. Alossaimi, Ashwag S. Alanazi, Safar M. Alqahtani, Mohammed H. Geesi, and Yassine Riadi. 2023. "Novel 2-Sulfanylquinazolin-4(3H)-one Derivatives as Multi-Kinase Inhibitors and Apoptosis Inducers: A Synthesis, Biological Evaluation, and Molecular Docking Study" Molecules 28, no. 14: 5548. https://doi.org/10.3390/molecules28145548
APA StyleAltharawi, A., Alanazi, M. M., Alossaimi, M. A., Alanazi, A. S., Alqahtani, S. M., Geesi, M. H., & Riadi, Y. (2023). Novel 2-Sulfanylquinazolin-4(3H)-one Derivatives as Multi-Kinase Inhibitors and Apoptosis Inducers: A Synthesis, Biological Evaluation, and Molecular Docking Study. Molecules, 28(14), 5548. https://doi.org/10.3390/molecules28145548


