Effect of Chalcogenophenes on Chiroptical Activity of Twisted Tetracenes: Computational Analysis, Synthesis and Crystal Structure Thereof
Abstract
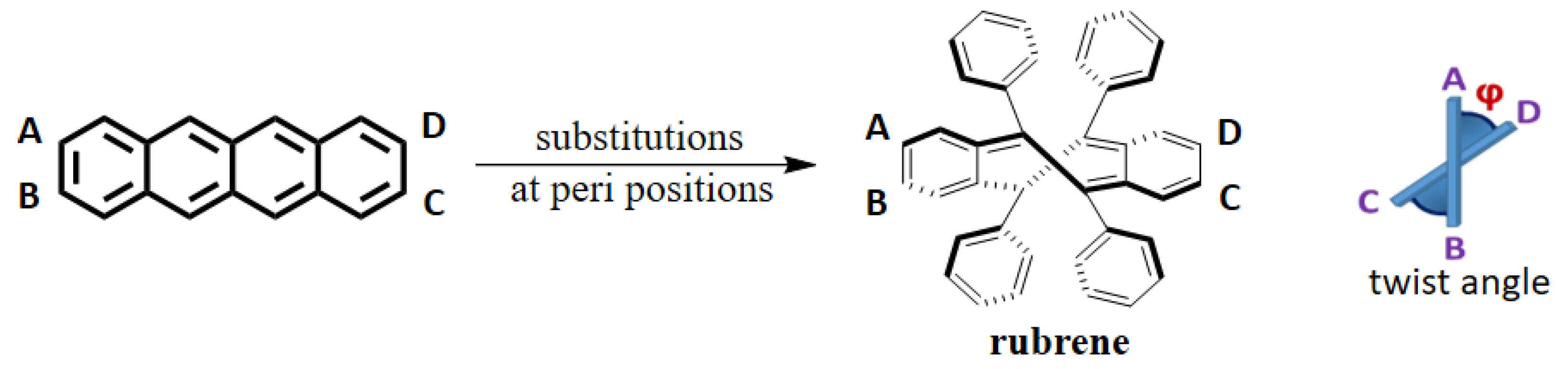
1. Introduction
2. Results
2.1. Morphology
2.2. Experimental and Computational Photophysical Properties
2.3. Atomistic Tuning of Chiroptical Activity: Computational Analysis
3. Materials and Methods
4. Conclusions
Supplementary Materials
Author Contributions
Funding
Institutional Review Board Statement
Informed Consent Statement
Data Availability Statement
Acknowledgments
Conflicts of Interest
Sample Availability
References
- Rieger, R.; Müllen, K.J. Forever young: Polycyclic aromatic hydrocarbons as model cases for structural and optical studies. Phys. Org. Chem. 2010, 23, 315–325. [Google Scholar] [CrossRef]
- Khelladi, I.; Springborg, M.; Rahmouni, A.; Chadli, R.; Sekkal-Rahal, M. Theoretical Study on Non-Linear Optics Properties of Polycyclic Aromatic Hydrocarbons and the Effect of Their Intercalation with Carbon Nanotubes. Molecules 2023, 28, 110–122. [Google Scholar] [CrossRef] [PubMed]
- Lee, H.M.; Kim, J.J.; Choi, J.H.; Cho, S.O. In Situ Patterning of High-Quality Crystalline Rubrene Thin Films for High-Resolution Patterned Organic Field-Effect Transistors. ACS Nano 2011, 5, 8352–8356. [Google Scholar] [CrossRef] [PubMed]
- Tang, X.; Tu, L.; Zhao, X.; Chen, J.; Ning, Y.; Wu, F.; Xiong, Z. Realization of H-Type Aggregation in Rubrene-Doped OLEDs and Its Induced Enhancement of Delayed Fluorescence. J. Phys. Chem. C 2022, 126, 9456–9465. [Google Scholar] [CrossRef]
- Pham, H.D.; Hu, H.; Wong, F.L.; Lee, C.S.; Chen, W.C.; Feron, K.; Sonar, P. Acene-based organic semiconductors for organic light-emitting diodes and perovskite solar cells. J. Mater. Chem. C 2018, 6, 9017–9029. [Google Scholar] [CrossRef]
- Daiber, B.; Maiti, S.; Ferro, S.M.; Bodin, J.; van den Boom, A.F.; Luxembourg, S.L.; Kinge, S.; Pujari, S.P.; Zuilhof, H.; Siebbeles, L.D.; et al. Change in Tetracene Polymorphism Facilitates Triplet Transfer in Singlet Fission-Sensitized Silicon Solar Cells. J. Phys. Chem. Lett. 2020, 11, 8703–8709. [Google Scholar] [CrossRef]
- Yang, M.; Park, I.S.; Yasuda, T. Full-Color, Narrowband, and High-Efficiency Electroluminescence from Boron and Carbazole Embedded Polycyclic Heteroaromatics. J. Am. Chem. Soc. 2020, 142, 19468–19472. [Google Scholar] [CrossRef]
- Sun, K.; Lan, M.; Wang, J. Absolute configuration and chiral self-assembly of rubrene on Bi(111). Phys. Chem. Chem. Phys. 2015, 17, 26220–26224. [Google Scholar] [CrossRef]
- Pascal, R.A. Twisted Acenes. Chem. Rev. 2006, 106, 4809–4819. [Google Scholar] [CrossRef]
- Lu, J.; Ho, D.M.; Vogelaar, N.J.; Kraml, C.M.; Pascal, R.A., Jr. A Pentacene with a 144° Twist. J. Am. Chem. Soc. 2004, 126, 11168–11169. [Google Scholar] [CrossRef]
- Bedi, A.; Shimon, L.J.W.; Girdon, O. Helically Locked Tethered Twistacenes. J. Am. Chem. Soc. 2018, 140, 8086–8090. [Google Scholar] [CrossRef] [PubMed]
- Xiao, Y.; Mague, J.T.; Schmehl, R.H.; Haque, F.M.; Pascal, R.A., Jr. Dodecaphenyltetracene. Angew. Chem. Int. Ed. 2019, 58, 2831–2833. [Google Scholar] [CrossRef] [PubMed]
- Bao, S.T.; Jiang, H.; Schaack, C.; Louie, S.; Steigerwald, M.H.; Nuckolls, C.; Jin, Z. Remote Control of Dynamic Twistacene Chirality. J. Am. Chem. Soc. 2022, 144, 18772–18777. [Google Scholar] [CrossRef] [PubMed]
- Nagarajan, K.; Mallia, A.R.; Muraleedharana, K.; Hariharan, M. Enhanced intersystem crossing in core-twisted aromatics. Chem. Sci. 2017, 8, 1776–1782. [Google Scholar] [CrossRef] [PubMed]
- Bedi, A.; Carmieli, R.; Gidron, O. Radical Cations of Twisted Acenes: Chiroptical Properties and Spin Delocalization. Chem. Commun. 2019, 55, 6022–6025. [Google Scholar] [CrossRef]
- Bedi, A.; Gidron, O. Chiroptical Properties of Twisted Acenes: Experimental and Computational Study. Chem. Eur. J. 2019, 25, 3279–3285. [Google Scholar] [CrossRef]
- Xiao, J.; Divayana, Y.; Zhang, Q.; Doung, H.M.; Zhang, H.; Boey, F.; Sun, X.W.; Wudl, F. Synthesis, Structure, and Optoelectronic Properties of A New Twistacene 1,2,3,4,6,13-hexaphenyl-7:8,11:12-bisbenzo-pentacene. J. Mater. Chem. 2010, 20, 8167–8170. [Google Scholar] [CrossRef]
- Brandt, J.R.; Wang, X.; Yang, Y.; Campbell, A.J.; Fuchter, M.J. Circularly Polarized Phosphorescent Electroluminescence with a High Dissymmetry Factor from PHOLEDs Based on a Platinahelicene. J. Am. Chem. Soc. 2016, 138, 9743–9746. [Google Scholar] [CrossRef]
- Wang, W.; Hanindita, F.; Tanaka, Y.; Ochiai, K.; Sato, H.; Li, Y.; Yasuda, T.; Ito, S. π-Extended Pyrrole-Fused Heteropine: Synthesis, Properties, and Application in Organic Field-Effect Transistors. Angew. Chem. Int. Ed. 2022, 62, e202218176. [Google Scholar]
- Wei, X.; Liu, Z.; Zhang, K.; Zhao, Z.; Zhang, W.; Han, Q.; Ma, G.; Zhang, C. “Hot exciton” Fluorescence and Charge Transport of Fine-tuned Twistacenes: Theoretical Study on Substitution Effect and Intermolecular Interactions. New J. Chem. 2023, 47, 3847–3855. [Google Scholar] [CrossRef]
- Kiran, V.; Mathew, S.P.; Cohen, S.R.; Delgado, I.H.; Lacour, J.; Namaan, R. Helicenes—A New Class of Organic Spin Filter. Adv. Mater. 2016, 28, 1957–1962. [Google Scholar] [CrossRef] [PubMed]
- Amsallem, D.; Kumar, A.; Naaman, R.; Gidron, O. Spin Polarization Through Axially Chiral Linkers: Length Dependence and Correlation with The Dissymmetry Factor. Chirality 2023, 35, 1–7. [Google Scholar] [CrossRef] [PubMed]
- Nelson, Z.; Delage-Laurin, L.; Peeks, M.D.; Swager, T.M. Large Faraday Rotation in Optical-Quality Phthalocyanine and Porphyrin Thin Films. J. Am. Chem. Soc. 2021, 143, 7096–7103. [Google Scholar] [CrossRef]
- Bedi, A.; Armon, A.M.; Girdon, O. Effect of Twisting on the Capture and Release of Singlet Oxygen by Tethered Twisted Acenes. Org. Lett. 2020, 22, 7809–7813. [Google Scholar] [CrossRef]
- Bedi, A.; Armon, A.M.; Diskin-Posner, Y.; Bogoslavsky, B.; Girdon, O. Controlling the helicity of π-conjugated oligomers by tuning the aromatic backbone twist. Nat. Commun. 2022, 13, 451–457. [Google Scholar] [CrossRef] [PubMed]
- Metzger, T.S.; Batchu, H.; Kumar, A.; Fedotov, D.A.; Goren, N.; Bhowmick, D.B.; Shioukhi, I.; Yochelis, S.; Schapiro, I.; Naaman, R.; et al. Optical Activity and Spin Polarization: The Surface Effect. J. Am. Chem. Soc. 2023, 145, 3972–3977. [Google Scholar] [CrossRef]
- Bischof, D.; Tripp, M.W.; Hofmann, P.E.; Ip, C.-H.; Ivlev, S.H.; Gerhard, M.; Koert, U.; Witte, G. Regioselective Fluorination of Acenes: Tailoring of Molecular Electronic Levels and Solid-State Properties. Chem. Eur. J. 2022, 28, e202103653. [Google Scholar] [CrossRef]
- Liu, K.; Jiang, Z.; Roger, A.; Lalancette, R.A.; Tang, X.; Jäkle, F. Near-Infrared-Absorbing B–N Lewis Pair-Functionalized Anthracenes: Electronic Structure Tuning, Conformational Isomerism, and Applications in Photothermal Cancer Therapy. J. Am. Chem. Soc. 2022, 144, 18908–18917. [Google Scholar] [CrossRef]
- Gibson, G.L.; McCormick, T.M.; Seferos, D.S. Atomistic Band Gap Engineering in Donor-Acceptor Polymers. J. Am. Chem. Soc. 2012, 134, 539–547. [Google Scholar] [CrossRef]
- Dasa, S.; Zade, S.S. Poly(cyclopenta[c]selenophene): A new polyselenophene. Chem. Commun. 2010, 46, 1168–1170. [Google Scholar] [CrossRef]
- Bedi, A.; Debnath, S.; Chandak, H.S.; Zade, S.S. Phenyl-capped cyclopenta[c]chalcogenophenes: Synthesis, crystal structures, electrochemistry and theoretical insights. RSC Adv. 2014, 4, 35653–35658. [Google Scholar] [CrossRef]
- Debnath, S.; Chithiravel, S.; Sharma, S.; Bedi, A.; Krishnamoorthy, K.; Zade, S.S. Selenium-Containing Fused Bicyclic Heterocycle Diselenolodiselenole: Field Effect Transistor Study and Structure–Property Relationship. ACS Appl. Mater. Interfaces 2016, 8, 18222–18230. [Google Scholar] [CrossRef] [PubMed]
- Yu, H.-J.; Xiao, J.; Chen, J.; Ren, X.; Qi, Y.-E.; Min, X.; Shao, G. Synthesis, Properties, and Application of Small-Molecule Hole-Transporting Materials Based on Acetylene-Linked Thiophene Core. Molecules 2023, 28, 3739–3751. [Google Scholar] [CrossRef] [PubMed]
- Jancarik, A.; Holec, J.; Nagata, Y.; Samal, M.; Gourdon, A. Preparative-scale synthesis of nonacene. Nat. Commun. 2022, 13, 223–229. [Google Scholar] [CrossRef]
- Hussain, W.A.; Plunkett, K.N. Benzodithiophene-Fused Cyclopentannulated Aromatics via a Palladium-Catalyzed Cyclopentannulation and Scholl Cyclodehydrogenation Strategy. J. Org. Chem. 2021, 86, 12569–12576. [Google Scholar] [CrossRef]
- Mamada, M.; Katagiri, H.; Skanoue, T.; Tokito, S. Characterization of New Rubrene Analogues with Heteroaryl Substituents. Cryst. Growth Des. 2015, 15, 442–448. [Google Scholar] [CrossRef]
- Winship, K.A. Toxicity of tin and its compounds. In Adverse Drug Reactions and Acute Poisoning Reviews; Spring: Berlin/Heidelberg, Germany, 1988; Volume 7, pp. 19–38. [Google Scholar]
- Yamamoto, K.; Oyamada, N.; Xia, S.; Kobayashi, Y.; Yamaguchi, M.; Maeda, H.; Nishihara, H.; Uchimaru, T.; Kwon, E. Equatorenes: Synthesis and Properties of Chiral Naphthalene, Phenanthrene, Chrysene, and Pyrene Possessing Bis(1-adamantyl) Groups at the Peri-position. J. Am. Chem. Soc. 2013, 135, 16526–16532. [Google Scholar] [CrossRef]
- Cui, X.; Zhang, G.; Zhang, L.; Wang, Z. Integrating pyracylene and naphthalenediimides into planar structures: Synthesis and characterization. Dye. Pigment. 2019, 168, 295–299. [Google Scholar] [CrossRef]
- Furniss, B. Vogel’s Textbook of Practical Organic Chemistry, 5th ed.; Longman Scientific & Technical: Essex, UK, 1989; pp. 840–841. [Google Scholar]
- Chi, X.; Li, D.; Zhang, H.; Chen, Y.; Garcia, V.; Garcia, C.; Siegrist, T. 5,6,11,12-Tetrachlorotetracene, a tetracene derivative with π-stacking structure: The synthesis, crystal structure and transistor properties. Org. Electron. 2008, 9, 234–240. [Google Scholar] [CrossRef]
- Yagodkin, E.; Xia, Y.; Kalihari, V.; Frisbie, C.D.; Douglas, C. Synthesis, Solid State Properties, and Semiconductor Measurements of 5,6,11,12-Tetrachlorotetracene. J. Phys.Chem. C 2009, 113, 16544–16548. [Google Scholar] [CrossRef]
- Littke, A.F.; Dai, C.; Fu, G.C. Versatile Catalysts for the Suzuki Cross-Coupling of Arylboronic Acids with Aryl and Vinyl Halides and Triflates under Mild Conditions. J. Am. Chem. Soc. 2000, 122, 4020–4028. [Google Scholar] [CrossRef]
- Mee, S.P.H.; Lee, V.; Baldwin, J.E. Stille Coupling Made Easier-The Synergic Effect of Copper(I) Salts and the Fluoride Ion. Angew. Chem. Int. Ed. 2004, 43, 1132–1136. [Google Scholar] [CrossRef] [PubMed]
- Paraskar, A.S.; Reddy, A.R.; Patra, A.; Wijsboom, Y.H.; Girdon, O.; Shimon, L.J.W.; Leitus, G.; Bendikov, M. Rubrenes: Planar and Twisted. Chem. Eur. J. 2008, 14, 10639–10647. [Google Scholar] [CrossRef] [PubMed]
- Herbstein, F.H. Crystal and molecular structures of overcrowded halogenated compounds. VIII. Two overcrowded naphthalenes—Octachloronaphthalene and tetrabenznaphthalene (dibenzo[g,p]chrysene). Acta Cryst. 1979, B35, 1661–1670. [Google Scholar] [CrossRef]
- Yoshihara, T.; Shudo, H.; Yagi, A.; Itami, K. Adamantane Annulation to Arenes: A Strategy for Property Modulation of Aromatic π-Systems. J. Am. Chem. Soc. 2023, 145, 11754–11763. [Google Scholar] [CrossRef]
- Nishio, M.; Umezawa, Y.; Hirota, M.; Takeuchi, Y. The CH/π Interaction: Significance in Molecular Recognition. Tetrahedron 1995, 51, 8665–8701. [Google Scholar] [CrossRef]
- da Silva, D.A.F.; Kim, E.-G.; Brédas, J.-L. Transport Properties in the Rubrene Crystal: Electronic Coupling and Vibrational Reorganization Energy. Adv. Mater. 2005, 17, 1072–1076. [Google Scholar] [CrossRef]
- Takeya, J.; Yamagishi, M.; Tominari, Y.; Hirahara, R.; Nakazawa, Y.; Nishikawa, T.; Kawase, T.; Shimoda, T.; Ogawa, S. Very High-Mobility Organic Single-Crystal Transistors with in-crystal Conduction Channels. Appl. Phys. Lett. 2007, 90, 102120–102122. [Google Scholar] [CrossRef]
- Jurchescu, O.D.; Meetsma, A.; Palstra, T.T.M. Low-temperature Structure of Rubrene Single Crystals Grown by Vapor Transport. Acta Crystallogr. Sect. B 2006, 62, 330–334. [Google Scholar] [CrossRef]
- Greenwell, C.; Beran, G.J.O. Rubrene Untwisted: Common Density Functional Theory Calculations Overestimate its Deviant Tendencies. J. Mater. Chem. C 2021, 9, 2848–2857. [Google Scholar] [CrossRef]
- Norton, J.E.; Houk, K.N. Electronic Structures and Properties of Twisted Polyacenes. J. Am. Chem. Soc. 2005, 127, 4162–4163. [Google Scholar] [CrossRef] [PubMed]
- Bergantin, S.; Moret, M.; Buth, G.; Fabbiani, F.P.A. Pressure-Induced Conformational Change in Organic Semiconductors: Triggering a Reversible Phase Transition in Rubrene. J. Phys. Chem. C 2014, 118, 13476–13483. [Google Scholar] [CrossRef]
- Louis, M.; Sethy, R.; Kumar, J.; Katao, S.; Guillot, R.; Nakashima, T.; Allain, C.; Kawai, T.; Metivier, R. Mechano-responsive Circularly Polarized Luminescence of Organic Solid-state Chiral Emitters. Chem. Sci. 2019, 10, 843–847. [Google Scholar] [CrossRef] [PubMed]
- Platt, J.R. Classification of Spectra of Cata-Condensed Hydrocarbons. J. Chem. Phys. 1949, 17, 484–495. [Google Scholar] [CrossRef]
- Dolomanov, O.V.; Bourhis, L.J.; Gildea, R.J.; Howard, J.A.K.; Puschmann, H. OLEX2: A Complete Structure Solution, Refinement and Analysis Program. J. Appl. Cryst. 2009, 42, 339–341. [Google Scholar] [CrossRef]
- Sheldrick, G.M. SHELXT—Integrated space-group and crystal-structure determination. Acta Cryst. 2015, A71, 3–8. [Google Scholar] [CrossRef]
- Sheldrick, G.M. Crystal structure refinement with SHELXL. Acta Cryst. 2015, C71, 3–8. [Google Scholar]


C-H···π interaction,
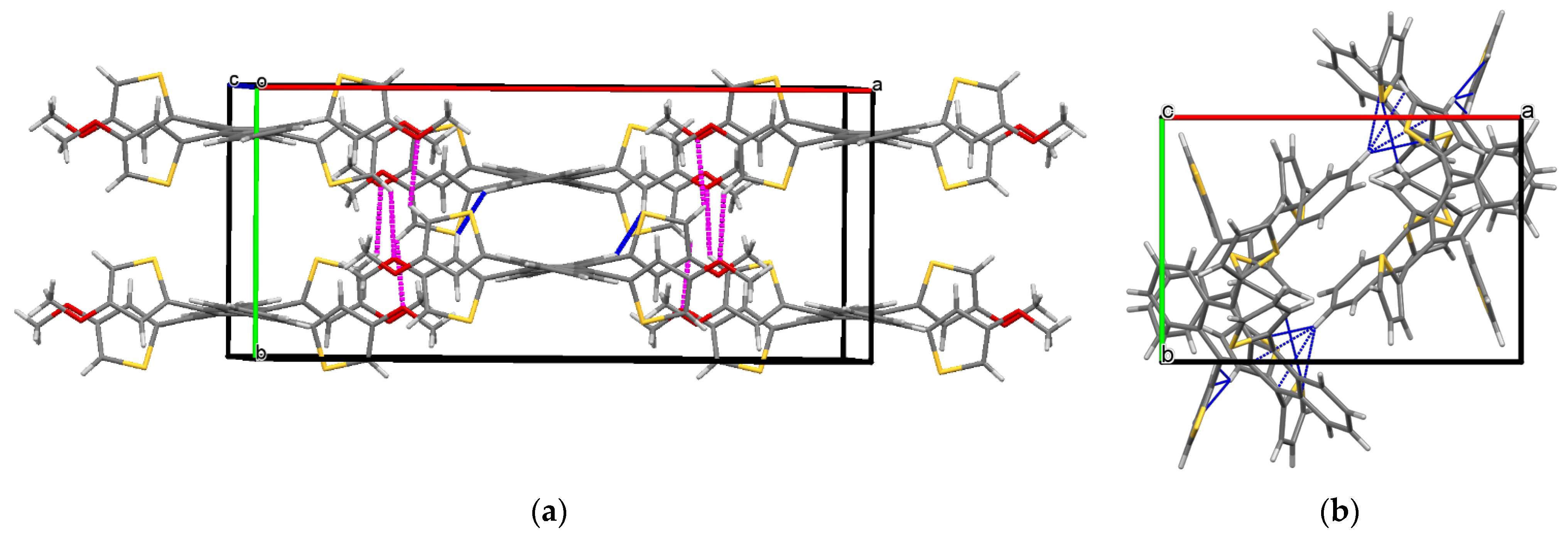
H-bonding interaction. The axes have been mentioned in the following manner. Red: a-axis, green: b-axis, blue: c-axis.
C-H···π interaction,
H-bonding interaction. The axes have been mentioned in the following manner. Red: a-axis, green: b-axis, blue: c-axis.

C-H···π interaction,
H-bonding interaction. The axes have been mentioned in the following manner. Red: a-axis, green: b-axis, blue: c-axis.
C-H···π interaction,
H-bonding interaction. The axes have been mentioned in the following manner. Red: a-axis, green: b-axis, blue: c-axis.



| Front View | View through the Axis of Helicity | Side View | ϕ (°) a | ϕ (°) b | |
|---|---|---|---|---|---|
| M-rubrene | ![]() | ![]() | ![]() | −33 | 0 |
| M-4FTc | ![]() | ![]() | ![]() | −33 | 27.8 |
| M-4ThTc | ![]() | ![]() | ![]() | −37 | 29.1 |
| M-8 | ![]() | ![]() | ![]() | −33 | − 24.4 |
| M-4SeTc | ![]() | ![]() | ![]() | −39 | - |
| M-4TeTc | ![]() | ![]() | ![]() | −41 | - |
Disclaimer/Publisher’s Note: The statements, opinions and data contained in all publications are solely those of the individual author(s) and contributor(s) and not of MDPI and/or the editor(s). MDPI and/or the editor(s) disclaim responsibility for any injury to people or property resulting from any ideas, methods, instructions or products referred to in the content. |
© 2023 by the authors. Licensee MDPI, Basel, Switzerland. This article is an open access article distributed under the terms and conditions of the Creative Commons Attribution (CC BY) license (https://creativecommons.org/licenses/by/4.0/).
Share and Cite
Kumar, G.J.; Bogoslavsky, B.; Debnath, S.; Bedi, A. Effect of Chalcogenophenes on Chiroptical Activity of Twisted Tetracenes: Computational Analysis, Synthesis and Crystal Structure Thereof. Molecules 2023, 28, 5074. https://doi.org/10.3390/molecules28135074
Kumar GJ, Bogoslavsky B, Debnath S, Bedi A. Effect of Chalcogenophenes on Chiroptical Activity of Twisted Tetracenes: Computational Analysis, Synthesis and Crystal Structure Thereof. Molecules. 2023; 28(13):5074. https://doi.org/10.3390/molecules28135074
Chicago/Turabian StyleKumar, Gayathri Jothish, Benny Bogoslavsky, Sashi Debnath, and Anjan Bedi. 2023. "Effect of Chalcogenophenes on Chiroptical Activity of Twisted Tetracenes: Computational Analysis, Synthesis and Crystal Structure Thereof" Molecules 28, no. 13: 5074. https://doi.org/10.3390/molecules28135074
APA StyleKumar, G. J., Bogoslavsky, B., Debnath, S., & Bedi, A. (2023). Effect of Chalcogenophenes on Chiroptical Activity of Twisted Tetracenes: Computational Analysis, Synthesis and Crystal Structure Thereof. Molecules, 28(13), 5074. https://doi.org/10.3390/molecules28135074



















