Characterization and Discrimination of Volatile Compounds in Chilled Tan Mutton Meat during Storage Using HiSorb-TD-GC-MS and E-Nose
Abstract
1. Introduction
2. Results and Discussion
2.1. HiSorb-TD-GC-MS of Chilled Tan Mutton during Storage
2.1.1. Volatile Profiles
2.1.2. ROVA Analysis
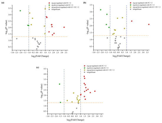
2.1.3. Discrimination of Volatile Compounds in Chilled Tan Mutton during Storage
2.2. E-Nose Analysis of Chilled Tan Mutton during Storage
2.2.1. Radar Chart and PCA of E-Nose Sensors
2.2.2. PCA and LDA of E-Nose Response Value
2.3. Correlation between HiSorb-TD-GC-MS and E-Nose Results
3. Materials and Methods
3.1. Materials
3.2. HiSorb-TD-GC-MS
3.3. E-Nose Analysis
3.4. Statistical Analysis
4. Conclusions
Author Contributions
Funding
Institutional Review Board Statement
Informed Consent Statement
Data Availability Statement
Conflicts of Interest
Sample Availability
References
- Wang, F.; Gao, Y.; Wang, H.; Xi, B.; He, X.; Yang, X.; Li, W. Analysis of volatile compounds and flavor fingerprint in Jingyuan lamb of different ages using gas chromatography–ion mobility spectrometry (GC–IMS). Meat Sci. 2021, 175, 108449. [Google Scholar] [CrossRef]
- Jia, W.; Li, R.; Wu, X.; Liu, S.; Shi, L. UHPLC-Q-Orbitrap HRMS-based quantitative lipidomics reveals the chemical changes of phospholipids during thermal processing methods of Tan sheep meat. Food Chem. 2021, 360, 130153. [Google Scholar] [CrossRef]
- Li, J.; Tang, C.; Yang, Y.; Hu, Y.; Zhao, Q.; Ma, Q.; Yue, X.; Li, F.; Zhang, J. Characterization of meat quality traits, fatty acids and volatile compounds in Hu and Tan sheep. Front. Nutr. 2023, 10, 2023. [Google Scholar] [CrossRef]
- Yang, Y.; Li, J.; Jia, X.; Zhao, Q.; Ma, Q.; Yu, Y.; Tang, C.; Zhang, J. Characterization of the Flavor Precursors and Flavor Fingerprints in Grazing Lambs by Foodomics. Foods 2022, 11, 191. [Google Scholar] [CrossRef]
- Li, D.; Zhang, H.; Ma, L.; Tao, Y.; Liu, J.; Liu, D. Effects of ficin, high pressure and their combination on quality attributes of post-rigor tan mutton. LWT 2020, 137, 110407. [Google Scholar] [CrossRef]
- Fan, N.; Liu, G.; Zhang, C.; Zhang, J.; Yu, J.; Sun, Y. Predictability of carcass traits in live Tan sheep by real-time ultrasound technology with least-squares support vector machines. Anim. Sci. J. 2022, 93, 13733. [Google Scholar] [CrossRef]
- Yuan, L.; Feng, W.; Zhang, Z.; Peng, Y.; Xiao, Y.; Chen, J. Effect of potato starch-based antibacterial composite films with thyme oil microemulsion or microcapsule on shelf life of chilled meat. LWT 2020, 139, 110462. [Google Scholar] [CrossRef]
- Huang, X.; Sun, W.; Li, Z.; Shi, J.; Zhang, N.; Zhang, Y.; Zhai, X.; Hu, X.; Zou, X. Hydrogen sulfide gas sensing toward on-site monitoring of chilled meat spoilage based on ratio-type fluorescent probe. Food Chem. 2022, 396, 133654. [Google Scholar] [CrossRef]
- Li, H.; Tang, R.; Mustapha, W.A.; Liu, J.; Hasan, K.M.; Li, X.; Huang, M. Application of Gelatin Composite Coating in Pork Quality Preservation during Storage and Mechanism of Gelatin Composite Coating on Pork Flavor. Gels 2021, 8, 21. [Google Scholar] [CrossRef]
- Jia, W.; Li, R.; Wu, X.; Liu, L.; Liu, S.; Shi, L. Molecular mechanism of lipid transformation in cold chain storage of Tan sheep. Food Chem. 2021, 347, 129007. [Google Scholar] [CrossRef]
- Karabagias, I.K. Volatile Profile of Raw Lamb Meat Stored at 4 ± 1 °C: The Potential of Specific Aldehyde Ratios as Indicators of Lamb Meat Quality. Foods 2018, 7, 40. [Google Scholar] [CrossRef]
- Xiang, C.; Li, S.; Liu, H.; Liang, C.; Fang, F.; Zhang, D.; Wang, Z. Impact of Chilling Rate on the Evolution of Volatile and Non-Volatile Compounds in Raw Lamb Meat during Refrigeration. Foods 2021, 10, 2792. [Google Scholar] [CrossRef]
- Zhao, B.; Sun, B.; Wang, S.; Zhang, Y.; Zang, M.; Le, W.; Wang, H.; Wu, Q. Effect of different cooking water on flavor characteristics of mutton soup. Food Sci. Nutr. 2021, 9, 6047–6059. [Google Scholar] [CrossRef]
- Wang, Y.; Luo, R.; Wang, S. Study on key aroma compounds in the electric roasting process of Tan mutton. J. Food Process. Preserv. 2022, 46, 17095. [Google Scholar] [CrossRef]
- Liu, C.; Chu, Z.; Weng, S.; Zhu, G.; Han, K.; Zhang, Z.; Huang, L.; Zhu, Z.; Zheng, S. Fusion of electronic nose and hyperspectral imaging for mutton freshness detection using input-modified convolution neural network. Food Chem. 2022, 385, 132651. [Google Scholar] [CrossRef]
- Chen, J.; Yan, W.; Fu, Y.; Wang, L.; Lv, X.; Dai, R.; Li, X.; Jia, F. The Use of Electronic Nose in the Quality Evaluation and Adulteration Identification of Beijing-You Chicken. Foods 2022, 11, 782. [Google Scholar] [CrossRef]
- Wang, Q.; Li, L.; Ding, W.; Zhang, D.; Wang, J.; Reed, K.; Zhang, B. Adulterant identification in mutton by electronic nose and gas chromatography-mass spectrometer. Food Control 2019, 98, 431–438. [Google Scholar] [CrossRef]
- Lucy, H.; Rebecca, C.; Damiana, S.N.; Rachael, S. Volatile and semi-volatile compounds in flavoured hard seltzer beverages: Comparison of high-capacity sorptive extraction (HiSorb) methods. Adv. Sample Prep. 2022, 3, 100032. [Google Scholar]
- Soteria, E.; Marinos, S.; Agapios, A. Aroma characterization of raw and electrochemically treated goat whey wastewater. Sustain. Chem. Pharm. 2022, 27, 100640. [Google Scholar]
- Cheng, Z.; Mannion, D.T.; O’Sullivan, M.G.; Miao, S.; Kerry, J.P.; Kilcawley, K.N. Comparison of Automated Extraction Techniques for Volatile Analysis of Whole Milk Powder. Foods 2021, 10, 2061. [Google Scholar] [CrossRef]
- Gallego, E.; Perales, J.F.; Calaf, J.M. Continuous monitoring of volatile organic compounds through sensorization. Automatic sampling during pollution/odour/nuisance episodic events. Atmos. Environ. 2023, 299, 119657. [Google Scholar] [CrossRef]
- Elorduy, I.; Durana, N.; Antonio Garcia, J.; Carmen Gomez, M.; Alonso, L. Evaluation of Uncertainty Associated with Determination of Particle-bound PAHs in Ambient Area by TD-GC/MS and Soxhlet-GC/MS. Aerosol Air Qual. Res. 2018, 18, 1236–1245. [Google Scholar] [CrossRef]
- Kim, Y.-M.; Kim, J.W.; Moon, H.M.; Lee, M.-J.; Hosaka, A.; Watanabe, A.; Teramae, N.; Park, Y.-K.; Myung, S.-W. Rapid Quantification of N-Methyl-2-pyrrolidone in Polymer Matrices by Thermal Desorption-GC/MS;Original Papers. Anal. Sci. 2017, 33, 821–824. [Google Scholar] [CrossRef]
- Liu, G.; Fang, S.; Wang, Y.; Liu, J.; Liang, Y.; Cao, T.; Liu, Q. Emission of Volatile Organic Compounds in Crumb Rubber Modified Bitumen and Its Inhibition by Using Montmorillonite Nanoclay. Polymers 2023, 15, 1513. [Google Scholar] [CrossRef]
- Ji, C.; You, L.; Luo, R. Proteomics and metabolomics combined study on endopathic changes of water-soluble precursors in Tan lamb during postmortem aging. Food Sci. Nutr. 2022, 10, 1564–1578. [Google Scholar] [CrossRef]
- Wang, L.; Liu, T.; Liu, L.; Liu, Y.; Wu, X. Impacts of chitosan nanoemulsions with thymol or thyme essential oil on volatile compounds and microbial diversity of refrigerated pork meat. Meat Sci. 2022, 185, 108706. [Google Scholar] [CrossRef]
- Chen, Q.; Hu, Y.; Wen, R.; Wang, Y.; Qin, L.; Kong, B. Characterisation of the flavour profile of dry fermented sausages with different NaCl substitutes using HS-SPME-GC-MS combined with electronic nose and electronic tongue. Meat Sci. 2020, 172, 108338. [Google Scholar] [CrossRef]
- North, M.K.; Zotte, A.D.; Hoffman, L.C. The effects of dietary quercetin supplementation on the meat quality and volatile profile of rabbit meat during chilled storage. Meat Sci. 2019, 158, 107905. [Google Scholar] [CrossRef]
- Kilgannon, A.K.; Holman, B.W.B.; Frank, D.C.; Mawson, A.J.; Collins, D.; Hopkins, D.L. Temperature-time combination effects on aged beef volatile profiles and their relationship to sensory attributes. Meat Sci. 2020, 168, 108193. [Google Scholar] [CrossRef]
- Watkins, P.J.; Jaborek, J.R.; Teng, F.; Day, L.; Castada, H.Z.; Baringer, S.; Wick, M. Branched chain fatty acids in the flavour of sheep and goat milk and meat: A review. Small Rumin. Res. 2021, 200, 106398. [Google Scholar] [CrossRef]
- Ojeda-Amador, R.M.; Fregapane, G.; Salvador, M.D. Influence of cultivar and technological conditions on the volatile profile of virgin pistachio oils. Food Chem. 2020, 311, 125957. [Google Scholar] [CrossRef]
- Wen, R.; Kong, B.; Yin, X.; Zhang, H.; Chen, Q. Characterisation of flavour profile of beef jerky inoculated with different autochthonous lactic acid bacteria using electronic nose and gas chromatography–ion mobility spectrometry. Meat Sci. 2021, 183, 108658. [Google Scholar] [CrossRef]
- Bai, S.; Wang, Y.; Luo, R.; Ding, D.; Bai, H.; Shen, F. Characterization of flavor volatile compounds in industrial stir-frying mutton sao zi by GC-MS, E-nose, and physicochemical analysis. Food Sci. Nutr. 2020, 9, 499–513. [Google Scholar] [CrossRef]
- Wang, B.; Wang, Z.; Chen, Y.; Liu, X.; Liu, K.; Zhang, Y.; Luo, H. Carcass Traits, Meat Quality, and Volatile Compounds of Lamb Meat from Different Restricted Grazing Time and Indoor Supplementary Feeding Systems. Foods 2021, 10, 2822. [Google Scholar] [CrossRef]
- Han, G.; Zhang, L.; Li, Q.; Wang, Y.; Chen, Q.; Kong, B. Impacts of different altitudes and natural drying times on lipolysis, lipid oxidation and flavour profile of traditional Tibetan yak jerky. Meat Sci. 2019, 162, 108030. [Google Scholar] [CrossRef]
- Wang, D.; Zhang, J.; Zhu, Z.; Lei, Y.; Huang, S.; Huang, M. Effect of ageing time on the flavour compounds in Nanjing water-boiled salted duck detected by HS-GC-IMS. LWT 2022, 155, 112870. [Google Scholar] [CrossRef]
- Ma, X.; Yang, D.; Qiu, W.; Mei, J.; Xie, J. Influence of Multifrequency Ultrasound-Assisted Freezing on the Flavour Attributes and Myofibrillar Protein Characteristics of Cultured Large Yellow Croaker (Larimichthys crocea). Front. Nutr. 2021, 8, 1062. [Google Scholar] [CrossRef]
- Zhang, Z.; Wu, R.; Gui, M.; Jiang, Z.; Li, P. Identification of the Specific Spoilage Organism in Farmed Sturgeon (Acipenser baerii) Fillets and Its Associated Quality and Flavour Change during Ice Storage. Foods 2021, 10, 2021. [Google Scholar] [CrossRef]
- Insausti, K.; Murillo-Arbizu, M.T.; Urrutia, O.; Mendizabal, J.A.; Beriain, M.J.; Colle, M.J.; Bass, P.D.; Arana, A. Volatile Compounds, Odour and Flavour Attributes of Lamb Meat from the Navarra Breed as Affected by Ageing. Foods 2021, 10, 493. [Google Scholar] [CrossRef]
- Larick, D.K.; Turner, B.E. Headspace Volatiles and Sensory Characteristics of Ground Beef from Forage- and Grain-Fed Heifers. J. Food Sci. 1990, 55, 649–654. [Google Scholar] [CrossRef]
- Zhu, X.; Li, Q.; Li, J.; Luo, J.; Chen, W.; Li, X. Comparative Study of Volatile Compounds in the Fruit of Two Banana Cultivars at Different Ripening Stages. Molecules 2018, 23, 2456. [Google Scholar] [CrossRef]
- Muhammad, S.; Muhammad, A.F.; Sajid, A.M.; Muhammad, I.; Ali, I.; Shahzad, H. Oxidative stability and lipid oxidation flavoring volatiles in antioxidants treated chicken meat patties during storage. Lipids Health Dis. 2017, 16, 27. [Google Scholar]
- Chen, L.; Zeng, W.; Rong, Y.; Lou, B. Characterisation of taste-active compositions, umami attributes and aroma compounds in Chinese shrimp. Int. J. Food Sci. Technol. 2021, 56, 6311–6321. [Google Scholar] [CrossRef]
- Su, D.; He, J.J.; Zhou, Y.Z.; Li, Y.L.; Zhou, H.J. Aroma effects of key volatile compounds in Keemun black tea at different grades: HS-SPME-GC-MS, sensory evaluation, and chemometrics. Food Chem. 2022, 373, 131587. [Google Scholar] [CrossRef]
- Wang, J.; Chen, L.; Liu, Y.; Olajide, T.M.; Jiang, Y.; Cao, W. Identification of key aroma-active compounds in beef tallow varieties using flash GC electronic nose and GC × GC-TOF/MS. Eur. Food Res. Technol. 2022, 248, 1733–1747. [Google Scholar] [CrossRef]
- Liu, H.; Hui, T.; Fang, F.; Ma, Q.; Li, S.; Zhang, D.; Wang, Z. Characterization and Discrimination of Key Aroma Compounds in Pre- and Postrigor Roasted Mutton by GC-O-MS, GC E-Nose and Aroma Recombination Experiments. Foods 2021, 10, 2387. [Google Scholar] [CrossRef]
- Beldarrain, L.R.; Morán, L.; Sentandreu, M.Á.; Barron, L.J.; Aldai, N. Effect of ageing time on the volatile compounds from cooked horse meat. Meat Sci. 2022, 184, 108692. [Google Scholar] [CrossRef]
- Zhang, D.; Ji, W.; Peng, Y.; Ji, H.; Gao, J. Evaluation of Flavor Improvement in Antarctic Krill Defluoridated Hydrolysate by Maillard Reaction Using Sensory Analysis, E-nose, and GC-MS. J. Aquat. Food Prod. Technol. 2020, 29, 279–292. [Google Scholar] [CrossRef]
- Duan, S.; Tang, X.; Li, W.; Huang, X. Analysis of the Differences in Volatile Organic Compounds in Different Muscles of Pork by GC-IMS. Molecules 2023, 28, 1726. [Google Scholar] [CrossRef]
- Dan, T.; Hu, H.; Li, T.; Dai, A.; He, B.; Wang, Y. Screening of mixed-species starter cultures for increasing flavour during fermentation of milk. Int. Dairy J. 2022, 135, 105473. [Google Scholar] [CrossRef]
- Giannetti, V.; Mariani, M.B.; Torrelli, P.; Marini, F. Flavour component analysis by HS-SPME/GC–MS and chemometric modeling to characterize Pilsner-style Lager craft beers. Microchem. J. 2019, 149, 103991. [Google Scholar] [CrossRef]
- Munekata, P.E.; Finardi, S.; de Souza, C.K.; Meinert, C.; Pateiro, M.; Hoffmann, T.G.; Domínguez, R.; Bertoli, S.L.; Kumar, M.; Lorenzo, J.M. Applications of Electronic Nose, Electronic Eye and Electronic Tongue in Quality, Safety and Shelf Life of Meat and Meat Products: A Review. Sensors 2023, 23, 672. [Google Scholar] [CrossRef]
- Zhao, L.; Zhang, H.; Huang, F.; Liu, H.; Wang, T.; Zhang, C. Authenticating Tibetan pork in China by tracing the species and geographical features based on stable isotopic and multi-elemental fingerprints. Food Control 2023, 145, 109411. [Google Scholar] [CrossRef]
- Qiu, H.; Qu, K.; Eun, J.B.; Zhang, H. Analysis of thermal oxidation of different multi-element oleogels based on carnauba wax, β-sitosterol/lecithin, and ethyl cellulose by classical oxidation determination method combined with the electronic nose. Food Chem. 2023, 405, 134970. [Google Scholar] [CrossRef]
- Liu, J.; Hu, Z.; Liu, D.; Zheng, A.; Ma, Q. Glutathione metabolism-mediated ferroptosis reduces water-holding capacity in beef during cold storage. Food Chem. 2023, 398, 133903. [Google Scholar] [CrossRef]








| RI | Volatile Compounds | CAS | Content (µg/kg) | |||
|---|---|---|---|---|---|---|
| 1d | 3d | 5d | 7d | |||
| Alkanes | ||||||
| 753 | n-Hexane | 110-54-3 | - | 41.26 ± 5.86 a | 18.79 ± 0.56 b | 18.23 ± 0.69 b |
| 644 | Hexane, 2,4-dimethyl- | 589-43-5 | - | - | - | 12.68 ± 1.23 |
| 743 | Octane | 111-65-9 | 1.92 ± 0.07 a | 7.01 ± 2.45 b | 2.78 ± 0.80 a | 7.67 ± 0.58 b |
| 832 | 2-Octene | 111-67-1 | 0.92 ± 0.16 | - | - | - |
| 1096 | Undecane | 1120-21-4 | 18.01 ± 1.39 a | 8.89 ± 2.32 b | 9.07 ± 1.61 b | 13.76 ± 1.04 c |
| 1202 | Tridecane | 629-50-5 | - | - | 3.33 ± 0.23 | - |
| 1277 | Tridecane, 3-methylene- | 19780-34-8 | - | - | - | 3.20 ± 0.31 |
| 1304 | Dodecane | 112-40-3 | - | 1.92 ± 0.06 | - | - |
| 1447 | Cyclopropane, pentyl- | 2511-91-3 | 20.95 ± 0.70 a | - | - | 17.41 ± 0.62 b |
| 1450 | Octane, 1-methoxy- | 929-56-6 | - | - | - | 27.40 ± 0.93 |
| 1481 | 3-Tetradecene, (Z)- | 41446-67-7 | 0.20 ± 0.01 | - | - | - |
| 1490 | 2-Undecenal | 2463-77-6 | 1.27 ± 0.12 | - | - | - |
| 1497 | Pentadecane | 629-62-9 | - | - | - | 11.42 ± 0.69 |
| 1497 | Hexadecane | 544-76-3 | - | 5.20 ± 0.11 a | 4.82 ± 0.84 a | 5.33 ± 0.56 a |
| 1497 | Pentadecane, 7-methyl- | 6165-40-8 | - | - | 8.46 ± 0.77 | - |
| 1575 | 8-Heptadecene | 2579-04-06 | - | - | - | 14.47 ± 1.04 |
| 1695 | [1,1′-Bicyclopropyl]-2-octanoic | 56687-68-4 | - | - | - | 14.69 ± 1.88 |
| 1815 | Cyclopropane, nonyl- | 74663-85-7 | - | - | - | 21.47 ± 0.99 |
| Ketones | ||||||
| 1006 | 2,3-Butanedione | 431-03-8 | - | - | - | 3.71 ± 0.64 |
| 1271 | 1-Octen-3-one | 4312-99-6 | 6.71 ± 0.48 a | 4.70 ± 0.99 a | 14.39 ± 0.86 b | - |
| 1427 | Acetoin | 513-86-0 | 4.00 ± 0.19 | - | - | - |
| 1429 | 2-Propanone, 1-hydroxy- | 116-09-6 | 13.27 ± 0.34 | - | - | - |
| 1500 | 2(5H)-Furanone, 3-methyl- | 22122-36-7 | 65.83 ± 1.00 a | 68.65 ± 6.91 a | 26.21 ± 2.97 b | 43.08 ± 6.52 ab |
| 1858 | 2-Pentadecanone | 2345-28-0 | 4.63 ± 1.69 a | 8.96 ± 1.20 ab | 7.49 ± 2.70 ac | 12.46 ± 1.03 bc |
| Esters | ||||||
| 1017 | Butanoic acid, methyl ester | 623-42-7 | 5.75 ± 0.75 a | 15.73 ± 3.12 bc | 15.16 ± 0.53 ac | 56.22 ± 5.03 d |
| 1092 | Methyl valerate | 624-24-8 | 2.17 ± 0.51 a | 4.01 ± 0.69 a | 1.46 ± 0.13 a | - |
| 1152 | Hexanoic acid, methyl ester | 106-70-7 | 94.31 ± 13.55 a | 330.71 ± 67.01 ab | 381.13 ± 13.48 b | 129.86 ± 4.97 a |
| 1197 | Octanoic acid, 4-methyl-, methyl ester | 15870-07-2 | - | 14.71 ± 2.38 a | 15.07 ± 0.92 a | 44.45 ± 2.47 b |
| 1229 | Heptanoic acid, methyl ester | 106-73-0 | 36.69 ± 1.12 a | 35.92 ± 8.85 a | 59.84 ± 6.26 a | 161.99 ± 5.39 b |
| 1307 | Hexano-dibutyrin | 65235-12-3 | 1.59 ± 0.17 | - | - | - |
| 1312 | n-Caproic acid vinyl ester | 3050-69-9 | 18.05 ± 0.74 a | - | 28.55 ± 4.43 b | - |
| 1316 | Allyl 2-ethyl butyrate | 7493-69-8 | - | - | - | 21.32 ± 1.18 |
| 1317 | Methyl 6-methyl heptanoate | 2519-37-1 | - | - | 5.53 ± 0.97 a | 7.90 ± 2.48 b |
| 1343 | Propanoic acid, 2-hydroxy-, methyl ester, (ñ)- | 2155-30-8 | 55.64 ± 2.95 a | 47.18 ± 8.53 a | 57.23 ± 2.98 a | 159.97 ± 3.31 b |
| 1343 | Octanoic acid, methyl ester | 111-11-5 | 10.50 ± 7.91 a | 101.57 ± 14.78 b | 106.28 ± 3.80 bc | 477.21 ± 64.53 c |
| 1357 | Formic acid, hexyl ester | 629-33-4 | 10.97 ± 0.72 | - | - | - |
| 1418 | Formic acid, heptyl ester | 112-23-2 | 11.83 ± 0.52 a | 2.90 ± 0.12 b | - | - |
| 1427 | Nonanoic acid, methyl ester | 1731-84-6 | - | 38.57 ± 2.13 a | - | 80.03 ± 25.43 b |
| 1434 | Decanoic acid, methyl ester | 110-42-9 | 51.50 ± 0.61 a | 174.01 ± 23.62 a | 178.96 ± 33.83 a | 327.05 ± 28.70 b |
| 1455 | Methyl 11-oxo-9-undecenoate | 53613-55-1 | 4.15 ± 0.07 | - | - | - |
| 1479 | 4-Decenoic acid, methyl ester | 1191-02-2 | - | 8.16 ± 0.44 a | 6.31 ± 0.52 a | 18.47 ± 1.03 b |
| 1494 | Undecanoic acid, methyl ester | 1731-86-8 | - | - | - | 8.79 ± 0.61 |
| 1552 | Dodecanoic acid, methyl ester | 111-82-0 | 15.56 ± 1.52 a | 19.06 ± 4.28 a | 15.03 ± 0.56 a | 48.83 ± 4.38 b |
| 1619 | Benzeneacetic acid, methyl ester | 101-41-7 | - | 4.93 ± 0.80 a | - | 3.54 ± 0.33 a |
| 1653 | Butyl lactate | 138-22-7 | - | - | - | 6.06 ± 0.70 |
| 1850 | Methyl tetradecanoate | 124-10-7 | 40.21 ± 0.84 ab | 46.77 ± 10.81 a | 35.87 ± 0.55 b | 100.43 ± 10.27 c |
| 2014 | Hexadecanoic acid, methyl ester | 112-39-0 | 59.23 ± 4.59 a | 135.23 ± 6.44 b | 30.54 ± 0.83 c | 94.31 ± 7.58 d |
| Acids | ||||||
| 1417 | Acetic acid | 64-19-7 | 165.94 ± 13.29 a | 89.53 ± 17.55 b | 67.66 ± 13.34 b | 447.04 ± 57.48 ac |
| 1461 | Formic acid | 64-18-6 | 25.18 ± 5.65 b | 4.59 ± 0.78 a | 7.67 ± 2.86 a | 2.81 ± 0.18 a |
| 1466 | Propanoic acid | 79-09-4 | 12.60 ± 0.44 a | 52.14 ± 17.15 ab | 56.10 ± 3.35 b | 113.91 ± 15.42 b |
| 1485 | Butanoic acid, 4-hydroxy- | 591-81-1 | 4.80 ± 0.21 | - | - | - |
| 1487 | Butanoic acid | 107-92-6 | 103.25 ± 2.43 | - | - | - |
| 1490 | Butanoic acid, 3-methyl- | 503-74-2 | - | - | - | 24.97 ± 3.43 |
| 1491 | 2-Propenoic acid | 79-10-7 | 3.51 ± 0.38 | - | - | - |
| 1490 | Undecanoic acid, 2-methyl- | 24323-25-9 | - | - | - | 7.04 ± 0.81 |
| 1626 | Pentanoic acid | 109-52-4 | 5.01 ± 0.07 | - | - | - |
| 1648 | Crotonic acid | 3724-65-0 | - | - | - | 5.57 ± 3.84 |
| 1658 | 2-Butenoic acid, (E)- | 107-93-7 | 4.50 ± 0.07 | - | - | - |
| 1675 | Cyclopropanetetradecanoic | 52355-42-7 | - | - | - | 4.03 ± 0.24 |
| 1709 | Hexanoic acid | 142-62-1 | 30.16 ± 2.27 a | - | 45.84 ± 10.32 a | 124.15 ± 8.57 b |
| 1808 | Heptanoic acid | 111-14-8 | 4.73 ± 0.19 a | 10.42 ± 0.35 b | 8.60 ± 0.86 ab | 14.33 ± 1.92 b |
| 1901 | Octanoic acid | 124-07-2 | - | 38.36 ± 3.45 | - | - |
| 1993 | Nonanoic acid | 112-05-0 | 45.04 ± 0.64 a | 102.39 ± 6.03 b | - | 151.57 ± 16.59 b |
| Aldehyde | ||||||
| 1087 | Hexanal | 66-25-1 | 38.82 ± 2.83 ab | 42.14 ± 1.31 b | 29.19 ± 5.09 a | 30.72 ± 1.50 ab |
| 1148 | Heptanal | 111-71-7 | 0.39 ± 0.16 a | 0.43 ± 0.13 a | - | - |
| 1317 | 2-Heptenal, (Z)- | 57266-86-1 | - | 2.50 ± 0.37 | - | - |
| 1346 | Nonanal | 124-19-6 | 29.04 ± 1.74 | - | - | - |
| 1369 | Undecanal | 112-44-7 | 3.66 ± 0.30 | - | - | - |
| 1397 | 2-Octenal, (E)- | 2548-87-0 | - | - | 7.86 ± 0.72 a | 5.11 ± 0.59 b |
| 1421 | 2-Nonenal, (E)- | 18829-56-6 | 6.26 ± 0.75 a | 3.86 ± 0.90 b | - | - |
| 1422 | Decanal | 112-31-2 | 37.32 ± 0.78 a | - | - | 1.32 ± 0.31 b |
| 1433 | Benzaldehyde | 100-52-7 | 5.72 ± 0.74 a | 2.65 ± 0.63 b | - | 5.36 ± 0.35 a |
| 1618 | 2,4-Decadienal | 2363-88-4 | 5.84 ± 0.19 | - | - | - |
| Alcohols | ||||||
| 1205 | 1-Pentanol | 71-41-0 | 33.89 ± 1.96 a | 45.25 ± 13.78 a | 32.78 ± 9.60 a | - |
| 1354 | 1-Hexanol | 111-27-3 | - | - | - | 30.30 ± 1.64 |
| 1393 | trans-2-Undecen-1-ol | 75039-84-8 | - | 1.58 ± 0.19 | - | - |
| 1412 | 1-Hexadecanol, 2-methyl- | 2490-48-4 | - | 0.91 ± 0.16 a | 11.68 ± 0.32 b | - |
| 1412 | 1-Octen-3-ol | 3391-86-4 | 70.06 ± 1.78 a | 71.62 ± 0.67 ab | 56.69 ± 11.95 ab | 89.73 ± 3.86 b |
| 1416 | 1-Heptanol | 111-70-6 | 8.06 ± 0.23 a | - | 5.70 ± 0.68 b | - |
| 1424 | 1-Hexanol, 2-ethyl- | 104-76-7 | 10.79 ± 0.66 | - | - | - |
| 1429 | 2-Decen-1-ol | 22104-80-9 | - | 2.02 ± 1.76 | - | - |
| 1465 | 2-Octen-1-ol, (E)- | 18409-17-1 | 21.06 ± 0.30 a | 14.42 ± 0.52 ab | 14.19 ± 2.79 ab | 14.06 ± 1.59 b |
| 1473 | 2,3-Butanediol | 513-85-9 | 24.21 ± 0.70 a | - | - | 0.60 ± 0.05 b |
| 1475 | 4-Methyl-5-decanol | 213547-15-0 | 10.93 ± 0.51 | - | - | - |
| 1583 | 1-Hexadecanol, 2-methyl- | 2490-48-4 | - | - | 0.34 ± 0.05 | - |
| 1612 | Hexadecen-1-ol, trans-9- | 64437-47-4 | - | - | 23.53 ± 2.19 a | 34.68 ± 3.56 b |
| 1729 | Benzyl alcohol | 100-51-6 | - | - | - | 4.45 ± 0.63 |
| 1747 | 1-Propanol, 2,2′-oxybis- | 108-61-2 | 27.61 ± 2.90 a | 94.68 ± 14.56 b | - | - |
| 1753 | 1-Propanol,2-(2-hydroxypropoxy)- | 106-62-7 | 38.69 ± 0.69 a | 76.47 ± 2.10 b | 107.32 ± 5.88 c | - |
| 1794 | 1-Undecanol | 112-42-5 | 38.87 ± 2.00 a | - | 10.07 ± 1.94 b | 20.35 ± 1.70 c |
| 1880 | 2-butyl-1-Octanol | 3913-02-8 | - | 13.44 ± 2.34 | - | - |
| Others | ||||||
| 1031 | Methylamine, N, N-dimethyl- | 75-50-3 | 5.19 ± 0.97 a | - | 1.38 ± 0.09 b | 27.73 ± 2.79 c |
| 1184 | Furan, 2-pentyl- | 3777-69-3 | - | 3.33 ± 0.60 a | 2.10 ± 0.32 b | - |
| 1637 | Acetamide | 60-35-5 | 8.83 ± 0.32 a | - | - | 25.53 ± 1.12 b |
| 1762 | Dimethyl sulfone | 67-71-0 | 5.63 ± 0.38 a | 4.81 ± 1.05 a | - | 11.93 ± 0.38 b |
| 1714 | Ethyl dodecyl ether | 7289-37-4 | - | 53.79 ± 24.05 | - | - |
| NO. | Volatile Compounds | Threshold (μg/kg) | Odour Description | ROAV | |||
|---|---|---|---|---|---|---|---|
| 1d | 3d | 5d | 7d | ||||
| 1 | 1-octen-3-one | 0.005 | earthy, mushroom | 100 ± 5.9 | 100 ± 17.17 | 100 ± 4.89 | - |
| 2 | heptanoic acid, methyl ester | 4 | pineapple, fruity | 0.68 ± 0.02 | 0.95 ± 0.19 | 0.52 ± 0.04 | 45.13 ± 1.23 |
| 3 | 2-nonenal, (E)- | 0.08 | fat | 5.84 ± 0.57 | 5.12 ± 0.97 | - | - |
| 4 | decanal | 0.15 | soap, orange peel, tallow | 18.55 ± 0.32 | - | - | 9.8 ± 1.88 |
| 5 | 2,4-decadienal | 0.07 | seaweed | 6.22 ± 0.16 | - | - | - |
| 6 | 1-octen-3-ol | 1 | mushroom, rose | 5.22 ± 0.11 | 7.61 ± 0.06 | 1.97 ± 0.34 | 100 ± 3.52 |
| 3d vs. 1d | 5d vs. 3d | 7d vs. 5d | ||||||
|---|---|---|---|---|---|---|---|---|
| Volatile Marker Candidates | Fold Change | Regulation | Volatile Marker Candidates | Fold Change | Regulation | Volatile Marker Candidates | Fold Change | Regulation |
| octane | 3.65 | up | 1-octen-3-one | 3.06 | up | octane | 2.76 | up |
| butanoic acid, methyl ester | 2.74 | up | 1-hexadecanol, 2-methyl- | 12.84 | up | butanoic acid, methyl ester | 3.71 | up |
| hexanoic acid, methyl ester | 3.51 | up | n-hexane | 0.46 | down | octanoic acid, 4-methyl-, methyl ester | 2.95 | up |
| octanoic acid, methyl ester | 9.67 | up | 2(5H)-furanone, 3-methyl- | 0.38 | down | heptanoic acid, methyl ester | 2.71 | up |
| decanoic acid, methyl ester | 3.38 | up | methyl valerate | 0.36 | down | propanoic acid, 2-hydroxy-, methyl ester,(ñ)- | 2.80 | up |
| hexadecanoic acid, methyl ester | 2.28 | up | hexadecanoic acid, methyl ester | 0.23 | down | octanoic acid, methyl ester | 4.49 | up |
| propanoic acid | 4.14 | up | 4-decenoic acid, methyl ester | 2.93 | up | |||
| heptanoic acid | 2.20 | up | dodecanoic acid, methyl ester | 3.25 | up | |||
| nonanoic acid | 2.27 | up | methyl tetradecanoate | 2.80 | up | |||
| 1-propanol, 2,2′-oxybis- | 3.43 | up | hexadecanoic acid, methyl ester | 3.09 | up | |||
| undecane | 0.49 | down | acetic acid | 6.61 | up | |||
| pormic acid, heptyl ester | 0.25 | down | propanoic acid | 2.03 | up | |||
| benzaldehyde | 0.46 | down | hexanoic acid | 2.71 | up | |||
| 1-Undecanol | 2.02 | up | ||||||
| methylamine, N,N-dimethyl- | 20.09 | up | ||||||
| hexanoic acid, methyl ester | 0.34 | down | ||||||
| Formic acid | 0.37 | down | ||||||
| Sensor Number | Sensor Name | Descriptions |
|---|---|---|
| 1 | W1C | Sensitive to aromatic, benzene |
| 2 | W5S | Sensitive to nitrogen oxides |
| 3 | W3C | Sensitive to ammonia and aromatic compounds |
| 4 | W6S | Sensitive to hydrogen |
| 5 | W5C | Sensitive to alkanes, aromatic compounds, and fewer polar compounds |
| 6 | W1S | Sensitive to methane and hydrocarbons |
| 7 | W1W | Sensitive to many terpenes and sulfide compounds |
| 8 | W2S | Sensitive to alcohols, aldehydes, and ketones |
| 9 | W2W | Sensitive to organic sulfides, aromatic compounds |
| 10 | W3S | Sensitive to long-chain alkanes |
Disclaimer/Publisher’s Note: The statements, opinions and data contained in all publications are solely those of the individual author(s) and contributor(s) and not of MDPI and/or the editor(s). MDPI and/or the editor(s) disclaim responsibility for any injury to people or property resulting from any ideas, methods, instructions or products referred to in the content. |
© 2023 by the authors. Licensee MDPI, Basel, Switzerland. This article is an open access article distributed under the terms and conditions of the Creative Commons Attribution (CC BY) license (https://creativecommons.org/licenses/by/4.0/).
Share and Cite
Bu, N.; Yang, Q.; Chen, J.; Li, Y.; Liu, D. Characterization and Discrimination of Volatile Compounds in Chilled Tan Mutton Meat during Storage Using HiSorb-TD-GC-MS and E-Nose. Molecules 2023, 28, 4993. https://doi.org/10.3390/molecules28134993
Bu N, Yang Q, Chen J, Li Y, Liu D. Characterization and Discrimination of Volatile Compounds in Chilled Tan Mutton Meat during Storage Using HiSorb-TD-GC-MS and E-Nose. Molecules. 2023; 28(13):4993. https://doi.org/10.3390/molecules28134993
Chicago/Turabian StyleBu, Ningxia, Qi Yang, Juan Chen, Yongqin Li, and Dunhua Liu. 2023. "Characterization and Discrimination of Volatile Compounds in Chilled Tan Mutton Meat during Storage Using HiSorb-TD-GC-MS and E-Nose" Molecules 28, no. 13: 4993. https://doi.org/10.3390/molecules28134993
APA StyleBu, N., Yang, Q., Chen, J., Li, Y., & Liu, D. (2023). Characterization and Discrimination of Volatile Compounds in Chilled Tan Mutton Meat during Storage Using HiSorb-TD-GC-MS and E-Nose. Molecules, 28(13), 4993. https://doi.org/10.3390/molecules28134993
