A Preliminary Color Study of Different Basil-Based Semi-Finished Products during Their Storage
Abstract
:1. Introduction
2. Results and Discussion
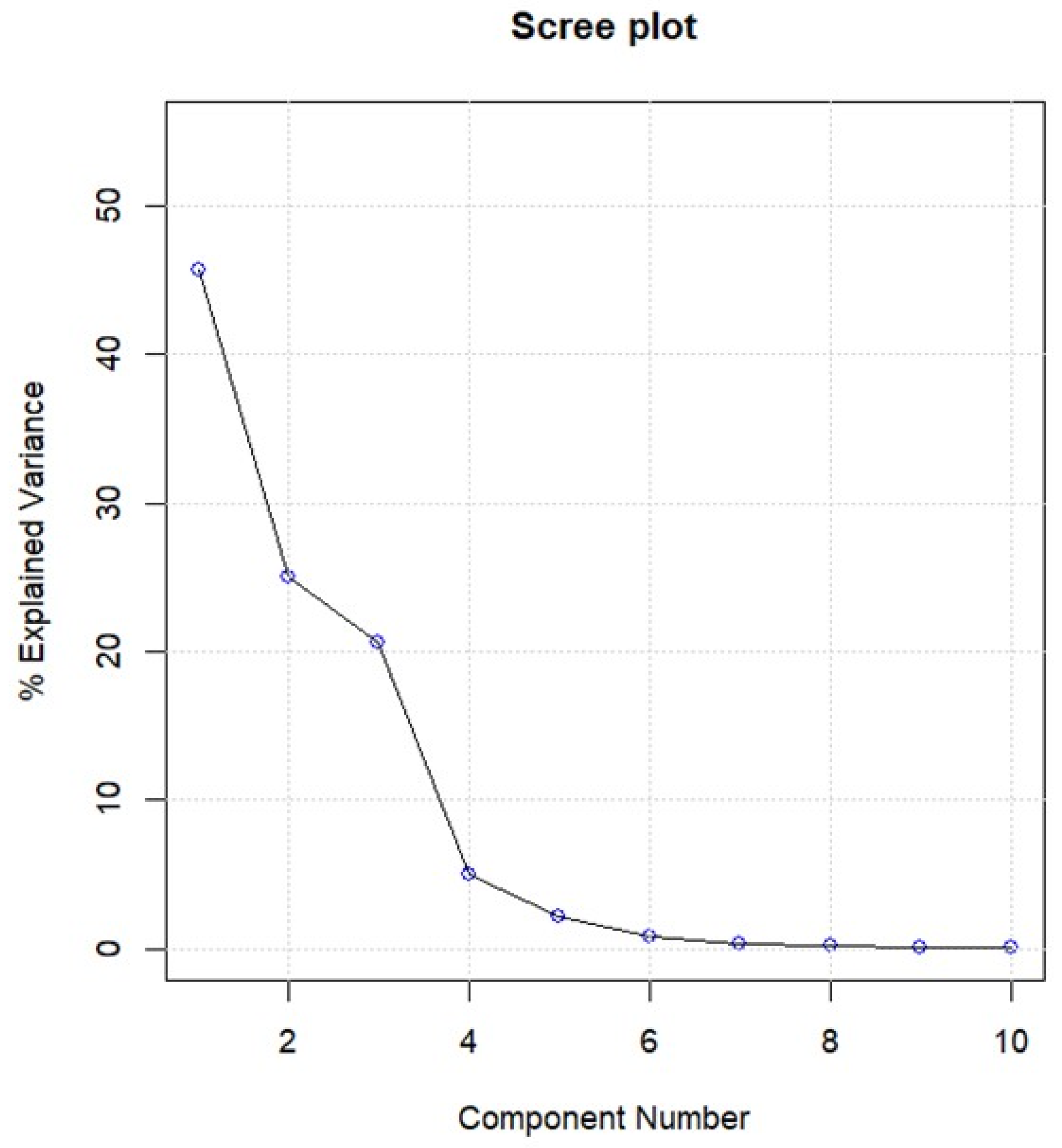
2.1. Color Analysis: Step 1
2.2. Color Analysis: Step 2
3. Materials and Methods
3.1. Preparation of Basil Semi-Finished Products
3.2. Chemicals
3.3. Color Analysis
3.4. Multivariate Statistical Analysis
4. Conclusions
Author Contributions
Funding
Institutional Review Board Statement
Informed Consent Statement
Data Availability Statement
Conflicts of Interest
Sample Availability
References
- Zunin, P.; Salvadeo, P.; Boggia, R.; Lanteri, S. Study of different kinds of “Pesto Genovese” by the analysis of their volatile fraction and chemometric methods. Food Chem. 2009, 114, 306–309. [Google Scholar] [CrossRef]
- Masino, F.; Ulrici, A.; Antonelli, A. Extraction and quantification of main pigments in pesto sauces. Eur. Food Res. Technol. 2008, 226, 569–575. [Google Scholar] [CrossRef]
- Zardetto, S.; Barbanti, D. Shelf life assessment of fresh green pesto using an accelerated test approach. Food Packag. Shelf Life 2020, 25, 100524. [Google Scholar] [CrossRef]
- Commission Regulation (EC) No 1623/2005. Official Journal of the European Union L259, 15. Available online: https://www.legislation.gov.uk/eur/2005/1623 (accessed on 20 March 2022).
- Boggia, R.; Leardi, R.; Zunin, P.; Bottino, A.; Capannelli, G. Dehydration of Pdo Genovese Basil Leaves (Ocimum basilicum maximum L. Cv Genovese Gigante) by Direct Osmosis. J. Food Process. Preserv. 2013, 37, 621–629. [Google Scholar] [CrossRef]
- Maggi, S.; Rogoli, D.; Ecarnot, F. Healthy aging in the context of the Mediterranean diet–health-environment trilemma. Aging Health Res. 2021, 1, 100015. [Google Scholar] [CrossRef]
- Wanasundara, P.K.J.P.D.; Shahidi, F. Antioxidants: Science, technology, and applications. In Bailey’s Industrial Oil and Fat Products, 6th ed.; Shahidi, F., Ed.; John Wiley & Sons Inc.: Hoboken, NJ, USA, 2005; pp. 431–489. [Google Scholar]
- Stich, E. Food Color and Coloring Food: Quality, Differentiation and Regulatory Requirements in the European Union and the United States. In Handbook on Natural Pigments in Food and Beverages; Reinhold, C., Schweiggert, R.M., Eds.; Industrial Applications for Improving Food Color Woodhead Publishing Series in Food Science, Technology and Nutrition; Woodhead Publishing: Cambridge, UK, 2016; pp. 3–27. [Google Scholar] [CrossRef]
- Zeppa, G.; Turon, C. Application of the central composite design approach to define chlorophyll degradation during pesto sauce pasteurization. Ind. Aliment.-Italy 2014, 53, 5–11. [Google Scholar]
- Kang, Y.-R.; Park, J.; Jung, S.K.; Chang, Y.H. Synthesis, characterization, and functional properties of chlorophylls, pheophytins, and Zn-pheophytins. Food Chem. 2018, 245, 943–950. [Google Scholar] [CrossRef] [PubMed]
- Li, F.; Zhou, L.; Cao, J.; Wang, Z.; Liao, X.; Zhang, Y. Aggregation induced by the synergy of sodium chloride and high-pressure improves chlorophyll stability. Food Chem. 2022, 366, 130577. [Google Scholar] [CrossRef] [PubMed]
- Turrini, F.; Zunin, P.; Boggia, R. Potentialities of Rapid Analytical Strategies for the Identification of the Botanical Species of Several “Specialty” or “Gourmet” Oils. Foods 2021, 10, 183. [Google Scholar] [CrossRef]
- Boggia, R.; Casolino, M.C.; Hysenaj, V.; Oliveri, P.; Zunin, P. A screening method based on UV–Visible spectroscopy and multivariate analysis to assess addition of filler juices and water to pomegranate juices. Food Chem. 2013, 140, 735–741. [Google Scholar] [CrossRef] [PubMed]
- Buckley, R.R.; Giorgianni, E.J. CIELAB for Color Image Encoding (CIELAB, 8-Bit; Domain and Range, Uses). In Encyclopedia of Color Science and Technology; Luo, R., Ed.; Springer: Berlin/Heidelberg, Germany, 2016; pp. 1–9. [Google Scholar] [CrossRef]
- Boggia, R.; Turrini, F.; Anselmo, M.; Zunin, P.; Donno, D.; Beccaro, G.L. Feasibility of UV–VIS–Fluorescence spectroscopy combined with pattern recognition techniques to authenticate a new category of plant food supplements. J. Food Sci. Technol. 2017, 54, 2422–2432. [Google Scholar] [CrossRef] [PubMed]
- Turrini, F.; Donno, D.; Beccaro, G.L.; Pittaluga, A.; Grilli, M.; Zunin, P.; Boggia, R. Bud-Derivatives, a Novel Source of Polyphenols and How Different Extraction Processes Affect Their Composition. Foods 2020, 9, 1343. [Google Scholar] [CrossRef] [PubMed]
- Turrini, F.; Donno, D.; Beccaro, G.L.; Zunin, P.; Pittaluga, A.; Boggia, R. Pulsed Ultrasound-Assisted Extraction as an Alternative Method to Conventional Maceration for the Extraction of the Polyphenolic Fraction of Ribes nigrum Buds: A New Category of Food Supplements Proposed by The FINNOVER Project. Foods 2019, 8, 466. [Google Scholar] [CrossRef] [Green Version]
- Homa, K.; Barney, W.P.; Ward, D.L.; Wyenandt, C.A.; Simon, J.E. Morphological Characteristics and Susceptibility of Basil Species and Cultivars to Peronospora belbahrii. HortScience 2016, 51, 1389–1396. [Google Scholar] [CrossRef] [Green Version]
- Degl’Innocenti, E.; Pardossi, A.; Tognoni, F.; Guidi, L. Physiological basis of sensitivity to enzymatic browning in ‘lettuce’, ‘escarole’ and ‘rocket salad’ when stored as fresh-cut products. Food Chem. 2007, 104, 209–215. [Google Scholar] [CrossRef]
- Moon, K.M.; Kwon, E.-B.; Lee, B.; Kim, C.Y. Recent Trends in Controlling the Enzymatic Browning of Fruit and Vegetable Products. Molecules 2020, 25, 2754. [Google Scholar] [CrossRef] [PubMed]
- Arias, E.; González, J.; Oria, R.; López-Buesa, P. Ascorbic Acid and 4-Hexylresorcinol Effects on Pear PPO and PPO Catalyzed Browning Reaction. J. Food Sci. 2007, 72, C422–C429. [Google Scholar] [CrossRef]
- Manolopoulou, E.; Varzakas, T. Effect of Temperature in Color Changes of Green Vegetables. Curr. Res. Nutr. Food Sci. 2016, 1, 10–17. [Google Scholar] [CrossRef]
- Oliveri, P.; Malegori, C.; Simonetti, R.; Casale, M. The impact of signal pre-processing on the final interpretation of analytical outcomes—A tutorial. Anal. Chim. Acta 2019, 1058, 9–17. [Google Scholar] [CrossRef]
- Barnes, R.J.; Dhanoa, M.S.; Lister, S.J. Standard Normal Variate Transformation and De-Trending of Near-Infrared Diffuse Reflectance Spectra. Appl. Spectrosc. 1989, 43, 772–777. [Google Scholar] [CrossRef]
- Wold, S.; Esbensen, K.; Geladi, P. Principal component analysis. Chemom. Intell. Lab. Syst. 1987, 2, 37–52. [Google Scholar] [CrossRef]
- Jolliffe, I.T. Principal Component Analysis, 2nd ed.; Springer Series in Statistics; Springer: New York, NY, USA, 2002. [Google Scholar]
- Leardi, R. Data Processing. In Advances in Food Diagnostics; Nollet, L., Toldrá, F., Eds.; Ames, ISUP-Blackwell Publishing: Hoboken, NJ, USA, 2007; pp. 295–321. [Google Scholar]
- Leardi, R. Chemometric Methods in Food Authentication. In Modern Techniques for Food Authentication, 2nd ed.; Da, W.-S., Ed.; Academic Press, Elsevier: Amsterdam, The Netherlands, 2018; pp. 687–729. [Google Scholar] [CrossRef]
- Bro, R.; Smilde, A.K. Principal component analysis. Anal. Methods 2014, 6, 2812–2831. [Google Scholar] [CrossRef] [Green Version]
- Leardi, R.; Melzi, C.; Polotti, G. CAT (Chemometric Agile Software). Available online: http://gruppochemiometria.it/index.php/software (accessed on 20 December 2021).







| LEVELS | |||||
|---|---|---|---|---|---|
| VAR ID | Variable Name | −1 | −0.33 | 0 | 1 |
| X1 | Blast Chilling | No | Yes | ||
| X2 | Citric Acid % * | 0 | 50 | 100 | |
| X3 | Ageing (month) | t0 | t1 (1 m) | t2 (3 m) | |
| Exp. | Actual Values | Coded Values | ||||
|---|---|---|---|---|---|---|
| Blast Chilling | CitrAc (%) | Time-Point | Blast Chilling | CitrAc (%) | Time-Point | |
| 1 | Blast Chill | 0 | t0 | 1 | −1 | −1 |
| 2 | None | 0 | t0 | −1 | −1 | −1 |
| 3 | Blast Chill | 100 | t0 | 1 | 1 | −1 |
| 4 | None | 100 | t0 | −1 | 1 | −1 |
| 5 | Blast Chill | 50 | t0 | 1 | 0 | −1 |
| 6 | None | 50 | t0 | −1 | 0 | −1 |
| 7 | Blast Chill | 0 | t1 (1 month) | 1 | −1 | −0.33 |
| 8 | None | 0 | t1 (1 month) | −1 | −1 | −0.33 |
| 9 | Blast Chill | 100 | t1 (1 month) | 1 | 1 | −0.33 |
| 10 | None | 100 | t1 (1 month) | −1 | 1 | −0.33 |
| 11 | Blast Chill | 50 | t1 (1 month) | 1 | 0 | −0.33 |
| 12 | None | 50 | t1 (1 month) | −1 | 0 | −0.33 |
| 13 | Blast Chill | 0 | t2 (2 months) | 1 | −1 | 1 |
| 14 | None | 0 | t2 (2 months) | −1 | −1 | 1 |
| 15 | Blast Chill | 100 | t2 (2 months) | 1 | 1 | 1 |
| 16 | None | 100 | t2 (2 months) | −1 | 1 | 1 |
| 17 | Blast Chill | 50 | t2 (2 months) | 1 | 0 | 1 |
| 18 | None | 50 | t2 (2 months) | −1 | 0 | 1 |
| Sample Code | Antioxidant Agent | Preliminary Treatment |
|---|---|---|
| AscAcid None | L-ascorbic acid (100%) | None |
| AscAcid_BlastChilling | L-ascorbic acid (100%) | Blast chilling |
| CitrAcid None | Citric acid (100%) | None |
| CitrAcid BlastChill | Citric acid (100%) | Blast chilling |
| AscAcid-CitricAcid None | L-ascorbic acid 50% + citric acid 50% | None |
| AscAcid-CitricAcid BlastChill | L-ascorbic acid 50% + citric acid 50% | Blast chilling |
Publisher’s Note: MDPI stays neutral with regard to jurisdictional claims in published maps and institutional affiliations. |
© 2022 by the authors. Licensee MDPI, Basel, Switzerland. This article is an open access article distributed under the terms and conditions of the Creative Commons Attribution (CC BY) license (https://creativecommons.org/licenses/by/4.0/).
Share and Cite
Turrini, F.; Farinini, E.; Leardi, R.; Grasso, F.; Orlandi, V.; Boggia, R. A Preliminary Color Study of Different Basil-Based Semi-Finished Products during Their Storage. Molecules 2022, 27, 2059. https://doi.org/10.3390/molecules27072059
Turrini F, Farinini E, Leardi R, Grasso F, Orlandi V, Boggia R. A Preliminary Color Study of Different Basil-Based Semi-Finished Products during Their Storage. Molecules. 2022; 27(7):2059. https://doi.org/10.3390/molecules27072059
Chicago/Turabian StyleTurrini, Federica, Emanuele Farinini, Riccardo Leardi, Federica Grasso, Valentina Orlandi, and Raffaella Boggia. 2022. "A Preliminary Color Study of Different Basil-Based Semi-Finished Products during Their Storage" Molecules 27, no. 7: 2059. https://doi.org/10.3390/molecules27072059
APA StyleTurrini, F., Farinini, E., Leardi, R., Grasso, F., Orlandi, V., & Boggia, R. (2022). A Preliminary Color Study of Different Basil-Based Semi-Finished Products during Their Storage. Molecules, 27(7), 2059. https://doi.org/10.3390/molecules27072059

