Effect of Amino Acids on Folates Accumulation in Wheat Seedlings during Germination under Red Light Radiation
Abstract
1. Introduction
2. Results
2.1. Content of Total Folates in Wheat Seedlings after Germination
2.2. Optimization of Amino Acids Addition for Folate Accumulation
2.3. Profile of Folates in Wheat Seedlings with Different Treatments
2.4. Endogenous Free Amino Acids
2.5. The Precursors of Folate Biosynthesis
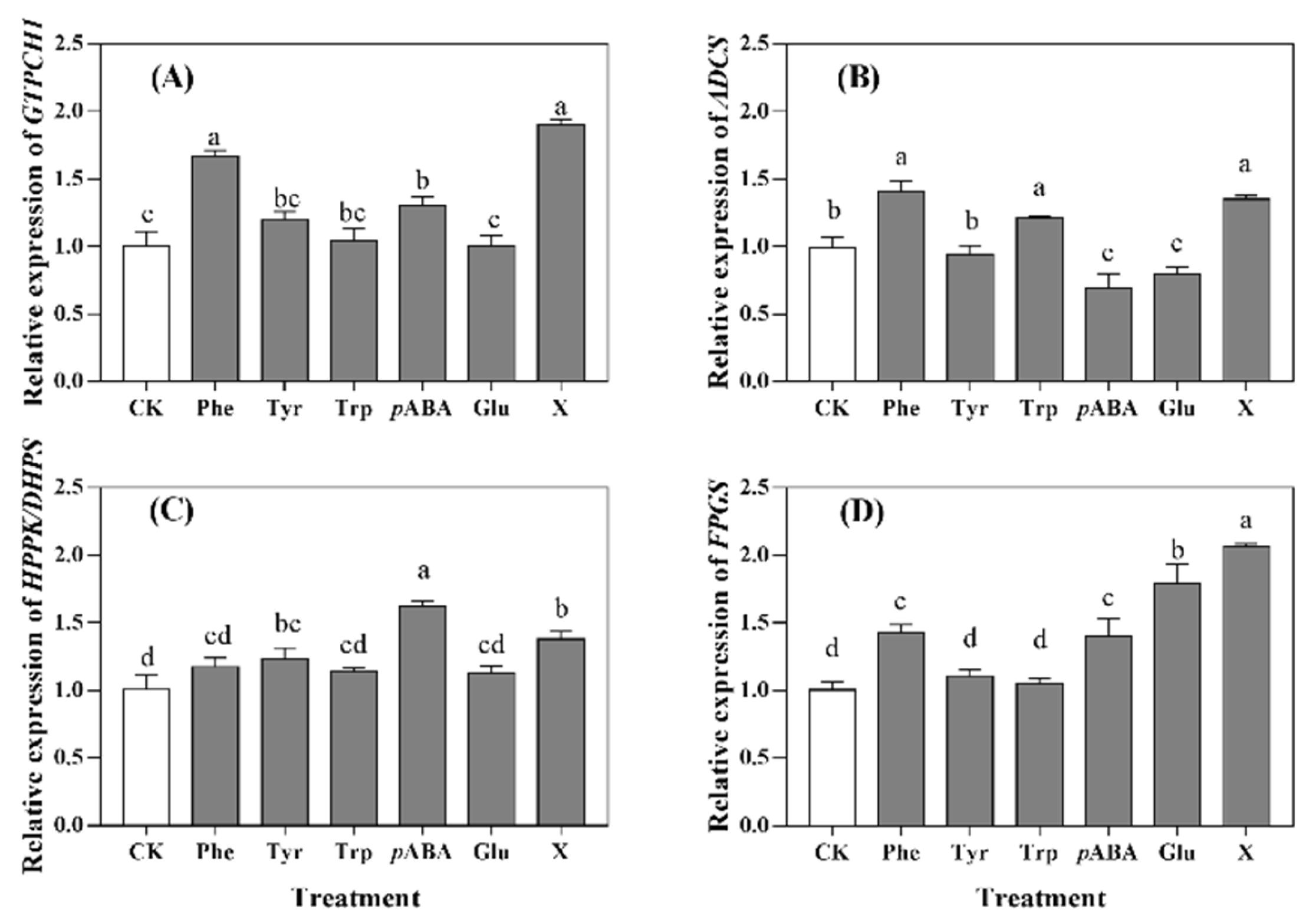
2.6. Gene Expression of Folate Biosynthesis
3. Discussion
4. Materials and Methods
4.1. Materials and Chemicals
4.2. Germination Conditions
4.3. Determination of Folates, pABA and Pterin
4.4. Determination of Free Amino Acids
4.5. Expression of Genes
4.6. Statistical Analysis
5. Conclusions
Supplementary Materials
Author Contributions
Funding
Institutional Review Board Statement
Informed Consent Statement
Data Availability Statement
Conflicts of Interest
Sample Availability
References
- Zheng, Y.; Cantley, L.C. Toward a better understanding of folate metabolism in health and disease. J. Exp. Med. 2019, 216, 253–266. [Google Scholar] [CrossRef] [PubMed]
- Saldanha, L.G.; Dwyer, J.T.; Haggans, C.J.; Mills, J.L.; Potischman, N. Perspective: Time to resolve confusion on folate amounts, units, and forms in prenatal supplements. Adv. Nutr. 2020, 11, 753–759. [Google Scholar] [CrossRef] [PubMed]
- Centeno Tablante, E.; Pachón, H.; Guetterman, H.M.; Finkelstein, J.L. Fortification of wheat and maize flour with folic acid for population health outcomes. Cochrane Database Syst. Rev. 2019, 7, CD012150. [Google Scholar] [CrossRef]
- Rodrigues, V.B.; Silva, E.N.D.; Santos, M.L.P. Cost-effectiveness of mandatory folic acid fortification of flours in prevention of neural tube defects: A systematic review. PLoS ONE 2021, 16, e0258488. [Google Scholar]
- Selhub, J.; Rosenberg, I.H. Excessive folic acid intake and relation to adverse health outcome. Biochimie 2016, 126, 71–78. [Google Scholar] [CrossRef]
- Hossain, T.; Rosenberg, I.; Selhub, J.; Kishore, G.; Beachy, R.; Schubert, K. Enhancement of folates in plants through metabolic engineering. Proc. Natl. Acad. Sci. USA 2004, 101, 5158–5163. [Google Scholar] [CrossRef]
- Hefni, M.; Witthöft, C.M. Effect of germination and subsequent oven-drying on folate content in different wheat and rye cultivars. J. Cereal. Sci. 2012, 56, 374–378. [Google Scholar] [CrossRef]
- Puthusseri, B.; Divya, P.; Lokesh, V.; Neelwarne, B. Enhancement of folate content and its stability using food grade elicitors in coriander (Coriandrum sativum L.). Plant. Foods Hum. Nutr. 2012, 67, 162–170. [Google Scholar] [CrossRef]
- Chang, J.; Xie, C.; Wang, P.; Gu, Z.; Han, Y.; Yang, R. Red light enhances folate accumulation in wheat seedlings. J. Zhejiang Univ. Sci. B 2021, 22, 906–916. [Google Scholar] [CrossRef]
- Strobbe, S.; Van Der Straeten, D. Folate biofortification in food crops. Curr. Opin. Biotechnol. 2017, 44, 202–211. [Google Scholar] [CrossRef]
- Watanabe, S.; Ohtani, Y.; Tatsukami, Y.; Aoki, W.; Amemiya, T.; Sukekiyo, Y.; Kubokawa, S.; Ueda, M. Folate Biofortification in Hydroponically Cultivated Spinach by the Addition of Phenylalanine. J. Agric. Food Chem. 2017, 65, 4605–4610. [Google Scholar] [CrossRef] [PubMed]
- Xie, C.; Wang, P.; Sun, M.; Gu, Z.; Yang, R. Nitric oxide mediates γ-aminobutyric acid signaling to regulate phenolic compounds biosynthesis in soybean sprouts under NaCl stress. Food Biosci. 2021, 44, 101356. [Google Scholar] [CrossRef]
- Tzin, V.; Galili, G. New insights into the shikimate and aromatic amino acids biosynthesis pathways in plants. Mol. Plant. 2010, 3, 956–972. [Google Scholar] [CrossRef]
- Hanson, A.D.; Gregory, J.F., 3rd. Folate biosynthesis, turnover, and transport in plants. Annu. Rev. Plant Biol. 2011, 62, 105–125. [Google Scholar] [CrossRef]
- Rébeillé, F.; Macherel, D.; Mouillon, J.-M.; Garin, J.; Douce, R. Folate biosynthesis in higher plants: Purification and molecular cloning of a bifunctional 6-hydroxymethyl−7,8-dihydropterin pyrophosphokinase/7,8-dihydropteroate synthase localized in mitochondria. EMBO J. 1997, 16, 5, 947–957. [Google Scholar] [CrossRef]
- Lian, T.; Wang, X.; Li, S.; Jiang, H.; Zhang, C.; Wang, H.; Jiang, L. Comparative transcriptome analysis reveals mechanisms of folate accumulation in maize grains. Int. J. Mol. Sci. 2022, 23, 1708. [Google Scholar] [CrossRef]
- Ernst, R.W.; Nenad, B.; Beat, T. Tetrahydrobiopterin: Biochemistry and pathophysiology. Biochem. J. 2011, 438, 397–414. [Google Scholar]
- Green, J.M.; Matthews, R.G. Folate biosynthesis, reduction, and polyglutamylation and the interconversion of folate derivatives. EcoSal Plus 2007, 2, 2. [Google Scholar] [CrossRef]
- Gorelova, V.; Bastien, O.; De Clerck, O.; Lespinats, S.; Rébeillé, F.; Van Der Straeten, D. Evolution of folate biosynthesis and metabolism across algae and land plant lineages. Sci. Rep. 2019, 9, 5731. [Google Scholar] [CrossRef]
- Delchier, N.; Herbig, A.L.; Rychlik, M.; Renard, C. Folates in Fruits and Vegetables: Contents, Processing, and Stability. Compr. Rev. Food Sci. Food Saf. 2016, 15, 506–528. [Google Scholar] [CrossRef]
- Riaz, B.; Liang, Q.; Wan, X.; Wang, K.; Zhang, C.; Ye, X. Folate content analysis of wheat cultivars developed in the North China Plain. Food Chem. 2019, 289, 377–383. [Google Scholar] [CrossRef] [PubMed]
- Pietrzik, K.; Bailey, L.; Shane, B. Folic Acid and L−5-Methyltetrahydrofolate. Clin. Pharmacokinet. 2010, 49, 535–548. [Google Scholar] [CrossRef] [PubMed]
- Orsomando, G.; Bozzo, G.G.; de la Garza, R.D.; Basset, G.J.; Quinlivan, E.P.; Naponelli, V.; Rébeillé, F.; Ravanel, S.; Gregory, J.F., 3rd; Hanson, A.D. Evidence for folate-salvage reactions in plants. Plant. J. 2006, 46, 426–435. [Google Scholar] [CrossRef] [PubMed]
- Ramírez Rivera, N.G.; García-Salinas, C.; Aragão, F.J.; Díaz de la Garza, R.I. Metabolic engineering of folate and its precursors in Mexican common bean (Phaseolus vulgaris L.). Plant Biotechnol. J. 2016, 14, 2021–2032. [Google Scholar] [CrossRef] [PubMed]
- Yoon, Y.-E.; Kuppusamy, S.; Cho, K.M.; Kim, P.J.; Kwack, Y.-B.; Lee, Y.B. Influence of cold stress on contents of soluble sugars, vitamin C and free amino acids including gamma-aminobutyric acid (GABA) in spinach (Spinacia oleracea). Food Chem. 2017, 215, 185–192. [Google Scholar] [CrossRef] [PubMed]





| Number | Factors | Total Folate Content (µg/100 g DW) | ||||
|---|---|---|---|---|---|---|
| A Phe (mmol/L) | B Tyr (mmol/L) | C Trp (mmol/L) | D pABA (mmol/L) | E Glu (mmol/L) | ||
| 1 | 1 (0) | 1 (0) | 1 (0) | 1 (0) | 1 (0.5) | 278.20 ± 6.54 |
| 2 | 1 | 2 (0.25) | 2 (0.25) | 2 (0.25) | 2 (1.0) | 321.18 ± 20.25 |
| 3 | 1 | 3 (0.50) | 3 (0.50) | 3 (0.50) | 3 (1.5) | 300.75 ± 1.82 |
| 4 | 1 | 4 (0.75) | 4 (0.75) | 4 (0.75) | 4 (2.0) | 321.56 ±17.33 |
| 5 | 2 (0.50) | 1 | 2 | 3 | 4 | 316.45 ± 27.66 |
| 6 | 2 | 2 | 1 | 4 | 3 | 328.81 ± 16.82 |
| 7 | 2 | 3 | 4 | 1 | 2 | 344.93 ± 9.73 |
| 8 | 2 | 4 | 3 | 2 | 1 | 364.31 ± 19.21 |
| 9 | 3 (1.0) | 1 | 3 | 4 | 2 | 319.96 ± 17.84 |
| 10 | 3 | 2 | 1 | 3 | 1 | 351.35 ± 14.14 |
| 11 | 3 | 3 | 4 | 2 | 4 | 308.98 ± 12.01 |
| 12 | 3 | 4 | 2 | 1 | 3 | 296.55 ± 3.90 |
| 13 | 4 (1.5) | 1 | 4 | 2 | 3 | 326.80 ± 16.59 |
| 14 | 4 | 2 | 3 | 1 | 4 | 345.00 ± 22.84 |
| 15 | 4 | 3 | 2 | 4 | 1 | 356.92 ± 1.48 |
| 16 | 4 | 4 | 1 | 3 | 2 | 342.49 ± 1.20 |
| K1 | 305.43 | 310.35 | 325.22 | 316.18 | 343.31 | |
| K2 | 338.62 | 336.59 | 328.40 | 330.32 | 332.14 | |
| K3 | 319.22 | 333.51 | 332.50 | 327.77 | 313.23 | |
| K4 | 348.42 | 331.23 | 325.57 | 337.44 | 323.00 | |
| Best level | A4 | B2 | C3 | D4 | E1 | |
| R | 42.99 | 26.24 | 7.28 | 21.26 | 30.08 | |
| Ranking | A > E > B > D > C | |||||
| Phe (mmol/L) | Tyr (mmol/L) | Trp (mmol/L) | pABA (mmol/L) | Glu (mmol/L) | Total Folate Content (µg/100 g DW) | |
|---|---|---|---|---|---|---|
| Optimal combination | 1.5 | 0.50 | 0.50 | 0.75 | 0.5 | 417.24 ± 7.14 a |
| Random combination 1 | 1.5 | 0.75 | 0.25 | 0.75 | 0.5 | 349.26 ± 17.98 b |
| Random combination 2 | 0.5 | 0 | 0.25 | 0.50 | 2.0 | 328.59 ± 15.39 b |
| Random combination 3 | 1.0 | 0.50 | 0.75 | 0.25 | 2.0 | 306.83 ± 1.13 c |
| Treatment | |||||||
|---|---|---|---|---|---|---|---|
| CK | Phe | Tyr | Trp | pABA | Glu | X | |
| Asparagine | 31.66 ± 0.47 d | 40.10 ± 0.01 b | 36.86 ± 0.04 c | 37.32 ± 0.30 c | 32.80 ± 0.21 d | 44.02 ± 0.71 a | 36.11 ± 0.20 c |
| Threonine | 151.49 ± 1.23 a | 159.14 ± 2.09 a | 142.90 ± 1.59 a | 137.00 ± 1.62 a | 97.45 ± 0.27 b | 159.00 ± 3.57 a | 96.97 ± 0.13 b |
| Serine | -* | - | - | - | - | - | - |
| Glutamine | 100.26 ± 0.13 f | 120.87 ± 0.54 b | 101.14 ± 0.11 f | 112.17 ± 0.35 d | 108.54 ± 0.49 e | 116.53 ± 1.16 c | 126.41 ± 0.63 a |
| Glycine | 11.45 ± 0.05 b | 11.38 ± 0.03 b | 11.96 ± 0.02 a | 11.29 ± 0.04 bc | 11.11 ± 0.02 c | 11.88 ± 0.13 a | 10.45 ± 0.04 d |
| Alanine | 36.44 ± 0.03 f | 44.54 ± 0.09 a | 40.84 ± 0.12 d | 42.04 ± 0.20 c | 35.98 ± 0.06 f | 43.35 ± 0.29 b | 38.82 ± 0.10 e |
| Cysteine | 19.24 ± 0.11 a | 18.79 ± 0.10 b | 18.68 ± 0.02 bc | 16.77 ± 0.07 e | 18.49 ± 0.07 cd | 18.73 ± 0.03 bc | 18.31 ± 0.03 d |
| Valline | 86.29 ± 0.09 b | 91.03 ± 0.31 a | 77.83 ± 0.37 e | 0.74 ± 0.01 f | 82.11 ± 0.12 c | 81.34 ± 0.50 cd | 80.77 ± 0.13 d |
| Methionine | 14.27 ± 0.05 a | 13.34 ± 0.11 b | 12.80 ± 0.02 cd | 12.64 ± 0.06 d | 14.36 ± 0.03 a | 13.02 ± 0.14 c | 14.11 ± 0.07 a |
| Isoleucine | 77.60 ± 0.08 b | 79.38 ± 0.04 a | 69.50 ± 0.32 f | 67.97 ± 0.11 g | 74.54 ± 0.01 d | 70.30 ± 0.44 e | 76.11 ± 0.05 c |
| Leucine | 78.85 ± 0.05 c | 81.53 ± 0.22 a | 69.84 ± 0.24 e | 68.30 ± 0.14 g | 75.44 ± 0.06 d | 69.00 ± 0.36 f | 80.32 ± 0.11 b |
| Tyrosine | 48.86 ± 0.25 d | 70.04 ± 0.10 b | 48.87 ± 0.17 d | 46.38 ± 0.13 e | 49.84 ± 0.01 c | 44.77 ± 0.27 f | 71.27 ± 0.09 a |
| Phenylalanine | 85.10 ± 0.13 d | 468.98 ± 2.30 a | 79.40 ± 0.14 e | 90.35 ± 0.17 c | 90.17 ± 0.15 c | 86.94 ± 0.22 d | 162.68 ± 0.28 b |
| Lysine | 51.09 ± 0.23 c | 49.25 ± 0.11 d | 49.79 ± 0.40 d | 49.50 ± 0.04 d | 51.77 ± 0.14 c | 53.36 ± 0.20 b | 54.36 ± 0.10 a |
| Histidine | 60.40 ± 0.39 a | 60.62 ± 0.26 a | 57.31 ± 0.13 b | 51.66 ± 0.07 d | 61.04 ± 0.21 a | 56.51 ± 0.16 c | 55.89 ± 0.02 c |
| Argnine | 56.81 ± 0.23 c | 53.46 ± 0.02 e | 54.58 ± 0.23 d | 54.60 ± 0.12 d | 60.12 ± 0.26 b | 61.69 ± 0.22 a | 62.13 ± 0.07 a |
| Proline | 67.97 ± 0.12 c | 64.32 ± 0.02 d | 55.40 ± 0.46 f | 64.36 ± 0.25 d | 74.99 ± 0.34 b | 61.70 ± 0.35 e | 82.83 ± 0.24 a |
| Total | 977.77 ± 1.29 c | 1426.75 ± 1.54 a | 927.70 ± 4.13 d | 936.25 ± 0.68 d | 910.97 ± 26.08 d | 992.16 ± 8.45 c | 1067.55 ± 0.66 b |
Publisher’s Note: MDPI stays neutral with regard to jurisdictional claims in published maps and institutional affiliations. |
© 2022 by the authors. Licensee MDPI, Basel, Switzerland. This article is an open access article distributed under the terms and conditions of the Creative Commons Attribution (CC BY) license (https://creativecommons.org/licenses/by/4.0/).
Share and Cite
Xie, C.; Wang, P.; Chang, J.; Wang, Q.; Han, Y.; Yang, R. Effect of Amino Acids on Folates Accumulation in Wheat Seedlings during Germination under Red Light Radiation. Molecules 2022, 27, 6868. https://doi.org/10.3390/molecules27206868
Xie C, Wang P, Chang J, Wang Q, Han Y, Yang R. Effect of Amino Acids on Folates Accumulation in Wheat Seedlings during Germination under Red Light Radiation. Molecules. 2022; 27(20):6868. https://doi.org/10.3390/molecules27206868
Chicago/Turabian StyleXie, Chong, Pei Wang, Jianwei Chang, Qiaoe Wang, Yongbin Han, and Runqiang Yang. 2022. "Effect of Amino Acids on Folates Accumulation in Wheat Seedlings during Germination under Red Light Radiation" Molecules 27, no. 20: 6868. https://doi.org/10.3390/molecules27206868
APA StyleXie, C., Wang, P., Chang, J., Wang, Q., Han, Y., & Yang, R. (2022). Effect of Amino Acids on Folates Accumulation in Wheat Seedlings during Germination under Red Light Radiation. Molecules, 27(20), 6868. https://doi.org/10.3390/molecules27206868

