X-ray Structures and Computational Studies of Two Bioactive 2-(Adamantane-1-carbonyl)-N-substituted Hydrazine-1-carbothioamides
Abstract
1. Introduction
2. Results and Discussion
2.1. Chemical Synthesis
2.2. Molecular and Crystal Structures
2.2.1. Molecular Conformations
2.2.2. Hirshfeld Surface and 2D-Fingerprint Plots
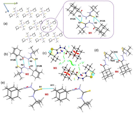
2.2.3. Molecular Dimers and Supramolecular Self-Assembly of Compound 1
2.2.4. Molecular Dimers and Supramolecular Features in Compound 2
2.2.5. Lattice Energy and Energy Frameworks
2.2.6. QTAIM Topological Features of Intermolecular Interactions
2.3. In Vitro Urease Inhibitory Activity
2.4. In Vitro Antiproliferative Activity
2.5. Molecular Docking Analysis
3. Materials and Methods
3.1. Synthesis and Crystallization
3.1.1. 2-(Adamantane-1-carbonyl)-N-(tert-butyl)hydrazine-1-carbothioamide 1
3.1.2. 2-(Adamantane-1-carbonyl)-N-cyclohexylhydrazine-1-carbothioamide 2
3.2. Single Crystal X-ray Diffraction (SCXRD)
3.3. Hirshfeld Surface and Energy Frameworks
3.4. PIXEL Energy Analysis
3.5. DFT Calculations
3.6. Topological Analysis
3.7. Molecular Docking Analysis
3.8. Determination of In Vitro Urease Inhibitory and Antiproliferative Activities
4. Conclusions
Supplementary Materials
Author Contributions
Funding
Data Availability Statement
Acknowledgments
Conflicts of Interest
Sample Availability
References
- Acharya, P.T.; Bhavsar, Z.A.; Jethava, D.J.; Patel, D.B.; Patel, H.D. A Review on development of bio-active thiosemicarbazide derivatives: Recent advances. J. Mol. Struct. 2021, 1226, 129268. [Google Scholar] [CrossRef]
- Shakya, B.; Yadav, P.N. Thiosemicarbazones as a potent anticancer agents and their modes of action. Mini Rev. Med. Chem. 2019, 20, 638–661. [Google Scholar] [CrossRef]
- Aboseada, H.A.; Hassanien, M.M.; El-Sayed, I.H.; Saad, E.A. Schiff base 4-ethyl-1-(pyridin-2-yl)thiosemicarbazide up-regulates the antioxidant status and inhibits the progression of Ehrlich solid tumor in mice. Biochem. Biophys. Res. Commun. 2021, 573, 42–47. [Google Scholar] [CrossRef] [PubMed]
- Kapron, B.; Czarnomysy, R.; Paneth, A.; Wujec, M.; Bielawski, K.; Bielawska, A.; Swiatek, L.; Rajtar, B.; Polz-Dacewicz, M.; Plech, T. Dual antibacterial and anticancer activity of 4-benzoyl-1-dichlorobenzoylthiosemicarbazide derivatives. Anticancer Agents Med. Chem. 2017, 17, 529–540. [Google Scholar] [CrossRef]
- Kozyra, P.; Korga-Plewko, A.; Karczmarzyk, Z.; Hawrył, A.; Wysocki, W.; Człapski, M.; Iwan, M.; Ostrowska-Leśko, M.; Fornal, E.; Pitucha, M. Potential anticancer agents against melanoma cells based on an as-synthesized thiosemicarbazide derivative. Biomolecules 2022, 12, 151. [Google Scholar] [CrossRef]
- Song, M.; Wang, S.; Wang, Z.; Fu, Z.; Zhou, S.; Cheng, H.; Liang, Z.; Deng, X. Synthesis, antimicrobial and cytotoxic activities, and molecular docking studies of N-arylsulfonylindoles containing an aminoguanidine, a semicarbazide, and a thiosemicarbazide moiety. Eur. J. Med. Chem. 2019, 166, 108–118. [Google Scholar] [CrossRef]
- Pitucha, M.; Korga-plewko, A.; Kozyra, P.; Iwan, M.; Kaczor, A.A. 2,4-Dichlorophenoxyacetic thiosemicarbazides as a new class of compounds against stomach cancer potentially intercalating with DNA. Biomolecules 2020, 10, 296. [Google Scholar] [CrossRef] [PubMed]
- Arafath, M.A.; Al-Suede, F.S.R.; Adam, F.; Al-Juaid, S.; Ahamed, M.B.K.; Majid, A.M.S.A. Schiff base-nickel, palladium, and platinum complexes derived from N-cyclohexyl hydrazine carbothioamide and 3-hydroxy-4-methoxybenzaldehyde: Selective antiproliferative and proapoptotic effects against colorectal carcinoma. Drug Dev. Res. 2019, 80, 778–790. [Google Scholar] [CrossRef] [PubMed]
- Geng, P.F.; Liu, X.Q.; Zhao, T.Q.; Wang, C.C.; Li, Z.H.; Zhang, J.; Wei, H.M.; Hu, B.; Ma, L.Y.; Liu, H.M. Design, synthesis and in vitro biological evaluation of novel [1,2,3]triazolo[4,5-d]pyrimidine derivatives containing a thiosemicarbazide moiety. Eur. J. Med. Chem. 2018, 146, 147–156. [Google Scholar] [CrossRef]
- Wang, Z.; Peng, Q.; Gao, X.; Zhong, S.; Fang, Y.; Yang, X.; Ling, Y.; Liu, X. Novel fungicide 4-chlorocinnamaldehyde thiosemicarbazide (PMDD) inhibits laccase and controls the causal agent of take-all disease in wheat, gaeumannomyces graminis var. tritici. J. Agric. Food Chem. 2020, 68, 5318–5326. [Google Scholar] [CrossRef]
- Zhang, X.; Lei, P.; Sun, T.; Jin, X.; Yang, X.; Ling, Y. Design, synthesis, and fungicidal activity of novel thiosemicarbazide derivatives containing piperidine fragments. Molecules 2017, 22, 2085. [Google Scholar] [CrossRef]
- Jóźwiak, M.; Stępień, K.; Wrzosek, M.; Olejarz, W.; Kubiak-Tomaszewska, G.; Filipowska, A.; Filipowski, W.; Struga, M. Synthesis, structural studies and biological evaluation of connections of thiosemicarbazide, 1,2,4-triazole and 1,3,4-thiadiazole with palmitic acid. Molecules 2018, 23, 822. [Google Scholar] [CrossRef]
- Volynets, G.P.; Tukalo, M.A.; Bdzhola, V.G.; Derkach, N.M.; Gumeniuk, M.I.; Tarnavskiy, S.S.; Starosyla, S.A.; Yarmoluk, S.M. Benzaldehyde thiosemicarbazone derivatives against replicating and nonreplicating Mycobacterium tuberculosis. J. Antibiot. 2019, 72, 218–224. [Google Scholar] [CrossRef]
- Martínez, R.; Espitia-Pinzón, C.I.; Miranda, M.S.; Chávez-Santos, R.M.; Pretelin-Castillo, G.; Ramos-Orea, A.; Hernández-Báez, Á.M.; Cotlame-Pérez, S.; Pedraza-Rodríguez, R. Synthesis and antituberculosis activity of new acylthiosemicarbazides designed by structural modification. Drug Dev. Res. 2020, 81, 350–355. [Google Scholar] [CrossRef]
- Sriram, D.; Yogeeswari, P.; Senthilkumar, P.; Sangaraju, D. 5-Nitrothiazolylthiosemicarbazones: Synthesis and antimycobacterial evaluation against tubercular and non-tubercular mycobacterial species. J. Enzym. Inhib. Med. Chem. 2010, 25, 105–110. [Google Scholar] [CrossRef][Green Version]
- Dou, X.; Sun, Q.; Xu, G.; Liu, Y.; Zhang, C.; Wang, B.; Lu, Y.; Guo, Z.; Su, L.; Huo, T.; et al. Discovery of 2-(furan-2-ylmethylene)hydrazine-1-carbothioamide derivatives as novel inhibitors of sars-cov-2 main protease. Eur. J. Med. Chem. 2022, 238, 114508. [Google Scholar] [CrossRef] [PubMed]
- Banerjee, D.; Yogeeswari, P.; Bhat, P.; Thomas, A.; Srividya, M.; Sriram, D. Novel isatinyl thiosemicarbazones derivatives as potential molecule to combat HIV-TB co-infection. Eur. J. Med. Chem. 2011, 46, 106–121. [Google Scholar] [CrossRef] [PubMed]
- Han, M.İ.; Ince, U.; Gündüz, M.G.; Küçükgüzel, G. Synthesis, antimicrobial evaluation, and molecular modeling studies of new thiosemicarbazide-triazole hybrid derivatives of (S)-naproxen. Chem. Biodivers. 2022, 19, 202100900. [Google Scholar] [CrossRef] [PubMed]
- Kosikowska, U.; Wujec, M.; Trotsko, N.; Płonka, W.; Paneth, P.; Paneth, A. Antibacterial activity of fluorobenzoylthiosemicarbazides and their cyclic analogues with 1,2,4-triazole scaffold. Molecules 2021, 26, 170. [Google Scholar] [CrossRef]
- Kowalczyk, A.; Paneth, A.; Trojanowski, D.; Paneth, P.; Zakrzewska-Czerwińska, J.; Stączek, P. Thiosemicarbazide derivatives decrease the atpase activity of staphylococcus aureus topoisomerase iv, inhibit mycobacterial growth, and affect replication in Mycobacterium smegmatis. Int. J. Mol. Sci. 2021, 22, 3881. [Google Scholar] [CrossRef]
- Ameryckx, A.; Pochet, L.; Wang, G.; Yildiz, E.; Saadi, B.E.; Wouters, J.; Van Bambeke, F.; Frédérick, R. Pharmacomodulations of the benzoyl-thiosemicarbazide scaffold reveal antimicrobial agents targeting D-alanyl-D-alanine ligase in bacterio. Eur. J. Med. Chem. 2020, 200, 112444. [Google Scholar] [CrossRef]
- Wos, M.; Miazga-Karska, M.; Kaczor, A.A.; Klimek, K.; Karczmarzyk, Z.; Kowalczuk, D.; Wysocki, W.; Ginalska, G.; Urbanczyk-Lipkowska, Z.; Morawiak, M.; et al. Novel thiosemicarbazide derivatives with 4-nitrophenyl group as multi-target drugs: α-glucosidase inhibitors with antibacterial and antiproliferative activity. Biomed. Pharmacother. 2017, 93, 1269–1276. [Google Scholar] [CrossRef] [PubMed]
- Bekier, A.; Węglińska, L.; Paneth, A.; Paneth, P.; Dzitko, K. 4-Arylthiosemicarbazide derivatives as a new class of tyrosinase inhibitors and anti-toxoplasma gondii agents. J. Enzym. Inhib. Med. Chem. 2021, 36, 1145–1164. [Google Scholar] [CrossRef]
- Eldehna, W.M.; Almahli, H.; Ibrahim, T.M.; Fares, M.; Al-Warhi, T.; Boeckler, F.M.; Bekhit, A.A.; Abdel-Aziz, H.A. Synthesis, in vitro biological evaluation and in silico studies of certain arylnicotinic acids conjugated with aryl (thio)semicarbazides as a novel class of anti-leishmanial agents. Eur. J. Med. Chem. 2019, 179, 335–346. [Google Scholar] [CrossRef] [PubMed]
- Matsa, R.; Makam, P.; Kaushik, M.; Hoti, S.L.; Kannan, T. Thiosemicarbazone derivatives: Design, synthesis and in vitro antimalarial activity studies. Eur. J. Pharm. Sci. 2019, 137, 104986. [Google Scholar] [CrossRef] [PubMed]
- Paneth, A.; Weglinska, L.; Bekier, A.; Stefaniszyn, E.; Wujec, M.; Trotsko, N.; Dzitko, K. Systematic identification of thiosemicarbazides for inhibition of Toxoplasma gondii growth in vitro. Molecules 2019, 24, 614. [Google Scholar] [CrossRef] [PubMed]
- Saeed, A.; Imran, A.; Channar, P.A.; Shahid, M.; Mahmood, W.; Iqbal, J. 2-(Hetero(aryl)methylene)hydrazine-1-carbothioamides as potent urease inhibitors. Chem. Biol. Drug Des. 2015, 85, 225–230. [Google Scholar] [CrossRef]
- Elbastawesy, M.A.I.; El-Shaier, Y.A.M.M.; Ramadan, M.; Brown, A.B.; Aly, A.A.; Abuo-Rahma, G.E.D.A. Identification and molecular modeling of new quinolin-2-one thiosemicarbazide scaffold with antimicrobial urease inhibitory activity. Mol. Divers. 2021, 25, 13–27. [Google Scholar] [CrossRef]
- Menteşe, E.; Akyüz, G.; Emirik, M.; Baltaş, N. Synthesis, in vitro urease inhibition and molecular docking studies of some novel quinazolin-4(3h)-one derivatives containing triazole, thiadiazole and thiosemicarbazide functionalities. Bioorg. Chem. 2019, 83, 289–296. [Google Scholar] [CrossRef]
- Taha, M.; Ullah, H.; Al Muqarrabun, L.M.R.; Khan, M.N.; Rahim, F.; Ahmat, N.; Javid, M.T.; Ali, M.; Khan, K.M. Bisindolylmethane thiosemicarbazides as potential inhibitors of urease: Synthesis and molecular modeling studies. Bioorg. Med. Chem. 2018, 26, 152–160. [Google Scholar] [CrossRef]
- Ali, B.; Mohammed Khan, K.; Arshia; Kanwal; Hussain, S.; Hussain, S.; Ashraf, M.; Riaz, M.; Wadood, A.; Perveen, S. Synthetic nicotinic/isonicotinic thiosemicarbazides: In vitro urease inhibitory activities and molecular docking studies. Bioorg. Chem. 2018, 79, 34–45. [Google Scholar] [CrossRef] [PubMed]
- Naseem, S.; Ashraf, M.; Khan, S.; Rafiq, M.; Kashif, M.; Rahman, J.; Rauf, M.K.; Halim, S.A.; Uddin, J.; Khan, A.; et al. Exploring biologically active hybrid pharmacophore N-substituted hydrazine-carbothioamides for urease inhibition: In vitro and in silico approach. Int. J. Biol. Macromol. 2021, 182, 534–544. [Google Scholar] [CrossRef] [PubMed]
- Spilovska, K.; Zemek, F.; Korabecny, J.; Nepovimova, E.; Soukup, O.; Windisch, M.; Kuca, K. Adamantane—A lead structure for drugs in clinical practice. Curr. Med. Chem. 2016, 23, 3245–3266. [Google Scholar] [CrossRef] [PubMed]
- Liu, J.; Obando, D.; Liao, V.; Lifa, T.; Codd, R. The many faces of the adamantyl group in drug design. Eur. J. Med. Chem. 2011, 46, 1949–1963. [Google Scholar] [CrossRef]
- Wanka, L.; Iqbal, K.; Schreiner, P.R. The lipophilic bullet hits the targets: Medicinal chemistry of adamantane derivatives. Chem. Rev. 2013, 113, 3516–3604. [Google Scholar] [CrossRef]
- Wendel, H.A.; Snyder, M.T.; Pell, S. Trial of amantadine in epidemic influenza. Clin. Pharmacol. Ther. 1966, 7, 38–43. [Google Scholar] [CrossRef]
- Rabinovich, S.; Baldini, J.T.; Bannister, R. Treatment of influenza. The therapeutic efficacy of rimantadine HCl in a naturally occurring influenza A2 outbreak. Am. J. Med. Sci. 1969, 257, 328–335. [Google Scholar] [CrossRef]
- Rosenthal, K.S.; Sokol, M.S.; Ingram, R.L.; Subramanian, R.; Fort, R.C. Tromantadine: Inhibitor of early and late events in herpes simplex virus replication. Antimicrob. Agents Chemother. 1982, 22, 1031–1036. [Google Scholar] [CrossRef]
- Long, J.; Manchandia, T.; Ban, K.; Gao, S.; Miller, C.; Chandra, J. Adaphostin cytoxicity in glioblastoma cells is ROS-dependent and is accompanied by upregulation of heme oxygenase-1. Cancer Chemother. Pharmacol. 2007, 59, 527–535. [Google Scholar] [CrossRef]
- Lorenzo, P.; Alvarez, R.; Ortiz, M.A.; Alvarez, S.; Piedrafita, F.J.; De Lera, Á.R. Inhibition of IκB kinase-β and anticancer activities of novel chalcone adamantyl arotinoids. J. Med. Chem. 2008, 51, 5431–5440. [Google Scholar] [CrossRef]
- Dai, L.; Smith, C.D.; Foroozesh, M.; Miele, L.; Qin, Z. The sphingosine kinase 2 inhibitor ABC294640 displays anti-non-small cell lung cancer activities in vitro and in vivo. Int. J. Cancer 2018, 142, 2153–2162. [Google Scholar] [CrossRef] [PubMed]
- Mobley, H.L.T.; Hausinger, R. Microbial ureases: Significance, regulation, and molecular characterization. Microbiol. Rev. 1989, 53, 85–108. [Google Scholar] [CrossRef] [PubMed]
- Uemura, N.; Okamoto, S.; Yamamoto, S.; Matsumura, N.; Yamaguchi, S.; Yamakido, M.; Taniyama, K.; Sasaki, N.; Schlemper, R.J. Helicobacter pylori infection and the development of gastric cancer. N. Engl. J. Med. 2001, 345, 784–789. [Google Scholar] [CrossRef] [PubMed]
- Murakami, M.; Yoo, J.K.; Teramura, S.; Yamamoto, K.; Saita, H.; Matuo, K.; Asada, T.; Kita, T. Generation of ammonia and mucosal lesion formation following hydrolysis of urea by urease in the rat stomach. J. Clin. Gastroenterol. 1990, 12, S104–S109. [Google Scholar] [CrossRef]
- Ito, K.; Nakamura, M.; Toda, G.; Negishi, M.; Torii, A.; Ohno, T. Potential role of helicobacter pylori in hepatocarcinogenesis. Int. J. Mol. Med. 2004, 13, 221–227. [Google Scholar] [CrossRef]
- Groom, C.R.; Bruno, I.J.; Lightfoot, M.P.; Ward, S.C. The Cambridge structural database. Acta Crystallogr. Sect. B 2016, 72, 171–179. [Google Scholar] [CrossRef]
- Ashokkumar, P.; Weißhoff, H.; Kraus, W.; Rurack, K. Test-strip-based fluorometric detection of fluoride in aqueous media with a bodipy-linked hydrogen-bonding receptor. Angew. Chem. Int. Ed. 2014, 53, 2225–2229. [Google Scholar] [CrossRef]
- Basu, A.; Dey, S.K.; Das, G. Amidothiourea based colorimetric receptors for basic anions: Evidence of anion induced deprotonation of amide –nh proton and hydroxide induced anion⋯π interaction with the deprotonated receptors. RSC Adv. 2013, 3, 6596–6605. [Google Scholar] [CrossRef]
- Pitucha, M.; Karczmarzyk, Z.; Swatko-Ossor, M.; Wysocki, W.; Wos, M.; Chudzik, K.; Ginalska, G.; Fruzinski, A. Synthesis, in vitro screening and docking studies of new thiosemicarbazide derivatives as antitubercular agents. Molecules 2019, 24, 251. [Google Scholar] [CrossRef]
- Yan, X.-S.; Wu, K.; Yuan, Y.; Zhan, Y.; Wang, J.-H.; Li, Z.; Jiang, Y.-B. β-Turn structure in glycinylphenylalanine dipeptide based N-amidothioureas. Chem. Commun. 2013, 49, 8943–8945. [Google Scholar] [CrossRef]
- El-Emam, A.A.; Ibrahim, T.M. Synthesis, anti-inflammatory and analgesic activity of certain 3-(1-adamantyl)-4-substituted-5-mercapto-1,2,4-triazole derivatives. Arzneim.-Forsch./Drug Res. 1991, 41, 1260–1264. [Google Scholar]
- Al-Deeb, O.A.; Al-Omar, M.A.; El-Brollosy, N.R.; Habib, E.E.; Ibrahim, T.M.; El-Emam, A.A. Synthesis, antimicrobial, and anti-inflammatory activities of novel 2-[3-(1-adamantyl)-4-substituted-5-thioxo-1,2,4-triazolin-1-yl]acetic acids, 2-[3-(1-adamantyl)-4-substituted-5-thioxo-1,2,4-triazolin-1-yl]propionic acids and related derivatives. Arzneim.-Forsch./Drug Res. 2006, 56, 40–47. [Google Scholar] [CrossRef] [PubMed]
- Al-Wahaibi, L.H.; Bysani, S.R.S.; Tawfik, S.S.; Abdelbaky, M.S.M.; Garcia-Granda, S.; El-Emam, A.A.; Percino, M.J.; Thamotharan, S. Invariant and variable supramolecular self-assembly in 6-substituted uracil derivatives: Insights from X-ray structures and quantum chemical study. Cryst. Growth Des. 2021, 21, 3234–3250. [Google Scholar] [CrossRef]
- Al-Mutairi, A.A.; Alagappan, K.; Blacque, O.; Al-Alshaikh, M.A.; El-Emam, A.A.; Percino, M.J.; Thamotharan, S. Crystallographic and theoretical exploration of weak hydrogen bonds in arylmethyl N′-(adamantan-1-yl)piperidine-1-carbothioimidates and molecular docking analysis. ACS Omega 2021, 6, 27026–27037. [Google Scholar] [CrossRef] [PubMed]
- Al-Wahaibi, L.H.; Asokan, K.V.; Al-Shaalan, N.H.; Tawfik, S.S.; Hassan, H.M.; El-Emam, A.A.; Percino, M.J.; Thamotharan, S. Supramolecular self-assembly mediated by multiple hydrogen bonds and the importance of C–S···N chalcogen bonds in N′-(adamantan-2-ylidene)hydrazide derivatives. ACS Omega 2022, 7, 10608–10621. [Google Scholar] [CrossRef]
- Pitucha, M.; Woś, M.; Miazga-Karska, M.; Klimek, K.; Mirosław, B.; Pachuta-Stec, A.; Gładysz, A.; Ginalska, G. Synthesis, antibacterial and antiproliferative potential of some new 1-pyridinecarbonyl-4-substituted thiosemicarbazide derivatives. Med. Chem. Res. 2016, 25, 1666–1677. [Google Scholar] [CrossRef] [PubMed]
- Jiang, Q.-Q.; Darhkijav, B.; Liu, H.; Wang, F.; Li, Z.; Jiang, Y.-B. anion binding of N-(o-methoxybenzamido)thioureas: Contribution of the intramolecular hydrogen bond in the N-benzamide moiety. Chem. Asian J. 2010, 5, 543–549. [Google Scholar] [CrossRef]
- Yehye, W.A.; Abdul Rahman, N.; Alhadi, A.A.; Khaledi, H.; Ng, S.W.; Ariffin, A. Butylated hydroxytoluene analogs: Synthesis and evaluation of their multipotent antioxidant activities. Molecules 2012, 17, 7645–7665. [Google Scholar] [CrossRef]
- Aly, A.A.; Bräse, S.; Hassan, A.A.; Mohamed, N.K.; Abd El-Haleem, L.E.; Nieger, M.; Morsy, N.M.; Abdelhafez, E.M.N. New paracyclophanylthiazoles with anti-leukemia activity: Design, synthesis, molecular docking, and mechanistic studies. Molecules 2020, 25, 3089. [Google Scholar] [CrossRef]
- Abu-Safieh, K.A.; Khanfar, M.A.; Eichele, K.; Ali, B.F. 4-(4-Chlorophenyl)-1-(2-hydroxy-2,2-diphenylacetyl)thiosemicarbazide. Acta Crystallogr. Sect. E 2008, 64, o2305. [Google Scholar] [CrossRef]
- Weatherburn, M.W. Phenol-hypochlorite reaction for determination of ammonia. Anal. Chem. 1967, 39, 971–974. [Google Scholar] [CrossRef]
- Tanaka, T.; Kawase, M.; Tani, S. Urease inhibitory activity of simple α,β-unsaturated ketones. Life Sci. 2003, 73, 2985–2990. [Google Scholar] [CrossRef] [PubMed]
- Mosmann, T. Rapid colorimetric assay for cellular growth and survival: Application to proliferation and cytotoxicity assays. J. Immunol. Methods 1983, 65, 55–63. [Google Scholar] [CrossRef]
- Tacar, O.; Sriamornsak, P.; Dass, C.R. Doxorubicin: An update on anticancer molecular action, toxicity and novel drug delivery systems. J. Pharm. Pharmacol. 2013, 65, 157–170. [Google Scholar] [CrossRef] [PubMed]
- Clark, R.C.; Reid, J.S. The analytical calculation of absorption in multifaceted crystals. Acta Crystallogr. Sect. A 1995, 51, 887–897. [Google Scholar] [CrossRef]
- Dolomanov, O.V.; Bourhis, L.J.; Gildea, R.J.; Howard, J.A.K.; Puschmann, H. OLEX2: A complete structure solution, refinement and analysis program. J. Appl. Crystallogr. 2009, 42, 339–341. [Google Scholar] [CrossRef]
- Sheldrick, G.M. SHELXT—Integrated space-group and crystal-structure determination. Acta Crystallogr. Sect. A 2015, 71, 3–8. [Google Scholar] [CrossRef]
- Sheldrick, G.M. Crystal structure refinement with SHELXL. Acta Crystallogr. Sect. C 2015, 71, 3–8. [Google Scholar] [CrossRef]
- Spek, A.L. Structure validation in chemical crystallography. Acta Crystallogr. Sect. D 2009, 65, 148–155. [Google Scholar] [CrossRef]
- Turner, M.J.; McKinnon, J.J.; Wolff, S.K.; Grimwood, D.J.; Spackman, P.R.; Jayatilaka, D.; Spackman, M.A. CrystalExplorer17; The University of Western Australia Australia: Perth, Australia, 2017. [Google Scholar]
- Mackenzie, C.F.; Spackman, P.R.; Jayatilaka, D.; Spackman, M.A. CrystalExplorer model energies and energy frameworks: Extension to metal coordination compounds, organic salts, solvates and open-shell systems. IUCrJ 2017, 4, 575–587. [Google Scholar] [CrossRef]
- Turner, M.J.; Thomas, S.P.; Shi, M.W.; Jayatilaka, D.; Spackman, M.A. Energy frameworks: Insights into interaction anisotropy and the mechanical properties of molecular crystals. Chem. Commun. 2015, 51, 3735–3738. [Google Scholar] [CrossRef] [PubMed]
- Gavezzotti, A. Calculation of lattice energies of organic crystals: The pixel integration method in comparison with more traditional methods. Z. Krist.—Cryst. Mater. 2005, 220, 499–510. [Google Scholar] [CrossRef]
- Gavezzotti, A. Efficient computer modeling of organic materials. the atom–atom, Coulomb–London–Pauli (AA-CLP) model for intermolecular electrostatic-polarization, dispersion and repulsion energies. New J. Chem. 2011, 35, 1360–1368. [Google Scholar] [CrossRef]
- Frisch, M.J.; Trucks, G.W.; Schlegel, H.B.; Scuseria, G.E.; Robb, M.A.; Cheeseman, J.R.; Scalmani, G.; Barone, V.; Petersson, G.A.; Nakatsuji, H.; et al. Gaussian 09, Revision C.01; Gaussian Inc.: Wallingford, CT, USA, 2013.
- Boys, S.F.; Bernardi, F. The calculation of small molecular interactions by the differences of separate total energies. some procedures with reduced errors. Mol. Phys. 1970, 19, 553–566. [Google Scholar] [CrossRef]
- Keith, T.A. AIMAll, Version 19.02.13; TK Gristmill Software: Overland Park, KS, USA, 2019.
- Contreras-García, J.; Johnson, E.R.; Keinan, S.; Chaudret, R.; Piquemal, J.-P.; Beratan, D.N.; Yang, W. NCIPLOT: A program for plotting non-covalent interaction regions. J. Chem. Theory Comput. 2011, 7, 625–632. [Google Scholar] [CrossRef]
- Kataria, R.; Khatkar, A. Molecular docking, synthesis, kinetics study, structure-activity relationship and ADMET analysis of morin analogous as Helicobacter pylori urease inhibitors. BMC Chem. 2019, 13, 45. [Google Scholar] [CrossRef]
- Friesner, R.A.; Murphy, R.B.; Repasky, M.P.; Frye, L.L.; Greenwood, J.R.; Halgren, T.A.; Sanschagrin, P.C.; Mainz, D.T. Extra precision glide: Docking and scoring incorporating a model of hydrophobic enclosure for protein–ligand complexes. J. Med. Chem. 2006, 49, 6177–6196. [Google Scholar] [CrossRef]
- Li, J.; Abel, R.; Zhu, K.; Cao, Y.; Zhao, S.; Friesner, R.A. The VSGB 2.0 model: A next generation energy model for high resolution protein structure modeling. Proteins 2011, 79, 2794–2812. [Google Scholar] [CrossRef]
- Sathya, R.; Thamotharan, S. In silico based virtual screening and mixed mode QM/MM calculation identifies caffeine scaffold for designing potential inhibitors for tyrosyl tRNA synthetase of Mycobacterium tuberculosis. Int. J. Quantum Chem. 2015, 115, 187–195. [Google Scholar] [CrossRef]
- Adasme, M.F.; Linnemann, K.L.; Bolz, S.N.; Kaiser, F.; Salentin, S.; Haupt, V.J.; Schroeder, M. PLIP 2021: Expanding the scope of the protein-ligand interaction profiler to DNA and RNA. Nucleic Acids Res. 2021, 49, W530–W534. [Google Scholar] [CrossRef]







| Compound 1 | Compound 2 | |
|---|---|---|
| Empirical formula | C16H27N3OS | C18H29N3OS |
| Formula weight | 309.46 | 335.50 |
| Temperature (K) | 160 (1) | 160 (1) |
| Crystal system | Triclinic | Triclinic |
| Space group | P-1 | P-1 |
| a/Å | 6.3890 (3) | 6.9315 (3) |
| b/Å | 11.8264 (7) | 11.4885 (3) |
| c/Å | 12.3792 (7) | 12.7719 (5) |
| α/° | 62.466(6) | 65.012(4) |
| β/° | 80.222 (5) | 75.565 (3) |
| γ/° | 87.511 (5) | 82.280 (3) |
| Volume/Å3 | 816.71 (9) | 892.27 (6) |
| Z | 2 | 2 |
| ρcalcg/cm3 | 1.258 | 1.249 |
| μ/mm−1 | 1.775 | 1.665 |
| F(000) | 336.0 | 364.0 |
| Crystal size/mm3 | 0.17 × 0.08 × 0.06 | 0.3 × 0.23 × 0.12 |
| Radiation | Cu Kα (λ = 1.54184) | CuKα (λ = 1.54184) |
| 2Θ range for data collection/° | 8.172 to 154.456 | 7.818 to 148.95 |
| Index ranges | −8 ≤ h ≤ 8, −14 ≤ k ≤ 11, −15 ≤ l ≤ 15 | −8 ≤ h ≤ 8, −14 ≤ k ≤ 14, −15 ≤ l ≤ 12 |
| Reflections collected | 17,204 | 15,479 |
| Independent reflections | 3439 [Rint = 0.0251, Rsigma = 0.0189] | 3633 [Rint = 0.0191, Rsigma = 0.0156] |
| Data/restraints/parameters | 3439/0/205 | 3633/0/220 |
| Goodness-of-fit on F2 | 1.019 | 1.012 |
| Final R indexes [I> = 2σ (I)] | R1 = 0.0291, wR2 = 0.0784 | R1 = 0.0348, wR2 = 0.0907 |
| Final R indexes [all data] | R1 = 0.0307, wR2 = 0.0799 | R1 = 0.0360, wR2 = 0.0915 |
| Largest diff. peak/hole/e Å−3 | 0.27/−0.20 | 0.27/−0.27 |
| CCDC No. | 2,053,083 | 2,215,239 |
| Bond | Compound 1 | Conformer 1a | Compound 2 | Conformer 2a |
|---|---|---|---|---|
| C7–C6/C9–C8 | 1.527 | 1.517 | 1.518 | 1.524 |
| C6=O1/C8=O1 | 1.219 | 1.223 | 1.241 | 1.206 |
| C6–N3/C8–N3 | 1.365 | 1.349 | 1.323 | 1.384 |
| N3–N2/N3–N2 | 1.389 | 1.376 | 1.385 | 1.379 |
| N2–C5/N2–C7 | 1.361 | 1.356 | 1.354 | 1.394 |
| C5=S1/C7=S1 | 1.690 | 1.676 | 1.677 | 1.661 |
| C5–N1/C7–N1 | 1.331 | 1.348 | 1.336 | 1.334 |
| N1–C1/N1–C1 | 1.486 | 1.477 | 1.458 | 1.465 |
| Dimer | CD | Symmetry | Important Interactions | Geometrya H···A (Å), ∠D–H···A (°) | PIXEL/MP2/6-31G** | B97D3/def2-tzvp | ||||
|---|---|---|---|---|---|---|---|---|---|---|
| ECoul | Epol | Edisp | Erep | Etot | ΔEcp | |||||
| Compound 1 | ||||||||||
| M1 | 6.289 | −x + 1, −y + 1, −z + 1 | N3–H3···S1 | 2.39, 163 | −20.8 | −13.6 | −18.6 | 28.7 | −24.4 | −26.7 |
| C12–H12A···S1 | 2.87, 169 | |||||||||
| M2 | 6.583 | −x + 2, −y + 1, −z + 1 | N2–H2···O1 | 1.97, 173 | −19.3 | −8.5 | −12.9 | 21.7 | −19.0 | −19.2 |
| C12–H12B···S1 | 2.92, 146 | |||||||||
| M3 | 7.182 | −x + 2, −y + 2, −z | Adamantane···Adamantane and t-butyl···adamanatane [H-H bonding] | <2.40 | −1.6 | −1.1 | −8.4 | 5.0 | −6.2 | −7.5 |
| M4 | 6.389 | x−1, y, z | C2–H2A···O1 | 2.45, 156 | −1.9 | −1.8 | −8.7 | 6.5 | −5.9 | −7.3 |
| C3–H3C···O1 | 2.69, 146 | |||||||||
| M5 | 11.826 | x, y−1, z | C11–H11···S1 | 2.95, 126 | −2.2 | −1.2 | −5.0 | 4.4 | −4.0 | −4.6 |
| Compound 2 | ||||||||||
| M1 | 5.563 | −x + 1, y + 1, −z + 1 | N1–H1A···O1 | 1.95, 152 | −36.6 | −15.1 | −18.2 | 37.7 | −32.2 | −30.6 |
| N2–H2···O1 | 1.91, 148 | |||||||||
| M2 | 6.931 | x−1, y, z | C15–H15A···S1 | 2.98, 166 | −3.9 | −2.2 | −14.0 | 10.3 | −9.8 | −11.8 |
| C3–H3A···C7 | 2.58, 151 | |||||||||
| M3 | 6.036 | −x + 1, −y, −z + 1 | C10–H10B···S1 | 2.89, 152 | −3.2 | −2.6 | −10.3 | 7.9 | −8.2 | −9.6 |
| M4 | 7.924 | −x + 2, −y, −z + 1 | C15–H15B···S1 | 3.01, 115 | −2.0 | −1.2 | −7.5 | 5.8 | −4.9 | −6.4 |
| Compound | ECoul | Epol | Edisp | Erep | Etot |
|---|---|---|---|---|---|
| 1 | −25.6 | −14.2 | −43.7 | 43.3 | −40.2 |
| 2 | −27.2 | −13.0 | −46.2 | 43.2 | −43.2 |
| Interaction | Rij | ρ(r) | ∇2ρ(r) | V(r) | G(r) | H(r) | De | |
|---|---|---|---|---|---|---|---|---|
| Compound 1 | ||||||||
| D1 | ||||||||
| N3–H3···S1 | 2.416 | 0.129 | 1.253 | −27.4 | 30.7 | 3.4 | 0.89 | 3.3 |
| C12–H12A···S1 | 2.900 | 0.059 | 0.546 | −10.7 | 12.8 | 2.1 | 0.84 | 1.3 |
| D2 | ||||||||
| N2–H2···O1 | 1.995 | 0.146 | 2.169 | −43.5 | 51.3 | 7.8 | 0.85 | 5.2 |
| C12–H12B···S1 | 2.961 | 0.049 | 0.484 | −8.7 | 10.9 | 2.2 | 0.80 | 1.0 |
| D4 | ||||||||
| C2–H2A···O1 | 2.464 | 0.057 | 0.807 | −12.7 | 17.4 | 4.6 | 0.73 | 1.5 |
| C3–H3C···O1 | 2.715 | 0.036 | 0.480 | −7.4 | 10.3 | 2.8 | 0.73 | 0.9 |
| D5 | ||||||||
| C11–H11···S1 | 3.014 | 0.042 | 0.484 | −8.4 | 10.8 | 2.4 | 0.78 | 1.0 |
| Compound 2 | ||||||||
| D1 | ||||||||
| N2–H2···O1 | 1.934 | 0.170 | 2.650 | −52.6 | 64.9 | 7.3 | 0.89 | 6.9 |
| N1–H1A···O1 | 1.970 | 0.162 | 2.474 | −52.3 | 59.9 | 7.6 | 0.87 | 6.3 |
| D2 | ||||||||
| C15–H15A···S1 | 2.996 | 0.049 | 0.436 | −8.4 | 10.1 | 1.8 | 0.83 | 1.0 |
| C3–H3A···C7 | 2.603 | 0.056 | 0.665 | −12.9 | 15.5 | 2.6 | 0.83 | 1.6 |
| D3 | ||||||||
| C10–H10B···S1 | 2.926 | 0.046 | 0.477 | −8.4 | 10.7 | 2.3 | 0.79 | 1.0 |
| D4 | ||||||||
| C10–H10B···S1 | 2.926 | 0.046 | 0.477 | −8.4 | 10.7 | 2.3 | 0.79 | 1.0 |
| Compound | IC50 ± SEM (μM) * |
|---|---|
| 1 | 1.20 ± 0.07 |
| 2 | 2.44 ± 0.11 |
| Thiourea | 21.26 ± 0.12 |
| Compound | IC50 (µM) | ||||
|---|---|---|---|---|---|
| PC-3 | HCT-116 | HepG-2 | HeLa | MCF-7 | |
| 1 | 48.50 ± 2.9 | 28.69 ± 2.0 | 26.12 ± 1.6 | 7.82 ± 0.6 | 13.20 ± 0.4 |
| 2 | 52.68 ± 4.3 | 34.90 ± 2.8 | 29.48 ± 1.4 | 9.88 ± 1.0 | 16.98 ± 0.6 |
| Doxorubicin | 8.87 ± 0.6 | 5.23 ± 0.3 | 4.17 ± 0.2 | 4.17 ± 0.2 | 5.57 ± 0.4 |
| Compound | Glide XP Score (in kcal mol−1) | ΔGbind (MM-GBSA) (in kcal mol−1) |
|---|---|---|
| 1 | −3.287 | −36.90 |
| 2 | −3.939 | −26.03 |
| Thiourea | −2.486 | −4.34 |
Publisher’s Note: MDPI stays neutral with regard to jurisdictional claims in published maps and institutional affiliations. |
© 2022 by the authors. Licensee MDPI, Basel, Switzerland. This article is an open access article distributed under the terms and conditions of the Creative Commons Attribution (CC BY) license (https://creativecommons.org/licenses/by/4.0/).
Share and Cite
Al-Wahaibi, L.H.; Alagappan, K.; Blacque, O.; Mohamed, A.A.B.; Hassan, H.M.; Percino, M.J.; El-Emam, A.A.; Thamotharan, S. X-ray Structures and Computational Studies of Two Bioactive 2-(Adamantane-1-carbonyl)-N-substituted Hydrazine-1-carbothioamides. Molecules 2022, 27, 8425. https://doi.org/10.3390/molecules27238425
Al-Wahaibi LH, Alagappan K, Blacque O, Mohamed AAB, Hassan HM, Percino MJ, El-Emam AA, Thamotharan S. X-ray Structures and Computational Studies of Two Bioactive 2-(Adamantane-1-carbonyl)-N-substituted Hydrazine-1-carbothioamides. Molecules. 2022; 27(23):8425. https://doi.org/10.3390/molecules27238425
Chicago/Turabian StyleAl-Wahaibi, Lamya H., Kowsalya Alagappan, Olivier Blacque, Ahmed A. B. Mohamed, Hanan M. Hassan, María Judith Percino, Ali A. El-Emam, and Subbiah Thamotharan. 2022. "X-ray Structures and Computational Studies of Two Bioactive 2-(Adamantane-1-carbonyl)-N-substituted Hydrazine-1-carbothioamides" Molecules 27, no. 23: 8425. https://doi.org/10.3390/molecules27238425
APA StyleAl-Wahaibi, L. H., Alagappan, K., Blacque, O., Mohamed, A. A. B., Hassan, H. M., Percino, M. J., El-Emam, A. A., & Thamotharan, S. (2022). X-ray Structures and Computational Studies of Two Bioactive 2-(Adamantane-1-carbonyl)-N-substituted Hydrazine-1-carbothioamides. Molecules, 27(23), 8425. https://doi.org/10.3390/molecules27238425

