Condensation of 4-Tert-butyl-2,6-dimethylbenzenesulfonamide with Glyoxal and Reaction Features: A New Process for Symmetric and Asymmetric Aromatic Sulfones
Abstract
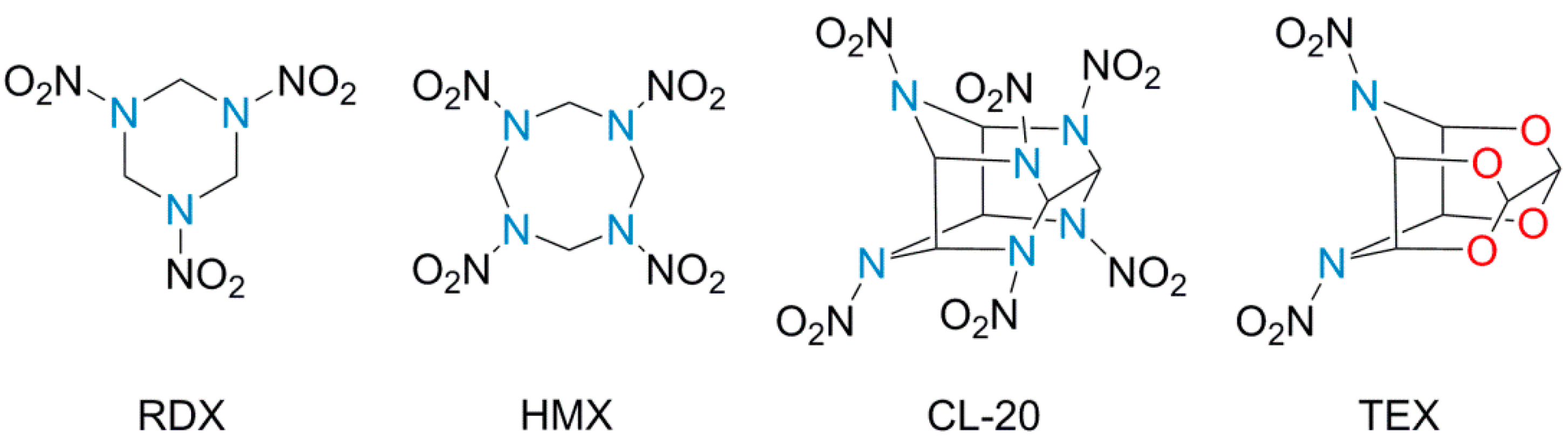
1. Introduction
2. Results and Discussion
3. Materials and Methods
4. Experimental Section
4.1. Synthesis of 2-((4-(Tert-butyl)-2,6-dimethylphenyl)sulfonamido)-N-((4-(tert-butyl)-2,6-dimethylphenyl)sulfonyl)acetamide (2)
4.2. Synthesis of 1,2-Bis(4-(tert-butyl)-2,6-dimethylphenyl)disulfane (3)
4.3. Synthesis of Bis(4-(tert-butyl)-2,6-dimethylphenyl)sulfane (4)
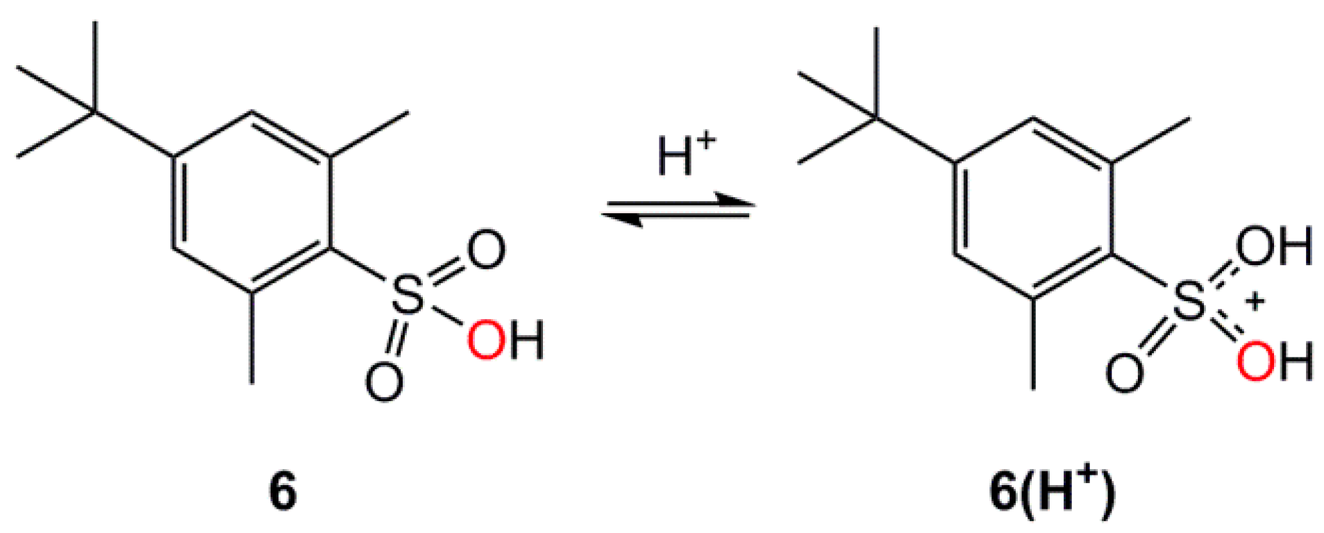
4.4. Synthesis of Protonated 4-(Tert-butyl)-2,6-dimethylbenzenesulfonic Acid (6(H+)) Monohydrate
4.5. Synthesis of 1,3,5-Tris((4-(tert-butyl)-2,6-dimethylphenyl)sulfonyl)-1,3,5-triazinane (9)
4.6. Synthesis of N,N’-(1,2-Bis((4-(tert-butyl)-2,6-dimethylphenyl)sulfonamido)ethane-1,2-diyl)diacetamide (12)
4.7. Synthesis of 5-(Tert-butyl)-1,3-dimethyl-2-tosylbenzene (13)
4.8. Synthesis of 2,2′-Sulfonylbis(5-(tert-butyl)-1,3-dimethylbenzene) (14)
5. Conclusions
Supplementary Materials
Author Contributions
Funding
Institutional Review Board Statement
Informed Consent Statement
Data Availability Statement
Acknowledgments
Conflicts of Interest
References
- Agrawal, J.P.; Hodgson, R.D. Organic Chemistry of Explosives; Wiley: New York, NY, USA, 2007; pp. 243–247. [Google Scholar]
- Badgujar, D.M.; Talawar, M.B.; Asthana, S.N.; Mahulikar, P.P. Advances in science and technology of modern energetic materials: An overview. J. Hazard. Mater. 2008, 151, 289–305. [Google Scholar] [CrossRef] [PubMed]
- Nielsen, A.T.; Chafin, A.P.; Christian, S.L.; Moore, D.W.; Nadler, M.P.; Nissan, R.A.; Vanderah, D.J.; Flippen-Anderson, J.L. Synthesis of polyazapolycyclic caged polynitramines. Tetrahedron 1998, 54, 11793–11812. [Google Scholar] [CrossRef]
- Sakovich, G.V.; Sysolyatin, S.V.; Kozyrev, N.V.; Makarovets, N.A. Explosive Composition. RU Patent 2252925, 27 May 2005. [Google Scholar]
- Nielsen, A.T. Caged Polynitramine Compound. U.S. Patent 5,693,794, 12 December 1997. [Google Scholar]
- Viswanath, D.S.; Ghosh, T.K.; Boddu, V.M. Hexanitrohexaazaisowurtzitane (HNIW, CL-20). In Emerging Energetic Materials: Synthesis, Physicochemical, and Detonation Properties; Viswanath, D.S., Ghosh, T.K., Boddu, V.M., Eds.; Springer: Dordrecht, The Netherlands, 2018; pp. 59–100. [Google Scholar]
- Venkata Viswanath, J.; Venugopal, K.J.; Srinivasa Rao, N.V.; Venkataraman, A. An overview on importance, synthetic strategies and studies of 2,4,6,8,10,12-hexanitro-2,4,6,8,10,12-hexaazaisowurtzitane (HNIW). Def. Technol. 2016, 12, 401–418. [Google Scholar] [CrossRef]
- Nair, U.R.; Sivabalan, R.; Gore, G.M.; Geetha, M.; Asthana, S.N.; Singh, H. Hexanitrohexaazaisowurtzitane (CL-20) and CL-20-based formulations (review). Combust. Explos. Shock. Waves 2005, 41, 121–132. [Google Scholar] [CrossRef]
- Bumpus, J.A. A Theoretical Investigation of the Ring Strain Energy, Destabilization Energy, and Heat of Formation of CL-20. Adv. Phys. Chem. 2012, 2012, 175146. [Google Scholar] [CrossRef][Green Version]
- Krause, H.H. New Energetic Materials. In Energetic Materials: Particle Processing and Characterization; Teipel, U., Ed.; Wiley-VCH: Weinheim, Germany, 2005; pp. 1–25. [Google Scholar]
- Mandal, A.K.; Pant, C.S.; Kasar, S.M.; Soman, T. Process Optimization for Synthesis of CL-20. J. Energ. Mater 2009, 27, 231–246. [Google Scholar] [CrossRef]
- Talawar, M.B.; Sivabalan, R.; Anniyappan, M.; Gore, G.M.; Asthana, S.N.; Gandhe, B.R. Emerging trends in advanced high energy materials. Combust. Explos. Shock Waves 2007, 43, 62–72. [Google Scholar] [CrossRef]
- De Luca, L.T.; Shimada, T.; Sinditskii, V.P.; Calabro, M. Chemical Rocket Propulsion. A Comprehensive Survey of Energetic Materials; Springer: Dordrecht, The Netherlands, 2017; p. 1084. [Google Scholar]
- Aldoshin, S.M.; Lempert, D.B.; Goncharov, T.K.; Kazakov, A.I.; Soglasnova, S.I.; Dorofeenko, E.M.; Plishkin, N.A. Energetic potential of solid composite propellants based on CL-20-containing bimolecular crystals. Russ. Chem. Bull. 2016, 65, 2018–2024. [Google Scholar] [CrossRef]
- Wu, Z.; Liu, N.; Zheng, W.; Chen, J.; Song, X.; Wang, J.; Cui, C.; Zhang, D.; Zhao, F. Application and Properties of CL-20/HMX Cocrystal in Composite Modified Double Base Propellants. Propellants Explos. Pyrotech. 2020, 45, 92–100. [Google Scholar] [CrossRef]
- Wang, J.; Yang, L.; Zheng, W.; Zhang, J. Study on Comparative Performance of CL-20/RDX-based CMDB Propellants. Propellants Explos. Pyrotech. 2019, 44, 1175–1182. [Google Scholar] [CrossRef]
- Sergienko, A.V.; Popenko, E.M.; Slyusarsky, K.V.; Larionov, K.B.; Dzidziguri, E.L.; Kondratyeva, E.S.; Gromov, A.A. Burning Characteristics of the HMX/CL-20/AP/Polyvinyltetrazole Binder/Al Solid Propellants Loaded with Nanometals. Propellants Explos. Pyrotech. 2019, 44, 217–223. [Google Scholar] [CrossRef]
- Sinditskii, V.P.; Chernyi, A.N.; Egorshev, V.Y.; Dashko, D.V.; Goncharov, T.K.; Shisho, N.I. Combustion of CL-20 cocrystals. Combust. Flame 2019, 207, 51–62. [Google Scholar] [CrossRef]
- Shi, Y.; Bai, L.; Gong, J.; Ju, X. Theoretical calculation into the structures, stability, sensitivity, and mechanical properties of 2,4,6,8,10,12-hexanitro-2,4,6,8,10,12 hexaazai-sowurtzitane (CL-20)/1-amino-3-methyl-1,2,3-triazoliumnitrate (1-AMTN) cocrystal and its mixture. Struct. Chem. 2020, 31, 647–655. [Google Scholar] [CrossRef]
- Zhu, Y.; Luo, J.; Lu, Y.; Li, H.; Gao, B.; Wang, D.; Zhang, X.; Guo, C. Emulsion synthesis of CL-20/DNA composite with excellent superfine spherical improved sensitivity performance via a combined ultrasonic–microwave irradiation approach. J. Mater. Sci. 2018, 53, 14231–14240. [Google Scholar] [CrossRef]
- Chen, T.; Zhang, Y.; Guo, S.-F.; Zhao, L.-M.; Chen, W.; Hao, G.-Z.; Xiao, L.; Ke, X.; Jiang, W. Preparation and property of CL-20/BAMO-THF energetic nanocomposites. Def. Technol. 2019, 15, 306–312. [Google Scholar] [CrossRef]
- Chapman, C.J.; Groven, L.J. Evaluation of a CL-20/TATB Energetic Co-crystal. Propellants Explos. Pyrotech. 2019, 44, 293–300. [Google Scholar] [CrossRef]
- Liu, N.; Duan, B.; Lu, X.; Mo, H.; Xu, M.; Zhanga, Q.; Wang, B. Preparation of CL-20/DNDAP cocrystals by a rapid and continuous spray drying method: An alternative to cocrystal formation. CrystEngComm 2018, 20, 2060–2067. [Google Scholar] [CrossRef]
- Herrmannsdorfer, D.; Gerber, P.; Heintz, T.; Herrmann, M.J.; Klapotke, T.M. Investigation Of Crystallisation Conditions to Produce CL-20/HMX Cocrystal for Polymer-bonded Explosives. Propellants Explos. Pyrotech. 2019, 44, 668–678. [Google Scholar] [CrossRef]
- Tan, Y.; Yang, Z.; Wang, H.; Li, H.; Nie, F.; Liu, Y.; Yu, Y. High Energy Explosive with Low Sensitivity: A New Energetic Cocrystal Based on CL-20 and 1,4-DNI. Cryst. Growth Des. 2019, 19, 4476–4482. [Google Scholar] [CrossRef]
- Li, P.; Liu, K.; Ao, D.; Liu, X.; Xu, H.; Duan, X.; Pei, C. A Low-Sensitivity Nanocomposite of CL-20 and TATB. Cryst. Res. Technol. 2018, 53, 1800189. [Google Scholar] [CrossRef]
- Wu, C.-L.; Zhang, S.-H.; Gou, R.-J.; Ren, F.-D.; Han, G.; Zhu, S.-F. Theoretical insight into the effect of solvent polarity on the formation and morphology of 2,4,6,8,10,12-hexanitrohexaazaisowurtzitane (CL-20)/2,4,6-trinitro-toluene(TNT) cocrystal explosive. Comput. Theor. Chem. 2018, 1127, 22–30. [Google Scholar] [CrossRef]
- Vuppuluri, V.S.; Samuels, P.J.; Caflin, K.C.; Gunduz, I.E.; Son, S.F. Detonation Performance Characterization of a Novel CL-20 Cocrystal Using Microwave Interferometry. Propellants Explos. Pyrotech. 2018, 43, 38–47. [Google Scholar] [CrossRef]
- Hai, L.; Yi, L.; Zhaoxia, M.; Zhixuan, Z.; Junling, L.; Yuanhang, H. Study on the Initial Decomposition Mechanism of Energetic Co-Crystal 2,4,6,8,10,12-Hexanitro-2,4,6,8,10,12-Hexaazaisowurtzitane (CL-20)/1,3,5,7-Tetranitro-1,3,5,7-Tetrazacyclooctane (HMX) under a Steady Shock Wave. Acta Phys.-Chim. Sin. 2019, 35, 858–867. [Google Scholar] [CrossRef]
- Sun, S.; Zhang, H.; Xu, J.; Wang, H.; Wang, S.; Yu, Z.; Zhua, C.; Suna, J. Design, preparation, characterization and formation mechanism of a novel kinetic CL-20-based cocrystal. Acta Cryst. 2019, 75, 310–317. [Google Scholar] [CrossRef]
- Liu, Y.; Gou, R.-J.; Zhang, S.-H.; Chen, Y.-H.; Chen, M.-H.; Liu, Y.-B. Effect of solvent mixture on the formation of CL-20/HMX cocrystal explosives. J. Mol. Model. 2020, 26, 8. [Google Scholar] [CrossRef]
- Liu, N.; Duan, B.; Lu, X.; Zhang, Q.; Xu, M.; Moa, H.; Wang, B. Preparation of CL-20/TFAZ cocrystals under aqueous conditions: Balancing high performance and low sensitivity. CrystEngComm 2019, 21, 7271–7279. [Google Scholar] [CrossRef]
- Viswanath, J.V.; Shanigaram, B.; Vijayadarshan, P.; Chowadary, T.V.; Gupta, A.; Bhanuprakash, K.; Niranjana, S.R.; Venkataraman, A. Studies and Theoretical Optimization of CL-20 : RDX Cocrystal. Propellants Explos. Pyrotech. 2019, 44, 1570–1582. [Google Scholar] [CrossRef]
- Stepanov, V.; Patel, R.B.; Mudryy, R.; Qiu, H. Investigation of Nitramine-Based Amorphous Energetics. Propellants Explos. Pyrotech. 2016, 41, 142–147. [Google Scholar] [CrossRef]
- Gatilov, Y.V.; Rybalova, T.V.; Efimov, O.A.; Lobanova, G.V.; Sakovich, S.V.; Sysolyatin, A.A. Molecular and crystal structure of polyciclyc nitramines. J. Struct. Chem. 2005, 46, 566. [Google Scholar] [CrossRef]
- Braithwaite, P.C.; Edwards, W.W.; Hajik, R.M.; Highsmith, T.K.; Lund, G.K.; Wardle, R.B. Development of high performance CL-20 explosive formulations. In Proceedings of the 29th International Annual Conference of ICT, Karlsruhe, Germany, 30 June–3 July 1998; p. 62. [Google Scholar]
- Koch, E.-C. TEX–4,10-Dinitro-2,6,8,12-tetraoxa-4,10-diazatetracyclo[5.5.0.05,9.03,11]dodecane—Review of a Promising High Density Insensitive Energetic Material. Propellants Explos. Pyrotech. 2015, 40, 374–387. [Google Scholar] [CrossRef]
- Nielsen, A.T.; Nissan, R.A.; Vanderah, D.J. Polyazapolycyclics by condensation of aldehydes with amines. 2. Formation of 2,4,6,8,10,12-hexabenzyl-2,4,6,8,10,12-hexaazatetracyclo[5.5.0.05.9.03,11]dodecanes from glyoxal and benzylamines. J. Org. Chem. 1990, 55, 1459–1466. [Google Scholar] [CrossRef]
- Gong, X.; Sun, C.; Pang, S.; Zhang, J.; Li, Y.; Zhao, X. Research Progress in Study of Isowurtzitane Derivatives. Chin. J. Org. Chem. 2012, 32, 486–496. [Google Scholar] [CrossRef]
- Paromov, A.E.; Sysolyatin, S.V.; Gatilov, Y.V. An acid-catalyzed cascade synthesis of oxaazatetracyclo[5.5.0.03,11.05,9]dodecane Derivatives. J. Energ. Mater. 2017, 35, 363–373. [Google Scholar] [CrossRef]
- Paromov, A.E.; Sysolyatin, S.V. Synthesis of new N-polysubstituted oxaazaisowurtzitanes by acid-catalyzed condensation of sulfonamides with glyoxal. Russ. J. Org. Chem. 2017, 53, 1717–1725. [Google Scholar] [CrossRef]
- Paromov, A.E.; Sysolyatin, S.V.; Shchurova, I.A.; Rogova, A.I.; Malykhin, V.V.; Gatilov, Y.V. Synthesis of oxaazaisowurtzitanes by condensation of 4-dimethylaminobenzenesulfonamide with glyoxal. Tetrahedron 2020, 76, 131298. [Google Scholar] [CrossRef]
- Paromov, A.; Shchurova, I.; Rogova, A.; Bagryanskaya, I.; Polovyanenko, D. Acid-Catalyzed Condensation of Benzamide with Glyoxal, and Reaction Features. Molecules 2022, 27, 1094. [Google Scholar] [CrossRef]
- Tashiro, M.; Fukata, G.; Yamato, T.; Watanabe, H.; Oe, K.; Tsuge, O. The preparation of alkylphenols using t-butyl function as a positional protective group. Org. Prep. Proced. Int. 1976, 8, 249–262. [Google Scholar] [CrossRef]
- Dhakshinamoorthy, A.; Navalon, S.; Sempere, D.; Alvaro, M.; Garcia, H. Aerobic Oxidation of Thiols Catalyzed by Copper Nanoparticles Supported on Diamond Nanoparticles. ChemCatChem 2012, 5, 241–246. [Google Scholar] [CrossRef]
- Stark, D.G.; O’Riordan, T.J.C.; Smith, A.D. Synthesis of Di-, Tri-, and Tetrasubstituted Pyridines from (Phenylthio)carboxylic Acids and 2-[Aryl(tosylimino)methyl]acrylates. Org. Lett. 2014, 16, 6496–6499. [Google Scholar] [CrossRef]
- Yao, W.-W.; Li, R.; Li, J.-F.; Sun, J.; Ye, M. NHC ligand-enabled Ni-catalyzed reductive coupling of alkynes and imines using isopropanol as a reductant. Green Chem. 2019, 21, 2240–2244. [Google Scholar] [CrossRef]
- He, Y.; Li, S.-G.; Mbaezue, I.I.; Reddy, A.C.S.; Tsantrizos, Y.S. Copper-boryl mediated transfer hydrogenation of N-sulfonyl imines using methanol as the hydrogen donor. Tetrahedron 2021, 85, 132063. [Google Scholar] [CrossRef]
- Fujita, T.; Hattori, M.; Matsuda, M.; Morioka, R.; Jankins, T.C.; Ikeda, M.; Ichikawa, J. Nucleophilic 5-endo-trig cyclization of 2-(trifluoromethyl)allylic metal enolates and enamides: Synthesis of tetrahydrofurans and pyrrolidines bearing exo-difluoromethylene units. Tetrahedron 2019, 75, 36–46. [Google Scholar] [CrossRef]
- Chen, D.; Chen, X.; Du, T.; Kong, L.; Zhen, R.; Zhen, S.; Wen, Y.; Zhu, G. Highly efficient and diastereoselective synthesis of 1,3-oxazolidines featuring a palladium-catalyzed cyclization reaction of 2-butene-1,4-diol derivatives and imines. Tetrahedron Lett. 2010, 51, 5131–5133. [Google Scholar] [CrossRef]
- Hatanaka, Y.; Nantaku, S.; Nishimura, Y.; Otsuka, T.; Sekikaw, T. Catalytic enantioselective aza-Diels–Alder reactions of unactivated acyclic 1,3-dienes with aryl-, alkenyl-, and alkyl-substituted imines. Chem. Commun. 2017, 53, 8996–8999. [Google Scholar] [CrossRef]
- Qian, Y.; Ma, G.; Lv, A.; Zhu, H.-L.; Zhao, J.; Rawal, V.H. Squaramide-catalyzed enantioselective Friedel–Crafts reaction of indoles with imines. Chem. Commun. 2010, 46, 3004–3006. [Google Scholar] [CrossRef]
- Jiang, B.; Meng, F.-F.; Liang, Q.-J.; Xu, Y.-H.; Loh, T.-P. Palladium-Catalyzed Direct Intramolecular C–N Bond Formation: Access to Multisubstituted Dihydropyrroles. Org. Lett. 2017, 19, 914–917. [Google Scholar] [CrossRef]
- Bahrami, K.; Khodei, M.M.; Shahbazi, F. Highly selective catalytic Friedel–Crafts sulfonylation of aromatic compounds using a FeCl3-based ionic liquid. Tetrahedron Lett. 2008, 49, 3931–3934. [Google Scholar] [CrossRef]
- Alexander, M.V.; Khandekar, A.C.; Samant, S.D. Sulfonylation reactions of aromatics using FeCl3-based ionic liquids. J. Mol. Catal. A Chem. 2004, 223, 75–83. [Google Scholar] [CrossRef]
- Singh, R.P.; Kamble, R.M.; Chandra, K.L.; Saravanan, P.; Singh, V.K. An efficient method for aromatic Friedel–Crafts alkylation, acylation, benzoylation, and sulfonylation reactions. Tetrahedron 2001, 57, 241–247. [Google Scholar] [CrossRef]
- Mackinnon, S.M.; Wang, J.Y. Anhydride-Containing Polysulfones Derived from a Novel A2X-Type Monomer. Macromolecules 1998, 31, 7970–7972. [Google Scholar] [CrossRef]
- Huang, P.; Zheng, S.; Huang, J.; Guo, Q.; Zhu, W. Miscibility and mechanical properties of epoxy resin/polysulfone blends. Polymer 1997, 38, 5565–5571. [Google Scholar] [CrossRef]
- Finocchiaro, P.; Montaudo, G.; Mertoli, P.; Puglisi, C.; Samperi, F. Synthesis and characterization of poly(ether ketone)/poly(ether sulfone) alternating and sequential copolymers by electrophilic reactions. Macromol. Chem. Phys. 1996, 197, 1007–1019. [Google Scholar] [CrossRef]
- Hedrick, J.; Yilgr, I.; Wilkes, G.; McGrath, J. Chemical modification of matrix Resin networks with engineering thermoplastics. Polym. Bull. 1985, 13, 201–208. [Google Scholar] [CrossRef]
- Padwa, A.; Bullock, W.H.; Dyszlewski, A.D. Studies dealing with the alkylation-[1,3]-rearrangement reaction of some phenylthio-substituted allylic sulfones. J. Org. Chem. 1990, 55, 955–964. [Google Scholar] [CrossRef]
- Block, E. The Organosulfur Chemistry of the Genus Allium – Implications for the Organic Chemistry of Sulfur. Angew. Chem. Int. Ed. 1992, 31, 1135–1178. [Google Scholar] [CrossRef]
- Borys, K.M.; Korzynski, M.D.; Ochal, Z. Beilstein Derivatives of phenyl tribromomethyl sulfone as novel compounds with potential pesticidal activity. J. Org. Chem. 2012, 8, 259–265. [Google Scholar] [CrossRef]
- Michaely, W.J.; Kraatz, G.W.U.S. Certain 2-(Substituted benzoyl)-1,3-cyclohexanediones and Their Use as Herbicides. U.S. Patent 4,780,127, 25 October 1988. [Google Scholar]
- Li, J.; Yang, W.; Zhou, W.; Li, C.; Cheng, Z.; Li, M.; Xie, L.; Li, Y. Aggregation-induced emission in fluorophores containing a hydrazone structure and a central sulfone: Restricted molecular rotation. RSC Adv. 2016, 6, 35833–35841. [Google Scholar] [CrossRef]









| Entry | ω(H2SO4 1), % 2/ω(H2O), % 2 | Major Reaction Products (HPLC), % |
|---|---|---|
| 1 | 73.6/18.2 | 1 (46.8), 2 (5.7), 3 (0.9), 6 (5.6), 7 (0.3) |
| 2 | 75.7/17.0 | 1 (35.5), 2 (13.0), 3 (0.7), 6 (6.8), 7 (0.4) |
| 3 | 77.3/16.0 | 1 (43.6), 2 (11.6), 3 (<0.05), 4 (1.9), 6 (7.2), 7 (1.1) |
| 4 | 78.7/15.1 | 1 (44.4), 2 (6.8), 3 (<0.05), 4 (2.5), 6 (8.3), 7 (2.0) |
| 5 | 79.9/14.4 | 1 (51.5), 2 (0.4), 3 (0.3), 4 (6.7), 6 (7.6), 7 (2.3) |
| 6 | 80.9/13.8 | 1 (50.7), 3 (0.2), 4 (5.3), 6 (7.3), 7 (3.4) |
| 7 | 81.8/13.3 | 1 (58.2), 3 (0.1), 4 (6.7), 6 (6.6), 7 (1.5) |
| 8 | 82.6/12.8 | 1 (68.4), 3 (0.1), 4 (5.1), 6 (2.7), 7 (0.3) |
Publisher’s Note: MDPI stays neutral with regard to jurisdictional claims in published maps and institutional affiliations. |
© 2022 by the authors. Licensee MDPI, Basel, Switzerland. This article is an open access article distributed under the terms and conditions of the Creative Commons Attribution (CC BY) license (https://creativecommons.org/licenses/by/4.0/).
Share and Cite
Paromov, A.E.; Sysolyatin, S.V.; Shchurova, I.A. Condensation of 4-Tert-butyl-2,6-dimethylbenzenesulfonamide with Glyoxal and Reaction Features: A New Process for Symmetric and Asymmetric Aromatic Sulfones. Molecules 2022, 27, 7793. https://doi.org/10.3390/molecules27227793
Paromov AE, Sysolyatin SV, Shchurova IA. Condensation of 4-Tert-butyl-2,6-dimethylbenzenesulfonamide with Glyoxal and Reaction Features: A New Process for Symmetric and Asymmetric Aromatic Sulfones. Molecules. 2022; 27(22):7793. https://doi.org/10.3390/molecules27227793
Chicago/Turabian StyleParomov, Artyom E., Sergey V. Sysolyatin, and Irina A. Shchurova. 2022. "Condensation of 4-Tert-butyl-2,6-dimethylbenzenesulfonamide with Glyoxal and Reaction Features: A New Process for Symmetric and Asymmetric Aromatic Sulfones" Molecules 27, no. 22: 7793. https://doi.org/10.3390/molecules27227793
APA StyleParomov, A. E., Sysolyatin, S. V., & Shchurova, I. A. (2022). Condensation of 4-Tert-butyl-2,6-dimethylbenzenesulfonamide with Glyoxal and Reaction Features: A New Process for Symmetric and Asymmetric Aromatic Sulfones. Molecules, 27(22), 7793. https://doi.org/10.3390/molecules27227793

