An Experimental Study on the Preparation of Soft Rock Similar Materials Using Redispersible Latex Powder as a Modifier
Abstract
1. Introduction
2. Engineering Summary and Application Principle
2.1. Project Summary
2.2. The Similarity Theory of Model Test
2.3. Physical Mechanical Parameter
3. Test Process
3.1. Preliminary Preparation
3.2. Specimen Production of Similar Material
4. Test and Analysis of Results
4.1. Experimental Testing
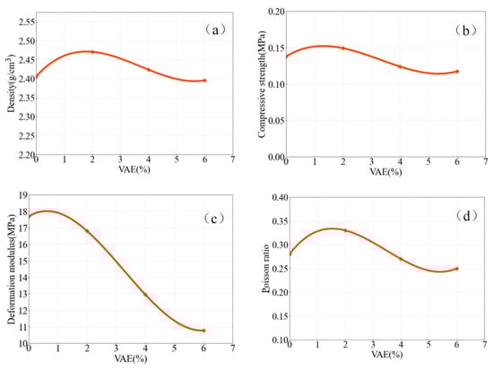
4.2. Analysis of Test Results
4.3. Similarity of Stress–Strain State
4.4. Similar Material after Water Seepage
4.5. Discussion of Test Results
5. Application of Research Results
6. Results and Discussion
Author Contributions
Funding
Institutional Review Board Statement
Informed Consent Statement
Data Availability Statement
Conflicts of Interest
Sample Availability
References
- Luo, X.Q.; Bi, J.F. Geomechanics Model Test Theory and Application; Wang, Z., Xu, J.M., Eds.; Shanghai Jiao Tong University Press: Shanghai, China, 2016; pp. 4–28. [Google Scholar]
- Chen, Y.Z.; Peng, F.J.; Li, L.; Lin, C.Q. On the theory and technology of geomechanical model test—Taking hydraulic engineering as an example. Water Resour. Plan. Des. 2017, 10, 118–120. [Google Scholar] [CrossRef]
- Zuo, B.C.; Chen, C.X.; Liu, C.H.; Shen, Q.; Xiao, G.F.; Liu, X.W. Research on similar material of slope simulation experiment. Rock Soil Mech. 2004, 25, 1085–1088. [Google Scholar] [CrossRef]
- Chen, L.W.; Bai, S.W. Proportioning test study on similar material of rockburst tendency of brittle rockmass. Rock Soil Mech. 2006, 27, 1050–1054. [Google Scholar] [CrossRef]
- Du, S.G.; Huang, M.; Luo, Z.Y.; Jia, R.D. Similar material study of mechanical prototype test of rock structural plane. Chin. J. Rock Mech. Eng. 2010, 29, 2263–2270. [Google Scholar]
- Shi, X.M.; Liu, B.G.; Xiao, J. A method for determining the ratio of similar materials with cement and plaster as bonding agents. Rock Soil Mech. 2015, 36, 1357–1362. [Google Scholar] [CrossRef]
- Huang, K.; Li, Y.; Yan, Z.G.; Zhan, Y.Y.; Ma, Q.A. Experimental study on gypsum mortar Kaolin similar materials. J. Chang. Univ. Sci. Technol. Nat. Sci. 2018, 15, 38–44. [Google Scholar] [CrossRef]
- Chen, Z.M.; Feng, Y.S.; Liu, D.X. Research on Similar Materials for Class IV∼VI Surrounding Rock of Weak Rock Tunnel Based on Orthogonal Experiment. J. Lanzhou Jiaotong Univ. 2015, 34, 12–16. [Google Scholar] [CrossRef]
- Chu, Z.f.; Liu, B.G.; Ren, D.R.; Song, Y.; Ma, Q. Development of rheology similar material of soft rock and its application in model test. Rock Soil Mech. 2019, 40, 2172–2182. [Google Scholar] [CrossRef]
- Li, J.G.; Zhang, Y.B.; Zhang, J.L.; Fan, X.Y.; Sun, G.Y.; Wang, Y.Y.E. Experimental study on temperature effects of uniaxial compression mechanical properties of similar soft rock materials. Chin. J. Appl. Mech. 2019, 36, 225–229. [Google Scholar] [CrossRef]
- Wang, Z.J.; Li, H.L.; Li, S.M.; Wu, Z.J.; Duan, S.S.; Xie, P. Collocation method of model soft rock with consideration of the relationship of dynamic stress–strain and and shear wave velocity. J. Civ. Environ. Eng. 2022, 44, 1–8. [Google Scholar] [CrossRef]
- Ma, Z.G. Study of Simulating Creep Properties of Soft Rock with Latex Cement. Doctoral Thesis, Qingdao University of Science and Technology, Qingdao, China, 2015. [Google Scholar]
- Wang, J.X.; Cui, N.K.; Lin, Y.X.; Ge, W.M.; Kou, H.J. Preliminary Application of Similar Materials Development and Model Test of Phyllite. Chin. J. Undergr. Space Eng. 2021, 17, 87–97. [Google Scholar]
- Guo, P. Experimental study on mechanical properties of cement mortar polymer under temperature, chemistry, and stress coupling. Arab. J. Geosci. 2022, 15, 651. [Google Scholar] [CrossRef]
- Wang, F.Y.; Yuan, J.k.; Yang, C.L. Experimental study on the mixture ratio of similar materials in soft rocks in tunnel model test. J. Anhui Jianzhu Univ. 2020, 28, 8–13. [Google Scholar] [CrossRef]
- Li, Y. Experimental Study on Similar Materials of Tunnel Weak Surrounding Rock Based on Orthogonal Design. Master’s Thesis, Changsha University of Science and Technology, Changsha, China, 2019. [Google Scholar] [CrossRef]
- Tao, Y.X.; Mohan, M.K.; Rahul, A.V.; Yuan, Y.; Schutter, G.D.; Tittelboom, K.V. Stiffening controllable concrete modified with redispersible polymer powder for twin-pipe printing. Cem. Concr. Res. 2022, 161, 106953. [Google Scholar] [CrossRef]
- Hou, Y.F.; Zhang, Y.; Huang, T.Y. Influence of Redispersible Latex Powder on the Performance of Dry-Mixed Mortar. J. Beijing Univ. Civ. Eng. Archit. 2021, 37, 1–8. [Google Scholar] [CrossRef]
- Mobarak, M.B.; Hossain, M.S.; Mahmud, M.; Ahmed, S. Redispersible polymer powder modified cementitious tile adhesive as an alternative to ordinary cement-sand grout. Heliyon 2021, 7, e08411. [Google Scholar] [CrossRef]
- Liu, Q.; Jiang, Q.; Huang, M.J.; Xin, J.; Chen, P.F.; Wu, S. Modifying effect of anionic polyacrylamide dose for cement-based 3DP materials: Printability and mechanical performance tests. Constr. Build. Mater. 2022, 330, 127156. [Google Scholar] [CrossRef]
- Lanka, S.T.; Moses, N.G.A.; Suppiah, R.R.; Maulianda, B.T. Physio-chemical interaction of Ethylene-Vinyl Acetate copolymer on bonding ability in the cementing material used for oil and gas well. Pet. Res. 2021, 7, 341–349. [Google Scholar] [CrossRef]
- Yuan, W.Z. Similarity Theory and Static Model Test; Mao, W.Y., Ed.; Southwest Jiaotong University Press: Chengdu, China, 1998; pp. 15–42. [Google Scholar]
- Zhang, Y.; Nian, T.K.; Wang, L.; Tang, J. Research on similar materials for physical model tests of rock slopes. J. Southwest Jiaotong Univ. 2019, 54, 55–60, 72. [Google Scholar] [CrossRef]
- Niu, E.k. Study on Application for Distorted and Compensated Method in Landslide Model Test. Master’s Thesis, China Three Gorges University, Yichang, China, 2007. [Google Scholar]
- Yan, C.B.; Li, Y.; Huang, K.; Zhang, Y.C.; Yao, W.M. Similar model test study on dynamic response characteristics of rock slope with mudded intercalation. J. Cent. South Univ. Technol. 2021, 52, 2372–2385. [Google Scholar] [CrossRef]
- Yan, C.B.; Wang, H.J.; Xu, X.; Zhang, Y.C. Identifying fatigue damage of mudded intercalations based on dynamic triaxial test. Eng. Geol. 2021, 280, 105933. [Google Scholar] [CrossRef]
- Ye, W.J.; Zhang, Y.P. Model test study on instability of loess slopes under long-term rainfall. China Sci. 2021, 16, 603–609. [Google Scholar]
- Cheng, W.M.; Sun, L.L.; Wang, G.; Du, W.Z.; Qu, H.Y. Experimental research on coal seam similar material proportion and its application. Int. J. Min. Sci. Technol. 2016, 26, 913–918. [Google Scholar] [CrossRef]
- Liu, X.L.; Wang, S.M.; Tan, Y.Z.; Hu, X.J.; Zhao, D.P. The Study on the Ratio of Similar Material in Landslide Model Test. Adv. Mater. Res. 2011, 261–263, 1679–1684. [Google Scholar] [CrossRef]
- Li, J.G.; Wu, Y.; Wang, Y.Y.; Qin, N.; Wang, W.X. Experimental Study on Self-Made Similar Material of Soft Rock. Key Eng. Mater. 2016, 717, 140–146. [Google Scholar] [CrossRef]
- Tan, Z.S.; Li, S.T.; Yang, Y.; Wang, J.J. Large deformation characteristics and controlling measures of steeply inclined and layered soft rock of tunnels in plate suture zones. Eng. Fail. Anal. 2022, 131, 105831. [Google Scholar] [CrossRef]
- Song, H.Q.; Zuo, J.P.; Liu, H.Y.; Zuo, S.H. The strength characteristics and progressive failure mechanism of soft rock-coal combination samples with consideration given to interface effects. Int. J. Rock Mech. Min. Sci. 2021, 138, 104593. [Google Scholar] [CrossRef]
- Zhan, J.W.; Wang, Q.; Zhang, W.; Shangguan, Y.L.; Song, S.Y.; Chen, J.P. Soil-engineering properties and failure mechanisms of shallow landslides in soft-rock materials. CATENA 2019, 181, 104093. [Google Scholar] [CrossRef]
- Yu, Y.; Zhu, C.k.; Chong, D.Y.; Liu, Y.; Li, S.C. Catastrophe mechanism and disaster countermeasure for soft rock roadway surrounding rock in Meihe mine. Int. J. Min. Sci. Technol. 2015, 25, 407–413. [Google Scholar] [CrossRef]
- Wu, S.C.; Li, L.P.; Zhang, X.P. Rock Mechanics; Zhao, X.H., An, L., Eds.; Higher Education Press: Beijing, China, 2021. [Google Scholar]
- Liu, Y.R.; Tang, H.M. Rock Mass Mechanics; Peng, X.Y., Yang, Q., Eds.; Chemical Industry Press: Beijing, China, 2016. [Google Scholar]
- Meng, Q.B.; Han, L.J.; Xiao, Y.; Li, H.; Wen, S.Y.; Zhang, J. Numerical simulation study of the failure evolution process and failure mode of surrounding rock in deep soft rock roadways. Int. J. Min. Sci. Technol. 2016, 26, 209–221. [Google Scholar] [CrossRef]
- Li, H.Z.; Xiong, G.D.; Zhao, G.P. An elasto-plastic constitutive model for soft rock considering mobilization of strength. Trans. Nonferrous Met. Soc. China 2016, 26, 822–834. [Google Scholar] [CrossRef]
- Nhu, H.T.N.; Ha, H.B.; Giang, D.N.; Jayantha, K. A cohesive damage-plasticity model for DEM and its application for numerical investigation of soft rock fracture properties. Int. J. Plast. 2017, 98, 175–196. [Google Scholar] [CrossRef]
- He, M.C. Latest progress of soft rock mechanics and engineering in China. J. Rock Mech. Geotech. Eng. 2014, 98, 165–179. [Google Scholar] [CrossRef]
- Yang, R.S.; Li, Y.L.; Guo, D.M.; Yao, L.; Yang, T.M.; Li, T.T. Failure mechanism and control technology of water-immersed roadway in high-stress and soft rock in a deep mine. Int. J. Min. Sci. Technol. 2017, 27, 245–252. [Google Scholar] [CrossRef]
- Guo, H.Y.; Lei, X.Y.; Zhang, Y.M.; Yang, G.X.; Niu, Z. Experimental research on hydrophilic characteristics of natural soft rock at high stress state. Int. J. Min. Sci. Technol. 2015, 25, 489–495. [Google Scholar] [CrossRef]
- Fabiano, T.C.; Paulo, M.V.; Letícia, H.G.; Guillermo, R.B.N.; Cibele, C.M.; Diego, S.S. Water/rock interactions, chemical weathering and erosion, and supergene enrichment in the Tapira and Catalão I alkaline-carbonatite complexes, Brazil. J. Geochem. Explor. 2022, 237, 106999. [Google Scholar] [CrossRef]











| Density (g/cm) | Compressive Strength (MPa) | Deformation Modulus (MPa) | Poisson Ratio | |
|---|---|---|---|---|
| mudstone | 2.41∼2.63 | 10.0–25.5 | 1300–3100 | 0.23∼0.31 |
| similar materials of mudstone | 2.41∼2.63 | 0.10–0.26 | 13–31 | 0.23∼0.31 |
| Curing Day | Density (g/cm) | Compressive Strength (MPa) | Deformation Modulus (MPa) |
|---|---|---|---|
| 3 days | 1.923 | 0.041 | 4.430 |
| 5 days | 1.797 | 0.133 | 28.515 |
| 7 days | 1.743 | 0.204 | 42.562 |
| 12 days | 1.746 | 0.203 | 41.813 |
| Group | Ferric Powder | Barite Powder | Quartz Sand | Gypsum | Water | VAE |
|---|---|---|---|---|---|---|
| G1 | 6.67 | 1.33 | 2.22 | 1 | 1.56 | 0% |
| G2 | 6.67 | 1.33 | 2.22 | 1 | 1.56 | 2% |
| G3 | 6.67 | 1.33 | 2.22 | 1 | 1.56 | 4% |
| G4 | 6.67 | 1.33 | 2.22 | 1 | 1.56 | 6% |
| Group | Density (g/cm) | Compressive Strength (MPa) | Deformation Modulus (MPa) | Poisson Ratio |
|---|---|---|---|---|
| G1 (0%) | 2.406 | 0.1378 | 17.69 | 0.28 |
| G2 (2%) | 2.471 | 0.1492 | 16.81 | 0.33 |
| G3 (4%) | 2.424 | 0.1240 | 12.96 | 0.27 |
| G4 (6%) | 2.396 | 0.1175 | 10.78 | 0.25 |
| Density (g/cm) | Compressive Strength (MPa) | Deformation Modulus (MPa) | Poisson Ratio | |
|---|---|---|---|---|
| Similar materials of mudstone | 2.44 | 0.1355 | 14.21 | 0.28 |
Publisher’s Note: MDPI stays neutral with regard to jurisdictional claims in published maps and institutional affiliations. |
© 2022 by the authors. Licensee MDPI, Basel, Switzerland. This article is an open access article distributed under the terms and conditions of the Creative Commons Attribution (CC BY) license (https://creativecommons.org/licenses/by/4.0/).
Share and Cite
Ren, X.; Zhang, Z.; Xiang, M.; Xu, G.; Cao, W. An Experimental Study on the Preparation of Soft Rock Similar Materials Using Redispersible Latex Powder as a Modifier. Molecules 2022, 27, 7404. https://doi.org/10.3390/molecules27217404
Ren X, Zhang Z, Xiang M, Xu G, Cao W. An Experimental Study on the Preparation of Soft Rock Similar Materials Using Redispersible Latex Powder as a Modifier. Molecules. 2022; 27(21):7404. https://doi.org/10.3390/molecules27217404
Chicago/Turabian StyleRen, Xu, Zhufang Zhang, Min Xiang, Guihong Xu, and Wenze Cao. 2022. "An Experimental Study on the Preparation of Soft Rock Similar Materials Using Redispersible Latex Powder as a Modifier" Molecules 27, no. 21: 7404. https://doi.org/10.3390/molecules27217404
APA StyleRen, X., Zhang, Z., Xiang, M., Xu, G., & Cao, W. (2022). An Experimental Study on the Preparation of Soft Rock Similar Materials Using Redispersible Latex Powder as a Modifier. Molecules, 27(21), 7404. https://doi.org/10.3390/molecules27217404
