Deacetylation and Desuccinylation of the Fucose-Rich Polysaccharide Fucopol: Impact on Biopolymer Physical and Chemical Properties
Abstract
1. Introduction
2. Materials and Methods
2.1. FucoPol Production and Extraction
2.2. Chemical Deacylation of FucoPol
2.3. Physical and Chemical Characterization
2.3.1. Composition
2.3.2. Fourier Transform Infrared analysis
2.3.3. Molecular Mass Distribution
2.3.4. Thermal Properties
2.3.5. Intrinsic Viscosity
2.4. Apparent Viscosity and Viscoelastic Properties
2.5. Emulsion Forming and Stabilizing Capacity
2.6. Film-Forming Capacity
2.6.1. Film Preparation
2.6.2. Morphological Characterization
2.6.3. Mechanical Properties
3. Results and Discussion
3.1. Optimization of the Chemical Deacylation Conditions
3.2. Physical and Chemical Characterization of the Deacetylated/Desuccinylated FucoPol
3.2.1. Sugar Composition
3.2.2. Structural Analysis
3.2.3. Molecular Mass Distribution
3.2.4. Thermal Properties
3.2.5. Intrinsic Viscosity
3.3. Apparent Viscosity and Viscoelastic Properties of the d-FucoPol Solutions
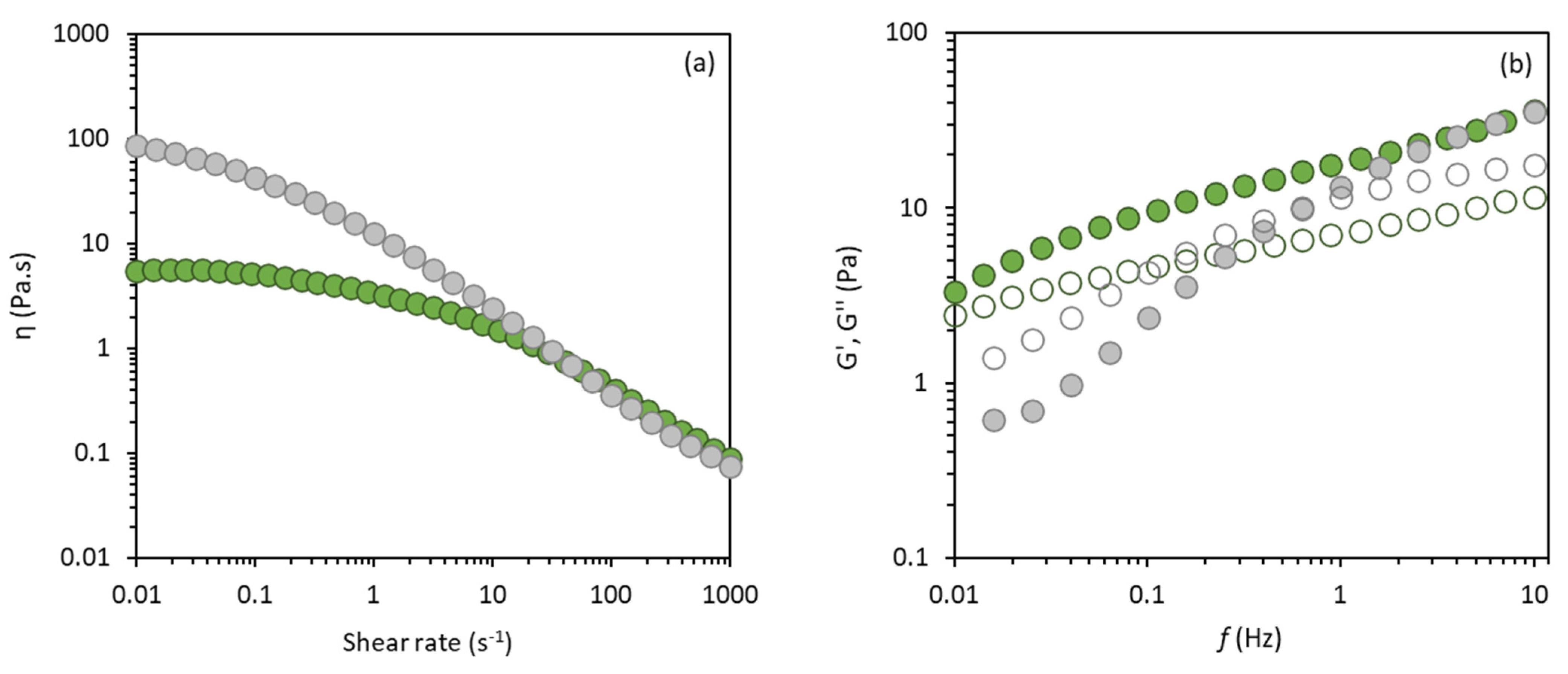
3.3.1. Apparent Viscosity
3.3.2. Effect of Ionic Strength
3.3.3. Effect of pH
3.3.4. Effect of Temperature
3.4. Emulsion Forming and Stabilizing Capacity
3.5. Film-Forming Capacity
3.5.1. Morphological Characterization
3.5.2. Mechanical Properties
4. Conclusions
Author Contributions
Funding
Institutional Review Board Statement
Informed Consent Statement
Data Availability Statement
Conflicts of Interest
Sample Availability
References
- Freitas, F.; Alves, V.D.; Torres, C.A.V.; Cruz, M.; Sousa, I.; João, M.; Ramos, A.M.; Reis, M.A.M. Fucose-Containing Exopolysaccharide Produced by the Newly Isolated Enterobacter strain A47 DSM 23139. Carbohydr. Polym. 2011, 83, 159–165. [Google Scholar] [CrossRef]
- Baptista, S.; Torres, C.A.V.; Sevrin, C.; Grandfils, C.; Reis, M.A.M.; Freitas, F. Extraction of the Bacterial Extracellular Polysaccharide FucoPol by Membrane-Based Methods: Efficiency and Impact on Biopolymer Properties. Polymers 2022, 14, 390. [Google Scholar] [CrossRef] [PubMed]
- Guerreiro, B.M.; Freitas, F.; Lima, J.C.; Silva, J.C.; Dionísio, M.; Reis, M.A.M. Demonstration of the Cryoprotective Properties of the Fucose-Containing Polysaccharide FucoPol. Carbohydr. Polym. 2020, 245, 116500. [Google Scholar] [CrossRef] [PubMed]
- Freitas, F.; Alves, V.D.; Gouveia, A.R.; Pinheiro, P.; Torres, C.A.V.; Grandfils, C.; Reis, M.A.M. Controlled Production of Exopolysaccharides from Enterobacter A47 as a Function of Carbon Source with Demonstration of Their Film and Emulsifying Abilities. Appl. Biochem. Biotechnol. 2014, 172, 641–657. [Google Scholar] [CrossRef] [PubMed]
- Ferreira, A.R.V.; Torres, C.A.V.; Freitas, F.; Reis, M.A.M.; Alves, V.D.; Coelhoso, I.M. Biodegradable Films Produced from the Bacterial Polysaccharide FucoPol. Int. J. Biol. Macromol. 2014, 71, 111–116. [Google Scholar] [CrossRef]
- Fialho, L.; Araújo, D.; Alves, V.D.; Roma-Rodrigues, C.; Baptista, V.; Fernandes, A.R.; Freitas, F.; Reis, M.A.M. Cation-Mediated Gelation of the Fucose-Rich Polysaccharide FucoPol: Preparation and Characterization of Hydrogel Beads and Their Cytotoxicity Assessment. Int. J. Polym. Mater. Polym. Biomater. 2021, 70, 90–99. [Google Scholar] [CrossRef]
- Concórdio-Reis, P.; Pereira, C.V.; Batista, M.P.; Sevrin, C.; Grandfils, C.; Marques, A.C.; Fortunato, E.; Gaspar, F.B.; Matias, A.A.; Freitas, F.; et al. Silver Nanocomposites Based on the Bacterial Fucose-Rich Polysaccharide Secreted by Enterobacter A47 for Wound Dressing Applications: Synthesis, Characterization and in Vitro Bioactivity. Int. J. Biol. Macromol. 2020, 163, 959–969. [Google Scholar] [CrossRef]
- Guerreiro, B.M.; Freitas, F.; Lima, J.C.; Silva, J.C.; Reis, M.A.M. Photoprotective Effect of the Fucose-Containing Polysaccharide FucoPol. Carbohydr. Polym. 2021, 259, 117761. [Google Scholar] [CrossRef]
- Guerreiro, B.M.; Silva, J.C.; Lima, J.C.; Reis, M.A.M.; Freitas, F. Antioxidant Potential of the Bio-Based Fucose-Rich Polysaccharide FucoPol Supports Its Use in Oxidative Stress-Inducing Systems. Polymers 2021, 13, 3020. [Google Scholar] [CrossRef]
- Xu, L.; Qiu, Z.; Gong, H.; Zhu, C.; Li, Z.; Li, Y.; Dong, M. Rheological Behaviors of Microbial Polysaccharides with Different Substituents in Aqueous Solutions: Effects of Concentration, Temperature, Inorganic Salt and Surfactant. Carbohydr. Polym. 2019, 219, 162–171. [Google Scholar] [CrossRef]
- Jeong, J.P.; Kim, Y.; Hu, Y.; Jung, S. Bacterial Succinoglycans: Structure, Physical Properties, and Applications. Polymers 2022, 14, 276. [Google Scholar] [CrossRef] [PubMed]
- Bajaj, I.B.; Survase, S.A.; Saudagar, P.S.; Singhal, R.S. Gellan Gum: Fermentative Production, Downstream Processing and Applications. Food Technol. Biotechnol. 2007, 45, 341–354. [Google Scholar]
- Huang, G.; Xie, J.; Shuai, S.; Wei, S.; Chen, Y.; Guan, Z.; Zheng, Q.; Yue, P.; Wang, C. Nose-to-Brain Delivery of Drug Nanocrystals by Using Ca2+ Responsive Deacetylated Gellan Gum Based in Situ-Nanogel. Int. J. Pharm. 2021, 594, 120182. [Google Scholar] [CrossRef] [PubMed]
- Wang, L.; Xiang, D.; Li, C.; Zhang, W.; Bai, X. Effects of Deacetylation on Properties and Conformation of Xanthan Gum. J. Mol. Liq. 2022, 345, 117009. [Google Scholar] [CrossRef]
- Riaz, T.; Iqbal, M.W.; Jiang, B.; Chen, J. A Review of the Enzymatic, Physical, and Chemical Modification Techniques of Xanthan Gum. Int. J. Biol. Macromol. 2021, 186, 472–489. [Google Scholar] [CrossRef]
- Veiga-Santos, P.; Oliveira, L.M.; Cereda, M.P.; Alves, A.J.; Scamparini, A.R.P. Mechanical Properties, Hydrophilicity and Water Activity of Starch-Gum Films: Effect of Additives and Deacetylated Xanthan Gum. Food Hydrocoll. 2005, 19, 341–349. [Google Scholar] [CrossRef]
- Ridout, M.J.; Brownsey, G.J.; York, G.M.; Walker, G.C.; Morris, V.J. Effect of O-Acyl Substituents on the Functional Behaviour of Rhizobium meliloti Succinoglycan. Int. J. Biol. Macromol. 1997, 20, 1–7. [Google Scholar] [CrossRef]
- Abdou, E.S.; Nagy, K.S.A.; Elsabee, M.Z. Extraction and Characterization of Chitin and Chitosan from Local Sources. Bioresour. Technol. 2008, 99, 1359–1367. [Google Scholar] [CrossRef]
- Knidri, H.; Belaabed, R.; Addaou, A.; Laajeb, A.; Lahsini, A. Extraction, Chemical Modification and Characterization of Chitin and Chitosan. Int. J. Biol. Macromol. 2018, 120, 1181–1189. [Google Scholar] [CrossRef]
- Kjartansson, G.T.; Zivanovic, S.; Kristbergsson, K.; Weiss, J. Sonication-Assisted Extraction of Chitin from North Atlantic Shrimps (Pandalus borealis). J. Agric. Food Chem. 2006, 54, 5894–5902. [Google Scholar] [CrossRef]
- Guetta, O.; Mazeau, K.; Auzely, R.; Milas, M.; Rinaudo, M. Structure and Properties of a Bacterial Polysaccharide Named Fucogel. Biomacromolecules 2003, 4, 1362–1371. [Google Scholar] [CrossRef] [PubMed]
- Pinto, E.P.; Furlan, L.; Vendruscolo, C.T. Chemical Deacetylation Natural Xanthan (Jungbunzlauer®). Polímeros 2011, 21, 47–52. [Google Scholar] [CrossRef]
- Torres, C.A.V.; Marques, R.; Antunes, S.; Alves, V.D.; Sousa, I.; Maria, A.; Oliveira, R.; Freitas, F.; Reis, M.A.M. Kinetics of Production and Characterization of the Fucose-Containing Exopolysaccharide from Enterobacter A47. J. Biotechnol. 2011, 156, 261–267. [Google Scholar] [CrossRef]
- Lima, C.S.; Rabelo, S.C.; Ciesielski, P.N.; Roberto, I.C.; Rocha, G.J.M.; Driemeier, C. Multiscale Alterations in Sugar Cane Bagasse and Straw Submitted to Alkaline Deacetylation. ACS Sustain. Chem. Eng. 2018, 6, 3796–3804. [Google Scholar] [CrossRef]
- Herasimenka, Y.; Cescutti, P.; Impallomeni, G.; Rizzo, R. Exopolysaccharides Produced by Inquilinus limosus, a New Pathogen of Cystic Fibrosis Patients: Novel Structures with Usual Components. Carbohydr. Res. 2007, 342, 2404–2415. [Google Scholar] [CrossRef]
- Du, X.; Li, J.; Chen, J.; Li, B. Effect of Degree of Deacetylation on Physicochemical and Gelation Properties of Konjac Glucomannan. Food Res. Int. 2012, 46, 270–278. [Google Scholar] [CrossRef]
- Kwon, C.; Lee, S.; Jung, S. Matrix-Assisted Laser Desorption/Ionization Time-of-Flight Mass Spectrometric Behavior of Succinoglycan Monomers, Dimers, and Trimers Isolated from Sinorhizobium meliloti 1021. Carbohydr. Res. 2011, 346, 2308–2314. [Google Scholar] [CrossRef] [PubMed]
- Marsh, C.A. Chemistry of D-Glucuronic Acid and Its Glycosides. In Glucuronic Acid Free and Combined; Dutton, G.J., Ed.; Elsevier Inc.: Amsterdam, The Netherlands, 1966; pp. 3–136. ISBN 9780123955012. [Google Scholar]
- Chokboribal, J.; Tachaboonyakiat, W.; Sangvanich, P.; Ruangpornvisuti, V.; Jettanacheawchankit, S.; Thunyakitpisal, P. Deacetylation Affects the Physical Properties and Bioactivity of Acemannan, an Extracted Polysaccharide from Aloe vera. Carbohydr. Polym. 2015, 133, 556–566. [Google Scholar] [CrossRef] [PubMed]
- Jin, W.; Song, R.; Xu, W.; Wang, Y.; Li, J.; Shah, B.R.; Li, Y.; Li, B. Analysis of Deacetylated Konjac Glucomannan and Xanthan Gum Phase Separation by Film Forming. Food Hydrocoll. 2015, 48, 320–326. [Google Scholar] [CrossRef]
- Du, X.; Zhang, J.; Lv, Z.; Ye, L.; Yang, Y.; Tang, Q. Chemical Modification of an Acidic Polysaccharide (TAPA1) from Tremella aurantialba and Potential Biological Activities. Food Chem. 2014, 143, 336–340. [Google Scholar] [CrossRef]
- Cruz, M.; Freitas, F.; Torres, C.A.V.; Reis, M.A.M.; Alves, V.D. Influence of Temperature on the Rheological Behavior of a New Fucose-Containing Bacterial Exopolysaccharide. Int. J. Biol. Macromol. 2011, 48, 695–699. [Google Scholar] [CrossRef] [PubMed]
- Wang, F.; Wang, Y.J.; Sun, Z. Conformational Role of Xanthan Gum in Its Interaction with Guar Gum. J. Food Sci. 2002, 67, 3289–3294. [Google Scholar] [CrossRef]
- Wang, J.; Salem, D.R.; Sani, R.K. Two New Exopolysaccharides from a Thermophilic Bacterium Geobacillus sp. WSUCF1: Characterization and Bioactivities. New Biotechnol. 2021, 61, 29–39. [Google Scholar] [CrossRef] [PubMed]
- Khouryieh, H.A.; Herald, T.J.; Aramouni, F.; Alavi, S. Intrinsic Viscosity and Viscoelastic Properties of Xanthan/Guar Mixtures in Dilute Solutions: Effect of Salt Concentration on the Polymer Interactions. Food Res. Int. 2007, 40, 883–893. [Google Scholar] [CrossRef]
- Li, S.; Xiong, Q.; Lai, X.; Li, X.; Wan, M.; Zhang, J.; Yan, Y.; Cao, M.; Lu, L.; Guan, J.; et al. Molecular Modification of Polysaccharides and Resulting Bioactivities. Compr. Rev. Food Sci. Food Saf. 2016, 15, 237–250. [Google Scholar] [CrossRef]
- Ayyash, M.; Stathopoulos, C.; Abu-Jdayil, B.; Esposito, G.; Baig, M.; Turner, M.S.; Baba, A.S.; Apostolopoulos, V.; Al-Nabulsi, A.; Osaili, T. Exopolysaccharide Produced by Potential Probiotic Enterococcus faecium MS79: Characterization, Bioactivities and Rheological Properties Influenced by Salt and pH. LWT 2020, 131, 109741. [Google Scholar] [CrossRef]
- Madruga, L.Y.C.; Da Câmara, P.C.F.; Marques, N.D.N.; Balaban, R.D.C. Effect of Ionic Strength on Solution and Drilling Fluid Properties of Ionic Polysaccharides: A Comparative Study between Na-Carboxymethylcellulose and Na-Kappa-Carrageenan Responses. J. Mol. Liq. 2018, 266, 870–879. [Google Scholar] [CrossRef]
- Torres, C.A.V.; Ferreira, A.R.V.; Freitas, F.; Reis, M.A.M.; Coelhoso, I.; Sousa, I.; Alves, V.D. Rheological Studies of the Fucose-Rich Exopolysaccharide FucoPol. Int. J. Biol. Macromol. 2015, 79, 611–617. [Google Scholar] [CrossRef]
- Zhou, F.; Wu, Z.; Chen, C.; Han, J.; Ai, L.; Guo, B. Exopolysaccharides Produced by Rhizobium radiobacter S10 in Whey and Their Rheological Properties. Food Hydrocoll. 2014, 36, 362–368. [Google Scholar] [CrossRef]
- Barbosa, A.I.; Coutinho, A.J.; Costa Lima, S.A.; Reis, S. Marine Polysaccharides in Pharmaceutical Applications: Fucoidan and Chitosan as Key Players in the Drug Delivery Match Field. Mar. Drugs 2019, 17, 654. [Google Scholar] [CrossRef]
- Singhvi, G.; Hans, N.; Shiva, N.; Kumar Dubey, S. Xanthan Gum in Drug Delivery Applications. In Natural Polysaccharides in Drug Delivery and Biomedical Applications; Hasnain, M.S., Nayak, A.K., Eds.; Elsevier Inc.: Amsterdam, The Netherlands, 2019; ISBN 9780128170557. [Google Scholar]
- Li, L.; Liao, B.Y.; Thakur, K.; Zhang, J.G.; Wei, Z.J. The Rheological Behavior of Polysaccharides Sequential Extracted from Polygonatum cyrtonema Hua. Int. J. Biol. Macromol. 2018, 109, 761–771. [Google Scholar] [CrossRef] [PubMed]
- Ji, Y.H.; Liao, A.M.; Huang, J.H.; Thakur, K.; Li, X.L.; Hu, F.; Wei, Z.J. The Rheological Properties and Emulsifying Behavior of Polysaccharides Sequentially Extracted from Amana edulis. Int. J. Biol. Macromol. 2019, 137, 160–168. [Google Scholar] [CrossRef] [PubMed]
- Tako, M.; Nakamura, S. Rheological Properties of Deacetylated Xanthan. Agric. Biol. Chem. 1984, 48, 2987–2993. [Google Scholar]
- Baptista, S.; Pereira, J.R.; Gil, C.V.; Torres, C.A.V.; Reis, M.A.M.; Freitas, F. Development of Olive Oil and α-Tocopherol Containing Emulsions Stabilized by FucoPol: Rheological and Textural Analyses. Polymers 2022, 14, 2349. [Google Scholar] [CrossRef] [PubMed]
- Mcclements, D.J. Critical Review of Techniques and Methodologies for Characterization of Emulsion Stability. Crit. Rev. Food Sci. Nutr. 2007, 47, 611–649. [Google Scholar] [CrossRef] [PubMed]
- Akbari, S.; Nour, A.H. Emulsion Types, Stability Mechanisms and Rheology: A Review. Int. J. Innov. Res. Sci. Stud. 2018, 1, 14–21. [Google Scholar] [CrossRef]
- Kavitake, D.; Balyan, S.; Devi, P.B.; Shetty, P.H. Evaluation of Oil-in-Water (O/W) Emulsifying Properties of Galactan Exopolysaccharide from Weissella confusa KR780676. J. Food Sci. Technol. 2020, 57, 1579–1585. [Google Scholar] [CrossRef]
- Lata Yadav, K.; Kumar Rahi, D.; Kumar Soni, S. Bioemulsifying Potential of Exopolysaccharide Produced by an Indigenous Species of Aureobasidium pullulans RYLF10. PeerJ 2014, 2, e726v1. [Google Scholar] [CrossRef][Green Version]
- Kavitake, D.; Balyan, S.; Devi, P.B.; Shetty, P.H. Interface between Food Grade Flavour and Water Soluble Galactan Biopolymer to Form a Stable Water-in-Oil-in-Water Emulsion. Int. J. Biol. Macromol. 2019, 135, 445–452. [Google Scholar] [CrossRef]
- Huang, Z.; Zong, M.H.; Lou, W.Y. Effect of Acetylation Modification on the Emulsifying and Antioxidant Properties of Polysaccharide from Millettia speciosa Champ. Food Hydrocoll. 2022, 124, 107217. [Google Scholar] [CrossRef]
- Zhang, F.; Cai, X.; Ding, L.; Wang, S. Effect of pH, Ionic Strength, Chitosan Deacetylation on the Stability and Rheological Properties of O/W Emulsions Formulated with Chitosan/Casein Complexes. Food Hydrocoll. 2021, 111, 106211. [Google Scholar] [CrossRef]
- Li, X.; Xia, W. Effects of Concentration, Degree of Deacetylation and Molecular Weight on Emulsifying Properties of Chitosan. Int. J. Biol. Macromol. 2011, 48, 768–772. [Google Scholar] [CrossRef] [PubMed]
- Blanco, L.F.; Rodriguez, M.S.; Schulz, P.C.; Agulló, E. Influence of the Deacetylation Degree on Chitosan Emulsification Properties. Colloid Polym. Sci. 1999, 277, 1087–1092. [Google Scholar] [CrossRef]
- Calero, N.; Muñoz, J.; Cox, P.W.; Heuer, A.; Guerrero, A. Influence of Chitosan Concentration on the Stability, Microstructure and Rheological Properties of O/W Emulsions Formulated with High-Oleic Sunflower Oil and Potato Protein. Food Hydrocoll. 2013, 30, 152–162. [Google Scholar] [CrossRef]
- Bom, S.; Fitas, M.; Martins, A.M.; Pinto, P.; Ribeiro, H.M.; Marto, J. Replacing Synthetic Ingredients by Sustainable Natural Alternatives: A Case Study Using Topical O/W Emulsions. Molecules 2020, 25, 4887. [Google Scholar] [CrossRef] [PubMed]
- Heydari, A.; Razavi, S.M.A. Evaluating High Pressure-Treated Corn and Waxy Corn Starches as Novel Fat Replacers in Model Low-Fat O/W Emulsions: A Physical and Rheological Study. Int. J. Biol. Macromol. 2021, 184, 393–404. [Google Scholar] [CrossRef]
- Zhang, W.; Liu, L. Study on the Formation and Properties of Liquid Crystal Emulsion in Cosmetic. J. Cosmet. Dermatol. Sci. Appl. 2013, 3, 139–144. [Google Scholar] [CrossRef]
- Gamonpilas, C.; Pongjaruvat, W.; Fuongfuchat, A.; Methacanon, P.; Seetapan, N.; Thamjedsada, N. Physicochemical and Rheological Characteristics of Commercial Chili Sauces as Thickened by Modified Starch or Modified Starch/Xanthan Mixture. J. Food Eng. 2011, 105, 233–240. [Google Scholar] [CrossRef]
- Hoque, M.S.; Benjakul, S.; Prodpran, T. Effect of Heat Treatment of Film-Forming Solution on the Properties of Film from Cuttlefish (Sepia pharaonis) Skin Gelatin. J. Food Eng. 2010, 96, 66–73. [Google Scholar] [CrossRef]
- Khairunnisa, S.; Junianto, J.; Zahidah, Z.; Rostini, I. The Effect of Glycerol Concentration as a Plasticizer on Edible Films Made from Alginate towards Its Physical Characteristic. World Sci. News 2018, 112, 130–141. [Google Scholar]
- Khoirunnisa, A.R.; Joni, I.M.; Panatarani, C.; Rochima, E.; Praseptiangga, D. UV-Screening, Transparency and Water Barrier Properties of Semi Refined Iota Carrageenan Packaging Film Incorporated with ZnO Nanoparticles. AIP Conf. Proc. 2018, 1927, 030041. [Google Scholar] [CrossRef]
- Kędzierska, M.; Blilid, S.; Miłowska, K.; Kołodziejczyk-Czepas, J.; Katir, N.; Lahcini, M.; El Kadib, A.; Bryszewska, M. Insight into Factors Influencing Wound Healing Using Phosphorylated Cellulose-Filled-Chitosan Nanocomposite Films. Int. J. Mol. Sci. 2021, 22, 11386. [Google Scholar] [CrossRef] [PubMed]
- Ferreira, A.R.V.; Torres, C.A.V.; Freitas, F.; Sevrin, C.; Grandfils, C.; Reis, M.A.M.; Alves, V.D.; Coelhoso, I.M. Development and Characterization of Bilayer Films of FucoPol and Chitosan. Carbohydr. Polym. 2016, 147, 8–15. [Google Scholar] [CrossRef] [PubMed]
- Kurt, A. Rheology of Film-Forming Solutions and Physical Properties of Differently Deacetylated Salep Glucomannan Film. Food Health 2019, 5, 175–184. [Google Scholar] [CrossRef]
- Alves, V.D.; Ferreira, A.R.; Costa, N.; Freitas, F.; Reis, M.A.M.; Coelhoso, I.M. Characterization of Biodegradable Films from the Extracellular Polysaccharide Produced by Pseudomonas oleovorans Grown on Glycerol Byproduct. Carbohydr. Polym. 2011, 83, 1582–1590. [Google Scholar] [CrossRef]
- Kurek, M.; Galus, S.; Debeaufort, F. Surface, Mechanical and Barrier Properties of Bio-Based Composite Films Based on Chitosan and Whey Protein. Food Packag. Shelf Life 2014, 1, 56–67. [Google Scholar] [CrossRef]








| Acyls Groups (wt%) | NaOH (M) | 40 °C | 60 °C | ||||
|---|---|---|---|---|---|---|---|
| 15 (min) | 30 (min) | 60 (min) | 15 (min) | 30 (min) | 60 (min) | ||
| Succinyl | 0.005 | 0.70 ± 0.02 | 0.67 ± 0.02 | 0.62 ± 0.01 | 0.65 ± 0.08 | 0.64 ± 0.02 | 0.47 ± 0.01 |
| 0.01 | 0.35 ± 0.02 | 0.26 ± 0.04 | 0.27 ± 0.04 | 0.34 ± 0.02 | 0.29 ± 0.00 | 0.22 ± 0.04 | |
| 0.02 | 0.19 ± 0.00 | - | - | - | - | - | |
| 0.05 | - | - | - | - | - | - | |
| Acetyl | 0.005 | 3.15 ± 0.22 | 3.02 ± 0.07 | 2.55 ± 0.10 | 2.90 ± 0.38 | 2.87 ± 0.08 | 1.85 ± 0.01 |
| 0.01 | 1.41 ± 0.15 | 1.16 ± 0.06 | 0.61 ± 0.10 | 1.05 ± 0.17 | 0.44 ± 0.05 | - | |
| 0.02 | - | - | - | - | - | - | |
| 0.05 | - | - | - | - | - | - | |
| Pyruvyl | 0.005 | 3.61 ± 0.35 | 3.58 ± 0.04 | 3.580 ± 0.5 | 3.96 ± 0.27 | 4.05 ± 0.29 | 4.01 ± 0.27 |
| 0.01 | 3.68 ± 0.30 | 3.52 ± 0.11 | 3.77 ± 0.53 | 3.63 ± 0.47 | 3.68 ± 0.29 | 4.03 ± 0.62 | |
| 0.02 | 3.63 ± 0.05 | 3.30 ± 0.00 | 3.50 ± 0.22 | 3.54 ± 0.21 | 4.00 ± 0.12 | 3.99 ± 0.55 | |
| 0.05 | 3.65 ± 0.64 | 3.45 ± 0.50 | 3.90 ± 0.14 | 3.73 ± 0.09 | 3.89 ± 0.24 | 3.88 ± 0.45 | |
| Sample | Concentration (wt%) | Cross Model Parameters | Reference | ||
|---|---|---|---|---|---|
| η0 (Pa.s) | τ (s) | m | |||
| d-FucoPol | 0.75 1.5 3.0 | - * 1.61 ± 0.01 29.5 ± 0.09 | - * 0.11 ± 0.00 0.55 ± 0.01 | - * 0.67 ± 0.01 0.75 ± 0.01 | This study |
| FucoPol | 0.75 1.0 1.5 | 2.20 ± 0.01 17.40 ± 0.04 64.78 ± 0.31 | 0.51 ± 0.00 1.68 ± 0.21 5.66 ± 0.15 | 0.72 ± 0.00 0.78 ± 0.00 0.83 ± 0.02 | This study [2] This study |
| Parameter | Cross Model | Viscoelastic Parameters | ||||
|---|---|---|---|---|---|---|
| η0 (Pa.s) | τ (s) | m | G′ (Pa) | G″ (Pa) | Crossover (Hz) | |
| Ionic strength (M) (pH = 6.2, 25 °C) | ||||||
| 0.1 0.5 1.0 2.0 3.0 | 36.2 ± 0.12 40.1 ± 0.16 47.9 ± 0.93 65.6 ± 0.56 86.9 ± 0.80 | 0.54 ± 0.01 0.51 ± 0.01 0.91 ± 0.06 0.92 ± 0.03 1.01 ± 0.04 | 0.74 ± 0.00 0.78 ± 0.01 0.73 ± 0.01 0.75 ± 0.01 0.76 ± 0.01 | 4.05 5.40 7.40 10.9 15.5 | 11.3 14.3 18.1 23.7 29.5 | 1.0 1.0 1.0 1.0 0.6 |
| pH (0.1 M, 25 °C) | ||||||
| 3.6 4.8 6.2 8.5 11.5 | 40.4 ± 0.44 44.7 ± 0.47 40.1 ± 0.16 41.0 ± 0.45 40.6 ± 0.33 | 0.71 ± 0.03 0.80 ± 0.03 0.71 ± 0.01 0.75 ± 0.03 0.74 ± 0.02 | 0.74 ± 0.01 0.73 ± 0.01 0.78 ± 0.00 0.75 ± 0.03 0.74 ± 0.01 | 7.15 7.65 5.40 6.98 6.70 | 16.6 17.8 14.3 17.4 17.1 | 1.0 1.0 1.0 1.0 1.0 |
| Temperature (°C) (0.1 M, pH = 6.2) | ||||||
| 10 25 45 65 80 | 79.1 ± 0.46 36.2 ± 0.12 13.0 ± 0.05 5.83 ± 0.05 2.66 ± 0.04 | 1.26 ± 0.02 0.54 ± 0.01 0.21 ± 0.06 0.11 ± 0.01 0.06 ± 0.01 | 0.76 ± 0.01 0.77 ± 0.00 0.76 ± 0.01 0.69 ± 0.02 0.67 ± 0.04 | 13.5 4.05 1.31 0.22 0.12 | 25.1 11.3 6.31 2.42 1.39 | 0.6 1.0 3.2 10 10 |
| Sample | E24 (%) | Cross Model Parameters | Reference | ||
|---|---|---|---|---|---|
| η0 (Pa.s) | τ (s) | m | |||
| d-FucoPol | 98 ± 0 | 13.9 ± 2.4 | 1.64 ± 0.13 | 0.74 ± 0.00 | This study |
| FucoPol | 81–98 | 46.5 ± 5.3 | - | - | [2,46] |
| Sample | Mechanical Parameters | Transparency | References | ||
|---|---|---|---|---|---|
| Young Modulus (MPa) | Stress at Break (MPa) | Elongation at Break (%) | |||
| d-FucoPol | 798 ± 152 | 22.5 ± 2.5 | 9.3 ± 0.7 | 5.16 ± 1.09 | This study |
| FucoPol | 458 ± 32 | 15.5 ± 0.3 | 8.1 ± 1.0 | 3.67 ± 0.57 | [4,5] |
| GalactoPol | 1738 ± 114 | 51.0 ± 3.0 | 9.5 ± 3.9 | - | [67] |
| Chitosan | 21.8 ± 4.06 | 8.90 ± 1.6 | 38.5 ± 5.2 | - | [68] |
Publisher’s Note: MDPI stays neutral with regard to jurisdictional claims in published maps and institutional affiliations. |
© 2022 by the authors. Licensee MDPI, Basel, Switzerland. This article is an open access article distributed under the terms and conditions of the Creative Commons Attribution (CC BY) license (https://creativecommons.org/licenses/by/4.0/).
Share and Cite
Baptista, S.; Araújo, D.; Concórdio-Reis, P.; Marques, A.C.; Fortunato, E.; Alves, V.D.; Freitas, F. Deacetylation and Desuccinylation of the Fucose-Rich Polysaccharide Fucopol: Impact on Biopolymer Physical and Chemical Properties. Molecules 2022, 27, 7165. https://doi.org/10.3390/molecules27217165
Baptista S, Araújo D, Concórdio-Reis P, Marques AC, Fortunato E, Alves VD, Freitas F. Deacetylation and Desuccinylation of the Fucose-Rich Polysaccharide Fucopol: Impact on Biopolymer Physical and Chemical Properties. Molecules. 2022; 27(21):7165. https://doi.org/10.3390/molecules27217165
Chicago/Turabian StyleBaptista, Sílvia, Diana Araújo, Patrícia Concórdio-Reis, Ana C. Marques, Elvira Fortunato, Vítor D. Alves, and Filomena Freitas. 2022. "Deacetylation and Desuccinylation of the Fucose-Rich Polysaccharide Fucopol: Impact on Biopolymer Physical and Chemical Properties" Molecules 27, no. 21: 7165. https://doi.org/10.3390/molecules27217165
APA StyleBaptista, S., Araújo, D., Concórdio-Reis, P., Marques, A. C., Fortunato, E., Alves, V. D., & Freitas, F. (2022). Deacetylation and Desuccinylation of the Fucose-Rich Polysaccharide Fucopol: Impact on Biopolymer Physical and Chemical Properties. Molecules, 27(21), 7165. https://doi.org/10.3390/molecules27217165

