Synthesis of Novel Indole Schiff Base Compounds and Their Antifungal Activities
Abstract
1. Introduction
2. Results and Discussion
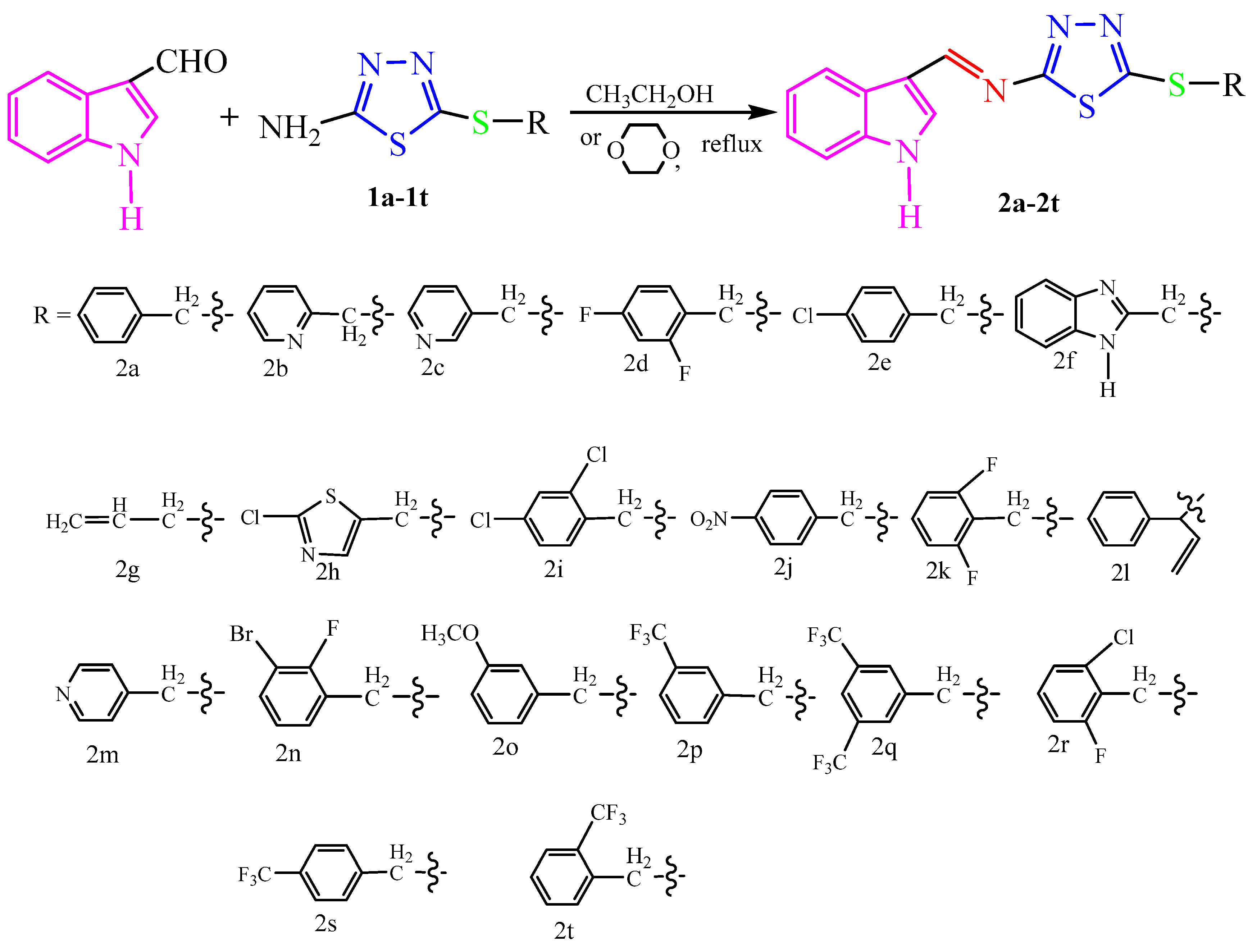
2.1. Synthesis
2.2. In Vitro Antifungal Activity
3. Materials and Methods
3.1. Chemicals and Instruments
3.2. General Procedure for the Preparation of Compounds 2a–2t
3.3. Spectral Data
3.4. In Vitro Antifungal Assay
4. Conclusions
5. Patents
Supplementary Materials
Author Contributions
Funding
Institutional Review Board Statement
Informed Consent Statement
Data Availability Statement
Acknowledgments
Conflicts of Interest
References
- Fisher, M.C.; Henk, D.A.; Briggs, C.J.; Brownstein, J.S.; Madoff, L.C.; McCraw, S.L.; Gur, S.J. Emerging fungal threats to animal, plant and ecosystem health. Nature 2012, 484, 186–194. [Google Scholar] [CrossRef]
- Pennisi, E. Armed and dangerous. Science 2010, 27, 804–805. [Google Scholar]
- Helena, P.V.; Josue, J.S.; Larissa, S.F. The first report of A. novo parasiticus, A. arachidicola and A. pseudocaelatus in Brazilian corn kernels. Int. J. Food Microbiol. 2017, 243, 46–51. [Google Scholar]
- Kos, J.; Halnal, E.J.; Malachov, A. Mycotoxins in maize harvested in Republic of Serbia in the period 2012–2015. Part 1: Regulated mycotoxins and its derivatives. Food Chem. 2020, 312, 126034. [Google Scholar] [CrossRef]
- Ayodel, A.O.; Tumisi, M.; Rhulani, M. A review on novel non—Thermal food processing techniques for mycotoxin reduction. Int. J. Food Sci. Technol. 2020, 56, 13–27. [Google Scholar]
- Eskola, M.; Skola, M.; Kos, G.; Elliott, C.T. Worldwide contamination of food—Crops with mycotoxins: Validity of the widely cited FAO estimate of 25%. Crit. Rev. Food Sci. Nutr. 2020, 60, 2773–2789. [Google Scholar] [CrossRef] [PubMed]
- Ma, L.; Der Does, H.C.; Borkovich, K.A. Comparative genomics reveals mobile pathogeni- city chromosomes in Fusarium. Nature 2010, 464, 367–373. [Google Scholar] [CrossRef] [PubMed]
- Berrocal-Lobo, M.; Molina, M. Arabidopsis defense response against Fusarium oxysporum. Trends Plant Sci. 2008, 13, 145–150. [Google Scholar] [CrossRef]
- Dean, R.; Van Kan, J.A.L.; Pretorius, Z.A.; Hammond-Kosack, K.E.; Di Pietro, A.; Spanu, P.D.; Rudd, J.J.; Dickman, M.; Kahmann, R.; Ellis, J.; et al. The Top 10 fungal pathogens in molecular plant pathology. Mol. Plant Pathol. 2012, 13, 414–430. [Google Scholar] [CrossRef]
- Edel-Hermann, V.; Lecomte, C. Current status of Fusarium oxysporum formae specials and races. Phytopathology 2018, 109, 512–530. [Google Scholar] [CrossRef] [PubMed]
- Michielse, C.B.; Rep, M. Pathogen profile update: Fusarium oxysporum. Mol. Plant Pathol. 2009, 10, 311–324. [Google Scholar] [CrossRef]
- Lopez-Berges, M.S.; Hera, C.; Sulyok, M. The velvet complex governs mycotoxin production and virulence of Fusarium oxysporum on plant and mammalian hosts. Mol. Microbiol. 2013, 87, 49–65. [Google Scholar] [CrossRef]
- Thatcher, L.F.; Gao, L.L.; Singh, K.B. Jasmonate signalling and defence responses in the model legume Medicago trncatula—A focus on responses to Fusarium wilt disease. Plants 2016, 5, 11. [Google Scholar] [CrossRef] [PubMed]
- Gosw, A.S.; Trail, F.; Xu, J.R. Fungal genes expressed during plant disease development in Fusarium/wheat interaction. Fungal Genet Newsl. 2003, 50, 292–602. [Google Scholar]
- Emerson, M.D.; Ponte, J.G.; Eliana, B.F. Deoxynivalenol and nivalenol in commercial wheat grain related to Fusarium head blight epidemics in southern Brazil. Food Chem. 2012, 132, 1087–1091. [Google Scholar]
- Stack, R.W. Return of an Old Problem: Fusarium Head Blight of Small Grains; APS Press: St. Paul, MN, USA, 1999. [Google Scholar]
- Stack, R.W. History of Fusarium head blight with emphasis on North America. In Fusarium Head Blight of Wheat and Barley; Leonard, K.J., Bushnell, W.R., Eds.; APS Press: St. Paul, MN, USA, 2003; pp. 1–34. [Google Scholar]
- Nganje, W.E.; Bangsund, D.A.; Leistriiz, F.L. Estimating the economic impact of a crop disease: The case of Fusarium head blight in US wheat and barley. In National Fusarium Head Blight Forum Proceeding; East Lansing Michigan State University: Michigan, MI, USA, 2002; pp. 75–281. [Google Scholar]
- Mcmulle, N.M.; Jones, R.; Gallenber, G.D. Scab of wheat and barley: A re-emerging disease of devastating impact. Plant Dis. 1997, 81, 13401348. [Google Scholar]
- Han, X.Y.; Zhong, Y.F.; Li, S.B.; Liang, G.C.; Zhou, G.; Wang, X.K.; Chen, B.H.; Song, Y.L. Synthesis, characterization and antifungal evaluation of novel derivatives containing indole skeleton. Chem. Pharm. Bull. 2016, 64, 1411–1416. [Google Scholar] [CrossRef][Green Version]
- Xu, G.; Zhao, J.; Jiang, Y.; Zhang, P.; Li, W. Design, Synthesis and Antifungal Activity of Novel Indole Derivatives Linked with the 1,2,3-Triazole Moiety via the CuAAC Click Reaction. J. Chem. Res. 2016, 40, 269–272. [Google Scholar] [CrossRef]
- Zhang, M.-Z.; Jia, C.-Y.; Gu, Y.-C.; Mulholland, N.; Turner, S.; Beattie, D.; Zhang, W.-H.; Yang, G.-F.; Clough, J. Synthesis and antifungal activity of novel indole-replaced streptochlorin analogues. Eur. J. Med. Chem. 2017, 126, 669–674. [Google Scholar] [CrossRef] [PubMed]
- Altuntas, T.G.; Yilmaz, N.; Ece, A.; Altanlar, N.; Olgen, S. Invitro antibacterial and antifungal activity and computational evaluation of novel indole derivatives containing 4-substituted piperazine moieties. Lett. Drug Des. Dis. 2018, 15, 1079–1086. [Google Scholar] [CrossRef]
- Sumiya, T.; Ishigaki, M.; Oh, K. Synthesis of Imidazole and Indole Hybrid Molecules and Antifungal Activity against Rice Blast. Int. J. Chem. Eng. Appl. 2017, 8, 233–236. [Google Scholar] [CrossRef]
- Pagniez, F.; Lebouvier, N.; Na, Y.M.; Ourliac-Garnier, I.; Picot, C.; Le Borgne, M.; Le Pape, P. Biological exploration of a novel 1,2,4-triazole-indole hybrid molecule as antifungal agent. J. Enzym. Inhib. Med. Chem. 2020, 35, 398–403. [Google Scholar] [CrossRef] [PubMed]
- Al-Wabli, R.I.; Alsulami, M.A.; Bukhari, S.I.; Moubayed, N.M.S.; Al-Mutairi, M.S.; Attia, M.I. Design, synthesis, and antimicrobial activity of certain new indole-1,2,4 triazole conjugates. Molecules 2021, 26, 2292. [Google Scholar] [CrossRef]
- Mruthyunjayaswamy, B.H.M.; Basavarajaiah, S.M. Synthesis and antimicrobial activity of some 5-chloro-3-phenyl-1H-indole-2-carbonyl azide derivatives. Indian J. Chem. 2018, 57, 390–399. [Google Scholar]
- Kong, Q.; Pan, W.; Xu, H.; Xue, Y.; Guo, B.; Meng, X.; Luo, C.; Wang, T.; Zhang, S.; Yang, Y. Design, synthesis, and biological evaluation of novel pyrimido [4,5-b] indole derivatives against gram-negative multidrug-resistant pathogens. J. Med. Chem. 2021, 64, 8644–8665. [Google Scholar] [CrossRef] [PubMed]
- Qin, H.-L.; Liu, J.; Fang, W.-Y.; Ravindar, L.; Rakesh, K. Indole-based derivatives as potential antibacterial activity against methicillin-resistance Staphylococcus aureus (MRSA). Eur. J. Med. Chem. 2020, 194, 112245. [Google Scholar] [CrossRef] [PubMed]
- Tehrani, K.H.M.E.; Mashayekhi, V.; Azerang, P.; Sardari, S.; Kobarfard, F.; Rostamizadeh, K. Synthesis and Antimycobacterial Activity of Novel Thiadiazolylhydrazones of 1-Substituted Indole-3-carboxaldehydes. Chem. Biol. Drug Des. 2014, 83, 224–236. [Google Scholar] [CrossRef]
- Khan, G.A.; War, J.A.; Kumar, A.; Sheikh, I.A.; Saxena, A.; Das, R. A facile synthesis of novel indole derivatives as potential antitubercular agents. J. Taibah Univ. Sci. 2017, 11, 910–921. [Google Scholar] [CrossRef]
- Champciaux, B.; Raynaud, C.; Viljoen, A.; Chene, L.; Thibonnet, J.; Vincent, S.P.; Kremer, L.; Thiery, E. Synthesis and biological evaluation of 3,4-dihydro-1H-[1,4] oxazepino [6,5,4-hi] indol-1-ones and 4,6-dihydrooxepino [5,4,3-cd] indol-1(3H)-ones as Mycobacterium tuberculosis inhibitors. Bioorganic Med. Chem. 2021, 43, 116248. [Google Scholar] [CrossRef]
- Cihan-Üstündag, G.; Naesens, L.; Şatana, D.; Erköse-Genç, G.; Mataracı-Kara, E.; Çapan, G. Design, synthesis, antitubercular and antiviral properties of new spirocyclic indole derivatives. Mon. Chem. Chem. Mon. 2019, 150, 1533–1544. [Google Scholar] [CrossRef] [PubMed]
- Demurtas, M.; Baldisserotto, A.; Lampronti, I.; Moi, D.; Balboni, G.; Pacifico, S.; Vertuani, S.; Manfredini, S.; Onnis, V. Indole derivatives as multifunctional drugs: Synthesis and evaluation of antioxidant, photoprotective and antiproliferative activity of indole hydrazones. Bioorganic Chem. 2019, 85, 568–576. [Google Scholar] [CrossRef] [PubMed]
- Elshemy, H.A.; Zaki, M.A.; Mohamed, E.I.; Khan, S.I.; Lamie, P.F. A multicomponent reaction to design antimalarial pyridyl-indole derivatives: Synthesis, biological activities and molecular docking. Bioorg. Chem. 2020, 97, 103673. [Google Scholar] [CrossRef] [PubMed]
- Vasconcelos, S.N.; Meissner, K.A.; Ferraz, W.R.; Trossini, G.H.; Wrenger, C.; A Stefani, H. Indole-3-glyoxyl tyrosine: Synthesis and antimalarial activity against Plasmodium falciparum. Future Med. Chem. 2019, 11, 525–538. [Google Scholar] [CrossRef] [PubMed]
- Chauhan, M.; Saxena, A.; Saha, B. An insight in anti-malarial potential of indole scaffold: A review. Eur. J. Med. Chem. 2021, 218, 113400. [Google Scholar] [CrossRef]
- Che, Z.; Tian, Y.; Liu, S.; Hu, M.; Chen, G. Synthesis and in vitro anti-HIV-1 evaluation of some N-arylsulfonyl-3-formylindoles. Braz. J. Pharm. Sci. 2018, 54, 3–9. [Google Scholar] [CrossRef]
- Chen, L.; Liu, Y.; Song, H.; Liu, Y.; Wang, L.; Wang, Q. Expanding indole diversity: Direct 1-step synthesis of 1,2-fused indoles and spiroindolines from 2-halo anilines for fast SAR antiviral elucidation against tobacco mosaic virus (TMV). Mol. Divers. 2017, 21, 61–68. [Google Scholar] [CrossRef]
- Sevinçli, Z.; Duran, G.N.; Özbil, M.; Karalı, N. Synthesis, molecular modeling and antiviral activity of novel 5-fluoro-1H-indole-2,3-dione 3-thiosemicarbazones. Bioorganic Chem. 2020, 104, 104202. [Google Scholar] [CrossRef]
- Wei, C.; Zhao, L.; Sun, Z.; Hu, D.; Song, B. Discovery of novel indole derivatives containing dithioacetal as potential antiviral agents for plants. Pestic. Biochem. Physiol. 2020, 166, 104568. [Google Scholar] [CrossRef]
- Tiwari, S.; Kirar, S.; Banerjee, U.C.; Neerupudi, K.B.; Singh, S.; Wani, A.A.; Bharatam, P.V.; Singh, I.P. Synthesis of N-substituted indole derivatives as potential antimicrobial and antileishmanial agents. Bioorganic Chem. 2020, 99, 103787. [Google Scholar] [CrossRef]
- Ashok, P.; Chander, S.; Smith, T.K.; Prakash Singh, R.; Jha, P.N.; Sankaranarayanan, M. Biological evaluation and structure activity relationship of 9-methyl-1-phenyl-9H-pyrido[3,4-b] indole derivatives as anti-leishmanial agents. Bioorg. Chem. 2019, 84, 98–105. [Google Scholar] [CrossRef]
- Alka, A.S.; Maheshkumar, P.P.; Kang, M.J.; Irvine, N.; Kim, G.D. Biomedical application of Indole-3-carbinol: A mini-review. Phytochem. Lett. 2021, 41, 49–54. [Google Scholar]
- Ma, J.L.; Li, J.; Guo, P.H.; Liao, X.C.; Cheng, H.C. Synthesis and antitumor activity of novel indole derivatives containinα-aminophosphonate moieties. Arab. J. Chem. 2021, 14, 103256. [Google Scholar] [CrossRef]
- Pecnard, S.N.; Hamze, A.L.; Bignon, J.M.; Prost, B.T.; Deroussent, A.; Laura, G.Y.; Aez, R.P.; Ji, Y.P.; Marc, D.; Mouad, A.; et al. Anticancer properties of indole derivatives as Iso Combretastatin A-4 analogues. Eur. J. Med. Chem. 2021, 223, 113656. [Google Scholar] [CrossRef] [PubMed]
- Iacopetta, D.; Catalano, A.; Ceramella, J.; Barbarossa, A.; Carocci, A.; Fazio, A.; La Torre, C.; Caruso, A.; Ponassi, M.; Rosano, C.; et al. Synthesis, anticancer and antioxidant properties of new indole and pyranoindole derivatives. Bioorganic Chem. 2020, 105, 104440. [Google Scholar] [CrossRef] [PubMed]
- Umar Basha, K.N.; Gnanamani, S.; Shanmugam, P.; Venugopal, S.; Murthy, S.; Ramasamy, B. Synthesis, antioxidant, and antimicrobial activity of 3-(1 H -indole-3-carbonyl)- 2 H -chromen-2-ones. J. Heterocycl. Chem. 2021, 58, 2000–2008. [Google Scholar] [CrossRef]
- Song, Z.-L.; Zhu, Y.; Liu, J.-R.; Guo, S.-K.; Gu, Y.-C.; Han, X.; Dong, H.-Q.; Sun, Q.; Zhang, W.-H.; Zhang, M.-Z. Diversity-oriented synthesis and antifungal activities of novel pimprinine derivative bearing a 1,3,4-oxadiazole-5-thioether moiety. Mol. Divers. 2021, 25, 205–221. [Google Scholar] [CrossRef] [PubMed]
- Zhang, M.-Z.; Chen, Q.; Mulholland, N.; Beattie, D.; Irwin, D.; Gu, Y.-C.; Yang, G.-F.; Clough, J. Synthesis and fungicidal activity of novel pimprinine analogues. Eur. J. Med. Chem. 2012, 53, 283–291. [Google Scholar] [CrossRef]
- Gao, Y.; Huang, D.-C.; Liu, C.; Song, Z.-L.; Liu, J.-R.; Guo, S.-K.; Tan, J.-Y.; Qiu, R.-L.; Jin, B.; Zhang, H.; et al. Streptochlorin analogues as potential antifungal agents: Design, synthesis, antifungal activity and molecular docking study. Bioorg. Med. Chem. 2021, 35, 116073. [Google Scholar] [CrossRef]
- Muğlu, H.; Yakan, H.; Shouaib, H.A. New 1,3,4-thiadiazoles based on thiophene-2-carboxylic acid: Synthesis, characterization, and antimicrobial activities. J. Mol. Struct. 2020, 1203, 127470. [Google Scholar] [CrossRef]
- Yang, L.; Liu, Q.; Liu, H.; Chen, D.; Li, H.; Chen, Z.; Xu, W. Synthesis and antimicrobial bioassays of 1,3,4-thiadiazole sulfone derivatives containing amide moiety: A study based on molecular dynamics (MD) simulations, MM/GBSA, and molecular docking. J. Saudi Chem. Soc. 2022, 26, 101415. [Google Scholar] [CrossRef]
- Lv, M.; Liu, G.C.; Jia, M.H.; Xu, H. Synthesis of matrinic amide derivatives containing 1,3,4-thiadiazole scaffffold as insecticidal/acaricidal agents. Bioorg. Chem. 2018, 81, 88–92. [Google Scholar] [CrossRef] [PubMed]
- Wu, Q.; Cai, H.; Yuan, T.; Li, S.; Gan, X.; Song, B. Novel vanillin derivatives containing a 1,3,4-thiadiazole moiety as potential antibacterial agents. Bioorganic Med. Chem. Lett. 2020, 30, 127113. [Google Scholar] [CrossRef] [PubMed]
- He, L.E.; Wu, Y.Y.; Shi, D.Q. Design, synthesis, and herbicidal evaluation of novel uracil derivatives containing 1,3,4-thiadiazolyl moiety. J. Heterocyclic Chem. 2015, 52, 1308–1313. [Google Scholar] [CrossRef]
- Knerr, P.J.; Tzekou, A.; Ricklin, D.; Qu, H.C.; Chen, H.; Donk, W.A.; Lambris, J.D. Synthesis and activity of thioether-containing analogues of the complement inhibitor compstatin. ACS Chem. Biol. 2011, 15, 753–759. [Google Scholar] [CrossRef]
- Xu, W.M.; Li, S.Z.; He, M.; Yang, S.; Li, X.Y.; Li, P. Synthesis and bioactivities of novel thioether/sulfone derivatives containing 1, 2, 3-thiadiazole and 1,3, 4-oxadiazole/thiadiazole moiety. Bioorg. Med. Chem. Lett. 2013, 23, 5821–5829. [Google Scholar] [CrossRef]
- Elangovan, N.; Thomas, R.; Sowrirajan, S. Synthesis of Schiff base (E)-4-((2-hydroxy-3,5- diiodobenzylidene) amino)-N-thiazole-2-yl)benzenesulfon amide with antimicrobial potential, structural features, experimental biological screening and quantum mechanical studies. J. Mol. Struct. 2022, 1250, 131762. [Google Scholar] [CrossRef]
- Manivel, S.; Gangadharappa, B.S.; Elangovan, N.; Thomas, R.; Abu Ali Ola, A.; Saleh Dalia, I. Schiff base (Z)-4-((furan-2-ylmethylene) amino) benzene sulfonamide: Synthesis, solvent interactions through hydrogen bond, structural and spectral properties, quantum chemical modeling and biological studies. J. Mol. Liq. 2022, 350, 118531. [Google Scholar] [CrossRef]
- Gür, M.; Yerlikaya, S.; Şener, N.; ÖzkInalı, S.; Baloglu, M.; Gökçe, H.; Altunoglu, Y.C.; Demir, S.; Şener, İ. Antiproliferative-antimicrobial properties and structural analysis of newly synthesized Schiff bases derived from some 1,3,4-thiadiazole compounds. J. Mol. Struct. 2020, 1219, 128570. [Google Scholar] [CrossRef]
- Lou, J.Y.; Wang, H.S.; Wang, S.Y.; Han, J.J.; Wang, M.Y. Synthesis, antimicrobial activity and 3D-QSAR study of novel 5-substituted-1,3,4-thiadiazole Schiff base derivatives. J. Mol. Struct. 2022, 1267, 133629. [Google Scholar] [CrossRef]
- Singh, G.; Kalra, P.; Singh, A.; Sharma, G.; Pawan, S.; Cristóbal Espinosa-Ruíz, M.; Esteban, M.A. A quick microwave preparation of isatin hydrazone schiff base conjugated organosilicon compounds: Exploration of their antibacterial, antifungal, and antioxidative potentials. J. Organomet. Chem. 2021, 953, 122051. [Google Scholar] [CrossRef]
- Wang, C.X.; Song, H.L.; Liu, W.Q.; Xu, C.L. Design, synthesis and antifungal activity of novel thioureas containing 1,3,4-thiadiazole and thioether skeleton. Chem. Res. Chin. Univ. 2016, 32, 615–620. [Google Scholar] [CrossRef]
- Yang, G.Y.; Shi, L.J.; Pan, Z.L.; Wu, L.L.; Fan, L.X.; Wang, C.X.; Xu, C.L.; Liang, J. The synthesis of coumarin thiazoles containing a trifluoromethyl group and their antifungal activities. Arab. J. Chem. 2021, 14, 102880–102888. [Google Scholar] [CrossRef]
- Yang, G.Y.; Wang, C.X.; Fan, S.F.; Xie, P.H.; Jin, Q.; Xu, C.L. Microwave assisted solvent-free synthesis of 3-(trifluoroacetyl)coumarins. Chin. J. Org. Chem. 2015, 35, 1173–1178. [Google Scholar] [CrossRef]
- Shi, L.J.; Liu, Y.; Wang, C.X.; Yuan, X.X.; Liu, X.B.; Wu, L.L.; Pan, Z.L.; Yu, Q.C.; Xu, C.L.; Yang, G.Y. Synthesis of 1-(b-coumarinyl)-1-(b-indolyl) trifluoroethanols through regioselective Friedel-Crafts alkylation of indoles with b-(trifluoroacetyl) coumarins catalyzed by Sc (OTf) 3. RSC Adv. 2020, 10, 13929–13935. [Google Scholar] [CrossRef]
- Bao, J.P.; Xu, C.L.; Yang, G.Y.; Wang, C.X.; Zheng, X.; Yuan, X.X. Novel 6a,12b-dihydro-6H,7H-chromeno[3,4-c] chromen-6-ones: Synthesis, structure and antifungal activity. Molecules 2019, 24, 1745. [Google Scholar] [CrossRef]
- Yang, G.Y.; Jin, Q.; Xu, C.L.; Fan, S.F.; Wang, C.X.; Xie, P.H. Synthesis, characterization and antifungal activity of coumarin-functionalized chitosan derivatives. Int. J. Biol. Macromol. 2018, 106, 179–184. [Google Scholar] [CrossRef] [PubMed]
- Zhang, J.J.; Zhang, M.Y.; Lu, M.X.; He, Y.H.; Fan, L.X.; Zhang, X.L.; Wu, J.K.; Yang, Y.X. Synthesis of spiropyrans via the Rh (III)-catalyzed annulation of 3-aryl-2H-benzo[b][1,4] oxazines with diazoetoesters. Chem. Commun. 2022, 58, 5144–5147. [Google Scholar] [CrossRef] [PubMed]
- Yang, G.Y.; Yang, J.T.; Wang, C.X.; Fang, S.F.; Xie, P.H.; Xu, C.L. Microwave-assisted TsOH/SiO2-catalyzed one-pot synthesis of novel fluoro-substituted coumarin hydrazones under solvent-free conditions. J. Fluorine Chem. 2014, 168, 1–8. [Google Scholar] [CrossRef]
- Yuan, X.X.; Wu, L.L.; Xu, C.L.; Pan, Z.L.; Shi, L.J.; Yang, G.Y.; Wang, C.X.; Fan, S.F. A consecutive one-pot two-step approach to novel trifluoromethyl-substituted bis(indolyl)methane derivatives promoted by Sc (OTf)3 and p-TSA. Tetrahedron Lett. 2019, 60, 151329–151343. [Google Scholar] [CrossRef]
- Wang, Z.M.; Xu, C.L.; Zhao, M.Q.; Zhao, C.Y. One-pot synthesis of narrowly distributed silver nanoparticles using phenolichydroxyl modified chitosan and their antimicrobial activities. RSC Adv. 2014, 4, 47021–47030. [Google Scholar] [CrossRef]
- Huang, Z.X. Guidance of the Phytochemical Protection Experiments; China Agricultural Press: Beijing, China, 1993; pp. 56–59. [Google Scholar]









Publisher’s Note: MDPI stays neutral with regard to jurisdictional claims in published maps and institutional affiliations. |
© 2022 by the authors. Licensee MDPI, Basel, Switzerland. This article is an open access article distributed under the terms and conditions of the Creative Commons Attribution (CC BY) license (https://creativecommons.org/licenses/by/4.0/).
Share and Cite
Wang, C.; Fan, L.; Pan, Z.; Fan, S.; Shi, L.; Li, X.; Zhao, J.; Wu, L.; Yang, G.; Xu, C. Synthesis of Novel Indole Schiff Base Compounds and Their Antifungal Activities. Molecules 2022, 27, 6858. https://doi.org/10.3390/molecules27206858
Wang C, Fan L, Pan Z, Fan S, Shi L, Li X, Zhao J, Wu L, Yang G, Xu C. Synthesis of Novel Indole Schiff Base Compounds and Their Antifungal Activities. Molecules. 2022; 27(20):6858. https://doi.org/10.3390/molecules27206858
Chicago/Turabian StyleWang, Caixia, Liangxin Fan, Zhenliang Pan, Sufang Fan, Lijun Shi, Xu Li, Jinfang Zhao, Lulu Wu, Guoyu Yang, and Cuilian Xu. 2022. "Synthesis of Novel Indole Schiff Base Compounds and Their Antifungal Activities" Molecules 27, no. 20: 6858. https://doi.org/10.3390/molecules27206858
APA StyleWang, C., Fan, L., Pan, Z., Fan, S., Shi, L., Li, X., Zhao, J., Wu, L., Yang, G., & Xu, C. (2022). Synthesis of Novel Indole Schiff Base Compounds and Their Antifungal Activities. Molecules, 27(20), 6858. https://doi.org/10.3390/molecules27206858

