Comprehensive Review on Synthesis, Properties, and Applications of Phosphorus (PIII, PIV, PV) Substituted Acenes with More Than Two Fused Benzene Rings
Abstract
1. Introduction
2. Synthesis and Reactions of Phosphines (AnthPR2) (Anth = Anthryl) and Derivatives
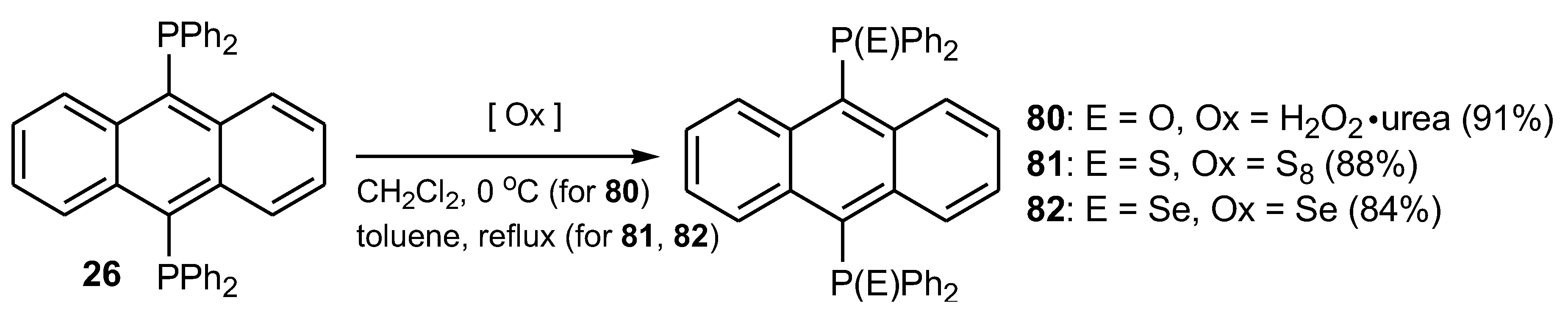
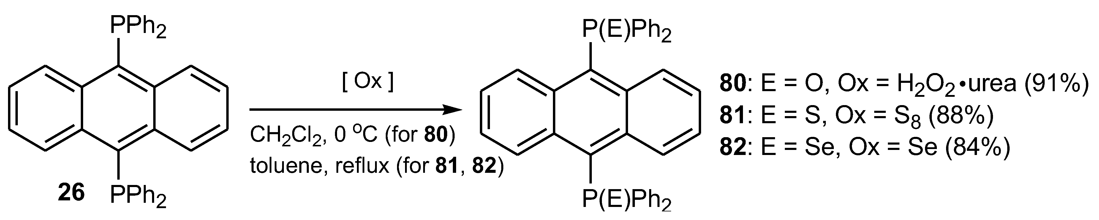
2.1. Phosphine Oxides (AnthP(=O)R2), Phosphine Sulfides (AnthP(=S)R2), Phosphine Selenides (AnthP(=Se)R2)
2.2. Phosphine Boranes (AnthPR2•BH3)
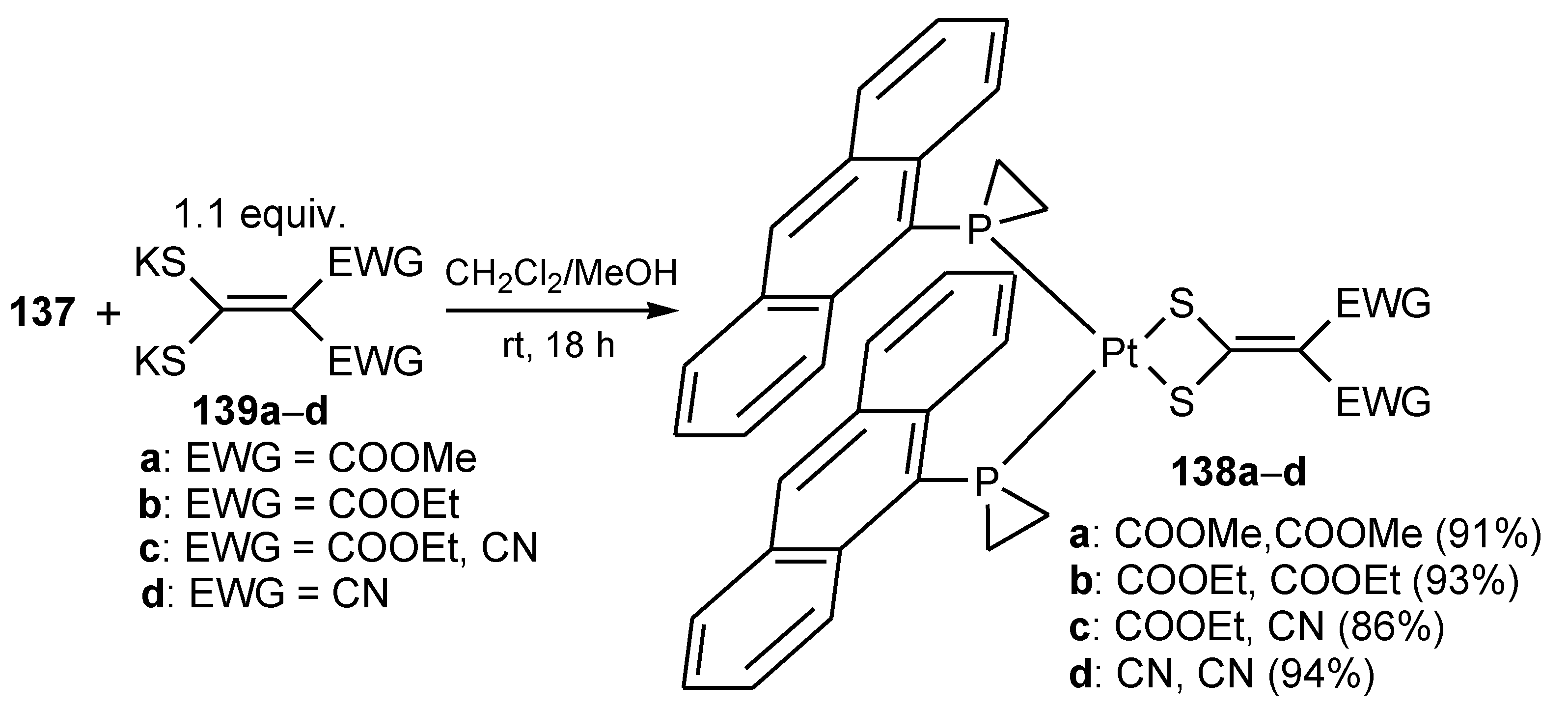
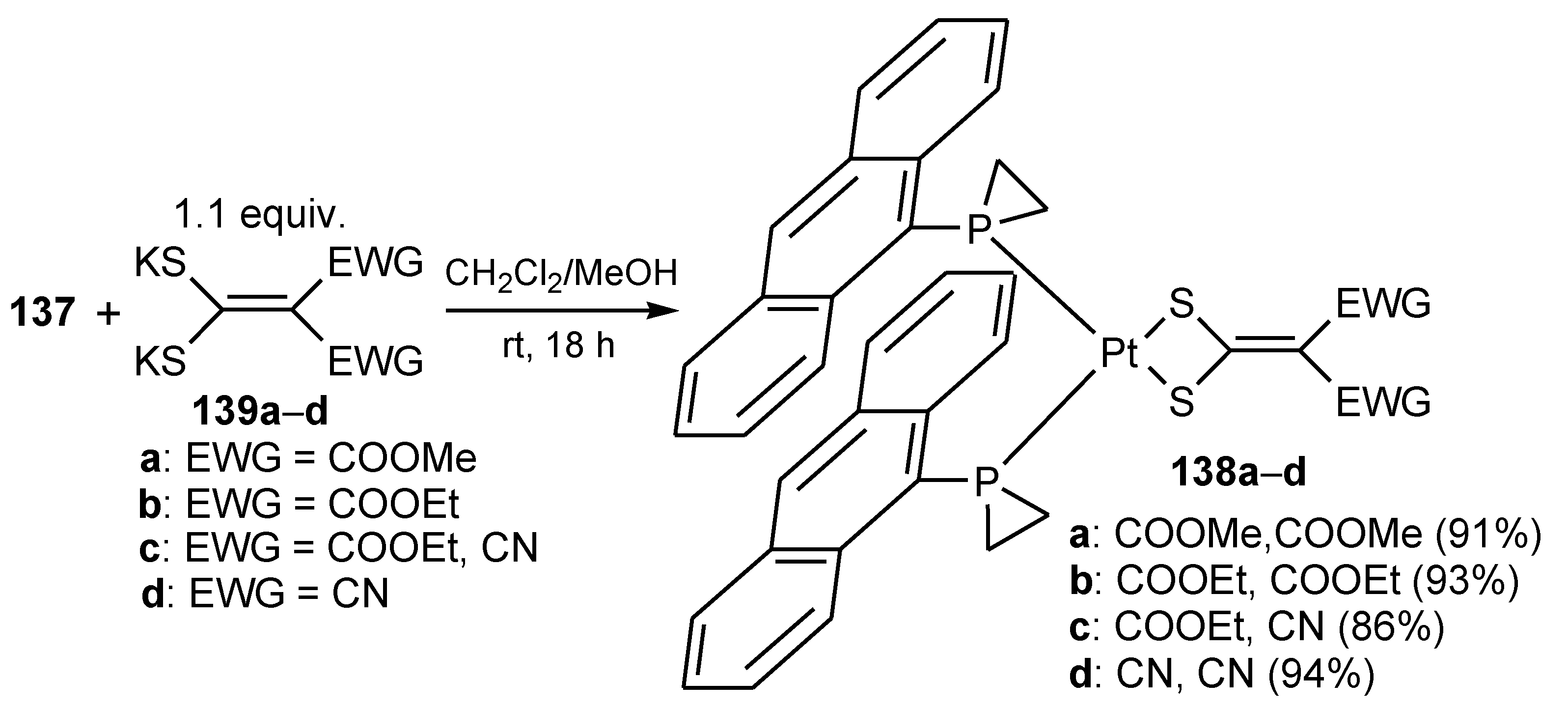
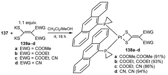
2.3. Phosphine–Metal Complexes (AnthPR2-Metal)
2.4. Phosphoranes (AnthPR2X2) (X = F)
2.5. Phospinimines (AnthR2P = N-R1) and Phosphiniminium Derivatives (AnthR2P = NH2+)
2.6. Phosphonium Salts (AnthPR3+)
3. Synthesis and Reactions of PIII Acids, Their PIV Tautomers, and Derivatives
3.1. Phosphonous Acid Dihalides and Phosphinous Acid Halides (Halophosphines) (AnthPX2) and (Anth2PX) (X = F, Cl, Br)
3.2. Phosphonous Acid Diamides (AnthP(NR2)2)
3.3. Phosphorous Acid Esters (Phosphites) (AnthOP(OR)2)
3.4. Phosphonous Acid PIV Tautomers (H-phosphinic Acids) (AnthP(O)H(OH))
3.5. Phosphinous Acid PIV Tautomers (H-phosphine Oxides) (Anth2P(O)H)
4. Synthesis and Reactions of Phosphonic Acids (AnthP(O)(OH)2) and Phosphonates (AnthP(O)(OR)2) (Anth = Anthryl)
5. Synthesis and Reactions of Phosphoric Acids and Phosphates (AnthOP(=O)(OR)2) (R = H, alkyl, aryl)
6. Synthesis and Reactions of Diphosphenes (Anth(P=PR)) and Derivatives
7. Conclusions
Funding
Acknowledgments
Conflicts of Interest
References
- Zhao, Y.; Duan, L.; Zhang, X.; Zhang, D.; Qiao, J.; Dong, G.; Wang, L.; Qiu, Y. White Light Emission from an Exciplex Based on a Phosphine Oxide Type Electron Transport Compound in a Bilayer Device Structure. RSC Adv. 2013, 3, 21453–21460. [Google Scholar] [CrossRef]
- Wu, C.L.; Chang, C.H.; Chang, Y.T.; Chen, C.T.; Chen, C.T.; Su, C.J. High Efficiency Non-Dopant Blue Organic Light-Emitting Diodes Based on Anthracene-Based Fluorophores with Molecular Design of Charge Transport and Red-Shifted Emission Proof. J. Mater. Chem. C 2014, 2, 7188–7200. [Google Scholar] [CrossRef]
- Kloß, S.; Selent, D.; Spannenberg, A.; Franke, R.; Börner, A.; Sharif, M. Effects of Substitution Pattern in Phosphite Ligands Used in Rhodium-Catalyzed Hydroformylation on Reactivity and Hydrolysis Stability. Catalysts 2019, 9, 1036. [Google Scholar] [CrossRef]
- Takizawa, S.; Kodera, J.; Yoshida, Y.; Sako, M.; Breukers, S.; Enders, D.; Sasai, H. Enantioselective Oxidative-Coupling of Polycyclic Phenols. Tetrahedron 2014, 70, 1786–1793. [Google Scholar] [CrossRef]
- Cattani-Scholz, A.; Liao, K.-C.; Bora, A.; Pathak, A.; Hundschell, C.; Nickel, B.; Schwartz, J.; Abstreiter, G.; Tornow, M. Molecular Architecture: Construction of Self-Assembled Organophosphonate Duplexes and Their Electrochemical Characterization. Langmuir 2012, 28, 7889–7896. [Google Scholar] [CrossRef]
- Zhou, Y.; Ayad, S.; Ruchlin, C.; Posey, V.; Hill, S.P.; Wu, Q.; Hanson, K. Examining the role of acceptor molecule structure in self-assembled bilayers: Surface loading, stability, energy transfer, and upconverted emission. Phys. Chem. Chem. Phys. 2018, 20, 20513–20524. [Google Scholar] [CrossRef]
- Pramanik, M.; Chatterjee, N.; Das, S.; Saha, K.D.; Bhaumik, A. Anthracene-bisphosphonate based novel fluorescent organic nanoparticles explored as apoptosis inducers of cancer cells. Chem. Commun. 2013, 49, 9461–9463. [Google Scholar] [CrossRef]
- Frank, A.W. The Phosphonous Acids and Their Derivatives. Chem. Rev. 1961, 61, 389–424. [Google Scholar] [CrossRef]
- Keller, J.; Schlierf, C.; Nolte, C.; Mayer, P.; Straub, B.F. One-pot syntheses of sterically shielded phosphorus ligands by selective stepwise nucleophilic substitution at triphenyl phosphite. Synthesis 2006, 2, 354–365. [Google Scholar] [CrossRef]
- Wesemann, J.; Jones, P.G.; Schomburg, D.; Heuer, L.; Schmutzler, R. Phosphorus derivatives of anthracene and their dimers. Chem. Ber. 1992, 125, 2187–2197. [Google Scholar] [CrossRef]
- Wang, Y.; Lai, C.W.; Kwong, F.Y.; Jia, W.; Chan, K.S. Synthesis of aryl phosphines via phosphination with triphenylphosphine by supported palladium catalysts. Tetrahedron 2004, 60, 9433–9439. [Google Scholar] [CrossRef]
- Misochko, E.Y.; Akimov, A.V.; Korchagin, D.V.; Ganushevich, Y.S.; Melnikov, E.A.; Miluykov, V.A. Generation and direct EPR spectroscopic observation of triplet arylphosphinidenes: Stabilisation versus internal rearrangements. Phys. Chem. Chem. Phys. 2020, 22, 27626–27631. [Google Scholar] [CrossRef]
- Li, X.; Robinson, K.D.; Gaspar, P.P. A New Stereoselective Synthesis of Phosphiranes. J. Org. Chem. 1996, 61, 7702–7710. [Google Scholar] [CrossRef]
- Luo, X.; Yuan, J.; Yue, C.-D.; Zhang, Z.-Y.; Chen, J.; Yu, G.-A.; Che, C.-M. Synthesis of peri-Substituted (Naphthalen-1-yl)phosphine Ligands by Rhodium(I)-Catalyzed Phosphine-Directed C–H Arylation. Org. Lett. 2018, 20, 1810–1814. [Google Scholar] [CrossRef]
- Maienza, F.; Spindler, F.; Thommen, M.; Pugin, B.; Malan, C.; Mezzetti, A. Exploring Stereogenic Phosphorus: Synthetic Strategies for Diphosphines Containing Bulky, Highly Symmetric Substituents. J. Org. Chem. 2002, 67, 5239–5249. [Google Scholar] [CrossRef]
- Haenel, M.W.; Oevers, S.; Bruckmann, J.; Kuhnigk, J.; Krüger, C. Facile Syntheses of 1,8-bis(diphenylphosphino)anthracene and 1,8-bis(dimethylamino)anthracene by nucleophilic substitution of 1,8-difluoroanthracene. Synlett. 1998, 3, 301–303. [Google Scholar] [CrossRef]
- Musa, S.; Shaposhnikov, I.; Cohen, S.; Gelman, D. Ligand–Metal Cooperation in PCP Pincer Complexes: Rational Design and Catalytic Activity in Acceptorless Dehydrogenation of Alcohols. Angew. Chem. Int. Ed. 2011, 50, 3533–3537. [Google Scholar] [CrossRef]
- Radchenko, Y.; Mujahed, S.; Musa, S.; Gelman, D. Synthesis and characterization of chiral enantiopure PC(sp3)P pincer ligands and their complexes. Inorg. Chim. Acta 2021, 521, 120350. [Google Scholar] [CrossRef]
- Jiang, Z.; Xu, M.; Li, F.; Yu, Y. Red-Light-Controllable Liquid-Crystal Soft Actuators via Low-Power Excited Upconversion Based on Triplet–Triplet Annihilation. J. Am. Chem. Soc. 2013, 135, 16446–16453. [Google Scholar] [CrossRef]
- Kilian, P.; Slawin, A.M.Z. 1,8,9-Substituted anthracenes, intramolecular phosphine donor stabilized metaphosphonate and phosphenium. Dalton Trans. 2007, 3289–3296. [Google Scholar] [CrossRef]
- Yang, B.; Wang, Z.X. Ni-Catalyzed C-P Coupling of Aryl, Benzyl, or Allyl Ammonium Salts with P(O)H Compounds. J. Org. Chem. 2019, 84, 1500–1509. [Google Scholar] [CrossRef]
- Zhang, J.S.; Chen, T.; Han, L.B. Palladium-Catalyzed Direct Decarbonylative Phosphorylation of Benzoic Acids with P(O)–H Compounds. Eur. J. Org. Chem. 2020, 2020, 1148–1153. [Google Scholar] [CrossRef]
- Tao, R.; Zhao, J.; Zhong, F.; Zhang, C.; Yang, W.; Xu, K. H2O2-Activated Triplet-Triplet Annihilation Upconversion via Modulation of the Fluorescence Quantum Yields of the Triplet Acceptor and the Triplet-Triplet-Energy-Transfer Efficiency. Chem. Commun. 2015, 51, 12403–12406. [Google Scholar] [CrossRef]
- Xu, M.; Han, C.; Yang, Y.; Shen, Z.; Feng, W.; Li, F. Time-Oxygen & Light Indicating: Via Photooxidation Mediated up-Conversion. J. Mater. Chem. C 2016, 4, 9986–9992. [Google Scholar] [CrossRef]
- Xu, H.B.; Wang, J.; Chen, X.L.; Xu, P.; Xiong, K.T.; Guan, D.B.; Deng, J.G.; Deng, Z.H.; Kurmoo, M.; Zeng, M.H. Regulating Structural Dimensionality and Emission Colors by Organic Conjugation between SmIII at a Fixed Distance. Dalton Trans. 2018, 47, 6908–6916. [Google Scholar] [CrossRef]
- Yamaguchi, S.; Akiyama, S.; Tamao, K. The Coordination Number-Photophysical Properties Relationship of Trianthrylphosphorus Compounds: Doubly Locked Fluorescence of Anthryl Groups. J. Organomet. Chem. 2002, 646, 277–281. [Google Scholar] [CrossRef]
- Okada, Y.; Okeya, K.; Murata, Y.; Aoki, N.; Aoki, T.; Sugitani, M.; Yasui, S.; Sawada, Y.; Ogura, F. Synthesis of Phosphine Oxide-Carboxylic Acid Esters Bearing 9,10-Dihydro-9,10-ethanoanthracene Moiety. Phosphorus Sulfur Silicon Relat. Elem. 2003, 178, 821–829. [Google Scholar] [CrossRef]
- Katagiri, K.; Yamamoto, Y.; Takahata, Y.; Kishibe, R.; Fujimoto, N. Photoreaction of anthracenyl phosphine oxides: Usual reversible photo- and heat-induced emission switching, and unusual oxidative PC bond cleavage. Tetrahedron Lett. 2019, 60, 2026–2029. [Google Scholar] [CrossRef]
- Schwab, G.; Stern, D.; Stalke, D. Structural and Variable-Temperature NMR Studies of 9-Diisopropylphosphanylanthracenes and 9,10-Bis(diisopropylphosphanyl)anthracenes and Their Oxidation Products. J. Org. Chem. 2008, 73, 5242–5247. [Google Scholar] [CrossRef]
- Chen, L.; Wang, S.; Werz, P.; Han, Z.; Gates, D.P. A “masked” source for the phosphaalkene MesP=CH2: Trapping, rearrangement, and oligomerization. Heteroat. Chem. 2018, 29, e21474. [Google Scholar] [CrossRef]
- Chen, X.; Liu, X.; Zhu, H.; Wang, Z. Palladium-catalyzed C–P bond activation of aroyl phosphine oxides without the adjacent “anchoring atom”. Tetrahedron 2021, 81, 131912. [Google Scholar] [CrossRef]
- Chrzanowski, J.; Krasowska, D.; Urbaniak, M.; Sieroń, L.; Pokora-Sobczak, P.; Demchuk, O.M.; Drabowicz, J. Synthesis of Enantioenriched Aryl-tert-Butylphenylphosphine Oxides via Cross-Coupling Reactions of tert-Butylphenylphosphine Oxide with Aryl Halides. Eur. J. Org. Chem. 2018, 2018, 4614–4627. [Google Scholar] [CrossRef]
- Schillmöller, T.; Ruth, P.N.; Herbst-Irmer, R.; Stalke, D. Three colour solid-state luminescence from positional isomers of facilely modified thiophosphoranyl anthracenes. Chem. Commun. 2020, 56, 7479–7482. [Google Scholar] [CrossRef] [PubMed]
- Schillmöller, T.; Ruth, P.N.; Herbst-Irmer, R.; Stalke, D. Analysis of Solid-State Luminescence Emission Amplification at Substituted Anthracenes by Host–Guest Complex Formation. Chem. Eur. J. 2020, 26, 17390–17398. [Google Scholar] [CrossRef]
- Köhler, C.; Lübben, J.; Krause, L.; Hoffmann, C.; Herbst-Irmer, R.; Stalke, D. Comparison of different strategies for modelling hydrogen atoms in charge density analyses. Acta Cryst. B 2019, 75, 434–441. [Google Scholar] [CrossRef]
- Niepötter, B.; Herbst-Irmer, R.; Stalke, D. Empirical correction for resolution- and temperature-dependent errors caused by factors such as thermal diffuse scattering. J. Appl. Cryst. 2015, 48, 1485–1497. [Google Scholar] [CrossRef]
- Breshears, A.T.; Behrle, A.C.; Barnes, C.L.; Laber, C.H.; Baker, G.A.; Walensky, J.R. Synthesis, spectroscopy, electrochemistry, and coordination chemistry of substituted phosphine sulfides and selenides. Polyhedron 2015, 100, 333–343. [Google Scholar] [CrossRef]
- Schwab, G.; Stern, D.; Leusser, D.; Stalke, D. Syntheses and Structures of 9-Bromo-10-diphenylphosphanylanthracene and its Oxidation Products. Z. Naturforsch. B 2007, 62, 711–716. [Google Scholar] [CrossRef]
- Fei, Z.; Kocher, N.; Mohrschladt, C.J.; Ihmels, H.; Stalke, D. Single Crystals of the Disubstituted Anthracene 9,10-(Ph2P=S)2C14H8 Selectively and Reversibly Detect Toluene by Solid-State Fluorescence Emission. Angew. Chem. Int. Ed. 2003, 42, 783–787. [Google Scholar] [CrossRef]
- Yip, J.H.K.; Prabhavathy, J. A Luminescent Gold Ring That Flips Like Cyclohexane. Angew. Chem. Int. Ed. 2001, 40, 2159–2162. [Google Scholar] [CrossRef]
- Stephan, M.; Šterk, D.; Modec, B.; Mohar, B. Study of the Reaction of Bulky Aryllithium Reagents with 3,4-Dimethyl-2,5-diphenyl-1,3,2-oxazaphospholidine-2-borane Derived from Ephedrine. J. Org. Chem. 2007, 72, 8010–8018. [Google Scholar] [CrossRef]
- Watanabe, K.; Yamashita, M.; Yamamoto, Y.; Akiba, K.-y. Synthesis and Application of New Tridentate Anthracene Ligands Bearing Donative Phosphorus(III) Atoms at 1,8-Positions. Phosphorus Sulfur Silicon Relat. Elem. 2002, 177, 2047–2048. [Google Scholar] [CrossRef]
- Müller, T.E.; Green, J.C.; Mingos, D.M.P.; McPartlin, C.M.; Whittingham, C.; Williams, D.J.; Woodroffe, T.M. Complexes of gold(I) and platinum(II) with polyaromatic phosphine ligands. J. Organomet. Chem. 1998, 551, 313–330. [Google Scholar] [CrossRef]
- Lin, R.; Yip, J.H.K.; Zhang, K.; Koh, L.L.; Wong, K.-Y.; Ho, K.P. Self-Assembly and Molecular Recognition of a Luminescent Gold Rectangle. J. Am. Chem. Soc. 2004, 126, 15852–15869. [Google Scholar] [CrossRef]
- Lin, R.; Yip, J.H.K. Self-Assembly, Structures, and Solution Dynamics of Emissive Silver Metallacycles and Helices. Inorg. Chem. 2006, 45, 4423–4430. [Google Scholar] [CrossRef]
- Zhang, K.; Prabhavathy, J.; Yip, J.H.K.; Koh, L.L.; Tan, G.K.; Vittal, J.J. First Examples of AuI−X−AgI Halonium Cations (X = Cl and Br). J. Am. Chem. Soc. 2003, 125, 8452–8453. [Google Scholar] [CrossRef]
- Ma, Z.; Xing, Y.; Yang, M.; Hu, M.; Liu, B.; Guedes da Silva, M.F.C.; Pombeiro, A.J.L. The double-helicate terpyridine silver(I) compound [Ag2L2](SO3CF3)2 (L=4′-phenyl-terpyridine) as a building block for di- and mononuclear complexes. Inorg. Chim. Acta 2009, 362, 2921–2926. [Google Scholar] [CrossRef]
- Meyer, T.G.; Jones, P.G.; Schmutzler, R. Darstellung neuer Monofluorphosphine und einiger ihrer Übergangsmetallkomplexe; Einkristall-Röntgenstrukturanalyse eines Platin(II)-Komplexes/Preparation of New Monofluorophosphines and Some of their Transition Metal Complexes; Single Crystal X-ray Diffraction Study of a Platinum(II) Complex. Z. Naturforsch. B 1993, 48, 875–885. [Google Scholar] [CrossRef]
- Romero, P.E.; Whited, M.T.; Grubbs, R.H. Multiple C−H Activations of Methyl tert-Butyl Ether at Pincer Iridium Complexes: Synthesis and Thermolysis of Ir(I) Fischer Carbenes1. Organometallics 2008, 27, 3422–3429. [Google Scholar] [CrossRef]
- Haenel, M.W.; Oevers, S.; Angermund, K.; Kaska, W.C.; Fan, H.; Hall, M.B. Thermally Stable Homogeneous Catalysts for Alkane Dehydrogenation. Angew. Chem. Int. Ed. 2001, 40, 3596–3600. [Google Scholar] [CrossRef]
- Osawa, M.; Hoshino, M.; Wada, T.; Hayashi, F.; Osanai, S. Intra-Complex Energy Transfer of Europium(III) Complexes Containing Anthracene and Phenanthrene Moieties. J. Phys. Chem. A 2009, 113, 10895–10902. [Google Scholar] [CrossRef] [PubMed]
- Kitagawa, Y.; Naito, A.; Fushimi, K.; Hasegawa, Y. Bright sky-blue fluorescence with high colour purity: Assembly of luminescent diphenyl-anthracene lutetium-based coordination polymer. RSC Adv. 2021, 11, 6604–6606. [Google Scholar] [CrossRef]
- Chen, J.; Zhang, L.; Shi, L.; Ye, H.; Chen, Z. Preparation, characterization and redox chemistry of oxo-centered triruthenium dimers linked by bis(diphenylphosphino)anthracene and –ferrocene. Inorg. Chim. Acta. 2005, 358, 859–864. [Google Scholar] [CrossRef]
- Deeming, A.J.; Martin, C.M. Coordination of an anthracene-derived ligand through eight carbon atoms in the pentaruthenium bow-tie clusture, [Ru5(CO)13(µ5-η1:η2:η3: η3-C14H8- η1- PPh)]. Chem. Commun. 1996, 53–54. [Google Scholar] [CrossRef]
- Piche, L.; Daigle, J.-C.; Poli, R.; Claverie, J.P. Investigation of Steric and Electronic Factors of (Arylsulfonyl)phosphane-Palladium Catalysts in Ethene Polymerization. Eur. J. Inorg. Chem. 2010, 2010, 4595–4601. [Google Scholar] [CrossRef]
- Shimizu, M.; Yamamoto, T. 9-(Diphenylphosphino)anthracene-based phosphapalladacycle catalyzed conjugate addition of arylboronic acids to electron-deficient alkenes. Tetrahedron Lett. 2020, 61, 152257. [Google Scholar] [CrossRef]
- Burrows, A.D.; Choi, N.; McPartlin, M.; Mingos, D.M.P.; Tarlton, S.V.; Vilar, R. Syntheses and structural characterisation of the compounds [Pd(dba)L2] (where L=PBz3 and PPh2Np) and the novel dimer [Pd2(m-dba)(m-SO2)(PBz3)2]. J. Organomet. Chem. 1999, 573, 313–322. [Google Scholar] [CrossRef]
- Azerraf, C.; Shpruhman, A.; Gelman, D. Diels–Alder cycloaddition as a new approach toward stable PC(sp3)P-metalated compounds. Chem. Commun. 2009, 466–468. [Google Scholar] [CrossRef]
- Haenel, M.W.; Jakubik, D.; Krüger, C.; Betz, P. 1,8-Bis(diphenyphosphino)anthracene and Metal Complexes. Chem. Ber. 1991, 124, 333–336. [Google Scholar] [CrossRef]
- Heuer, L.; Schomburg, D.; Schmutzler, R. Dimeres 9-(Difluorphosphino)anthracen: Synthese, Eigenschaften und Struktur. Chem. Ber. 1989, 122, 1473–1476. [Google Scholar] [CrossRef]
- Hu, J.; Yip, J.H.K. Regioselective Double Cycloplatination of 9,10-Bis(diphenylphosphino)anthracene. Organometallics 2009, 28, 1093–1100. [Google Scholar] [CrossRef]
- Hu, J.; Lin, R.; Yip, J.H.K.; Wong, K.; Ma, D.; Vittal, J.J. Synthesis and electronic spectroscopy of luminescent cyclometalated platinum-anthracenyl complexes. Organometallics 2007, 26, 6533–6543. [Google Scholar] [CrossRef]
- Yang, F.; Fanwick, P.E.; Kubiak, C.P. Synthesis of 1-(9-Anthracene)phosphirane and Novel Intramolecular π-Stacking of 1-(9-Anthracene)phosphirane Ligands in a cis-Platinum(II) Complex. Organometallics 1999, 18, 4222–4225. [Google Scholar] [CrossRef]
- Yang, F.; Fanwick, P.E.; Kubiak, C.P. Inter- and Intramolecular π-Stacking Interactions in cis-Bis{1-(9-anthracene)}phosphirane Complexes of Platinum(II). Inorg. Chem. 2002, 41, 4805–4809. [Google Scholar] [CrossRef]
- Hu, J.; Xu, H.; Nguyen, M.; Yip, J.H.K. Photooxidation of a platinum-anthracene pincer complex: Formation and structures of Pt(II)-anthrone and -ketal complexes. Inorg. Chem. 2009, 48, 9684–9692. [Google Scholar] [CrossRef]
- Arrigo, L.M.; Galenas, M.; Bassil, D.B.; Tucker, S.A.; Kannan, R.; Katti, K.V.; Barnes, C.L.; Jurisson, S.S. Fluorescent phosphinimine as possible precursor to an anionic and fluorescent sensor for Tc-99. Radiochim. Acta 2008, 96, 835–844. [Google Scholar] [CrossRef]
- Belyaev, A.; Cheng, Y.-H.; Liu, Z.-Y.; Karttunen, A.J.; Chou, P.-T.; Koshevoy, I.O. A Facile Molecular Machine: Optically Triggered Counterion Migration by Charge Transfer of Linear Donor-π-Acceptor Phosphonium Fluorophores. Angew. Chem. Int. Ed. 2019, 58, 13456–13465. [Google Scholar] [CrossRef]
- Huang, W.; Zhong, C.-H. Metal-Free Synthesis of Aryltriphenylphosphonium Bromides by the Reaction of Triphenylphosphine with Aryl Bromides in Refluxing Phenol. ACS Omega 2019, 4, 6690–6696. [Google Scholar] [CrossRef]
- Nikitin, K.; Jennings, E.V.; Al Sulaimi, S.; Ortin, Y.; Gilheany, D.G. Dynamic Cross-Exchange in Halophosphonium Species: Direct Observation of Stereochemical Inversion in the Course of an SN2 Process. Angew. Chem. Int. Ed. 2018, 57, 1480–1484. [Google Scholar] [CrossRef]
- Bałczewski, P.; Dudziński, B.; Koprowski, M.; Knopik, Ł.; Owsianik, K. Fused aromatic hydrocarbons substituted with organophosphorus groups, method of their production, intermediate compounds, and applications. Patent Appl. PL-438275, 26 June 2021. [Google Scholar]
- Bałczewski, P.; Koprowski, M.; Knopik, Ł.; Dudziński, B.; Owsianik, K.; Różycka-Sokołowska, E. IL-15, P-111, P-112, P-116. In Proceedings of the International Conference on Phosphorus Chemistry (23rd ICPC), Częstochowa, Poland, 5–9 July 2021. [Google Scholar]
- Kirst, C.; Tietze, J.; Ebeling, M.; Horndasch, L.; Karaghiosoff, K. The Formation of P–C Bonds Utilizing Organozinc Reagents for the Synthesis of Aryl- and Heteroaryl-Dichlorophosphines. J. Org. Chem. 2021, 86, 17337–17343. [Google Scholar] [CrossRef]
- Vogt, R.; Jones, P.G.; Schmutzler, R. Darstellung, Struktur und Eigenschaften von harnstoffverbrückten cyclischen Phosphoniumsalzen mit Phosphor-Phosphor-, Phosphor-Arsen-, Phosphor-Antimon-und Phosphor-Zinn-Bindung. Chem. Ber. 1993, 126, 1271–1281. [Google Scholar] [CrossRef]
- Tsurusaki, A.; Nagahora, N.; Sasamori, T.; Matsuda, K.; Kanemitsu, Y.; Watanabe, Y.; Hosoi, Y.; Furukawa, Y.; Tokitoh, N. Synthesis, structures, and reactivity of kinetically stabilized anthryldiphosphene derivatives. Bull. Chem. Soc. Jpn. 2010, 83, 456–478. [Google Scholar] [CrossRef]
- Yakhvarov, D.; Trofimova, E.; Sinyashin, O.; Kataeva, O.; Budnikova, Y.; Lönnecke, P.; Hey-Hawkins, E.; Petr, A.; Krupskaya, Y.; Kataev, V.; et al. New Dinuclear Nickel(II) Complexes: Synthesis, Structure, Electrochemical, and Magnetic Properties. Inorg. Chem. 2011, 50, 4553–4558. [Google Scholar] [CrossRef]
- Yakhvarov, D.G.; Trofimova, E.A.; Dobrynin, A.B.; Gerasimova, T.P.; Katsyuba, S.A.; Sinyashin, O.G. First neutral dinuclear cobalt complex formed by bridging [μ-O2P(H)R]–ligands: Synthesis, X-ray crystal structure and quantum-chemical study. Mendeleev Commun. 2015, 25, 27–28. [Google Scholar] [CrossRef]
- Kalek, M.; Stawinski, J. Efficient synthesis of mono- and diarylphosphinic acids: A microwave-assisted palladium-catalyzed cross-coupling of aryl halides with phosphinate. Tetrahedron 2009, 65, 10406–10412. [Google Scholar] [CrossRef]
- Kuimov, V.A.; Matveeva, E.A.; Telezhkin, A.A.; Malysheva, S.F.; Gusarova, N.K.; Trofimov, B.A. Reaction of 9-bromoanthracene with red phosphorus in the system KOH–DMSO. Russ. J. Org. Chem. 2016, 52, 1059–1061. [Google Scholar] [CrossRef]
- Ishii, A.; Kikushima, C.; Hayashi, Y.; Ohtsuka, N.; Nakata, N.; Muranaka, A.; Tanaka, Y.; Uchiyama, M. 1-Phosphino-1,3-butadiene derivatives Incorporated with dibenzobarrelene skeleton: Synthesis and photophysical properties. Bull. Chem. Soc. Jpn. 2020, 93, 1430–1442. [Google Scholar] [CrossRef]
- French, D.; Simmons, J.G.; Everitt, H.; Foulger, S.H.; Gray, G.M. Synthesis and Characterization of Amphiphilic Arenephosphonates as Water-Soluble Micellular Radioluminescent Probes. ChemRxiv 2020. [Google Scholar] [CrossRef]
- Nagode, S.B.; Kant, R.; Rastogi, N. Hantzsch Ester-Mediated Benzannulation of Diazo Compounds under Visible Light Irradiation. Org. Lett. 2019, 21, 6249–6254. [Google Scholar] [CrossRef]
- Shu, Z.; Zhou, J.; Li, J.; Cheng, Y.; Liu, H.; Wang, D.; Zhou, Y. Rh(III)-Catalyzed Dual C–H Functionalization/Cyclization Cascade by a Removable Directing Group: A Method for Synthesis of Polycyclic Fused Pyrano[de]Isochromenes. J. Org. Chem. 2020, 85, 12097–12107. [Google Scholar] [CrossRef]
- Nakamura, M.; Sawasaki, K.; Okamoto, Y.; Takamuku, S. Photolyses of Derivatives of Naphthyl and Anthryl Phosphates and Methylphosphonates. Bull. Chem. Soc. Jpn. 1995, 68, 3189–3197. [Google Scholar] [CrossRef]
- Bessmertnykh, A.; Douaihy, C.M.; Guilard, R. Direct Synthesis of Amino-substituted Aromatic Phosphonates via Palladium-catalyzed Coupling of Aromatic Mono- and Dibromides with Diethyl Phosphite. Chem. Lett. 2009, 38, 738–739. [Google Scholar] [CrossRef]
- Amicangelo, J.C.; Leenstra, W.R. Zirconium Arene-Phosphonates: Chemical and Structural Characterization of 2-Naphthyl- and 2-Anthracenylphosphonate Systems. Inorg. Chem. 2005, 44, 2067–2073. [Google Scholar] [CrossRef]
- Amicangelo, J.C.; Leenstra, W.R. Excimer Formation in the Interlayer Region of Arene-Derivatized Zirconium Phosphonates. J. Am. Chem. Soc. 2003, 125, 14698–14699. [Google Scholar] [CrossRef]
- Hill, S.P.; Banerjee, T.; Dilbeck, T.; Hanson, K. Photon Upconversion and Photocurrent Generation via Self-Assembly at Organic–Inorganic Interfaces. J. Phys. Chem. Lett. 2015, 6, 4510–4517. [Google Scholar] [CrossRef]
- Zhou, Y.; Hill, S.P.; Hanson, K. Influence of meta- and para-phosphonated diphenylanthracene on photon upconversion in self-assembled bilayers. J. Photon. Energy 2007, 8, 022004. [Google Scholar] [CrossRef]
- Yazji, S.; Westermeier, C.; Weinbrenner, D.; Sachsenhauser, M.; Liao, K.C.; Noever, S.; Postorino, P.; Schwartz, J.; Abstreiter, G.; Nickel, B.; et al. Surface-Directed Molecular Assembly of Pentacene on Aromatic Organophosphonate Self-Assembled Monolayers Explored by Polarized Raman Spectroscopy. J. Raman Spectrosc. 2017, 48, 235–242. [Google Scholar] [CrossRef]
- Cattani-Scholz, A.; Liao, K.-C.; Bora, A.; Pathak, A.; Krautloher, M.; Nickel, B.; Schwartz, J.; Tornow, M.; Abstreiter, G. A New Molecular Architecture for Molecular Electronics. Angew. Chem. Int. Ed. 2011, 50, A11–A16. [Google Scholar] [CrossRef]
- Kabachnik, M.; Solntseva, M.; Izmer, V.; Novikova, Z.; Beletskaya, I. Palladium-catalyzed phase-transfer arylation of dialkyl phosphonates. Russ. J. Org. Chem. 1998, 34, 93–97. [Google Scholar]
- McDermott, J.E.; McDowell, M.; Hill, I.G.; Hwang, J.; Kahn, A.; Bernasek, S.L.; Schwartz, J. Organophosphonate Self-Assembled Monolayers for Gate Dielectric Surface Modification of Pentacene-Based Organic Thin-Film Transistors: A Comparative Study. J. Phys. Chem. A 2007, 111, 12333–12338. [Google Scholar] [CrossRef]
- Liao, K.C.; Ismail, A.G.; Kreplak, L.; Schwartz, J.; Hill, I.G. Designed Organophosphonate Self-Assembled Monolayers Enhance Device Performance of Pentacene-Based Organic Thin-Film Transistors. Adv. Mater. 2010, 22, 3081–3085. [Google Scholar] [CrossRef] [PubMed]
- Buckland, S.J.; Davidson, R.S. The Photooxidation of Some Anthryl Phosphorus Compounds. Phosphorus Sulfur Relat. Elem. 1983, 18, 225–228. [Google Scholar] [CrossRef]
- Yamashita, M.; Yamamoto, Y.; Akiba, K.-Y.; Nagase, S. Synthesis of a Versatile Tridentate Anthracene Ligand and Its Application for the Synthesis of Hypervalent Pentacoordinate Boron Compounds (10-B-5). Angew. Chem. Int. Ed. 2000, 39, 4055–4058. [Google Scholar] [CrossRef]
- Yamashita, M.; Yamamoto, Y.; Akiba, K.; Hashizume, D.; Iwasaki, F.; Takagi, N.; Nagase, S. Syntheses and Structures of Hypervalent Pentacoordinate Carbon and Boron Compounds Bearing an Anthracene Skeleton − Elucidation of Hypervalent Interaction Based on X-Ray Analysis and DFT Calculation. J. Am. Chem. Soc. 2005, 127, 4354–4371. [Google Scholar] [CrossRef]
- Meek, J.S.; Koh, L. Syntheses and Reactions of Phosphates from Dibromoanthrone. Anthraquinone Anil, and 1,8-Dichloroanthraquinone. J. Org. Chem. 1970, 35, 153–156. [Google Scholar] [CrossRef]
- Sasamori, T.; Tsurusaki, A.; Nagahora, N.; Matsuda, K.; Kanemitsu, Y.; Watanabe, Y.; Furukawa, Y.; Tokitoh, N. Synthesis and Properties of 9-Anthryldiphosphene. Chem. Lett. 2006, 35, 1382–1383. [Google Scholar] [CrossRef]
- Yoshifuji, M.; Shima, I.; Inamoto, N.; Hirotsu, K.; Higuchi, T. Synthesis and structure of bis(2,4,6-tri-tert-butylphenyl)diphosphene: Isolation of a true phosphobenzene. J. Am. Chem. Soc. 1981, 103, 4587–4589. [Google Scholar] [CrossRef]
- Tokitoh, N.; Tsurusaki, A.; Sasamori, T. A Unique Thermal Reaction of 9-Anthryldiphosphene Leading to the Formation of a Triphosphirane Derivative. Phosphorus Sulfur Silicon Relat. Elem. 2009, 184, 979–986. [Google Scholar] [CrossRef]
- Bałczewski, P.; Kowalska, E.; Różycka-Sokołowska, E.; Skalik, J.; Owsianik, K.; Koprowski, M.; Marciniak, B.; Guziejewski, D.; Ciesielski, W. Mono-Aryl/Alkylthio-Substituted (Hetero)acenes of Exceptional Thermal and Photochemical Stability by the Thio-Friedel-Crafts/Bradsher Cyclization Reaction. Chem. Eur. J. 2019, 25, 14148–14161. [Google Scholar] [CrossRef]
- Bałczewski, P.; Kowalska, E.; Różycka-Sokołowska, E.; Uznański, P.; Wilk, J.; Koprowski, M.; Owsianik, K.; Marciniak, B. Organosulfur Materials with High Photo- and Photo-Oxidation Stability: 10-Anthryl Sulfoxides and Sulfones and Their Photophysical Properties Dependent on the Sulfur Oxidation State. Materials 2021, 14, 3506. [Google Scholar] [CrossRef]






























































































Publisher’s Note: MDPI stays neutral with regard to jurisdictional claims in published maps and institutional affiliations. |
© 2022 by the authors. Licensee MDPI, Basel, Switzerland. This article is an open access article distributed under the terms and conditions of the Creative Commons Attribution (CC BY) license (https://creativecommons.org/licenses/by/4.0/).
Share and Cite
Koprowski, M.; Owsianik, K.; Knopik, Ł.; Vivek, V.; Romaniuk, A.; Różycka-Sokołowska, E.; Bałczewski, P. Comprehensive Review on Synthesis, Properties, and Applications of Phosphorus (PIII, PIV, PV) Substituted Acenes with More Than Two Fused Benzene Rings. Molecules 2022, 27, 6611. https://doi.org/10.3390/molecules27196611
Koprowski M, Owsianik K, Knopik Ł, Vivek V, Romaniuk A, Różycka-Sokołowska E, Bałczewski P. Comprehensive Review on Synthesis, Properties, and Applications of Phosphorus (PIII, PIV, PV) Substituted Acenes with More Than Two Fused Benzene Rings. Molecules. 2022; 27(19):6611. https://doi.org/10.3390/molecules27196611
Chicago/Turabian StyleKoprowski, Marek, Krzysztof Owsianik, Łucja Knopik, Vivek Vivek, Adrian Romaniuk, Ewa Różycka-Sokołowska, and Piotr Bałczewski. 2022. "Comprehensive Review on Synthesis, Properties, and Applications of Phosphorus (PIII, PIV, PV) Substituted Acenes with More Than Two Fused Benzene Rings" Molecules 27, no. 19: 6611. https://doi.org/10.3390/molecules27196611
APA StyleKoprowski, M., Owsianik, K., Knopik, Ł., Vivek, V., Romaniuk, A., Różycka-Sokołowska, E., & Bałczewski, P. (2022). Comprehensive Review on Synthesis, Properties, and Applications of Phosphorus (PIII, PIV, PV) Substituted Acenes with More Than Two Fused Benzene Rings. Molecules, 27(19), 6611. https://doi.org/10.3390/molecules27196611

