Density Functional Method Study on the Cooperativity of Intermolecular H-bonding and π-π+ Stacking Interactions in Thymine-[Cnmim]Br (n = 2, 4, 6, 8, 10) Microhydrates
Abstract
1. Introduction
2. Materials and Methods
3. Results and Discussion
3.1. Geometries and Energetics
3.1.1. Isolated Thymine and Cations Varying Alkyl Chain Lengths
3.1.2. Mono-Ionic Thymine
3.1.3. Di-Ionic T-[Cnmim]+-Br−
3.1.4. Tetra-Ionic T-2[Cnmim]+-2Br−
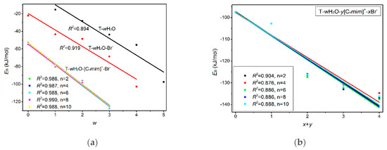
3.1.5. Ionic T-wH2O-y[Cnmim]+-xBr−-k Microhydrates
3.2. IR Vibrational Spectra
3.2.1. Isolated Thymine, Cations, and Water
3.2.2. Ionic T-wH2O-y[Cnmim]+-xBr−-1 Microhydrates
3.3. UV-Vis Spectra
3.3.1. Isolated Thymine, Cations, and Water Molecule
3.3.2. Ionic T-wH2O-y[Cnmim]+-xBr−-1 Microhydrates
3.4. QTAIM Analysis
3.5. NBO Population Analysis
4. Conclusions
Supplementary Materials
Author Contributions
Funding
Institutional Review Board Statement
Informed Consent Statement
Data Availability Statement
Acknowledgments
Conflicts of Interest
Sample Availability
References
- Liu, Y.; Nie, Y.; Pan, F.; Zhou, L.; Ji, X.; Kang, Z.; Zhang, S. Study on ionic liquid/cellulose/coagulator phase diagram and its application in green spinning process. J. Mol. Liq. 2019, 289, 111127. [Google Scholar] [CrossRef]
- El Seoud, O.A.; Keppeler, N.; Malek, N.I.; Galgano, P.D. Ionic liquid-based surfactants: Recent advances in their syntheses, solution properties, and applications. Polymers 2021, 13, 1100. [Google Scholar] [CrossRef] [PubMed]
- Pandolfifi, F.; Bortolami, M.; Feroci, M.; Fornari, A.; Scarano, V.; Rocco, D. Recent advances in imidazolium-based dicationic ionic liquids as organocatalysts: A mini-review. Materials 2022, 15, 866. [Google Scholar] [CrossRef]
- Flieger, J.; Flieger, M. Ionic liquids toxicity—Benefits and threats. Int. J. Mol. Sci. 2020, 21, 6267. [Google Scholar] [CrossRef] [PubMed]
- Bubalo, M.C.; Radošević, K.; Redovniković, I.R.; Slivac, I.; Srček, V.G. Toxicity mechanisms of ionic liquids. Arh. Hig. Rada. Toksiko 2017, 68, 171–179. [Google Scholar] [CrossRef]
- Gonçalves, A.R.P.; Paredes, X.; Cristino, A.F.; Santos, F.J.V.; Queirós, C.S.G.P. Ionic liquids—A review of their toxicity to living organisms. Int. J. Mol. Sci. 2021, 22, 5612. [Google Scholar] [CrossRef]
- Arning, J.; Stolte, S.; Böschen, A.; Stock, F.; Pitner, W.R.; Welz-Biermann, U.; Jastorff, B.; Ranke, J. Qualitative and quantitative structure activity relationships for the inhibitory effects of cationic head groups, functionalised side chains and anions of ionic liquids on acetylcholinesterase. Green Chem. 2008, 10, 47–58. [Google Scholar] [CrossRef]
- Torrecilla, J.S.; Garcia, J.; Rojo, E.; Rodriguez, F. Estimation of toxicity of ionic liquids inleukemia rat cell line and acetylcholinesterase enzyme by principal component analysis, neural networks and multiple lineal regressions. J. Hazard. Mater. 2009, 164, 182–194. [Google Scholar] [CrossRef]
- Zhu, P.; Kang, X.; Zhao, Y.; Latif, U.; Zhang, H. Predicting the Toxicity of ionic liquids toward acetylcholinesterase enzymes using novel QSAR models. Int. J. Mol. Sci. 2019, 20, 2186. [Google Scholar] [CrossRef]
- Dong, M.; Liu, T.; Wang, J.; Wang, J.; Zhu, L.; Zhang, J. Estimation of the oxidative stress and molecular damage caused by 1-butyl-3-methylimidazolium bromide ionic liquid in Zebrafish livers. J. Biochem. Mol. Toxic. 2016, 30, 232–238. [Google Scholar] [CrossRef]
- Dong, M.; Zhu, L.; Zhu, S.; Wang, J.; Wang, J.; Xie, H.; Du, Z. Toxic effects of 1-decyl-3-methylimidazolium bromide ionic liquid on the antioxidant enzyme system and DNA in zebrafish (Danio rerio) livers. Chemosphere 2013, 91, 1107–1112. [Google Scholar] [CrossRef] [PubMed]
- Shao, Y.; Wang, J.; Wang, J.; Du, Z.; Li, B.; Zhu, L.; Juhasz, A.; Liu, X.; Xu, Y.; Li, W. Oxidative stress and genotoxic effects in earthworms induced by five imidazolium bromide ionic liquids with different alkyl chains. Chemosphere 2019, 227, 570–579. [Google Scholar] [CrossRef] [PubMed]
- Wang, C.; Wei, Z.; Wang, L.; Sun, P.; Wang, Z. Assessment of bromide-based ionic liquid toxicity toward aquatic organisms and QSAR analysis. Ecotoxicol. Environ. Saf. 2015, 115, 112–118. [Google Scholar] [CrossRef]
- Yu, Y.; Nie, Y. Toxicity and antimicrobial activities of ionic liquids with halogen anion. J. Environ. Prot. Ecol. 2011, 2, 298–303. [Google Scholar] [CrossRef]
- Kowalczyk, P.; Borkowski, A.; Czerwonka, G.; Cłapa, T.; Cieśla, J.; Misiewicz, A.; Borowiec, M.; Szala, M. The microbial toxicity of quaternary ammonium ionic liquids is dependent on the type of lipopolysaccharide. J. Mol. Liq. 2018, 266, 540–547. [Google Scholar] [CrossRef]
- Zhang, B.; Li, X.; Chen, D.; Wang, J. Effects of 1-octyl-3-methylimidazolium bromide on the antioxidant system of Lemna minor. Protoplasma 2013, 250, 103–110. [Google Scholar] [CrossRef] [PubMed]
- Biczak, R.; Pawlowska, B.; Balczewski, P.; Rychter, P. The role of the anion in the toxicity of imidazolium ionic liquids. J. Hazard. Mater. 2014, 274, 181–190. [Google Scholar] [CrossRef]
- Matzke, M.; Stolte, S.; Thiele, K.; Juffernholz, T.; Arning, J.; Ranke, J.; Welz-Biermann, U.; Jastorff, B. The influence of anion species on the toxicity of 1-alkyl-3-methylimidazolium ionic liquids observed in an (eco)toxicological test battery. Green Chem. 2007, 9, 1198–1207. [Google Scholar] [CrossRef]
- Kumar, M.; Trivedi, N.; Reddy, C.R.; Jha, B. Toxic effects of imidazolium ionic liquids on the green seaweed Ulva lactuca: Oxidative stress and DNA damage. Chem. Res. Toxicol. 2011, 24, 1882–1890. [Google Scholar] [CrossRef]
- Matzke, M.; Stolte, S.; Arning, J.; Uebers, U.; Filser, J. Imidazolium based ionic liquids in soils: Effects of the side chain length on wheat (Triticum aestivum) and cress (Lepidium sativum) as affected by different clays and organic matter. Green Chem. 2008, 10, 584–591. [Google Scholar] [CrossRef]
- Bubalo, M.C.; Hanousek, K.; Radošević, K.; Srček, V.G.; Jakovljević, T.; Redovniković, I.R. Imidazolium based ionic liquids: Effects of different anions and alkyl chains lengths on the barley seedlings. Ecotoxicol. Environ. Saf. 2014, 101, 116–123. [Google Scholar] [CrossRef] [PubMed]
- Yu, M.; Wang, S.H.; Luo, Y.R.; Han, Y.W.; Li, X.Y.; Zhang, B.J.; Wang, J.J. Effects of the 1-alkyl-3-methylimidazolium bromide ionic liquids on the antioxidant defense system of Daphnia magna. Ecotoxicol. Environ. Saf. 2009, 72, 1798–1804. [Google Scholar] [CrossRef] [PubMed]
- Siciliano, A.; Russo, D.; Spasiano, D.; Marotta, R.; Race, M.; Fabbricino, M.; Galdiero, E.; Guida, M. Chronic toxicity of treated and untreated aqueous solutions containing imidazole-based ionic liquids and their oxydized by-products. Ecotoxicol. Environ. Saf. 2019, 180, 466–472. [Google Scholar] [CrossRef]
- Swatloski, R.P.; Holbrey, J.D.; Memon, S.B.; Caldwell, G.A.; Caldwell, K.A.; Rogers, R.D. Using Caenorhabditis elegans to probe toxicity of 1-alkyl-3-methylimidazolium chloride based ionic liquids. Chem. Commun. 2004, 6, 668–669. [Google Scholar] [CrossRef]
- Li, X.Y.; Zhou, J.; Yu, M.; Wang, J.J.; Pei, Y.C. Toxic effects of 1-methyl-3-octylimidazolium bromide on the early embryonic development of the frog Rana nigromaculata. Ecotox. Environ. Saf. 2009, 72, 552–556. [Google Scholar] [CrossRef]
- Cho, C.W.; Yun, Y.S. Application of general toxic effects of ionic liquids to predict toxicities of ionic liquids to Spodoptera frugiperda 9, Eisenia fetida, Caenorhabditis elegans, and Danio rerio. Environ. Pollut. 2019, 255, 113185. [Google Scholar] [CrossRef]
- Li, X.Y.; Jing, C.Q.; Lei, W.L.; Li, J.; Wang, J.J. Apoptosis caused by imidazolium-based ionic liquids in PC12 cells. Ecotoxicol. Environ. Saf. 2012, 83, 102–107. [Google Scholar] [CrossRef]
- Samorì, C.; Malferrari, D.; Valbonesi, P.; Montecavalli, A.; Moretti, F.; Galletti, P.; Sartor, G.; Tagliavini, E.; Fabbri, E.; Pasteris, A. Introduction of oxygenated side chain into imidazolium ionic liquids: Evaluation of the effects at different biological organization levels. Ecotoxicol. Environ. Saf. 2010, 73, 1456–1464. [Google Scholar] [CrossRef]
- Frade, R.F.M.; Rosatella, A.A.; Marques, C.S.; Branco, L.C.; Kulkarni, P.S.; Mateus, N.M.M.; Afonso, C.A.M.; Duarte, C.M.M. Toxicological evaluation on human colon carcinoma cell line (CaCo-2) of ionic liquids based on imidazolium, guanidinium, ammonium, phosphonium, pyridinium and pyrrolidinium cations. Green Chem. 2009, 9, 1660–1665. [Google Scholar] [CrossRef]
- Sosnowska, A.; Grzonkowska, M.; Puzyn, T. Global versus local QSAR models for predicting ionic liquids toxicity against IPC-81 leukemia rat cell line: The predictive ability. J. Mol. Liq. 2017, 231, 333–340. [Google Scholar] [CrossRef]
- Stepnowski, P.; Skladanowski, A.C.; Ludwiczak, A.; Laczynska, E. Evaluating the cytotoxicity of ionic liquids using human cell line HeLa. Hum. Exp. Toxicol. 2004, 23, 513–517. [Google Scholar] [CrossRef] [PubMed]
- Jovanović-Šanta, S.; Kojić, V.; Atlagić, K.; Tot, A.; Vraneš, M.; Gadžurić, S.; Karaman, M. Anticancer and antimicrobial properties of imidazolium based ionic liquids with salicylate anion. J. Serb. Chem. Soc. 2020, 85, 291–303. [Google Scholar] [CrossRef]
- Du, Z.; Zhu, L.; Dong, M.; Xie, H.; Guo, Y. Oxidative stress and genotoxicity of the ionic liquid 1-octyl-3-methylimidazolium bromide in Zebrafish (Danio rerio). Arch. Environ. Con. Tox. 2014, 67, 261–269. [Google Scholar] [CrossRef]
- Hunt, P.A.; Ashworth, C.R.; Matthews, R.P. Hydrogen bonding in ionic liquids. Chem. Soc. Rev. 2015, 44, 1257–1288. [Google Scholar] [CrossRef] [PubMed]
- Zhang, H.C.; Shi, C.Y.; Yang, H.H.; Chen, G.W.; Liu, D.Z. Genotoxicity evaluation of ionic liquid 1-octyl-3-methylimidazolium bromide in freshwater planarian Dugesia japonica using RAPD assay. Ecotox. Environ. Saf. 2016, 134, 17–22. [Google Scholar] [CrossRef] [PubMed]
- Wang, C.; Wei, Z.B.; Feng, M.B.; Wang, L.S.; Wang, Z.Y. Comparative antioxidant status in freshwater fish Carassius auratus exposed to eight imidazolium bromide ionic liquids: A combined experimental and theoretical study. Ecotox. Environ. Saf. 2014, 102, 187–195. [Google Scholar] [CrossRef]
- Docherty, K.M.; Kulpa, J.C.F. Toxicity and antimicrobial activity of imidazolium and pyridinium ionic liquids. Green Chem. 2005, 7, 185–189. [Google Scholar] [CrossRef]
- Thamke, V.R.; Kodam, K.M. Toxicity study of ionic liquid, 1-butyl-3-methylimidazolium bromide on guppy fish, Poecilia reticulata and its biodegradation by soil bacterium Rhodococcus hoagii VRT1. J. Hazard. Mater. 2016, 320, 408–416. [Google Scholar] [CrossRef]
- Zhang, Z.; Liu, J.F.; Cai, X.Q.; Jiang, W.W.; Luo, W.R.; Jiang, G.B. Sorption to Dissolved humic acid and its impacts on the toxicity of imidazolium based ionic liquids. Environ. Sci. Technol. 2011, 45, 1688–1694. [Google Scholar] [CrossRef]
- Wang, H.; Wang, J.; Zhang, S. Binding Gibbs energy of ionic liquids to calf thymus DNA: A fluorescence spectroscopy study. Phys. Chem. Chem. Phys. 2011, 13, 3906–3910. [Google Scholar] [CrossRef]
- Jumbri, K.; Abdul Rahman, M.B.; Abdulmalek, E.; Ahmad, H.; Micaelo, N.M. An insight into structure and stability of DNA in ionic liquids from molecular dynamics simulation and experimental studies. Phys. Chem. Chem. Phys. 2014, 16, 14036–14046. [Google Scholar] [CrossRef] [PubMed]
- Nakano, M.; Tateishi-Karimata, H.; Tanaka, S.; Sugimoto, N. Choline ion interactions with DNA atoms explain unique stabilization of A-T base pairs in DNA duplexes: A microscopic view. J. Phys. Chem. B 2013, 118, 379–389. [Google Scholar] [CrossRef] [PubMed]
- Chandran, A.; Ghoshdastidar, D.; Senapati, S. Groove binding mechanism of ionic liquids: A key factor in long-term stability of DNA in hydrated ionic liquids? J. Am. Chem. Soc. 2012, 134, 20330–20339. [Google Scholar] [CrossRef] [PubMed]
- Young, M.A.; Jayaram, B.; Beveridge, D.L. Intrusion of counterions into the spine of hydration in the minor groove of B-DNA: Fractional occupancy of electronegative pockets. J. Am. Chem. Soc. 1997, 119, 59–69. [Google Scholar] [CrossRef]
- Ding, Y.H.; Zhang, L.; Xie, J.; Guo, R. Binding characteristics and molecular mechanism of interaction between ionic liquid and DNA. J. Phys. Chem. B 2010, 114, 2033–2043. [Google Scholar] [CrossRef] [PubMed]
- Erickson, B.A.; Heim, Z.N.; Pieri, E.; Liu, E.; Martinez, T.J.; Neumark, D.M. Relaxation dynamics of hydrated thymine, thymidine, and thymidine monophosphate probed by liquid jet time-resolved photoelectron spectroscopy. J. Phys. Chem. A 2019, 123, 10676–10684. [Google Scholar] [CrossRef]
- Watts, T.A.; Miehls, E.K.; Swift, J.A. Time-resolved cooperative motions in the solid-state dehydration of thymine hydrate. Cryst. Growth Des. 2020, 20, 7941–7950. [Google Scholar] [CrossRef]
- Xie, L.; Ding, Y.Q.; Li, D.L.; Zhang, C.; Wu, Y.F.; Sun, L.Y.; Liu, M.X.; Qiu, X.H.; Xu, W. Local chiral inversion of thymine dimers by manipulating single water molecules. J. Am. Chem. Soc. 2022, 144, 5023–5028. [Google Scholar] [CrossRef]
- Ding, Y.; Cao, Y.; Guo, Y.C.; Sun, T.Y.; Sun, Y.H.; Ye, Q.; Li, J.L.; Peng, C.J. Measurement and correlation of density, viscosity, and surface tension for imidazolium bromide ionic liquids [CnMIM]Br (n = 2, 3, 4) aqueous solutions. J. Chem. Eng. Data 2022, 67, 1350–1357. [Google Scholar] [CrossRef]
- Yamada, T.; Mizuno, M. Infrared spectroscopy in the middle frequency range for various imidazolium ionic liquids—Common spectroscopic characteristics of vibrational modes with in-plane +C(2)−H and +C(4,5)−H bending motions and peak splitting behavior due to local symmetry breaking of vibrational modes of the Tetraflfluoroborate anion. ACS Omega 2021, 6, 1709–1717. [Google Scholar]
- Wang, Y.L. Effffects of nitridation and vinylation of imidazolium rings on hydrogen bonding interactions, π−π-stacking structures, and dynamical heterogeneities in imidazolium and triazolium ionic liquids. J. Phys. Chem. B 2020, 124, 7452–7466. [Google Scholar] [CrossRef] [PubMed]
- Veljković, D.Ž.; Medaković, V.B.; Andrićb, J.M.; Zarić, S.D. C–H/O interactions of nucleic bases with a water molecule: A crystallographic and quantum chemical study. CrystEngComm 2014, 16, 10089. [Google Scholar] [CrossRef]
- Close, D.M.; Crespo-Hernández, C.E.; Gorb, L.; Leszczynski, J. Influence of microhydration on the ionization energy thresholds of thymine: Comparisons of theoretical calculations with experimental values. J. Phys. Chem. A 2006, 110, 7485–7490. [Google Scholar] [CrossRef] [PubMed]
- Thicoipe, S.; Carbonnière, P.; Pouchan, C. Structural investigation of microhydrated thymine clusters and vibrational study of isolated and aqueous forms of thymine using DFT level of theory. Phys. Chem. Chem. Phys. 2013, 15, 11646. [Google Scholar] [CrossRef]
- Chandra, A.K.; Nguyen, M.T.; Zeegers-Huyskens, T. Theoretical study of the interaction between thymine and water. protonation and deprotonation enthalpies and comparison with uracil. J. Phys. Chem. A 1998, 102, 6010–6016. [Google Scholar] [CrossRef]
- Sieradzka, A.; Gorfinkiel, J.D. Theoretical study of resonance formation in microhydrated molecules. II. Thymine-(H2O)n, n=1, 2, 3, 5. J. Chem. Phys. 2017, 147, 034303. [Google Scholar] [CrossRef]
- Hanus, M.; Kabelác, M.; Rejnek, J.; Ryjáček, F.; Hobza, P. Correlated ab initio study of nucleic acid bases and their tautomers in the gas phase, in a microhydrated environment, and in aqueous solution. part 3. Adenine. J. Phys. Chem. B 2004, 108, 2087–2097. [Google Scholar] [CrossRef]
- Santoro, F.; Barone, V.; Gustavsson, T.; Improta, R. Solvent effect on the singlet excited-state lifetimes of nucleic acid bases: A computational study of 5-fluorouracil and uracil in acetonitrile and water. J. Am. Chem. Soc. 2006, 128, 16312–16322. [Google Scholar] [CrossRef]
- Zhao, Y.; Truhlar, D.G. The M06 suite of density functionals for main group thermochemistry, thermochemical kinetics, noncovalent interactions, excited states, and transition elements: Two new functionals and systematic testing of four M06 functionals and 12 other functionals. Theor. Chem. Acc. 2008, 120, 525. [Google Scholar] [CrossRef]
- Hohenstein, E.G.; Chill, S.T.; David, S.C. Assessment of the performance of the M05-2X and M06-2X exchange-correlation functionals for noncovalent interactions in biomolecules. J. Chem. Theory Comput. 2008, 4, 1996–2000. [Google Scholar] [CrossRef]
- Gu, J.; Wang, J.; Leszczynski, J. Stacking and H-bonding patterns of dGpdC and dGpdCpdG: Performance of the M05-2X and M06-2X minnesota density functionals for the single strand DNA. Chem. Phys. Lett. 2011, 512, 108–112. [Google Scholar] [CrossRef]
- Bryantsev, V.S.; Diallo, M.S.; van Duin, A.C.T.; Goddard III, W.A. Evaluation of B3LYP, X3LYP, and M06-Class density functionals for predicting the binding energies of neutral, protonated, and deprotonated water clusters. J. Chem. Theory Comput. 2009, 5, 1016–1026. [Google Scholar] [CrossRef]
- Xu, J.Z.; Yi, L.G.; Mou, Y.X.; Cao, J.P.; Wang, C.J. Effect of a molecule of imidazolium bromide ionic liquid on the structure and properties of cytosine by density functional theory. Chem. Phys. Lett. 2018, 708, 109–116. [Google Scholar] [CrossRef]
- Xu, J.Z.; Mou, Y.X.; Cao, J.P.; Wang, C.J. A density functional theory study on effects of imidazolium bromide ionic liquids on the structure and properties of cytosine. Acta Sci. Circumstantia 2018, 38, 4113–4123. [Google Scholar] [CrossRef]
- Tsuzuki, S.; Arai, A.A.; Nishikawa, K. Conformational analysis of 1-butyl-3-methylimidazolium by CCSD(T) level ab initio calculations: Effects of neighboring anions. J. Phys. Chem. B 2008, 112, 7739–7747. [Google Scholar] [CrossRef] [PubMed]
- Ramos, M.N.; Lopes, K.C.; Silva, W.L.; Tavares, A.M.; Castriani, F.A.; do Monte, S.A.; Ventura, E.; Araújo, R.C. An ab initio study of the C2H2HF, C2H(CH3)HF and C2(CH3)2HF hydrogen-bonded complexes. Spectrochim. Acta Part A 2006, 63, 383–390. [Google Scholar] [CrossRef] [PubMed]
- Adamo, C.; Jacquemin, D. The calculations of excited-state properties with time-dependent density functional theory. Chem. Soc. Rev. 2013, 42, 845–856. [Google Scholar] [CrossRef]
- Bader, R.F.W. Atoms in molecules. Acc. Chem. Res. 1985, 91, 9–15. [Google Scholar] [CrossRef]
- Reed, A.E.; Curtiss, L.A.; Weinhold, F. Intermolecular interactions from a natural bond orbital, donor-acceptor viewpoint. Chem. Rev. 1988, 88, 899–926. [Google Scholar] [CrossRef]
- Frisch, M.J.; Trucks, G.W.; Schlegel, H.B.; Scuseria, G.E.; Robb, M.A.; Cheeseman, J.R.; Scalmani, G.; Barone, V.; Petersson, G.A.; Nakatsuji, H.; et al. Gaussian 16, Revision, B.01; Gaussian, Inc.: Wallingford, CT, USA, 2016. [Google Scholar]
- Lu, T.; Chen, F. Atomic dipole moment corrected hirshfeld population method. J. Theo. Comput. Chem. 2012, 11, 163–183. [Google Scholar] [CrossRef]
- Ricca, A.; Bauschlicher, W. Successive H2O binding energies for Fe(H2O)n+. J. Phys. Chem. 1995, 99, 9003–9007. [Google Scholar] [CrossRef]
- Bondi, A.; Bauschlicher, W. Van der Waals volumes and radii. J. Phys. Chem. 1964, 68, 441–451. [Google Scholar] [CrossRef]
- Arunan, E.; Desiraju, G.R.; Klein, R.A.; Sadlej, J.; Scheiner, S.; Alkorta, I.; Clary, D.C.; Crabtree, R.H.; Dannenberg, J.J.; Hobza, P.; et al. Definition of the hydrogen bond (IUPAC recommendations 2011). Pure Appl. Chem. 2011, 83, 1637–1641. [Google Scholar] [CrossRef]
- Portalone, G.; Bencivenni, L.; Colapietro, M.; Pieretti, A.; Ramondo, F. The effect of hydrogen bonding on the structures of uracil and some methyl derivatives studied by experiment and theory. Acta Chem. Scand. 1999, 53, 57–68. [Google Scholar] [CrossRef][Green Version]
- AraÚjo, J.M.; Ferreira, R.; Marrucho, I.M.; Rebelo, L.P. Solvation of nucleobases in 1,3-dialkylimidazolium acetate ionic liquids: NMR spectroscopy insights into the dissolution mechanism. J. Phys. Chem. B 2011, 115, 10739–10749. [Google Scholar] [CrossRef]
- Handy, S.T.; Okello, M. The 2-position of imidazolium ionic liquids: Substitution and exchange. J. Org. Chem. 2005, 70, 1915–1918. [Google Scholar] [CrossRef]
- Leontis, N.B.; Stombaugh, J.; Westhof, E. The non-Watson-Crick base pairs and their associated isostericity matrices. Nucleic Acids Res. 2002, 30, 3497–3531. [Google Scholar] [CrossRef]
- Crick, F.H.C.; Watson, J.D. The complementary structure of deoxyribonucleic acid. Proc. R. Soc. Lond. A 1954, 223, 80–96. [Google Scholar] [CrossRef]
- Chahinian, M.; Seba, H.B.; Ancian, B. Hydration structure of uracil as studied by 1D and 2D heteronuclear overhauser spectroscopy: Evidence for the formation of a trihydrate in the first solvation shell. Chem. Phys. Lett. 1998, 285, 337–345. [Google Scholar] [CrossRef]
- Crick, F.H.C. Codon-anticodon pairing: The wobble hypothesis. J. Mol. Biol. 1966, 19, 548–555. [Google Scholar] [CrossRef]
- Vijayaraghavan, R.; Izgorodin, A.; Ganesh, V.; Surianarayanan, M.; MacFarlane, D.R. Long-term structural and chemical stability of DNA in hydrated ionic liquids. Angew. Chem. Int. Ed. 2010, 49, 1631–1633. [Google Scholar] [CrossRef] [PubMed]
- Fujita, K.; MacFarlane, D.R.; Forsyth, M.; Yoshizawa-Fujita, M.; Murata, K.; Nakamura, N.; Ohno, H. Solubility and stability of cytochromecin hydrated ionic liquids: Effect of oxo acid residues and kosmotropicity. Biomacromolecules 2017, 8, 2080–2086. [Google Scholar] [CrossRef] [PubMed]
- Singh, J.S. FTIR and Raman spectra and fundamental frequencies of biomolecule: 5-Methyluracil (thymine). J. Mol. Struct. 2008, 876, 127–133. [Google Scholar] [CrossRef]
- Singh, R.N.; Kumar, A.; Tiwari, R.K.; Rawat, P.; Baboo, V.; Verma, D. Molecular structure, heteronuclear resonance assited hydrogen bond analisis, chemical reactivity and first hyperpolarizability of a novel ethyl-4-{[(2,4-dinitrophenyl)-hydrazono]-ethyl}-3,5-dimethyl-1H-pyrrole-2-carboxylate: A combined DFT and AIM approach. Spectrochim. Acta Part A 2012, 92, 295–304. [Google Scholar] [CrossRef] [PubMed]
- Fornaro, T.; Biczysko, M.; Monti, S.; Barone, V. Dispersion corrected DFT approaches for anharmonic vibrational frequency calculations: Nucleobases and their dimers. Phys. Chem. Chem. Phys. 2014, 16, 10112–10128. [Google Scholar] [CrossRef] [PubMed]
- Singh, J.S. FT-IR and Raman spectra, ab initio and density functional computations of the vibrational spectra, molecular geometries and atomic charges of uracil and 5-methyluracil (thymine). Spectrochim. Acta A 2015, 137, 625–640. [Google Scholar] [CrossRef]
- Nowak, M.J. IR matrix isolation studies of nucleic acid constituents: The spectrum of monomeric thymine. J. Mol. Struct. 1989, 193, 35–49. [Google Scholar] [CrossRef]
- Ten, G.N.; Burova, T.G.; Baranov, V.I. Analysis of hydrogen bonds by the IR spectra of thymine and N1,N3-deuterothymine. J. Appl. Spectrosc. 2005, 72, 104–110. [Google Scholar] [CrossRef]
- Miles, H.T. The structure of the three-stranded helix, poly (A + 2U). Proc. Natl. Acad. Sci. USA 1964, 51, 1104–1109. [Google Scholar] [CrossRef]
- Danten, Y.; Cabaço, M.I.; Besnard, M. Interaction of water highly diluted in 1-alkyl-3-methyl imidazolium ionic liquids with the PF6− and BF4− anions. J. Phys. Chem. A. 2009, 113, 2873–2889. [Google Scholar] [CrossRef]
- Cha, S.; Ao, M.; Sung, W.; Moon, B.; Ahlström, B.; Johansson, P.; Ouchi, Y.; Kim, D. Structures of ionic liquid–water mixtures investigated by IR and NMR spectroscopy. Phys. Chem. Chem. Phys. 2014, 16, 9591–9601. [Google Scholar] [CrossRef] [PubMed]
- Leist, R.; Frey, J.A.; Ottiger, P.; Frey, H.-M.; Leutwyler, S.; Bachorz, R.A.; Klopper, W. Nucleobase-fluorobenzene interactions: Hydrogen bonding wins over π stacking. Angew. Chem. Int. Ed. 2007, 119, 7449–7452. [Google Scholar] [CrossRef] [PubMed]
- Gustavsson, T.; Sarkar, N.; Bányász, Á.; Markovitsi, D.; Improta, R. Solvent effects on the steady-state absorption and fluorescence spectra of uracil, thymine and 5-fluorouracil. Photochem. Photobiol. 2007, 83, 595–599. [Google Scholar] [CrossRef] [PubMed]
- Shukla, M.K.; Leszczynski, J. Electronic Spectra, Excited state structures and interactions of nucleic acid bases and base assemblies: A review. J. Biomol. Struct. Dyn. 2007, 25, 93–118. [Google Scholar] [CrossRef]
- Pérez-Flores, L.; Ruiz-Chica, A.J.; Delcros, J.G.; Sánchez-Jiménez, F.; Ramírez, F.J. Intercalation and groove binding of an acridine-spermine conjugate on DNA sequences: An FT-Raman and UV-visible absorption study. J. Mol. Struct. 2005, 744, 699–704. [Google Scholar] [CrossRef]
- Venkataramanan, N.S.; Suvitha, A.; Mizuseki, H.; Kawazoe, Y. Computational study on the interactions of mustard gas with cucurbituril macrocycles. Int. J. Quantum Chem. 2015, 115, 1515–1525. [Google Scholar] [CrossRef]
- Wick, C.R.; Clark, T. On bond-critical points in QTAIM and weak interactions. J. Mol. Model. 2018, 24, 142. [Google Scholar] [CrossRef]
- Venkataramanan, N.S. Cooperativity of intermolecular hydrogen bonds in microsolvated DMSO and DMF clusters: A DFT, AIM, and NCI analysis. J. Mol. Model. 2016, 22, 151. [Google Scholar] [CrossRef]
- Vijay, D.; Sastry, G.N. The Cooperativity of cation-π and π-π interactionsm. Chem. Phys. Lett. 2010, 485, 235–242. [Google Scholar] [CrossRef]
- Azizi, A.; Ebrahimi, A. The effects of anion approaching directions to the π-π+ interaction. J. Mol. Liq. 2019, 276, 170–178. [Google Scholar] [CrossRef]
- Koch, U.; Popelier, P.L.A. Characterization of C-H-O hydrogen bonds on the basis of the charge density. J. Phys. Chem. 1995, 99, 9747–9754. [Google Scholar] [CrossRef]
- Popelier, P.L.A. Characterization of a Dihydrogen bond on the basis of the electron density. J. Phys. Chem. A 1998, 102, 1873–1878. [Google Scholar] [CrossRef]
- Glendening, E.D.; Landis, C.R.; Weinhold, F. NBO 6.0: Natural bond orbital analysis program. J. Comput. Chem. 2013, 34, 1429–1437. [Google Scholar] [CrossRef] [PubMed]
- Kasende, O.E.; Nziko Vde, P.; Scheiner, S. Interactions of nucleic acid bases with temozolomide. stacked, perpendicular, and coplanar heterodimers. J. Phys. Chem. B 2016, 120, 9347–9361. [Google Scholar] [CrossRef] [PubMed]












| Complexes | λmax | f | Transition | Assignment | Contribution |
|---|---|---|---|---|---|
| T | 237.41 | 0.2390 | H → L | π/π* | 96 |
| T-4H2O-Br−-1 | 238.94 | 0.2931 | H-2 → L | n/π* | 57 |
| T-3H2O-[C2mim]+-Br−-1 | 243.09 | 0.2030 | H → L | n/π* | 53 |
| T-3H2O-[C4mim]+-Br−-1 | 243.02 | 0.1991 | H → L | n/π* | 53 |
| T-3H2O-[C6mim]+-Br−-1 | 242.93 | 0.1984 | H → L | n/π* | 52 |
| T-3H2O-[C8mim]+-Br−-1 | 243.00 | 0.2005 | H → L | n/π* | 53 |
| T-3H2O-[C10mim]+-Br−-1 | 243.00 | 0.2002 | H → L | n/π* | 53 |
| T-2H2O-[C2mim]+-2Br−-1 | 242.76 | 0.1897 | H-1 → L | n/π* | 35 |
| T-2H2O-[C4mim]+-2Br−-1 | 242.54 | 0.1874 | H → L | n/π* | 38 |
| T-2H2O-[C6mim]+-2Br−-1 | 242.54 | 0.1872 | H → L | n/π* | 34 |
| T-2H2O-[C8mim]+-2Br−-1 | 242.56 | 0.1885 | H → L | n/π* | 34 |
| T-2H2O-[C10mim]+-2Br−-1 | 242.57 | 0.1867 | H → L | n/π* | 35 |
| T-1H2O-2[C2mim]+-2Br−-1 | 246.64 | 0.1816 | H-3 → L | n/π* | 75 |
| T-1H2O-2[C4mim]+-2Br−-1 | 246.47 | 0.1819 | H-3 → L | n/π* | 77 |
| T-1H2O-2[C6mim]+-2Br−-1 | 246.61 | 0.1816 | H-3 → L | n/π* | 74 |
| T-1H2O-2[C8mim]+-2Br−-1 | 246.52 | 0.1832 | H-3 → L | n/π* | 74 |
| T-1H2O-2[C10mim]+-2Br−-1 | 246.63 | 0.1819 | H-3 → L | n/π* | 78 |
| Interaction | CPs | RX···Y(Å) | ρ(r) | ∇2ρ(r) | G(r) | V(r) | H(r) | EHB (kJ/mol) |
|---|---|---|---|---|---|---|---|---|
| T-4H2O-Br−-1 | ||||||||
| T-Br− | N1-H···Br− | 2.352 | 0.022 | 0.057 | 0.014 | −0.013 | 0.001 | −17.25 |
| T-3H2O-[C6mim]+-Br−-1 | ||||||||
| T-Br− | N1-H···Br− | 2.482 | 0.018 | 0.050 | 0.011 | −0.010 | 0.001 | −13.01 |
| T-[C6mim]+ | ƩBCP a | 3.327 | 0.029 | 0.105 | 0.021 | −0.017 | 0.005 | - |
| ƩCCP b | - | 0.026 | 0.107 | 0.022 | −0.017 | 0.005 | - | |
| [C6mim]+-Br− | +C(2)-H···Br− | 3.101 | 0.006 | 0.016 | 0.003 | −0.003 | 0.001 | −3.69 |
| +C(7)-H···Br− | 2.843 | 0.010 | 0.026 | 0.005 | −0.004 | 0.001 | −5.86 | |
| T-2H2O-[C6mim]+-2Br−-1 | ||||||||
| T-Br− | N1-H···Br− | 2.486 | 0.018 | 0.050 | 0.011 | −0.010 | 0.001 | −12.96 |
| N3-H···Br− | 2.414 | 0.019 | 0.052 | 0.012 | −0.011 | 0.001 | −13.79 | |
| T-[C6mim]+ | ƩBCP a | 3.327 | 0.029 | 0.103 | 0.021 | −0.017 | 0.005 | - |
| ƩCCP b | - | 0.026 | 0.101 | 0.021 | −0.016 | 0.004 | - | |
| [C6mim]+-Br− | +C(2)-H···Br− | 3.079 | 0.010 | 0.025 | 0.005 | −0.004 | 0.001 | −5.80 |
| +C(4)-H···Br− | 3.176 | 0.006 | 0.018 | 0.004 | −0.003 | 0.001 | −3.81 | |
| +C(6)-H···Br− | 2.903 | 0.009 | 0.023 | 0.005 | −0.004 | 0.001 | −5.28 | |
| +C(7)-H···Br− | 2.851 | 0.007 | 0.017 | 0.004 | −0.003 | 0.001 | −3.84 | |
| T-1H2O-2[C6mim]+-2Br−-1 | ||||||||
| T-Br− | N1-H···Br− | 2.408 | 0.020 | 0.055 | 0.013 | −0.012 | 0.001 | −15.43 |
| N3-H···Br− | 2.398 | 0.020 | 0.053 | 0.012 | −0.011 | 0.001 | −14.53 | |
| T-[C6mim]+ | ƩBCP a | 3.386 | 0.048 | 0.168 | 0.035 | −0.028 | 0.007 | - |
| ƩCCP b | - | 0.022 | 0.087 | 0.018 | −0.015 | 0.004 | - | |
| +C(6)-H···O7 | 2.458 | 0.010 | 0.032 | 0.007 | −0.006 | 0.001 | −7.83 | |
| +C(6)-H···O7 | 2.444 | 0.010 | 0.033 | 0.007 | −0.006 | 0.001 | −8.17 | |
| [C6mim]+-Br− | +C(2)-H···Br− | 3.298 | 0.006 | 0.016 | 0.003 | −0.002 | 0.001 | −3.23 |
| +C(2)-H···Br− | 2.856 | 0.010 | 0.030 | 0.006 | −0.005 | 0.001 | −6.71 | |
| +C(6)-H···Br− | 3.091 | 0.007 | 0.021 | 0.004 | −0.003 | 0.001 | −4.54 | |
| +C(7)-H···Br− | 3.045 | 0.007 | 0.018 | 0.004 | −0.003 | 0.001 | −4.23 | |
| T-4H2O-Br−-1 | T-Br− | |||||
| Interaction | lpBr → σ* N1-H | |||||
| 74.99 | ||||||
| Interaction | T-Br− | T-[Cnmim]+ | [Cnmim]+-Br− | |||
| lpBr− → σ*N1-H | π→π+ | π←π+ | lpBr−→ σ*+C(7)-H | lpBr−→ σ*+C(2)-H | ||
| T-3H2O-[C2mim]+-Br−-1 | 45.81 | 12.83 | 8.86 | 12.41 | 6.35 | |
| T-3H2O-[C4mim]+-Br−-1 | 41.30 | 12.29 | 9.11 | 14.13 | 7.73 | |
| T-3H2O-[C6mim]+-Br−-1 | 40.63 | 11.45 | 9.41 | 14.21 | 7.69 | |
| T-3H2O-[C8mim]+-Br−-1 | 43.43 | 11.62 | 9.20 | 14.21 | 7.15 | |
| T-3H2O-[C10mim]+-Br−-1 | 43.22 | 11.66 | 9.07 | 14.21 | 6.94 | |
| Interaction | T-Br− | T-[Cnmim]+ | ||||
| lpBr− → σ*N3-H | lpBr→ σ*N1-H | π→π+ | π←π+ | |||
| T-2H2O-[C2mim]+-2Br−-1 | 68.47 | 43.14 | 12.75 | 7.77 | ||
| T-2H2O-[C4mim]+-2Br−-1 | 68.84 | 39.29 | 11.83 | 7.86 | ||
| T-2H2O-[C6mim]+-2Br−-1 | 68.13 | 40.04 | 11.70 | 8.11 | ||
| T-2H2O-[C8mim]+-2Br−-1 | 69.01 | 41.97 | 11.70 | 8.11 | ||
| T-2H2O-[C10mim]+-2Br−-1 | 68.38 | 40.13 | 11.87 | 8.07 | ||
| Interaction | [Cnmim]+-Br− | |||||
| lpBr−→ σ*+C(7)-H | lpBr− → σ*+C(6)-H | lpBr− → σ*+C(2)-H | lpBr−→ σ*+C(4)-H | |||
| T-2H2O-[C2mim]+-2Br−-1 | 12.16 | 8.03 | 6.98 | 2.09 | ||
| T-2H2O-[C4mim]+-2Br−-1 | 14.13 | 8.53 | 7.69 | - | ||
| T-2H2O-[C6mim]+-2Br−-1 | 13.75 | 8.19 | 8.15 | 2.05 | ||
| T-2H2O-[C8mim]+-2Br−-1 | 13.88 | 8.49 | 7.69 | - | ||
| T-2H2O-[C10mim]+-2Br−-1 | 13.63 | 7.98 | 7.98 | 2.05 | ||
| Interaction | T-Br− | T-[Cnmim]+ | ||||
| lpBr−→ σ*N3-H | lpBr−→ σ*N1-H | lpO7→ σ*+C(6)-H | π←π+ | π→π+ | ||
| T-1H2O-2[C2mim]+-2Br−-1 | 76.33 | 60.07 | 2.38 | 10.95 | 27.80 | |
| T-1H2O-2[C4mim]+-2Br−-1 | 75.62 | 57.10 | 2.26 | 11.12 | 27.63 | |
| T-1H2O-2[C6mim]+-2Br−-1 | 76.03 | 57.18 | 2.68 | 10.99 | 26.25 | |
| T-1H2O-2[C8mim]+-2Br−-1 | 75.28 | 58.44 | 2.34 | 11.20 | 26.92 | |
| T-1H2O-2[C10mim]+-2Br−-1 | 75.99 | 57.39 | 2.34 | 11.20 | 27.92 | |
| Interaction | [Cnmim]+-Br− | |||||
| lpBr−→ σ*+C(2)-H | lpBr−→ σ*+C(7)-H | lpBr−→π* +C(2)-N3 | lpBr−→σ*+C(6)-H | |||
| T-1H2O-2[C2mim]+-2Br−-1 | 7.94 | 5.48 | 4.97 | - | ||
| T-1H2O-2[C4mim]+-2Br−-1 | 8.23 | 5.52 | 4.81 | 4.60 | ||
| T-1H2O-2[C6mim]+-2Br−-1 | 8.36 | 6.31 | 4.72 | 2.34 | ||
| T-1H2O-2[C8mim]+-2Br−-1 | 8.19 | 5.89 | 4.89 | 4.22 | ||
| T-1H2O-2[C10mim]+-2Br−-1 | 8.19 | 5.14 | 4.93 | 2.26 | ||
Publisher’s Note: MDPI stays neutral with regard to jurisdictional claims in published maps and institutional affiliations. |
© 2022 by the authors. Licensee MDPI, Basel, Switzerland. This article is an open access article distributed under the terms and conditions of the Creative Commons Attribution (CC BY) license (https://creativecommons.org/licenses/by/4.0/).
Share and Cite
Wang, Y.; Dai, C.; Huang, W.; Ni, T.; Cao, J.; Pang, J.; Wei, H.; Wang, C. Density Functional Method Study on the Cooperativity of Intermolecular H-bonding and π-π+ Stacking Interactions in Thymine-[Cnmim]Br (n = 2, 4, 6, 8, 10) Microhydrates. Molecules 2022, 27, 6242. https://doi.org/10.3390/molecules27196242
Wang Y, Dai C, Huang W, Ni T, Cao J, Pang J, Wei H, Wang C. Density Functional Method Study on the Cooperativity of Intermolecular H-bonding and π-π+ Stacking Interactions in Thymine-[Cnmim]Br (n = 2, 4, 6, 8, 10) Microhydrates. Molecules. 2022; 27(19):6242. https://doi.org/10.3390/molecules27196242
Chicago/Turabian StyleWang, Yanni, Chaowu Dai, Wei Huang, Tingting Ni, Jianping Cao, Jiangmei Pang, Huining Wei, and Chaojie Wang. 2022. "Density Functional Method Study on the Cooperativity of Intermolecular H-bonding and π-π+ Stacking Interactions in Thymine-[Cnmim]Br (n = 2, 4, 6, 8, 10) Microhydrates" Molecules 27, no. 19: 6242. https://doi.org/10.3390/molecules27196242
APA StyleWang, Y., Dai, C., Huang, W., Ni, T., Cao, J., Pang, J., Wei, H., & Wang, C. (2022). Density Functional Method Study on the Cooperativity of Intermolecular H-bonding and π-π+ Stacking Interactions in Thymine-[Cnmim]Br (n = 2, 4, 6, 8, 10) Microhydrates. Molecules, 27(19), 6242. https://doi.org/10.3390/molecules27196242
