Composition, Color Stability and Antioxidant Properties of Betalain-Based Extracts from Bracts of Bougainvillea
Abstract
:1. Introduction
2. Results
2.1. Colorimeter Analysis for the Bracts of Bougainvillea sp.
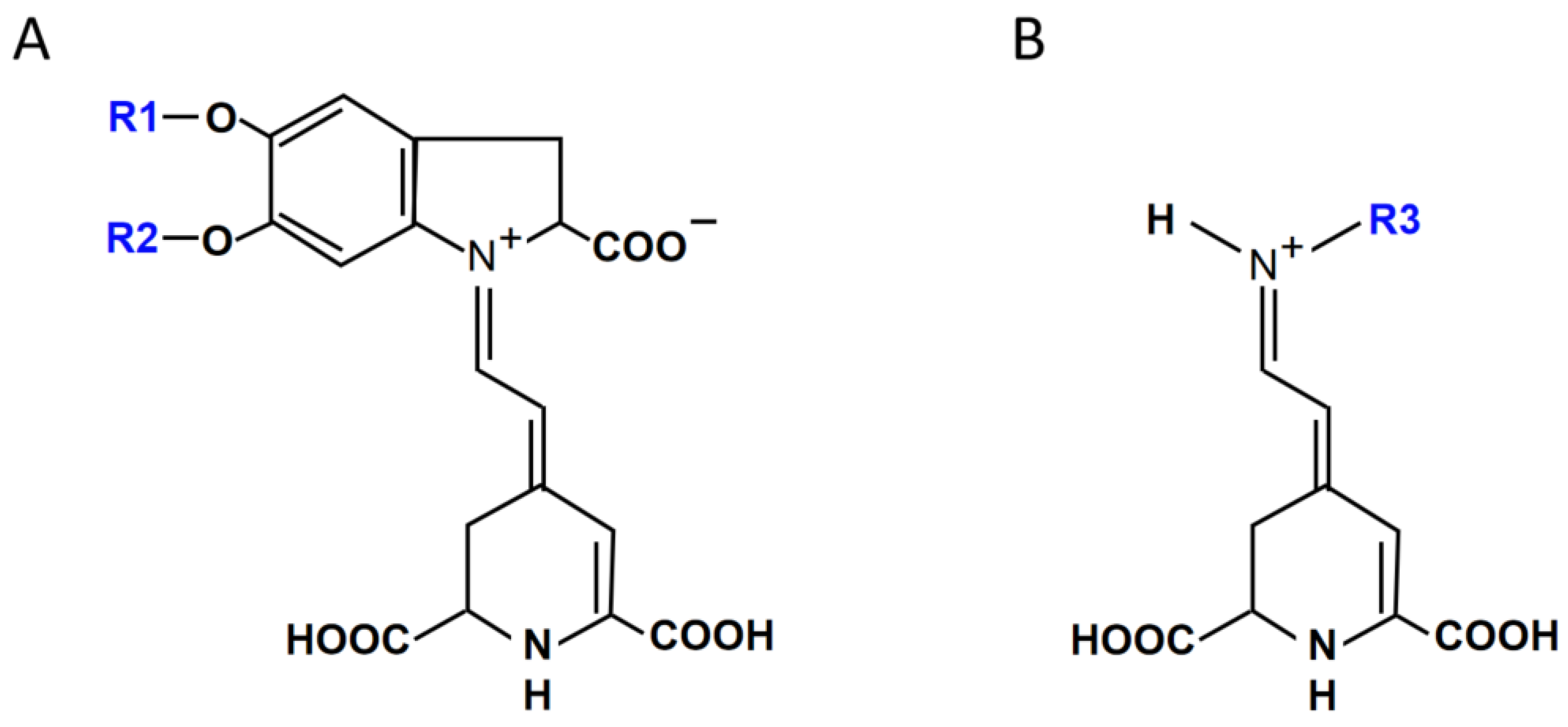
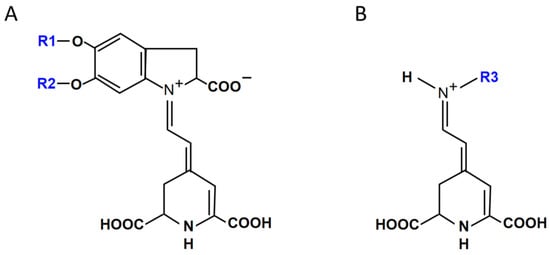
2.2. Spectral and Composition Analysis for Betalain-Based Extracts from Bougainvillea Bracts
2.3. Color and Spectra Analysis for Bougainvillea Betalain Extracts at Different pHs
2.4. Storage Stability for Bougainvillea Betalain Extracts at Different pHs
2.5. Antioxidant Activities for Bougainvillea Betalain Extracts at Different pHs
3. Discussion
3.1. How to Distinguish Betalains from Anthocyanins
3.2. Contents and Proportion of Bc and Bx Betalains Account for the Varied Colors of Bougainvillea
3.3. Bougainvillea Betalains as Potential Natural Colorants and Antioxidants
4. Materials and Methods
4.1. Materials
4.2. Colorimeter Analysis
4.3. Spectral and Composition Analysis for Bougainvillea Betalain-Based Extracts
4.4. Color Stability Analysis for Bougainvillea Betalain-Based Extracts at Different pHs
4.5. Thermal Degradation Kinetics
4.6. Measurement of Antioxidant Activities for BBEs at Different pHs
5. Conclusions
Supplementary Materials
Author Contributions
Funding
Institutional Review Board Statement
Informed Consent Statement
Data Availability Statement
Acknowledgments
Conflicts of Interest
References
- Martins, N.; Roriz, C.L.; Morales, P.; Barros, L.; Ferreira, I.C.F.R. Food colorants: Challenges, opportunities and current desires of agro-industries to ensure consumer expectations and regulatory practices. Trends Food Sci. Technol. 2016, 52, 1–15. [Google Scholar] [CrossRef]
- Madadi, E.; Mazloum-Ravasan, S.; Yu, J.S.; Ha, J.W.; Hamishehkar, H.; Kim, K.H. Therapeutic application of betalains: A review. Plants 2020, 9, 1219. [Google Scholar] [CrossRef] [PubMed]
- Delgado-Vargas, F.; Jimenez, A.R.; Paredes-Lopez, O. Natural pigments: Carotenoids, anthocyanins, and betalains—Characteristics, biosynthesis, processing, and stability. Crit. Rev. Food Sci. 2000, 40, 173–289. [Google Scholar] [CrossRef]
- Stintzing, F.C.; Carle, R. Functional properties of anthocyanins and betalains in plants, food, and in human nutrition. Trends Food Sci. Technol. 2004, 15, 19–38. [Google Scholar] [CrossRef]
- Esatbeyoglu, T.; Wagner, A.E.; Schini-Kerth, V.B.; Rimbach, G. Betanin—A food colorant with biological activity. Mol. Nutr. Food Res. 2015, 59, 36–47. [Google Scholar] [CrossRef]
- Khan, M.I. Plant betalains: Safety, antioxidant activity, clinical efficacy, and bioavailability. Compr. Rev. Food Sci. Food Saf. 2016, 15, 316–330. [Google Scholar] [CrossRef] [PubMed]
- Khan, M.I. Stabilization of betalains: A review. Food Chem. 2016, 197, 1280–1285. [Google Scholar] [CrossRef] [PubMed]
- Wu, H.Y.; Yang, K.M.; Chiang, P.Y. Roselle anthocyanins: Antioxidant properties and stability to heat and pH. Molecules 2018, 23, 1357. [Google Scholar] [CrossRef] [PubMed]
- Grotewold, E. The genetics and biochemistry of floral pigments. Annu. Rev. Plant Biol. 2006, 57, 761–780. [Google Scholar] [CrossRef]
- Gandia-Herrero, F.; Garcia-Carmona, F. Biosynthesis of betalains: Yellow and violet plant pigments. Trends Plant Sci. 2013, 18, 334–343. [Google Scholar] [CrossRef] [PubMed]
- Polturak, G.; Heinig, U.; Grossman, N.; Battat, M.; Leshkowitz, D.; Malitsky, S.; Rogachev, I.; Aharoni, A. Transcriptome and metabolic profiling provides insights into betalain biosynthesis and evolution in Mirabilis jalapa. Mol. Plant 2018, 11, 189–204. [Google Scholar] [CrossRef] [PubMed]
- Sadowska-Bartosz, I.; Bartosz, G. Biological properties and applications of betalains. Molecules 2021, 26, 2520. [Google Scholar] [CrossRef] [PubMed]
- Vieira Teixeira da Silva, D.; Dos Santos Baiao, D.; de Oliveira Silva, F.; Alves, G.; Perrone, D.; Mere Del Aguila, E.; Vania, M.F.P. Betanin, a natural food additive: Stability, bioavailability, antioxidant and preservative ability assessments. Molecules 2019, 24, 458. [Google Scholar] [CrossRef] [PubMed]
- Kumar, S.; Brooks, M.S.-L. Use of red beet (Beta vulgaris L.) for antimicrobial applications—A critical review. Food Bioprocess Technol. 2018, 11, 17–42. [Google Scholar] [CrossRef]
- Acree, T.E.; Lee, C.Y.; Butts, R.M.; Barnard, J. Geosmin, the earth component of table beet odour. J. Agric. Food Chem. 1976, 24, 430–431. [Google Scholar] [CrossRef]
- Castellar, R.; Obon, J.M.; Alacid, M.; Fernandez-Lopez, J.A. Color properties and stability of betacyanins from Opuntia fruits. J. Agric. Food Chem. 2003, 51, 2772–2776. [Google Scholar] [CrossRef] [PubMed]
- Ferdous, A.; Janta, R.A.; Arpa, R.N.; Afroze, M.; Khan, M.; Moniruzzaman, M. The leaves of Bougainvillea spectabilis suppressed inflammation and nociception in vivo through the modulation of glutamatergic, cGMP, and ATP-sensitive K(+) channel pathways. J. Ethnopharmacol. 2020, 261, 113148. [Google Scholar] [CrossRef]
- Abarca-Vargas, R.; Petricevich, V.L. Extract from Bougainvillea xbuttiana (variety orange) inhibits production of LPS-induced inflammatory mediators in macrophages and exerts a protective effect in vivo. BioMed Res. Int. 2019, 2019, 2034247. [Google Scholar] [CrossRef] [PubMed]
- Kugler, F.; Stintzing, F.C.; Carle, R. Characterisation of betalain patterns of differently coloured inflorescences from Gomphrena globosa L. and Bougainvillea sp. by HPLC–DAD–ESI–MS n. Anal. Bioanal. Chem. 2007, 387, 637–648. [Google Scholar] [CrossRef]
- Von Elbe, J.H. Stability of betalaines as food colors. Food Technol. 1975, 5, 42–44. [Google Scholar]
- Fu, X.; Wu, Q.; Wang, J.; Chen, Y.; Zhu, G.; Zhu, Z. Spectral characteristic, storage stability and antioxidant properties of anthocyanin extracts from flowers of butterfly pea (Clitoria ternatea L.). Molecules 2021, 26, 7000. [Google Scholar] [CrossRef] [PubMed]
- Gandia-Herrero, F.; Escribano, J.; Garcia-Carmona, F. Biological activities of plant pigments betalains. Crit. Rev. Food Sci. 2016, 56, 937–945. [Google Scholar] [CrossRef] [PubMed]
- Jain, G.; Gould, K.S. Are betalain pigments the functional homologues of anthocyanins in plants? Environ. Exp. Bot. 2015, 119, 48–53. [Google Scholar] [CrossRef]
- Li, G.; Meng, X.; Zhu, M.; Li, Z. Research progress of betalain in response to adverse stresses and evolutionary relationship compared with anthocyanin. Molecules 2019, 24, 3078. [Google Scholar] [CrossRef] [PubMed]
- Houghton, A.; Appelhagen, I.; Martin, C. Natural blues: Structure meets function in anthocyanins. Plants 2021, 10, 726. [Google Scholar] [CrossRef] [PubMed]
- Heuer, S.; Richter, S.; Metzger, J.W.; Wray, V.; Nimtz, M.; Strack, D. Betacyanins from bracts of Bougainvillea glabra. Phytochemistry 1994, 37, 761–767. [Google Scholar] [CrossRef]
- Stintzing, F.C.; Schieber, A.; Carle, R. Evaluation of colour properties and chemical quality parameters of cactus juices. Eur. Food Res. Technol. 2003, 216, 303–311. [Google Scholar] [CrossRef]
- Cabanes, J.; García-Cánovas, F.; Lozano, J.; García-Carmona, F. A kinetic study of the melanization pathway between l-tyrosine and dopachrome. BBA-Gen. Subj. 1987, 923, 187–195. [Google Scholar] [CrossRef]
- Deng, J.; Wu, D.; Shi, J.; Balfour, K.; Wang, H.; Zhu, G.; Liu, Y.; Wang, J.; Zhu, Z. Multiple MYB activators and repressors collaboratively regulate the juvenile red fading in leaves of sweetpotato. Front. Plant Sci. 2020, 11, 941. [Google Scholar] [CrossRef] [PubMed]





| pH Values | Betacyanin (Mature-Purple) | Betacyanin (Young-Red) | Betaxanthin (Young-Red) | Betaxanthin (Orange) | ||||
|---|---|---|---|---|---|---|---|---|
| k (d−1) | t1/2 (day) | k (d−1) | t1/2 (day) | k (d−1) | t1/2 (day) | k (d−1) | t1/2 (day) | |
| pH 1 | 0.209 | 3.44 | 0.213 | 3.39 | 0.651 | 1.12 | 0.098 | 8.93 |
| pH 2 | 0.283 | 2.78 | 0.337 | 2.54 | 0.411 | 2.35 | 0.113 | 7.72 |
| pH 3 | 0.059 | 13.14 | 0.108 | 17.45 | 0.411 | 2.90 | 0.096 | 8.65 |
| pH 4 | 0.055 | 13.48 | <0 | – | <0 | – | <0 | – |
| pH 5 | 0.057 | 12.68 | <0 | – | <0 | – | <0 | – |
| pH 6 | 0.060 | 11.67 | <0 | – | <0 | – | <0 | – |
| pH 7 | 0.105 | 6.67 | <0 | – | <0 | – | <0 | – |
| pH 8 | 0.154 | 4.69 | <0 | – | <0 | – | <0 | – |
| pH 9 | – | <1 | <0 | – | <0 | – | <0 | – |
| pH 10 | – | <1 | – | <1 | – | <1 | – | <1 |
| pH 11 | – | <1 | – | <1 | – | <1 | – | 0 |
| pH 12 | – | 0 | – | 0 | – | 0 | – | 0 |
| pH 13 | – | 0 | – | 0 | – | 0 | – | 0 |
Publisher’s Note: MDPI stays neutral with regard to jurisdictional claims in published maps and institutional affiliations. |
© 2022 by the authors. Licensee MDPI, Basel, Switzerland. This article is an open access article distributed under the terms and conditions of the Creative Commons Attribution (CC BY) license (https://creativecommons.org/licenses/by/4.0/).
Share and Cite
Wu, Q.; Fu, X.; Chen, Z.; Wang, H.; Wang, J.; Zhu, Z.; Zhu, G. Composition, Color Stability and Antioxidant Properties of Betalain-Based Extracts from Bracts of Bougainvillea. Molecules 2022, 27, 5120. https://doi.org/10.3390/molecules27165120
Wu Q, Fu X, Chen Z, Wang H, Wang J, Zhu Z, Zhu G. Composition, Color Stability and Antioxidant Properties of Betalain-Based Extracts from Bracts of Bougainvillea. Molecules. 2022; 27(16):5120. https://doi.org/10.3390/molecules27165120
Chicago/Turabian StyleWu, Qiang, Xueying Fu, Zhuo Chen, Huafeng Wang, Jian Wang, Zhixin Zhu, and Guopeng Zhu. 2022. "Composition, Color Stability and Antioxidant Properties of Betalain-Based Extracts from Bracts of Bougainvillea" Molecules 27, no. 16: 5120. https://doi.org/10.3390/molecules27165120
APA StyleWu, Q., Fu, X., Chen, Z., Wang, H., Wang, J., Zhu, Z., & Zhu, G. (2022). Composition, Color Stability and Antioxidant Properties of Betalain-Based Extracts from Bracts of Bougainvillea. Molecules, 27(16), 5120. https://doi.org/10.3390/molecules27165120

