Selective Removal of the Emerging Dye Basic Blue 3 via Molecularly Imprinting Technique
Abstract
:1. Introduction
2. Materials and Methods
2.1. Materials
2.2. Characterization of Molecularly Imprinting Polymer and Non Imprinting Polymer
2.3. Preparation of MIP and NIP
2.4. Binding Adsorption Analysis
2.5. Selectivity Study
2.6. Application in Real Water
3. Results and Discussion
3.1. Choice of the Materials
3.2. Characterization
3.2.1. Characterization of Synthesized Polymer by SEM
3.2.2. Characterization of Polymer by FTIR
3.2.3. Analysis by Brunauer–Emmett–Teller
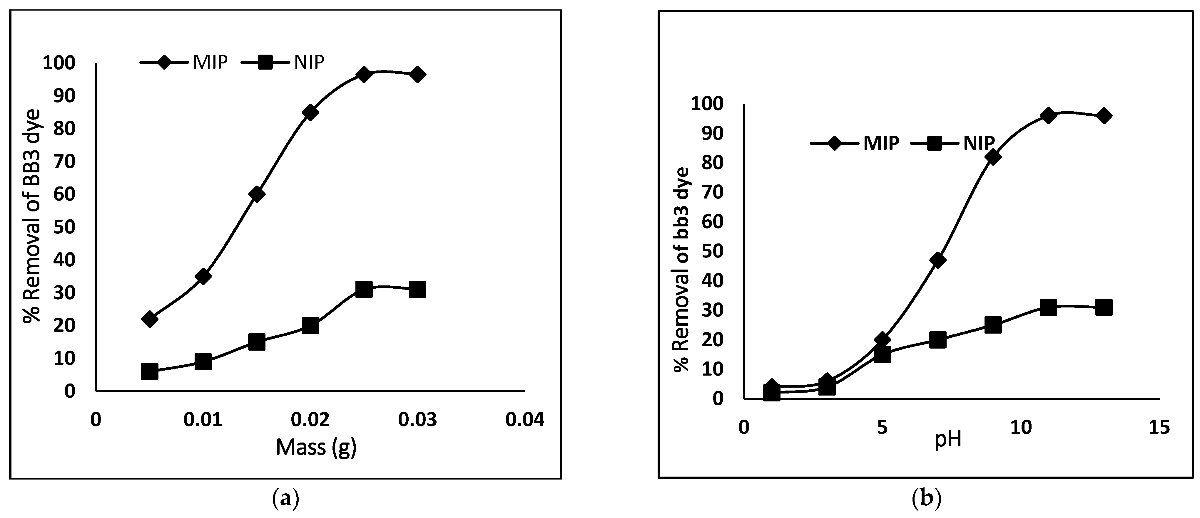
3.3. Effect of Adsorbent Dose and pH
3.4. Contact Time Studies as a Function of Temperature
3.5. Kinetic Models
3.5.1. Pseudo 1st t Order Kinetics
3.5.2. Pseudo 2nd Order Kinetic
3.5.3. Intraparticle Diffusion Model
3.6. Adsorption Isotherms
3.6.1. Langmuir Model
3.6.2. Freundlich Model
3.7. Thermodynamic Study
3.8. Selectivity Study
3.9. Imprinting Factor and Distribution Ratio
3.10. Real Sample Application
4. Conclusions
Author Contributions
Funding
Institutional Review Board Statement
Informed Consent Statement
Acknowledgments
Conflicts of Interest
References
- Foguel, M.V.; Pedro, N.T.B.; Wong, A.; Khan, S.; Zanoni, M.V.B.; Sotomayor, M.D.P.T. Synthesis and evaluation of a molecularly imprinted polymer for selective adsorption and quantification of Acid Green 16 textile dye in water samples. Talanta 2017, 170, 244–251. [Google Scholar] [CrossRef] [PubMed] [Green Version]
- Yang, X.Q.; Zhao, X.X.; Liu, C.Y.; Zheng, Y.; Qian, S.J. Decolorization of Azo, Triphenylmethane and Anthraquinone Dyes by a Newly Isolated Trametes sp. SQ01 and Its Laccase. Process Biochem. 2009, 44, 1185–1189. [Google Scholar] [CrossRef]
- Bisgin, A.T.; Surme, Y.; Ucan, M.; Narin, I. Simultaneous spectrophotometric determination and column solid-phase extraction of two Lanaset textile dyes in environmental water samples. J. Ind. Eng. Chem. 2016, 38, 186–192. [Google Scholar] [CrossRef]
- Ton, X.A.; Acha, V.; Bonomi, P.; Bui, B.T.S.; Haupt, K. A disposable evanes-cent wave fiber optic sensor coated with a molecularly imprinted polymer as a selective fluorescence probe. Biosens. Bioelectron. 2015, 64, 359–366. [Google Scholar] [CrossRef] [PubMed]
- Munagapati, V.S.; Yarramuthib, V.; Kim, Y.; Lee, K.M.; Kim, D.S. Removal of anionic dyes (Reactive black 5 and Congo red) from aqueous solutions using banana peel powder as an adsorbent. Ecotoxicol. Environ. Saf. 2018, 148, 601–607. [Google Scholar] [CrossRef]
- Salahi, S.; Parvini, M.; Ghorbani, M. Equilibrium studies in adsorption of Hg (II) from aqueous solutions using biocompatible polymeric polypyrrole-chitosan nanocomposite. Polycycl. Aromat. Compd. 2014, 34, 225–236. [Google Scholar] [CrossRef]
- Zhang, Y.; Xie, Z.; Teng, X.; Fan, J. Synthesis of molecularly imprinted polymer nanoparticles for the fast and highly selective adsorption of sunset yellow. J. Sep. Sci. 2016, 39, 1559–1566. [Google Scholar] [CrossRef]
- Shafqat, S.R.; Bhawani, S.A.; Bakhtiar, S.; Ibrahim, M.N.M. Synthesis of molecularly imprinted polymer for removal of Congo red. BMC Chem. 2020, 14, 27. [Google Scholar] [CrossRef] [Green Version]
- Qiujin, Z.; Liping, W.; Shengfang, W.; Wasswa, J.; Xiaohong, G.; Jian, T. Selectivity of molecularly imprinted solid phase extraction for sterol compounds. Food Chem. 2009, 113, 608–615. [Google Scholar]
- Regal, P.; Bao, M.D.; Barreiro, R.; Cepeda, A.; Fente, C. Application of molecularly imprinted polymers in food analysis: Clean-up and chromatographic improvements. Cent. Eur. J. Chem. 2012, 10, 766–784. [Google Scholar] [CrossRef]
- Feng, Q.; Zhao, L.; Lin, J.M. Molecularly imprinted polymer as micro-solid phase extraction combined with high performance liquid chromatography to determine phenolic compounds in environmental water samples. Anal. Chim. Acta 2009, 650, 70–76. [Google Scholar] [CrossRef] [PubMed]
- Ashley, J.; Shahbazi, M.A.; Kant, K.; Chidambara, V.A.; Wolff, A.; Bang, D.D.; Sun, Y. Molecularly imprinted polymers for sample preparation and biosensing in food analysis: Progress and perspectives. Biosens. Bioelectron. 2017, 91, 606–615. [Google Scholar] [CrossRef] [PubMed] [Green Version]
- Foguel, M.V.; Ton, X.A.; Zanoni, M.V.B.; Sotomayor, M.D.P.T.; Haupt, K.; Bui, B.T.S. A molecularly imprinted polymer-based evanescent wave fiber optic sensor for the detection of basic red 9 dye. Sens. Actuators B 2015, 218, 222–228. [Google Scholar] [CrossRef] [Green Version]
- Moczko, E.; Poma, A.; Guerreiro, A.; Sansalvador, I.P.D.V.; Caygill, S.; Canfarotta, F.; Whitcombe, M.J.; Piletsky, S. Surface-modified multifunctional MIP nanoparticles. Nanoscale 2013, 5, 3733–3741. [Google Scholar] [CrossRef] [PubMed] [Green Version]
- Dirion, B.; Cobb, Z.; Schillinger, E.; Andersson, L.I.; Sellergren, B. Water-compatible molecularly imprinted polymers obtained via high-throughput synthesis and experimental design. J. Am. Chem. Soc. 2003, 125, 15101–15109. [Google Scholar] [CrossRef]
- Piyush, S.; Agnieszka, P.L.S.; Francis, D.S.; Wlodzimierz, K. Electrochemically synthesized polymers in molecular imprinting for chemical sensing. Anal. Bioanal. Chem. 2012, 402, 3177–3204. [Google Scholar]
- Zhou, T.C.; Shen, X.T.; Chaudhary, S.; Ye, L. Molecularly imprinted polymer beads prepared by pickering emulsion polymerization for steroid recognition. J. Appl. Polym. Sci. 2014, 131, 39606. [Google Scholar] [CrossRef]
- Yang, J.J.; Li, Y.; Wang, J.C.; Sun, X.L.; Cao, R.; Sun, H. Molecularly imprinted polymer microspheres prepared by Pickering emulsion polymerization for selective solid-phase extraction of eight bisphenols fromhuman urine samples. Anal. Chim. Acta 2015, 872, 35–45. [Google Scholar] [CrossRef]
- Abdallah, N.A.; Ibhrahim, H.F.; Hegabe, N.H. Comparative Study of Molecularly Imprinted Polymer and Magnetic Molecularly Imprinted Nanoparticles as Recognition Sites for the Potentiometric Determination of Gemifloxacin Mesylate. Int. J. Electrochem. Sci. 2017, 12, 10894–10910. [Google Scholar] [CrossRef]
- Zhang, W.; She, X.; Wang, L.; Fan, H.; Zhou, Q.; Huang, X.; Tang, J.Z. Preparation, Characterization and pplication of Molecularly Imprinted Polymer for Selective Recognition of Sulpiride. Materials 2017, 10, 475. [Google Scholar] [CrossRef] [Green Version]
- Awokoya, K.N.; Oninla, V.O.; Babalola, J.O.; Mbaeyi, N.N.; Folorunso, F.T.; Ndukwe, N.A. Adsorption of malachite green onto styrene-methacrylate based molecularly imprinted polymer. J. Life Sci. 2019, 21, 67–80. [Google Scholar] [CrossRef]
- Asadi, E.; Deilami, S.A.; Abdouss, M.; Kordestani, D.; Rahimi, A.; Asadi, S. Synthesis, recognition and evaluation of molecularly imprinted polymer nanoparticle using miniemulsion polymerization for controlled release and analysis of risperidone in human plasma samples. Korean J. Chem. Eng. 2014, 31, 1028–1035. [Google Scholar] [CrossRef]
- Farrington, K.; Regan, F. Investigation of the nature of MIP recognition development and characterisation of a MIP for Ibuprofen. Biosens. Bioelectron. 2007, 22, 1138–1146. [Google Scholar] [CrossRef] [PubMed]
- Cormack, P.A.G.; Elorza, A.Z. Molecularly imprinted polymers: Synthesis and characterization. J. Chromatogr. B 2004, 804, 173–182. [Google Scholar] [CrossRef]
- Farooq, S.; Nie, J.; Cheng, Y.; Yan, Z.; Li, J.; Bacha, S.A.S.; Mushtaqa, A.; Zhang, H. Molecularly imprinted polymers’ application in pesticide residue detection. Analyst 2018, 143, 3971–3989. [Google Scholar] [CrossRef]
- Maryam, F.; Mohammad, A.T.; Daryoush, A.; Ali, M. Preparation of molecularly imprinted polymer coated magnetic multi-walled carbon nanotubes for selective removal of dibenzothiophene. Mater. Sci. Semicond. Process. 2015, 40, 501–507. [Google Scholar]
- Ho, Y.S.; McKay, C. Pseudo second order model for sorption processes. Proc. Biochem. 1999, 34, 451–465. [Google Scholar] [CrossRef]
- Weber, J.; Morris, J.C. Kinetics of adsorption on carbon from solution. J. Sanit. Eng. Div. Asce. 1963, 89, 31–59. [Google Scholar] [CrossRef]
- Poots, V.J.P.; McKay, G.; Healy, J.J. Removal of basic dye from effluent using wood as an adsorbent. J. Water Pollut. Control Fed. 1978, 50, 926–935. [Google Scholar]
- Zhang, Y.L.; Zhang, J.; Dai, C.M.; Zhou, X.F.; Liu, S.G. Sorption of carbamazepine from water by magnetic molecularly imprinted polymers based on chitosan-Fe3O4. Carbohydr. Polym. 2013, 97, 809–816. [Google Scholar] [CrossRef]
- Gautam, R.K.; Rawat, V.; Banerjee, S.; Sanroman, M.A.; Soni, S.; Singh, S.K.; Chattopadhyaya, M.C. Synthesis of bimetallic Fe–Zn nanoparticles and its application towards adsorptive removal of carcinogenic dye malachite green and Congo red in water. J. Mol. Liq. 2015, 212, 227–236. [Google Scholar] [CrossRef]
- Pandian, C.J.; Palanivel, R.; Dhananasekaran, S. Green synthesis of nickel nanoparticles using Ocimum sanctum and their application in dye and pollutant adsorption. Sep. Sci. Technol. 2015, 23, 1307–1315. [Google Scholar] [CrossRef]
- Hameed, H.; Ahmad, A.A. Batch adsorption of methylene blue from aqueous solution by garlic peel, an agricultural waste biomass. J. Hazard. Mater. 2009, 164, 870–875. [Google Scholar] [CrossRef] [PubMed]
- Gautam, R.K.; Gautam, P.K.; Banerjee, S.; Soni, S.; Singh, S.K.; Chattopadhyaya, M.C. Removal of Ni (II) by magnetic nanoparticles. J. Mol. Liq. 2015, 204, 60–69. [Google Scholar] [CrossRef]
- Jain, R.; Gupta, V.K.; Sikarwar, S. Adsorption and desorption studies on hazardous dye Naphthol Yellow S. J. Hazard. Mater. 2010, 182, 749–756. [Google Scholar] [CrossRef]
- Zahoor, M.; Nazir, N.; Iftikhar, M.; Naz, S.; Zekker, I.; Burlakovs, J.; Uddin, F.; Kamran, A.W.; Kallistova, A.; Pimenov, N.; et al. A Review on Silver Nanoparticles: Classification, Various Methods of Synthesis, and Their Potential Roles in Biomedical Applications and Water Treatment. Water. 2021, 13, 2216. [Google Scholar] [CrossRef]
- Harsini, N.N.; Ansari, M.; Kazemipour, M. Synthesis of molecularly imprinted polymer on magnetic core-shell silica nanoparticles for recognition of congo red. Eurasian J. Anal. Chem. 2018, 13, 1–13. [Google Scholar] [CrossRef]
- Crini, G.; Gimbert, F.; Robert, C.; Martel, B.; Adama, O.; Crini, N.M.; Giorgi, F.D.; Badot, P.M. The removal of Basic Blue 3 from aqueous solutions by chitosan-based adsorbent: Batch studies. J. Hazard. Mater. 2008, 153, 96–106. [Google Scholar] [CrossRef]
- Wawrzkiewicz, M. Removal of C.I. Basic Blue 3 dye by sorption onto cation exchange resin, functionalized and non-functionalized polymeric sorbents from aqueous solutions and wastewaters. Chem. Eng. J. 2013, 217, 414–425. [Google Scholar] [CrossRef]
- Ouazene, N.; Lounis, A. Adsorption characteristics of CI Basic Blue 3 from aqueous solution onto Aleppo pine-tree sawdust. Color Technol. 2012, 128, 21–27. [Google Scholar] [CrossRef]
- Chana, S.L.; Tana, Y.P.; Abdullaha, A.H.; Ong, S.T. Equilibrium, kinetic and thermodynamic studies of a new potential biosorbent for the removal of Basic Blue 3 and Congo Red dyes: Pineapple (Ananas comosus) plant stem. J. Taiwan Inst. Chem. Eng. 2016, 61, 306–315. [Google Scholar] [CrossRef]
- Ong, T.; Tan, S.Y.; Khoo, E.C.; Lee, S.L.; Ha, S.T. Equilibrium studies for Basic blue 3 adsorption onto durian peel (Durio zibethinus Murray). Desalin Water Treat. 2012, 45, 161–169. [Google Scholar] [CrossRef]
- Barsanescu, A.; Buhaceanu, R.; Dulman, V. Removal of Basic Blue 3 by sorption onto a weak acid acrylic resin. J. Appl. Polym. Sci. 2009, 113, 607–614. [Google Scholar] [CrossRef]
- Contreras, E.; Martinez, B.; Sepúlveda, L.; Palma, C. Kinetics of basic dye adsorption onto Sphagnum Magellanicum peat. Adsorpt. Sci. Technol. 2007, 25, 637–646. [Google Scholar] [CrossRef] [Green Version]
- Ong, S.T.; Lee, C.K.; Zainal, Z. Removal of basic and reactive dyes using Ethylenediamine modified rice hull. Bioresour. Technol. 2007, 98, 2792–2799. [Google Scholar] [CrossRef] [PubMed]











| Polymers | Specific Surface Area (m2/g) | Pore Volume (cc/g) | Pore Radius (Å) |
|---|---|---|---|
| MIP | 245.321 | 0.078 | 14.492 |
| NIP | 34.072 | 0.0098 | 2.145 |
| Parameter | 283 K | 298 K | 313 K |
|---|---|---|---|
| Pseudo 1st order kinetic | |||
| K1 | 0.0794 | 0.0861 | 0.0951 |
| Qe (cal) | 17.068 | 14.197 | 11.287 |
| Qe (exp) | 48.049 | 49.528 | 49.996 |
| R2 | 0.943 | 0.9832 | 0.9833 |
| Pseudo 2nd second kinetic | |||
| K2 | 0.0079 | 0.0108 | 0.0146 |
| Qe (cal) | 50.761 | 51.813 | 51.54 |
| Qe (exp) | 48.049 | 49.528 | 49.996 |
| R2 | 0.9953 | 0.9984 | 0.9991 |
| Intraparticle diffusion | |||
| Kid (mg/g min −1/2) | 3.09 | 2.61 | 2.05 |
| C | 30.54 | 35.12 | 38.72 |
| R2 | 0.9843 | 0.999 | 0.9897 |
| 313 K | 298 K | 283 K | Parameters |
|---|---|---|---|
| Langmuir isotherm model | |||
| 91.743 | 83.33 | 78.125 | Qm (mg·g−1) |
| 0.1372 | 0.1872 | 0.1626 | KL |
| 0.9737 | 0.9837 | 0.9792 | R2 |
| Freundlich | |||
| 15.33 | 13.63 | 12.96 | Kf (mg·g−1) (L mg·g−1) |
| 0.4152 | 0.3439 | 0.5362 | 1/n |
| 0.8211 | 0.8703 | 0.8801 | R2 |
| Temperature | KJ mol−1 | KJ mol−1 | J mol−1 K−1 |
|---|---|---|---|
| 283 K | −2057 | 10.38 | 44.82 |
| 298 K | −2735 | ||
| 313 K | −3595 |
| Dyes | % Removal | Adsorption Capacity Q (mg·g−1) | Distribution Coefficient Kd (L·g−1) | Imprinting Factor IF | Selectivity | |||
|---|---|---|---|---|---|---|---|---|
| MIP | NIP | MIP | NIP | MIP | NIP | |||
| BB3 | 96 | 31 | 78.4 | 7.0 | 0.48 | 0.07 | 10.73 | - |
| Safranin | 25 | 29 | 5.34 | 6.4 | 0.3 | 0.27 | 0.83 | 6.18 |
| MB | 21 | 18 | 4.03 | 3.26 | 0.02 | 0.03 | 1.23 | 9.66 |
| BB41 | 9.3 | 10 | 1.75 | 1.87 | 0.19 | 0.05 | 0.93 | 7.37 |
| Thioflavin T | 4.76 | 5.0 | 2.0 | 2.11 | 0.20 | 0.21 | 0.94 | 7.29 |
| Samples | Amount of BB3 Added (mg/L) | Amount of BB3 Found (mg/L) | %Recovery ±SD |
|---|---|---|---|
| Distilled water | 100 | 96.2 | 96.2 ± 0.9 |
| River water | 100 | 61.1 | 31.1 ± 0.1 |
| Tap water | 100 | 82.09 | 32.09 ± 1.2 |
| Adsorbents | Adsorption Capacity (mg·g−1) | Ref |
|---|---|---|
| Chitosan-based | 166.5 | [38] |
| Amberlite XAD 1180 | 66.5 | [39] |
| Aleppo pine-tree sawdust | 65.4 | [40] |
| Pineapple stem | 58.9 | [41] |
| Durian husk | 49.5 | [42] |
| Acrylic resin | 46.95 | [43] |
| Peat | 41.00 | [44] |
| Risk Hull | 13.41 | [45] |
| MIP | 75.125 | Present study |
Publisher’s Note: MDPI stays neutral with regard to jurisdictional claims in published maps and institutional affiliations. |
© 2022 by the authors. Licensee MDPI, Basel, Switzerland. This article is an open access article distributed under the terms and conditions of the Creative Commons Attribution (CC BY) license (https://creativecommons.org/licenses/by/4.0/).
Share and Cite
Sadia, M.; Ahmad, I.; Ali, F.; Zahoor, M.; Ullah, R.; Khan, F.A.; Ali, E.A.; Sohail, A. Selective Removal of the Emerging Dye Basic Blue 3 via Molecularly Imprinting Technique. Molecules 2022, 27, 3276. https://doi.org/10.3390/molecules27103276
Sadia M, Ahmad I, Ali F, Zahoor M, Ullah R, Khan FA, Ali EA, Sohail A. Selective Removal of the Emerging Dye Basic Blue 3 via Molecularly Imprinting Technique. Molecules. 2022; 27(10):3276. https://doi.org/10.3390/molecules27103276
Chicago/Turabian StyleSadia, Maria, Izaz Ahmad, Faiz Ali, Muhammad Zahoor, Riaz Ullah, Farhat Ali Khan, Essam A. Ali, and Amir Sohail. 2022. "Selective Removal of the Emerging Dye Basic Blue 3 via Molecularly Imprinting Technique" Molecules 27, no. 10: 3276. https://doi.org/10.3390/molecules27103276
APA StyleSadia, M., Ahmad, I., Ali, F., Zahoor, M., Ullah, R., Khan, F. A., Ali, E. A., & Sohail, A. (2022). Selective Removal of the Emerging Dye Basic Blue 3 via Molecularly Imprinting Technique. Molecules, 27(10), 3276. https://doi.org/10.3390/molecules27103276

