Abstract
Alpinia oxyphylla Miquel (Zingiberaceae) has been reported to show antioxidant, anti-inflammatory, and neuroprotective effects. In this study, two new eudesmane sesquiterpenes, 7α-hydroperoxy eudesma-3,11-diene-2-one (1) and 7β-hydroperoxy eudesma-3,11-diene-2-one (2), and a new eremophilane sesquiterpene, 3α-hydroxynootkatone (3), were isolated from the MeOH extract of dried fruits of A. oxyphylla along with eleven known sesquiterpenes (4–14). The structures were elucidated by the analysis of 1D/2D NMR, high-resolution electrospray ionization mass spectrometry (HRESIMS), and optical rotation data. Compounds (1–3, 5–14) were evaluated for their protective effects against tert-butyl hydroperoxide (tBHP)-induced oxidative stress in adipose-derived mesenchymal stem cells (ADMSCs). As a result, treatment with isolated compounds, especially compounds 11 and 12, effectively reverted the damage of tBHP on ADMSCs in a dose-dependent manner. In particular, 11 and 12 at 50 µM improved the viability of tBHP-toxified ADMSCs by 1.69 ± 0.05-fold and 1.61 ± 0.03-fold, respectively.
1. Introduction
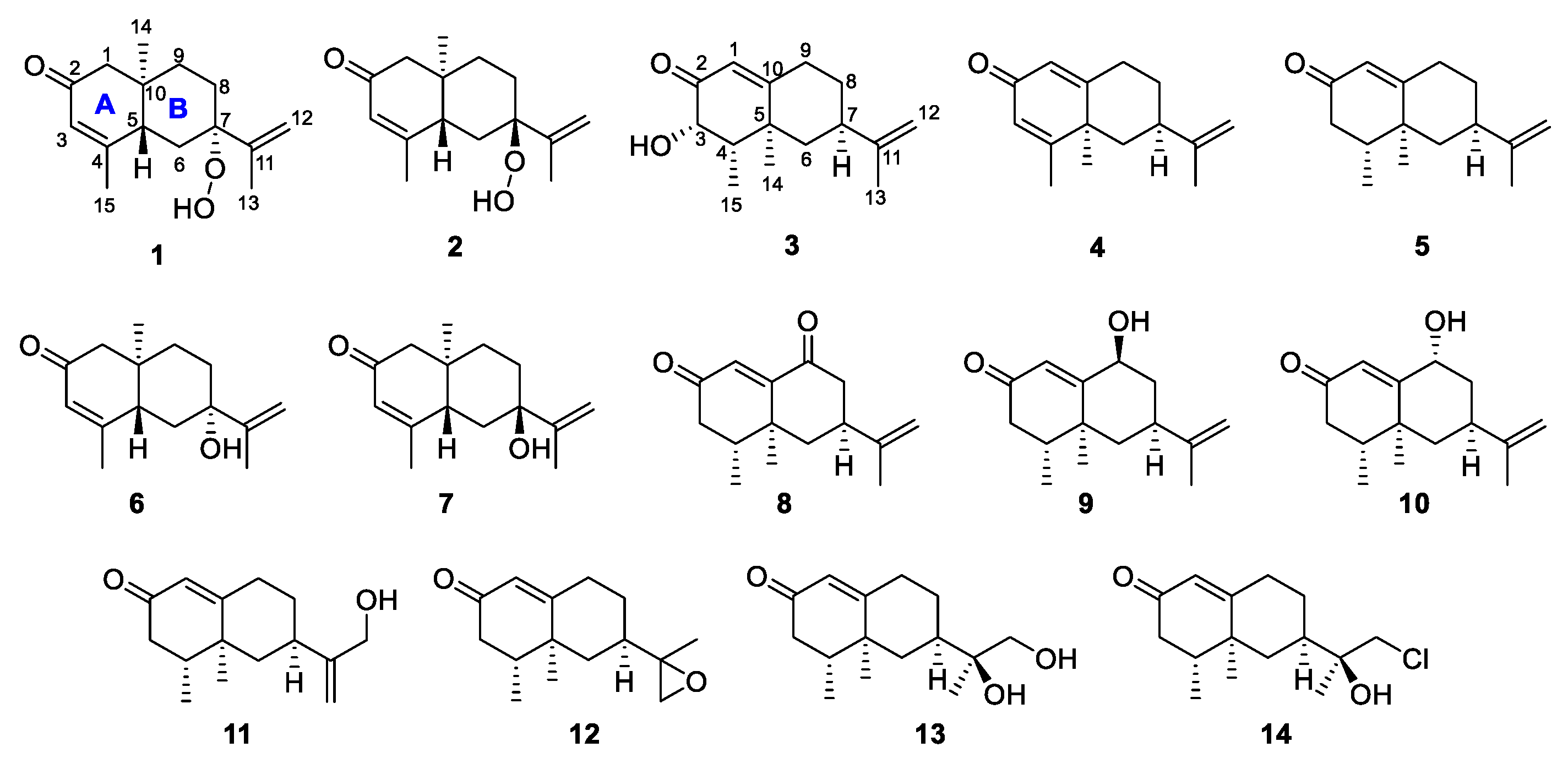
Alpinia oxyphylla Miquel (Zingiberaceae) is a flowering plant, and the genus of Alpinia comprises 250 species worldwide and is mainly distributed across subtropical regions [1]. It has been used both as a food [2] and a traditional herbal medicine in Korea, China, and Japan [3,4]. The fruit of A. oxyphylla was reported to exhibit diverse pharmacological activities, such as anti-inflammatory [5], anti-ulcer [6], anti-allergy [7], and neuroprotective effects [8]. Previous studies have revealed the presence of different classes of chemicals in A. oxyphylla, including monoterpenes [9], sesquiterpenes [1,4,10], diterpenoids [11], flavonoids [12], diarylheptanoids [12], and steroids [13]. Among them, sesquiterpenes, such as 12-hydroxynootkatone [14], nootkatone [4], oxyphyllanene C, and oxyphyllanene E [1], are responsible for the inhibition of nitric oxide (NO) production in interferon-γ and lipopolysaccharide-treated RAW264.7 macrophage cells. As part of our ongoing project to investigate the antioxidant constituents of herbal medicines, the chemical exploration of A. oxyphylla led to the identification of three novel compounds: two eudesmane sesquiterpenes—7α-hydroperoxy eudesma-3,11-diene-2-one (1) and 7β-hydroperoxy eudesma-3,11-diene-2-one (2)—and an eremophilane sesquiterpene, 3α-hydroxynootkatone (3). The following known compounds were also identified as 3,4-dehydronootkatone (4) [15], nootkatone (5) [14], 7-epi-teucrenone (6) [16], teucrenone (7) [17], 11(12)-dien-2,9-dione (8) [18], 9β-hydroxynootkatone (9) [14], oxyphyllol B (10) [10], (4R, 5S, 7R)-13-hydroxynootkatone (11) [19], nootkatone-11,12-epoxide (12) [20], nootkatone-11,12-diol (13) [14], and (11S)-12-chloronootkaton-11-ol (14) by comparison with reported data [21] (Figure 1). The isolated compounds, except for 4, due to the limited amount, were evaluated for their protective effects against tert-butyl hydroperoxide (tBHP)-induced oxidative stress in adipose-derived mesenchymal stem cells (ADMSCs). As a result, compounds 11 and 12 demonstrated potent cell-protective effects. tBHP is a powerful oxidizing compound that causes oxidative stress in stem cells. It results in reduced endogenous defense molecules, such as superoxide dismutase-SOD and glutathione. As a result, the cellular organelles such as mitochondria are damaged, which leads to cell death. In this study, we aimed to isolate sesquiterpenes from the dried fruits of A. oxyphylla and to preliminarily screen their effects of preventing the death of tBHP-toxified MSCs. Based on the results, the potent compounds will be chosen to further evaluate their effects on preserving the activity of intracellular defensive molecules in MSCs of interest in the next studies.
Figure 1.
Chemical structures of compounds isolated from Alpinia oxyphylla.
2. Results and Discussion
2.1. Structure Elucidation
Compound 1 was isolated as a yellow oil. Its molecular formula, C15H22O3, with five degrees of unsaturation, was determined based on the high-resolution electrospray ionization mass spectrometry (HRESIMS) ion peak at m/z 251.1643 [M + H]+ (calculated for C15H23O3+, 251.1642). The ion peak at m/z 217.1598 [M + H − H2O2]+ [22,23] and neutral loss of 51 Da (H2O2 + NH3) from the ammonium adduct, m/z 268.1872 [M + NH4]+ [24] are characteristic evidence for the presence of the hydroperoxy group. The 1H-NMR spectrum of 1 showed three olefinic protons (δH 5.90 (dt, J = 2.9, 1.3 Hz, 1H), 5.37 (t, J = 1.3 Hz, 1H), 5.21 (brs, 1H)), one methine (δH 2.37 (m, 1H)), four methylenes (δH 2.41 (m, 1H)/1.54 (m, 1H), 2.30 (dd, J = 16.2, 1.3 Hz, 1H)/ 2.14 (dd, J = 16.2, 1.3 Hz, 1H), 2.19 (m, 1H)/1.78 (td, J = 14.1, 4.1 Hz, 1H), 1.53 (m, 1H)/1.42 (td, J = 13.9, 4.1 Hz, 1H), and three methyls (δH 0.96 (brs, 3H), 1.93 (t, J = 1.3 Hz, 3H), 1.84 (brs, 3H)). The 13C-NMR and distortionless enhancement by polarization transfer (DEPT) spectra displayed fifteen carbon signals, including one carbonyl group at δC 198.9; four quaternary carbons at δC 162.0, 141.5, 86.7, and 37.9; four methylenes at δC 54.1, 37.2, 28.7, and 26.7; an olefinic methylene at δC 118.5; three methyls at δC 22.1, 18.9 and 17.0; one methine at δC 44.5; and one olefinic methine at δC 127.2. The 1H and 13C-NMR spectra of 1 (Table 1 and Table 2) were found to be similar to those of the known eudesmane sesquiterpene, 7-epi-teucrenone (6) [16], except for a substitution of a tertiary hydroperoxy group (δC 85.9) [25,26] instead of a tertiary hydroxy group (δC 74.4) [16] at C-7, which was supported by the downfield shifted signal of C-7 (δC 86.7). Five degrees of unsaturation indicated a dicyclic ring system possesses one carbonyl group and two double bonds. The planar structure of 1 was established based on a comprehensive analysis of COSY, HSQC, and HMBC correlations, as shown in Figure 2. Key HMBC correlations from H-1 to C-2/C-5, H-3 to C-1/C-5/C-15, H-15 to C-3/C-4/C-5, and H-5 to C-15 were used to elucidate ring A. Ring B was confirmed by HMBC correlations from H-6 to C-5/C-7/C-8/C-10 and H-8 to C-10. The HMBC correlations from H-12 to C-7 and H-13 to C-7/C-11/C-12 suggested an isopropylidene group positioned at C-7. All figures of HRESIMS and 1D, 2D NMR of compound 1 were provided in supplementary material (Figures S1–S8).
Table 1.
1H-NMR spectroscopic data of compounds 1–3.
Table 2.
13C-NMR spectroscopic data of compounds 1–3.
Figure 2.
Key HMBC (H→C) and COSY (▬) correlations of 1–3.
The relative configuration of 1 was determined through the NOESY experiment (Figure 3). The NOE correlations between H-6β and H-12b as well as H-6α and H3-14 indicated that both the C-7 hydroperoxide and C-14 methyl groups were α-positioned. In addition, the NOE correlation between H-5 and H-12b suggested a β-oriented proton at C-5. The optical rotation was obtained to determine the absolute configuration of 1; a weak negative specific rotation, : −1.2 (c 0.25, CH3OH), was observed, indicating the presence of a racemic mixture. Based on these observations, the structure of 1 was elucidated as 7α-hydroperoxy eudesma-3,11-diene-2-one.
Figure 3.
Key NOESY (H↔H) correlations of 1–3.
Compound 2 was isolated as a white powder. Its molecular formula, C15H22O3, with five degrees of unsaturation, was confirmed based on the HRESIMS ion peak at m/z 251.1639 [M + H]+ (calcd for C15H23O3+, 251.1642) (Figure S16). The fragmentation pattern showed the same pattern as mentioned in 1 to confirm the presence of a hydroperoxy group. The comparison of the 1H and 13C-NMR spectroscopic data revealed that the planar structure of 2 was identical to that of 1, which was further supported by the analysis of the 2D NMR spectra, as shown in Figure 2 (Figures S9–S15). The relative configurations of a hydroperoxy group at C-7 in the eudesmane sesquiterpene were determined using 13C-NMR chemical shift differences at C-11 and C-12 [16,17] as well as NOESY spectrum. The resonances for C-11 and C-12 in 2 were downfield and upfield shifted, respectively, both by 6 ppm, compared to those of 1, suggesting that the relative configurations at C-7 in 2 were different from those in 1. The H-6α was observed as dd with relatively large coupling constants of 14.0 Hz (2JH-6α, H-6β) and 13.2 Hz (3JH-5, H-6α), which indicated H-6α and H-6β are axial and equatorial orientations, respectively. The NOE correlations between H-6α and H-14, as well as between H-6α and H-12a revealed that an isopropylidene group at C-7 of 2 was positioned on the same side with a methyl group (H3-14). Again, to determine the absolute configuration of 2, the optical rotation was obtained, and a weak positive specific rotation, : +3.16 (c 0.19, CH3OH), was observed, concluding the presence of a racemic mixture. Based on these observations, the structure of 2 was elucidated as 7β-hydroperoxy eudesma-3,11-diene-2-one, a 7-epimer of 1.
Compound 3 was isolated as a white powder. Its molecular formula, C15H22O2, with five degrees of unsaturation, was determined based on the HRESIMS ion peak at m/z 235.1692 [M + H]+ (calcd for C15H23O2+, 235.1693) (Figure S24). The 1H-NMR spectroscopic data (Table 1) indicated three olefinic protons (δH 5.84 (d, J = 1.5 Hz, 1H), 4.75 (t, J = 1.5 Hz, 1H), 4.72 (brs, 1H)), three methyls (δH 1.72 (brs, 3H), 1.28 (brs, 3H), 0.92 (d, J = 7.1 Hz, 3H)), three methylenes (δH 1.81 (t, J = 12.3 Hz, 1H)/1.76 (m, 1H), 2.07 (m, 1H)/1.32 (dd, 13.1, 4.4 Hz, 1H), 2.55 (tdd, J = 12.9, 4.5, 1.5 Hz, 1H)/2.29 (tdd, J = 12.9, 4.5, 2.7 Hz, 1H)), and three methines (including oxygenated methine) at δH 4.39 (dd, J = 5.3, 2.2 Hz, 1H), 2.59 (m, 1H) and 2.03 (dq, J = 6.1, 5.3 Hz, 1H). The 13C-NMR spectrum showed fifteen carbon signals: three methyls (δC 22.7, 21.1, and 9.0), three methylenes (δC 43.7, 34.6, and 33.1), one olefinic methylene δC 109.9, three methines (δC 73.4, 44.0, and 40.1), one olefinic methine (δC 119.6), three quaternary carbons (δC 170.7, 148.3, and 41.3), and one carbonyl (δC 199.8). Based on the 1H and 13C-NMR spectral analyses of 3 (Figures S17 and S18, Table 1), the structure was similar to that of an eremophilane sesquiterpene, nootkatone (5), except for the presence of an additional hydroxy group at C-3 in 3 [27]. Analysis of the COSY, HSQC, and HMBC spectroscopic data (Figures S20–S22) revealed the connectivity of the structure. The key HMBC correlations were as follows: from H-1 to C-5/C-9, H-3 to C-2/C-4, H-15 to C-3/C-4, H-4 to C-2, H-14 to C-4/C-5/C-6/C-10, H-6 to C-5/C-7/C-8, and H-9 to C-5, confirming the core planar structure of 3. An isopropylidene group at C-7 was confirmed based on the HMBC correlations from H-12 to C-7 and H-13 to C-7/C-11/C-12. The relative configuration of 3 was assigned by NOE correlations, as shown in Figure 3 (Figure S23). The NOE correlations between H-7/H3-14, H3-14/H3-15, and H3-15/OH-3 suggested the α-orientation of the H-7, H3-14, H3-15, and β-orientation of H-3, which is further supported by the absence of NOE correlation between OH-3 and H-4. The absolute configuration of 3 was determined as 3S, 4S, 5S, 7R by comparing the optical rotation value, : +6.18 (c 0.15, CH3OH), with that of (4R,5S,7R)-nootkatone (5) [27]. Accordingly, the structure of 3 was elucidated as (3S,4S,5S,7R)-3α-hydroxynootkatone.
2.2. Biological Activities of Isolated Compounds on ADMSCs
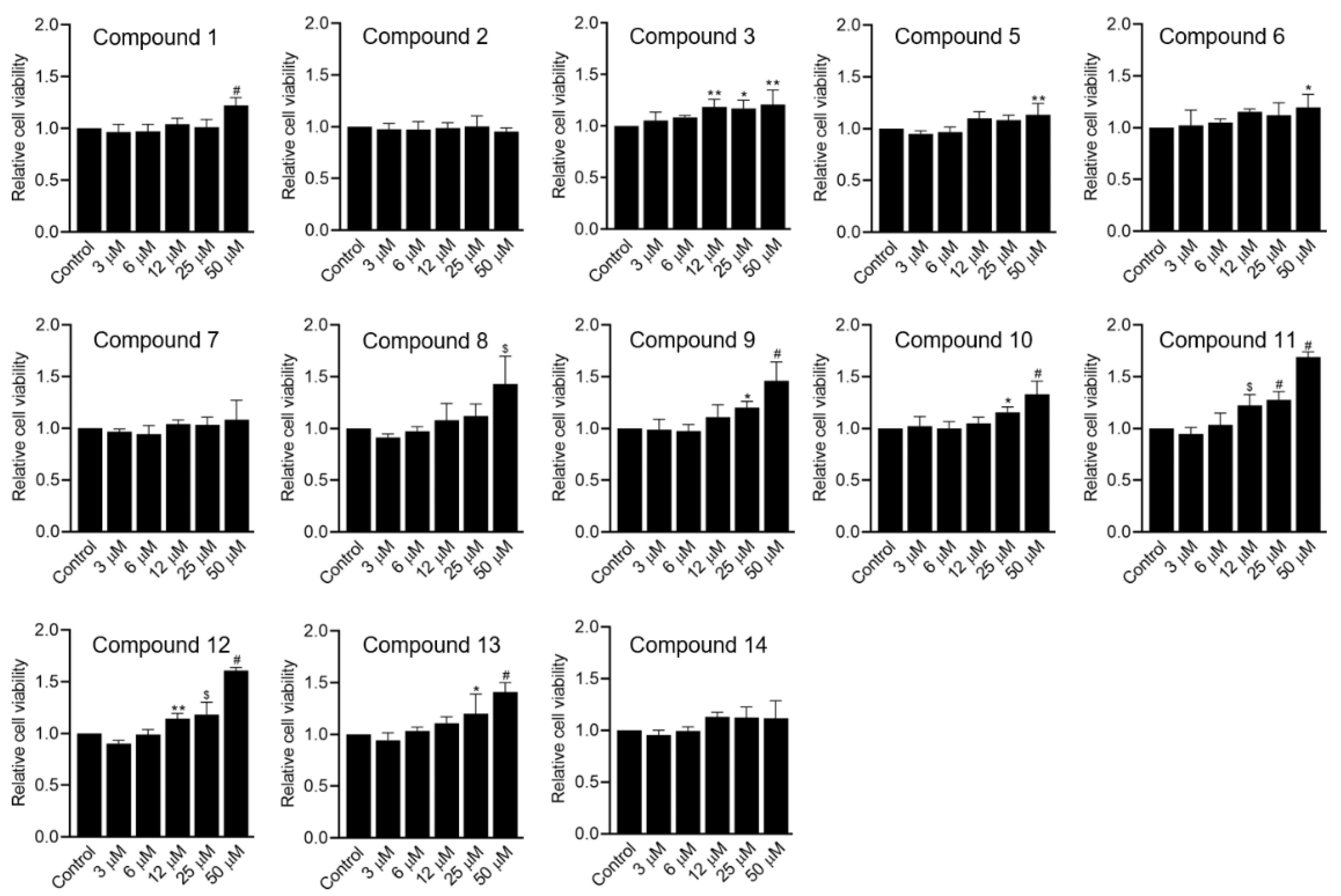
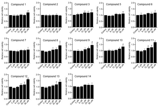
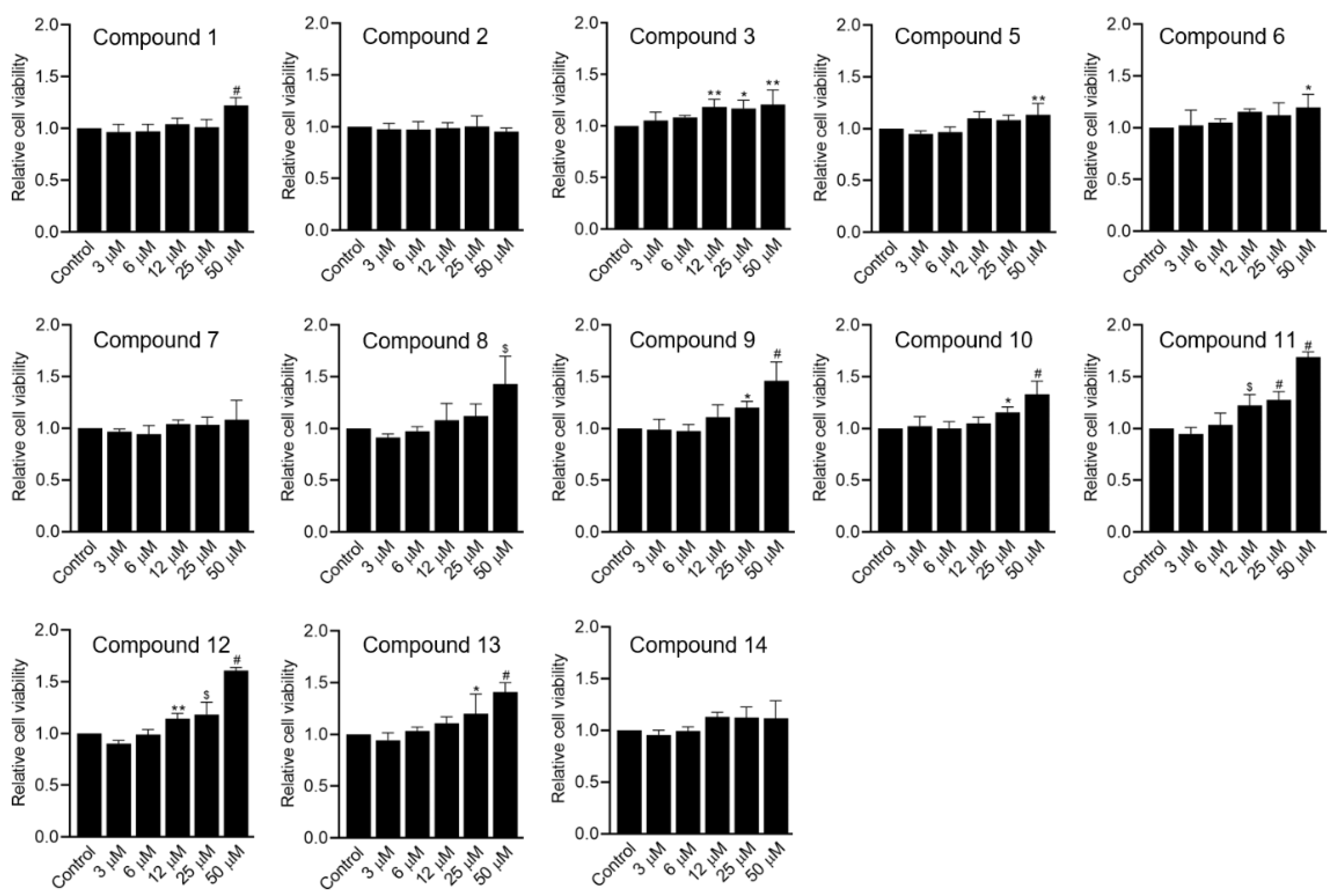
In this study, we tested the protective effects of compounds 1–3 and 5–14 on oxidative stress-induced ADMSCs. The activity of compound 4 could not be evaluated due to amount limitations. Tert-butyl hydroperoxide (tBHP) was used as an inducer of ADMSC death by generating excessive intracellular reactive oxygen species and reducing the activity of endogenous defensive molecules, such as superoxide dismutase-SOD and glutathione [28]. It was found that tBHP triggered ADMSC death dose-dependently (Figure 4). Particularly, the relative viability of ADMSCs after exposure to 0, 50, 75, 100, and 150 µM tBHP was 100.0 ± 3.3%, 103.3 ± 6.6%, 88.7 ± 6.4%, 53.8 ± 8.6% (p < 0.0001), and 25.1 ± 1.3% (p < 0.0001), respectively. To investigate the effects of the isolated compounds, 100 µM tBHP was chosen to induce oxidative stress in ADMSCs. Figure 5 shows the relative cell viability of the control (only tBHP treatment) and treated groups (co-treatment with tBHP and compounds). Interestingly, compounds 8 to 13 effectively prevented oxidative stress-induced ADMSC death, as indicated by a minimum 1.4-fold improvement in cell viability at 50 µM. Among these, compounds 11 and 12 exhibited the highest protective effects, which were improved by 1.69 ± 0.05-fold (p < 0.0001) and 1.61 ± 0.03-fold (p < 0.0001), respectively, at 50 µM. Meanwhile, compounds 3 and 6 only slightly inhibited the toxic effects of tBHP on ADMSCs, with 1.21 ± 0.14-fold and 1.20 ± 0.12-fold higher cell viability at 50 µM, respectively. We found that all the remaining compounds were ineffective in recovering ADMSCs from chemically induced oxidative stress at all tested concentrations. Further analysis would be necessary to investigate the relationship between structure and its effect.
Figure 4.
Effect of tert-butyl hydroperoxide (tBHP) on the viability of ADMSCs, evaluated by a CCK-8 assay (n = 5). The cell viability test was performed 24 h after treatment. # p < 0.0001.
Figure 5.
Effect of the isolated compounds on the viability of tBHP-damaged ADMSCs, evaluated by a CCK-8 assay (n = 5). ADMSCs were treated with a medium containing 100 µM tBHP and the isolated compounds at various concentrations. Cells only treated with 100 µM tBHP were used as controls. The cell viability test was performed at 24 h after treatment. The data represent two independent experiments. * p < 0.05, ** p < 0.01, $ p < 0.001, # p < 0.0001.
A. oxyphylla is commonly used for its antioxidant, anti-inflammatory, and neuroprotective effects, but the effects of its active compounds remain to be explored [29,30,31,32]. In the present study, we successfully proved the protective effects of 13 isolated sesquiterpenes on the viability of ADMSCs exposed to tBHP-induced oxidative stress. In neurodegenerative diseases, neuronal stem cells experience a high level of oxidative stress, which impairs their regenerative capacity [33]. Although we could not isolate neuronal stem cells for the test, our results provide clear evidence for the prevention of oxidative stress in ADMSCs using several potent isolated sesquiterpenes. Future studies would be required to investigate the impact of these compounds in in vivo neurodegenerative disease models.
3. Materials and Methods
3.1. General Procedures
Optical rotation was measured using a JASCO P-2000 polarimeter (Tokyo, Japan). The NMR spectra were acquired on a 400 MHz Agilent NMR spectrometer (DD2, Santa Clara, CA, USA) using CDCl3. The HRESIMS was performed on an Agilent 6220 Accurate-Mass TOF LC/MS system. Silica gel (230–400 mesh, Merck KGaA, 64271 Darmstadt, Germany) and RP-18 (YMC gel ODS-A, 12 nm, S-150 μm, YMC Co., Ltd., Kyoto 600-8106, Japan). Thin Layer Chromatography (TLC) analysis was performed on silica gel 60 F254 (0.2 mm thickness, Merck KGaA, 64271 Darmstadt, Germany) and RP-18 F 254S (Merck KGaA, 64271 Darmstadt, Germany) plates by visualization under UV light at 254 nm, 365 nm, and 10% (v/v) of sulfuric acid followed by heating. Preparative HPLC was performed using an Acme 9000 system (Young Lin, Anyang, Korea) equipped with a YMC-Pack Pro C18 column (5 μm, 250 × 20 mm i.d.).
3.2. Plant Materials
The dried fruits of A. oxyphylla were purchased from the Insan Oriental Herbal Market in Seoul, Korea. A voucher specimen (No. EA323) was deposited at the Natural Product Chemistry Laboratory at Ewha Womans University, Seoul, Korea.
3.3. Extraction and Isolation
The dried fruit of A. oxyphylla (3 kg) was extracted with 100% MeOH three times for 48h at room temperature. The resultant extract after removing solvent was dissolved in H2O then fractionated with hexanes, methylene chloride (MC), EtOAc, and n-BuOH, sequentially. The hexane-soluble fraction (94 g) was subjected to a silica gel column using hexanes:EtOAc (99:1 to 50:50) as a step of the gradient solvent system to yield 19 subfractions (Fr. A1–A19). Subfraction Fr. A8 (13.9 g) was chromatographed over a silica gel column and eluted with hexanes:acetone (99:1 to 98:2) to afford 17 fractions (Fr. B1–B17). Reversed-phase (RP) C18 column chromatography (CC) was carried out with Fr. B7 (5.3 g) using MeOH:H2O (2:1 to 3:1) to yield 15 subfractions (Fr. C1–C15). Subfraction Fr. C9 (2.97 g) was chromatographed over a silica gel column eluted with hexanes:EtOAc (99:1 to 0:100) to obtain 25 subfractions (Fr. D1–D25). The combined subfraction Fr. D7–D9 (1.40 g) was fractionated over a silica gel column by elution with hexanes:EtOAc (98:2 to 90:10) to yield compound 5 (1.45 mg). Fr. D13–D15 (125.63 mg), eluted with hexanes:EtOAc (99:1 to 60:30), was chromatographed using a silica gel column to obtain 13 fractions (Fr. E1–E13). Fr. E6 (70.20 mg) was subjected to RP-C18 CC using MeOH:H2O (2:1) to give thirteen subfractions (Fr. F1-F13), and compound 3 (1.46 mg) was obtained from Fr. F7. Subfraction Fr. F8 (30.60 mg) was further fractionated using RP-C18 CC and eluted with MeOH:H2O (1:1 to 2:1) to isolate compound 8 (16.14 mg). The combined subfraction Fr. D16–D17 (110.20 mg) was subjected to a silica gel column by elution with hexanes:EtOAc (99:1 to 80:20) to afford 12 subfractions (Fr. G1–G12). The combined subfraction Fr. G8–G9 (22 mg) was chromatographed over an RP-C18 column and eluted with MeOH:H2O (1:1 to 2:1) to afford 10 fractions (Fr. H1–H10). Compound 13 (2.56 mg) was isolated after RP-C18 chromatography of the combined subfraction Fr. H4–H5 (10.20 mg) by elution with MeOH:H2O (1:1 to 2:1) to afford 8 fractions Fr. I1–I8. Subfraction Fr. I4 (1.29 mg) was purified using RP-C18 HPLC with MeOH:H2O (9:7) as the mobile phase to obtain compound 12 (1.25 mg). The combined subfraction Fr. G10–G11 (16.77 mg) was chromatographed over an RP-C18 open column using MeOH:H2O (1:1 to 2:1) to yield compounds 4 (0.94 mg) and 14 (0.80 mg). The combined subfraction D19–D20 (2.97 g) was chromatographed over an RP-C18 column by elution with MeOH:H2O (4:1 to 1:0) to obtain 11 subfractions (Fr. L1–L11). Along with these eleven fractions (Fr. L1–L11), 2 (19.04 mg) and 9 (20.22 mg) were purified using an RP-C18 column with MeOH:H2O (2:1 to 1:0) from the combined subfraction Fr. L3–L4 (1.54 g). Compound 1 (5.00 mg) was separated from subfraction Fr. M4 with RP-C18 HPLC using MeOH:H2O (2:1, 0.1% acetic acid in MeOH) as the mobile phase. Subfraction Fr. L5 (1.37 g) was fractionated with RP-C18 CC with MeOH:H2O (3:1) as the eluent to afford 10 (80.15 mg). Subfraction Fr. D21 (109.42 mg) was chromatographed over an RP-C18 column and eluted with MeOH:H2O (1:1 to 1:0) to afford 19 fractions (Fr. K1–K19), including compound 11 (12.74 mg). Subfraction Fr. K7 (13.02 mg) was subjected to RP-C18 CC and eluted with MeOH:H2O (2:1 to 1:0) to isolate compound 6 (7.14 mg). We separated compound 7 (0.90 mg) using RP-C18 HPLC with MeOH:H2O (3:1) as a solvent system from subfraction Fr. K13.
(5S*,7S*,10R*)-7α-Hydroperoxy eudesma-3,11-diene-2-one (1): yellow oil; : −1.2 (c 0.25, CH3OH); 1H and 13C-NMR, see Table 1 and Table 2; HRESIMS [M + H]+ m/z 251.1643 ([M + H]+ (calcd for C15H23O3+, 251.1642).
3.4. Culture of Mouse ADMSCs
Experiments on animals were performed according to the national guidelines and with the approval of the Institutional Ethical Committee, Yeungnam University, Republic of Korea. ADMSCs were obtained from C57BL/6 mice (male, 8-week age; Samtako, Republic of Korea). The cells were carefully characterized using specific surface markers and differentiation capacities, according to previous studies [34]. ADMSCs were cultured in MEM-α supplemented with 10% fetal bovine serum (Thermo Fisher Scientific, Waltham, MA, USA) and 1% penicillin/streptomycin 100X (Hyclone Laboratories, South Logan, UT, USA). The cells were used within passages 3–5.
3.5. Effect of Isolated Compounds on the Viability of tBHP-Damaged ADMSCs
The stock solution of each compound was prepared in advance by dissolving it in cell culture-grade DMSO (Sigma-Aldrich). To investigate the effect of the compounds, ADMSCs were chemically induced with tBHP (Tokyo Chemical Industry, Tokyo, Japan), and cell viability was measured using a cell counting kit 8 (CCK-8; Dojindo, Molecular Technologies Inc., Rockville, MD, USA). Briefly, ADMSCs were trypsinized and cultured in 96-well plates at a density of 5000 cells/well. The following day, the cells were incubated in a medium containing 100 µM tBHP and the compounds at various concentrations (3–50 µM) for 24 h in a CO2 incubator at 37 °C. The cells were then washed twice using phosphate-buffered saline (pH = 7.4; Hyclone Laboratories) and incubated in a medium (120 µl/well) containing 5% CCK-8 reagent for 2 h at 37 °C. The absorbance of the supernatant in a 96-well plate was measured at 450 nm using a plate spectrophotometer (Spark 10M; Tecan, Männedorf, Switzerland). Relative cell viability was calculated by comparing the absorbance of the control and treated cells. The data were analyzed using the GraphPad Prism software version 8.4.2.
4. Conclusions
In this study, three new and eleven known sesquiterpenes were isolated from the dried fruits of Alpinia oxyphylla. Their structures were elucidated and identified by NMR spectroscopic methods. In the screening for biological activities on adipose-derived mesenchymal stem cells (ADMSCs) of the isolates 1–3, 5–14, compounds 8 to 13 effectively prevented oxidative stress-induced ADMSC death. Among these, compounds 11 and 12 showed the highest protective effect. These results supported that A. oxyphylla fruit-derived sesquiterpenoids and active compounds enriched extract can be applied to regenerative medicine therapies by prevention of oxidative stress in ADMSCs, which can be differentiated into neurons, osteoblasts, pancreatic cells, etc. Further examination using in vivo degenerative disease models is required in future studies.
Supplementary Materials
The following are available online.
Author Contributions
P.T. and Y.J.L.(Yoo Jin Lee) contributed equally to this work. J.-H.J., J.-W.N., H.C. and E.K.S. conceived and designed the experiments; T.T.N., P.T. and Y.J.L.(Yoo Jin Lee) performed the experiments and analyzed the data; D.P., H.L., S.H. and Y.J.L. (Yeon Jin Lee) validated the data; A.-R.H. and H.C. contributed reagents/materials/analysis tools; T.T.N., P.T., H.C., J.-H.J., J.-W.N. and E.K.S. wrote the paper. All authors have read and agreed to the published version of the manuscript.
Funding
This research received no external funding.
Informed Consent Statement
Not applicable
Acknowledgments
This research was supported by the Basic Science Research Program through the National Research Foundation of Korea (NRF) funded by the Ministry of Education (NRF-2019R1C1C1009929).
Conflicts of Interest
The authors declare no conflict of interest.
Sample Availability
Not applicable.
References
- Xu, J.; Ji, C.; Zhang, Y.; Su, J.; Li, Y.; Tan, N. Inhibitory activity of eudesmane sesquiterpenes from Alpinia oxyphylla on production of nitric oxide. Bioorg. Med. Chem. Lett 2012, 22, 1660–1663. [Google Scholar] [CrossRef] [PubMed]
- Zhao, X.; Wei, J.; Shu, X.; Kong, W.; Yang, M. Multi-elements determination in medical and edible Alpinia oxyphylla and Morinda officinalis and their decoctions by ICP-MS. Chemosphere 2016, 164, 430–435. [Google Scholar] [CrossRef]
- Muraoka, O.; Fujimoto, M.; Tanabe, G.; Kubo, M.; Minematsu, T.; Matsuda, H.; Morikawa, T.; Toguchida, I.; Yoshikawa, M. Absolute stereostructures of novel norcadinane- and trinoreudesmane-type sesquiterpenes with nitric oxide production inhibitory activity from Alpinia oxyphylla. Bioorg. Med. Chem. Lett. 2001, 11, 2217–2220. [Google Scholar] [CrossRef]
- Park, D.H.; Lee, J.W.; Jin, Q.; Jeon, W.K.; Lee, M.K.; Hwang, B.Y. A new noreudesmane-type sesquiterpenoid from Alpinia oxyphylla. Bull. Korean. Chem. Soc. 2014, 35, 1565–1567. [Google Scholar] [CrossRef]
- Chun, K.-S.; Park, K.-K.; Lee, J.; Kang, M.; Surh, Y.-J. Inhibition of mouse skin tumor promotion by anti-inflammatory diarylheptanoids derived from Alpinia oxyphylla Miquel (Zingiberaceae). Oncol. Res. 2002, 13, 37–45. [Google Scholar] [CrossRef] [PubMed]
- Yamahara, J.; Li, Y.H.; Tamai, Y. Anti-ulcer effect in rats of bitter cardamon constituents. Chem. Pharm. Bull. 1990, 38, 3053–3054. [Google Scholar] [CrossRef] [PubMed]
- Shin, T.Y.; Won, J.H.; Kim, H.M.; Kim, S.H. Effect of Alpinia oxyphylla fruit extract on compound 48/80-induced anaphylactic reactions. Am. J. Chin. Med. 2001, 29, 293–302. [Google Scholar] [CrossRef]
- Ji, Z.-H.; Zhao, H.; Liu, C.; Yu, X.-Y. In-vitro neuroprotective effect and mechanism of 2β-hydroxy-δ-cadinol against amyloid β-induced neuronal apoptosis. NeuroReport 2020, 31, 245–250. [Google Scholar] [CrossRef]
- Luo, X.; Yu, J.; Xu, L.; Yang, S.; Feng, J.; Ou, S. Chemical constituents in volatile oil from fruits of Alpinia oxyphylla Miq. Zhongguo Zhongyao Zazhi 2001, 26, 262–264. [Google Scholar] [PubMed]
- Morikawa, T.; Matsuda, H.; Toguchida, I.; Ueda, K.; Yoshikawa, M. Absolute Stereostructures of Three New Sesquiterpenes from the Fruit of Alpinia oxyphylla with Inhibitory Effects on Nitric Oxide Production and Degranulation in RBL-2H3 Cells. J. Nat. Prod. 2002, 65, 1468–1474. [Google Scholar] [CrossRef] [PubMed]
- Hou, L.; Ding, G.; Guo, B.; Wenhua, W.; Zhang, X.; Sun, Z.; Shi, X. New sesquiterpenoids and a diterpenoid from Alpinia oxyphylla. Molecules 2015, 20, 1551–1559. [Google Scholar] [CrossRef]
- Bian, Q.-Y.; Wang, S.-Y.; Xu, L.-J.; Chan, C.-O.; Mok, D.K.W.; Chen, S.-B. Two new antioxidant diarylheptanoids from the fruits of Alpinia oxyphylla. J. Asian. Nat. Prod. Res. 2013, 15, 1094–1099. [Google Scholar] [CrossRef] [PubMed]
- Qing, Z.J.; Wang, Y.; Hui, L.Y.; Yong, L.W.; Long, L.H.; Ao, D.J.; Xia, P.L. Two new natural products from the fruits of Alpinia oxyphylla with inhibitory effects on nitric oxide production in lipopolysaccharide-activated RAW264.7 macrophage cells. Arch. Pharmacal. Res. 2012, 35, 2143–2146. [Google Scholar] [CrossRef]
- Xu, J.; Su, J.; Li, Y.; Tan, N. Eremophilane-type sesquiterpenes from Alpinia oxyphylla with inhibitory activity against nitric oxide production. Chem. Nat. Compd. 2013, 49, 457–461. [Google Scholar] [CrossRef]
- Jung, H.J.; Min, B.-S.; Jung, H.A.; Choi, J.S. Sesquiterpenoids from the heartwood of Juniperus chinensis. Nat. Prod. Sci. 2017, 23, 208–212. [Google Scholar] [CrossRef]
- Fraga, B.M.; Hernandez, M.G.; Mestres, T.; Terrero, D.; Arteaga, J.M. Nor-sesquiterpenes from Teucrium heterophyllum. Phytochemistry 1995, 39, 617–619. [Google Scholar] [CrossRef]
- Fraga, B.M.; Hernandez, M.G.; Mestres, T.; Arteaga, J.M.; Perales, A. Eudesmane sesquiterpenes from Teucrium heterophyllum. The x-ray structure of teucdiol A. Phytochemistry 1993, 34, 1083–1086. [Google Scholar] [CrossRef]
- Demole, E.; Enggist, P. Further investigation of grapefruit juice flavor components (Citrus paradisi Macfayden). Valencane- and eudesmane-type sesquiterpene ketones. Helv. Chim. Acta. 1983, 66, 1381–1391. [Google Scholar] [CrossRef]
- Gliszczynska, A.; Lysek, A.; Janeczko, T.; Switalska, M.; Wietrzyk, J.; Wawrzenczyk, C. Microbial transformation of (+)-nootkatone and the antiproliferative activity of its metabolites. Bioorg. Med. Chem. 2011, 19, 2464–2469. [Google Scholar] [CrossRef]
- Kaspera, R.; Krings, U.; Nanzad, T.; Berger, R.G. Bioconversion of (+)-valencene in submerged cultures of the ascomycete Chaetomium globosum. Appl. Microbiol. Biotechnol. 2005, 67, 477–483. [Google Scholar] [CrossRef]
- Chen, P.; Qu, L.; Tian, L.; Wang, P.-P.; Xiang, L. Two Halogenated Sesquiterpenoids from the Fruits of Alpinia oxyphylla. Helv. Chim. Acta 2013, 96, 1163–1167. [Google Scholar] [CrossRef]
- Bulatovic, V.; Vajs, V.; Macura, S.; Juranic, N.; Milosavljevic, S. Highly Oxygenated Guaianolides from Anthemis carpatica. J. Nat. Prod. 1997, 60, 1222–1228. [Google Scholar] [CrossRef]
- Reinnig, M.-C.; Warnke, J.; Hoffmann, T. Identification of organic hydroperoxides and hydroperoxy acids in secondary organic aerosol formed during the ozonolysis of different monoterpenes and sesquiterpenes by on-line analysis using atmospheric pressure chemical ionization ion trap mass spectrometry. Rapid. Commun. Mass Spectrom. 2009, 23, 1735–1741. [Google Scholar] [PubMed]
- Zhou, S.; Rivera-Rios, J.C.; Keutsch, F.N.; Abbatt, J.P.D. Identification of organic hydroperoxides and peroxy acids using atmospheric pressure chemical ionization-tandem mass spectrometry (APCI-MS/MS): Application to secondary organic aerosol. Atmos. Meas. Tech. 2018, 11, 3081–3089. [Google Scholar] [CrossRef]
- Choi, S.Z.; Lee, S.O.; Choi, S.U.; Lee, K.R. A new sesquiterpene hydroperoxide from the aerial parts of Aster oharai. Arch. Pharmacal. Res. 2003, 26, 521–525. [Google Scholar] [CrossRef] [PubMed]
- Kamada, T.; Kang, M.-C.; Phan, C.-S.; Zanil, I.I.; Jeon, Y.-J.; Vairappan, C.S. Bioactive cembranoids from the soft coral genus Sinularia sp. in borneo. Mar. Drugs 2018, 16, 99. [Google Scholar] [CrossRef] [PubMed]
- Furusawa, M.; Hashimoto, T.; Noma, Y.; Asakawa, Y. Biotransformation of citrus aromatics nootkatone and valencene by microorganisms. Chem. Pharm. Bull. 2005, 53, 1423–1429. [Google Scholar] [CrossRef]
- Zhao, W.; Feng, H.; Sun, W.; Liu, K.; Lu, J.-J.; Chen, X. Tert-butyl hydroperoxide (t-BHP) induced apoptosis and necroptosis in endothelial cells: Roles of NOX4 and mitochondrion. Redox. Biol. 2017, 11, 524–534. [Google Scholar] [CrossRef] [PubMed]
- Liu, A.; Zhao, X.; Li, H.; Liu, Z.; Liu, B.; Mao, X.; Guo, L.; Bi, K.; Jia, Y. 5-Hydroxymethylfurfural, an antioxidant agent from Alpinia oxyphylla Miq. improves cognitive impairment in Aβ1-42 mouse model of Alzheimer’s disease. Int. Immunopharmacol. 2014, 23, 719–725. [Google Scholar] [CrossRef] [PubMed]
- Shi, S.-h.; Zhao, X.; Liu, A.-j.; Liu, B.; Li, H.; Wu, B.; Bi, K.-s.; Jia, Y. Protective effect of n-butanol extract from Alpinia oxyphylla on learning and memory impairments. Physiol. Behav. 2015, 139, 13–20. [Google Scholar] [CrossRef]
- Xu, J.; Wang, F.; Guo, J.; Xu, C.; Cao, Y.; Fang, Z.; Wang, Q. Pharmacological mechanisms underlying the neuroprotective effects of Alpinia oxyphylla Miq. on Alzheimer’s disease. Int. J. Mol. Sci. 2020, 21, 2071. [Google Scholar] [CrossRef]
- Wang, C.; Yuan, H.; Bao, X.; Lan, M. Chemical composition, in vitro cytotoxic and antioxidant activities of the fruit essential oil of Alpinia oxyphylla. Asian. J. Chem. 2014, 26, 4201–4205. [Google Scholar] [CrossRef]
- De Gioia, R.; Biella, F.; Citterio, G.; Rizzo, F.; Abati, E.; Nizzardo, M.; Bresolin, N.; Comi, G.P.; Corti, S. Neural stem cell transplantation for neurodegenerative diseases. Int. J. Mol. Sci. 2020, 21, 3103. [Google Scholar] [CrossRef] [PubMed]
- Ciuffreda, M.C.; Malpasso, G.; Musaro, P.; Turco, V.; Gnecchi, M. Protocols for in vitro Differentiation of Human Mesenchymal Stem Cells into Osteogenic, Chondrogenic and Adipogenic Lineages. Methods Mol. Biol. 2016, 1416, 149–158. [Google Scholar]
Publisher’s Note: MDPI stays neutral with regard to jurisdictional claims in published maps and institutional affiliations. |
© 2021 by the authors. Licensee MDPI, Basel, Switzerland. This article is an open access article distributed under the terms and conditions of the Creative Commons Attribution (CC BY) license (http://creativecommons.org/licenses/by/4.0/).




