The Life of a Surface Bubble
Abstract
1. Introduction
2. Shape of a Surface Bubble
3. Drainage
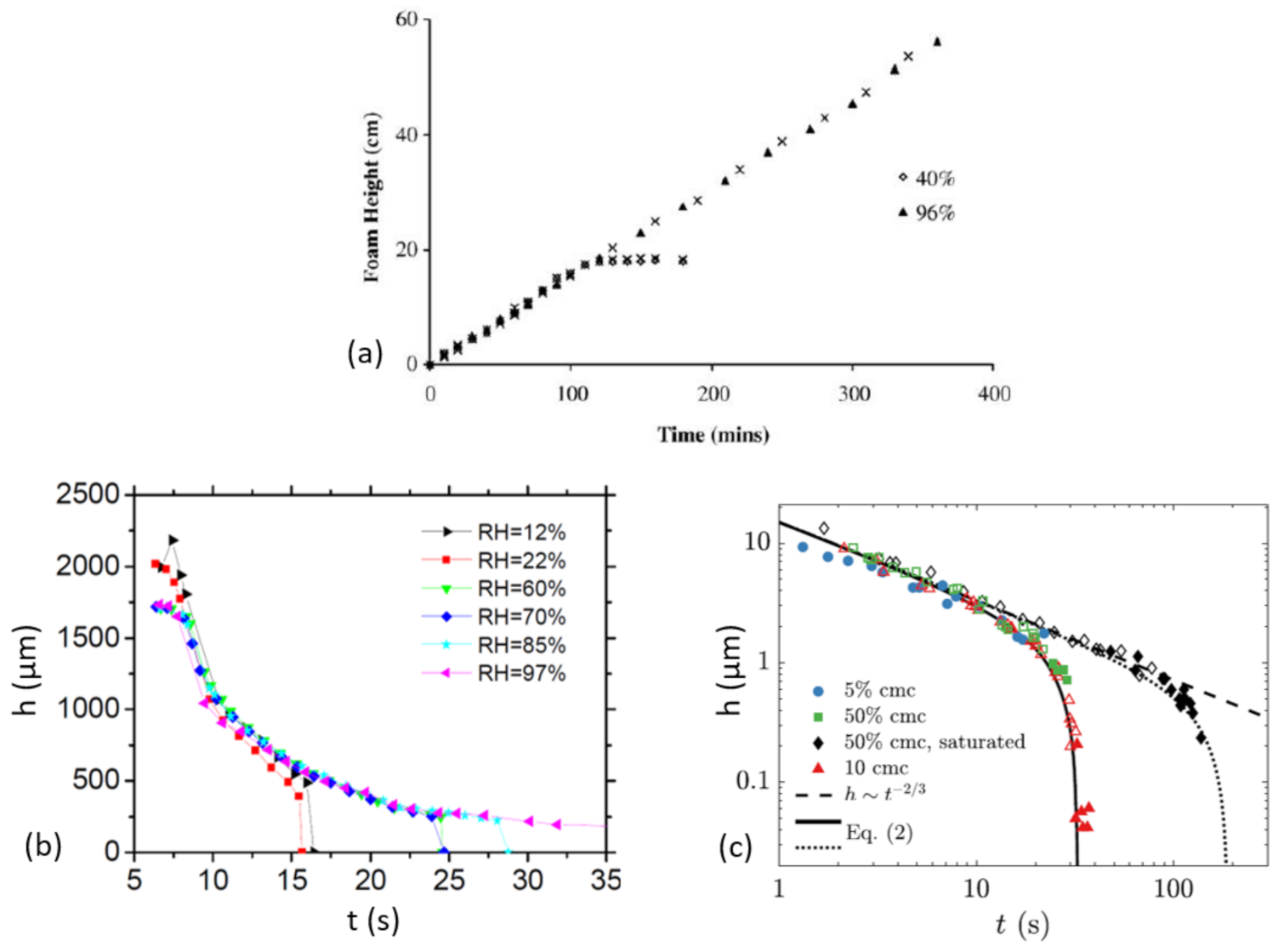
3.1. Axisymmetric Bubbles
3.1.1. Viscous Bubble from Bare to Not So Bare Interfaces
3.1.2. Apparition of a Pinch or a Dimple
3.2. Loss of Axisymmetry
4. Evaporation
5. Bubble Lifetime
5.1. In Absence of Stabilising Molecules
5.2. In Presence of Stabilising Molecules
6. Conclusions and Open Questions
- The mechanism at the origin of the eventual bursting of the film, whether they are thick (micrometers) or thin (tens of nanometers) is mostly unknown.
- The marginal regeneration phenomenon, the dynamics of the pinch, the origin of its destabilisation and its contribution to drainage are under current investigation.
- The impact of the chosen surfactants on bubble drainage and evaporation is crucial but remains an open question.
- There is still a lack of data concerning the distributions observed. Additionally, there is no theoretical prediction of the distribution in the presence of surfactants stabilising the interface.
Funding
Acknowledgments
Conflicts of Interest
References
- Behroozi, F. Soap bubbles in paintings: Art and science. Am. J. Phys. 2008, 76, 1087–1091. [Google Scholar] [CrossRef]
- Huang, W.; Iseringhausen, J.; Kneiphof, T.; Qu, Z.; Jiang, C.; Hullin, M.B. Chemomechanical simulation of soap film flow on spherical bubbles. ACM Trans. Graph. (TOG) 2020, 39, 41. [Google Scholar] [CrossRef]
- De Gennes, P.G.; Brochard-Wyart, F.; Quéré, D. Capillarity and Wetting Phenomena: Drops, Bubbles, Pearls, Waves; Springer: Berlin/Heidelberg, Germany, 2013. [Google Scholar]
- Blanchard, D.C. The electrification of the atmosphere by particles from bubbles in the sea. Prog. Oceanogr. 1963, 1, 73–202. [Google Scholar] [CrossRef]
- De Leeuw, G.; Andreas, E.L.; Anguelova, M.D.; Fairall, C.; Lewis, E.R.; O’Dowd, C.; Schulz, M.; Schwartz, S.E. Production flux of sea spray aerosol. Rev. Geophys. 2011, 49, 2010RG000349. [Google Scholar] [CrossRef]
- Veron, F. Ocean spray. Annu. Rev. Fluid Mech. 2015, 47, 507–538. [Google Scholar] [CrossRef]
- Bourouiba, L.; Bush, J.W. Drops and Bubbles in the Environment. In Handbook of Environmental Fluid Dynamics; CRC Press: Boca Raton, FL, USA, 2012; Volume 1, pp. 445–458. [Google Scholar]
- Gonnermann, H.M.; Manga, M. The fluid mechanics inside a volcano. Annu. Rev. Fluid Mech. 2007, 39, 321–356. [Google Scholar] [CrossRef]
- Woodcock, A.H. Note concerning human respiratory irritation associated with high concentrations of plankton and mass mortality of marine organisms. J. Mar. Res. 1948, 7, 56–62. [Google Scholar]
- Blanchard, D.C. The ejection of drops from the sea and their enrichment with bacteria and other materials: A review. Estuaries 1989, 12, 127–137. [Google Scholar] [CrossRef]
- Evans, W.C. Knowledge of the fount and the cause of disaster. Nature 1996, 379, 21–22. [Google Scholar] [CrossRef]
- Boloré, D.; Pigeonneau, F. Spatial distribution of nucleated bubbles in molten glasses undergoing coalescence and growth. J. Am. Ceram. Soc. 2018, 101, 1892–1905. [Google Scholar] [CrossRef]
- Suja, V.C.; Rodríguez-Hakim, M.; Tajuelo, J.; Fuller, G.G. Single bubble and drop techniques for characterizing foams and emulsions. Adv. Colloid Interface Sci. 2020, 286, 102295. [Google Scholar] [CrossRef]
- Vega-Martínez, P.; Enríquez, O.R.; Rodríguez-Rodríguez, J. Some topics on the physics of bubble dynamics in beer. Beverages 2017, 3, 38. [Google Scholar] [CrossRef]
- Liger-Belair, G. The physics behind the fizz in champagne and sparkling wines. Eur. Phys. J. 2012, 201, 1–88. [Google Scholar] [CrossRef]
- Zawala, J.; Malysa, K. Influence of the impact velocity and size of the film formed on bubble coalescence time at water surface. Langmuir 2011, 27, 2250–2257. [Google Scholar] [CrossRef]
- Atasi, O.; Legendre, D.; Haut, B.; Zenit, R.; Scheid, B. Lifetime of surface bubbles in surfactant solutions. Langmuir 2020, 36, 7749–7764. [Google Scholar] [CrossRef]
- Villermaux, E. Fragmentation versus cohesion. J. Fluid Mech. 2020, 898, P1. [Google Scholar] [CrossRef]
- Worthington, A.M.; Cole, R.S.V. Impact with a liquid surface, studied by the aid of instantaneous photography. Philos. Trans. R. Soc. Lond. Ser. Contain. Pap. Math. Phys. Character 1897, 189, 137–148. [Google Scholar]
- Bird, J.C.; De Ruiter, R.; Courbin, L.; Stone, H.A. Daughter bubble cascades produced by folding of ruptured thin films. Nature 2010, 465, 759–762. [Google Scholar] [CrossRef] [PubMed]
- Lhuissier, H.; Villermaux, E. Bursting bubble aerosols. J. Fluid Mech. 2012, 696, 5–44. [Google Scholar] [CrossRef]
- Hager, W.H. Wilfrid Noel Bond and the Bond number. J. Hydraul. Res. 2012, 50, 3–9. [Google Scholar] [CrossRef]
- Howell, P. The draining of a two-dimensional bubble. J. Eng. Math. 1999, 35, 251–272. [Google Scholar] [CrossRef]
- Teixeira, M.A.; Arscott, S.; Cox, S.J.; Teixeira, P.I. What is the Shape of an Air Bubble on a Liquid Surface? Langmuir 2015, 31, 13708–13717. [Google Scholar] [CrossRef]
- Nicolson, M. The interaction between floating particles. In Mathematical Proceedings of the Cambridge Philosophical Society; Cambridge University Press: Cambridge, UK, 1949; Volume 45, pp. 288–295. [Google Scholar]
- Toba, Y. Drop Production by Bursting of Air Bubbles on the Sea Surface Theoretical Study on the Shape of Floating Bubbles. J. Oceanogr. Soc. Jpn. 1959, 15, 121–130. [Google Scholar] [CrossRef]
- Princen, H. Shape of a fluid drop at a liquid-liquid interface. J. Colloid Sci. 1963, 18, 178–195. [Google Scholar] [CrossRef]
- Pigeonneau, F.; Sellier, A. Low-Reynolds-number gravity-driven migration and deformation of bubbles near a free surface. Phys. Fluids 2011, 23, 092102. [Google Scholar] [CrossRef]
- Brakke, K.A. The surface evolver. Exp. Math. 1992, 1, 141–165. [Google Scholar] [CrossRef]
- Clanet, C.; Cohen, C.; Darbois Texier, B.; Reyssat, E.; Snoeijer, J.H.; Quéré, D.; Clanet, C. On the shape of giant soap bubbles. Proc. Natl. Acad. Sci. USA 2017, 114, 2515–2519. [Google Scholar] [CrossRef]
- Nguyen, C.; Gonnermann, H.; Chen, Y.; Huber, C.; Maiorano, A.; Gouldstone, A.; Dufek, J. Film drainage and the lifetime of bubbles. Geochem. Geophys. Geosyst. 2013, 14, 3616–3631. [Google Scholar] [CrossRef]
- Séon, T.; Liger-Belair, G. Effervescence in champagne and sparkling wines: From bubble bursting to droplet evaporation. Eur. Phys. J. Spec. Top. 2017, 226, 117–156. [Google Scholar] [CrossRef]
- Debrégeas, G.; De Gennes, P.G.; Brochard-Wyart, F. The life and death of ’bare’ viscous bubbles. Science 1998, 279, 1704–1707. [Google Scholar] [CrossRef]
- Kočárková, H.; Rouyer, F.; Pigeonneau, F. Film drainage of viscous liquid on top of bare bubble: Influence of the Bond number. Phys. Fluids 2013, 25, 022105. [Google Scholar] [CrossRef]
- Guemas, M.; Sellier, A.; Pigeonneau, F. Slow viscous gravity-driven interaction between a bubble and a free surface with unequal surface tensions. Phys. Fluids 2015, 27, 043102. [Google Scholar] [CrossRef]
- Vakarelski, I.U.; Manica, R.; Tang, X.; O’Shea, S.J.; Stevens, G.W.; Grieser, F.; Dagastine, R.R.; Chan, D.Y.C. Dynamic interactions between microbubbles in water. Proc. Natl. Acad. Sci. USA 2010, 107, 11177–11182. [Google Scholar] [CrossRef] [PubMed]
- Miguet, J.; Pasquet, M.; Rouyer, F.; Fang, Y.; Rio, E. Stability of Big Surface Bubbles: Impact of Evaporation and Bubbles Size. Soft Matter 2019, 4. [Google Scholar] [CrossRef]
- Mysels, K.J. Soap Films: Studies of Their Thinning and a Bibliography; Pergamon Press: Oxford, UK, 1959. [Google Scholar]
- Aradian, A.; De Gennes, P.G.G.; Raphael, E.; De Gennes, P.G.G. “Marginal pinching” in soap films. EPL 2001, 55, 834. [Google Scholar] [CrossRef]
- Chan, D.Y.; Klaseboer, E.; Manica, R. Film drainage and coalescence between deformable drops and bubbles. Soft Matter 2011, 7, 2235–2264. [Google Scholar] [CrossRef]
- Gros, A.; Buissonière, A.; Nath, S.; Cantat, I. Marginal regeneration in a horizontal film: Instability growth law in the non linear regime. Phys. Rev. Fluids 2021, 6, 024004. [Google Scholar] [CrossRef]
- Bhamla, M.S.; Chai, C.; Marco, A.À.; Tajuelo, J.; Fuller, G.G.; States, U. Interfacial mechanisms for stability of surfactant-laden films. PLoS ONE 2017. [Google Scholar] [CrossRef]
- Howell, P.D.; Stone, H.A. On the absence of marginal pinching in thin free films. Eur. J. Appl. Math. 2005, 16, 569–582. [Google Scholar] [CrossRef]
- Wang, W.; Li, K.; Ma, M.; Jin, H.; Angeli, P.; Gong, J. Review and perspectives of AFM application on the study of deformable drop/bubble interactions. Adv. Colloid Interface Sci. 2015, 225, 88–97. [Google Scholar] [CrossRef]
- Poulain, S.; Villermaux, E.; Bourouiba, L. Ageing and burst of surface bubbles. J. Fluid Mech. 2018, 851, 636–671. [Google Scholar] [CrossRef]
- Poulain, S.; Bourouiba, L. Biosurfactants Change the Thinning of Contaminated Bubbles at Bacteria-Laden Water Interfaces. Phys. Rev. Lett. 2018, 121, 204502. [Google Scholar] [CrossRef] [PubMed]
- Modini, R.L.; Russell, L.M.; Deane, G.B.; Stokes, M.D. Effect of soluble surfactant on bubble persistence and bubble-produced aerosol particles. J. Geophys. Res. Atmos. 2013, 118, 1388–1400. [Google Scholar] [CrossRef]
- Culick, F.E.C. Comments on Ruptured Soap Films. J. Appl. Phys. 1960, 31, 1128–1129. [Google Scholar] [CrossRef]
- Adami, N.; Caps, H. Capillary-driven two-dimensional buoyancy in vertical soap films. EPL 2014, 106, 46001. [Google Scholar] [CrossRef]
- Shabalina, E.; Bérut, A.; Cavelier, M.; Saint-Jalmes, A.; Cantat, I. Rayleigh-Taylor-like instability in a foam film. Phys. Rev. Fluids 2019, 4, 124001. [Google Scholar] [CrossRef]
- Hack, M.; Costalonga, M.; Segers, T.; Karpitschka, S.; Wijshoff, H.; Snoeijer, J. Printing wet-on-wet: Attraction and repulsion of drops on a viscous film. Appl. Phys. Lett. 2018, 113, 183701. [Google Scholar] [CrossRef]
- Miguet, J.; Fang, Y.; Rouyer, F.; Rio, E. How does the presence of stevia glycosides impact surface bubbles stability? Colloids Surf. A 2020, 603, 125093. [Google Scholar] [CrossRef]
- Seiwert, J.; Kervil, R.; Nou, S.; Cantat, I.; Seiwert, J.; Kervil, R.; Nou, S.; Cantat, I.; Field, V.; Foam, V. Velocity Field in a Vertical Foam Film. Phys. Rev. Lett. 2017, 118, 48001. [Google Scholar] [CrossRef]
- Li, X.; Shaw, R.; Stevenson, P. Effect of humidity on dynamic foam stability. Int. J. Miner. Process. 2010, 94, 14–19. [Google Scholar] [CrossRef]
- Champougny, L.; Miguet, J.; Henaff, R.; Restagno, F.; Boulogne, F.; Rio, E. Influence of evaporation on soap film rupture. Langmuir 2018, 34, 3221–3227. [Google Scholar] [CrossRef]
- Fuchs, N. Evaporation and Droplet Growth in Gaseous Media; Pergamon Press: Oxford, UK, 1959. [Google Scholar]
- Champougny, L.; Roché, M.; Drenckhan, W.; Rio, E. Life and death of not so “bare” bubbles. Soft Matter 2016, 12, 5276–5284. [Google Scholar] [CrossRef] [PubMed]
- Pigeonneau, F.; Kočárková, H.; Rouyer, F. Stability of vertical films of molten glass due to evaporation. Colloids Surf. A 2012, 408, 8–16. [Google Scholar] [CrossRef][Green Version]
- Lorenceau, E.; Rouyer, F. Lifetime of a single bubble on the surface of a water and ethanol bath. Phys. Rev. Fluids 2020, 5, 063603. [Google Scholar] [CrossRef]
- Israelachvili, J.N. Intermolecular and Surface Forces; Academic Press: Cambridge, MA, USA, 2011. [Google Scholar]
- Haffner, B.; Lalieu, J.; Richmond, P.; Hutzler, S. Can soap films be used as models for mortality studies? Physica A 2018, 508, 461–470. [Google Scholar] [CrossRef]
- Rage, G.; Atasi, O.; Wilhelmus, M.; Hernández-Sánchez, J.F.; Haut, B.; Scheid, B.; Legendre, D.; Zenit, R. Bubbles determine the amount of alcohol in Mezcal. Sci. Rep. 2020, 10, 1–16. [Google Scholar] [CrossRef]
- Zheng, Q.A.; Klemas, V.; Hsu, Y. Laboratory measurement of water surface bubble life time. J. Geophys. Res. Oceans 1986, 88, 701–706. [Google Scholar] [CrossRef]
- Gilet, T.; Scheller, T.; Reyssat, E.; Vandewalle, N.; Dorbolo, S. How long will a bubble be? arXiv 2007, arXiv:0709.4412v1. [Google Scholar]
- Rio, E.; Biance, A.L. Thermodynamic and mechanical timescales involved in foam film rupture and liquid foam coalescence. ChemPhysChem 2014, 15, 3692–3707. [Google Scholar] [CrossRef]
- Pagureva, N.; Tcholakova, S.; Rusanova, K.; Denkov, N.; Dimitrova, T. Factors affecting the coalescence stability of microbubbles. Colloids Surf. A 2016, 508, 21–29. [Google Scholar] [CrossRef]
- Politova, N.I.; Tcholakova, S.; Tsibranska, S.; Denkov, N.D.; Muelheims, K. Coalescence stability of water-in-oil drops: Effects of drop size and surfactant concentration. Colloids Surf. A 2017, 531, 32–39. [Google Scholar] [CrossRef]
- La Mer, V.K. Retardation of Evaporation by Monolayers: Transport Processes; Academic Press: Cambridge, MA, USA, 2014. [Google Scholar]








Publisher’s Note: MDPI stays neutral with regard to jurisdictional claims in published maps and institutional affiliations. |
© 2021 by the authors. Licensee MDPI, Basel, Switzerland. This article is an open access article distributed under the terms and conditions of the Creative Commons Attribution (CC BY) license (http://creativecommons.org/licenses/by/4.0/).
Share and Cite
Miguet, J.; Rouyer, F.; Rio, E. The Life of a Surface Bubble. Molecules 2021, 26, 1317. https://doi.org/10.3390/molecules26051317
Miguet J, Rouyer F, Rio E. The Life of a Surface Bubble. Molecules. 2021; 26(5):1317. https://doi.org/10.3390/molecules26051317
Chicago/Turabian StyleMiguet, Jonas, Florence Rouyer, and Emmanuelle Rio. 2021. "The Life of a Surface Bubble" Molecules 26, no. 5: 1317. https://doi.org/10.3390/molecules26051317
APA StyleMiguet, J., Rouyer, F., & Rio, E. (2021). The Life of a Surface Bubble. Molecules, 26(5), 1317. https://doi.org/10.3390/molecules26051317
