Quinoline Functionalized Schiff Base Silver (I) Complexes: Interactions with Biomolecules and In Vitro Cytotoxicity, Antioxidant and Antimicrobial Activities
Abstract
1. Introduction
2. Results and Discussion
2.1. Synthesis and Characterization of L1–L5
2.2. Synthesis and Characterization of the Complexes
2.3. Crystal Structures of Complexes Q1, Q6, Q7, Q12, and Q14
2.4. In Vitro Antimicrobial Studies
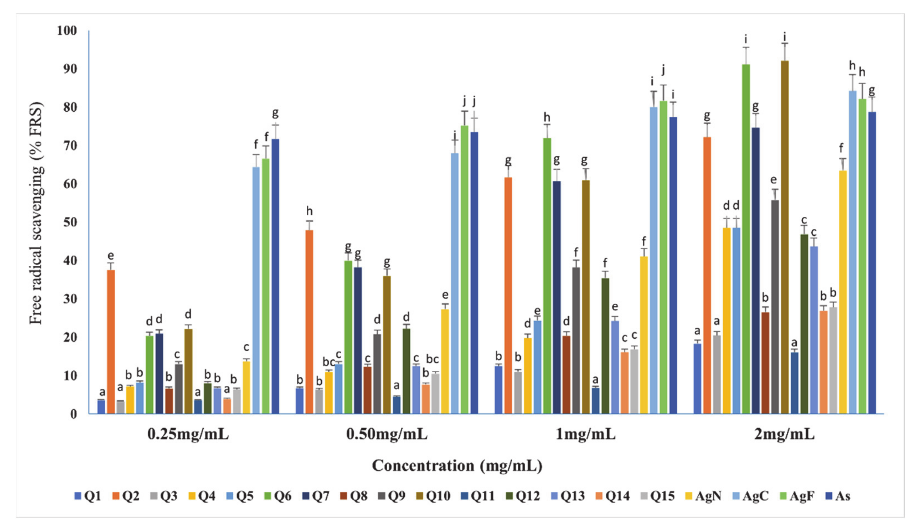
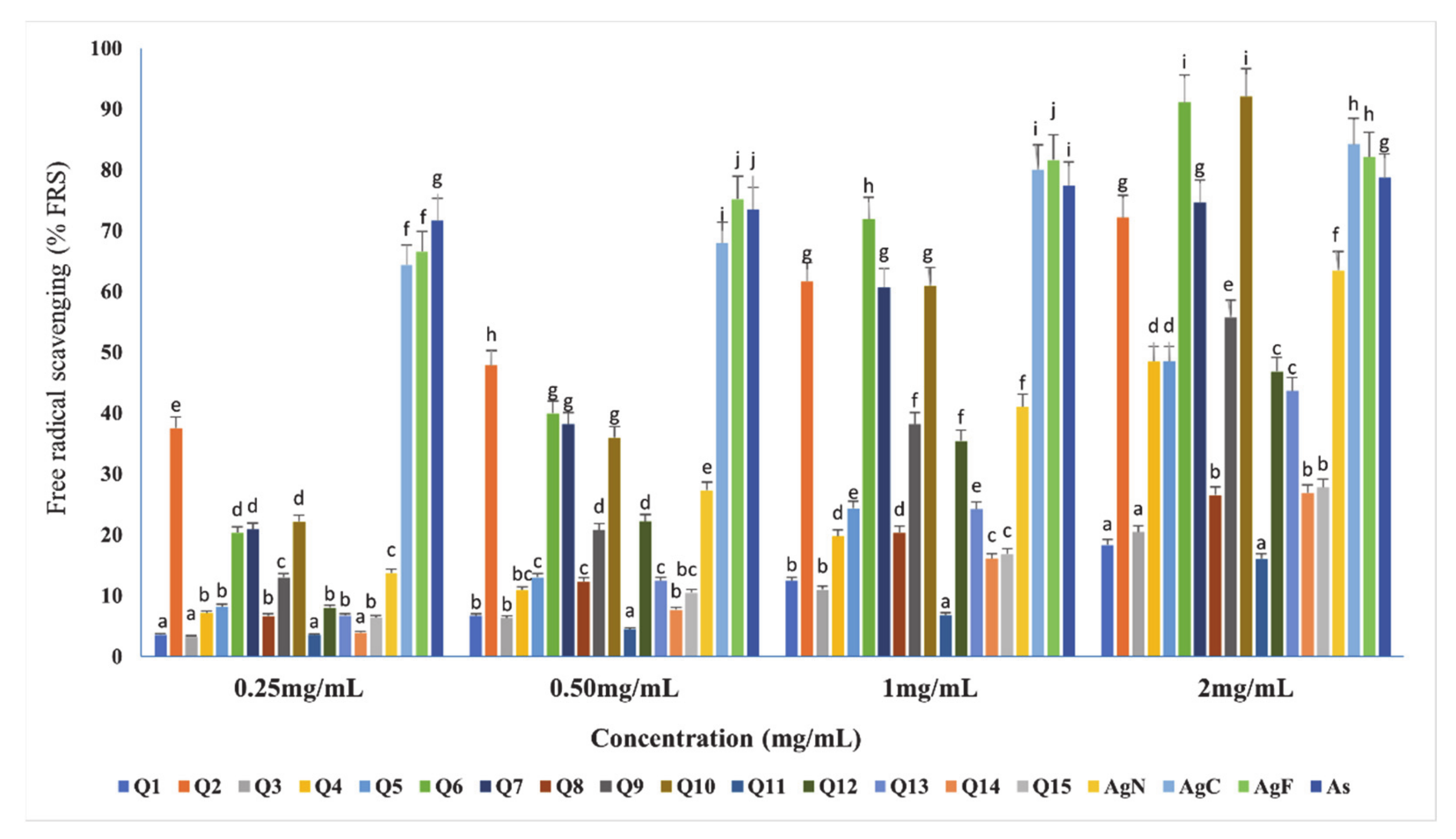
2.5. In Vitro Antioxidant Studies
2.6. DNA Binding Studies
Fluorescence Competitive Displacement Studies
2.7. Albumin Binding Studies Using Absorption Spectroscopy Titration
Fluorescence Quenching of Bovine Serum Albumin in the Presence of Complexes Q1–Q15
2.8. Anticancer Studies
3. Experimental
3.1. Materials and Instrumentation
3.2. Synthesis of Quinolinyl Schiff Bases L1–L5
3.3. Single-Crystal X-ray Analysis
3.4. Synthesis of Q1–Q15
3.4.1. [Ag(L1)2]NO3 Q1
3.4.2. [Ag(L2)2]NO3 Q2
3.4.3. [Ag(L3)2]NO3 Q3
3.4.4. [Ag(L4)2]NO3 Q4
3.4.5. [Ag(L5)2]NO3 Q5
3.4.6. [Ag(L1)2]ClO4 Q6
3.4.7. [Ag(L2)2]ClO4 Q7
3.4.8. [Ag(L3)2]ClO4 Q8
3.4.9. [Ag(L4)2]ClO4 Q9
3.4.10. [Ag(L5)2]ClO4 Q10
3.4.11. [Ag(L1)2]CF3SO3 Q11
3.4.12. [Ag(L2)2]CF3SO3 Q12
3.4.13. [Ag(L3)2]CF3SO3 Q13
3.4.14. [Ag(L4)2]CF3SO3 Q14
3.4.15. [Ag(L5)2]CF3SO3 Q15
3.5. In Vitro Antimicrobial Studies
3.5.1. Müeller–Hinton Agar Test Plates Preparation
3.5.2. Inoculation Procedure
3.6. Antioxidant Assay
3.7. DNA Binding Experiments
3.7.1. DNA Absorption Spectral Study
3.7.2. Luminescence Competitive Displacement Study
3.7.3. Albumin Binding Assay Using Absorption Spectroscopy Titration
3.7.4. Albumin Binding Studies Using Fluorescence Quenching Method
3.8. Cytotoxicity Evaluation
4. Conclusions
Supplementary Materials
Author Contributions
Funding
Acknowledgments
Conflicts of Interest
Disclosure Statement
References
- Bine, F.K.; Nkungli, N.K.; Numbonui, T.S.; Numbonui Ghogomu, J. Structural Properties and Reactive Site Selectivity of Some Transition Metal Complexes of 2,2’(1E,1’E)-(ethane-1,2-diylbis(azan-1-yl-1-ylidene))bis(phenylmethan-1-yl-1-yli dene)dibenzoic Acid: DFT, Conceptual DFT, QTAIM, and MEP Studies. Bioinorg. Chem. Appl. 2018, 2018, 4510648. [Google Scholar] [CrossRef] [PubMed]
- Manna, A.K.; Rout, K.; Chowdhury, S.; Patra, G.K. A dual-mode highly selective and sensitive Schiff base chemosensor for fluorescent colorimetric detection of Ni(2+) and colorimetric detection of Cu(2). Photochem. Photobiol. Sci. 2019, 18, 1512–1525. [Google Scholar] [CrossRef] [PubMed]
- Khandar, A.A.; Afkhami, F.A.; Hosseini-Yazdi, S.A.; White, J.M.; Kassel, S.; Dougherty, W.G.; Lipkowski, J.; van Derveer, D.; Giester, G.; Costantino, F. Anion influence in the structural diversity of cadmium coordination polymers constructed from a pyridine based Schiff base ligand. Inorg. Chim. Acta 2015, 427, 87–96. [Google Scholar] [CrossRef]
- Kajal, A.; Bala, S.; Kamboj, S.; Sharma, N.; Saini, V. Schiff Bases: A Versatile Pharmacophore. J. Catal. 2013, 2013, 1–14. [Google Scholar] [CrossRef]
- Garrido Montalban, A. Quinolines and Isoquinolines. Heterocycl. Nat. Prod. Synth. 2011, 299–339. [Google Scholar] [CrossRef]
- Kouznetsov, V.V.; Meléndez Gómez, C.M.; Peña, J.L.V.; Vargas-Méndez, L.Y. Natural and synthetic quinoline molecules against tropical parasitic pathologies: An analysis of activity and structural evolution for developing new quinoline-based antiprotozoal agents. In Discovery and Development of Therapeutics from Natural Products against Neglected Tropical Diseases; Elsevier: Amsterdam, The Netherlands, 2019; pp. 87–164. [Google Scholar] [CrossRef]
- Rajesh, Y.B. Quinoline Heterocycles: Synthesis and Bioactivity. In Heterocycles-Synthesis and Biological Activities; IntechOpen: London, UK, 2018. [Google Scholar] [CrossRef]
- Casal, J.J.; Asís, S.E. Natural and synthetic quinoline derivatives as anti-tuberculosis agents. Austin Tuberc. Res. Treat. 2017, 2, 1007–1010. [Google Scholar]
- Kumar, S.; Bawa, S.; Gupta, H. Biological activities of quinoline derivatives. Mini Rev. Med. Chem. 2009, 9, 1648–1654. [Google Scholar] [CrossRef]
- Adsule, S.; Barve, V.; Chen, D.; Ahmed, F.; Dou, Q.P.; Padhye, S.; Sarkar, F.H. Novel Schiff base copper complexes of quinoline-2 carboxaldehyde as proteasome inhibitors in human prostate cancer cells. J. Med. Chem. 2006, 49, 7242–7246. [Google Scholar] [CrossRef]
- Beyzaei, H.; Moghadam, H.H.; Bagherzade, G.; Aryan, R.; Moghaddam-Manesh, M. Synthesis and In Vitro Antibacterial Evaluation of Schiff Bases Derived from 2-Chloro-3-Quinolinecarboxaldehyde. Avicenna J. Med. Biochem. 2019, 7, 9–15. [Google Scholar] [CrossRef]
- Sakthi, M.; Ramu, A. Synthesis, structure, DNA/BSA binding and antibacterial studies of NNO tridentate Schiff base metal complexes. J. Mol. Struct. 2017, 1149, 727–735. [Google Scholar] [CrossRef]
- Shivakumar, L.; Shivaprasad, K.; Revanasiddappa, H.D. SODs, DNA binding and cleavage studies of new Mn(III) complexes with 2-((3-(benzyloxy)pyridin-2-ylimino)methyl)phenol. Spectrochim. Acta A Mol. Biomol. Spectrosc. 2013, 107, 203–212. [Google Scholar] [CrossRef] [PubMed]
- Ommenya, F.K.; Nyawade, E.A.; Andala, D.M.; Kinyua, J. Synthesis, Characterization and Antibacterial Activity of Schiff Base, 4-Chloro-2-{(E)-[(4-Fluorophenyl)imino]methyl}phenol Metal (II) Complexes. J. Chem. 2020, 2020, 1–8. [Google Scholar] [CrossRef]
- Buldurun, K.; Turan, N.; Savcı, A.; Çolak, N. Synthesis, structural characterization and biological activities of metal(II) complexes with Schiff bases derived from 5-bromosalicylaldehyde: Ru(II) complexes transfer hydrogenation. J. Saudi Chem. Soc. 2019, 23, 205–214. [Google Scholar] [CrossRef]
- Lapasam, A.; Kollipara, M.R. A survey of crystal structures and biological activities of platinum group metal complexes containing N-acylthiourea ligands. Phosphorus Sulfur Silicon Relat. Elem. 2020, 195, 1–26. [Google Scholar] [CrossRef]
- Al-Hamdani, A.A.S.; BALKHI, A.; Falah, A.; Shaker, S.A. New Azo-Schiff Base Derived with Ni (II), Co (II), Cu (II), Pd (II) and Pt (II) Complexes: Preparation, Spectroscopic Investigation, Structural Studies and Biological Activity. J. Chil. Chem. Soc. 2015, 60, 2774–2785. [Google Scholar] [CrossRef]
- Duric, S.Z.; Vojnovic, S.; Andrejevic, T.P.; Stevanovic, N.L.; Savic, N.D.; Nikodinovic-Runic, J.; Glisic, B.D.; Djuran, M.I. Antimicrobial Activity and DNA/BSA Binding Affinity of Polynuclear Silver(I) Complexes with 1,2-Bis(4-pyridyl)ethane/ethene as Bridging Ligands. Bioinorg. Chem. Appl. 2020, 2020, 3812050. [Google Scholar] [CrossRef] [PubMed]
- Medici, S.; Peana, M.; Crisponi, G.; Nurchi, V.M.; Lachowicz, J.I.; Remelli, M.; Zoroddu, M.A. Silver coordination compounds: A new horizon in medicine. Coord. Chem. Rev. 2016, 327, 349–359. [Google Scholar] [CrossRef]
- Liao, C.; Li, Y.; Tjong, S.C. Bactericidal and Cytotoxic Properties of Silver Nanoparticles. Int. J. Mol. Sci. 2019, 20, 449. [Google Scholar] [CrossRef]
- Abdel-Rahman, L.H.; Adam, M.S.S.; Abu-Dief, A.M.; Moustafa, H.; Basha, M.T.; Aboraia, A.S.; Al-Farhan, B.S.; Ahmed, H.E. Synthesis, theoretical investigations, biocidal screening, DNA binding, in vitro cytotoxicity and molecular docking of novel Cu(II), Pd(II) and Ag(I) complexes of chlorobenzylidene Schiff base: Promising antibiotic and anticancer agents. Appl. Organomet. Chem. 2018, 32, e4527. [Google Scholar] [CrossRef]
- Kyros, L.; Kourkoumelis, N.; Kubicki, M.; Male, L.; Hursthouse, M.B.; Verginadis, I.I.; Gouma, E.; Karkabounas, S.; Charalabopoulos, K.; Hadjikakou, S.K. Structural properties, cytotoxicity, and anti-inflammatory activity of silver(I) complexes with tris(p-tolyl)phosphine and 5-chloro-2-mercaptobenzothiazole. Bioinorg. Chem. Appl. 2010, 2010, 386860. [Google Scholar] [CrossRef]
- Radko, L.; Stypula-Trebas, S.; Posyniak, A.; Zyro, D.; Ochocki, J. Silver(I) Complexes of the Pharmaceutical Agents Metronidazole and 4-Hydroxymethylpyridine: Comparison of Cytotoxic Profile for Potential Clinical Application. Molecules 2019, 24, 1949. [Google Scholar] [CrossRef] [PubMed]
- Kalinowska-Lis, U.; Felczak, A.; Checinska, L.; Szablowska-Gadomska, I.; Patyna, E.; Malecki, M.; Lisowska, K.; Ochocki, J. Antibacterial Activity and Cytotoxicity of Silver(I) Complexes of Pyridine and (Benz)Imidazole Derivatives. X-ray Crystal Structure of [Ag(2,6-di(CH2OH)py)2]NO3. Molecules 2016, 21, 87. [Google Scholar] [CrossRef] [PubMed]
- Njogu, E.M.; Omondi, B.; Nyamori, V.O. Silver(I)-pyridinyl Schiff base complexes: Synthesis, characterisation and antimicrobial studies. J. Mol. Struct. 2017, 1135, 118–128. [Google Scholar] [CrossRef]
- Wu, H.; Yang, Z.; Chen, C.; Zhang, J.; Zhang, H.; Peng, H.; Wang, F. Synthesis, crystal structures, antioxidant activities, and DNA-binding studies of two silver(I) complexes with 1,3-bis(1-ethylbenzimidazol-2-yl)-2-thiapropane, andα,β-unsaturated carboxylates. J. Coord. Chem. 2016, 69, 1076–1087. [Google Scholar] [CrossRef]
- Aleksić, M.; Kapetanović, V. An overview of the optical and electrochemical methods for detection of DNA-drug interactions. Acta Chim. Slov. 2014, 61, 555–573. [Google Scholar] [PubMed]
- Alagesan, M.; Bhuvanesh, N.S.P.; Dharmaraj, N. Potentially cytotoxic new copper(ii) hydrazone complexes: Synthesis, crystal structure and biological properties. Dalton Trans. 2013, 42, 7210. [Google Scholar] [CrossRef] [PubMed]
- Adeleke, A.A.; Islam, M.S.; Sanni, O.; Mocktar, C.; Zamisa, S.J.; Omondi, B. Aryl variation and anion effect on CT-DNA binding and in vitro biological studies of pyridinyl Ag(I) complexes. J. Inorg. Biochem. 2021, 214, 111266. [Google Scholar] [CrossRef] [PubMed]
- Ammar, R.A.; Alaghaz, A.N.; Alturiqi, A.S. New dimeric Schiff base quinoline complexes: Synthesis, spectral characterization, electrochemistry and cytotoxicity. Appl. Organomet. Chem. 2018, 32, e4361. [Google Scholar] [CrossRef]
- Wang, A.; Fan, R.; Dong, Y.; Chen, W.; Song, Y.; Wang, P.; Hao, S.; Liu, Z.; Yang, Y. (E)-4-Methyl-N-((quinolin-2-yl)ethylidene)aniline as ligand for IIB supramolecular complexes: Synthesis, structure, aggregation-induced emission enhancement and application in PMMA-doped hybrid material. Dalton Trans. 2017, 46, 71–85. [Google Scholar] [CrossRef]
- Pinto, M.N.; Chakraborty, I.; Sandoval, C.; Mascharak, P.K. Eradication of HT-29 colorectal adenocarcinoma cells by controlled photorelease of CO from a CO-releasing polymer (photoCORP-1) triggered by visible light through an optical fiber-based device. J. Control. Release 2017, 264, 192–202. [Google Scholar] [CrossRef]
- Liu, L.; Li, Y.; Deng, S.; Zhang, Y. A dysprosium(III) complex based on Schiff-base ligand exhibiting two magnetic relaxation processes. Inorg. Chim. Acta 2017, 457, 1–6. [Google Scholar] [CrossRef]
- Stenger-Smith, J.; Chakraborty, I.; Sameera, W.M.C.; Mascharak, P.K. Antimicrobial silver(I) complexes derived from aryl-benzothiazoles as turn-on sensors: Syntheses, properties and density functional studies. Inorg. Chim. Acta 2018, 471, 326–335. [Google Scholar] [CrossRef]
- Greenfield, J.L.; Rizzuto, F.J.; Goldberga, I.; Nitschke, J.R. Self-Assembly of Conjugated Metallopolymers with Tunable Length and Controlled Regiochemistry. Angew. Chem. Int. Ed. Engl. 2017, 56, 7541–7545. [Google Scholar] [CrossRef] [PubMed]
- Hannon, M.J.; Painting, C.L.; Alcock, N.W. A metallo-supramolecular double-helix containing a major and a minor groove. Chem. Commun. 1999, 2023–2024. [Google Scholar] [CrossRef]
- Zhu, G.; Zhang, X.; Zhao, M.; Wang, L.; Jing, C.; Wang, P.; Wang, X.; Wang, Q. Influences of Fluorine Substituents on Iminopyridine Fe(II)- and Co(II)-Catalyzed Isoprene Polymerization. Polymers 2018, 10, 934. [Google Scholar] [CrossRef] [PubMed]
- Gharamaleki, J.A.; Akbari, F.; Karbalaei, A.; Ghiassi, K.B.; Olmstead, M.M. Synthesis, Characterization and Crystal Structure of a New Schiff Base Ligand from a Bis(Thiazoline) Template and Hydrolytic Cleavage of the Imine Bond Induced by a Co(II) Cation. Open, J. Inorg. Chem. 2016, 6, 76–88. [Google Scholar] [CrossRef]
- Lashanizadegan, M.; Sarkheil, M. Solvent-dependent synthesis and mono-hydrolysis of di-Schiff base of (+/−)trans-1,2-cyclohexanediamine and 2-pyridinecarboxaldehyde in Cu(II), Co(II) and Zn(II) complexes. J. Serb. Chem. Soc. 2012, 77, 1589–1597. [Google Scholar] [CrossRef]
- Esmadi, F.T.; Khabour, O.F.; Abbas, K.; Mohammad, A.E.; Obeidat, R.T.; Mfady, D. Synthesis, characterization and biological activity of some unsymmetrical Schiff base transition metal complexes. Drug Chem. Toxicol. 2016, 39, 41–47. [Google Scholar] [CrossRef]
- Abd El-Halim, H.F.; Mohamed, G.G.; Anwar, M.N. Antimicrobial and anticancer activities of Schiff base ligand and its transition metal mixed ligand complexes with heterocyclic base. Appl. Organomet. Chem. 2018, 32, e3899. [Google Scholar] [CrossRef]
- Dehghanpour, S.; Mahmoudi, A. Synthesis, structure, and redox properties of copper(I) complexes with phenylpyridin-2-ylmethyleneamine derivatives. Main Group Chem. 2007, 6, 121–130. [Google Scholar] [CrossRef]
- Vallejos, J.; Brito, I.; Cardenas, A.; Bolte, M.; Conejeros, S.; Alemany, P.; Llanos, J. Self-Assembly of Discrete Metallocycles versus Coordination Polymers Based on Cu(I) and Ag(I) Ions and Flexible Ligands: Structural Diversification and Luminescent Properties. Polymers 2016, 8, 46. [Google Scholar] [CrossRef]
- Njogu, E.M.; Omondi, B.; Nyamori, V.O. Synthesis, physical and antimicrobial studies of ferrocenyl-N-(pyridinylmethylene)anilines and ferrocenyl-N-(pyridinylmethyl)anilines. S. Afr. J. Chem. 2016, 69, 51–66. [Google Scholar] [CrossRef]
- Njogu, E.M.; Omondi, B.; Nyamori, V.O. Coordination polymers and discrete complexes of Ag(I)-N-(pyridylmethylene)anilines: Synthesis, crystal structures and photophysical properties. J. Coord. Chem. 2017, 70, 2796–2814. [Google Scholar] [CrossRef]
- Njogu, E.M.; Omondi, B.; Nyamori, V.O. Silver(I)-pyridinyl Schiff base complexes: Synthesis, structural characterization and reactivity in ring-opening polymerisation of ε-caprolactone. Inorg. Chim. Acta 2017, 457, 160–170. [Google Scholar] [CrossRef]
- Argyle, V.J.; Woods, L.M.; Roxburgh, M.; Hanton, L.R. Triflate anion and ligand influences in silver(i) coordination polymers of four isomeric dipyridyl ketone oximes. CrystEngComm 2013, 15, 120–134. [Google Scholar] [CrossRef]
- Davis, T.L.; Watts, J.L.; Brown, K.J.; Hewage, J.S.; Treleven, A.R.; Lindeman, S.V.; Gardinier, J.R. Structural classification of metal complexes with three-coordinate centres. Dalton Trans. 2015, 44, 15408–15412. [Google Scholar] [CrossRef]
- Ahmad, S.; Georgieva, I.; Hanif, M.; Monim-Ul-Mehboob, M.; Munir, S.; Sohail, A.; Isab, A.A. Periodic DFT modeling and vibrational analysis of silver(I) cyanide complexes of thioureas. J. Mol. Model. 2019, 25, 90. [Google Scholar] [CrossRef]
- Njogu, E.M.; Martincigh, B.S.; Omondi, B.; Nyamori, V.O. Synthesis, characterization, antimicrobial screening and DNA binding of novel silver(I)-thienylterpyridine and silver(I)-furylterpyridine complexes. Appl. Organomet. Chem. 2018, 32, e4554. [Google Scholar] [CrossRef]
- Feazell, R.P.; Carson, C.E.; Klausmeyer, K.K. Variability in the structures of [4-(aminomethyl) pyridine] silver (I) complexes through effects of ligand ratio, anion, hydrogen bonding, and π-stacking. Inorg. Chem. 2006, 45, 935–944. [Google Scholar] [CrossRef]
- Santos, A.F.; Brotto, D.F.; Favarin, L.R.V.; Cabeza, N.A.; Andrade, G.R.; Batistote, M.; Cavalheiro, A.A.; Neves, A.; Rodrigues, D.C.M.; dos Anjos, A. Study of the antimicrobial activity of metal complexes and their ligands through bioassays applied to plant extracts. Rev. Bras. Farmacogn. 2014, 24, 309–315. [Google Scholar] [CrossRef]
- Tabacaru, A.; Pettinari, C.; Busila, M.; Dinica, R.M. New Antibacterial Silver(I) Coordination Polymers Based on a Flexible Ditopic Pyrazolyl-Type Ligand. Polymers 2019, 11, 1686. [Google Scholar] [CrossRef] [PubMed]
- Oladipo, S.D.; Omondi, B.; Mocktar, C. Synthesis and structural studies of nickel(II)- and copper(II)-N,N′-diarylformamidine dithiocarbamate complexes as antimicrobial and antioxidant agents. Polyhedron 2019, 170, 712–722. [Google Scholar] [CrossRef]
- Jadhav, G.R.; Deshmukh, D.G.; Medhane, V.J.; Gaikwad, V.B.; Bholay, A.D. 2,5-Disubstituted 1,3,4-oxadiazole derivatives of chromeno[4,3-b]pyridine: Synthesis and study of antimicrobial potency. Heterocycl. Commun. 2016, 22, 123–130. [Google Scholar] [CrossRef]
- Tariq, S.; Kamboj, P.; Amir, M. Therapeutic advancement of benzothiazole derivatives in the last decennial period. Arch. Pharm. 2019, 352, e1800170. [Google Scholar] [CrossRef]
- Desai, N.C.; Vaghani, H.V.; Patel, B.Y.; Karkar, T.J. Synthesis and Antimicrobial Activity of Fluorine Containing Pyrazole-clubbed Dihydropyrimidinones. Indian, J. Pharm. Sci. 2018, 80, 242–252. [Google Scholar] [CrossRef]
- Ibrahim, H.M.; Behbehani, H.; Elnagdi, M.H. Approaches towards the synthesis of a novel class of 2-amino-5-arylazonicotinate, pyridazinone and pyrido [2, 3-d] pyrimidine derivatives as potent antimicrobial agents. Chem. Cent. J. 2013, 7, 123. [Google Scholar] [CrossRef]
- Gopalakrishnan, M.; Thanusu, J.; Kanagarajan, V. Design, synthesis, spectral analysis and in vitro microbiological evaluation of 2-phenyl-3-(4,6-diarylpyrimidin-2-yl)thiazolidin-4-ones. J. Enzym. Inhib. Med. Chem. 2009, 24, 1088–1094. [Google Scholar] [CrossRef]
- Ali, R.; Siddiqui, N. Biological Aspects of Emerging Benzothiazoles: A Short Review. J. Chem. 2013, 2013, 1–12. [Google Scholar] [CrossRef]
- Shah, R.; Verma, P.K. Therapeutic importance of synthetic thiophene. Chem. Cent. J. 2018, 12, 137. [Google Scholar] [CrossRef]
- Zhang, J.-A.; Pan, M.; Zhang, J.-Y.; Zhang, H.-K.; Fan, Z.-J.; Kang, B.-S.; Su, C.-Y. Syntheses, structures and bioactivities of silver(I) complexes with a tridentate heterocyclic N- and S-ligand. Polyhedron 2009, 28, 145–149. [Google Scholar] [CrossRef]
- Phaniendra, A.; Jestadi, D.B.; Periyasamy, L. Free Radicals: Properties, Sources, Targets, and Their Implication in Various Diseases. Indian, J. Clin. Biochem. 2014, 30, 11–26. [Google Scholar] [CrossRef] [PubMed]
- Liguori, I.; Russo, G.; Curcio, F.; Bulli, G.; Aran, L.; Della-Morte, D.; Gargiulo, G.; Testa, G.; Cacciatore, F.; Bonaduce, D.; et al. Oxidative stress, aging, and diseases. Clin. Interv. Aging 2018, 13, 757–772. [Google Scholar] [CrossRef] [PubMed]
- Oladipo, S.D.; Mocktar, C.; Omondi, B. In vitro biological studies of heteroleptic Ag(I) and Cu(I) unsymmetrical N,N’-diarylformamidine dithiocarbamate phosphine complexes; the effect of the metal center. Arab. J. Chem. 2020, 13, 6379–6394. [Google Scholar] [CrossRef]
- Prakash Naik, H.R.; Rajappa, J.J.; Karmakar, B.; Raja Naika, H.; Ramachandra Naik, M. Synthesis of Fe(III) Complexes as Antioxidants and DNA Cleavage Protectors. Nat. Prod. Chem. Res. 2018, 6, 2. [Google Scholar]
- Jayanthi, E.; Anusuya, M.; Anusuya, R.; Thenmozhi, K.; Nagaveni, A.; Bhuvanesh, N.S.P. Synthesis, Structure and Antioxidant Activity of Mixed Ruthenium(III) Benzoyl Pyridine Complex. Asian, J. Chem. 2020, 32, 641–645. [Google Scholar] [CrossRef]
- Karekal, M.R.; Biradar, V.; Bennikallu Hire Mathada, M. Synthesis, characterization, antimicrobial, DNA cleavage, and antioxidant studies of some metal complexes derived from schiff base containing indole and quinoline moieties. Bioinorg. Chem. Appl. 2013, 2013, 315972. [Google Scholar] [CrossRef]
- Irshad, M.; Zafaryab, M.; Singh, M.; Rizvi, M.M. Comparative Analysis of the Antioxidant Activity of Cassia fistula Extracts. Int. J. Med. Chem. 2012, 2012, 157125. [Google Scholar]
- Martín, J. An overview on ligands of therapeutically interest. Pharm. Pharmacol. Int. J. 2018, 6, 198–214. [Google Scholar] [CrossRef]
- Sodhi, R.K.; Paul, S. Metal Complexes in Medicine: An Overview and Update from Drug Design Perspective. Cancer Ther. Oncol. Int. J. 2019, 14. [Google Scholar] [CrossRef]
- Sharma, V.; Jaiswal, P.K.; Saran, M.; Yadav, D.K.; Mathur, M.; Swami, A.K.; Misra, S.; Kim, M.H.; Chaudhary, S. Discovery of C-3 Tethered 2-oxo-benzo[1,4]oxazines as Potent Antioxidants: Bio-Inspired Based Design, Synthesis, Biological Evaluation, Cytotoxic, and in Silico Molecular Docking Studies. Front. Chem. 2018, 6, 56. [Google Scholar] [CrossRef]
- Racané, L.; Ptiček, L.; Fajdetić, G.; Tralić-Kulenović, V.; Klobučar, M.; Pavelić, S.K.; Perić, M.; Paljetak, H.Č.; Verbanac, D.; Starčević, K. Green synthesis and biological evaluation of 6-substituted-2-(2-hydroxy/methoxy phenyl)benzothiazole derivatives as potential antioxidant, antibacterial and antitumor agents. Bioorg. Chem. 2020, 95, 103537. [Google Scholar]
- Kizilkaya, H.; Dag, B.; Aral, T.; Genc, N.; Erenler, R. Synthesis, characterization, and antioxidant activity of heterocyclic Schiff bases. J. Chin. Chem. Soc. 2020, 67, 1696–1701. [Google Scholar] [CrossRef]
- Miri, R.; Bohlooli, F.; Razzaghi-Asl, N.; Ebadi, A. Molecular Modeling of indeno [1, 2-b] quinoline-9, 11-diones as cytotoxic agents. Iran. J. Pharm. Sci. 2018, 17, 1249. [Google Scholar]
- Li, L.J.; Yan, Q.Q.; Liu, G.J.; Yuan, Z.; Lv, Z.H.; Fu, B.; Han, Y.J.; Du, J.L. Synthesis characterization and cytotoxicity studies of platinum(II) complexes with reduced amino pyridine schiff base and its derivatives as ligands. Biosci. Biotechnol. Biochem. 2017, 81, 1081–1089. [Google Scholar] [CrossRef] [PubMed]
- Banti, C.N.; Giannoulis, A.D.; Kourkoumelis, N.; Owczarzak, A.M.; Poyraz, M.; Kubicki, M.; Charalabopoulos, K.; Hadjikakou, S.K. Mixed ligand-silver(I) complexes with anti-inflammatory agents which can bind to lipoxygenase and calf-thymus DNA, modulating their function and inducing apoptosis. Metallomics 2012, 4, 545–560. [Google Scholar] [CrossRef] [PubMed]
- Murugavel, S.; Stephen, C.J.P.; Subashini, R.; AnanthaKrishnan, D. Synthesis, structural elucidation, antioxidant, CT-DNA binding and molecular docking studies of novel chloroquinoline derivatives: Promising antioxidant and anti-diabetic agents. J. Photochem. Photobiol. B 2017, 173, 216–230. [Google Scholar] [CrossRef] [PubMed]
- Tomosaka, H.; Omata, S.; Hasegawa, E.; Anzai, K. The effects of substituents introduced into 9-aminoacridine on frameshift mutagenicity and DNA binding affinity. Biosci. Biotechnol. Biochem. 1997, 61, 1121–1125. [Google Scholar] [CrossRef][Green Version]
- Daravath, S.; Rambabu, A.; Shankar, D.S. Structure elucidation of copper(II), cobalt(II) and nickel(II) complexes of benzothiazole derivatives: Investigation of DNA binding, nuclease efficacy, free radical scavenging and biocidal properties. Chem. Data Collect. 2019, 24, 100293. [Google Scholar] [CrossRef]
- Rendosova, M.; Vargova, Z.; Kuchar, J.; Sabolova, D.; Levoca, S.; Kudlacova, J.; Paulikova, H.; Hudecova, D.; Helebrandtova, V.; Almasi, M.; et al. New silver complexes with bioactive glycine and nicotinamide molecules—Characterization, DNA binding, antimicrobial and anticancer evaluation. J. Inorg. Biochem. 2017, 168, 1–12. [Google Scholar] [CrossRef]
- Kazemi, Z.; Rudbari, H.A.; Mirkhani, V.; Sahihi, M.; Moghadam, M.; Tangestaninejad, S.; Mohammadpoor-Baltork, I. Synthesis, characterization, crystal structure, DNA- and HSA-binding studies of a dinuclear Schiff base Zn(II) complex derived from 2-hydroxynaphtaldehyde and 2-picolylamine. J. Mol. Struct. 2015, 1096, 110–120. [Google Scholar] [CrossRef]
- Saeidifar, M.; Sohrabi Jam, Z.; Shahraki, S.; Khanlarkhani, A.; Javaheri, M.; Divsalar, A.; Mansouri-Torshizi, H.; Akbar Saboury, A. Multi-spectroscopic and electrochemical approaches of the interaction between a new binuclear agent and DNA. J. Biomol. Struct. Dyn. 2017, 35, 2557–2564. [Google Scholar] [CrossRef] [PubMed]
- Vanekova, Z.; Hubcik, L.; Toca-Herrera, J.L.; Furtmuller, P.G.; Mucaji, P.; Nagy, M. Analysis of Binding Interactions of Ramipril and Quercetin on Human Serum Albumin: A Novel Method in Affinity Evaluation. Molecules 2020, 25, 547. [Google Scholar] [CrossRef] [PubMed]
- Abeydeera, N.; Perera, I.C.; Perera, T. Synthesis, Characterization, and BSA-Binding Studies of Novel Sulfonated Zinc-Triazine Complexes. Bioinorg. Chem. Appl. 2018, 7563820, 1–7. [Google Scholar]
- Anjomshoa, M.; Fatemi, S.J.; Torkzadeh-Mahani, M.; Hadadzadeh, H. DNA- and BSA-binding studies and anticancer activity against human breast cancer cells (MCF-7) of the zinc(II) complex coordinated by 5,6-diphenyl-3-(2-pyridyl)-1,2,4-triazine. Spectrochim. Acta A Mol. Biomol. Spectrosc. 2014, 127, 511–520. [Google Scholar] [CrossRef]
- Zhang, F.; Lin, Q.; Li, S.; Zhao, Y.; Wang, P.; Chen, M. Synthesis, interaction with DNA and bovine serum albumin of the transition metal complexes of demethylcantharate and 2-aminobenzothiazole. Spectrochim. Acta Part A 2012, 98, 436–443. [Google Scholar] [CrossRef]
- Kumar, R.R.; Ramesh, R. Synthesis, molecular structure and electrochemical properties of nickel(ii) benzhydrazone complexes: Influence of ligand substitution on DNA/protein interaction, antioxidant activity and cytotoxicity. RSC Adv. 2015, 5, 101932–101948. [Google Scholar] [CrossRef]
- Soares, F.; Ceschi, M.; Franceschini, D.; do Canto, V.; Netz, P.; Campo, L. Tianeptine Esters Derivatives: A Study of Protein-Drug Interaction Performed by Fluorescence Quenching and Molecular Docking. J. Braz. Chem. Soc. 2019, 30, 2125–2135. [Google Scholar] [CrossRef]
- Crouse, H.F.; Potoma, J.; Nejrabi, F.; Snyder, D.L.; Chohan, B.S.; Basu, S. Quenching of tryptophan fluorescence in various proteins by a series of small nickel complexes. Dalton Trans. 2012, 41, 2720–2731. [Google Scholar] [CrossRef]
- Gomathi, A.; Vijayan, P.; Viswanathamurthi, P.; Suresh, S.; Nandhakumar, R.; Hashimoto, T. Organoruthenium(II) compounds with pyridyl benzoxazole/benzthiazole moiety: Studies on DNA/protein binding and enzyme mimetic activities. J. Coord. Chem. 2017, 70, 1645–1666. [Google Scholar] [CrossRef]
- Hong, M.; Geng, H.; Niu, M.; Wang, F.; Li, D.; Liu, J.; Yin, H. Organotin(IV) complexes derived from Schiff base N’-[(1E)-(2-hydroxy-3-methoxyphenyl)methylidene]pyridine-4-carbohydrazone: Synthesis, in vitro cytotoxicities and DNA/BSA interaction. Eur. J. Med. Chem. 2014, 86, 550–561. [Google Scholar] [CrossRef]
- Saeed, S.; Rashid, N.; Jones, P.G.; Ali, M.; Hussain, R. Synthesis, characterization and biological evaluation of some thiourea derivatives bearing benzothiazole moiety as potential antimicrobial and anticancer agents. Eur. J. Med. Chem. 2010, 45, 1323–1331. [Google Scholar] [CrossRef] [PubMed]
- Sreelatha, T.; Kandhasamy, S.; Dinesh, R.; Shruthy, S.; Shweta, S.; Mukesh, D.; Karunagaran, D.; Balaji, R.; Mathivanan, N.; Perumal, P.T. Synthesis and SAR study of novel anticancer and antimicrobial naphthoquinone amide derivatives. Bioorg. Med. Chem. Lett. 2014, 24, 3647–3651. [Google Scholar] [CrossRef] [PubMed]
- El-Tabl, A.S.; Mohamed Abd El-Waheed, M.; Wahba, M.A.; Abou El-Fadl, A.E.H. Synthesis, Characterization, and Anticancer Activity of New Metal Complexes Derived from 2-Hydroxy-3-(hydroxyimino)-4-oxopentan-2-ylidene)benzohydrazide. Bioinorg. Chem. Appl. 2015, 126023, 1–14. [Google Scholar] [CrossRef] [PubMed]
- Dong, Y.; Fan, R.; Chen, W.; Wang, P.; Yang, Y. A simple quinolone Schiff-base containing CHEF based fluorescence ‘turn-on’ chemosensor for distinguishing Zn(2+) and Hg(2+) with high sensitivity, selectivity and reversibility. Dalton Trans. 2017, 46, 6769–6775. [Google Scholar] [CrossRef] [PubMed]
- Dong, Y.; Wang, P.; Fan, R.; Chen, W.; Wang, A.N.; Yang, Y. Different conjugated system Cd(II)/Hg(II) Schiff base complexes: Syntheses, supramolecular metal−organic frameworks, luminescent properties and DFT study. J. Coord. Chem. 2017, 70, 1953–1972. [Google Scholar] [CrossRef]
- Bruker AXS Inc. Data Reduction Software; Bruker AXS Inc.: Madison, WI, USA, 2009. [Google Scholar]
- Bruker AXS Inc. Saint and SADABS.; Bruker AXS Inc.: Madison, WI, USA, 2009. [Google Scholar]
- Sheldrick, G.M. Crystal structure solution with SHELXT. Acta Crystallogr. A 2015, 71, 3–8. [Google Scholar] [CrossRef] [PubMed]
- Farrugia, L. WinGX and ORTEP for Windows: An update. J. Appl. Cryst. 2012, 45, 849–854. [Google Scholar] [CrossRef]
- Sheldrick, G.M. Crystal structure refinement with SHELXL. Acta Crystallogr. C Struct. Chem. 2015, 71, 3–8. [Google Scholar] [CrossRef]
- Nayak, S.G.; Poojary, B. Synthesis of novel Schiff bases containing arylpyrimidines as promising antibacterial agents. Heliyon 2019, 5, e02318. [Google Scholar] [CrossRef]
- El Jemli, M.; Kamal, R.; Marmouzi, I.; Zerrouki, A.; Cherrah, Y.; Alaoui, K. Radical-Scavenging Activity and Ferric Reducing Ability of Juniperus thurifera (L.), J. oxycedrus (L.), J. phoenicea (L.) and Tetraclinis articulata (L.). Adv. Pharmacol. Sci. 2016, 6392656, 1–6. [Google Scholar]
- Raman, N.; Sakthivel, A.; Jeyamurugan, R. Synthesis, characterization, DNA binding, photo-induced DNA cleavage, and antimicrobial activity of metal complexes of a Schiff base derived frombis(3-aminophenyl)malonamide. J. Coord. Chem. 2009, 62, 3969–3985. [Google Scholar] [CrossRef]
- Tayyab, S.; Min, L.H.; Kabir, M.Z.; Kandandapani, S.; Ridzwan, N.F.W.; Mohamad, S.B. Exploring the interaction mechanism of a dicarboxamide fungicide, iprodione with bovine serum albumin. Chem. Pap. 2019, 74, 1633–1646. [Google Scholar] [CrossRef]
- Sharma, N.K.; Ameta, R.K.; Singh, M. Biological Impact of Pd (II) Complexes: Synthesis, Spectral Characterization, In Vitro Anticancer, CT-DNA Binding, and Antioxidant Activities. Int. J. Med. Chem. 2016, 2016, 1–10. [Google Scholar]
- Abdel-Rahman, L.H.; Abu-Dief, A.M.; El-Khatib, R.M.; Abdel-Fatah, S.M.; Seleem, A.A. New Cd(II), Mn(II) and Ag(I) Schiff Base Complexes: Synthesis, Characterization, DNA Binding and Antimicrobial Activity. IJNC 2016, 2, 83–91. [Google Scholar] [CrossRef]
- Vamsikrishna, N.; Kumar, M.P.; Ramesh, G.; Ganji, N.; Daravath, S. DNA interactions and biocidal activity of metal complexes of benzothiazole Schiff bases: Synthesis, characterization and validation. J. Chem. Sci. 2017, 129, 609–622. [Google Scholar] [CrossRef]
- Aslantürk, Ö.S. In Vitro Cytotoxicity and Cell Viability Assays: Principles, Advantages, and Disadvantages; IntechOpen: London, UK, 2018. [Google Scholar]
- Abrahams, S.; Mosebi, S.; Fish, M.Q.; Papathanasopoulos, M.A.; Hewer, R. Screening of the NIH Clinical Collection for inhibitors of HIV-1 integrase activity. S. Afr. J. Chem. 2018, 114, 1–5. [Google Scholar]












| Q1 | Q6 | Q7 | Q12 | Q14 | |
|---|---|---|---|---|---|
| Ag–Nim | 2.398 (16) | 2.400 (17) | 2.317 (18) | ||
| Ag–Nqy | 2.240 (16) | 2.246 (18) | 2.37 (6) | 2.346 (3) | 2.321 (17) |
| Ag–Nam | 2.192 (16) | 2.208 (17) | |||
| Ag–Nth | 2.37 (2) | 2.465 (3) | |||
| Ag–O | 2.66 (6) | 2.587 (3) 2.397 (3) | 2.609 (2) 2.233 (16) | ||
| Ag–Ag | 3.06 (7) | ||||
| N–Ag–N | 146.71 (6) 140.28 (6) 72.97 (6) | 145.25 (6) 140.93 (6) 73.12 (6) | 72.8 (4) | 70.42 (10) | 73.08 (6) |
| N–Ag–O | 105.49 (2) 83.23 (2) | 105.57 (10) 162.01 (10) 175.69 (9) 99.86 (10) | 145.17 (6) 134.92 (6) 95.22 (6) 93.18 (6) | ||
| O–Ag–O | 83.56 (9) | 101.85 (7) |
| Compounds | Gram + Ve Bacteria | Gram − Ve Bacteria | ||||
|---|---|---|---|---|---|---|
| SA | MRSA | PA | ST | EC | KP | |
| L1 | 100 | NA | NA | NA | 1000 | NA |
| L2 | NA | NA | 100 | NA | NA | 100 |
| L3 | NA | 1000 | 100 | NA | NA | 50 |
| L4 | NA | NA | NA | 1000 | 1000 | NA |
| L5 | NA | NA | 100 | 50 | NA | 100 |
| Q1 | 25 | 1000 | 25 | 100 | 50 | 0.2 |
| Q2 | 25 | 50 | 12.5 | 50 | 25 | 0.05 |
| Q3 | 50 | 50 | 12.5 | 50 | 25 | 0.05 |
| Q4 | 12.5 | 50 | 12.5 | 50 | 12.5 | 0.8 |
| Q5 | 50 | 100 | 6.25 | 12.5 | 1.6 | 0.025 |
| Q6 | 3.125 | 25 | 1.6 | 25 | 12.5 | 1.6 |
| Q7 | 1.6 | 50 | 0.2 | 50 | 25 | 0.4 |
| Q8 | 50 | 25 | 0.1 | 25 | 1.6 | 0.0125 |
| Q9 | 50 | 1000 | 6.25 | 50 | 12.5 | 0.05 |
| Q10 | 25 | 1000 | 1.6 | 100 | 6.25 | 25 |
| Q11 | 6.25 | 1000 | 50 | 25 | 50 | 0.2 |
| Q12 | 6.25 | 50 | 12.5 | 50 | 25 | 0.1 |
| Q13 | 25 | 50 | 12.5 | 50 | 25 | 0.1 |
| Q14 | 50 | 1000 | 0.8 | 50 | 25 | 0.1 |
| Q15 | 12.5 | 100 | 0.8 | 1000 | 25 | 0.05 |
| AgNO3 | 3.125 | 0.2 | 12.5 | 1000 | 0.8 | 1000 |
| AgClO4 | 3.125 | 6.25 | 0.8 | 0.2 | 25 | 1.6 |
| AgCF3SO3 | NA | 1000 | 1000 | 12.5 | 50 | 1000 |
| Ciprofloxacin s [54] | 25 | 25 | 0.2 | 0.4 | 1.6 | 0.8 |
| Antioxidant (IC50 mg/mL) | |
|---|---|
| COMPOUND | FRAP |
| L1 | 22.42 ± 0.0048 |
| L2 | 2.29 ± 0.0041 |
| L3 | 20.35 ± 0.0047 |
| L4 | 4.50 ± 0.0053 |
| L5 | 3.79 ± 0.0052 |
| Q1 | 4.97 ± 0.002 |
| Q2 | 1.10 ± 0.0044 |
| Q3 | 4.75 ± 0.0042 |
| Q4 | 2.14 ± 0.0035 |
| Q5 | 2.04 ± 0.0032 |
| Q6 | 0.95 ± 0.003 |
| Q7 | 1.13 ± 0.044 |
| Q8 | 3.27 ± 0.093 |
| Q9 | 1.62 ± 0.078 |
| Q10 | 0.98 ± 0.055 |
| Q11 | 6.27 ± 0.038 |
| Q12 | 1.86 ± 0.024 |
| Q13 | 2.22 ± 0.0055 |
| Q14 | 3.55 ± 0.022 |
| Q15 | 3.35 ± 0.012 |
| AgNO3 | 1.43 ± 0.03 |
| AgClO4 | 0.88 ± 0.051 |
| AgCF3SO3 | 0.88 ± 0.054 |
| Ascorbic Acid | 2.68 ± 0.11 |
| Cmp. | CT-DNA-Cmp. | CT-DNA-EB-Complex | Protein-Complex | ||||||||
|---|---|---|---|---|---|---|---|---|---|---|---|
| Kb (M−1) × 105 | R2 | Ksv (M−1) × 104 | Kq (M−1S−1) × 1012 | Kbin (M−1) × 105 | n | Kb (M−1) × 104 | Ksv (M−1) × 104 | Kq (M−1S−1) × 1012 | Kbin (M−1) × 104 | n | |
| Q1 | 4.00 | 0.99 | 2.76 | 2.75 | 1.07 | 1.13 | 2.16 | 2.50 | 2.50 | 0.117 | 0.69 |
| Q2 | 3.00 | 0.99 | 2.68 | 2.68 | 5.03 | 1.27 | 7.97 | ||||
| Q3 | 15.7 | 0.99 | 3.93 | 3.93 | 9.17 | 1.29 | 5.11 | ||||
| Q4 | 4.00 | 0.99 | 3.50 | 3.50 | 2.11 | 1.17 | 10.3 | ||||
| Q5 | 4.00 | 0.99 | 2.31 | 2.31 | 1.03 | 1.15 | 5.95 | ||||
| Q6 | 3.33 | 0.99 | 2.03 | 2.03 | 2.41 | 1.21 | 5.73 | 2.59 | 2.59 | 2.56 | 1.01 |
| Q7 | 15.0 | 0.99 | 3.96 | 3.96 | 1.29 | 1.11 | 9.38 | ||||
| Q8 | 30.0 | 0.99 | 3.98 | 3.98 | 1.02 | 1.09 | 9.48 | ||||
| Q9 | 5.00 | 0.99 | 2.49 | 2.49 | 6.53 | 1.30 | 5.43 | ||||
| Q10 | 5.00 | 0.99 | 2.98 | 2.98 | 9.61 | 1.31 | 8.01 | ||||
| Q11 | 6.67 | 0.99 | 2.38 | 2.38 | 3.45 | 1.21 | 8.62 | 4.09 | 4.09 | 0.138 | 0.68 |
| Q12 | 4.50 | 0.99 | 3.14 | 3.14 | 2.12 | 1.19 | 20.7 | ||||
| Q13 | 4.29 | 0.99 | 3.33 | 3.33 | 5.74 | 1.27 | 2.89 | ||||
| Q14 | 3.33 | 0.99 | 2.98 | 2.98 | 5.31 | 1.28 | 7.50 | ||||
| Q15 | 4.00 | 0.99 | 2.48 | 2.48 | 5.29 | 1.30 | 13.1 | ||||
| AgNO3 | 3.00 | 0.99 | 3.12 | 3.12 | 4.50 | 1.24 | 4.49 | ||||
| AgClO4 | 3.30 | 0.99 | 3.31 | 3.31 | 6.00 | 1.26 | 4.82 | ||||
| AgCF3SO3 | 2.00 | 0.99 | 3.01 | 3.01 | 1.60 | 1.15 | 4.46 | ||||
| L1 | 1.38 | 0.96 | |||||||||
| L2 | 1.50 | 0.98 | |||||||||
| L3 | 7.50 | 0.97 | |||||||||
| L4 | 1.60 | 0.99 | |||||||||
| L5 | 1.17 | 0.98 | |||||||||
| Compound | EC50 ± Std Dev (µM) | Selectivity Index (SI) | |||||
|---|---|---|---|---|---|---|---|
| HEK293 | HELA | MDA-MB231 | SHSY5Y | HELA | MDA-MB231 | SHSY5Y | |
| Cisplatin | 14.2 ± 3.8 | >50 | 22.68 ± 4.89 | 19.74 ± 3.77 | 0.28 | 0.63 | 0.72 |
| Q6 | ≥100 | ≥100 | ≥ 100 | ≥100 | 1.00 | 1.00 | 1.00 |
| Q7 | ≥100 | 22.80 ± 3.11 | 41.62 ± 4.25 | 30.33 ± 4.67 | 4.39 | 2.40 | 3.30 |
| Q9 | ≥100 | 22.34 ± 4.86 | 38.84 ± 4.33 | 47.23 ± 3.34 | 4.48 | 2.57 | 2.12 |
Publisher’s Note: MDPI stays neutral with regard to jurisdictional claims in published maps and institutional affiliations. |
© 2021 by the authors. Licensee MDPI, Basel, Switzerland. This article is an open access article distributed under the terms and conditions of the Creative Commons Attribution (CC BY) license (http://creativecommons.org/licenses/by/4.0/).
Share and Cite
Adeleke, A.A.; Zamisa, S.J.; Islam, M.S.; Olofinsan, K.; Salau, V.F.; Mocktar, C.; Omondi, B. Quinoline Functionalized Schiff Base Silver (I) Complexes: Interactions with Biomolecules and In Vitro Cytotoxicity, Antioxidant and Antimicrobial Activities. Molecules 2021, 26, 1205. https://doi.org/10.3390/molecules26051205
Adeleke AA, Zamisa SJ, Islam MS, Olofinsan K, Salau VF, Mocktar C, Omondi B. Quinoline Functionalized Schiff Base Silver (I) Complexes: Interactions with Biomolecules and In Vitro Cytotoxicity, Antioxidant and Antimicrobial Activities. Molecules. 2021; 26(5):1205. https://doi.org/10.3390/molecules26051205
Chicago/Turabian StyleAdeleke, Adesola A., Sizwe J. Zamisa, Md. Shahidul Islam, Kolawole Olofinsan, Veronica F. Salau, Chunderika Mocktar, and Bernard Omondi. 2021. "Quinoline Functionalized Schiff Base Silver (I) Complexes: Interactions with Biomolecules and In Vitro Cytotoxicity, Antioxidant and Antimicrobial Activities" Molecules 26, no. 5: 1205. https://doi.org/10.3390/molecules26051205
APA StyleAdeleke, A. A., Zamisa, S. J., Islam, M. S., Olofinsan, K., Salau, V. F., Mocktar, C., & Omondi, B. (2021). Quinoline Functionalized Schiff Base Silver (I) Complexes: Interactions with Biomolecules and In Vitro Cytotoxicity, Antioxidant and Antimicrobial Activities. Molecules, 26(5), 1205. https://doi.org/10.3390/molecules26051205

