On the Question of Zwitterionic Intermediates in the [3 + 2] Cycloaddition Reactions between C-arylnitrones and Perfluoro 2-Methylpent-2-ene
Abstract
1. Introduction
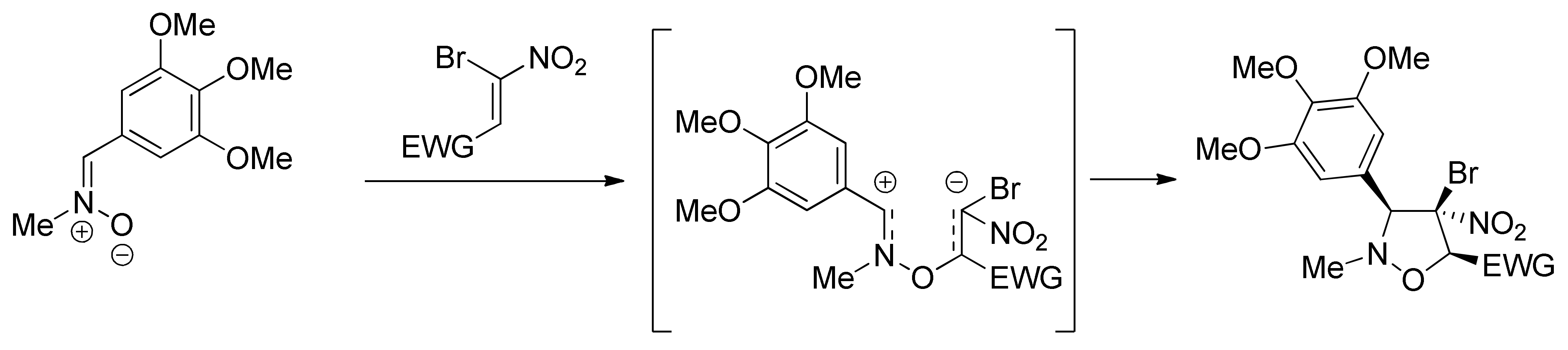
2. Results and Discussion
3. Computational Procedure
4. Conclusions
Author Contributions
Funding
Data Availability Statement
Conflicts of Interest
Sample Availability
References
- O’Hagan, D. Understanding organofluorine chemistry. An introduction to the C–F bond. Chem. Soc. Rev. 2008, 37, 308–319. [Google Scholar] [CrossRef]
- Al-Harthy, T.; Zoghaib, W.; Abdel-Jalil, R. Importance of Fluorine in Benzazole Compounds. Molecules 2020, 25, 4677. [Google Scholar] [CrossRef] [PubMed]
- Inoue, M.; Sumii, Y.; Norio Shibata, N. Contribution of Organofluorine Compounds to Pharmaceuticals. ACS Omega 2020, 5, 10633–10640. [Google Scholar] [CrossRef]
- Isanbor, C.; O’Hagan, D. Fluorine in medicinal chemistry: A review of anti-cancer agents. J. Fluorine Chem. 2006, 127, 303–319. [Google Scholar] [CrossRef]
- Boguszewska-Czubara, A.; Łapczuk-Krygier, A.; Rykała, K.; Biernasiuk, A.; Wnorowski, A.; Popiołek, Ł.; Maziarka, A.; Hordyjewska, A.; Jasiński, R. Novel synthesis scheme and in vitro antimicrobial evaluation of a panel of (E)-2-aryl-1-cyano-1-nitroethenes. J. Enzyme Inhibit. Med. Chem. 2016, 31, 900–907. [Google Scholar] [CrossRef] [PubMed]
- Dabur, M.; Loureiro, J.A.; Pereira, M.C. Fluorinated Molecules and Nanotechnology: Future ‘Avengers’ against the Alzheimer’s Disease? Int. J. Mol. Sci. 2020, 21, 2989. [Google Scholar] [CrossRef]
- Zanda, M. Trifluoromethyl group: An effective xenobiotic function for peptide backbone modification. New J. Chem. 2004, 28, 1401–1411. [Google Scholar] [CrossRef]
- Miller, P.W.; Long, N.J.; Vilar, R.; Gee, A.D. Synthesis of 11C, 18F, 15O, and 13N Radiolabels for Positron Emission Tomography. Angew. Chem. 2008, 47, 8998–9033. [Google Scholar] [CrossRef]
- Piel, M.; Vernaleken, I.; Rösch, F. Positron Emission Tomography in CNS Drug Discovery and Drug Monitoring. J. Med. Chem. 2014, 57, 9232–9258. [Google Scholar] [CrossRef] [PubMed]
- Ametamey, S.M.; Honer, M.; Schubiger, P.A. Molecular Imaging with PET. Chem. Rev. 2008, 108, 1501–1516. [Google Scholar] [CrossRef]
- Lee, C.W.; Park, J.Y.; Kim, H.; Chi, K.-W. Regioselective 1,3-Dipolar Cycloaddition and 1,2-Addition between Benzaldoxime NH-nitrone and Perfluoro-2-methyl-2-pentene. Bull. Korean Soc. Chem. 2010, 31, 1172–1176. [Google Scholar] [CrossRef][Green Version]
- Domingo, L.R.; Sáez, J.A. Understanding the mechanism of polar Diels-Alder reactions. Org. Biomol. Chem. 2009, 7, 3576–3583. [Google Scholar] [CrossRef] [PubMed]
- Jasiński, R.; Dresler, E. On the Question of Zwitterionic Intermediates in the [3 + 2] Cycloaddition Reactions: A Critical Review. Organics 2020, 1, 49–69. [Google Scholar] [CrossRef]
- Jasiński, R. On the Question of Stepwise [4 + 2] Cycloaddition Reactions and Their Stereochemical Aspects. Symmetry 2021, 13, 1911. [Google Scholar] [CrossRef]
- Huisgen, R.; Pöchlauer, P.; Mlostoń, G.; Polborn, K. Reactions of Di(tert-butyl) diazomethane with Acceptor-Substituted Ethylenes. Helv. Chim. Acta 2007, 90, 983–998. [Google Scholar] [CrossRef]
- Huisgen, R.; Giera, H.; Polborn, K. 2,2,6,6-Tetramethylcyclohexanethione S-methylide, a highly hindered thiocarbonyl ylide: Two-step cycloadditions. Tetrahedron 2005, 61, 6143–6153. [Google Scholar] [CrossRef]
- Jasiński, R. β-Trifluoromethylated nitroethenes in Diels-Alder reaction with cyclopentadiene: A DFT computational study. J. Fluorine Chem. 2018, 206, 1–7. [Google Scholar] [CrossRef]
- Huisgen, R. Cycloadditions—Definition, Classification, and Characterization. Angew. Chem. Int. Ed. 1968, 7, 321–328. [Google Scholar] [CrossRef]
- Huisgen, R. 1,3-Dipolar cycloadditions. 76. Concerted nature of 1,3-dipolar cycloadditions and the question of diradical intermediates. J. Org. Chem. 1976, 41, 403–419. [Google Scholar] [CrossRef]
- Zmigrodzka, M.; Dresler, E.; Hordyjewicz-Baran, Z.; Kulesza, R.; Jasiński, R. A unique example of non-catalyzed [3 + 2] cycloaddition involving (2E)-3-aryl-2-nitroprop-2-enenitriles. Chem. Heterocyclic Compd. 2017, 53, 1161–1162. [Google Scholar] [CrossRef]
- Woliński, P.; Kącka-Zych, A.; Dziuk, B.; Ejsmont, K.; Łapczuk-Krygier, A.; Dresler, E. The structural aspects of the transformation of 3-nitroisoxazoline-2-oxide to 1-aza-2,8-dioxabicyclo [3.3.0] octane derivatives: Experimental and MEDT theoretical study. J. Mol. Struct. 2019, 1192, 27–34. [Google Scholar] [CrossRef]
- Siadati, S.A. A theoretical study on stepwise- And concertedness of the mechanism of 1,3-Dipolar cycloaddition reaction between tetra amino ethylene and trifluoro methyl azide. Combinat.Chem. High Throughput Scr. 2016, 19, 170–175. [Google Scholar] [CrossRef]
- Jasiński, R. Competition between one-step and two-step mechanism in polar [3 + 2] cycloadditions of (Z)-C-(3,4,5-trimethoxyphenyl)-N-methyl-nitrone with (Z)-2-EWG-1-bromo-1-nitroethenes. Comput. Theor. Chem. 2018, 1125, 77–85. [Google Scholar] [CrossRef]
- Wójtowicz-Rajchel, H.; Koroniak, H. Synthesis of 5-fluorovinyl derivatives of pyrimidines via Suzuki–Miyaura coupling and their 1,3-dipolar cycloaddition reactions with nitrones. J. Fluorine Chem. 2012, 135, 225–230. [Google Scholar] [CrossRef]
- Kącka-Zych, A. Push-pull nitronates in the 32CAwith nitroethylene: Molecular Electron Density Theory study. J. Mol. Graph. Model. 2020, 97, 107549. [Google Scholar] [CrossRef] [PubMed]
- Huisgen, R.; Mloston, G.; Langhals, E. The first two-step 1,3-dipolar cycloadditions: Non-stereospecificity. J. Am. Chem. Soc. 1986, 108, 6401–6402. [Google Scholar] [CrossRef]
- Domingo, L.R.; Picher, M.T. A DFT study of the Huisgen 1,3-dipolar cycloaddition between hindered thiocarbonyl ylides and tetracyanoethylene. Tetrahedron 2004, 60, 5053–5058. [Google Scholar] [CrossRef]
- Mlostoń, G.; Urbaniak, K.; Domagała, M. Thermal [2 + 3]-Cycloadditions of trans-1-Methyl-2,3-diphenylaziridine with C=S and C=C Dipolarophiles: An Unexpected Course with Dimethyl Dicyanofumarate. Helv. Chim. Acta 2009, 92, 2631–2642. [Google Scholar] [CrossRef]
- Jasiński, R.; Kula, K.; Kącka, A.; Mirosław, B. Unexpected course of reaction between (E)-2-aryl-1-cyano-1-nitroethenes and diazafluorene: Why is there no 1,3-dipolar cycloaddition? Monats. Chem. 2017, 148, 909–915. [Google Scholar] [CrossRef]
- Mlostoń, G.; Celeda, M.; Jasiński, R.; Heimgartner, H. Experimental and Computational Studies on Stepwise [3 + 2]-Cycloadditions of Diaryldiazomethanes with Electron-Deficient Dimethyl (E)- and (Z)-2,3-Butenedioates. Eur. J. Org. Chem. 2019, 2019, 422–431. [Google Scholar] [CrossRef]
- Siadati, S.A. An example of a stepwise mechanism for the catalyst-free 1,3-dipolar cycloaddition between a nitrile oxide and an electron rich alkene. Tetrahedron Lett. 2015, 56, 4857–4863. [Google Scholar] [CrossRef]
- Siadati, S.A. The Effect of Position Replacement of Functional Groups on the Stepwise character of 1,3-Dipolar Reaction of a Nitrile Oxide and an Alkene. Helv. Chim. Acta 2016, 99, 273–280. [Google Scholar] [CrossRef]
- Quast, H.; Regnat, D.; Peters, E.M.; Peters, K.; von Schnering, H.G. Zwitterions as Intermediates of the 1,3-Dipolar Cycloaddition of Electrophilic Azides to 5-Alkylidenedihydrotetrazoles-the Other Non-Concerted Limiting Case. Angew. Chem. Int. Ed. Engl. 1990, 29, 695–697. [Google Scholar] [CrossRef]
- Domingo, L.R.; Ríos-Gutiérrez, M.; Pérez, P. Applications of the Conceptual Density Functional Theory Indices to Organic Chemistry Reactivity. Molecules 2016, 21, 748. [Google Scholar] [CrossRef]
- Zawadzińska, K.; Kula, K. Application of β-Phosphorylated Nitroethenes in [3 + 2] Cycloaddition Reactions Involving Benzonitrile N-Oxide in the Light of a DFT Computational Study. Organics 2021, 2, 26–37. [Google Scholar] [CrossRef]
- Kącka-Zych, A. Participation of Phosphorylated Analogues of Nitroethene in Diels-Alder Reactions with Anthracene: A Molecular Electron Density Theory Study and Mechanistic Aspect. Organics 2020, 1, 36–48. [Google Scholar] [CrossRef]
- Kula, K.; Kącka-Zych, A.; Łapczuk-Krygier, A.; Jasiński, R. Analysis of the possibility and molecular mechanism of carbon dioxide consumption in the Diels-Alder processes. Pure Appl. Chem. 2021, 93, 427. [Google Scholar] [CrossRef]
- Fryźlewicz, A.; Kącka-Zych, A.; Demchuk, O.M.; Mirosław, B.; Woliński, P.; Jasiński, R. Green synthesis of nitrocyclopropane-type precursors of inhibitors for the maturation of fruits and vegetables via domino reactions of diazoalkanes with 2-nitroprop-1-ene. J. Clean. Prod. 2021, 292, 126079. [Google Scholar] [CrossRef]
- Jasiński, R.; Żmigrodzka, M.; Dresler, E.; Kula, K. A full regio- and stereoselective synthesis of 4-nitroisoxazolidines via stepwise [3 + 2] cycloaddition reactions between (Z)-C-(9-anthryl)-N-arylnitrones and (E)-3,3,3-trichloro-1-nitroprop-1-ene: Comprehensive experimental and theoretical study. J. Heterocyclic Chem. 2017, 54, 3314–3320. [Google Scholar] [CrossRef]
- Kącka-Zych, A. The Molecular Mechanism of the Formation of Four-Membered Cyclic Nitronates and Their Retro [3 + 2] Cycloaddition: A DFT Mechanistic Study. Molecules 2021, 26, 4786. [Google Scholar] [CrossRef] [PubMed]
- Domingo, L.R.; Ríos-Gutiérrez, M. On the nature of organic electron density transfer complexes within molecular electron density theory. Org. Biomol. Chem. 2019, 17, 6478–6488. [Google Scholar] [CrossRef] [PubMed]
- Domingo, L.R.; Saéz, J.A.; Zaragozá, R.J.; Arnó, M. Understanding the Participation of Quadricyclane as Nucleophile in Polar [2σ + 2σ + 2π] Cycloadditions toward Electrophilic π Molecules. J. Org. Chem. 2008, 73, 8791–8799. [Google Scholar] [CrossRef]
- Jasiński, R.; Dresler, E. A desulfonylation process as easy route for synthesis of 1,4-dinitro-1,3-dienes: Mechanistic study. Phos. Sulfur Silicon Rel. El. 2016, 191, 311–315. [Google Scholar] [CrossRef]
- Siadati, S.A.; Nami, N.; Zardoost, M.R. A DFT study of solvent effects on the cycloaddition of norbornadiene and 3,4-dihydroisoquinoline-N-oxide. Prog. React. Kinet. Mech. 2011, 36, 252–258. [Google Scholar] [CrossRef]
- Huisgen, R. Cycloaddition mechanism and the solvent dependence of rate. Pure Appl. Chem. 1980, 52, 2283–2302. [Google Scholar] [CrossRef]
- Frisch, M.J.; Trucks, G.W.; Schlegel, H.B.; Scuseria, G.E.; Robb, M.A.; Cheeseman, J.R.; Scalmani, G.; Barone, V.; Petersson, G.A.; Fox, D.J.; et al. (Eds.) Gaussian 16 Rev. A.03; Gaussian Inc.: Wallingford, CT, USA, 2016. [Google Scholar]
- Fryzlewicz, A.; Łapczuk-Krygier, A.; Kula, K.; Demchuk, O.M.; Dresler, E.; Jasiński, R. Regio- and stereoselective synthesis of nitrofunctionalized 1,2-oxazolidine analogs of nicotine. Chem. Heterocycl. Compd. 2020, 56, 120–122. [Google Scholar] [CrossRef]
- Jasiński, R.; Mróz, K. Kinetic aspects of [3 + 2] cycloaddition reactions between (E)-3,3,3-trichloro-1-nitroprop-1-ene and ketonitrones. React. Kinet. Mech. Catal. 2015, 116, 35–41. [Google Scholar] [CrossRef]
- Jasiński, R.; Kubik, M.; Łapczuk-Krygier, A.; Kącka, A.; Dresler, E.; Boguszewska-Czubara, A. An experimental and theoretical study of the hetero Diels-Alder reactions between (E)-2-aryl-1-cyano-1-nitroethenes and ethyl vinyl ether: One-step or zwitter-ionic, two-step mechanism? React. Kinet. Mech. Catal. 2014, 113, 333–345. [Google Scholar] [CrossRef]
- Cances, E. A new integral equation formalism for the polarizable continuum model: Theoretical background and applications to isotropic and anisotropic dielectrics. J. Chem. Phys. 1997, 107, 3032–3041. [Google Scholar] [CrossRef]
- Barone, V.; Cossi, M.; Tomasi, J. Geometry optimization of molecular structures in solution by the polarizable continuum model. J. Comput. Chem. 1998, 19, 404–417. [Google Scholar] [CrossRef]
- Domingo, L.R. A new C–C bond formation model based on the quantum chemical topology of electron density. RSC Adv. 2014, 4, 32415–32428. [Google Scholar] [CrossRef]
- Jaramillo, P.; Domingo, L.R.; Chamorro, E.; Pérez, P. A further exploration of a nucleophilicity index based on the gas-phase ionization potentials. J. Mol. Struct. Theochem. 2008, 865, 68–72. [Google Scholar] [CrossRef]
- Domingo, L.R.; Pérez, P.; Sáez, J.A. Understanding the local reactivity in polar organic reactions through electrophilic and nucleophilic Parr functions. RSC Adv. 2013, 3, 1486–1494. [Google Scholar] [CrossRef]





| Global Properties | Local Properties | |||||
|---|---|---|---|---|---|---|
| ω | N | NC2/C | NC3/O | ωC2/C | ωC3/O | |
| 1a | 1.33 | 3.88 | 0.01 | 2.14 | 0.04 | 0.30 |
| 1b | 1.57 | 3.51 | 0.28 | 2.11 | 0.01 | 0.36 |
| 1c | 1.61 | 3.46 | 0.23 | 2.05 | 0.03 | 0.37 |
| 2 | 2.38 | 0.15 | 0.08 | 0.04 | 0.68 | 1.12 |
| Environment | Path | Transition | ΔH | ΔG | ΔS |
|---|---|---|---|---|---|
| Gas phase | 1b + 2→MCA | −6.3 | 6.9 | −44.3 | |
| A | 1b + 2→TSA | 2.8 | 18.7 | −53.1 | |
| 1b + 2→3b | −27.9 | −10.4 | −58.5 | ||
| 1b + 2→MCB | −5.5 | 5.5 | −37.0 | ||
| B | 1b + 2→TSB | 1.9 | 17.8 | −53.3 | |
| 1b + 2→4b | −24.3 | −6.5 | −59.7 | ||
| Chloroform | 1b + 2→MCA | −3.9 | 7.6 | −38.3 | |
| A | 1b + 2→TSA | 3.3 | 18.4 | −50.5 | |
| 1b + 2→3b | −24.9 | −8.0 | −56.7 | ||
| 1b + 2→MCB | −3.8 | 7.9 | −39.4 | ||
| B | 1b + 2→TSB | 2.4 | 18.1 | −52.6 | |
| 1b + 2→4b | −21.2 | −3.8 | −58.1 | ||
| Ethanol | 1b + 2→MCA | −3.3 | 8.0 | −37.8 | |
| A | 1b + 2→TSA | 3.3 | 18.1 | −49.7 | |
| 1b + 2→3b | −23.8 | −7.0 | −56.6 | ||
| 1b + 2→MCB | −3.3 | 7.8 | −37.4 | ||
| B | 1b + 2→TSB | 2.4 | 18.2 | −52.7 | |
| 1b + 2→4b | −20.1 | −2.7 | −58.2 |
| Environment | Structure | Interatomic Distances (Å) | IC3-C4 | IC5-O1 | ΔI | GEDT (e) | ||||
|---|---|---|---|---|---|---|---|---|---|---|
| O1-N2 | N2-C3 | C3-C4 | C4-C5 | C5-O1 | ||||||
| Gas phase | MCA | 1.275 | 1.310 | 3.827 | 1.341 | 2.748 | 0.435 | 0.686 | 0.25 | 0.00 |
| TSA | 1.316 | 1.324 | 2.511 | 1.413 | 1.816 | 0.19 | ||||
| 3b | 1.444 | 1.472 | 1.604 | 1.583 | 1.383 | |||||
| MCB | 1.276 | 1.310 | 3.822 | 1.341 | 2.676 | 0.418 | 0.747 | 0.33 | 0.00 | |
| TSB | 1.318 | 1.325 | 2.532 | 1.420 | 1.764 | 0.19 | ||||
| 4b | 1.434 | 1.471 | 1.600 | 1.586 | 1.408 | |||||
| Chloroform | MCA | 1.281 | 1.309 | 3.741 | 1.340 | 2.759 | 0.371 | 0.733 | 0.36 | 0.00 |
| TSA | 1.326 | 1.318 | 2.616 | 1.417 | 1.752 | 0.26 | ||||
| 3b | 1.446 | 1.473 | 1.606 | 1.582 | 1.382 | |||||
| MCB | 1.282 | 1.308 | 3.698 | 1.340 | 2.678 | 0.395 | 0.799 | 0.40 | 0.00 | |
| TSB | 1.330 | 1.322 | 2.571 | 1.429 | 1.691 | 0.25 | ||||
| 4b | 1.436 | 1.472 | 1.601 | 1.585 | 1.408 | |||||
| Ethanol | MCA | 1.284 | 1.308 | 3.737 | 1.340 | 2.783 | 0.332 | 0.751 | 0.42 | 0.00 |
| TSA | 1.330 | 1.315 | 2.679 | 1.418 | 1.727 | 0.30 | ||||
| 3b | 1.447 | 1.473 | 1.606 | 1.582 | 1.383 | |||||
| MCB | 1.285 | 1.307 | 3.737 | 1.340 | 2.702 | 0.391 | 0.822 | 0.43 | 0.00 | |
| TSB | 1.335 | 1.322 | 2.577 | 1.435 | 1.658 | 0.28 | ||||
| 4b | 1.436 | 1.472 | 1.602 | 1.585 | 1.408 | |||||
Publisher’s Note: MDPI stays neutral with regard to jurisdictional claims in published maps and institutional affiliations. |
© 2021 by the authors. Licensee MDPI, Basel, Switzerland. This article is an open access article distributed under the terms and conditions of the Creative Commons Attribution (CC BY) license (https://creativecommons.org/licenses/by/4.0/).
Share and Cite
Mitka, K.; Fela, K.; Olszewska, A.; Jasiński, R. On the Question of Zwitterionic Intermediates in the [3 + 2] Cycloaddition Reactions between C-arylnitrones and Perfluoro 2-Methylpent-2-ene. Molecules 2021, 26, 7147. https://doi.org/10.3390/molecules26237147
Mitka K, Fela K, Olszewska A, Jasiński R. On the Question of Zwitterionic Intermediates in the [3 + 2] Cycloaddition Reactions between C-arylnitrones and Perfluoro 2-Methylpent-2-ene. Molecules. 2021; 26(23):7147. https://doi.org/10.3390/molecules26237147
Chicago/Turabian StyleMitka, Katarzyna, Katarzyna Fela, Aleksandra Olszewska, and Radomir Jasiński. 2021. "On the Question of Zwitterionic Intermediates in the [3 + 2] Cycloaddition Reactions between C-arylnitrones and Perfluoro 2-Methylpent-2-ene" Molecules 26, no. 23: 7147. https://doi.org/10.3390/molecules26237147
APA StyleMitka, K., Fela, K., Olszewska, A., & Jasiński, R. (2021). On the Question of Zwitterionic Intermediates in the [3 + 2] Cycloaddition Reactions between C-arylnitrones and Perfluoro 2-Methylpent-2-ene. Molecules, 26(23), 7147. https://doi.org/10.3390/molecules26237147

