Adsorption Capacities of Iron Hydroxide for Arsenate and Arsenite Removal from Water by Chemical Coagulation: Kinetics, Thermodynamics and Equilibrium Studies
Abstract
:1. Introduction
2. Results and Discussion
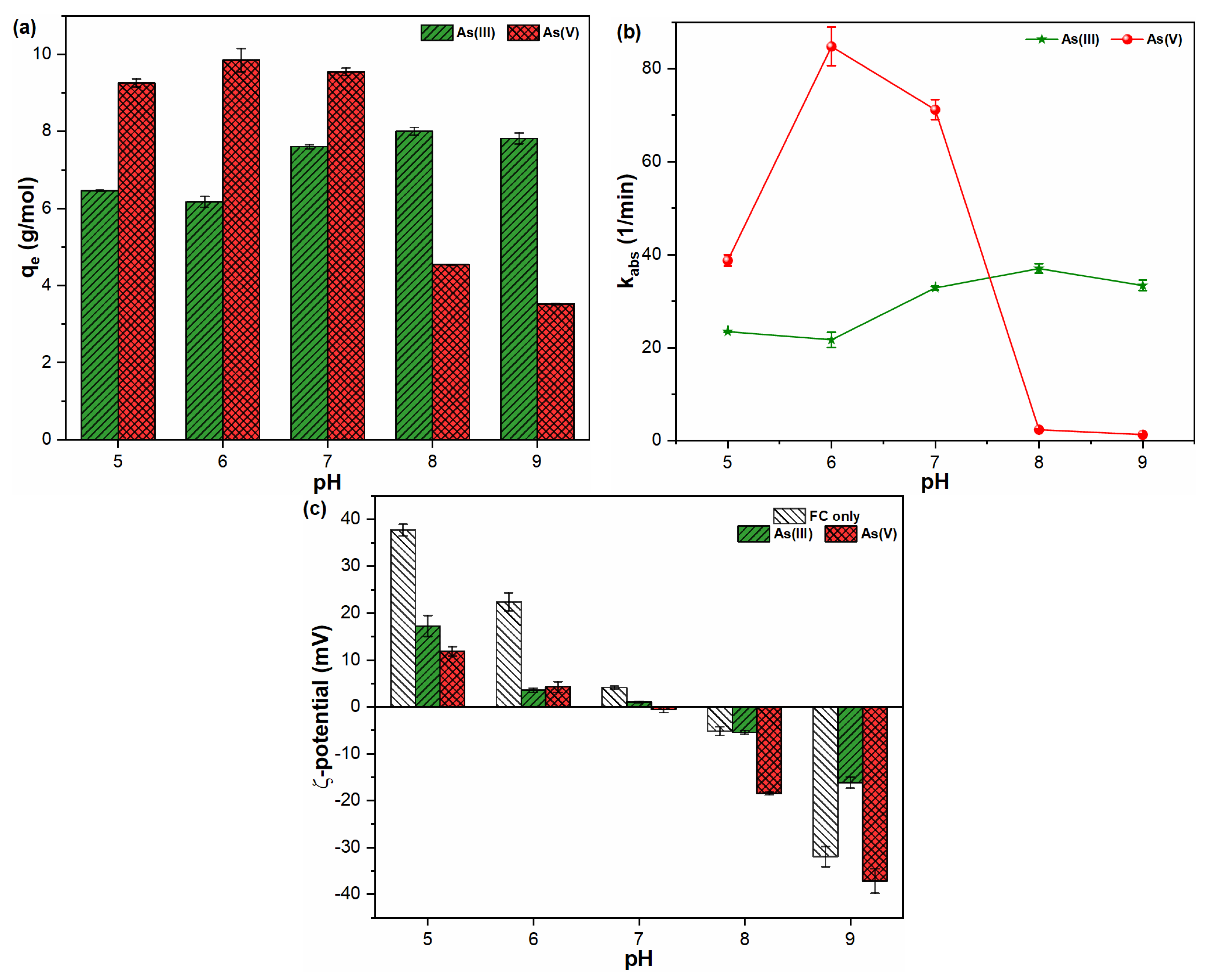
2.1. Influence of pH on As(III, V) Sorption
2.2. Adsorption Kinetics and Reaction Rate
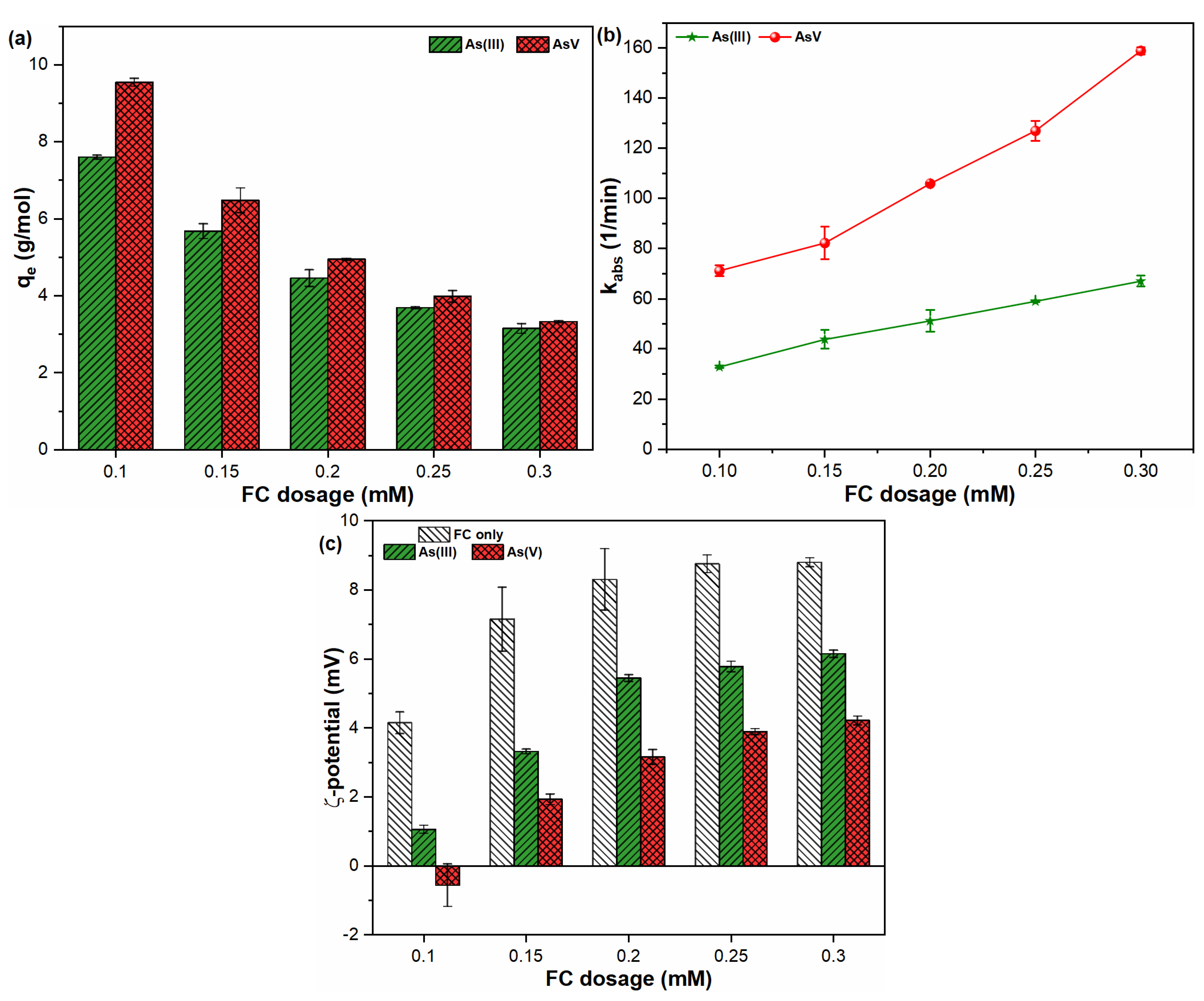
2.3. Influence of FC Dosage on As(III, V) Sorption
2.4. Adsorption Isotherm
2.5. Adsorption Thermodynamics
2.6. Influence of Interfering Ions on As(III, V) Sorption
2.7. Mechanism of As(III, V) Adsorption onto FHO
2.8. Implications for Mobility and Remediation
3. Materials and Methods
3.1. Materials
3.2. Experimental Design
3.3. Modeling Coagulation Data by Sorption Studies
3.4. Analytical Procedures
4. Conclusions
Supplementary Materials
Author Contributions
Funding
Institutional Review Board Statement
Informed Consent Statement
Data Availability Statement
Acknowledgments
Conflicts of Interest
Sample Availability
References
- Fu, Z.; Wu, F.; Mo, C.; Liu, B.; Zhu, J.; Deng, Q.; Liao, H.; Zhang, Y. Bioaccumulation of antimony, arsenic, and mercury in the vicinities of a large antimony mine, China. Microchem. J. 2011, 97, 12–19. [Google Scholar] [CrossRef]
- Ungureanu, G.; Santos, S.; Boaventura, R.; Botelho, C. Arsenic and antimony in water and wastewater: Overview of removal techniques with special reference to latest advances in adsorption. J. Environ. Manage. 2015, 151, 326–342. [Google Scholar] [CrossRef] [PubMed]
- Cai, J.; Salmon, K.; DuBow, M.S. A chromosomal ars operon homologue of Pseudomonas aeruginosa confers increased resistance to arsenic and antimony in Escherichia coli. Microbiology 1998, 144, 2705–2729. [Google Scholar] [CrossRef] [Green Version]
- Daud, M.K.; Nafees, M.; Ali, S.; Rizwan, M.; Bajwa, R.A.; Shakoor, M.B.; Arshad, M.U.; Chatha, S.A.S.; Deeba, F.; Murad, W.; et al. Drinking Water Quality Status and Contamination in Pakistan. Biomed Res. Int. 2017. [Google Scholar] [CrossRef]
- Song, P.; Yang, Z.; Zeng, G.; Yang, X.; Xu, H.; Wang, L.; Xu, R.; Xiong, W.; Ahmad, K. Electrocoagulation treatment of arsenic in wastewaters: A comprehensive review. Chem. Eng. J. 2017, 317, 707–725. [Google Scholar] [CrossRef]
- Pedersen, H.D.; Postma, D.J.; Jakobsen, R.; Larsen, O. The transformation of Fe (III) oxides catalysed by Fe2+ and the fate of arsenate during transformation and reduction of Fe (III) oxides. DTU Environ. Lyngby Den. 2006. Available online: https://backend.orbit.dtu.dk/ws/portalfiles/portal/127448212/MR2006_008.pdf (accessed on 25 September 2021).
- Cornell, R.M.; Schwertmann, U. The Iron Oxides: Structure, Properties, Reactions, Occurrences and Uses; John Wiley & Sons: Hoboken, NJ, USA, 2003; ISBN 3527302743. Available online: https://books.google.com.sg/books?hl=zh-CN&lr=&id=dlMuE3_klW4C&oi=fnd&pg=PA1&dq=The+iron+oxides:+Structure,+properties,+reactions,+occurrences+and+uses&ots=l1jRSkZ6gJ&sig=vhSoN3H0SdOtJgj2cMc-SunPDdk&redir_esc=y#v=onepage&q=The%20iron%20oxides%3A%20Structure%2C%20properties%2C%20reactions%2C%20occurrences%20and%20uses&f=false (accessed on 19 September 2021).
- Biber, M.V.; dos Santos Afonso, M.; Stumm, W. The coordination chemistry of weathering: IV. Inhibition of the dissolution of oxide minerals. Geochim. Cosmochim. Acta 1994, 58, 1999–2010. [Google Scholar] [CrossRef]
- Ponnamperuma, F.N. The chemistry of submerged soils. In Advances in Agronomy; Elsevier: Amsterdam, The Netherlands, 1972; Volume 24, pp. 29–96. ISBN 0065-2113. [Google Scholar]
- Inam, M.A.; Khan, R.; Park, D.R.; Ali, B.A.; Uddin, A.; Yeom, I.T. Influence of pH and Contaminant Redox Form on the Competitive Removal of Arsenic and Antimony from Aqueous Media by Coagulation. Minerals 2018, 8, 574. [Google Scholar] [CrossRef] [Green Version]
- Inam, M.A.; Khan, R.; Park, D.R.; Lee, Y.W.; Yeom, I.T. Removal of Sb(III) and Sb(V) by ferric chloride coagulation: Implications of Fe solubility. Water (Switz.) 2018, 10, 418. [Google Scholar] [CrossRef] [Green Version]
- Wang, H.; Wang, Y.; Sun, Y.; Pan, X.; Zhang, D.; Tsang, Y.F. Differences in Sb (V) and As (V) adsorption onto a poorly crystalline phyllomanganate (δ-MnO2): Adsorption kinetics, isotherms, and mechanisms. Process Saf. Environ. Prot. 2018, 113, 40–47. [Google Scholar] [CrossRef]
- Fu, Z.; Wu, F.; Mo, C.; Deng, Q.; Meng, W.; Giesy, J.P. Comparison of arsenic and antimony biogeochemical behavior in water, soil and tailings from Xikuangshan, China. Sci. Total Environ. 2016, 539, 97–104. [Google Scholar] [CrossRef]
- Wilson, S.C.; Lockwood, P.V.; Ashley, P.M.; Tighe, M. The chemistry and behaviour of antimony in the soil environment with comparisons to arsenic: A critical review. Environ. Pollut. 2010, 158, 1169–1181. [Google Scholar] [CrossRef] [PubMed]
- Inam, M.A.; Khan, R.; Akram, M.; Khan, S.; Park, D.R.; Yeom, I.T. Interaction of Arsenic Species with Organic Ligands: Competitive Removal from Water by Coagulation-Flocculation-Sedimentation (C/F/S). Molecules 2019, 24, 1619. [Google Scholar] [CrossRef] [PubMed] [Green Version]
- Okkenhaug, G.; Zhu, Y.-G.; He, J.; Li, X.; Luo, L.; Mulder, J. Antimony (Sb) and arsenic (As) in Sb mining impacted paddy soil from Xikuangshan, China: Differences in mechanisms controlling soil sequestration and uptake in rice. Environ. Sci. Technol. 2012, 46, 3155–3162. [Google Scholar] [CrossRef] [PubMed]
- Antelo, J.; Avena, M.; Fiol, S.; López, R.; Arce, F. Effects of pH and ionic strength on the adsorption of phosphate and arsenate at the goethite–water interface. J. Colloid Interface Sci. 2005, 285, 476–486. [Google Scholar] [CrossRef]
- Wang, Y.; Duan, J.; Liu, S.; Li, W.; van Leeuwen, J.; Mulcahy, D. Removal of As (III) and As (V) by ferric salts coagulation–Implications of particle size and zeta potential of precipitates. Sep. Purif. Technol. 2014, 135, 64–71. [Google Scholar] [CrossRef]
- Watson, M.A.; Tubić, A.; Agbaba, J.; Nikić, J.; Maletić, S.; Jazić, J.M.; Dalmacija, B. Response surface methodology investigation into the interactions between arsenic and humic acid in water during the coagulation process. J. Hazard. Mater. 2016, 312, 150–158. [Google Scholar] [CrossRef]
- Inam, M.A.; Khan, R.; Lee, K.; Wie, Y. Removal of Arsenic Oxyanions from Water by Ferric Chloride—Optimization of Process Conditions and Implications for Improving Coagulation Performance. Int. J. Environ. Res. Publ. Health 2021, 18, 9812. [Google Scholar] [CrossRef]
- Qi, P.; Pichler, T. Competitive adsorption of As (III), As (V), Sb (III) and Sb (V) onto ferrihydrite in multi-component systems: Implications for mobility and distribution. J. Hazard. Mater. 2017, 330, 142–148. [Google Scholar] [CrossRef]
- Yan, D.; Li, H.-J.; Cai, H.-Q.; Wang, M.; Wang, C.-C.; Yi, H.-B.; Min, X.-B. Microscopic insight into precipitation and adsorption of As (V) species by Fe-based materials in aqueous phase. Chemosphere 2018, 194, 117–124. [Google Scholar] [CrossRef]
- Khandaker, S.; Toyohara, Y.; Saha, G.C.; Awual, M.R.; Kuba, T. Development of synthetic zeolites from bio-slag for cesium adsorption: Kinetic, isotherm and thermodynamic studies. J. Water Process Eng. 2020, 33, 101055. [Google Scholar] [CrossRef]
- Kumar, P.R.; Chaudhari, S.; Khilar, K.C.; Mahajan, S.P. Removal of arsenic from water by electrocoagulation. Chemosphere 2004, 55, 1245–1252. [Google Scholar] [CrossRef] [PubMed]
- Ng, K.-S.; Ujang, Z.; Le-Clech, P. Arsenic removal technologies for drinking water treatment. Rev. Environ. Sci. Biotechnol. 2004, 3, 43–53. [Google Scholar] [CrossRef]
- Yu, Q.; Zhang, R.; Deng, S.; Huang, J.; Yu, G. Sorption of perfluorooctane sulfonate and perfluorooctanoate on activated carbons and resin: Kinetic and isotherm study. Water Res. 2009, 43, 1150–1158. [Google Scholar] [CrossRef] [PubMed]
- Wang, H.; Tsang, Y.F.; Wang, Y.; Sun, Y.; Zhang, D.; Pan, X. Adsorption capacities of poorly crystalline Fe minerals for antimonate and arsenate removal from water: Adsorption properties and effects of environmental and chemical conditions. Clean Technol. Environ. Policy 2018, 20, 2169–2179. [Google Scholar] [CrossRef]
- Zhang, G.; Qu, J.; Liu, H.; Liu, R.; Wu, R. Preparation and evaluation of a novel Fe–Mn binary oxide adsorbent for effective arsenite removal. Water Res. 2007, 41, 1921–1928. [Google Scholar] [CrossRef]
- Liu, H.; Wang, C.; Liu, J.; Wang, B.; Sun, H. Competitive adsorption of Cd (II), Zn (II) and Ni (II) from their binary and ternary acidic systems using tourmaline. J. Environ. Manage. 2013, 128, 727–734. [Google Scholar] [CrossRef]
- Song, S.; Lopez-Valdivieso, A.; Hernandez-Campos, D.J.; Peng, C.; Monroy-Fernandez, M.G.; Razo-Soto, I. Arsenic removal from high-arsenic water by enhanced coagulation with ferric ions and coarse calcite. Water Res. 2006, 40, 364–372. [Google Scholar] [CrossRef] [PubMed]
- Wickramasinghe, S.R.; Han, B.; Zimbron, J.; Shen, Z.; Karim, M.N. Arsenic removal by coagulation and filtration: Comparison of groundwaters from the United States and Bangladesh. Desalination 2004, 169, 231–244. [Google Scholar] [CrossRef]
- Yuan, T.; Luo, Q.-F.; Hu, J.-Y.; Ong, S.-L.; Ng, W.-J. A study on arsenic removal from household drinking water. J. Environ. Sci. Health Part A 2003, 38, 1731–1744. [Google Scholar] [CrossRef]
- Han, B.; Runnells, T.; Zimbron, J.; Wickramasinghe, R. Arsenic removal from drinking water by flocculation and microfiltration. Desalination 2002, 145, 293–298. [Google Scholar] [CrossRef]
- Baskan, M.B.; Pala, A. A statistical experiment design approach for arsenic removal by coagulation process using aluminum sulfate. Desalination 2010, 254, 42–48. [Google Scholar] [CrossRef]
- Tuna, A.Ö.A.; Özdemir, E.; Şimşek, E.B.; Beker, U. Removal of As(V) from aqueous solution by activated carbon-based hybrid adsorbents: Impact of experimental conditions. Chem. Eng. J. 2013, 223, 116–128. [Google Scholar] [CrossRef]
- Qiao, J.; Jiang, Z.; Sun, B.; Sun, Y.; Wang, Q.; Guan, X. Arsenate and arsenite removal by FeCl3: Effects of pH, As/Fe ratio, initial As concentration and co-existing solutes. Sep. Purif. Technol. 2012, 92, 106–114. [Google Scholar] [CrossRef]
- Zhang, G.; Liu, H.; Liu, R.; Qu, J. Removal of phosphate from water by a Fe–Mn binary oxide adsorbent. J. Colloid Interface Sci. 2009, 335, 168–174. [Google Scholar] [CrossRef]
- Kim, J.; Lee, C.; Lee, S.M.; Jung, J. Chemical and toxicological assessment of arsenic sorption onto Fe-sericite composite powder and beads. Ecotoxicol. Environ. Saf. 2018, 147, 80–85. [Google Scholar] [CrossRef] [PubMed]
- Yin, H.; Kong, M.; Gu, X.; Chen, H. Removal of arsenic from water by porous charred granulated attapulgite-supported hydrated iron oxide in bath and column modes. J. Clean. Prod. 2017, 166, 88–97. [Google Scholar] [CrossRef]
- Ociński, D.; Mazur, P. Highly efficient arsenic sorbent based on residual from water deironing–Sorption mechanisms and column studies. J. Hazard. Mater. 2020, 382, 121062. [Google Scholar] [CrossRef]
- Bakshi, S.; Banik, C.; Rathke, S.J.; Laird, D.A. Arsenic sorption on zero-valent iron-biochar complexes. Water Res. 2018, 137, 153–163. [Google Scholar] [CrossRef]
- Taylor, K.C.; Nasr-El-Din, H.A.; Al-Alawi, M.J. Systematic study of iron control chemicals used during well stimulation. SPE J. 1999, 4, 19–24. [Google Scholar] [CrossRef]
- Inam, M.A.; Khan, R.; Inam, M.W.; Yeom, I.T. Kinetic and isothermal sorption of antimony oxyanions onto iron hydroxide during water treatment by coagulation process. J. Water Process Eng. 2021, 41, 102050. [Google Scholar] [CrossRef]
- Lee, M.-G.; Kam, S.-K.; Lee, C.-H. Kinetic and isothermal adsorption properties of strontium and cesium ions by zeolitic materials synthesized from Jeju volcanic rocks. Environ. Eng. Res. 2020, 26, 200127. [Google Scholar] [CrossRef]
- Georgieva, V.G.; Gonsalvesh, L.; Tavlieva, M.P. Thermodynamics and kinetics of the removal of nickel (II) ions from aqueous solutions by biochar adsorbent made from agro-waste walnut shells. J. Mol. Liq. 2020, 312, 112788. [Google Scholar] [CrossRef]
- Inglezakis, V.J.; Zorpas, A.A. Heat of adsorption, adsorption energy and activation energy in adsorption and ion exchange systems. Desalin. Water Treat. 2012, 39, 149–157. [Google Scholar] [CrossRef]
- Shen, S.; Pan, T.; Liu, X.; Yuan, L.; Zhang, Y.; Wang, J.; Guo, Z. Adsorption of Pd (II) complexes from chloride solutions obtained by leaching chlorinated spent automotive catalysts on ion exchange resin Diaion WA21J. J. Colloid Interface Sci. 2010, 345, 12–18. [Google Scholar] [CrossRef] [PubMed]
- Luther, S.; Borgfeld, N.; Kim, J.; Parsons, J.G. Removal of arsenic from aqueous solution: A study of the effects of pH and interfering ions using iron oxide nanomaterials. Microchem. J. 2012, 101, 30–36. [Google Scholar] [CrossRef]
- Guan, X.; Dong, H.; Ma, J.; Jiang, L. Removal of arsenic from water: Effects of competing anions on As (III) removal in KMnO4–Fe (II) process. Water Res. 2009, 43, 3891–3899. [Google Scholar] [CrossRef]
- Pallier, V.; Feuillade-Cathalifaud, G.; Serpaud, B.; Bollinger, J.-C. Effect of organic matter on arsenic removal during coagulation/flocculation treatment. J. Colloid Interface Sci. 2010, 342, 26–32. [Google Scholar] [CrossRef]
- Liu, N.; Liu, C.; Zhang, J.; Lin, D. Removal of dispersant-stabilized carbon nanotubes by regular coagulants. J. Environ. Sci. 2012, 24, 1364–1370. [Google Scholar] [CrossRef]
- Rengasamy, M.; Anbalagan, K.; Kodhaiyolii, S.; Pugalenthi, V. Castor leaf mediated synthesis of iron nanoparticles for evaluating catalytic effects in transesterification of castor oil. RSC Adv. 2016, 6, 9261–9269. [Google Scholar] [CrossRef]
- Yang, J.; Chai, L.; Yue, M.; Li, Q. Complexation of arsenate with ferric ion in aqueous solutions. Rsc Adv. 2015, 5, 103936–103942. [Google Scholar] [CrossRef]
- Zhang, G.-S.; Qu, J.-H.; Liu, H.-J.; Liu, R.-P.; Li, G.-T. Removal mechanism of As (III) by a novel Fe−Mn binary oxide adsorbent: Oxidation and sorption. Environ. Sci. Technol. 2007, 41, 4613–4619. [Google Scholar] [CrossRef]
- Le Berre, J.F.; Gauvin, R.; Demopoulos, G.P. Characterization of poorly-crystalline ferric arsenate precipitated from equimolar Fe (III)-As (V) solutions in the pH range 2 to 8. Metall. Mater. Trans. B 2007, 38, 751–762. [Google Scholar] [CrossRef]
- McNeill, L.S.; Edwards, M. Predicting As removal during metal hydroxide precipitation. J. Am. Water Work. Assoc. 1997, 89, 75–86. [Google Scholar] [CrossRef]
- Edwards, M. Chemistry of arsenic removal during coagulation and Fe–Mn oxidation. J. Am. Water Work. Assoc. 1994, 86, 64–78. [Google Scholar] [CrossRef]
- Khan, R.; Inam, M.; Park, D.; Zam Zam, S.; Shin, S.; Khan, S.; Akram, M.; Yeom, I. Influence of Organic Ligands on the Colloidal Stability and Removal of ZnO Nanoparticles from Synthetic Waters by Coagulation. Processes 2018, 6, 170. [Google Scholar] [CrossRef] [Green Version]
- Jeppu, G.P.; Clement, T.P. A modified Langmuir-Freundlich isotherm model for simulating pH-dependent adsorption effects. J. Contam. Hydrol. 2012, 129–130, 46–53. [Google Scholar] [CrossRef]
- Wang, Y.-Y.; Ji, H.-Y.; Lu, H.-H.; Liu, Y.-X.; Yang, R.-Q.; He, L.-L.; Yang, S.-M. Simultaneous removal of Sb (III) and Cd (II) in water by adsorption onto a MnFe 2 O 4–biochar nanocomposite. RSC Adv. 2018, 8, 3264–3273. [Google Scholar] [CrossRef] [Green Version]
- Hu, Q.; Zhang, Z. Application of Dubinin–Radushkevich isotherm model at the solid/solution interface: A theoretical analysis. J. Mol. Liq. 2019, 277, 646–648. [Google Scholar] [CrossRef]








| Species | Experimental Parameters | PFO Constants | PSO Constants | ||||||
|---|---|---|---|---|---|---|---|---|---|
| pH | t (min) | qe,exp (g/mol) | k1 (1/min) | qe,cal (g/mol) | R2 | k2 (mol/g.min) | qe,cal (g/mol) | R2 | |
| As(III) | 7 | 0–28 | 7.760 | 0.504 | 7.575 | 0.996 | 0.132 | 7.996 | 0.999 |
| As(V) | 9.546 | 0.808 | 9.505 | 0.999 | 0.342 | 9.685 | 0.999 | ||
| Species | Experimental Parameters | Langmuir Constants | Freundlich Constants | |||||
|---|---|---|---|---|---|---|---|---|
| pH | FC Dosage (mM) | kL (L/mg) | qmax (g/mol) | R2 | kF ((g/mol)(L/mg))1/n | n | R2 | |
| As(III) | 7 | 0.15 | 1.487 | 24.194 | 0.966 | 13.472 | 2.149 | 0.989 |
| As(V) | 1.195 | 69.558 | 0.962 | 40.195 | 1.518 | 0.978 | ||
| Adsorbents | Concentration Range (mg/L) | pH | Adsorption Capacity (mg/g) | Reference | |
|---|---|---|---|---|---|
| As(III) | As(V) | ||||
| Fe–sericite composite powder | 1–30 | 5.99–6.11 | 15.04 | 13.21 | [38] |
| Fe–sericite composite beads | 1–30 | 6.82–6.85 | 9.02 | 7.11 | |
| Iron oxide-impregnated charred granulated attapulgite | 0.05–200 | 7 | 3.25 | 5.09 | [39] |
| Waste Fe-Mn oxides embedded in chitosan | 10–190 | 7 | 44.17 | 26.80 | [40] |
| Zero-valent iron–biochar complexes (Red oak) | 1–25 | - | - | 15.58 | [41] |
| Zero-valent iron–biochar complexes (Switchgrass) | 1–25 | - | - | 7.92 | |
| Iron hydroxide | 0.1–5 | 7 | 433.12 | 1245.45 | This study |
| Temperature (K) | ∆G (KJ/mol) | ∆H (KJ/mol) | ∆S (KJ/mol.K) | R2 |
|---|---|---|---|---|
| As(III) | ||||
| 288 | −0.093 | −55.188 | 0.191 | 0.976 |
| 298 | 1.298 | |||
| 308 | 3.721 | |||
| As(V) | ||||
| 288 | −3.683 | −36.31 | 0.112 | 0.877 |
| 298 | −3.288 | |||
| 308 | −1.434 | |||
Publisher’s Note: MDPI stays neutral with regard to jurisdictional claims in published maps and institutional affiliations. |
© 2021 by the authors. Licensee MDPI, Basel, Switzerland. This article is an open access article distributed under the terms and conditions of the Creative Commons Attribution (CC BY) license (https://creativecommons.org/licenses/by/4.0/).
Share and Cite
Inam, M.A.; Khan, R.; Lee, K.H.; Akram, M.; Ahmed, Z.; Lee, K.G.; Wie, Y.M. Adsorption Capacities of Iron Hydroxide for Arsenate and Arsenite Removal from Water by Chemical Coagulation: Kinetics, Thermodynamics and Equilibrium Studies. Molecules 2021, 26, 7046. https://doi.org/10.3390/molecules26227046
Inam MA, Khan R, Lee KH, Akram M, Ahmed Z, Lee KG, Wie YM. Adsorption Capacities of Iron Hydroxide for Arsenate and Arsenite Removal from Water by Chemical Coagulation: Kinetics, Thermodynamics and Equilibrium Studies. Molecules. 2021; 26(22):7046. https://doi.org/10.3390/molecules26227046
Chicago/Turabian StyleInam, Muhammad Ali, Rizwan Khan, Kang Hoon Lee, Muhammad Akram, Zameer Ahmed, Ki Gang Lee, and Young Min Wie. 2021. "Adsorption Capacities of Iron Hydroxide for Arsenate and Arsenite Removal from Water by Chemical Coagulation: Kinetics, Thermodynamics and Equilibrium Studies" Molecules 26, no. 22: 7046. https://doi.org/10.3390/molecules26227046
APA StyleInam, M. A., Khan, R., Lee, K. H., Akram, M., Ahmed, Z., Lee, K. G., & Wie, Y. M. (2021). Adsorption Capacities of Iron Hydroxide for Arsenate and Arsenite Removal from Water by Chemical Coagulation: Kinetics, Thermodynamics and Equilibrium Studies. Molecules, 26(22), 7046. https://doi.org/10.3390/molecules26227046

