A Simple One-Step Modification of Shrimp Shell for the Efficient Adsorption and Desorption of Copper Ions
Abstract
:1. Introduction
2. Results and Discussion
2.1. Results and Analyses of Orthogonal Experiment
2.2. Structure and Morphology Characterization
2.2.1. FTIR Analysis
2.2.2. Elemental Analysis
2.2.3. SEM Analysis
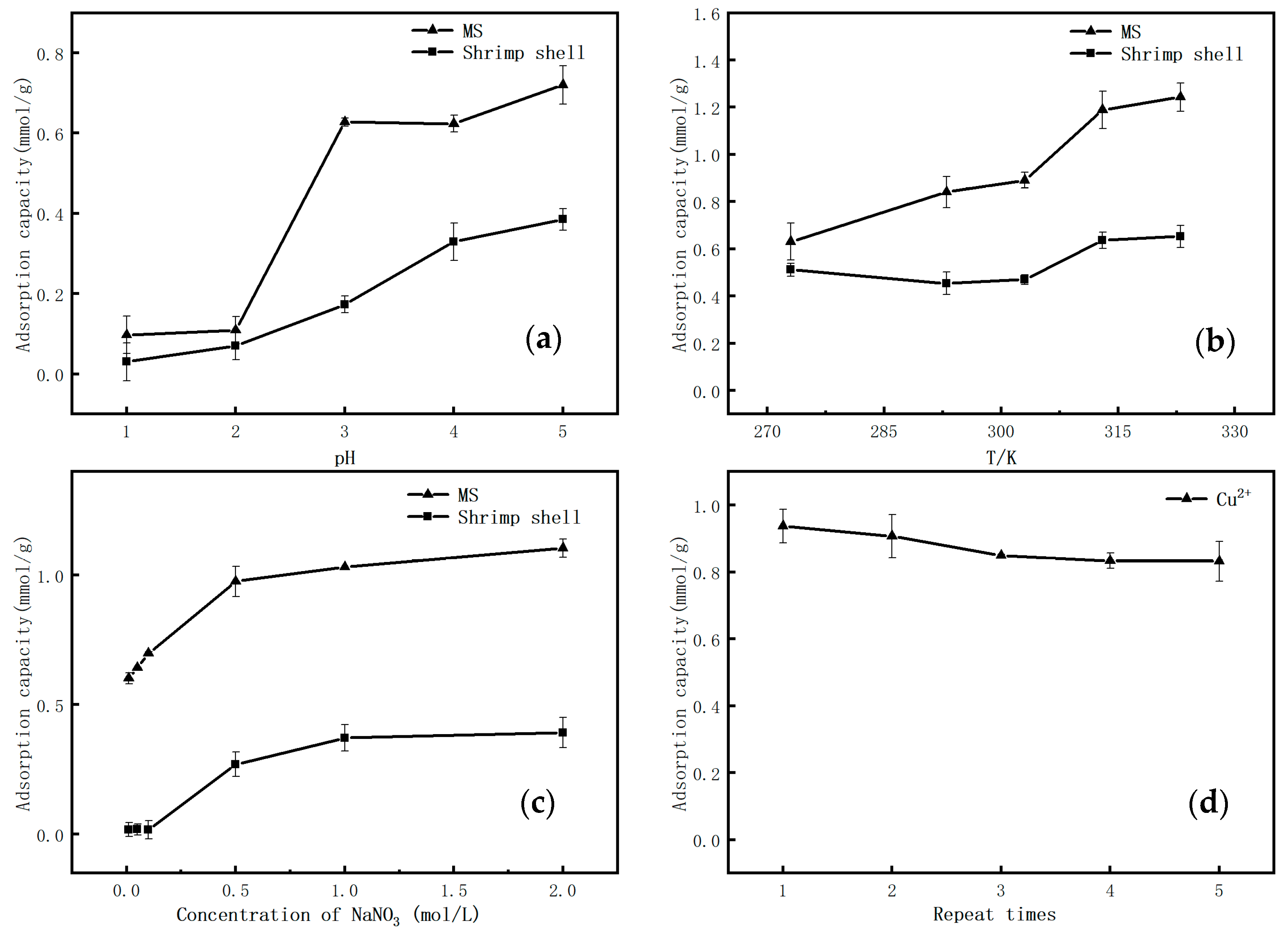
2.3. Effects of Experimental Conditions on Adsorption of Cu (II)
2.4. The Adsorption Kinetics of Cu (II) on MS
2.5. The Adsorption Isotherms of Cu (II) on MS
2.6. Effects of Experimental Conditions on Desorption of Cu (II)
2.6.1. The Effect of Concentration of Desorbent on the Desorption Efficiency of Cu (II)
2.6.2. The Effect of Solid-Liquid Ratio on the Desorption Efficiency of Cu (II)
2.6.3. The Effect of Ionic Strength on the Desorption of Cu (II)
2.6.4. The Effect of Temperature on the Desorption of Cu (II)
2.6.5. The Desorption Kinetics
2.7. Comparison of MS and Other Biomass Adsorbents
3. Materials and Methods
3.1. Materials
3.2. Modification and Preparation of the Shrimp Shell
3.3. Characterizations
3.4. Influencing Factors on Cu (II) Adsorption
3.5. Adsorption Kinetics Experiments
3.6. Adsorption Isotherm Experiments
3.7. Desorption Experiments
4. Conclusions
Author Contributions
Funding
Institutional Review Board Statement
Informed Consent Statement
Data Availability Statement
Conflicts of Interest
Sample Availability
References
- Vakili, M.; Deng, S.; Cagnetta, G.; Wang, W.; Meng, P.; Liu, D.; Yu, G. Regeneration of chitosan-based adsorbents used in heavy metal adsorption: A review. Sep. Purif. Technol. 2019, 224, 373–387. [Google Scholar] [CrossRef]
- Li, C.; Shi, W.; Shang, L. Latent feature representation for cohesive community detection based on convolutional auto-encoder. In Big Data; Springer: Singapore, 2019. [Google Scholar] [CrossRef]
- Fu, Z.; Xi, S. The effects of heavy metals on human metabolism. Toxicol. Mech. Methods 2020, 30, 167–176. [Google Scholar] [CrossRef]
- Zwolak, A.; Sarzyńska, M.; Szpyrka, E.; Stawarczyk, K. Sources of soil pollution by heavy metals and their accumulation in vegetables: A Review. Water Air Soil Pollut. 2019, 230, 1–9. [Google Scholar] [CrossRef] [Green Version]
- Zhang, L.; Zeng, Y.; Cheng, Z. Removal of heavy metal ions using chitosan and modified chitosan: A review. J. Mol. Liq. 2016, 214, 175–191. [Google Scholar] [CrossRef]
- Thuan, L.V.; Chau, T.B.; Ngan, T.T.K.; Vu, T.X.; Nguyen, D.D.; Nguyen, M.-H.; Thao, D.T.T.; To Hoai, N.; Sinh, L.H. Preparation of cross-linked magnetic chitosan particles from steel slag and shrimp shells for removal of heavy metals. Environ. Technol. 2017, 39, 1745–1752. [Google Scholar] [CrossRef] [PubMed]
- Choi, J.-W.; Song, M.-H.; Bediako, J.K.; Yun, Y.-S. Sequential recovery of gold and copper from bioleached wastewater using ion exchange resins. Environ. Pollut. 2020, 266, 115167. [Google Scholar] [CrossRef] [PubMed]
- Duarte-Nass, C.; Rebolledo, K.; Valenzuela, T.; Kopp, M.; Jeison, D.; Rivas, M.; Azócar, L.; Torres-Aravena, Á.; Ciudad, G. Application of microbe-induced carbonate precipitation for copper removal from copper-enriched waters: Challenges to future industrial application. J. Environ. Manag. 2020, 256, 109938. [Google Scholar] [CrossRef]
- Urbina, L.; Guaresti, O.; Requies, J.; Gabilondo, N.; Eceiza, A.; Corcuera, M.A.; Retegi, A. Design of reusable novel membranes based on bacterial cellulose and chitosan for the filtration of copper in wastewaters. Carbohydr. Polym. 2018, 193, 362–372. [Google Scholar] [CrossRef]
- Hosain, A.N.A.; El Nemr, A.; El Sikaily, A.; Mahmoud, M.E.; Amira, M.F. Surface modifications of nanochitosan coated magnetic nanoparticles and their applications in Pb (II), Cu (II) and Cd (II) removal. J. Environ. Chem. Eng. 2020, 8, 104316. [Google Scholar] [CrossRef]
- Jiang, C.; Wang, X.; Wang, G.; Hao, C.; Li, X.; Li, T. Adsorption performance of a polysaccharide composite hydrogel based on crosslinked glucan/chitosan for heavy metal ions. Compos. Part B Eng. 2019, 169, 45–54. [Google Scholar] [CrossRef]
- O’Connell, D.W.; Birkinshaw, C.; O’Dwyer, T.F. Heavy metal adsorbents prepared from the modification of cellulose: A review. Biores. Technol. 2008, 99, 6709–6724. [Google Scholar] [CrossRef]
- Ali, M.E.A.; Aboelfadl, M.M.S.; Selim, A.M.; Khalil, H.F.; Elkady, G.M. Chitosan nanoparticles extracted from shrimp shells, application for removal of Fe (II) and Mn (II) from aqueous phases. Sep. Sci. Technol. 2018, 53, 2870–2881. [Google Scholar] [CrossRef]
- Szalaty, T.J.; Klapiszewski, Ł.; Jesionowski, T. Recent developments in modification of lignin using ionic liquids for the fabrication of advanced materials—A review. J. Mol. Liq. 2020, 301, 112417. [Google Scholar] [CrossRef]
- Khademian, E.; Salehi, E.; Sanaeepur, H.; Galiano, F.; Figoli, A. A systematic review on carbohydrate biopolymers for adsorptive remediation of copper ions from aqueous environments—Part B: Isotherms, thermokinetics and reusability. Sci. Total Environ. 2021, 754, 142048. [Google Scholar] [CrossRef]
- Mathew, G.M.; Mathew, D.C.; Sukumaran, R.K.; Sindhu, R.; Huang, C.-C.; Binod, P.; Sirohi, R.; Kim, S.-H.; Pandey, A. Sustainable and eco-friendly strategies for shrimp shell valorization. Environ. Pollut. 2020, 267, 115656. [Google Scholar] [CrossRef] [PubMed]
- Zhang, Y.; Wang, Y.; Zhang, Z.; Cui, W.; Zhang, X.; Wang, S. Removing copper and cadmium from water and sediment by magnetic microspheres-MnFe2O4/chitosan prepared by waste shrimp shells. J. Environ. Chem. Eng. 2020, 9, 104647. [Google Scholar] [CrossRef]
- Shekhawat, A.; Kahu, S.; Saravanan, D.; Jugade, R. Removal of Cd (II) and Hg (II) from effluents by ionic solid impregnated chitosan. Int. J. Biol. Macromol. 2017, 104, 1556–1568. [Google Scholar] [CrossRef]
- Maachou, H.; Bal, Y.; Chagnes, A.; Cote, G. Copper sorption on chitin and acid-washed shrimp shells from Palinurus elephas: Isotherm and kinetic studies. Int. J. Environ. Sci. Technol. 2019, 9, 5049–5054. [Google Scholar] [CrossRef]
- Bambaeero, A.; Bazarganlari, R. Simultaneous removal of copper and zinc ions by low cost natural Snail shell/hydroxyapatite/chitosan composite-ScienceDirect. Chin. J. Chem. Eng. 2020, 33, 221–230. [Google Scholar] [CrossRef]
- Duan, Y.; Freyburger, A.; Kunz, W.; Zollfrank, C. Lignin/chitin films and their adsorption characteristics for heavy metal ions. ACS Sustain. Chem. Eng. 2018, 6, 6965–6973. [Google Scholar] [CrossRef]
- Abali, M.; Ait Ichou, A.; Zaghloul, A.; Sinan, F.; Zerbet, M. Removal of nitrate ions by adsorption onto micro-particles of shrimp-shells waste: Application to wastewater of infiltration-percolation process of the city of Agadir (Morocco). Mater. Today Proc. 2020, 37, 3898–3904. [Google Scholar] [CrossRef]
- Khademian, E.; Salehi, E.; Sanaeepur, H.; Galiano, F.; Figoli, A. A systematic review on carbohydrate biopolymers for adsorptive remediation of copper ions from aqueous environments-part A: Classification and modification strategies. Sci. Total Environ. 2020, 738, 139829. [Google Scholar] [CrossRef] [PubMed]
- Momina, M.; Mohammad, S.; Suzylawati, I. Regeneration performance of clay-based adsorbents for the removal of industrial dyes: A review. RSC Adv. 2018, 8, 24571–24587. [Google Scholar] [CrossRef]
- Zanella, O.; Tessaro, I.C.; Féris, L.A. Desorption- and decomposition-based techniques for the regeneration of activated carbon. Chem. Eng. Technol. 2015, 37, 1447–1459. [Google Scholar] [CrossRef]
- Osifo, P.O.; Neomagus, H.W.J.P.; Everson, R.C.; Webster, A.; vd Gun, M.A. The adsorption of copper in a packed-bed of chitosan beads: Modeling, multiple adsorption and regeneration. J. Hazard. Mater. 2009, 167, 1242–1245. [Google Scholar] [CrossRef]
- Ngah, W.S.W.; Fatinathan, S. Adsorption characterization of Pb (II) and Cu (II) ions onto chitosan-tripolyphosphate beads: Kinetic, equilibrium and thermodynamic studies. J. Environ. Manag. 2010, 91, 958–969. [Google Scholar] [CrossRef] [PubMed]
- Laus, R.; de Fávere, V.T. Competitive adsorption of Cu (II) and Cd (II) ions by chitosan crosslinked with epichlorohydrin–triphosphate. Biores. Technol. 2011, 102, 8769–8776. [Google Scholar] [CrossRef] [PubMed] [Green Version]
- Igberase, E.; Ofomaja, A.; Osifo, P.O. Enhanced heavy metal ions adsorption by 4-aminobenzoic acid grafted on chitosan/epichlorohydrin composite: Kinetics, isotherms, thermodynamics and desorption studies. Int. J. Biol. Macromol. 2019, 123, 664–676. [Google Scholar] [CrossRef]
- Wang, J.-P.; Wang, J.P.; Chen, Y.Z.; Yuan, S.J.; Sheng, G.P.; Yu, H.Q. Synthesis and characterization of a novel cationic chitosan-based flocculant with a high water-solubility for pulp mill wastewater treatment. Water Res. 2009, 43, 5267–5275. [Google Scholar] [CrossRef]
- Mohanasrinivasan, V.; Mishra, M.; Paliwal, J.S.; Selvarajan, E.; Devi, C.S. Studies on heavy metal removal efficiency and antibacterial activity of chitosan prepared from shrimp shell waste. 3 Biotech 2014, 4, 167–175. [Google Scholar] [CrossRef] [Green Version]
- Li, N.; Bai, R. A novel amine-shielded surface cross-linking of chitosan hydrogel beads for enhanced metal adsorption performance. Ind. Eng. Chem. Res. 2005, 44, 6692–6700. [Google Scholar] [CrossRef]
- Nan, L.; Ba, I.R. Highly enhanced adsorption of lead ions on chitosan granules functionalized with Poly (acrylic acid). Ind. Eng. Chem. Res. 2006, 45, 7897–7904. [Google Scholar]
- Saad, A.H.A.; Azzam, A.M.; El-Wakeel, S.T.; Mostafa, B.B.; Abd El-latif, M.B. Removal of toxic metal ions from wastewater using ZnO@Chitosan core-shell nanocomposite. Environ. Nanotechnol. Monit. Manag. 2018, 9, 67–75. [Google Scholar] [CrossRef]
- Jin, X.; Li, K.; Ning, P.; Bao, S.; Tang, L. Removal of Cu (II) ions from aqueous solution by magnetic chitosan-tripolyphosphate modified silica-coated adsorbent: Characterization and mechanisms. Water Air Soil Pollut. 2017, 228, 302. [Google Scholar] [CrossRef]
- Kannamba, B.; Reddy, K.L.; AppaRao, B.V. Removal of Cu (II) from aqueous solutions using chemically modified chitosan. J. Hazard. Mater. 2010, 175, 939–948. [Google Scholar] [CrossRef] [PubMed]
- Dinu, M.V.; Dragan, E.S. Evaluation of Cu2+, Co2+ and Ni2+ ions removal from aqueous solution using a novel chitosan/clinoptilolite composite: Kinetics and isotherms. Chem. Eng. J. 2010, 160, 157–163. [Google Scholar] [CrossRef]
- Filius, J.D.; Lumsdon, D.G.; Meeussen, J.C.L.; Hiemstra, T.; Riemsdijk, W.H.V. Adsorption of fulvic acid on goethite. Geochim. Cosmochim. Acta 2000, 64, 51–60. [Google Scholar] [CrossRef]
- Cegłowski, M.; Schroeder, G. Preparation of porous resin with Schiff base chelating groups for removal of heavy metal ions from aqueous solutions. Chem. Eng. J. 2015, 263, 402–411. [Google Scholar] [CrossRef]
- Kamari, A.; Ngah, W.S.W. Isotherm, kinetic and thermodynamic studies of lead and copper uptake by H2SO4 modified chitosan. Colloid Surf. B Biointerfaces 2009, 73, 257–266. [Google Scholar] [CrossRef] [PubMed]
- Zhu, Y.; Fan, W.; Zhou, T.; Li, X. Removal of chelated heavy metals from aqueous solution: A review of current methods and mechanisms. Sci. Total Environ. 2019, 678, 253–266. [Google Scholar] [CrossRef]
- Huang, Y.; Wu, H.; Shao, T.; Zhao, X.; Peng, H.; Gong, Y.; Wan, H. Enhanced copper adsorption by DTPA-chitosan/alginate composite beads: Mechanism and application in simulated electroplating wastewater. Chem. Eng. J. 2018, 339, 322–333. [Google Scholar] [CrossRef]







| A | B | C | D | E | |
|---|---|---|---|---|---|
| 1 | 0.5 | 40:1 | 12 | 0.5492 | 19.67 |
| 2 | 1 | 60:1 | 12 | 0.6611 | 23.68 |
| 3 | 2 | 60:1 | 4 | 0.6063 | 21.72 |
| 4 | 0.5 | 60:1 | 8 | 0.6190 | 22.17 |
| 5 | 1 | 40:1 | 4 | 0.5412 | 19.39 |
| 6 | 1 | 80:1 | 8 | 0.4230 | 15.15 |
| 7 | 0.5 | 80:1 | 4 | 0.3301 | 11.82 |
| 8 | 2 | 80:1 | 12 | 0.3619 | 12.96 |
| 9 | 2 | 40:1 | 8 | 0.56904 | 20.38 |
| Σy | 53.66 | 59.44 | 52.93 | ||
| Σy | 58.22 | 67.57 | 57.7 | ||
| Σy | 55.06 | 39.93 | 56.31 | ||
| Σy/3 | 17.89 | 19.81 | 17.64 | ||
| Σy/3 | 19.41 | 22.52 | 19.23 | ||
| Σy/3 | 18.35 | 13.31 | 18.77 | ||
| Δ | 1.52 | 9.21 | 1.59 |
| N(%) | C(%) | H(%) | S(%) | |
|---|---|---|---|---|
| A | 7.81 (±0.26) | 36.04 (±1.40) | 5.73 (±0.20) | 0.47 (±0.08) |
| B | 4.87 (±0.98) | 29.83 (±1.80) | 4.84 (±0.17) | 0.05 (±0.003) |
| Pseudo-First-Order Kinetic | Pseudo-Second-Order Kinetic | ||||||
|---|---|---|---|---|---|---|---|
| C0 (mmol/L) | qe (mmol/g) | k1 (min−1) | R12 | qe (mmol/g) | k2 (g/(mmol·min)) | R22 | |
| A | 4 | 0.76 | 0.0218 | 0.882 | 0.8716 | 0.0521 | 0.9804 |
| B | 4 | 0.49 | 0.0122 | 0.6804 | 0.5712 | 0.0432 | 0.9649 |
| T (K) | Langmuir | Freundlich | |||||
|---|---|---|---|---|---|---|---|
| Qmax (mmol/g) | b (mmol/L) | R2 | n | Kf | R2 | ||
| Shrimp shell | 293 | 0.4091 | 2.1612 | 0.8605 | 1.6332 | 0.1960 | 0.8714 |
| MS | 293 | 0.7200 | 3.1300 | 0.9706 | 2.4772 | 0.4707 | 0.9194 |
| 303 | 0.8197 | 2.0495 | 0.9628 | 2.9273 | 0.5057 | 0.8740 | |
| 323 | 1.0403 | 1.2535 | 0.9425 | 2.5001 | 0.5732 | 0.8471 | |
| Adsorbents | Modified Reagents | Qmax (mmol/g) | Desorption Experiment | Modified Reagent Reuse | Ref. |
|---|---|---|---|---|---|
| Shrimp shell | HCl | 0.38 | - | - | [19] |
| Shrimp shell/nails/bone | HCl/NaOH | 0.39 | - | - | [20] |
| Shrimp shell/MnFeO4 | HCl/NaOH Pentyleneglycol | 0.98 | Yes | - | [17] |
| Shrimp shell nanoparticles | Salicylaldehyde/tripolyphosphate | 1.33 | - | - | [38] |
| Shrimp shell Schiff base resin | MVE-alt-MA | 1.32 | Yes | - | [39] |
| Shrimp shell | NaOH | 1.04 | Yes | Yes | In this study |
Publisher’s Note: MDPI stays neutral with regard to jurisdictional claims in published maps and institutional affiliations. |
© 2021 by the authors. Licensee MDPI, Basel, Switzerland. This article is an open access article distributed under the terms and conditions of the Creative Commons Attribution (CC BY) license (https://creativecommons.org/licenses/by/4.0/).
Share and Cite
Liu, C.; Wen, H.; Chen, K.; Chen, Y. A Simple One-Step Modification of Shrimp Shell for the Efficient Adsorption and Desorption of Copper Ions. Molecules 2021, 26, 5690. https://doi.org/10.3390/molecules26185690
Liu C, Wen H, Chen K, Chen Y. A Simple One-Step Modification of Shrimp Shell for the Efficient Adsorption and Desorption of Copper Ions. Molecules. 2021; 26(18):5690. https://doi.org/10.3390/molecules26185690
Chicago/Turabian StyleLiu, Changkun, Hui Wen, Kaili Chen, and Yanni Chen. 2021. "A Simple One-Step Modification of Shrimp Shell for the Efficient Adsorption and Desorption of Copper Ions" Molecules 26, no. 18: 5690. https://doi.org/10.3390/molecules26185690
APA StyleLiu, C., Wen, H., Chen, K., & Chen, Y. (2021). A Simple One-Step Modification of Shrimp Shell for the Efficient Adsorption and Desorption of Copper Ions. Molecules, 26(18), 5690. https://doi.org/10.3390/molecules26185690
