Cannabinoids—Characteristics and Potential for Use in Food Production
Abstract
1. Introduction
2. Cannabis sativa L. var. sativa—Classification and Characteristics
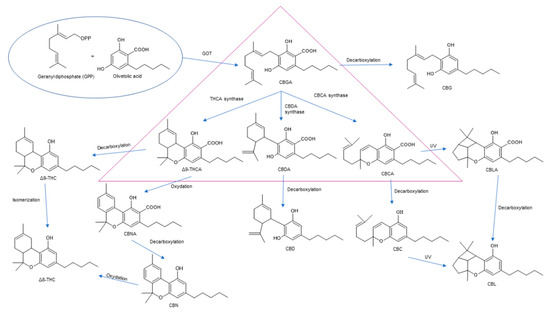
3. Hemp Cannabinoids
4. Cannabis sativa L. in Food Production—Opportunities and Limitations
5. Analytical Techniques for Food Cannabinoids
6. Cannabinoid Stability
6.1. Cannabinoid Stability with Respect to Temperature, Time, and Light
6.2. Cannabinoid Stability with Heating
7. Conclusions
Author Contributions
Funding
Institutional Review Board Statement
Informed Consent Statement
Data Availability Statement
Conflicts of Interest
References
- Pellati, F.; Borgonetti, V.; Brighenti, V.; Biagi, M.; Benvenuti, S.; Corsi, L. Cannabis sativa L. and non psychoactive cannabinoids: Their chemistry and role against oxidative stress, inflamation and cancer. BioMed Res. Int. 2018, 2018, 1691428. [Google Scholar] [CrossRef]
- Salami, S.A.; Martinelli, F.; Glovino, A.; Bachari, A.; Arad, N.; Mantri, N. It is our turn to get Cannabis high: Put cannabinoids in food and health baskets. Molecules 2020, 25, 4036. [Google Scholar] [CrossRef]
- Karas, J.A.; Wong, L.J.M.; Paulin, O.K.A.; Mazeh, A.C.; Hussein, M.H.; Li, J.; Velkov, T. The antimicrobial activity of cannabinoids. Antibiotics 2020, 9, 406. [Google Scholar] [CrossRef]
- Baker, D.; Pryce, G.; Giovannoni, G.; Thompson, A.J. The therapeutic potential of Cannabis. Lancet Neurol. 2003, 2, 291–298. [Google Scholar] [CrossRef]
- Da Porto, C.; Decorti, D.; Natolino, A. Potential oil yield, fatty acid composition, and oxidation stability of the hempseed oil from four Cannabis sativa L. cultivars. J. Diet. Suppl. 2014, 12, 1–10. [Google Scholar] [CrossRef]
- Farinon, B.; Molinari, R.; Costantini, L.; Merendino, N. The seed of industrial hemp (Cannabis sativa L.): Nutritional quality and potential functionality for human health and nutrition. Nutrients 2020, 12, 1935. [Google Scholar] [CrossRef]
- Congressional Research Service: Hemp as an Agricultural Commodity (CRS Report RL32725). Available online: https://fas.org/sgp/crs/misc/RL32725.pdf (accessed on 2 August 2021).
- Cannabis Cultivation Market Size, Share & Trends Analysis Report by Biomass (Hemp, Marijuana), by Application (Medical Consumption, Recreational Consumption), by Region, and Segment Forecasts. (Repoert ID GVR-3-68038-803-9). Available online: https://www.grandviewresearch.com/industry-analysis/Cannabis-cultivation-market# (accessed on 24 October 2021).
- Hazekamp, A.; Fischedick, J.T. Cannabis—From cultivar to chemovar. Drug Test. Anal. 2012, 4, 660–667. [Google Scholar] [CrossRef] [PubMed]
- Soorni, A.; Fatahi, R.; Haak, D.C.; Salami, S.A.; Bombarely, A. Assesment of Genetic Diversity and Population Strucutre in Iranian Cannabis Germplasm. Sci. Rep. 2017, 7, 15668. [Google Scholar] [CrossRef] [PubMed]
- André, A.; Leupin, M.; Kneubühl, M.; Pedan, V.; Chetschik, I. Evolution of the polyphenol and terpene content, antioxidant activity and alant morphology of eight different fiber-type cultivars of Cannabis sativa L. cultivated at three sowing densities. Plants 2020, 9, 1740. [Google Scholar] [CrossRef] [PubMed]
- Small, E.; Cronquist, A. A practical and natural taxonomy for Cannabis. Taxon 1976, 25, 405–435. [Google Scholar] [CrossRef]
- Hartsel, J.A.; Eades, J.; Hickory, B.; Makriyannis, A. Cannabis sativa and hemp. In Nutraceuticals: Efficacy, Safety and Toxicity; Guptam, C.R., Ed.; Academis Press: Cambridge, MA, USA, 2016; pp. 735–754. [Google Scholar]
- Micalizzi, G.; Vento, D.; Alibrando, F.; Donnarumma, D.; Dugo, P.; Mondello, L. Cannabis sativa L.: A comprehensive review on the analytical methodologies for cannabinoids and terpenes characterization. J. Chromatogr. A 2021, 1637, 461864. [Google Scholar] [CrossRef]
- Flores-Sanchez, I.J.; Verpoorte, R. Secondary metabolism in Cannabis. Phytochem. Rev. 2008, 7, 615–639. [Google Scholar] [CrossRef]
- ElSohly, M.A.; Radwan, M.M.; Gul, W.; Chandra, S.; Galal, A. Phytochemistry of Cannabis sativa L. In Phytocannabinoids: Progress in the Chemistry of Organic Natural Products; Kinghorn, A., Falk, H., Gibbons, S., Kobayashi, J., Eds.; Springer: Cham, Switzerland, 2017; Volume 103. [Google Scholar] [CrossRef]
- Citti, C.; Braghiroli, D.; Vandelli, M.A.; Cannazza, G. Pharmaceutical and biomedical analysis of cannabinoids: A critical review. J. Pharm. Biomed. Anal. 2018, 147, 565–579. [Google Scholar] [CrossRef]
- Alonso-Esteban, J.I.; González-Fernández, M.J.; Fabrikov, D.; Torija-Isasa, E.; de Cortes Sánchez-Mata, M.; Guil-Guerrero, J.L. Hemp (Cannabis sativa L.) varieties: Fatty acid profiles and upgrading of γ-linolenic acid–containing hemp seed oils. Eur. J. Lipid Sci. Technol. 2020, 122, 1900445. [Google Scholar] [CrossRef]
- Bartkiene, E.; Schleining, G.; Krungleviviute, V.; Zadeike, D.; Zavistanaviciute, P.; Dimaite, I.; Kuzmaite, L.; Riskeviciene, V.; Juodeikiene, G. Development and quality evaluation of lacto-fermented product based on hulled and not hulled hempseed (Cannabis sativa L.). LWT Food Sci. Technol. 2016, 72, 544–551. [Google Scholar] [CrossRef]
- Spano, M.; Di Matteo, G.; Rapa, M.; Ciano, C.; Ingallina, C.; Cesa, S.; Menghini, L.; Carradori, S.; Giusti, A.M.; Di Sotto, A.; et al. Commercial hemp seed oils: A multimethodological characterization. Appl. Sci. 2020, 10, 6933. [Google Scholar] [CrossRef]
- Pojić, M.; Dapčević Hadnađev, T.; Hadnađev, M.; Rakita, S.; Brlek, T. Bread supplementation with hemp seed cake: A by-product of hemp oil processing. J. Food Qual. 2015, 38, 431–440. [Google Scholar] [CrossRef]
- Leonard, W.; Zhang, P.; Ying, D.; Fang, Z. Hempseed in food industry: Nutritional value, health benefits, and industrial applications. Compr. Rev. Food Sci. Food Saf. 2019, 19, 282–308. [Google Scholar] [CrossRef] [PubMed]
- Callaway, J.C. Hempseed as a nutritional resource: An overview. Euphytica 2004, 140, 65–72. [Google Scholar] [CrossRef]
- Casano, S.; Grassi, G.; Martini, V.; Michelozzi, M. Variations in terpene profiles of different strains of Cannabis sativa L. Acta Hortic. 2011, 925, 115–121. [Google Scholar] [CrossRef]
- Tomko, A.M.; Whynot, E.G.; Ellis, L.D.; Dupré, D.J. Anti-cancer potential of cannabinoids, terpenes and flavonoids present in Cannabis. Cancers 2020, 12, 1985. [Google Scholar] [CrossRef] [PubMed]
- Ingallina, C.; Sobolev, A.P.; Circi, S.; Spano, M.; Fraschetti, C.; Filippi, A.; Di Sotto, A.; Di Giacomo, S.; Mazzoccanti, G.; Gasparrini, F.; et al. Cannabis sativa L. inflorescences from monoecious cultivars grown in central Italy: An untargeted chemical characterization from early flowering to ripening. Molecules 2020, 25, 1908. [Google Scholar] [CrossRef]
- Spano, M.; Di Matteo, G.; Ingallina, C.; Botta, B.; Quaglio, D.; Ghirga, F.; Balducci, S.; Cammarone, S.; Campiglia, E.; Giusti, A.M.; et al. A multimethodological characterization of Cannabis sativa L. inflorescences from seven dioecious cultivars grown in Italy: The effect of different harvesting stages. Molecules 2021, 26, 2912. [Google Scholar] [CrossRef]
- Wen, W.; Alseekh, S.; Fernie, A.R. Conservation and diversification of flavonoid metabolism in the plant kingdom. Curr. Opin. Plant Biol. 2020, 55, 100–108. [Google Scholar] [CrossRef]
- Horanin, A.; Bryndal, I. Hemp—Active ingredients, medicinal properties and using. Res. Pap. Wroc. Univ. Econ. 2017, 494, 76–84. [Google Scholar] [CrossRef]
- Carus, M.; Karst, S.; Kauffmann, A.; Hobson, J.; Bertucelli, S. The European Hemp Industry: Cultivation, Processing and Applications for Fibres, Shives and Seeds; European Industrial Hemp Association: Brussels, Germany, 2013; pp. 1–9. Available online: https://www.votehemp.com/wp-content/uploads/2018/09/13-03_European_Hemp_Industry.pdf (accessed on 24 October 2021).
- Gülck, T.; Møller, B.L. Phytocannabinoids: Origins and biosynthesis. Trends Plant Sci. 2020, 25, 985–1004. [Google Scholar] [CrossRef]
- Ujváry, I.; Hanuš, L. Human metabolites of cannabidiol: A review on their formation, biological activity, and relevance in therapy. Cannabis Cannabinoid Res. 2016, 1, 90–101. [Google Scholar] [CrossRef] [PubMed]
- Hanuš, L.O.; Meyer, S.M.; Muñoz, E.; Taglialatela-Scafati, G.; Appendino, G. Phytocannabinoids: A unified critical inventory. Nat. Prod. J. 2016, 33, 1357–1392. [Google Scholar] [CrossRef] [PubMed]
- Nahar, L.; Guo, M.; Sarker, S.D. Gas chromatographic analysis of naturally occurring cannabinoids: A review of literature published during the past decade. Phytochem. Anal. 2019, 31, 135–146. [Google Scholar] [CrossRef] [PubMed]
- Radwan, M.M.; Chandra, S.; Gul, S.; ElSohly, M.A. Cannabinoids, phenolics, terpenes and alkaloids of Cannabis. Molecules 2021, 26, 2774. [Google Scholar] [CrossRef]
- Taura, F.; Tanaka, S.; Taguchu, C.; Fukamizu, T.; Tanaka, H.; Shoyama, Y.; Morimoto, S. Characterization of olivetol synthase, a polyketide synthase putatively involved in cannabinoid biosynthetic pathway. FEBS Lett. 2009, 583, 2061. [Google Scholar] [CrossRef] [PubMed]
- Fellermeier, M.; Zenk, M.H. Prenylation of olivetolate by a hemp transferase yields cannabigerolic acid, the precursor of tetrahydrocannabinol. FEBS Lett. 1998, 427, 283–285. [Google Scholar] [CrossRef]
- Tahir, N.M.; Shahbazi, F.; Rondeau-Gagné, S.; Trant, J.F. The biosynthesis of the cannabinoids. J. Cannabis Res. 2021, 3, 7. [Google Scholar] [CrossRef]
- Christinat, N.; Savoy, M.C.; Mottier, P. Development, validation and application of a LC-MS/MS method for quantification of 15 cannabinoids in food. Food Chem. 2020, 318, 126469. [Google Scholar] [CrossRef]
- Bonini, S.; Premoli, M.; Tambaro, S.; Kumar, A.; Maccarinelli, G.; Memo, M.; Mastinu, A. Cannabis sativa: A comprehensive ethnopharmacological review of a medicinal plant with a long history. J. Ethnopharmacol. 2018, 227, 300–315. [Google Scholar] [CrossRef] [PubMed]
- Palazzoli, F.; Citti, C.; Licata, M.; Vilella, A.; Manca, L.; Zoli, M.; Vandelli, M.A.; Forni, F.; Cannaza, G. Development of a simple and sensitive liquid chromatography triple quadrupole mass spectrometry (LC–MS/MS) method for the determination of cannabidiol (CBD), Δ9-tetrahydrocannabinol (THC) and its metabolites in rat whole blood after oral administration of a single high dose of CBD. J. Pharm. Biomed. Anal. 2018, 150, 25–32. [Google Scholar] [CrossRef] [PubMed]
- Mechoulam, R.; Shvo, Y. The structure of cannabidiol. Tetrahedron 1963, 19, 2073–2078. [Google Scholar] [CrossRef]
- De Petrocellis, L.; Ligresti, A.; Schiano Moriello, A.; Iappelli, M.; Verde, R.; Stott, C.G.; Cristino, L.; Orlando, P.; Di Marzo, V. Non-THC cannabinoids inhibit prostate carcinoma growth in vitro and in vivo: Pro-apoptotic effects and underlying mechanisms. Br. J. Pharmacol. 2013, 168, 79–102. [Google Scholar] [CrossRef] [PubMed]
- Morales, P.; Hurst, D.P.; Reggio, P.H. Molecular targets of the phytocannabinoids—A complex picture. Prog. Chem. Org. Nat. Prod. 2017, 103, 103–131. [Google Scholar] [CrossRef] [PubMed]
- Pavlovic, R.; Nenna, G.; Calvi, L.; Panseri, S.; Borgonovo, G.; Giupponi, L.; Cannazza, G.; Giorgi, A. Quality traits of “cannabidiol oils”: Cannabinoids content, terpene fingerprint and oxidation stability of European commercially available preparations. Molecules 2018, 23, 1230. [Google Scholar] [CrossRef] [PubMed]
- Thomas, A.; Baillie, G.L.; Phillips, A.M.; Razdan, R.K.; Ross, R.A.; Pertwee, R.G. Cannabidiol displays unexpectedly high potency as an antagonist of CB1 and CB2 receptor agonists in vitro. Br. J. Pharmacol. 2007, 150, 613–623. [Google Scholar] [CrossRef]
- Afrin, F.; Chi, M.; Eamens, A.L.; Duchatel, R.J.; Douglas, A.M.; Schneider, J.; Gedye, C.; Woldu, A.S.; Dun, M.D. Can hemp help? Low-THC Cannabis and non-THC cannabinoids for the treatment of cancer. Cancer 2020, 12, 1033. [Google Scholar] [CrossRef] [PubMed]
- Kis, B.; Ifrim, F.C.; Buda, V.; Avram, S.; Pavel, I.Z.; Antal, D.; Paunescu, V.; Dehelean, C.A.; Ardelean, F.; Diaconeasa, Z.; et al. Cannabidiol—from plant to human body: A promising bioactive molecule with milti-target effects in cancer. Int. J. Mol. Sci. 2019, 20, 5905. [Google Scholar] [CrossRef] [PubMed]
- Atakan, Z. Cannabis, a complex plant: Different compounds and different effects on individuals. Ther. Adv. Psychopharmacol. 2012, 2, 241–245. [Google Scholar] [CrossRef] [PubMed]
- Carrillo-Salinas, F.J.; Navarrete, C.; Mecha, M.; Feliu, A.; Collado, J.A.; Cantarero, I.; Bellido, M.L.; Muñoz, E.; Guaza, C. A cannabigerol derivative suppresses immune responses and protects mice from experimental autoimmune encephalomyelitis. PLoS ONE 2014, 9, e94733. [Google Scholar] [CrossRef]
- Pacher, P.; Batkai, S.; Kunos, G. The endocannabinoid system as emerging target of pharmacotherapy. Pharmacol. Rev. 2006, 58, 389–462. [Google Scholar] [CrossRef]
- Fine, P.G.; Rosenfeld, M.J. The endocannabinoid system, cannabinoids, and pain. Rambam Maimonides Med. J. 2013, 4, e0022. [Google Scholar] [CrossRef]
- Chanda, D.; Neumann, D.; Glatz, J.F.C. The endocannabinoid system: Overview of an emerging multi-faceted therapeutic target. Prostaglandins Leukot. Essent. Fat. Acids 2019, 140, 51–56. [Google Scholar] [CrossRef]
- Thapa, D.; Cairns, E.A.; Szczesniak, A.M.; Toguri, J.T.; Caldwell, M.D.; Kelly, M.E.M. The cannabinoids D8THC, CBD, and HU-308 act via distinct receptors to reduce corneal pain and inflammation. Cannabis Cannabinoid Res. 2018, 3, 11–20. [Google Scholar] [CrossRef]
- Vági, E.; Balázs, M.; Komóczi, A.; Kiss, I.; Mihalovits, M.; Székely, E. Cannabinoids enriched extracts from industrial hemp residues. Period. Polytech. Chem. Eng. 2019, 63, 357–363. [Google Scholar] [CrossRef]
- Gaoni, Y.; Mechoulam, R. Isolation, structure, and partial synthesis of an active constituent of hashish. J. Am. Chem. Soc. 1964, 86, 1646–1647. [Google Scholar] [CrossRef]
- Ramirez, C.L.; Fanovich, M.A.; Churio, M.S. Cannabinoids: Extraction methods, analysis, and physicochemical characterization. Stud. Nat. Prod. Chem. 2019, 61, 143–173. [Google Scholar] [CrossRef]
- Marcu, J.P. An overview of major and minor phytocannabinoids. Neuropathol. Drug Addict. Subst. Misuse 2016, 1, 672–678. [Google Scholar] [CrossRef]
- Hippalgaonkar, K.; Gul, W.; ElSohly, M.A.; Repka, M.A.; Majumdar, S. Enhanced solubility, stability, and transcorneal permeability of δ-8-tetrahydrocannabinol in the presence of cyclodextrins. AAPS PharmSciTech 2011, 12, 723–731. [Google Scholar] [CrossRef] [PubMed]
- Rosenthaler, S.; Pöhn, B.; Kolmanz, C.; Huu, C.N.; Krewenka, C.; Huber, A.; Kranner, B.; Rausch, W.D.; Moldzio, R. Differences in receptor binding affinity of several phytocannabinoids do not explain their effects on neural cell cultures. Neurotoxicol. Teratol. 2014, 46, 49–56. [Google Scholar] [CrossRef]
- Citti, C.; Linciano, P.; Russo, F.; Luongo, L.; Iannotta, M.; Maione, S.; Laganà, A.; Capriotti, A.L.; Forni, F.; Vandelli, M.A.; et al. A novel phytocannabinoid isolated from Cannabis sativa L. with an in vivo cannabimimetic activity higher than Δ9-tetrahydrocannabinol: Δ9-Tetrahydrocannabiphorol. Sci. Rep. 2019, 9, 20335. [Google Scholar] [CrossRef] [PubMed]
- Appendino, G.; Gibbons, S.; Giana, A.; Pagani, A.; Grassi, G.; Stavri, M.; Smith, E.; Rahman, M.M. Antibacterial cannabinoids from Cannabis sativa: A structure-activity study. J. Nat. Prod. 2008, 71, 1427–1430. [Google Scholar] [CrossRef]
- Ali, E.M.M.; Almagboul, A.Z.I.; Khogali, S.M.E.; Gergeir, U.M.A. Antimicrobial activity of Cannabis sativa L. Chin. Med. 2012, 3, 61–64. [Google Scholar] [CrossRef]
- Lone, T.A.; Lone, R.A. Extraction of cannabinoids from Cannabis sativa L. plant and its potential antimicrobial activity. Univers. J. Med. Dent. 2012, 1, 51–55. [Google Scholar]
- Iseppi, R.; Brighenti, W.; Licata, M.; Lambertini, A.; Sabia, C.; Messi, P.; Pellati, F.; Benvenuti, S. Chemical characterization and evaluation of the antibacterial activity of essential oils from fibre-type Cannabis sativa L. (hemp). Molecules 2019, 24, 2302. [Google Scholar] [CrossRef]
- Frassinetti, S.; Gabriele, M.; Moccia, E.; Longo, V.; Di Giola, D. Antimicrobial and antibiofilm activity of Cannabis sativa L. seeds extract against Staphylococcus aureus and growth effects on probiotic Lactobacillus spp. LWT Food Sci. Technol. 2020, 124, 109149. [Google Scholar] [CrossRef]
- Huestis, M.A. Pharmacokinetics and metabolism of the plant cannabinoids, ∆9-tetrahydrocannabinol. In Cannabinoids; Handbook of Experimental Pharmacology; Pertwee, G.R., Ed.; Springer: Heidelberg/Berlin, Germany, 2005. [Google Scholar]
- Garrett, E.R.; Hunt, C.A. Physicochemical properties, solubility, and protein binding of ∆9-tetrahydrocannabinol. J. Pharm. Sci. 1974, 63, 1056–1064. [Google Scholar] [CrossRef]
- Gonçalves, J.; Rosado, T.; Soares, S.; Simão, A.Y.; Caramelo, D.; Luís, Â.; Fernández, N.; Barroso, M.; Gallardo, E.; Duarte, A.P. Cannabis and its secondary metabolites: Their use as therapeutic drugs, toxicological aspects, and analytical determination. Medicines 2019, 6, 31. [Google Scholar] [CrossRef]
- Grotenhermen, F. Pharmacokinetics and pharmacodynamics of cannabinoids. Clin. Pharmacokinet. 2003, 42, 327–360. [Google Scholar] [CrossRef]
- Lucas, C.J.; Galettis, P.; Schneider, J. The pharmacokinetic and the pharmacodynamics of cannabinoids. Br. J. Clin. Pharmacol. 2018, 84, 2477–2482. [Google Scholar] [CrossRef] [PubMed]
- Grant, K.S.; Petroff, R.; Isoherranen, N.; Stella, N.; Burbacher, T.M. Cannabis use during pregnancy: Pharmacokinetics and effects on child development. Pharmacol. Ther. 2018, 182, 133–151. [Google Scholar] [CrossRef]
- Ahmed, A.I.A.; van der Elsen, G.A.H.; Colbers, A.; Kramers, C.; Burger, D.M.; van der Marck, M.A.; Olde Rikkert, M.G.M. Safety, pharmacodynamics, and pharmacokinetics of multiple oral doses of delta-9-tetrahydrocannabinol in older persons with dementia. Psychopharmacology 2015, 232, 2587–2595. [Google Scholar] [CrossRef]
- Degenhardt, L.; Hall, W. Extent of illicit drug use and dependence, and their contribution to the global burden of disease. Lancet 2012, 379, 55–70. [Google Scholar] [CrossRef]
- Ciolino, L.A.; Ranieri, T.L.; Taylor, A.M. Commercial Cannabis consumer products part 1: GC-MS quantitative analysis of Cannabis cannabinoids. Forensic Sci. Int. 2018, 289, 429–437. [Google Scholar] [CrossRef] [PubMed]
- Lachenmeier, D.W.; Walch, S.G. Analysis and toxicological evaluation of cannabinoids in hemp food products—A review. Electron. J. Environ. Agric. Food Chem. 2005, 4, 812–826. [Google Scholar]
- Fischedick, J.T.; Hazekamp, A.; Erkelens, T.; Choi, Y.H.; Verpoorte, R. Metabolic fingerprinting of Cannabis sativa L., cannabinoids and terpenoids for chemotaxonomic and drug standardization purposes. Phytochemistry 2010, 71, 2058–2073. [Google Scholar] [CrossRef]
- Aizpurua-Olaizola, O.; Omar, J.; Navarro, P.; Olivares, M.; Etxebarria, N.; Usobiaga, A. Identification and quantification of cannabinoids in Cannabis sativa L. plants by high performance liquid chromatography-mass spectrometry. Anal. Bioanal. Chem. 2014, 406, 7549–7560. [Google Scholar] [CrossRef] [PubMed]
- European Industrial Hemp Association. Reasonable Guidance Values for THC (Tetrahydrocannabinol) in Food Products. Available online: http://eiha.org/media/2017/09/17-09-18-THC-Position-paper_EIHA.pdf (accessed on 2 August 2021).
- BgVV Recommends Guidance Values for THC (Tetrahydrocannabinol) in Hemp-Containing Foods (07/2000). Available online: http://www.bfr.bund.de/en/presseinformation/2000/07/bgvv_recommends_guidance_values_for_thc__tetrahydrocannabinol__in_hemp_containing_foods-1309.html (accessed on 2 August 2021).
- United States Department of Agriculture. Foreign Agricultural Service: Italian industrial hemp overview (Report No. IT2020-0001). Available online: https://apps.fas.usda.gov/newgainapi/api/Report/DownloadReportByFileName?fileName=Italian%20Industrial%20Hemp%20Overview%202020%20_Rome_Italy_02-18-2020 (accessed on 2 August 2021).
- European Industrial Hemp Association (EIHA). Evaluation of Limit and Guideline Values of THC (Tetrahydrocannabinol) in Hemp Foods. Available online: https://eiha.org/media/2019/06/19-06-18_Limit-and-guideline-values-for-THC-in-hempfoods.pdf (accessed on 2 August 2021).
- Food Standards Australia New Zealand (FSANZ). Australia New Zealand Food Standards Code—Standard 1.4.4—Prohibited and Restricted Plants and Fungi (No. F2016C00169). 2017. Available online: https://www.legislation.gov.au/Details/F2017C01047/Download (accessed on 2 August 2021).
- Croatian Food Agency (HAH). Scientific Opinion on the Health Effects of Hemp Products Consumed (Oil, Seeds) (HAH Publication No. HAH-Z-2011-4). 2011. Available online: https://www.hah.hr/znanstveno-misljenje-o-utjecaju-na-zdravlje-proizvoda-od-konoplje-koji-se-konzumiraju-ulje-sjemenke/ (accessed on 2 August 2021).
- Danish Veterinary and Food Administration (DVFA). Guidance Levels for Tetrahydrocannabinol Content in Foodstuffs from Industrial Hemp. 2018. Available online: https://www.foedevarestyrelsen.dk/SiteCollectionDocuments/Kemi%20og%20foedevarekvalitet/GMONovel%20foodNanoBestraaling/Information%20on%20webpage%20about%20guidance%20levels%20for%20THC%20in%20hemp_EN.pdf (accessed on 2 August 2021).
- Regulation (EU) 1307/2013. Available online: https://eur-lex.europa.eu/LexUriServ/LexUriServ.do?uri=OJ:L:2013:347:0608:0670:en:PDF (accessed on 2 August 2021).
- Regulation (EU) 2015/2283. Available online: https://eur-lex.europa.eu/legal-content/EN/TXT/PDF/?uri=CELEX:32015R2283&from=EN (accessed on 2 August 2021).
- European Food Safety Authority (EFSA). Scientific Opinion on the risks for human health related to the presence of tetrahydrocannabinol (THC) in milk and other food of animal origin. Front. Pharmacol. 2015, 13, 4141. [Google Scholar] [CrossRef]
- Commision Recommendation EU (2016/2115). Available online: https://eur-lex.europa.eu/legal-content/EN/TXT/PDF/?uri=CELEX:32016H2115&from=PLp (accessed on 3 August 2021).
- Montoya, Z.; Conroy, M.; Heuvel, B.D.V.; Pauli, C.S.; Park, S.H. Cannabis contaminant limit pharmacological use of cannabidiol. Front. Pharmacol. 2020, 11, 1439. [Google Scholar] [CrossRef]
- Bonn-Miller, M.O.; Loflin, M.J.E.; Thomas, B.F.; Marcu, J.P.; Hyke, T.; Vandrey, R. Labeling accuracy of cannabidiol extracts sold online. JAMA 2017, 318, 1708–1709. [Google Scholar] [CrossRef]
- Lachenmeier, D.W.; Habel, S.; Fischer, B.; Herbi, F.; Zerbe, T.; Bock, V.; Rajcic de Rezende, T.; Walch, S.G.; Sproll, C. Are side effects of cannabidiol (CBD) products caused by tetrahydrocannabinol (THC) contamination? F1000Research 2020, 8, 1394. [Google Scholar] [CrossRef]
- Barrus, D.G.; Capogrossi, K.L.; Cates, S.C.; Gourdet, C.K.; Peiper, C.N.; Novak, S.P.; Lefever, T.W.; Wiley, J.L. Tasty THC: Promises and Challenges of Cannabis Edibles. Methods Rep. RTI Press 2016. [Google Scholar] [CrossRef]
- Sun-Waterhouse, D.; Penin-Peyta, L.; Wdhwa, S.S.; Waterhouse, G.I.N. Storage stability of phenolic-fortified avocado oil encapsulated using different polymer formulations and co-extrusion technology. Food Bioprocess. Technol. 2012, 5, 3090–3102. [Google Scholar] [CrossRef]
- Ruiz Ruiz, J.C.; Ortiz Vazques, E.D.L.L.; Segura Campos, M.R. Encapsulation of vegetable oils as source of omega-3 fatty acids for enriched functional foods. Crit. Rev. Food Sci. Nutr. 2017, 57, 1423–1434. [Google Scholar] [CrossRef]
- Chen, P.; Rogers, M.A. Opportunities and challenges in developing orally-administered Cannabis edibles. Curr. Opin. Food Sci. 2019, 28, 7–13. [Google Scholar] [CrossRef]
- Teo, A.; Dimartino, S.; Lee, S.J.; Goh, K.K.T.; Wen, J.; Oey, I.; Ko, S.; Kwakm, H.S. Interfacial structures of whey protein isolate (WPI) and lactoferrin on hydrophobic surfaces in a model system monitored by quartz crystal microbalance with dissipation (QCM-D) and their formation on nanoemulsions. Food Hydrocoll. 2016, 56, 150–160. [Google Scholar] [CrossRef]
- Charoen, R.; Jangchud, A.; Jangchud, K.; Harnsilawat, T.; Naivikul, O.; McClements, D.J. Influence of biopolymer emulsifier type on formation and stability of rice bran oil-in-water emulsions: Whey protein, gum arabic, and modified starch. J. Food Sci. 2011, 76, E165–E172. [Google Scholar] [CrossRef] [PubMed]
- Ozturk, B.; Argin, S.; Ozilgen, M.; McClements, D.J. Formation and stabilization of nanoemulsion-based vitamin E delivery systems using natural surfactants: Quillaja saponin and lecithin. J. Food Eng. 2014, 142, 57–63. [Google Scholar] [CrossRef]
- Rasera, G.B.; Ohara, A.; Soares de Castro, R.J. Innovative and emerging applications of Cannabis in food and beverage products: From an illicit drug to a potential ingredient for health promotion. Trends Food Sci. Technol. 2021, 115, 31–41. [Google Scholar] [CrossRef]
- Rupasinghe, H.P.V.; Davis, A.; Kumar, K.S.; Murray, B.; Zheljazkov, V.D. Industrial hemp (Cannabis sativa subsp. sativa) as an emerging source for value-added functional food ingredients and nutraceuticals. Molecules 2020, 25, 4078. [Google Scholar] [CrossRef]
- Citti, C.; Pacchetti, B.; Vandelli, M.A.; Forni, F.; Cannazza, G. Analysis of cannabinoids in commercial hemp seed oil and decarboxylation kinetics studies of cannabidiolic acid (CBDA). J. Pharm. Biomed. Anal. 2018, 149, 532–540. [Google Scholar] [CrossRef]
- Formato, M.; Crescente, G.; Scognamiglio, M.; Fiorentino, A.; Pecoraro, M.T.; Piccolella, S.; Catauro, M.; Pacifico, S. (‒)-cannabidiolic acid, a still overlooked bioactive compound: An introductory review and preliminary research. Molecules 2020, 25, 2638. [Google Scholar] [CrossRef]
- Thomas, B.F.; ElSohly, M.A. (Eds.) Biosynthesis and Pharmacology of Phytocannabinoids and Related Chemical Contituents. In The Analytical Chemistry of Cannabis: Quality Assessment, Assurance, and Regulation of Medicinal Marijuana and Cannabinoid Preparations; Elsevier: Amsterdam, The Netherlands, 2015. [Google Scholar]
- Pisciottano, I.M.; Guadagnuolo, G.; Soprano, V.; Esposito, M.; Gallo, P. A survey of Δ9-THC and relevant cannabinoids in products from the Italian market: A study by LC–MS/MS of food, beverages and feed. Food Chem. 2021, 346, 128898. [Google Scholar] [CrossRef]
- House, J.D.; Neufeld, J.; Leson, G. Evaluating the quality of protein from hemp seed (Cannabis sativa L.) products through the use of the protein digestibility-corrected amino acid score method. J. Agric. Food Chem. 2010, 58, 11801–11807. [Google Scholar] [CrossRef]
- Montserrat-de la Paz, S.; Marin-Aguilar, F.; Garcia-Giménez, M.D.; Fernández-Arche, M.A. Hemp (Cannabis sativa L.) seed oil: Analytical and phytochemical characterization of the unsaponifiable fraction. J. Agric. Food Chem. 2014, 62, 1105–1110. [Google Scholar] [CrossRef] [PubMed]
- Steinbach, W. Hemp Pralines. DE Patent 19746830C1, 12 August 1999. Available online: https://patents.google.com/patent/DE19746830C1/en (accessed on 5 August 2021).
- Shim, J.S. Manufacturing Method of Bread Containing Blue Ginseng Seed. KR Patent 100,927,544 B1, 19 November 2019. Available online: https://patents.google.com/patent/KR100927544B1/en (accessed on 5 August 2021).
- Guang, H.; Wenwei, C. Application of powder of whole Cannabis sativa seeds for preparing functional food with adjuvant therapy of lowering blood fat. China Patent 100,998,414B, 30 December 2006. Available online: https://patents.google.com/patent/CN100998414B/en (accessed on 5 August 2021).
- Berghofer, E.; Pollmann, K.; Traby, M.; Frenkenberger, C. Method for Producing Hemp Milk. CA Patent 2,505,350 C, 15 May 2012. Available online: https://patents.google.com/patent/CA2505350C/en (accessed on 5 August 2021).
- Bisterfeld von Merr, G. Method of Obtaining Hemp Plant Juice and Use of Same for the Production of Beverages. U.S. Patent 8,778,418 B2, 15 July 2014. Available online: https://patents.google.com/patent/US8778418B2/en (accessed on 5 August 2021).
- Carvalho, Â.; Halkjær Hansen, E.; Kayser, O.; Carlsen, S.; Stehle, F. Desinging microorganisms for heterologous biosynthesis of cannabinoids. FEMS Yeast Res. 2017, 4, fox037. [Google Scholar] [CrossRef]
- Dussy, F.E.; Hamberg, C.; Luginbühl, M.; Schwerzmann, T.; Briellmann, T.A. Isolation of Δ9-THCA-A from hemp and analytical aspects concerning the determination of Δ9-THC in Cannabis products. Forensic Sci. Int. 2005, 149, 3–10. [Google Scholar] [CrossRef]
- Fodor, B.; Molnár-Perl, I. The role of derivatization techniques in the analysis of plant cannabinoids by gas chromatography mass spectrometry. TrAC Trends Anal. Chem. 2017, 95, 149–158. [Google Scholar] [CrossRef]
- Radwan, M.M.; Wanas, A.S.; Chandra, S.; ElSholy, M.A. Natural cannabinoids of Cannabis and methods of analysis. In Cannabis sativa L.: Botany and Biotechnology; Chandra, S., Lata, H., ElSohly, M., Eds.; Springer: Cham, Switzerland, 2017; pp. 161–182. [Google Scholar] [CrossRef]
- Berman, P.; Futoran, K.; Lewitus, G.M.; Mukha, D.; Benami, M.; Shlomi, T.; Meiri, D. A new ESI-LC/MS approach for comprehensive metabolic profiling of phytocannabinoids in Cannabis. Sci. Rep. 2018, 8, 14280. [Google Scholar] [CrossRef]
- McRae, G.; Melanson, J.E. Quantitative determination and validation of 17 cannabinoids in Cannabis and hemp using liquid chromatography-tandem mass spectrometry. Anal. Bioanal. Chem. 2020, 412, 7381–7393. [Google Scholar] [CrossRef]
- De Backer, B.; Debrus, B.; Lebrun, P.; Theunis, L.; Dubois, N.; Decock, L.; Verstraete, A.; Hubert, P.; Charlier, C. Innovative development and validation of an HPLC/DAD method for the qualitative and quantitative determination of major cannabinoids in Cannabis plant material. J. Chromatogr. B 2009, 877, 4115–4124. [Google Scholar] [CrossRef]
- Gul, W.; Gul, S.W.; Radwan, M.M.; Wanas, A.S.; Khan, I.I.; Sharaf, M.H.; ElSohly, M.A. Determination of 11 cannabinoids in biomass and extracts of different varieties of Cannabis using high-performance liquid chromatography. J. AOAC Int. 2015, 98, 1523–1528. [Google Scholar] [CrossRef]
- Dubrow, G.A.; Pawar, R.S.; Srigley, C.; Fong Sam, J.; Talavera, C.; Parker, C.H.; Noonan, G.O. A survey of cannabinoids in hemp-derived products from the United States marketplace. J. Food Compos. Anal. 2021, 97, 103800. [Google Scholar] [CrossRef]
- Marchetti, L.; Brighenti, V.; Rossi, M.C.; Sperlea, J.; Pellati, F.; Bertelli, D. Use of 13C-qNMR Spectroscopy for the analysis of non-psychoactive cannabinoids in fibre-type Cannabis sativa L. (hemp). Molecules 2019, 24, 1138. [Google Scholar] [CrossRef] [PubMed]
- Smith, R.N. High-pressure liquid chromatography of Cannabis. Identification of separated constituents. J. Chromatogr. A 1975, 115, 101–106. [Google Scholar] [CrossRef]
- Mandrioli, M.; Tura, M.; Scotti, S.; Toschi, T.G. Fast detection of 10 cannabinoids by RP-HPLC-UV method in Cannabis sativa L. Molecules 2019, 24, 2113. [Google Scholar] [CrossRef]
- Žampachová, L.; Aturki, Z.; Mariani, F.; Bednář, P. A rapid nano-liquid chromatographic method for the analysis of cannabinoids in Cannabis sativa L. Extracts. Molecules 2021, 26, 1825. [Google Scholar] [CrossRef]
- Glivar, T.; Eržen, J.; Kreft, S.; Zagožen, M.; Čerenak, A.; Čeh, B.; Tavčar Benković, E. Cannabinoid content in industrial hemp (Cannabis sativa L.) varieties grown in Slovenia. Ind. Crop. Prod. 2020, 145, 112082. [Google Scholar] [CrossRef]
- Cardenia, V.; Toschi, T.G.; Scappini, S.; Rubino, R.C.; Rodriguez-Estrada, M.T. Development and validation of a fast gas chromatography/mass spectrometry method for the determination of cannabinoids in Cannabis sativa L. J. Food Drug Anal. 2018, 26, 1283–1292. [Google Scholar] [CrossRef] [PubMed]
- Jang, E.; Kim, H.; Jang, S.; Lee, J.; Baeck, S.; In, S.; Kim, E.; Kim, Y.; Han, E. Concentrations of THC, CBD, and CBN in commercial hemp seeds and hempseed oil sold in Korea. Forensic Sci. Int. 2020, 306, 110064. [Google Scholar] [CrossRef] [PubMed]
- Citti, C.; Linciano, P.; Panseri, S.; Vezzalini, F.; Forni, F.; Vandelli, M.A.; Cannazza, G. Cannabinoid profiling of hemp seed oil by liquid chromatography coupled to high-resolution mass spectrometry. Front. Plant Sci. 2019, 10, 120. [Google Scholar] [CrossRef]
- Fernández, N.; Carreras, L.J.; Larcher, R.A.; Ridolfi, A.S.; Quiroga, P.N. Quantification of cannabinoids in Cannabis oil using GC/MS: Method development, validation, and application to commercially available preparations in Argentina. Planta Med. Int. Open 2020, 7, e81–e87. [Google Scholar] [CrossRef]
- Pellegrini, M.; Marchei, E.; Pacifici, R.; Pichini, S. A rapid and simple procedure for the determination of cannabinoids in hemp food products by gas chromatography-mass spectrometry. J. Pharm. Biomed. Anal. 2005, 36, 939–946. [Google Scholar] [CrossRef]
- Ciolino, L.A.; Ranieri, T.L.; Taylor, A.M. Commercial Cannabis consumer products part 2: HPLC-DAD quantitative analysis of Cannabis cannabinoids. Forensic Sci. Int. 2018, 289, 438–447. [Google Scholar] [CrossRef] [PubMed]
- Brighenti, V.; Pellati, F.; Steinbach, M.; Meran, D.; Benvenuti, S. Development of a new extraction technique and HPLC method for the analysis of non-psychoactive cannabinoids in fibre-type Cannabis sativa L. (hemp). J. Pharm. Biomed. Anal. 2017, 143, 228–236. [Google Scholar] [CrossRef] [PubMed]
- Escrivá, Ú.; Andrés-Costa, M.J.; Andreu, V.; Picó, Y. Analysis of cannabinoids by liquid chromatography-mass spectrometry in milk, liver and hemp seed to ensure food safety. Food Chem. 2017, 228, 177–185. [Google Scholar] [CrossRef] [PubMed]
- Lee, J.H.; Min, M.A.Y.; Han, J.H.; Yang, Y.J.; Kim, H.; Shin, D. Development and validation of LC-MS/MS method with QuEChERS cleanup for detecting cannabinoids in foods and dietary supplements. Food Addit. Contam. Part A 2020, 37, 1413–1424. [Google Scholar] [CrossRef]
- Romano, R.; Aiello, A.; De Luca, L.; Sica, R.; Caprio, E.; Pizzolongo, F.; Blaiotta, G. Characterization of a new type of mead fermented with Cannabis sativa L. (hemp). J. Food Sci. 2021, 86, 874–880. [Google Scholar] [CrossRef] [PubMed]
- Crippa, J.A.; Crippa, A.C.; Hallak, J.E.; Martín-Santos, R.; Zuardi, A.W. Δ9-THC Intoxication by cannabidiol enriched Cannabis extract in two children with refractory epilepsy: Full remission after switching to purified cannabidiol. Front. Pharmacol. 2016, 7, 359. [Google Scholar] [CrossRef][Green Version]
- Lazarjani, M.P.; Torres, S.; Hooker, T.; Fowlie, C.; Young, O.; Seyfoddin, A. Methods for quantification of cannabinoids: A narrative review. J. Cannabis Res. 2020, 2, 35. [Google Scholar] [CrossRef]
- Lindholst, C. Long term of stability Cannabis resin and Cannabis extracts. Aust. J. Forensic Sci. 2010, 42, 181–190. [Google Scholar] [CrossRef]
- King, J.W. The relationship between Cannabis/hemp use in foods and processing methodology. Curr. Opin. Food Sci. 2019, 28, 32–40. [Google Scholar] [CrossRef]
- Fairbarin, J.W.; Liebmann, J.A.; Rowan, M.G. The stability of Cannabis and its preparations on storage. J. Pharm. Pharmacol. 1976, 28, 1–7. [Google Scholar] [CrossRef]
- Grafström, K.; Andersson, K.; Pettersson, N.; Dalgaard, J.; Dunne, S.J. Effects of long term storage on secondary metabolite profiles of Cannabis resin. Forensic Sci. Int. 2019, 301, 331–340. [Google Scholar] [CrossRef]
- Trofin, I.G.; Dabija, G.; Vaireanu, D.I.; Filipescu, L. The influence of long-term storage conditions on the stability of cannabinoids derived from Cannabis resin. Rev. Chim. 2012, 63, 422–427. [Google Scholar]
- Trofin, I.G.; Dabija, G.; Vaireanu, D.I.; Filipescu, L. Long-term storage and Cannabis oil stability. Rev. Chim. 2012, 63, 293–297. [Google Scholar]
- Meija, J.; McRae, G.; Miles, C.O.; Melanson, J.E. Thermal stability of cannabinoids in dried Cannabis: Kinetic study. Anal. Bioanal. Chem. 2021, 1–8. [Google Scholar] [CrossRef]
- Zamengo, L.; Bettin, C.; Badocco, D.; Marco, V.D.; Miolo, G.; Frison, G. The role of time and storage conditions on the composition of hashish and marijuana samples: A four-year study. Forensic Sci. Int. 2019, 298, 131–137. [Google Scholar] [CrossRef]
- Peschel, W. Quality control of traditional Cannabis tinctures: Pattern, markers and stability. Sci. Pharm. 2016, 84, 567–584. [Google Scholar] [CrossRef]
- Pacifici, R.; Marchel, E.; Salvatore, F.; Guandalini, L.; Busardò, O.; Pichini, S. Evaluation of cannabinoids concentration and stability in standardized preparations of Cannabis tea and Cannabis oil by ultra-high performance liquid chromatography tandem mass spectrometry. Clin. Chem. Lab. Med. 2017, 55, 1555–1563. [Google Scholar] [CrossRef]
- Milay, L.; Berman, P.; Shapira, A.; Guberman, O.; Meiri, D. Metabolic profiling of Cannabis secondary metabolites for evaluation of optimal postharvest storage conditions. Front. Plant Sci. 2020, 11, 583605. [Google Scholar] [CrossRef]
- Mudge, E.M.; Murch, S.J.; Brown, P.N. Leaner and greener analysis of cannabinoids. Anal. Bioanal. Chem. 2017, 409, 3153–3163. [Google Scholar] [CrossRef]
- Turek, C.; Florian, C.S. Stability of essential oils: A review. Compr. Rev. Food Sci. Food Saf. 2013, 12, 40–53. [Google Scholar] [CrossRef]
- Zhong, Y.; Shahidi, F. Lipid oxidation and improving the oxidative stability. Chem. Soc. Rev. 2010, 39, 4067–4079. [Google Scholar] [CrossRef]
- Singh, A.P.; Fathordoobady, F.; Guo, Y.; Singh, A.; Kitts, D.D. Antioxidants help favorably regulate the kinetics of lipid peroxidation, polyunsaturated fatty acids degradation and acidic cannabinoids decarboxylation in hempseed oil. Sci. Rep. 2020, 10, 10567. [Google Scholar] [CrossRef] [PubMed]
- Wang, M.; Wang, Y.H.; Avula, B.; Radwan, M.M.; Wanas, A.S.; van Antwerp, J.; Parcher, J.F.; ElSohly, S.A.; Khan, I.A. Decarboxylation study of acidic cannabinoids: A novel approach using ultra-high-performance supercritical fluid chromatography/photodiode array-mass spectrometry. Cannabis Cannabinoid Res. 2016, 1, 262–271. [Google Scholar] [CrossRef] [PubMed]
- Casiraghi, A.; Roda, G.; Casagni, E.; Cristina, C.; Musazzi, U.M.; Franzè, S.; Rocco, P.; Giuliani, C.; Fico, G.; Minghetti, P.; et al. Extraction method and analysis of cannabinoids in Cannabis olive oil preparations. Planta Medica 2017, 84, 242–249. [Google Scholar] [CrossRef]
- Taschwer, M.; Schmid, M.G. Determination of the relative percentage distribution of THCA and Δ9-THC in herbal Cannabis seized in Austria—Impact of different storage temperatures on stability. Forensic Sci. Int. 2015, 254, 167–171. [Google Scholar] [CrossRef]
- Knezevic, F.; Nikolai, A.; Marchart, R.; Sosa, S.; Tubaro, A.; Novak, J. Residues of herbal hemp leaf teas—How much of the cannabinoids remain? Food Control 2021, 127, 108146. [Google Scholar] [CrossRef]
- Ryu, B.R.; Islam, M.J.; Azad, M.O.K.; Go, E.-J.; Rahman, M.H.; Rana, M.S.; Lim, Y.-S.; Lim, J.D. Conversion characteristics of some major cannabinoids from hemp (Cannabis sativa L.) raw. materials by new rapid simultaneous analysis method. Molecules 2021, 26, 4113. [Google Scholar] [CrossRef] [PubMed]
- Dawson, D.D.; Martin, R.W. Investigation of chocolate matrix interference on cannabinoid analytes. J. Agric. Food Chem. 2020, 68, 5699–5706. [Google Scholar] [CrossRef] [PubMed]
- Wolf, C.E.; Poklis, J.L.; Poklis, A. Stability of tetrahydrocannbinol and cannabidiol in prepared quality control medible brownies. J. Anal. Toxicol. 2017, 41, 153–157. [Google Scholar] [CrossRef]


| Compound Name | Acronym | Molecular Formula | Molecular Weight (g/mol) | Structural Formula | Compound Nature |
|---|---|---|---|---|---|
| Cannabigerol | CBG | C21H32O2 | 316.48 | ![]() | neutral |
| Cannabigerolic acid | CBGA | C22H32O4 | 360.49 | ![]() | acidic |
| Cannabidiol | CBD | C21H30O2 | 314.46 | ![]() | neutral |
| Cannabidiolic acid | CBDA | C22H30O4 | 358.47 | ![]() | acidic |
| Δ9-Tetrahydrocannabinol | Δ9-THC | C21H30O2 | 314.46 | ![]() | neutral |
| Δ9-Tetrahydrocannabinolic acid A | Δ9-THCA | C22 H30 O4 | 358.47 | ![]() | acidic |
| Δ8-Tetrahydrocannabinol | Δ8-THC | C21 H30 O2 | 314.46 | ![]() | neutral |
| Cannabichromene | CBC | C21H30O2 | 314.46 | ![]() | neutral |
| Cannabichromenic acid | CBCA | C22 H30 O4 | 358.47 | ![]() | acidic |
| Cannabinol | CBN | C21 H26 O2 | 310.43 | ![]() | neutral |
| Cannabinolic acid | CBNA | C22 H26 O4 | 354.44 | ![]() | acidic |
| Cannabicyclol | CBL | C21H30O2 | 314.46 | ![]() | neutral |
| Cannabicyclolic acid | CBLA | C22H30O4 | 358.47 | ![]() | acidic |
| Cannabivarin | CBV | C19 H22 O2 | 282.38 | ![]() | neutral |
| Cannabidivarin | CBDV | C19 H26 O2 | 286.41 | ![]() | neutral |
| Cannabidivarinic acid | CBDVA | C20 H26 O4 | 330.42 | ![]() | acidic |
| Cannabielsoin | CBE | C21 H30 O3 | 330.46 | ![]() | neutral |
| Cannabitriol | CBT | C21H30O4 | 346.46 | ![]() | neutral |
| Cannabinodiol | CBDL | C21H26O2 | 310.43 | ![]() | neutral |
| Δ9-Tetrahydrocannabivarin | Δ9-THCV | C19H26O2 | 286.41 | ![]() | neutral |
| Compound Name (Acronym) | Potential Health Benefits | Psychoactive Effects on the Human Body | Cannabis sativa L. Variety in Which the Compound Is Present at Relatively High Concentrations | Use (Medicine, Dietary Supplements, Food) | Effects on the Endocannabinoid System | References | |
|---|---|---|---|---|---|---|---|
| Non-psychoactive cannabinoids | Cannabigerol (CBG) | Antineoplastic | None demonstrated | All varieties | Food, medicine | Low affinity to the CB1 and CB2 receptors, and shows an ability to inhibit anandamide uptake | [16,27,32,43,44] |
| Cannabichromen (CBC) | Antidepressant | None demonstrated | All varieties | Medicine | - | [27,32] | |
| Cannabidiol (CBD) | Analgesic, anti-inflammatory, anxiolytic, and antineoplastic | None demonstrated | All varieties, but mainly in Cannabis sativa L. var. sativa | Dietary supplements, food | Weak antagonistic action against the CB1 and CB2 receptors, and eliminates the effects of Δ9-THC | [31,44,45,46,47,48] | |
| Δ9-Tetrahydrocannabivarin (Δ9-THCV), | Treatment of obesity and epilepsy | None demonstrated | All varieties, but mainly in Cannabis sativa L. var. sativa | Medicine | Partial agonist of the CB2 receptors and antagonist of the CB1 receptors | [49,50] | |
| Psychoactive cannabinoids | Δ9-Tetrahydrocannabinol (Δ9-THC) | Improves sleep and stimulates appetite in cancer patients | Demonstrated | All varieties, but mainly in Cannabis sativa L. var. indica | Medicine | Binds and activates the CB1 receptors | [31,51,52,53] |
| Δ8-Tetrahydrocannabinol (Δ8-THC) | Anti-glaucoma, and supports the treatment of damaged epithelium of the cornea | Demonstrated, but weaker than Δ9-THC | All varieties, but mainly in Cannabis sativa L. var. indica | Medicine | Binds and activates the CB1 receptors | [54,55] | |
| Cannabinol (CBN) | Demonstrated, but 10× weaker than Δ9-THC | All varieties | - | Binds cannabinoid receptors, showing higher affinity to the CB2 receptors and weak agonism to the CB1 receptors | [25,44] |
| Oil from Seeds | Seeds | Total Content in Food | References | |
|---|---|---|---|---|
| Germany total content of Δ9-THC and Δ9-THCA | 5 | - | 0.02–10 | [79,80] |
| Italy total content of Δ9-THC and Δ9-THCA | 5 | 2 | 2 | [81] |
| Switzerland Δ9-THC | 20 | 10 | - | [82] |
| Australia, New Zealand total content of Δ9-THC and Δ9-THCA | 10 | 5 | <5 | [83] |
| Croatia Δ9-THC | - | - | 2–20 | [84] |
| Denmark Δ9-THC | 10 | 5 | 0.5 | [85] |
| Matrix | Analytical Technique | Sample Preparation Method (Extraction, Purification) | Cannabinoids Determined | LOQ/LOD | References |
|---|---|---|---|---|---|
| Hemp oil | HPLC-UV HPLC-MS/MS | Extraction with 2-propanol | CBDA, Δ9-THCA, CBD, Δ9-THC, CBG, CBN, CBDV | 1 mg/kg/0.2 mg/kg | [102] |
| Hemp oil | HPLC-HRMS | Extraction with 2-propanol | CBDV, CBDA, CBGA, CBG, CBD, CBN, Δ9-THC, Δ8-THC, CBC, Δ9-THCA | - | [129] |
| Hemp oil | GC-MS | Extraction with diethyl ether | CBD, CBN, Δ9-THC | 0.03–0.1 mg/kg/- | [130] |
| Hemp oil | HPLC-Q-Exactive-Orbitrap-MS | - | CBD, Δ9-THC, CBN, CBG, CBDA, Δ9-THCA, CBGA | - | [45] |
| Beer, liqueur, seeds, oil hemp | GC-MS | Extraction with hexane/isopropanol mixture (9:1) | CBD, CBN, Δ9-THC | 0.001–0.002/0.0003–0.0006 mg/kg | [131] |
| Hemp oil and commercially available consumer products (dietary supplements, food, candies, beverages) | HPLC-DAD | Extraction with 95% or 100% ethanol depending on the matrix type | CBD, CBDA, Δ9-THC, Δ9-THCA, CBN, Δ8-THC, CBG, CBGA, CBDV, Δ9-THCV, CBC | 10 mg/kg/- (for all products) | [132] |
| Hemp oil and commercially available consumer products (among others: dietary supplements, food, candies, beverages) | GC-MS | Extraction with 95% or 100% ethanol depending on the matrix type | CBD, CBDA, Δ9-THC, Δ9-THCA, CBN, Δ8-THC, CBG, CBGA, CBDV, THCV, CBC | -/1 mg/kg (for all products) | [75] |
| Hemp oils Hemp-based extract | HPLC-UV/DAD | Extraction with isopropanol | CBG CBD | 1.8 mg/kg/0.5 mg/kg 2.3 mg/kg/0.7 mg/kg | [133] |
| Hemp seeds, hemp protein | LC-MS/MS | Extraction with acetonitrile, QuEChERS | CBD, CBDA, Δ9-THC, Δ9-THCA, CBN, CBC, CBCA, CBDV, CBDVA, CBG, CBGA, THCV, THCVA, Δ8-THC | 0.15 mg/kg/- | [39] |
| Hemp oil | 0.6 mg/kg/- | ||||
| Raw and powdered milk | 0.005 mg/kg/- | ||||
| Tea, coffee, chocolate | 0.15 mg/kg/- | ||||
| Mayonnaise | 0.006 mg/kg/- | ||||
| Food products | LC-MS/MS | Extraction with methanol:chloroform mixture (9:1, v/v) | Δ9-THC, THCA, Δ8 -THC, CBN, CBD, CBDA, CBG, CBGA THCV | 0.02 mg/kg/0.006 mg/kg | [105] |
| Beverages | Extraction with methanol | 0.002 mg/kg/0.6 mg/kg | |||
| Milk | LC-MS/MS | Extraction with methanol, SPE | Δ9-THC, Δ9-THC-OH, Δ9-THCA | 0.00413–0.00873 mg/kg/0.00444–0.00893 mg/kg | [134] |
| Hemp seeds | 0.00310–0.00678 mg/kg/0.00352–0.00722 mg/kg | ||||
| Chocolate, energy bars, oils | LC-MS/MS | Filter only, SPE, dispersive-SPE, QuEChERS, EMR-lipid | Δ9-THC, CBD | 0.00003 mg/kg/0.00001 mg/kg | [135] |
| Candies and jellies | Filter only, SPE, dispersive-SPE, QuEChERS | ||||
| Powdered hemp protein, snacks, and cereals | |||||
| Fermented mead with the addition of extracts from inflorescences, leaves, and stems | HPLC-FID | Extraction with hexane/ethyl acetate mixture (9:1 v/v) | CBD, CBN | -/0.01 mg/L | [136] |
| Tinctures and oils | HPLC-DAD | Extraction with 95% or 100% ethanol depending on the matrix type | CBDA, CBD, Δ9-THCA, Δ9-THC, Δ8 -THC, CBN, CBC, CBG, CBGA, CBDV, Δ9-THCV | 1–10 mg/kg/4–40mg/kg (depending on the matrix) | [122] |
| Food products (honey, candies, jellies, cookies) | |||||
| Beverages |
Publisher’s Note: MDPI stays neutral with regard to jurisdictional claims in published maps and institutional affiliations. |
© 2021 by the authors. Licensee MDPI, Basel, Switzerland. This article is an open access article distributed under the terms and conditions of the Creative Commons Attribution (CC BY) license (https://creativecommons.org/licenses/by/4.0/).
Share and Cite
Kanabus, J.; Bryła, M.; Roszko, M.; Modrzewska, M.; Pierzgalski, A. Cannabinoids—Characteristics and Potential for Use in Food Production. Molecules 2021, 26, 6723. https://doi.org/10.3390/molecules26216723
Kanabus J, Bryła M, Roszko M, Modrzewska M, Pierzgalski A. Cannabinoids—Characteristics and Potential for Use in Food Production. Molecules. 2021; 26(21):6723. https://doi.org/10.3390/molecules26216723
Chicago/Turabian StyleKanabus, Joanna, Marcin Bryła, Marek Roszko, Marta Modrzewska, and Adam Pierzgalski. 2021. "Cannabinoids—Characteristics and Potential for Use in Food Production" Molecules 26, no. 21: 6723. https://doi.org/10.3390/molecules26216723
APA StyleKanabus, J., Bryła, M., Roszko, M., Modrzewska, M., & Pierzgalski, A. (2021). Cannabinoids—Characteristics and Potential for Use in Food Production. Molecules, 26(21), 6723. https://doi.org/10.3390/molecules26216723





















