Pulse-Cereal Blend Extrusion for Improving the Antioxidant Properties of a Gluten-Free Flour
Abstract
1. Introduction
2. Results and Discussion
2.1. Optimization of Extrusion Temperature and Blend Mixture (Step 1)
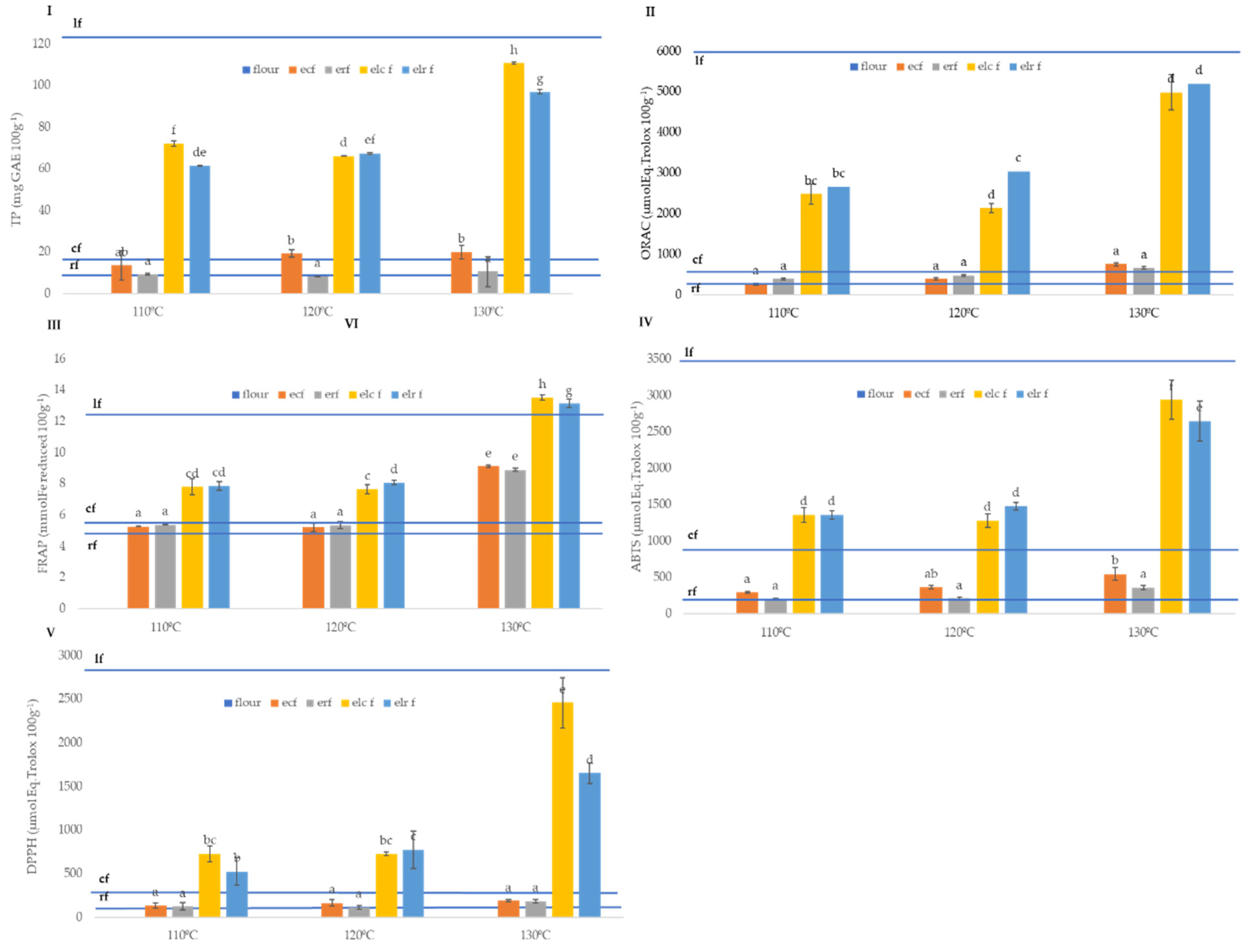
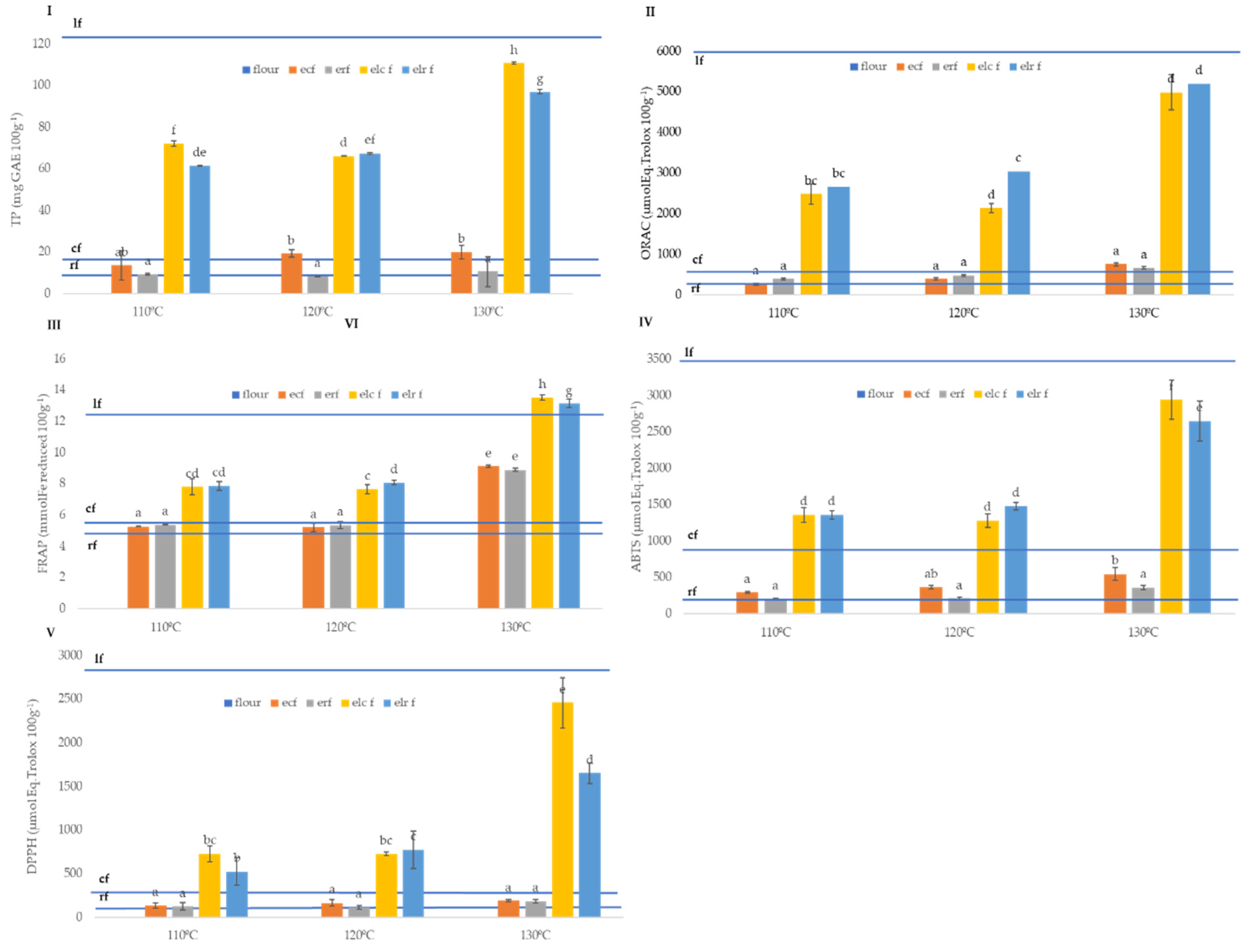
2.2. Optimization of Cooking Extrusion Concentration Pulse for Blend Mixture (Step 2)
2.3. Effect of Baking Process (Step 3)
3. Materials and Methods
3.1. Chemicals
3.2. Raw Material
3.3. Experimental Design
3.4. Extrusion Process
3.5. Muffin Product Elaboration
3.6. Proximal Composition
3.7. Colorimetric Analysis and Image Analysis
3.8. Image Analysis (RGB)
3.9. Extract Preparation
3.10. Total Phenol Content (TP)
3.11. Total Antioxidant Capacity (TAC)
3.11.1. DPPH• Radical Scavenging Activity and Q-DPPH• Radical Scavenging Activity
3.11.2. Oxygen Radical Absorbance Capacity (ORAC)
3.11.3. ABTS•+•+ Radical Cation Scavenging Activity and Q-ABTS•+• Radical Cation Scavenging Activity
3.11.4. Ferric Reducing Antioxidant Power (FRAP)
3.11.5. Relative Antioxidant Capacity (RACI)
3.12. Glycemic Index (GI)
3.13. Scanning Electron Microscopy (SEM)
3.14. Statistical Analysis
4. Conclusions
Supplementary Materials
Author Contributions
Funding
Institutional Review Board Statement
Informed Consent Statement
Data Availability Statement
Acknowledgments
Conflicts of Interest
Sample Availability
References
- Levinson-Castiel, R.; Eliakim, R.; Shinar, E.; Perets, T.T.; Layfer, O.; Levhar, N.; Schvimer, M.; Marderfeld, L.; Ben-Horin, S.; Shamir, R. Rising prevalence of celiac disease is not universal and repeated testing is needed for population screening. United Eur. Gastroenterol. J. 2019, 7, 412–418. [Google Scholar] [CrossRef]
- Gomes, R.C.; Maia, J.C.; Arrais, R.F.; Jatobá, C.A.N.; Rocha, M.A.C.; Brito, M.E.F.; Nazion, A.L.O.; Maranhão, C.M.; Maranhão, H.D.S. The celiac iceberg: From the clinical spectrum to serology and histopathology in children and adolescents with type 1 diabetes mellitus and Down syndrome. Scand. J. Gastroenterol. 2016, 51, 178–185. [Google Scholar] [CrossRef] [PubMed]
- Saturni, L.; Ferretti, G.; Bacchetti, T. The gluten-free diet: Safety and nutritional quality. Nutrients 2010, 2, 16–34. [Google Scholar] [CrossRef]
- Stevens, L.; Rashid, M. Gluten-free and regular foods: A cost comparison. Can. J. Diet. Pract. Res. 2008, 69, 147–150. [Google Scholar] [CrossRef] [PubMed]
- Missbach, B.; Schwingshackl, L.; Billmann, A.; Mystek, A.; Hickelsberger, M.; Bauer, G.; König, J. Gluten-free food database: The nutritional quality and cost of packaged gluten-free foods. PeerJ 2015, 3, e1337. [Google Scholar] [CrossRef] [PubMed]
- Niland, B.; Cash, B.D. Health Benefits and Adverse Effects of a Gluten-Free Diet in Non-Celiac Disease Patients. Gastroenterol. Hepatol. 2018, 14, 82–91. [Google Scholar]
- Noack, R. Energy and Protein Requirements. Report of a Joint FAO/WHO Ad Hoc Expert Committee. WHO Technical Report Series No. 522, 118 S., Genf 1973. Nahr. Food 1974, 18, 329–332. [Google Scholar] [CrossRef]
- Ciuris, C.; Lynch, H.M.; Wharton, C.; Johnston, C.S. A Comparison of Dietary Protein Digestibility, Based on DIAAS Scoring, in Vegetarian and Non-Vegetarian Athletes. Nutrients 2019, 11, 3016. [Google Scholar] [CrossRef]
- EFSA. Re-evaluation of xanthan gum (E 415) as a food additive. EFSA J. 2017, 15, 4909. [Google Scholar] [CrossRef]
- Sikha, B. A Comprehensive Study on Physical Properties of Two Gluten-Free Flour Fortified Muffins. J. Food Process. Technol. 2013, 4, 251. [Google Scholar] [CrossRef]
- Margier, M.; Georgé, S.; Hafnaoui, N.; Remond, D.; Nowicki, M.; Du Chaffaut, L.; Amiot, M.J.; Reboul, E. Nutritional Composition and Bioactive Content of Legumes: Characterization of Pulses Frequently Consumed in France and Effect of the Cooking Method. Nutrients 2018, 10, 1668. [Google Scholar] [CrossRef]
- Campos-Vega, R.; Loarca-Piña, G.; Oomah, B.D. Minor components of pulses and their potential impact on human health. Food Res. Int. 2010, 43, 461–482. [Google Scholar] [CrossRef]
- Roy, F.; Boye, J.; Simpson, B. Bioactive proteins and peptides in pulse crops: Pea, chickpea and lentil. Food Res. Int. 2010, 43, 432–442. [Google Scholar] [CrossRef]
- Ha, V.; Sievenpiper, J.L.; de Souza, R.J.; Jayalath, V.H.; Mirrahimi, A.; Agarwal, A.; Chiavaroli, L.; Mejia, S.B.; Sacks, F.M.; Di Buono, M.; et al. Effect of dietary pulse intake on established therapeutic lipid targets for cardiovascular risk reduction: A systematic review and meta-analysis of randomized controlled trials. Can. Med. Assoc. J. 2014, 186, E252–E262. [Google Scholar] [CrossRef]
- Bielefeld, D.; Grafenauer, S.; Rangan, A. The Effects of Legume Consumption on Markers of Glycaemic Control in Individuals with and without Diabetes Mellitus: A Systematic Literature Review of Randomised Controlled Trials. Nutrients 2020, 12, 2123. [Google Scholar] [CrossRef] [PubMed]
- Goñi, I.; Valentın-Gamazo, C. Chickpea flour ingredient slows glycemic response to pasta in healthy volunteers. Food Chem. 2003, 81, 511–515. [Google Scholar] [CrossRef]
- Jayalath, V.H.; de Souza, R.J.; Sievenpiper, J.L.; Ha, V.; Chiavaroli, L.; Mirrahimi, A.; Di Buono, M.; Bernstein, A.M.; Leiter, L.A.; Kris-Etherton, P.M.; et al. Effect of Dietary Pulses on Blood Pressure: A Systematic Review and Meta-analysis of Controlled Feeding Trials. Am. J. Hypertens. 2014, 27, 56–64. [Google Scholar] [CrossRef]
- Salehi-Abargouei, A.; Saraf-Bank, S.; Bellissimo, N.; Azadbakht, L. Effects of non-soy legume consumption on C-reactive protein: A systematic review and meta-analysis. Nutrition 2015, 31, 631–639. [Google Scholar] [CrossRef]
- Murty, C.M.; Pittaway, J.K.; Ball, M.J. Chickpea supplementation in an Australian diet affects food choice, satiety and bowel health. Appetite 2010, 54, 282–288. [Google Scholar] [CrossRef]
- Hegazy, H.S.; El-Bedawey, A.E.A.; Rahma, E.H.; Gaafar, A.M. Effect of extrusion process on nutritional, functional properties and antioxidant activity of germinated chickpea incorporated corn extrudates. Am. J. Food Sci. Nutr. Res. 2017, 4, 59–66. [Google Scholar]
- Pasqualone, A.; Costantini, M.; Coldea, T.E.; Summo, C. Use of Legumes in Extrusion Cooking: A Review. Foods 2020, 9, 958. [Google Scholar] [CrossRef]
- Nayak, B.; Berrios, J.D.J.; Powers, J.R.; Tang, J. Effect of extrusion on the antioxidant capacity and color attributes of expanded extrudates prepared from purple potato and yellow pea flour mixes. J. Food Sci. 2011, 76, C874–C883. [Google Scholar] [CrossRef]
- Berrios, J.D.J.; Camara, M.; Torija, M.E.; Alonso, M. Effect of extrusion cooking and sodium bicarbonate addition on the carbohydrate composition of black bean flours. J. Food Process. Preserv. 2002, 26, 113–128. [Google Scholar] [CrossRef]
- Patil, S.S.; Brennan, C.S.; Mason, S.L.; Brennan, C.S. The effects of fortification of legumes and extrusion on the protein digestibility of wheat based snack. Foods 2016, 5, 26. [Google Scholar] [CrossRef]
- Gilani, G.S.; Xiao, C.W.; Cockell, K.A. Impact of antinutritional factors in food proteins on the digestibility of protein and the bioavailability of amino acids and on protein quality. Br. J. Nutr. 2012, 108, S315–S332. [Google Scholar] [CrossRef]
- Urbano, G.; López-Jurado, M.; Aranda, P.; Vidal-Valverde, C.; Tenorio, E.; Porres, J. The role of phytic acid in legumes: Antinutrient or beneficial function? J. Physiol. Biochem. 2000, 56, 283–294. [Google Scholar] [CrossRef] [PubMed]
- Singh, U. Antinutritional factors of chickpea and pigeon pea and their removal by processing. Plant Foods Hum. Nutr. 1988, 38, 251–261. [Google Scholar] [CrossRef] [PubMed]
- Frost, G.; Leeds, A.A.; Dore, C.J.; Madieros, S.; Brading, S.; Dornhorst, A. Glycaemic index as a determinant of serum HDL-cholesterol concentration. Lancet 1999, 353, 1045–1048. [Google Scholar] [CrossRef]
- Jenkins, D.J.A.; Jenkins, A.L.; Wolever, T.M.S.; Vuksan, V.; Rao, A.V.; Thompson, L.U.; Josse, R.G. Low glycemic index-lente carbohydrates and physiological effects of altered food frequency. Am. J. Clin. Nutr. 1994, 54, 706S–709S. [Google Scholar] [CrossRef]
- Jenkins, D.J.; Wolever, T.M.; Jenkins, A.L.; Thorne, M.J.; Lee, R.; Kalmusky, J.; Reichert, R.; Wong, G.S. The glycaemic index of foods tested in diabetic patients: A new basis for carbohydrate exchange favouring the use of legumes. Diabetologia 1983, 24, 257–264. [Google Scholar] [CrossRef]
- Thorne, M.J.; Thompson, L.U.; Jenkins, D.J.A. Factors affecting starch digestibility and the glycemic response with special reference to legumes. Am. J. Clin. Nutr. 1983, 38, 481–488. [Google Scholar] [CrossRef]
- Anton, A.A.; Fulcher, R.G.; Arntfield, S.D. Physical and nutritional impact of fortification of corn starch-based extruded snacks with common bean (Phaseolus vulgaris L.) flour: Effects of bean addition and extrusion cooking. Food Chem. 2009, 113, 989–996. [Google Scholar] [CrossRef]
- Singh, B.; Sekhon, K.S.; Singh, N. Effects of moisture, temperature and level of pea grits on extrusion behavior and product characteristics of rice. Food Chem. 2007, 100, 198–202. [Google Scholar] [CrossRef]
- Lazou, A.E.; Michailidis, P.A.; Thymi, S.; Krokida, M.K.; Bisharat, G.I. Structural properties of corn-legume based extrudates as a function of processing conditions and raw material characteristics. Int. J. Food Prop. 2007, 10, 721–738. [Google Scholar] [CrossRef]
- Blanco, B. Estudio de la Tecnología de Extrusión para la Valorización de Subproductos Vegetales Y Nuevas Aplicaciones en Leguminosas como Ingredientes de Productos para Alimentación Humana. Ph.D. Thesis, Burgos University, Burgos, Spain, 2017. [Google Scholar]
- Ghumman, A.; Kaur, A.; Singh, N. Impact of germination on flour, protein and starch characteristics of lentil (Lens culinari) and horsegram (Macrotyloma uniflorum L.) lines. LWT Food Sci. Technol. 2016, 65, 137–144. [Google Scholar] [CrossRef]
- Awuchi, C. Proximate composition and functional properties of different grain flour composites for industrial applications. Int. J. Food Sci. 2019, 2, 43–64. [Google Scholar]
- Ramírez, J.; Wanderlei, C.; Meléndez, A.; Lima, O.; Penteado, M. Caracterización Físico-Química de Pellets Extruídos de Torta de Higuerilla (Ricinus comunis L.) Visando su uso en Alimentos Balanceados; Empresa Brasileira de Pesquisa Agropecuária: Canoinhas, Brazil, 2013; pp. 1–6. [Google Scholar]
- Shruthi, V.H.; Sharanagouda, H.; Udaykumar, N.; Ramachandra, C.T.; Kisan, J. Effect of process parameters on the proximate composition and sensory properties of corn extrudates. Int. J. Agric. Sci. Res. 2016, 6, 353–362. [Google Scholar]
- Shams, H.; Tahbaz, F.; Abadi, A. Effects of cooked lentils on glycemic control and blood lipids of patients with type 2 diabetes. ARYA Atheroscler. J. 2010, 4, 215–218. [Google Scholar]
- Chung, H.J.; Liu, Q.; Hoover, R.; Warkentin, T.D.; Vandenberg, B. In vitro starch digestibility, expected glycemic index, and thermal and pasting properties of flours from pea, lentil and chickpea cultivars. Food Chem. 2008, 111, 316–321. [Google Scholar] [CrossRef]
- Chauhan, G.S.; Sharma, P.; Bains, G.S. Effect of extrusion cooking on x-ray diffraction characteristics of rice and rice–legume blends. Int. J. Food Prop. 2003, 6, 127–133. [Google Scholar] [CrossRef]
- Pérez-Navarrete, C.; González, R.; Chel-Guerrero, L.; Betancur-Azcon, D. Effect of extrusion on nutritional quality of maize and Lima bean flour blends. J. Sci. Food Agric. 2006, 86, 2477–2484. [Google Scholar] [CrossRef]
- Martínez, B.F.; Figueroa, J.D.C.; Larios, S.A. High lysine extruded products of quality protein maize. J. Sci. Food Agric. 1996, 71, 151–155. [Google Scholar] [CrossRef]
- Martens, B.M.J.; Gerrits, W.J.J.; Bruininx, E.M.A.M.; Schols, H.A. Amylopectin structure and crystallinity explains variation in digestion kinetics of starches across botanic sources in an in vitro pig model. J. Anim. Sci. Biotechnol. 2018, 9, 91. [Google Scholar] [CrossRef]
- Philipp, C.; Buckow, R.; Silcock, P.; Oey, I. Instrumental and sensory properties of pea protein-fortified extruded rice snacks. Food Res. Int. 2017, 102, 658–665. [Google Scholar] [CrossRef] [PubMed]
- Chaiyakul, S.; Jangchud, K.; Jangchud, A.; Wuttijumnong, P.; Winger, R. Effect of extrusion conditions on physical and chemical properties of high protein glutinous rice-based snack. LWT Food Sci. Technol. 2009, 42, 781–787. [Google Scholar] [CrossRef]
- Shevkani, K.; Singh, N.; Kaur, A.; Rana, J.C. Physicochemical, pasting, and functional properties of amaranth seed flours: Effects of lipids removal. J. Food Sci. 2014, 79, C1271–C1277. [Google Scholar] [CrossRef] [PubMed]
- Frias, J.; Giacomino, S.; Peñas, E.; Pellegrino, N.; Ferreyra, V.; Apro, N.; Carrión, M.O.; Vidal-Valverde, C. Assessment of the nutritional quality of raw and extruded Pisum sativum L. var. laguna seeds. LWT Food Sci. Technol. 2011, 44, 1303–1308. [Google Scholar] [CrossRef]
- Jan, R.; Saxena, D.C.; Singh, S. Effect of extrusion variables on antioxidant activity, total phenolic content and dietary fibre content of gluten-free extrudate from germinated Chenopodium (Chenopodium album) flour. Int. J. Food Sci. Technol. 2017, 52, 2623–2630. [Google Scholar] [CrossRef]
- Martín-Cabrejas, M.A.; Jaime, L.; Karanja, C.; Downie, A.J.; Parker, M.L.; Lopez-Andreu, F.J.; Maina, G.; Esteban, R.M.; Smith, A.C.; Waldron, K.W. Modifications to physicochemical and nutritional properties of hard-To-cook beans (Phaseolus vulgaris L.) by extrusion cooking. J. Agric. Food Chem. 1999, 47, 1174–1182. [Google Scholar] [CrossRef]
- Tijskens, L.M.M.; Greiner, R.; Biekman, E.S.A.; Konietzny, U. Modeling the effect of temperature and pH on activity of enzymes: The case of phytases. Biotechnol. Bioeng. 1997, 72, 323–330. [Google Scholar] [CrossRef]
- Egli, I.; Davidsson, L.; Juillerat, M.A.; Barclay, D.; Hurrell, R. Phytic acid degradation in complementary foods using phytase naturally occurring in whole grain cereals. J. Food Sci. 2003, 68, 1855–1859. [Google Scholar] [CrossRef]
- Albarracín, M.; González, R.; Drago, S.R. Soaking and extrusion effects on physicochemical parameters, phytic acid, nutrient content and mineral bio-accessibility of whole rice grain. Int. J. Food Sci. Nutr. 2015, 66, 210–215. [Google Scholar] [CrossRef] [PubMed]
- Coulibaly, A.; Kouakou, B.; Chen, J. Phytic acid in cereal grains: Structure, healthy or harmful ways to reduce phytic acid in cereal grains and their effects on nutritional quality. Am. J. Plant Nutr. Fertil. Technol. 2011, 1, 1–22. [Google Scholar] [CrossRef]
- Martínez, M.; Oliete, B.; Gómez, M. Effect of the addition of extruded wheat flours on dough rheology and bread quality. J. Cereal Sci. 2013, 57, 424–429. [Google Scholar] [CrossRef]
- Wojtowicz, A.; Moscicki, L. Effect of wheat bran addition and screw speed on microstructure and textural characteristics of common wheat precooked pasta-like products. Pol. J. Food Nutr. Sci. 2011, 61, 101–107. [Google Scholar] [CrossRef]
- Lei, H.; Ruan, R.; Fulcher, R.G.; van Lengerich, B. Color development in an extrusion-cooked model system. Int. J. Agric. Biol. Eng. 2009, 1, 55–63. [Google Scholar]
- Ilo, S.; Berghofer, E. Kinetics of colour changes during extrusion cooking of maize grits. J. Food Eng. 1999, 39, 73–80. [Google Scholar] [CrossRef]
- Chakraborty, S.K.; Singh, D.S.; Kumbhar, B.K. Influence of extrusion conditions on the color of millet-legume extrudates using digital imagery. Ir. J. Agric. Food Res. 2014, 53, 65–74. [Google Scholar]
- Cueto, M.; Farroni, A.; Schoenlechner, R.; Schleining, G.; Buera, P. Carotenoid and color changes in traditionally flaked and extruded products. Food Chem. 2017, 229, 640–645. [Google Scholar] [CrossRef]
- Nisha, P.; Singhal, R.S.; Pandit, A.B. A study on the degradation kinetics of visual green colour in spinach (Spinacea oleracea L.) and the effect of salt therein. J. Food Eng. 2004, 64, 135–142. [Google Scholar] [CrossRef]
- Zhang, R.; Huang, L.; Deng, Y.; Chi, J.; Zhang, Y.; Wei, Z.; Zhang, M. Phenolic content and antioxidant activity of eight representative sweet corn varieties grown in South China. Int. J. Food Prop. 2017, 20, 3043–3055. [Google Scholar] [CrossRef]
- Thanuja, B.; Parimalavalli, R. Comparison of antioxidant compounds and antioxidant activity of native and dual modified rice flour. Int. J. Pharm. Sci. Res. 2020, 11, 1203–1209. [Google Scholar] [CrossRef]
- Kalogeropoulos, N.; Chiou, A.; Ioannou, M.; Karathanos, V.T.; Hassapidou, M.; Andrikopoulos, N.K. Nutritional evaluation and bioactive microconstituents (phytosterols, tocopherols, polyphenols, triterpenic acids) in cooked dry legumes usually consumed in the Mediterranean countries. Food Chem. 2010, 121, 682–690. [Google Scholar] [CrossRef]
- Morales, P.; Cebadera-Miranda, L.; Cámara, R.M.; Reis, F.S.; Barros, L.; Berrios, J.D.J.; Ferreira, I.C.F.R.; Cámara, M. Lentil flour formulations to develop new snack-type products by extrusion processing: Phytochemicals and antioxidant capacity. J. Funct. Foods 2015, 19, 537–544. [Google Scholar] [CrossRef]
- Han, H.; Baik, B. Antioxidant activity and phenolic content of lentils (Lens culinaris), chickpeas (Cicer arietinum L.), peas (Pisum sativum L.) and soybeans (Glycine max), and their quantitative changes during processing. Int. J. Food Sci. Technol. 2008, 43, 1971–1978. [Google Scholar] [CrossRef]
- Amor, B.B.; Lamy, C.; Andre, P.J.M.; Allaf, K. Effect of instant controlled pressure drop treatments on the oligosaccharides extractability and microstructure of Tephrosia purpurea seeds. J. Chromatogr. A 2008, 1213, 118–124. [Google Scholar] [CrossRef]
- Clerici, M.T.P.S. Physical and/or chemical modifications of starch by thermoplastic extrusion. In Thermoplastic Elastomers; El-Sonbati, A., Ed.; InTech Open: London, UK, 2012. [Google Scholar]
- Korus, J.; Gumul, D.; Czechowska, K. Effect of Extrusion on the Phenolic Composition and Antioxidant Activity of Dry Beans of Phaseolus vulgaris L. Food Technol. Biotechnol. 2007, 45, 139–146. [Google Scholar]
- Lindenmeier, M.; Faist, V.; Hofmann, T. Structural and functional characterization of pronyl-lysine, a novel protein modification in bread crust melanoidins showing in vitro antioxidative and phase I/II enzyme modulating activity. J. Agric. Food Chem. 2002, 50, 6997–7006. [Google Scholar] [CrossRef]
- Alonso, R.; Rubio, L.A.; Muzquiz, M.; Marzo, F. The effect of extrusion cooking on mineral bioavailability in pea and kidney bean seed meals. Anim. Feed. Sci. Technol. 2001, 94, 1–13. [Google Scholar] [CrossRef]
- Repo-Carrasco-Valencia, R.; Peña, J.; Kallio, H.; Salminen, S. Dietary fibre and other functional components in two varieties of crude and extruded kiwicha (Amaranthus caudatus). J. Cereal Sci. 2009, 49, 219–224. [Google Scholar] [CrossRef]
- Yeo, J.; Shahidi, F. Effect of hydrothermal processing on changes of insoluble-bound phenolics of lentils. J. Funct. Foods 2017, 38, 716–722. [Google Scholar] [CrossRef]
- Espinoza-Moreno, R.J.; Reyes-Moreno, C.; Milán-Carrillo, J.; López-Valenzuela, J.A.; Paredes-López, O.; Gutiérrez-Dorado, R. Healthy ready-to-eat expanded snack with high nutritional and antioxidant value produced from whole amarantin transgenic maize and black common bean. Plant Foods Hum. Nutr. 2016, 71, 218–224. [Google Scholar] [CrossRef]
- Ciudad-Mulero, M.; Barros, L.; Fernandes, A.; Berrios, J.J.; Cámara, M.; Morales, P.; Fernández-Ruiz, V.; Ferreira, I.C.F.R. Bioactive compounds and antioxidant capacity of extruded snack-type products developed from novel formulations of lentil and nutritional yeast flours. Food Funct. 2018, 9, 819–829. [Google Scholar] [CrossRef] [PubMed]
- Arribas, C.; Cabellos, B.; Cuadrado, C.; Guillamón, E.; Pedrosa, M.M. The effect of extrusion on the bioactive compounds and antioxidant capacity of novel gluten-free expanded products based on carob fruit, pea and rice blends. Innov. Food Sci. Emerg. Technol. 2019, 52, 100–107. [Google Scholar] [CrossRef]
- Cämmerer, B.; Jalyschko, W.; Kroh, L.W. Intact Carbohydrate Structures as Part of the Melanoidin Skeleton. J. Agric. Food Chem. 2002, 50, 2083–2087. [Google Scholar] [CrossRef] [PubMed]
- Delgado-Andrade, C.; Rufián-Henares, J.A.; Morales, F.J. Assessing the Antioxidant Activity of Melanoidins from Coffee Brews by Different Antioxidant Methods. J. Agric. Food Chem. 2005, 53, 7832–7836. [Google Scholar] [CrossRef] [PubMed]
- Yang, L.; Zhang, H.; Cheng, L.; Gu, Z.; Hua, D.; Qi, X.; Qian, H.; Wang, L. Effect of Extrusion on the Hydrophilic Antioxidant Capacity of Four Whole Grains. J. Food Nutr. Res. 2014, 2, 80–87. [Google Scholar] [CrossRef][Green Version]
- Dogan, E.; Gokmen, V. Antioxidants bound to an insoluble food matrix: Their analysis, regeneration behavior, and physiological importance. Compr. Rev. Food Sci. Food Saf. 2017, 16, 382–399. [Google Scholar]
- Ogundele, O.M.; Minnaar, A.; Emmambux, M.N. Effects of micronisation and dehulling of pre-soaked bambara groundnut seeds on microstructure and functionality of the resulting flours. Food Chem. 2017, 214, 655–663. [Google Scholar] [CrossRef]
- Shih, M.C.; Kuo, C.C.; Chiang, W. Effects of drying and extrusion on colour, chemical composition, antioxidant activities and mitogenic response of spleen lymphocytes of sweet potatoes. Food Chem. 2009, 117, 114–121. [Google Scholar] [CrossRef]
- Alsaffar, A.A. Effect of food processing on the resistant starch content of cereals and cereal products—A review. Int. J. Food Sci. Technol. 2011, 46, 455–462. [Google Scholar] [CrossRef]
- Jane, J.-L.; Kasemsuwan, T.; Leas, S.; Zobel, H.; Robyt, J.F. Anthology of Starch Granule Morphology by Scanning Electron Microscopy. Starch-Stärke 1994, 46, 121–129. [Google Scholar] [CrossRef]
- Aguilera, Y.; Esteban, R.; Benítez, V.; Mollá, E.; Martín-Cabrejas, M. Starch, functional properties, and microstructural characteristics in chickpea and lentil as affected by thermal processing. J. Agric. Food Chem. 2009, 57, 10682–10688. [Google Scholar] [CrossRef]
- Sotomayor, C.; Frías, J.; Vidal-Valverde, C.; Fornal, J.; Sadowska, J.; Urbano, G. Lentil starch content and its microscopical structure as influenced by natural fermentation. Starch-Stärke 1999, 51, 152–156. [Google Scholar] [CrossRef]
- Narayana, K.; Narasiga, R. Functional properties of raw and heat processed winged bean (Psopocarpus tetragonolobus) flour. J. Food Sci. 1982, 47, 1534–1538. [Google Scholar] [CrossRef]
- Sangnark, A.; Noomhorm, A. Effect of particle sizes on functional properties of dietary fibre prepared from sugarcane bagasse. Food Chem. 2003, 80, 221–229. [Google Scholar] [CrossRef]
- Kuhnen, S.; Lemos, P.M.M.; Campestrini, L.H.; Ogliari, J.B.; Dias, P.F.; Maraschin, M. Carotenoid and anthocyanin contents of grains of Brazilian maize landraces. J. Sci. Food Agric. 2011, 91, 1548–1553. [Google Scholar] [CrossRef]
- Blanch, G.P.; Del Castillo, M.L.R. Effect of Baking Temperature on the Phenolic Content and Antioxidant Activity of Black Corn (Zea mays L.) Bread. Foods 2021, 10, 1202. [Google Scholar] [CrossRef]
- Oboh, G.; Ademiluyi, A.; Akindahunsi, A. The effect of roasting on the nutritional and antioxidant properties of yellow and white maize varieties. Int. J. Food Sci. Technol. 2010, 45, 1236–1242. [Google Scholar] [CrossRef]
- AOAC. Methods 990.03, 2003.05, 985.29 & 923.03. In Official Methods of Analysis of AOAC International, 18th ed.; AOAC: Gaithersburg, MD, USA, 2005. [Google Scholar]
- Rasband, W.S. ImageJ, U.S. National Institutes of Health, Bethesda, Maryland, USA. 1997–2018. Available online: https://imagej.nih.gov/ij/ (accessed on 13 August 2021).
- Slinkard, K.; Singleton, V.L. Total phenol analyses: Automation and comparison with manual methods. Am. J. Enol. Viticult. 1977, 28, 49–55. [Google Scholar]
- Brand-Williams, W.; Cuvelier, M.E.; Berset, C. Use of a free radical method to evaluate antioxidant activity. Lebensm. Wiss. Technol. 1995, 28, 25–30. [Google Scholar] [CrossRef]
- Serpen, A.; Capuano, E.; Fogliano, V.; Gökmen, V. A new procedure to measure the antioxidant activity of insoluble food components. J. Agric. Food Chem. 2007, 55, 7676–7681. [Google Scholar] [CrossRef] [PubMed]
- Ou, B.; Hampsch-Woodill, M.; Prior, R.L. Development and validation of an improved oxygen radical absorbance capacity assay using fluorescein as the fluorescent probe. J. Agric. Food Chem. 2001, 49, 4619–4626. [Google Scholar] [CrossRef]
- Miller, N.J.; Rice-Evans, C.A. Factors influencing the antioxidant activity determined by the ABTS•+. radical cation assay. Free Radic. Res. 1997, 26, 195–199. [Google Scholar] [CrossRef] [PubMed]
- Martin-Diana, A.B.; Izquierdo, N.; Albertos, I.; Sanchez, M.S.; Herrero, A.; Sanz, M.A.; Rico, D. Valorization of Carob’s germ and seed peel as natural antioxidant ingredients in gluten-free crackers. J. Food Process. Preserv. 2017, 41, e12770. [Google Scholar] [CrossRef]
- Pereira, J.A.; Oliveira, I.; Sousa, A.; Ferreira, C.F.R.; Bento, A.; Estevinho, L. Bioactive properties and chemical composition of six walnut (Juglans regia L.) cultivars. Food Chem. Toxicol. 2008, 46, 2103–2111. [Google Scholar] [CrossRef]
- Gularte, M.; Rosell, C. Physicochemical properties and enzymatic hydrolysis of different starches in the presence of hydrocolloids. Carbohydr. Polym. 2011, 85, 237–244. [Google Scholar] [CrossRef]
- Granfeldt, Y. Foods Factors Affecting Metabolic Responses to Cereal Products. Ph.D. Thesis, University of Lund, Lund, Sweden, 1994. [Google Scholar]






| PROXIMATE COMPOSITION (g 100 g−1 Dry Matter) | |||||||
|---|---|---|---|---|---|---|---|
| FLOUR | Ash | Fat | Moisture | Protein | Carbohydrates | Fibre | Phytic Acid |
| cf | 1.5 ± 0.00 b | 0.86 ± 0.02 f | 13.64 ± 0.16 j | 5.81 ± 0.01 a | 78.19 ± 0.13 f | 4.05 ± 0.49 a | 0.01 ± 0.06 abc |
| rf | 0.53 ± 0.00 a | 0.86 ± 0.00 f | 12.42 ± 0.00 i | 7.56 ± 0.00 e | 78.63 ± 0.00 f | 1.65 ± 0.00 a | 0.23 ± 0.01 de |
| lf | 2.17 ± 0.01 c | 1.42 ± 0.11 h | 9.75 ± 0.06 c | 24.54 ± 0.13 k | 62.13 ± 0.17 a | 15.05 ± 2.19 c | 0.57 ± 0.29 f |
| 110°Cecf | 0.28 ± 0.00 a | 0.32 ± 0.00 d | 11.14 ± 0.00 gh | 5.73 ± 0.00 a | 82.53 ± 0.00 h | 2.10 ± 0.00 a | 0.06 ± 0.02 ab |
| 120°Cecf | 0.32 ± 0.00 a | 1.11 ± 0.00 g | 10.54 ± 0.00 ef | 5.82 ± 0.00 a | 82.21 ± 0.00 h | 2.17 ± 0.00 a | 0.05 ± 0.02 a |
| 130°Cecf | 1.5 ± 0.00 b | 0.50 ± 0.00 e | 10.80 ± 0.11 efg | 6.20 ± 0.01 b | 81.00 ± 0.13 g | 2.15 ± 0.35 a | 0.08 ± 0.06 ab |
| 110°Cerf | 0.66 ± 0.02 a | 0.10 ± 0.07 ab | 15.04 ± 0.25 k | 6.88 ± 0.09 c | 77.32 ± 0.30 e | 22.25 ± 5.89 c | 0.30 ± 0.03 de |
| 120°Cerf | 0.60 ± 0.08 a | 0.02 ± 0.01 a | 11.01 ± 0.32 fgh | 7.10 ± 0.05 d | 81.28 ± 0.19 d | 20.14 ± 4.96 c | 0.28 ± 0.06 de |
| 130°Cerf | 1.50 ± 0.00 b | 0.50 ± 0.00 e | 8.89 ± 0.10 b | 7.85 ± 0.05 f | 81.27 ± 0.05 g | 19.0 ± 0.00 c | 0.26 ± 0.10 de |
| 110°Celcf50% | 1.28 ± 0.00 b | 0.16 ± 0.00 bc | 11.44 ± 0.00 h | 15.19 ± 0.00 g | 71.93 ± 0.00 c | 22.70 ± 0.00 c | 0.23 ± 0.02 cde |
| 120°Celcf50% | 1.31 ± 0.00 b | 0.29 ± 0.00 cd | 11.40 ± 0.00 h | 15.13 ± 0.00 g | 71.87 ± 0.00 c | 14.91 ± 0.00 bc | 0.19 ± 0.02 bcd |
| 130°Celcf50% | 1.90 ± 0.21 c | 0.50 ± 0.00 e | 10.06 ± 0.03 cd | 15.82 ± 0.09 h | 71.73 ± 0.15 d | 4.95 ± 4.60 a | 0.22 ± 0.02 cde |
| 110°Celrf50% | 1.43 ± 0.00 b | 0.34 ± 0.00 d | 11.24 ± 0.00 gh | 16.13 ± 0.00 i | 70.86 ± 0.00 b | 15.87 ± 0.00 bc | 0.35 ± 0.05 e |
| 120°Celrf50% | 1.43 ± 0.00 b | 0.38 ± 0.00 de | 10.50 ± 0.00 de | 16.25 ± 0.00 i | 71.44 ± 0.00 bc | 15.21 ± 0.00 bc | 0.38 ± 0.06 e |
| 130°Celrf50% | 2.08 ± 0.38 c | 0.50 ± 0.00 he | 7.15 ± 0.06 a | 17.10 ± 0.05 j | 73.18 ± 0.38 d | 6.75 ± 0.49 ab | 0.28 ± 0.10 de |
| p-Value | 0.00 | 0.00 | 0.00 | 0.00 | 0.00 | 0.00 | 0.00 |
| FLOUR | L* | a* | b* | Hue | Chroma |
|---|---|---|---|---|---|
| cf | 72.52 ± 3.69 ghi | 8.32 ± 0.46 i | 34.04 ± 2.32 j | 1.33 ± 0.02 a | 35.05 ± 2.28 i |
| rf | 84.06 ± 5.06 j | 0.52 ± 0.21 a | 6.03 ± 0.54 a | 1.49 ± 0.03 g | 6.05 ± 0.55 a |
| lf | 74.23 ± 6.96 efg | 0.97 ± 0.30 b | 16.23 ± 1.74 ef | 1.51 ± 0.02 h | 16.27 ± 1.72 e |
| 110°Cecf | 83.14 ± 4.19 j | 3.02 ± 0.48 g | 22.62 ± 1.13 h | 1.44 ± 0.02 e | 22.83 ± 1.17 g |
| 120°Cecf | 82.43 ± 4.89 j | 3.35 ± 0.23 h | 25.08 ± 1.31 i | 1.44 ± 0.01 e | 25.30 ± 1.28 h |
| 130°Cecf | 52.24 ± 6.22 d | 2.75 ± 0.66 ef | 17.63 ± 3.83 g | 1.42 ± 0.01 d | 17.85 ± 3.88 f |
| 110°Cerf | 73.23 ± 5.56 ef | 0.92 ± 0.14 b | 7.40 ± 0.31 bc | 1.45 ± 0.02 ef | 7.46 ± 0.31 bc |
| 120°Cerf | 82.65 ± 6.20 j | 0.65 ± 0.23 a | 7.90 ± 0.33 bc | 1.49 ± 0.03 g | 7.93 ± 0.33 bc |
| 130°Cerf | 32.64 ± 1.52 b | 1.03 ± 0.09 b | 8.51 ± 0.53 c | 1.45 ± 0.01 f | 8.57 ± 0.54 c |
| 110°Celcf50% | 78.43 ± 1.34 i | 2.76 ± 0.14 ef | 16.23 ± 0.82 e | 1.40 ± 0.01 c | 16.46 ± 0.82 e |
| 120°Celcf50% | 77.87 ± 1.21 hi | 2.92 ± 0.15 fg | 17.38 ± 0.69 d | 1.40 ± 0.01 c | 17.63 ± 0.69 f |
| 130°Celcf50% | 41.70 ± 9.51 c | 2.23 ± 0.61 hd | 13.55 ± 4.07 d | 1.41 ± 0.02 cd | 13.73 ± 4.10 d |
| 110°Celrf50% | 70.87 ± 7.10 e | 2.62 ± 0.17 e | 13.16 ± 0.92 d | 1.37 ± 0.02 b | 13.42 ± 0.91 d |
| 120°Celrf50% | 76.85 ± 2.85 hi | 2.36 ± 0.13 d | 13.67 ± 0.44 d | 1.40 ± 0.01 c | 13.87 ± 0.44 d |
| 130°Celrf50% | 26.83 ± 1.21 a | 1.35 ± 0.34 c | 6.84 ± 1.10 ab | 1.38 ± 0.02 b | 6.97 ± 1.14 ab |
| p-Value | 0.00 | 0.00 | 0.00 | 0.00 | 0.00 |
| Direct Antioxidant Properties (Direct Method) | ||
|---|---|---|
| FLOUR | Q-DPPH (µmol Eq. Trolox 100 g−1 Dry Matter) | Q-ABTS•+ (µmol Eq. Trolox 100 g−1 Dry Matter) |
| cf | 489.40 ± 153.80 e | 1340.86 ± 210.15 e |
| rf | 65.51 ± 8.16 a | 819.98 ± 138.39 ab |
| lf | 2100.23 ± 23.96 i | 18,844.60 ± 45.22 k |
| 110°Cecf | 104.39 ± 8.36 ab | 1140.03 ± 362.53 de |
| 120°Cecf | 86.15 ± 8.01 ab | 968.35 ± 6.93 bcd |
| 130°Cecf | 194.28 ± 18.59 c | 694.884 ± 42.83 a |
| 110°Cerf | 38.95 ± 23.62 a | 1048.79 ± 136.88 cd |
| 120°Cerf | 52.73 ± 3.55 ab | 893.36 ± 65.19 abc |
| 130°Cerf | 160.25 ± 0.93 bc | 1364.49 ± 81.78 e |
| 110°Celcf50% | 832.85 ± 17.52 bc | 7543.15 ± 65.32 h |
| 120°Celcf50% | 860.09 ± 80.91 f | 5303.76 ± 13,25 g |
| 130°Celcf50% | 1279.67 ± 43.64 h | 8241.97 ± 124.45 i |
| 110°Celrf50% | 324.25 ± 23.88 d | 8228.12 ± 215.19 i |
| 120°Celrf50% | 753.99 ± 30.85 f | 3754.26 ± 88.50 f |
| 130°Celrf50% | 959.12 ± 71.57 g | 9876.41 ± 65.90 j |
| p-Value | 0.00 | 0.00 |
| PROXIMATE COMPOSITION (g 100 g−1) | |||
|---|---|---|---|
| 130°Celcf15% | 130°Celcf50% | p-Value | |
| Moisture | 5.00 ± 0.00 a | 10.06 ± 0.03 b | 0.00 |
| Protein | 9.13 ± 0.00 a | 15.82 ± 0.09 b | 0.00 |
| Fat | 1.29 ± 0.14 b | 0.5 ± 0.00 a | 0.00 |
| Carbohydrate | 83.08 ± 0.14 b | 71.70 ± 0.14 a | 0.00 |
| Ash | 1.50 ± 0.00 a | 1.90 ± 0.21 b | 0.01 |
| Fibre | 4.20 ± 0.00 a | 8.20 ± 0.00 b | 0.05 |
| Phytic acid * | 0.09 ± 0.00 a | 0.23 ± 0.03 b | 0.00 |
| FLOUR | TP (mg GAE 100 g−1) | ORAC (µmol Eq. Trolox 100 g−1) | FRAP (mmol Fe Reduced 100 g−1) | ABTS•+ (µmol Eq. Trolox 100 g−1) | DPPH (µmol Eq. T rolox 100 g−1) | Q-ABTS•+ (µmol Eq. Trolox 100 g−1) | Q-DPPH (µmol Eq. Trolox 100 g−1) |
|---|---|---|---|---|---|---|---|
| 130°Celcf15% | 61.90 ± 2.00 a | 1694.66 ± 202.83 a | 7.76 ± 0.11 a | 3504.22 ± 365.78 a | 638.50 ± 33.81 a | 7590.42 ± 481.87 a | 297.44 ± 3 18 a |
| 130°Celcf50% | 110.58 ± 3.35 b | 5039.33 ± 274.37 b | 13.37 ± 2.88 b | 2936.35 ± 272.85 a | 2455.97 ± 286.92 b | 8241.97 ± 124.45 b | 1279.67 ± 43.64 b |
| SAMPLE | ||
|---|---|---|
| 130°Celcf15% | 130°Celcm15% | |
| TP | 61.90 ± 2.00 b | 30.26 ± 1.34 a |
| ORAC | 1694.66 ± 202.83 b | 637.97 ± 75.72 a |
| FRAP | 7.76 ± 0.12 a | 6.85 ± 0.89 a |
| ABTS | 3504.22 ± 365.78 b | 752.67 ± 118.50 a |
| DPPH | 638.50 ± 33.81 b | 228.48 ± 28.80 a |
| Q-ABTS | 7590.42 ± 481.87 b | 1113.14 ± 427.53 a |
Publisher’s Note: MDPI stays neutral with regard to jurisdictional claims in published maps and institutional affiliations. |
© 2021 by the authors. Licensee MDPI, Basel, Switzerland. This article is an open access article distributed under the terms and conditions of the Creative Commons Attribution (CC BY) license (https://creativecommons.org/licenses/by/4.0/).
Share and Cite
Rico, D.; Cano, A.B.; Martín-Diana, A.B. Pulse-Cereal Blend Extrusion for Improving the Antioxidant Properties of a Gluten-Free Flour. Molecules 2021, 26, 5578. https://doi.org/10.3390/molecules26185578
Rico D, Cano AB, Martín-Diana AB. Pulse-Cereal Blend Extrusion for Improving the Antioxidant Properties of a Gluten-Free Flour. Molecules. 2021; 26(18):5578. https://doi.org/10.3390/molecules26185578
Chicago/Turabian StyleRico, Daniel, Ana Belén Cano, and Ana Belén Martín-Diana. 2021. "Pulse-Cereal Blend Extrusion for Improving the Antioxidant Properties of a Gluten-Free Flour" Molecules 26, no. 18: 5578. https://doi.org/10.3390/molecules26185578
APA StyleRico, D., Cano, A. B., & Martín-Diana, A. B. (2021). Pulse-Cereal Blend Extrusion for Improving the Antioxidant Properties of a Gluten-Free Flour. Molecules, 26(18), 5578. https://doi.org/10.3390/molecules26185578

