Macathiohydantoin L, a Novel Thiohydantoin Bearing a Thioxohexahydroimidazo [1,5-a] Pyridine Moiety from Maca (Lepidium meyenii Walp.)
Abstract
:1. Introduction
2. Results and Discussion
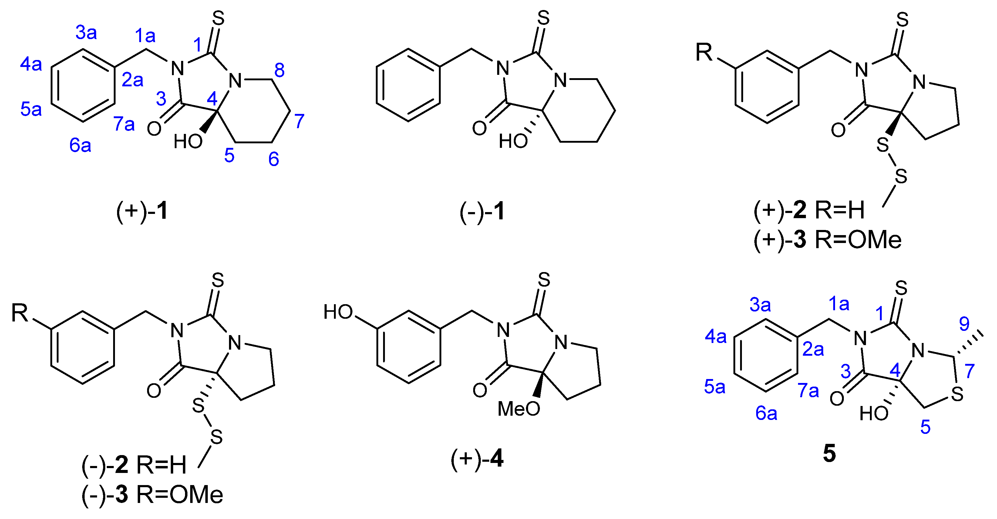
2.1. Structure Determination of Macathiohydantoin L (1)
2.2. Structure Determination of Macathiohydantoin M (2)
2.3. Structure Determination of Macathiohydantoin N (3)
2.4. Structure Determination of Macathiohydantoin O (4)
2.5. Structure Determination of (+)-Meyeniin D (5)
2.6. Neuroprotective Activities of Selected Compounds
3. Materials and Methods
3.1. General Experimental Procedures
3.2. Plant Material
3.3. Plant Material Extraction and Isolation
3.3.1. Macathiohydantoin L (1)
3.3.2. Macathiohydantoin M (2)
3.3.3. Macathiohydantoin N (3)
3.3.4. Macathiohydantoin O (4)
3.3.5. (+)-Meyeniin D (5)
3.4. Cell Culture and Cell Viability Assays
4. Conclusions
Supplementary Materials
Author Contributions
Funding
Institutional Review Board Statement
Informed Consent Statement
Data Availability Statement
Acknowledgments
Conflicts of Interest
Sample Availability
References
- Cho, S.; Kim, S.H.; Shin, D. Recent applications of hydantoin and thiohydantoin in medicinal chemistry. Eur. J. Med. Chem. 2019, 164, 517–545. [Google Scholar] [CrossRef] [PubMed]
- Blanc, M.; Cussac, M.; Boucherle, A.; Leclerc, G. Synthesis and immunomodulating activity of 1-amino-2-thiohydantoin derivatives. Eur. J. Med. Chem. 1992, 27, 839–843. [Google Scholar] [CrossRef]
- Majumdar, P.; Bathula, C.; Basu, S.M.; Das, S.K.; Agarwal, R.; Hati, S.; Singh, A.; Sen, S.; Das, B.B. Design, synthesis and evaluation of thiohydantoin derivatives as potent topoisomerase I (Top1) inhibitors with anticancer activity. Eur. J. Med. Chem. 2015, 102, 540–551. [Google Scholar] [CrossRef] [PubMed]
- Xu, X.; Ge, R.L.; Li, L.; Wang, J.B.; Lu, X.Y.; Xue, S.Q.; Chen, X.J.; Li, Z.Y.; Bian, J.L. Exploring the tetrahydroisoquinoline thiohydantoin scaffold blockade the androgen receptor as potent anti-prostate cancer agents. Eur. J. Med. Chem. 2018, 143, 1325–1344. [Google Scholar] [CrossRef]
- Peres, N.S.L.; Bortoluzzi, L.C.P.; Marques, L.L.M.; Formigoni, M.; Fuchs, R.H.B.; Droval, A.A.; Cardoso, F.A.R. Medicinal effects of Peruvian maca (Lepidium meyenii): A review. Food Funct. 2020, 11, 83–92. [Google Scholar] [CrossRef]
- Cheng, C.J.; Shen, F.K.; Ding, G.Y.; Liu, A.N.; Chu, S.M.; Ma, Y.J.; Hou, X.T.; Hao, E.W.; Wang, X.Y.; Hou, Y.Y.; et al. Lepidiline A improves the balance of endogenous sex hormones and increases fecundity by targeting HSD17B1. Mol. Nutr. Food Res. 2020, 64, 1900706. [Google Scholar] [CrossRef]
- Zha, S.H.; Zhao, Q.S.; Chen, J.J.; Wang, L.W.; Zhang, G.F.; Zhang, H.; Zhao, B. Extraction, purification and antioxidant activities of the polysaccharides from maca (Lepidium meyenii). Carbohydr. Polym. 2014, 111, 584–587. [Google Scholar] [CrossRef]
- Zhang, Y.Z.; Yu, L.J.; Ao, M.Z.; Jin, W.W. Effect of ethanol extract of Lepidium meyenii Walp. on osteoporosis in ovariectomized rat. J. Ethnopharmacol. 2006, 105, 274–279. [Google Scholar] [CrossRef]
- Nguyen, D.; Pino-Figueroa, A.; Maher, T.J. In vitro evaluation of the neuroprotective effects of Lepidium meyenii (maca) in crayfish neuronal and rat neuroblastoma cell lines. FASEB J. 2009, 23, 77–85. [Google Scholar] [CrossRef]
- Wu, H.; Kelley, C.J.; Pino-Figueroa, A.; Vu, H.D.; Maher, T.J. Macamides and their synthetic analogs: Evaluation of in vitro FAAH inhibition. Biorg. Med. Chem. 2013, 21, 5188–5197. [Google Scholar] [CrossRef]
- Pino-Figueroa, A.; Nguyen, D.; Maher, T.J. Neuroprotective effects of Lepidium meyenii (Maca). Neuroprot. Agents 2010, 1199, 77–85. [Google Scholar] [CrossRef]
- Zhou, Y.Y.; Li, P.; Brantner, A.; Wang, H.J.; Shu, X.; Yang, J.; Si, N.; Han, L.Y.; Zhao, H.Y.; Bian, B.L. Chemical profiling analysis of Maca using UHPLC-ESI-Orbitrap MS coupled with UHPLC-ESI-QqQ MS and the neuroprotective study on its active ingredients. Sci. Rep. 2017, 7, 44660. [Google Scholar] [CrossRef] [PubMed] [Green Version]
- Dini, I.; Tenore, G.C.; Dini, A. Glucosinolates from Maca (Lepidium meyenii). Biochem. Syst. Ecol. 2002, 30, 1087–1090. [Google Scholar] [CrossRef]
- Clement, C.; Diaz Grados, D.A.; Avula, B.; Khan, I.A.; Mayer, A.C.; Ponce Aguirre, D.D.; Manrique, I.; Kreuzer, M. Influence of colour type and previous cultivation on secondary metabolites in hypocotyls and leaves of maca (Lepidium meyenii Walpers). J. Sci. Food Agric. 2010, 90, 861–869. [Google Scholar] [CrossRef]
- Meissner, H.O.; Mscisz, A.; Mrozikiewicz, M.; Baraniak, M.; Mielcarek, S.; Kedzia, B.; Piatkowska, E.; Jolkowska, J.; Pisulewski, P. Peruvian Maca (Lepidium peruvianum): (I) Phytochemical and Genetic Differences in Three Maca Phenotypes. Int. J. Biomed. Sci. 2015, 11, 131–145. [Google Scholar] [PubMed]
- Chain, F.E.; Florencia Ladetto, M.; Grau, A.; Catalan, C.A.N. Antonia Brandan, S. Structural, electronic, topological and vibrational properties of a series of N-benzylamides derived from Maca (Lepidium meyenii) combining spectroscopic studies with ONION calculations. J. Mol. Struct. 2016, 1105, 403–414. [Google Scholar] [CrossRef]
- Ye, Y.Q.; Ma, Z.H.; Yang, Q.F.; Sun, Y.Q.; Zhang, R.Q.; Wu, R.F.; Ren, X.; Mu, L.J.; Jiang, Z.Y.; Zhou, M. Isolation and synthesis of a new benzylated alkamide from the roots of Lepidium meyenii. Nat. Prod. Res. 2019, 33, 2731–2737. [Google Scholar] [CrossRef]
- Zheng, Y.; Zhang, W.C.; Wu, Z.Y.; Fu, C.X.; Hui, A.L.; Gao, H.; Chen, P.P.; Du, B.; Zhang, H.W. Two macamide extracts relieve physical fatigue by attenuating muscle damage in mice. J. Sci. Food Agric. 2019, 99, 1405–1412. [Google Scholar] [CrossRef]
- Xia, C.; Chen, J.; Deng, J.L.; Zhu, Y.Q.; Li, W.Y.; Jie, B.; Chen, T.Y. Novel macamides from maca (Lepidium meyenii Walpers) root and their cytotoxicity. Phytochem. Lett. 2018, 25, 65–69. [Google Scholar] [CrossRef]
- Qiu, C.; Zhu, T.; Lan, L.; Zeng, Q.; Du, Z. Analysis of Maceaene and Macamide Contents of Petroleum Ether Extract of Black, Yellow, and Purple Lepidium Meyenii (Maca) and Their Antioxidant Effect on Diabetes Mellitus Rat Model. Braz. Arch. Biol. Technol. 2016, 59. [Google Scholar] [CrossRef] [Green Version]
- Huang, Y.J.; Peng, X.R.; Qiu, M.H. Progress on the Chemical Constituents Derived from Glucosinolates in Maca (Lepidium meyenii). Nat. Prod. Bioprospect. 2018, 8, 405–412. [Google Scholar] [CrossRef] [Green Version]
- Zhou, M.; Zhang, R.Q.; Chen, Y.-J.; Liao, L.M.; Sun, Y.-Q.; Ma, Z.H.; Yang, Q.-F.; Li, P.; Ye, Y.Q.; Hu, Q.-F. Three new pyrrole alkaloids from the roots of Lepidium meyenii. Phytochem. Lett. 2018, 23, 137–140. [Google Scholar] [CrossRef]
- Yang, S.; Liu, H.; Huang, X.; Zhan, L.; Luo, P.; Xue, J.; Chen, R.; Nie, Z. The metabolism and distribution of imidazole alkaloids from Lepidium meyenii (Maca) in mouse by matrix-assisted laser desorption/ionization mass spectrometry imaging. Int. J. Mass Spectrom. 2018, 434, 93–99. [Google Scholar] [CrossRef]
- Jin, W.; Chen, X.; Dai, P.; Yu, L. Lepidiline C and D: Two new imidazole alkaloids from Lepidium meyenii Walpers (Brassicaceae) roots. Phytochem. Lett. 2016, 17, 158–161. [Google Scholar] [CrossRef]
- Campos, D.; Chirinos, R.; Barreto, O.; Noratto, G.; Pedreschi, R. Optimized methodology for the simultaneous extraction of glucosinolates, phenolic compounds and antioxidant capacity from maca (Lepidium meyenii). Ind. Crop. Prod. 2013, 49, 747–754. [Google Scholar] [CrossRef]
- Carvalho, F.V.; Ribeiro, P.R. Structural diversity, biosynthetic aspects, and LC-HRMS data compilation for the identification of bioactive compounds of Lepidium meyenii. Food Res. Int. 2019, 125, 108615. [Google Scholar] [CrossRef]
- Liu, J.H.; Zhang, R.R.; Peng, X.R.; Ding, Z.T.; Qiu, M.H. Lepipyrrolins A-B, two new dimeric pyrrole 2-carbaldehyde alkaloids from the tubers of Lepidium meyenii. Bioorg. Chem. 2021, 112, 104834. [Google Scholar] [CrossRef]
- Tian, X.X.; Peng, X.R.; Yu, M.Y.; Huang, Y.J.; Wang, X.; Zhou, L.; Qiu, M.H. Hydantoin and thioamide analogues from Lepidium meyenii. Phytochem. Lett. 2018, 25, 70–73. [Google Scholar] [CrossRef]
- Yu, M.Y.; Qin, X.J.; Peng, X.R.; Wang, X.; Tian, X.X.; Li, Z.R.; Qiu, M.H. Macathiohydantoins B-K, novel thiohydantoin derivatives from Lepidium meyenii. Tetrahedron 2017, 73, 4392–4397. [Google Scholar] [CrossRef]
- Peng, X.R.; Zhang, R.R.; Liu, J.H.; Li, Z.R.; Zhou, L.; Qiu, M.H. Lepithiohydimerins A–D: Four Pairs of Neuroprotective Thiohydantoin Dimers Bearing a Disulfide Bond from Maca (Lepidium meyenii Walp.). Chin. J. Chem. 2021. accepted. [Google Scholar] [CrossRef]
- Lee, T.H.; Khan, Z.; Kim, S.Y.; Lee, K.R. Thiohydantoin and Hydantoin Derivatives from the Roots of Armoracia rusticana and Their Neurotrophic and Anti-neuroinflammatory Activities. J. Nat. Prod. 2019, 82, 3020–3024. [Google Scholar] [CrossRef] [PubMed]
- Zhou, M.; Ma, H.Y.; Liu, Z.H.; Yang, G.Y.; Du, G.; Ye, Y.Q.; Li, G.P.; Hu, Q.F. (+)-Meyeniins A-C, Novel Hexahydroimidazo [1,5-c] thiazole Derivatives from the Tubers of Lepidium meyenii: Complete Structural Elucidation by Biomimetic Synthesis and Racemic Crystallization. J. Agric. Food Chem. 2017, 65, 1887–1892. [Google Scholar] [CrossRef] [PubMed]




| 1 a | 2 a | 3 a | 4 b | 5 a | ||||||
|---|---|---|---|---|---|---|---|---|---|---|
| δH | δC | δH | δC | δH | δC | δH | δC | δH | δC | |
| 1 | 179.2s | 184.6 s | 184.6 s | 186.2 s | 182.8 s | |||||
| 3 | 173.6 s | 173.1 s | 173.1 s | 170.2 s | 169.4 s | |||||
| 4 | 83.1 s | 80.3 s | 80.4 s | 97.2 s | 93.8 s | |||||
| 5 | 2.18, d (14.0) 1.47, m | 32.5 t | 2.15, m | 31.6 t | 2.17, m 2.37,m | 31.6t | 2.19, m 1.75, m | 32.4 t | 3.21, d (12.0) 3.06, d (12.0) | 38.4 t |
| 6 | 1.97 m 1.81 m | 18.4 t | 2.35, m 2.23, m | 25.7 t | 2.23, m 2.17, m | 25.7 t | 2.36, m 2.19, m | 24.9 t | ||
| 7 | 1.82, m 1.50, m | 24.7 t | 4.10, m 3.67, m | 47.4 t | 4.09, m 3.66, m | 47.4 t | 4.05, dt (10.8, 8.4) 3.59, ddd (10.8, 9.0, 3.0) | 48.0 t | 5.60, q (6.4) | 61.0 d |
| 8 | 4.68, dd (13.3,4.7) 3.30, dd (13.2,2.4) | 41.1 t | ||||||||
| 9 | 2.11, s | 23.2 q | 2.15, s | 23.3 q | 1.73, d (6.4) | 24.5 q | ||||
| 1a | 5.05, d (14.5) 5.00, d (14.5) | 44.7 t | 5.15, d (14.5) 4.91, d (14.5) | 45.4 t | 5.10, d (14.5) 4.89, d (14.5) | 45.4 t | 4.98, d(14.4) 4.91, d (14.4) | 44.8 t | 4.98, d (14.5) 4.87, d (14.5) | 45.5 t |
| 2a | 135.8 s | 135.5 s | 136.9 s | 137.3 s | 135.3 s | |||||
| 3a | 7.44, d (7.3) | 128.7 d | 7.52, d (7.2) | 128.8 d | 7.09, m | 114.0 d | 6.93, s | 115.5 d | 7.43, d (7.2) | 129.0 d |
| 4a | 7.30, m | 128.5 d | 7.30, m | 128.4 d | 159.6 s | 155.7 s | 7.32, m | 128.9 d | ||
| 5a | 7.29, m | 127.9 d | 7.26, m | 127.9 d | 6.81, d (6.0) | 113.6 d | 6.75, d (7.8) | 115.0 d | 7.32, m | 128.4 d |
| 6a | 7.30, m | 128.5 d | 7.30, m | 128.4 d | 7.22, t (8.1) | 129.9 d | 7.17, t (7.8) | 129.9 d | 7.32, m | 128.9 d |
| 7a | 7.44, d (7.3) | 128.7 d | 7.52, d (7.2) | 128.8 d | 7.09, m | 121.1 d | 7.00, d (7.8) | 121.0 d | 7.43, d (7.2) | 129.0 d |
| OMe | 2.81, s | 55.2 q | 3.13, s | 51.9 q | ||||||
| Compound | Concentration (μmol) | Cell Viability (%) |
|---|---|---|
| DIM a | 10 | 88.49 ± 1.49 |
| (+)-1 | 20 | 60.37 ± 0.29 |
| (−)-1 | 20 | 62.59 ± 0.36 |
| (+)-2 | 20 | 65.85 ± 1.35 |
| (−)-2 | 20 | 67.64 ± 2.88 |
| (+)-3 | 20 | 65.60 ± 1.18 |
| (−)-3 | 20 | 68.63 ± 1.12 |
| 5 | 20 | 63.32 ± 1.10 |
Publisher’s Note: MDPI stays neutral with regard to jurisdictional claims in published maps and institutional affiliations. |
© 2021 by the authors. Licensee MDPI, Basel, Switzerland. This article is an open access article distributed under the terms and conditions of the Creative Commons Attribution (CC BY) license (https://creativecommons.org/licenses/by/4.0/).
Share and Cite
Zhang, R.; Liu, J.; Yan, H.; Peng, X.; Zhang, L.; Qiu, M. Macathiohydantoin L, a Novel Thiohydantoin Bearing a Thioxohexahydroimidazo [1,5-a] Pyridine Moiety from Maca (Lepidium meyenii Walp.). Molecules 2021, 26, 4934. https://doi.org/10.3390/molecules26164934
Zhang R, Liu J, Yan H, Peng X, Zhang L, Qiu M. Macathiohydantoin L, a Novel Thiohydantoin Bearing a Thioxohexahydroimidazo [1,5-a] Pyridine Moiety from Maca (Lepidium meyenii Walp.). Molecules. 2021; 26(16):4934. https://doi.org/10.3390/molecules26164934
Chicago/Turabian StyleZhang, Ranran, Junhong Liu, Hui Yan, Xingrong Peng, Ling Zhang, and Minghua Qiu. 2021. "Macathiohydantoin L, a Novel Thiohydantoin Bearing a Thioxohexahydroimidazo [1,5-a] Pyridine Moiety from Maca (Lepidium meyenii Walp.)" Molecules 26, no. 16: 4934. https://doi.org/10.3390/molecules26164934
APA StyleZhang, R., Liu, J., Yan, H., Peng, X., Zhang, L., & Qiu, M. (2021). Macathiohydantoin L, a Novel Thiohydantoin Bearing a Thioxohexahydroimidazo [1,5-a] Pyridine Moiety from Maca (Lepidium meyenii Walp.). Molecules, 26(16), 4934. https://doi.org/10.3390/molecules26164934
