Novel Silsesquioxane-Derived Boronate Esters—Synthesis and Thermal Properties
Abstract
1. Introduction
2. Results and Discussion
3. Materials and Methods
3.1. Materials
3.2. Synthesis of Organosilicon Precursors
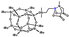
3.3. General Procedure for Hydrosilylation Tests with Heptaisobutylmonohydrospherosilicate




3.4. General Procedure for Hydrosilylation Tests with Octakishydridooctaspherosilicate


3.5. Analytical Methods
4. Conclusions
Author Contributions
Funding
Institutional Review Board Statement
Informed Consent Statement
Data Availability Statement
Conflicts of Interest
References
- Markovic, E.; Constantopolous, K.; Matisons, J.G. Polyhedral Oligomeric Silsesquioxanes: From Early and Strategic Development through to Materials Application. Adv. Silicon Sci. 2010, 1–46. [Google Scholar] [CrossRef]
- Zhang, W.; Camino, G.; Yang, R. Polymer/polyhedral oligomeric silsesquioxane (POSS) nanocomposites: An overview of fire retardance. Prog. Polym. Sci. 2017, 67, 77–125. [Google Scholar]
- Voronkov, M.G.; Lavrentyev, V.I. Inorganic Ring Systems; Topics in Current Chemistry (Book 102); Bosche, F.L., Ed.; Springer: Berlin/Heidelberg, Germany, 1982. [Google Scholar]
- Lickiss, P.D.; Cordess, D.B. Fully Condensed Polyhedral Oligosilsesquioxanes (POSS): From Synthesis to Application; Advances in Organometallic Chemistry; Hill, A.F., Fink, M.J., Eds.; Elsevier: Amsterdam, The Netherlands, 2008; Volume 55, pp. 1–116. [Google Scholar]
- Chen, H.-L.; Jiao, X.-L.; Zhou, J.-T. The research progress of polyhedral oligomeric silsesquioxane (POSS) applied to electrical energy storage elements. Funct. Mat. Lett. 2017, 10, 1730001–1730006. [Google Scholar] [CrossRef]
- Sun, Y.J.; Chen, L.; Zhao, Y.; Chen, D.; Qi, K.-M.; Choi, D.-S.; Shin, J.J. Porphyrin-POSS Molecular Hybrids. Chem. Eur. J. 2013, 19, 12613–12618. [Google Scholar] [CrossRef] [PubMed]
- Chechelska-Noworyta, A.; Mrówka, J.; Owińska, M.; Hasik, M. Application of Spectroscopic Methods in the Studies of Polysiloxanes, Cubic Oligomeric Silsesquioxanes, and Spherosilicates Modified by Organic Functional Groups via Hydrosilylation. Chall. Adv. Comput. Chem. Phys. 2019, 361–400. [Google Scholar] [CrossRef]
- Wang, D.; Feng, S.; Liu, H. Fluorescence-Tuned Polyhedral Oligomeric Silsesquioxane-Based Porous Polymers. Chem. A Eur. J. 2016, 22, 14319–14327. [Google Scholar] [CrossRef]
- Cheng, G.; Vautravers, N.R.; Morris, R.E.; Cole-Hamilton, D.J. Synthesis of functional cubes from octavinylsilsesquioxane (OVS). Org. Biomol. Chem. 2008, 6, 4662–4667. [Google Scholar] [CrossRef] [PubMed]
- Sun, L.; Liang, Z.; Yu, J. Octavinylsilsesquioxane-based luminescent nanoporous inorganic–organic hybrid polymers constructed by the Heck coupling reaction. Polym. Chem. 2014, 6, 917–924. [Google Scholar] [CrossRef]
- Itami, Y.; Marciniec, B.; Kubicki, M. Functionalization of Octavinylsilsesquioxane by Ruthenium-Catalyzed Silylative Coupling versus Cross-Metathesis. Chem. A Eur. J. 2004, 10, 1239–1248. [Google Scholar] [CrossRef] [PubMed]
- Żak, P.; Pietraszuk, C.; Marciniec, B.; Spólnik, G.; Danikiewicz, W. Efficient Functionalisation of Cubic MonovinylsilsesquioxanesviaCross-Metathesis and Silylative Coupling with Olefins in the Presence of Ruthenium Complexes. Adv. Synth. Catal. 2009, 351, 2675–2682. [Google Scholar] [CrossRef]
- Żak, P.; Pietraszuk, C. Application of olefin metathesis in the synthesis of functionalized polyhedral oligomeric silsesquioxanes (POSS) and POSS-containing polymeric materials. Beilstein J. Org. Chem. 2019, 15, 310–332. [Google Scholar] [CrossRef]
- Feher, F.J.; Soulivong, D.; Eklund, A.G.; Wyndham, K.D. Cross-metathesis of alkenes with vinyl-substituted silsesquioxanes and spherosilicates: A new method for synthesizing highly-functionalized Si/O frameworks. Chem. Commun. 1997, 13, 1185–1186. [Google Scholar] [CrossRef]
- Ervithayasuporn, V.; Chimjarn, S. Synthesis and Isolation of Methacrylate- and Acrylate-Functionalized Polyhedral Oligomeric Silsesquioxanes (T8, T10, and T12) and Characterization of the Relationship between Their Chemical Structures and Physical Properties. Inorg. Chem. 2013, 52, 13108–13112. [Google Scholar] [CrossRef] [PubMed]
- Chimjarn, S.; Kunthom, R.; Chancharone, P.; Sodkhomkhum, R.; Sangtrirutnugul, P.; Ervithayasuporn, V. Synthesis of aromatic functionalized cage-rearranged silsesquioxanes (T8, T10, and T12) via nucleophilic substitution reactions. Dalton Trans. 2014, 44, 916–919. [Google Scholar] [CrossRef] [PubMed]
- Jaroentomeechai, T.; Yingsukkamol, P.-K.; Phurat, C.; Somsook, E.; Osotchan, T.; Ervithayasuporn, V. Synthesis and Reactivity of Nitrogen Nucleophiles-Induced Cage-Rearrangement Silsesquioxanes. Inorg. Chem. 2012, 51, 12266–12272. [Google Scholar] [CrossRef] [PubMed]
- Lewis, L.N.; Sy, K.G.; Bryant, G.L.; Donahue, P.E. Platinum-catalyzed hydrosilylation of alkynes. Organometallics 1991, 10, 3750–3759. [Google Scholar] [CrossRef]
- Ojima, I.; Nihonyanagi, M.; Nagai, Y. Rhodium complex catalysed hydrosilylation of carbonyl compounds. J. Chem. Soc. Chem. Commun. 1972, 16, 938a. [Google Scholar] [CrossRef]
- Sun, J.; Deng, L. Cobalt Complex-Catalyzed Hydrosilylation of Alkenes and Alkynes. ACS Catal. 2016, 6, 290–300. [Google Scholar] [CrossRef]
- Malacea, R.; Poli, R.; Manoury, E. Asymmetric hydrosilylation, transfer hydrogenation and hydrogenation of ketones catalyzed by iridium complexes. Coord. Chem. Rev. 2010, 254, 729–752. [Google Scholar] [CrossRef]
- Trost, B.M.; Ball, Z.T. Markovnikov Alkyne Hydrosilylation Catalyzed by Ruthenium Complexes. J. Am. Chem. Soc. 2001, 123, 12726–12727. [Google Scholar] [CrossRef]
- Costa, P.J.; Romão, C.C.; Fernandes, A.C.; Royo, B.; Reis, P.M.; Calhorda, M.J. Catalyzing Aldehyde Hydrosilylation with a Molybdenum(VI) Complex: A Density Functional Theory Study. Chem. A Eur. J. 2007, 13, 3934–3941. [Google Scholar] [CrossRef] [PubMed]
- Applications of Polyhedral Oligomeric Silsesquioxanes. Advances in Silicon Science; Springer: Berlin/Heidelberg, Germany, 2011. [Google Scholar]
- Du, Y.; Liu, H. Cage-like silsesquioxanes-based hybrid materials. Dalton Trans. 2020, 49, 5396–5405. [Google Scholar] [CrossRef] [PubMed]
- Kaźmierczak, J.; Kuciński, K.; Stachowiak, H.; Hreczycho, G. Introduction of Boron Functionalities into Silsesquioxanes: Novel Independent Methodologies. Chem. A Eur. J. 2018, 24, 2509–2514. [Google Scholar] [CrossRef]
- Wang, Q.; Xiong, L.; Liang, H.; Chen, L.; Huang, S.; Lian, Z. Synthesis and characterization of a novel polyhedral oligomeric silsesquioxanes containing phosphorus and boron. Inorg. Nano-Metal Chem. 2016, 47, 99–104. [Google Scholar] [CrossRef]
- Suenaga, K.; Tanaka, K.; Chujo, Y. Heat-Resistant Mechanoluminescent Chromism of the Hybrid Molecule Based on Boron Ketoiminate Modified Octasubstituted Polyhedral Oligomeric Silsesquioxane. Chem. A Eur. J. 2017, 23, 1409–1414. [Google Scholar] [CrossRef] [PubMed]
- Maghsoodi, S.; Motallebi, S.; et al. Boron-containing hydrogen silsesquioxane polymer, integrated circuit device formed using the same, and associated methods. US 8349985B2, 8 January 2013. [Google Scholar]
- Duchateau, R.; van Santen, R.A.; Yap, G.P.A. Silica-Grafted Borato Cocatalysts for Olefin Polymerization Modeled by Silsesquioxane−Borato Complexes. Organometallics 2000, 19, 809–816. [Google Scholar] [CrossRef]
- Metcalfe, R.A.; Kreller, D.I.; Tian, J.; Kim, H.; Taylor, N.J.; Corrigan, J.F.; Collins, S. Organoborane-Modified Silica Supports for Olefin Polymerization: Soluble Models for Metallocene Catalyst Deactivation. Organometallics 2002, 21, 1719–1726. [Google Scholar] [CrossRef]
- Li, Z.; Kong, J.; Wang, F.; He, C. Polyhedral oligomeric silsesquioxanes (POSSs): An important building block for organic optoelectronic materials. J. Mater. Chem. C 2017, 5, 5283–5298. [Google Scholar] [CrossRef]
- Williams, R.E., Jr. Hydrosilylation Method and Catalyst. U.S. Patent US4503160A, 3 May 1985. [Google Scholar]
- Nakajima, Y.; Shimada, S. Hydrosilylation reaction of olefins: Recent advances and perspectives. RSC Adv. 2015, 5, 20603–20616. [Google Scholar] [CrossRef]
- Baumann, T.F.; Jones, T.V.; Wilson, T.; Saab, A.P.; Maxwell, R. Synthesis and characterization of novel PDMS nanocomposites using POSS derivatives as cross-linking filler. J. Polym. Sci. Part A Polym. Chem. 2009, 47, 2589–2596. [Google Scholar] [CrossRef]
- Walczak, M.; Franczyk, A.; Dutkiewicz, M.; Marciniec, B. Synthesis of Bifunctional Silsesquioxanes (RSiMe2O)∼4(R′SiMe2O)∼4Si8O12 via Hydrosilylation of Alkenes. Organometallics 2019, 38, 3018–3024. [Google Scholar] [CrossRef]
- Suzuki, A. Organoboranes for Syntheses; American Chemical Society: Washington, WA, USA, 2001; pp. 80–93. [Google Scholar] [CrossRef]
- Miyaura, J.N. Cross-coupling reaction of organoboron compounds via base-assisted transmetalation to palladium (II) complexes. Organomet. Chem. 2002, 653, 54–57. [Google Scholar] [CrossRef]
- Hemming, D.; Fritzemeier, R.; Westcott, S.A.; Santos, W.L.; Steel, P.G. Copper-boryl mediated organic synthesis. Chem. Soc. Rev. 2018, 47, 7477–7494. [Google Scholar] [CrossRef]
- Lightfoot, A.P.; Maw, G.; Thirsk, C.; Twiddle, S.J.; Whiting, A. 4,4,6-Trimethyl-2-vinyl-1,3,2-dioxaborinane: A superior 2-carbon building block for vinylboronate Heck couplings. Tetrahedron Lett. 2003, 44, 7645–7648. [Google Scholar] [CrossRef]
- Blanco, I.; Abate, L.; Bottino, F.A.; Bottino, P. Hepta isobutyl polyhedral oligomeric silsesquioxanes (hib-POSS). J. Therm. Anal. Calorim. 2011, 108, 807–815. [Google Scholar] [CrossRef]
- Dean, J.A. Lange’s Handbook of Chemistry Version 15th, Section 4 (Properties of Atoms, Radicals, and Bonds); McGraw-Hill: New York, NY, USA, 1999. [Google Scholar]
- Fina, A.; Tabuani, D.; Carniato, F.; Frache, A.; Boccaleri, E.; Camino, G. Polyhedral oligomeric silsesquioxanes (POSS) thermal degradation. Thermochim. Acta 2006, 440, 36–42. [Google Scholar] [CrossRef]
- Xu, Y.; Ma, Y.; Deng, Y.; Yang, C.; Chen, J.; Dai, L. Morphology and thermal properties of organic–inorganic hybrid material involving monofunctional-anhydride POSS and epoxy resin. Mater. Chem. Phys. 2011, 125, 174–183. [Google Scholar] [CrossRef]
- Filho, N.L.D.; De Aquino, H.A.; Pires, G.; Caetano, L. Relationship between the dielectric and mechanical properties and the ratio of epoxy resin to hardener of the hybrid thermosetting polymers. J. Braz. Chem. Soc. 2006, 17, 533–541. [Google Scholar] [CrossRef][Green Version]







| Bond | Bond Entalphy kJ/mol | |
|---|---|---|
| 1 | Si-C | 435 |
| 2 | B-C | 448 |
| 3 | C-C | 607 |
| 4 | Si-O | 798 |
| 5 | B-O | 806 |
| 6 | C-O | 1076 |
| Sample Name | 5% Mass Loss (°C) | 10% Mass Loss (°C) | Temperature at the Maximum Rate of Mass Loss (°C) | Onset Temperature (°C) | Residual Mass 800C (%) |
|---|---|---|---|---|---|
| iBu7SS-H | 234.3 | 249.6 | 268.4 | 241.3 | 44.23 |
| A | 217.7 | 240.6 | 304.2 | 270.1 | 3.89 |
| B | 244.4 | 264.6 | 312.4 | 284.6 | 3.62 |
| C | 228.0 | 250.3 | 296.1 | 267.0 | 1.67 |
| D | 266.6 | 299.9 | 363.9 | 337.6 | 3.47 |
| SS-8H | 220.4 | 234.1 | 270.9 | 240.4 | 13.92 |
| E | 294.1 | 359.6 | 359.1 | 410.5 | 47.03 |
| F | 315.6 | 359.1 | 359.6 | 390.1 | 19.02 |
| H | 288.1 | 315.9 | 315.9 | 311.1 | 36.34 |
Publisher’s Note: MDPI stays neutral with regard to jurisdictional claims in published maps and institutional affiliations. |
© 2021 by the authors. Licensee MDPI, Basel, Switzerland. This article is an open access article distributed under the terms and conditions of the Creative Commons Attribution (CC BY) license (https://creativecommons.org/licenses/by/4.0/).
Share and Cite
Frydrych, M.; Pakuła, D.; Sztorch, B.; Brząkalski, D.; Przekop, R.E.; Marciniec, B. Novel Silsesquioxane-Derived Boronate Esters—Synthesis and Thermal Properties. Molecules 2021, 26, 4107. https://doi.org/10.3390/molecules26144107
Frydrych M, Pakuła D, Sztorch B, Brząkalski D, Przekop RE, Marciniec B. Novel Silsesquioxane-Derived Boronate Esters—Synthesis and Thermal Properties. Molecules. 2021; 26(14):4107. https://doi.org/10.3390/molecules26144107
Chicago/Turabian StyleFrydrych, Miłosz, Daria Pakuła, Bogna Sztorch, Dariusz Brząkalski, Robert E. Przekop, and Bogdan Marciniec. 2021. "Novel Silsesquioxane-Derived Boronate Esters—Synthesis and Thermal Properties" Molecules 26, no. 14: 4107. https://doi.org/10.3390/molecules26144107
APA StyleFrydrych, M., Pakuła, D., Sztorch, B., Brząkalski, D., Przekop, R. E., & Marciniec, B. (2021). Novel Silsesquioxane-Derived Boronate Esters—Synthesis and Thermal Properties. Molecules, 26(14), 4107. https://doi.org/10.3390/molecules26144107
