Antioxidant Effects and Phytochemical Properties of Seven Taiwanese Cirsium Species Extracts
Abstract
:1. Introduction
2. Results
2.1. The Contents of Total Phenolics, Flavonoids and Phenylpropanoids
2.2. Validation of the HPLC–DAD Method and the Phytochemical Profiles of Cirsium Species
2.3. DPPH-Radical Scavenging Capacity
2.4. ABTS-Radical Scavenging Capacity
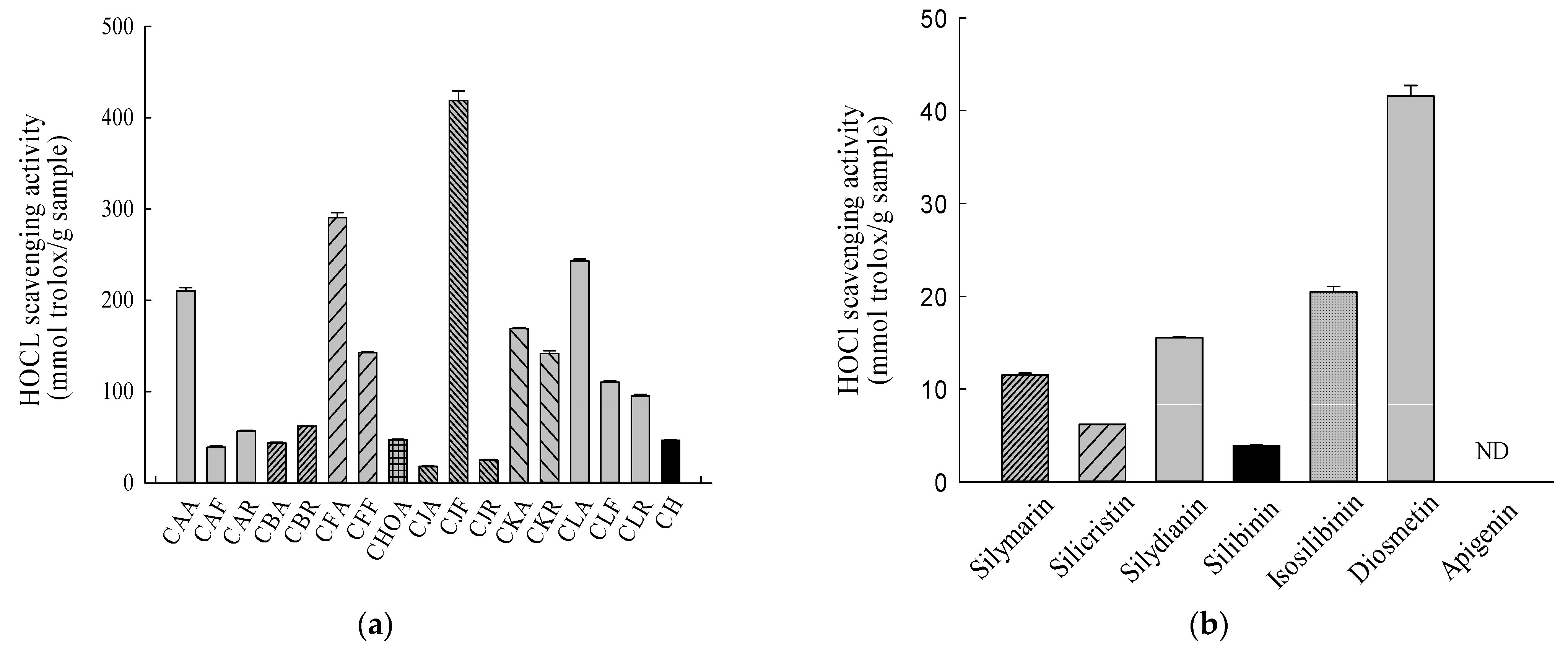
2.5. Hypochlorite-Ion-Scavenging Assay
2.6. Ferric-Reducing-Antioxidant Power (FRAP) Assay
3. Discussion
4. Materials and Methods
4.1. Collection and Preparation of Plant Materials
4.2. Chemicals
4.3. Measuring Antioxidant Phytochemical Contents with a Spectrophotometric Reader
4.4. Phytochemical Profiles Determined with HPLC–DAD
4.5. Validation of the HPLC–DAD Method
4.6. DPPH-Radical-Scavenging Capacity
4.7. ABTS-Radical-Scavenging Activity
4.8. Hypochlorite-Ion-Scavenging Assay
4.9. Reducing-Power Assay
4.10. Statistical Analysis
5. Conclusions
Supplementary Materials
Author Contributions
Funding
Institutional Review Board Statement
Informed Consent Statement
Data Availability Statement
Conflicts of Interest
References
- Plants of the World Online: Cirsium Mill. Available online: http://www.plantsoftheworldonline.org/taxon/urn:lsid:ipni.org:names:30001899-2 (accessed on 4 January 2021).
- The Plant List: Cirsium Genus. Available online: http://www.theplantlist.org/tpl/search?q=Cirsium&_csv=on (accessed on 1 January 2021).
- Bures, P.; Wang, Y.F.; Horova, L.; Suda, J. Genome size variation in Central European species of Cirsium (Compositae) and their natural hybrids. Ann. Bot. 2004, 94, 353–363. [Google Scholar] [CrossRef] [Green Version]
- Kadota, Y. Species Diversification of Genus Cirsium (Asteraceae) in Japan. Korean J. Plant Taxon. 2007, 37, 335–349. [Google Scholar] [CrossRef]
- Shi, Z. Cirsium. In Flora of China, 4th ed.; Wu, Z.Y., Raven, P.H., Hong, D.Y., Eds.; Editorial Committee of the Flora of China: Beijing, China, 2011; Volumes 20–21, p. 160. [Google Scholar]
- Yang, Y.P.; Lu, S.Y. Cirsium. In Flora of Taiwan, 2nd ed.; Huang, T.C., Ed.; Editorial Committee of the Flora of Taiwan; Department of Botany, National Taiwan University: Taipei, Taiwan, 2000; Volume 4, pp. 903–911. [Google Scholar]
- Tian, L.; Jiang, M.; Chen, H.; Li, J.; Huang, L.; Liu, C. Comparative analysis of the complete chloroplast genomes of Cirsium japonicum from China and Korea. Mitochondr. DNA B Resour. 2021, 6, 1468–1470. [Google Scholar] [CrossRef]
- Nam, S.J.; Kim, J.M.; Kim, Y.; Ku, J.J.; Jung, S.Y.; Lee, Y.M.; Kim, S.K.; Xi, H.; Song, J.Y.; Park, J. The complete chloroplast genome of Korean endemic species, Cirsium rhinoceros (H.Lev. & vaniot) Nakai (Asteraceae). Mitochondr. DNA B Resour. 2019, 4, 2351–2352. [Google Scholar] [CrossRef] [Green Version]
- Roy, N.S.; Kim, J.A.; Choi, A.Y.; Ban, Y.W.; Park, N.I.; Park, K.C.; Yang, H.S.; Choi, I.Y.; Kim, S. RNA-Seq De Novo Assembly and Differential Transcriptome Analysis of Korean Medicinal Herb Cirsium japonicum var. spinossimum. Genom. Inf. 2018, 16, e34. [Google Scholar] [CrossRef] [Green Version]
- Konye, R.; Toth, G.; Solyomvary, A.; Mervai, Z.; Zurn, M.; Baghy, K.; Kovalszky, I.; Horvath, P.; Molnar-Perl, I.; Noszal, B.; et al. Chemodiversity of Cirsium fruits: Antiproliferative lignans, neolignans and sesquineolignans as chemotaxonomic markers. Fitoterapia 2018, 127, 413–419. [Google Scholar] [CrossRef]
- Kim, M.S.; Nam, M.; Hwang, G.S. Metabolic Alterations in Two Cirsium Species Identified at Distinct Phenological Stages using UPLC-QTOF/MS. Phytochem. Anal. 2018, 29, 77–86. [Google Scholar] [CrossRef] [PubMed]
- Hawryl, A.; Ziobro, A.; Swieboda, R.; Hawryl, M.; Waksmundzka-Hajnos, M. TLC Profiles of Selected Cirsium Species with Chemometrics in Construction of Their Fingerprints. J. Chromatogr. Sci. 2016, 54, 1096–1104. [Google Scholar] [CrossRef] [PubMed] [Green Version]
- Ge, H.; Turhong, M.; Abudkrem, M.; Tang, Y. Fingerprint analysis of Cirsium japonicum DC. using high performance liquid chromatography. J. Pharm. Anal. 2013, 3, 278–284. [Google Scholar] [CrossRef] [Green Version]
- Zhao, Z.W.; Chang, J.C.; Lin, L.W.; Tsai, F.H.; Chang, H.C.; Wu, C.R. Comparison of the Hepatoprotective Effects of Four Endemic Cirsium Species Extracts from Taiwan on CCl(4)-Induced Acute Liver Damage in C57BL/6 Mice. Int. J. Mol. Sci. 2018, 19, 1329. [Google Scholar] [CrossRef] [PubMed] [Green Version]
- Ku, K.L.; Tsai, C.T.; Chang, W.M.; Shen, M.L.; Wu, C.T.; Liao, H.F. Hepatoprotective effect of Cirsium arisanense Kitamura in tacrine-treated hepatoma Hep 3B cells and C57BL mice. Am. J. Chin. Med. 2008, 36, 355–368. [Google Scholar] [CrossRef]
- Papackova, Z.; Heczkova, M.; Dankova, H.; Sticova, E.; Lodererova, A.; Bartonova, L.; Poruba, M.; Cahova, M. Silymarin prevents acetaminophen-induced hepatotoxicity in mice. PLoS ONE 2018, 13, e0191353. [Google Scholar] [CrossRef]
- Abenavoli, L.; Izzo, A.A.; Milic, N.; Cicala, C.; Santini, A.; Capasso, R. Milk thistle (Silybum marianum): A concise overview on its chemistry, pharmacological, and nutraceutical uses in liver diseases. Phytother. Res. 2018, 32, 2202–2213. [Google Scholar] [CrossRef] [PubMed]
- Abenavoli, L.; Milic, N.; Capasso, F. Anti-oxidant therapy in non-alcoholic fatty liver disease: The role of silymarin. Endocrine 2012, 42, 754–755. [Google Scholar] [CrossRef]
- Wellington, K.; Jarvis, B. Silymarin: A review of its clinical properties in the management of hepatic disorders. BioDrugs 2001, 15, 465–489. [Google Scholar] [CrossRef]
- Marmouzi, I.; Bouyahya, A.; Ezzat, S.M.; El Jemli, M.; Kharbach, M. The food plant Silybum marianum (L.) Gaertn.: Phytochemistry, Ethnopharmacology and clinical evidence. J. Ethnopharmacol. 2021, 265, 113303. [Google Scholar] [CrossRef] [PubMed]
- Wang, X.; Zhang, Z.; Wu, S.C. Health Benefits of Silybum marianum: Phytochemistry, Pharmacology, and Applications. J. Agric. Food Chem. 2020, 68, 11644–11664. [Google Scholar] [CrossRef] [PubMed]
- Tajmohammadi, A.; Razavi, B.M.; Hosseinzadeh, H. Silybum marianum (milk thistle) and its main constituent, silymarin, as a potential therapeutic plant in metabolic syndrome: A review. Phytother. Res. 2018, 32, 1933–1949. [Google Scholar] [CrossRef]
- Fanoudi, S.; Alavi, M.S.; Karimi, G.; Hosseinzadeh, H. Milk thistle (Silybum Marianum) as an antidote or a protective agent against natural or chemical toxicities: A review. Drug Chem. Toxicol. 2020, 43, 240–254. [Google Scholar] [CrossRef]
- Nazaruk, J. Antioxidant activity and total phenolic content in Cirsium five species from north-east region of Poland. Fitoterapia 2008, 79, 194–196. [Google Scholar] [CrossRef] [PubMed]
- Kozyra, M.; Skalicka-Wozniak, K. Quantitative analysis of flavonoids and phenolic acids from inflorescences and aerial parts of selected Cirsium species using ASE method. Acta Pol. Pharm. 2014, 71, 877–881. [Google Scholar]
- Ma, Q.; Wang, L.H.; Jiang, J.G. Hepatoprotective effect of flavonoids from Cirsium japonicum DC on hepatotoxicity in comparison with silymarin. Food Funct. 2016, 7, 2179–2184. [Google Scholar] [CrossRef]
- De la Pena, J.B.; Kim, C.A.; Lee, H.L.; Yoon, S.Y.; Kim, H.J.; Hong, E.Y.; Kim, G.H.; Ryu, J.H.; Lee, Y.S.; Kim, K.M.; et al. Luteolin mediates the antidepressant-like effects of Cirsium japonicum in mice, possibly through modulation of the GABAA receptor. Arch. Pharm. Res. 2014, 37, 263–269. [Google Scholar] [CrossRef]
- Yin, J.; Heo, S.I.; Wang, M.H. Antioxidant and antidiabetic activities of extracts from Cirsium japonicum roots. Nutr. Res. Pr. 2008, 2, 247–251. [Google Scholar] [CrossRef]
- Liu, S.; Zhang, J.; Li, D.; Liu, W.; Luo, X.; Zhang, R.; Li, L.; Zhao, J. Anticancer activity and quantitative analysis of flavone of Cirsium japonicum DC. Nat. Prod. Res. 2007, 21, 915–922. [Google Scholar] [CrossRef] [PubMed]
- Kim, M.J.; Kim, J.H.; Kim, J.H.; Lee, S.; Cho, E.J. Amelioration effects of Cirsium japonicum var. maackii extract/fractions on amyloid beta25-35-induced neurotoxicity in SH-SY5Y cells and identification of the main bioactive compound. Food Funct. 2020, 11, 9651–9661. [Google Scholar] [CrossRef] [PubMed]
- Wagle, A.; Seong, S.H.; Shrestha, S.; Jung, H.A.; Choi, J.S. Korean Thistle (Cirsium japonicum var. maackii (Maxim.) Matsum.): A Potential Dietary Supplement against Diabetes and Alzheimer’s Disease. Molecules 2019, 24, 649. [Google Scholar] [CrossRef] [PubMed] [Green Version]
- Park, J.Y.; Kim, H.Y.; Shibamoto, T.; Jang, T.S.; Lee, S.C.; Shim, J.S.; Hahm, D.H.; Lee, H.J.; Lee, S.; Kang, K.S. Beneficial effects of a medicinal herb, Cirsium japonicum var. maackii, extract and its major component, cirsimaritin on breast cancer metastasis in MDA-MB-231 breast cancer cells. Bioorg. Med. Chem. Lett. 2017, 27, 3968–3973. [Google Scholar] [CrossRef]
- Jung, H.A.; Abdul, Q.A.; Byun, J.S.; Joung, E.J.; Gwon, W.G.; Lee, M.S.; Kim, H.R.; Choi, J.S. Protective effects of flavonoids isolated from Korean milk thistle Cirsium japonicum var. maackii (Maxim.) Matsum on tert-butyl hydroperoxide-induced hepatotoxicity in HepG2 cells. J. Ethnopharmacol. 2017, 209, 62–72. [Google Scholar] [CrossRef] [PubMed]
- Chung, M.J.; Lee, S.; Park, Y.I.; Lee, J.; Kwon, K.H. Neuroprotective effects of phytosterols and flavonoids from Cirsium setidens and Aster scaber in human brain neuroblastoma SK-N-SH cells. Life Sci. 2016, 148, 173–182. [Google Scholar] [CrossRef]
- Lee, S.H.; Heo, S.I.; Li, L.; Lee, M.J.; Wang, M.H. Antioxidant and hepatoprotective activities of Cirsium setidens Nakai against CCl4-induced liver damage. Am. J. Chin. Med. 2008, 36, 107–114. [Google Scholar] [CrossRef] [PubMed]
- Wu, C.R.; Chang, H.C.; Cheng, Y.D.; Lan, W.C.; Yang, S.E.; Ching, H. Aqueous Extract of Davallia mariesii Attenuates 6-Hydroxydopamine-Induced Oxidative Damage and Apoptosis in B35 Cells Through Inhibition of Caspase Cascade and Activation of PI3K/AKT/GSK-3beta Pathway. Nutrients 2018, 10, 1449. [Google Scholar] [CrossRef] [Green Version]
- Hernández, I.; Alegre, L.; Van Breusegem, F.; Munné-Bosch, S. How relevant are flavonoids as antioxidants in plants? Trends Plant Sci. 2009, 14, 125–132. [Google Scholar] [CrossRef]
- Korkina, L.G. Phenylpropanoids as naturally occurring antioxidants: From plant defense to human health. Cell Mol. Biol. 2007, 53, 15–25. [Google Scholar]
- Huang, D.; Ou, B.; Prior, R.L. The Chemistry behind Antioxidant Capacity Assays. J. Agric. Food Chem. 2005, 53, 1841–1856. [Google Scholar] [CrossRef] [PubMed]
- Lopez-Alarcon, C.; Denicola, A. Evaluating the antioxidant capacity of natural products: A review on chemical and cellular-based assays. Anal. Chim. Acta 2013, 763, 1–10. [Google Scholar] [CrossRef] [PubMed]
- Alam, M.N.; Bristi, N.J.; Rafiquzzaman, M. Review on in vivo and in vitro methods evaluation of antioxidant activity. Saudi Pharm. J. 2013, 21, 143–152. [Google Scholar] [CrossRef] [PubMed] [Green Version]
- Nazaruk, J.; Czechowska, S.K.; Markiewicz, R.; Borawska, M.H. Polyphenolic compounds and in vitro antimicrobial and antioxidant activity of aqueous extracts from leaves of some Cirsium species. Nat. Prod. Res. 2008, 22, 1583–1588. [Google Scholar] [CrossRef]
- Yoo, Y.M.; Nam, J.H.; Kim, M.Y.; Choi, J.; Park, H.J. Pectolinarin and Pectolinarigenin of Cirsium setidens Prevent the Hepatic Injury in Rats Caused by D-Galactosamine via an Antioxidant Mechanism. Biol. Pharm. Bull. 2008, 31, 760–764. [Google Scholar] [CrossRef] [Green Version]
- Anthony, K.P.; Saleh, M.A. Free Radical Scavenging and Antioxidant Activities of Silymarin Components. Antioxidants 2013, 2, 398–407. [Google Scholar] [CrossRef] [Green Version]
- Zhang, Q.; Yang, W.; Liu, J.; Liu, H.; Lv, Z.; Zhang, C.; Chen, D.; Jiao, Z. Identification of Six Flavonoids as Novel Cellular Antioxidants and Their Structure-Activity Relationship. Oxid. Med. Cell. Longev. 2020, 2020, 4150897. [Google Scholar] [CrossRef] [PubMed]
- Sordon, S.; Poplonski, J.; Milczarek, M.; Stachowicz, M.; Tronina, T.; Kucharska, A.Z.; Wietrzyk, J.; Huszcza, E. Structure-Antioxidant-Antiproliferative Activity Relationships of Natural C7 and C7-C8 Hydroxylated Flavones and Flavanones. Antioxidants 2019, 8, 210. [Google Scholar] [CrossRef] [PubMed] [Green Version]
- Zheleva-Dimitrova, D.; Nedialkov, P.; Kitanov, G. Radical scavenging and antioxidant activities of methanolic extracts from Hypericum species growing in Bulgaria. Pharm. Mag. 2010, 6, 74–78. [Google Scholar] [CrossRef] [PubMed] [Green Version]
- Valentova, K.; Havlik, J.; Kosina, P.; Papouskova, B.; Jaimes, J.D.; Kanova, K.; Petraskova, L.; Ulrichova, J.; Kren, V. Biotransformation of Silymarin Flavonolignans by Human Fecal Microbiota. Metabolites 2020, 10, 29. [Google Scholar] [CrossRef] [Green Version]
- Bijak, M. Silybin, a Major Bioactive Component of Milk Thistle (Silybum marianum L. Gaernt.)-Chemistry, Bioavailability, and Metabolism. Molecules 2017, 22, 1942. [Google Scholar] [CrossRef] [Green Version]
- Zhang, Y.; Yang, D.H.; Zhang, Y.T.; Chen, X.M.; Li, L.L.; Cai, S.Q. Biotransformation on the flavonolignan constituents of Silybi Fructus by an intestinal bacterial strain Eubacterium limosum ZL-II. Fitoterapia 2014, 92, 61–71. [Google Scholar] [CrossRef]
- Shen, L.; Liu, L.; Li, X.Y.; Ji, H.F. Regulation of gut microbiota in Alzheimer’s disease mice by silibinin and silymarin and their pharmacological implications. Appl. Microbiol. Biotechnol. 2019, 103, 7141–7149. [Google Scholar] [CrossRef]
- Hostetler, G.L.; Ralston, R.A.; Schwartz, S.J. Flavones: Food Sources, Bioavailability, Metabolism, and Bioactivity. Adv. Nutr. 2017, 8, 423–435. [Google Scholar] [CrossRef] [Green Version]
- Wang, M.; Firrman, J.; Liu, L.; Yam, K. A Review on Flavonoid Apigenin: Dietary Intake, ADME, Antimicrobial Effects, and Interactions with Human Gut Microbiota. Biomed. Res. Int. 2019, 2019, 7010467. [Google Scholar] [CrossRef]
- Kasprzak-Drozd, K.; Oniszczuk, T.; Stasiak, M.; Oniszczuk, A. Beneficial Effects of Phenolic Compounds on Gut Microbiota and Metabolic Syndrome. Int. J. Mol. Sci. 2021, 22, 3715. [Google Scholar] [CrossRef]
- Hacke, A.C.M.; Marques, J.A.; Vellosa, J.C.R.; Boligon, A.A.; da Silva, F.D.A.; de Souza, D.; Bonini, J.S.; Rocha, J.B.T.; Pereira, R.P. Ethyl acetate fraction of Cymbopogon citratus as a potential source of antioxidant compounds. New J. Chem. 2018, 42, 3642–3652. [Google Scholar] [CrossRef]






| Species | Samples | Total Phenolics (mg Catechin/g Sample) | Total Flavonoids (mg Quercetin/g Sample) | Total Phenylpropanoids (mg Verbascoside/g Sample) |
|---|---|---|---|---|
| CA | CAA | 2.79 ± 0.07 g | 4.07 ± 0.19 bcde | 6.39 ± 0.10 e |
| CAF | 0.68 ± 0.01 d | 0.11 ± 0.04 a | 1.02 ± 0.73 ab | |
| CAR | 1.33 ± 0.01 e | 2.42 ± 0.10 abc | 3.46 ± 0.13 d | |
| CB | CBA | 0.75 ± 0.02 d | 2.48 ± 0.89 abc | 1.08 ± 0.06 ab |
| CBR | 1.34 ± 0.01 e | 0.47 ± 0.01 a | 1.81 ± 0.01 abc | |
| CF | CFA | 3.10 ± 0.13 g | 4.98 ± 0.27 de | 12.29 ± 0.48 f |
| CFF | 0.35 ± 0.02 ab | 2.49 ± 0.10 abc | 3.32 ± 0.18 d | |
| CHO | CHOA | 0.46 ± 0.00 bc | 0.27 ± 0.03 a | 3.10 ± 0.08 cd |
| CJ | CJA | 0.35 ± 0.01 ab | 0.99 ± 0.59 ab | 0.31 ± 0.00 a |
| CJF | 5.23 ± 0.20 i | 2.24 ± 0.36 abc | 29.73 ± 0.72 g | |
| CJR | 0.08 ± 0.00 a | 1.77 ± 0.29 abc | 1.67 ± 0.08 abc | |
| CK | CKA | 1.70 ± 0.04 f | 2.62 ± 2.82 abc | 5.49 ± 0.22 e |
| CKR | 1.69 ± 0.02 f | 0.60 ± 0.21 a | 2.88 ± 0.05 cd | |
| CL | CLA | 3.95 ± 0.12 h | 6.37 ± 0.19 e | 11.87 ± 0.49 f |
| CLF | 2.91 ± 0.03 g | 4.66 ± 0.12 cde | 6.53 ± 0.17 e | |
| CLR | 1.08 ± 0.01 e | 1.36 ± 0.04 abc | 2.25 ± 0.09 bcd | |
| CH | CH | 0.63 ± 0.08 bc | 2.10 ± 0.34 abc | 2.23 ± 0.10 bcd |
| Standard | Linear Equation | Coefficient of Determination (r2) | Linearity Range (μg/mL) | LOD (μg/mL) | LOQ (μg/mL) |
|---|---|---|---|---|---|
| Silicristin | y = 23,969x − 2132 | 0.9987 | 4.91–19.96 | 0.31 | 0.93 |
| Silydianin | y = 19,399x − 35,932 | 0.9987 | 5.08–20.04 | 0.64 | 1.91 |
| Silibinin α | y = 10,480x − 12,673 | 0.9995 | 5.05–20.02 | 1.21 | 3.63 |
| Silibinin β | y = 11,152x − 12,022 | 0.9989 | 5.09–20.04 | 1.21 | 3.63 |
| Isosilibinin α | y = 9672x − 16,561 | 0.9985 | 4.92–19.96 | 1.33 | 4.00 |
| Isosilibinin β | y = 2799x − 7293 | 0.9989 | 5.00–20.00 | 1.33 | 4.00 |
| Apigenin | y = 19,209x − 7119 | 0.9980 | 4.90–19.98 | 0.67 | 2.40 |
| Diosmetin | y = 16,308x − 18,966 | 0.9994 | 5.05–20.02 | 0.80 | 2.00 |
| Standard | Concentration (μg/mL) | Intraday (n = 3) | Interday (n = 3) | ||
|---|---|---|---|---|---|
| Mean ± SD | RSDs (%) | Mean ± SD | RSDs (%) | ||
| Silicristin | 5.0 | 4.91 ± 0.02 | 0.27 | 4.92 ± 0.24 | 2.98 |
| 10.0 | 10.13 ± 0.03 | 10.26 ± 0.14 | |||
| 20.0 | 19.96 ± 0.01 | 19.86 ± 0.20 | |||
| Silydianin | 5.0 | 5.08 ± 0.18 | 2.23 | 5.26 ± 0.19 | 1.66 |
| 10.0 | 9.89 ± 0.27 | 9.83 ± 0.06 | |||
| 20.0 | 20.04 ± 0.09 | 20.19 ± 0.10 | |||
| Silibinin α | 5.0 | 5.05 ± 0.04 | 0.46 | 5.07 ± 0.10 | 2.66 |
| 10.0 | 9.93 ± 0.06 | 10.43 ± 1.00 | |||
| 20.0 | 20.02 ± 0.02 | 20.17 ± 0.02 | |||
| Silibinin β | 5.0 | 5.09 ± 0.13 | 1.57 | 4.95 ± 0.21 | 1.78 |
| 10.0 | 9.87 ± 0.19 | 10.00 ± 0.32 | |||
| 20.0 | 20.04 ± 0.06 | 20.19 ± 0.14 | |||
| Isosilibinin α | 5.0 | 4.92 ± 0.05 | 0.66 | 5.20 ± 0.14 | 1.76 |
| 10.0 | 10.11 ± 0.08 | 10.12 ± 0.22 | |||
| 20.0 | 19.96 ± 0.03 | 20.21 ± 0.22 | |||
| Isosilibinin β | 5.0 | 5.00 ± 0.04 | 0.50 | 4.87 ± 0.18 | 1.86 |
| 10.0 | 10.00 ± 0.06 | 9.85 ± 0.25 | |||
| 20.0 | 20.00 ± 0.02 | 20.13 ± 0.05 | |||
| Apigenin | 5.0 | 4.92 ± 0.05 | 2.03 | 4.88 ± 0.26 | 2.74 |
| 10.0 | 10.24 ± 0.18 | 10.28 ± 0.16 | |||
| 20.0 | 19.92 ± 0.06 | 19.77 ± 0.30 | |||
| Diosmetin | 5.0 | 5.05 ± 0.05 | 0.66 | 5.04 ± 0.03 | 2.20 |
| 10.0 | 9.93 ± 0.08 | 9.96 ± 0.26 | |||
| 20.0 | 20.02 ± 0.03 | 19.88 ± 0.12 | |||
| Samples | Silicristin (mg/g Sample) | Silydianin (mg/g Sample) | Silibinin α (mg/g Sample) | Silibinin β (mg/g Sample) | Isosilibinin β (mg/g Sample) | Apigenin (mg/g Sample) | Diosmetin (mg/g Sample) |
|---|---|---|---|---|---|---|---|
| CAA | ND | ND | 0.76 ± 0.01 | ND | ND | ND | ND |
| CBA | ND | ND | ND | 0.34 ± 0.05 | ND | ND | ND |
| CFA | ND | ND | 3.15 ± 0.02 | 4.62 ± 0.04 | ND | ND | ND |
| CFF | ND | ND | 1.19 ± 0.04 | 4.13 ± 0.12 | ND | ND | ND |
| CJF | 0.66 ± 0.03 | 9.13 ± 0.30 | 0.48 ± 0.04 | 1.11 ± 0.14 | ND | 5.56 ± 0.09 | 2.82 ± 0.10 |
| CKA | ND | ND | 0.03 ± 0.00 | 0.24 ± 0.00 | ND | 0.08 ± 0.00 | ND |
| CKR | ND | ND | ND | 0.24 ± 0.00 | ND | ND | ND |
| CLA | ND | ND | ND | ND | ND | ND | 1.39 ± 0.01 |
| CLF | ND | ND | ND | ND | 0.33 ± 0.01 | 0.62 ± 0.02 | 1.71 ± 0.05 |
| CH | ND | ND | 0.01 ± 0.00 | 0.01 ± 0.00 | ND | ND | ND |
| DPPH | ABTS | ClO− | FRAP | |
|---|---|---|---|---|
| ABTS | 0.949 | |||
| ClO− | 0.925 | 0.891 | ||
| FRAP | 0.961 | 0.986 | 0.913 | |
| Total Phenolics | 0.940 | 0.897 | 0.900 | 0.923 |
| Total phenylpropanoids | 0.938 | 0.979 | 0.906 | 0.980 |
| Species | Part | Abbreviation | Collection Place |
|---|---|---|---|
| C. arisanense Kitam. (CA) | aerial | CAA | Yuanfeng, Nantou (Altitude 2500–2800 m) |
| flower | CAF | ||
| radix | CAR | ||
| C. brevicaule A. Gray (CB) | aerial | CBA | Tianwei, Changhua (Altitude 25–30 m) |
| radix | CBR | ||
| C. ferum Kitam. (CF) | aerial | CFA | Yuanfeng, Nantou (Altitude 2500–2800 m) |
| flower | CFF | ||
| C. hosokawae Kitam. (CHO) | aerial | CHOA | Alishan, Chiayi (Altitude 1300–1500 m) |
| C. japonicum DC. var. australe Kitam. (CJ) | aerial | CJA | Alishan, Chiayi (Altitude 1300–1500 m) |
| flower | CJF | ||
| radix | CJR | ||
| C. kawakamii Hayata (CK) | aerial | CKA | Alishan, Chiayi (Altitude 1300–1500 m) |
| radix | CKR | ||
| C. lineare (Thunb.) Sch. Bip. (CL) | aerial | CLA | Yuanfeng, Nantou (Altitude 2500–2800 m) |
| flower | CLF | ||
| radix | CLR | ||
| Cirsii Herb (CH) | Herb | CH | Taichung (Altitude 25–30 m) |
| Time (min) | Solvent A (%) | Solvent B (%) |
|---|---|---|
| 0–15 | 90 | 10 |
| 15–25 | 70 | 30 |
| 25–35 | 55 | 45 |
| 35–45 | 35 | 65 |
| 45–50 | 0 | 100 |
| 50–55 | 0 | 100 |
| 55–65 | 90 | 10 |
Publisher’s Note: MDPI stays neutral with regard to jurisdictional claims in published maps and institutional affiliations. |
© 2021 by the authors. Licensee MDPI, Basel, Switzerland. This article is an open access article distributed under the terms and conditions of the Creative Commons Attribution (CC BY) license (https://creativecommons.org/licenses/by/4.0/).
Share and Cite
Zhao, Z.-W.; Chang, H.-C.; Ching, H.; Lien, J.-C.; Huang, H.-C.; Wu, C.-R. Antioxidant Effects and Phytochemical Properties of Seven Taiwanese Cirsium Species Extracts. Molecules 2021, 26, 3935. https://doi.org/10.3390/molecules26133935
Zhao Z-W, Chang H-C, Ching H, Lien J-C, Huang H-C, Wu C-R. Antioxidant Effects and Phytochemical Properties of Seven Taiwanese Cirsium Species Extracts. Molecules. 2021; 26(13):3935. https://doi.org/10.3390/molecules26133935
Chicago/Turabian StyleZhao, Zi-Wei, Hung-Chi Chang, Hui Ching, Jin-Cherng Lien, Hui-Chi Huang, and Chi-Rei Wu. 2021. "Antioxidant Effects and Phytochemical Properties of Seven Taiwanese Cirsium Species Extracts" Molecules 26, no. 13: 3935. https://doi.org/10.3390/molecules26133935
APA StyleZhao, Z.-W., Chang, H.-C., Ching, H., Lien, J.-C., Huang, H.-C., & Wu, C.-R. (2021). Antioxidant Effects and Phytochemical Properties of Seven Taiwanese Cirsium Species Extracts. Molecules, 26(13), 3935. https://doi.org/10.3390/molecules26133935

