Next Article in Journal
Reliable Condensation Curing Silicone Elastomers with Tailorable Properties
Next Article in Special Issue
Local Oral Delivery Agents with Anti-Biofilm Properties for the Treatment of Periodontitis and Peri-Implantitis. A Narrative Review
Previous Article in Journal
First Synthesis of Racemic Trans Propargylamino-Donepezil, a Pleiotrope Agent Able to Both Inhibit AChE and MAO-B, with Potential Interest against Alzheimer’s Disease
 
 
Font Type:
Arial Georgia Verdana
Font Size:
Aa Aa Aa
Line Spacing:
Column Width:
Background:
Article

Thiazole Analogues of the Marine Alkaloid Nortopsentin as Inhibitors of Bacterial Biofilm Formation

Dipartimento di Scienze e Tecnologie Biologiche Chimiche e Farmaceutiche (STEBICEF), Università degli Studi di Palermo, Via Archirafi 32, 90123 Palermo, Italy
*
Author to whom correspondence should be addressed.
Present address: Dipartimento di Farmacia, Università degli Studi di Genova, Viale Benedetto XV 3, 16132 Genova, Italy.
These authors contributed equally to this work.
Molecules 2021, 26(1), 81; https://doi.org/10.3390/molecules26010081
Submission received: 30 October 2020 / Revised: 17 December 2020 / Accepted: 23 December 2020 / Published: 27 December 2020
(This article belongs to the Special Issue Synthetic Small Molecules as Anti-biofilm Agents)

Abstract

Anti-virulence strategy is currently considered a promising approach to overcome the global threat of the antibiotic resistance. Among different bacterial virulence factors, the biofilm formation is recognized as one of the most relevant. Considering the high and growing percentage of multi-drug resistant infections that are biofilm-mediated, new therapeutic agents capable of counteracting the formation of biofilms are urgently required. In this scenario, a new series of 18 thiazole derivatives was efficiently synthesized and evaluated for its ability to inhibit biofilm formation against the Gram-positive bacterial reference strains Staphylococcus aureus ATCC 25923 and S. aureus ATCC 6538 and the Gram-negative strain Pseudomonas aeruginosa ATCC 15442. Most of the new compounds showed a marked selectivity against the Gram-positive strains. Remarkably, five compounds exhibited BIC50 values against S. aureus ATCC 25923 ranging from 1.0 to 9.1 µM. The new compounds, affecting the biofilm formation without any interference on microbial growth, can be considered promising lead compounds for the development of a new class of anti-virulence agents.

Graphical Abstract

1. Introduction

The development of synthetic small molecules able to counteract antibiotic resistance (AMR) mechanisms is urgently needed [1]. In fact, most antibiotics used to date to treat the most common infections are becoming ineffective. Many bacteria, including the well-known ESKAPE pathogens (Enterococcus faecium, Staphylococcus aureus, Klebsiella pneumoniae, Acinetobacter baumannii, Pseudomonas aeruginosa, and Enterobacter species) evolved in highly resistant forms through different mechanisms that include the inactivation of the antibiotic, chemical modification of the antibiotic target, alteration of cell permeability, and biofilm formation [2]. In particular, bacterial biofilm is currently considered one of the most relevant virulence factors, which is capable of making pathogens up to 1000 times more resistant than their planktonic form [3]. It was estimated that more than 80% of chronic infections are caused by biofilm formation on indwelling medical devices or host tissues [4].
Biofilm is a complex multicellular structure in which bacterial cells are embedded in a matrix constituted of extracellular polymeric substance (EPS), which is mainly formed by polysaccharides, proteins, lipids, extracellular DNA (e-DNA), and molecules originating from the host including mucus and DNA [5]. In the past decade, many efforts have been made for identifying new therapeutic strategy able to eradicate biofilm-associated infections, [6] and, despite numerous compounds being described as potent anti-biofilm agents, no new derivative has reached the clinic. The lack of approved anti-biofilm drugs together with the increase in the spread of chronic biofilm-related nosocomial infections make the research in this field particularly relevant.
Among the bioactive scaffolds recently described for their interesting anti-biofilm properties, thiazole derivatives are considered among the most promising compounds [7].
Sulfur-containing heterocycles are often involved in attractive nonbonding interactions that play an important role in the control of molecular conformation. In comparison with other five-membered heterocycles, the thiazole nucleus has unique features due to the presence of the low-lying C−S σ* orbitals. The small regions of low electron density present on the sulfur atom, known as σ-holes, are often involved in drug–target interactions, thus improving the affinity toward the biological receptor [8].
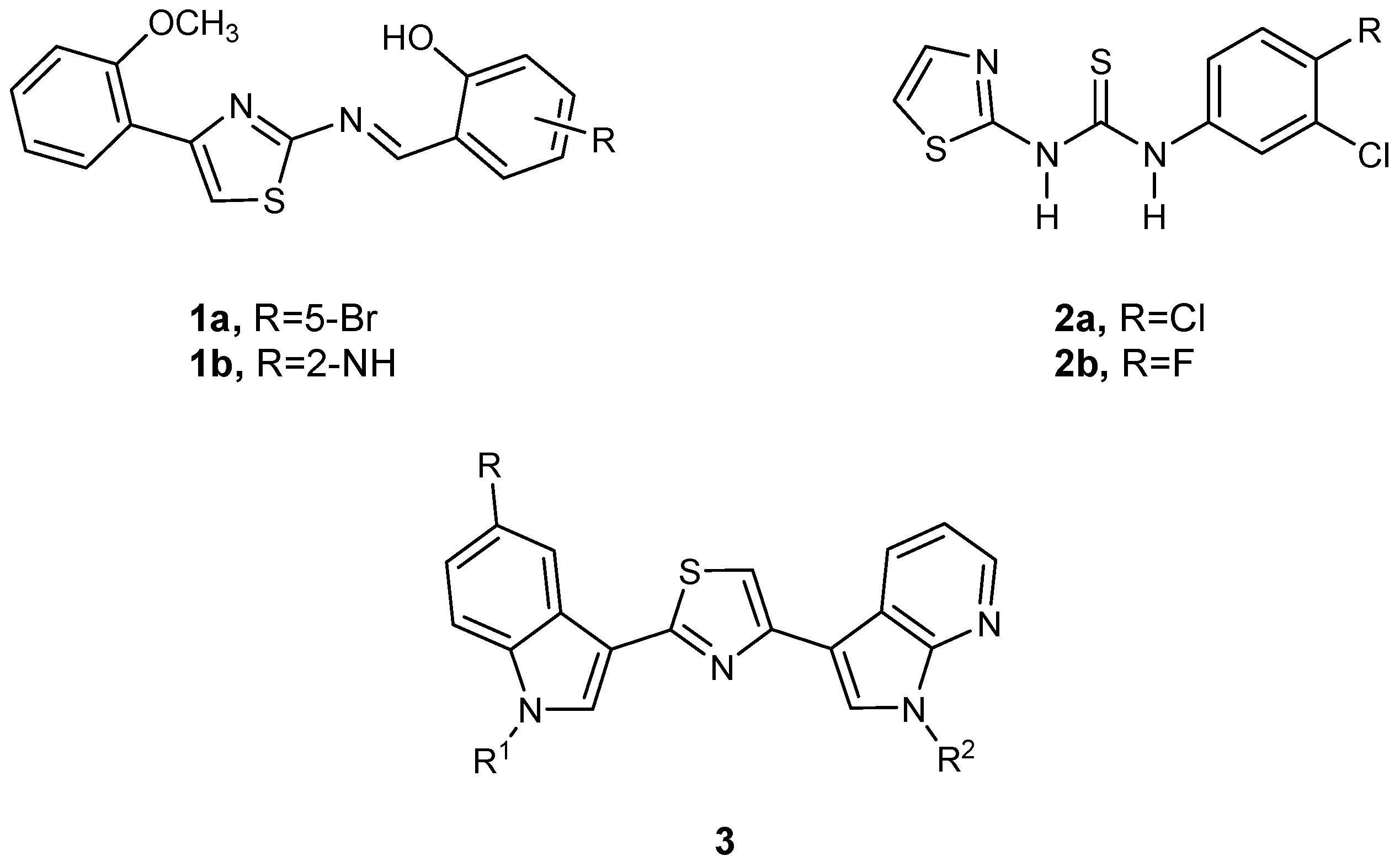
Many thiazole compounds were reported in the last decade as potent anti-biofilm agents. The 4-(o-methoxyphenyl)-2-aminothiazoles 1a,b (Figure 1) were found to be able to significantly inhibit P. aeruginosa biofilm formation at concentrations in the low micromolar range, interfering with the quorum sensing (QS) system [9]. The thiazole derivatives 2a,b (Figure 1) showed potent anti-biofilm activity against eight methicillin-resistant (MRSE) and two reference (ATCC 12228, ATCC 35984) strains of Staphylococcus epidermidis eliciting BIC50 values ranging from 0.35 to 7.32 μg/mL [10].
On the basis of the interesting anti-biofilm properties described for the thiazole scaffold and continuing our search for new nortopsentin alkaloid analogues with promising biological activity [11,12,13], we recently reported the synthesis and the anti-biofilm activity of the new nortopsentin analogues of type 3, in which the imidazole nucleus of the natural compound was replaced by the thiazole ring, and the indole moiety in position 4 was replaced by 7-azaindole (Figure 1) [14]. The thiazole derivatives 3 were tested against S. aureus ATCC 25923, S. aureus ATCC 6538, and P. aeuruginosa ATCC 15442 in order to evaluate their ability to inhibit biofilm formation and microbial growth. Most of the new thiazole nortopsentin analogues proved to be active as inhibitors of biofilm formation exhibiting marked selectivity toward staphylococcal biofilms, showing BIC50 values in the low micromolar range. Compounds of type 3 showed a typical anti-virulence profile, fighting bacterial virulence factors, such as biofilm formation, without interfering with the bacterial growth, thus imposing a low selective pressure for the onset of antibiotic resistance mechanisms.
With the aim to obtain more potent anti-biofilm agents that could be effective in the treatment of staphylococcal infections that are biofilm-mediated, herein, we report the synthesis of a new series of thiazole derivatives, structurally related to the nortopsentin analogues 3, in which the 7-azaindole nucleus in position 4 of the thiazole ring was replaced by a thiophene (1a–q) or a pyridine ring (2a–q), and the aromatic bicyclic system in position 2 of the thiazole nucleus can be either an indole or a 7-azaindole moiety.
In fact, thiophene and pyridine moieties are recognized as valuable scaffolds in the development of potent anti-biofilm derivatives [15,16]. Additionally, the thiophene ring was recently discovered as a key nucleus in a series of compounds able to potently inhibit the virulence of relevant Gram-negative pathogens interfering with bacterial Disulfide bond enzyme A (DsbA) enzymes, which catalyzes disulfide bond formation in secreted and outer membrane proteins with virulence functions [17]. Therefore, since the so-far synthesized thiazole nortopsentin analogues have shown a strong selectivity toward the Gram-positive pathogens, we investigated whether the introduction of the thiophene ring could improve the anti-biofilm activity against the Gram-negative bacteria.

2. Results and Discussion

2.1. Chemistry

The new substituted thiazoles 1 and 2 (Scheme 1, Table 1 and Table 2) were efficiently synthesized by Hantzsch reaction between an appropriate thioamide of type 3–8, previously obtained [18], and a suitable α-bromoacetyl derivative 11,12.
The key intermediates 11,12 were prepared from the corresponding ethanones 9,10. In particular, 1-thiophene-3-yl-ethanone 9 was converted into 2-bromo-1-thiophen-3-yl-ethanone 11 (80%), using bromine in dichloromethane [19]; while 1-pyridin-3-yl-ethanone 10 was turned into 2-bromo-1-pyridin-3-yl-ethanone hydrobromide 12 (90%) by reaction with 48% hydrobromic acid and bromine [20].
The reaction of thioamides 3a–c, 4a–d, 5a–d, 6d, 7a, and 8a with 2-bromo-1-heteroaryl-3-yl-ethanones 11 and 12 provided the desired 3-[4-(thiophen-3-yl)-1,3-thiazol-2-yl]-1H-indoles 1a–n and 3-[4-(pyridin-3-yl)-1,3-thiazol-2-yl]-1H-indole hydrobromides 2a–n in good to excellent yields (74–98% and 73–99%, respectively). The subsequent deprotection of N-tert-butylcarboxylate derivatives 1a,d,g and 2a,d,g using trifluoroacetic acid in dichloromethane under reflux, after neutralization with aqueous hydrogen carbonate solution, gave the thiazoles 1o–q (72–98%), whereas thiazoles 2o–q were directly isolated without neutralization (72–95%).

2.2. Biological Studies

All the new compounds were first tested for evaluating the antibacterial activity against the planktonic form of the Gram-positive S. aureus ATCC 25923, S. aureus ATCC 6538, and of the Gram-negative pathogen P. aeruginosa ATCC 15442. All the new thiazole derivatives, analogously to the precursors 3, did not affect the microbial growth, showing Minimum Inhibitory Concentration (MIC) values greater than 100 µg/mL. This result is in agreement with the desired anti-virulence profile.
Inhibition of biofilm formation of the same bacterial strains was evaluated for all the new derivatives 1a–q and 2a–q at sub-MIC concentrations, and BIC50 values (the concentration of compound needed to inhibit biofilm formation by 50%) were determined for the compounds that showed a percentage of biofilm inhibition greater than 20% at the screening concentration of 10 µg/mL at least against one bacterial strain (Table 3).
All derivatives 1 and most of the compounds 2 showed antibiofilm activity, eliciting, as previously observed for the nortopsentin analogues of type 3, a marked selectivity against the Gram-positive pathogens, in particular toward S. aureus ATCC 25923. Compounds 1l, 2b, 2c, 2i, and 2k exhibited the highest potency with BIC50 values ranging from 1.0 to 9.1 µM. The replacement of the indole ring with the 7-azaindole moiety, as well as its substitution at position 5 with a halogen atom or a methoxy group, does not entail advantages in terms of the biofilm inhibition. Instead, the presence of a methoxyethyl group on the indole nitrogen generally led to an improvement of the antibiofilm activity against the staphylococcal strains. Compounds 1l, 2b, 2c, 2i, and 2k were also tested by using viable plate count, and the activity of inhibition of staphylococcal biofilm formation was reported in terms of log reduction. By using such a method, compound 2i was the most effective compound in interfering with biofilm formation, since it causes the greatest log reduction ranging from 2.62 to 1.73 at concentrations between 10 and 0.1 µg/mL (see Figure 2).
Most of the new thiazole derivatives 1 and 2 were inactive or weakly active against the Gram-negative strain. Only compounds 1a and 2m showed a significant inhibition of P. aeruginosa biofilm formation, eliciting BIC50 values of 14.9 and 5.5 µM, respectively.
Additionally, the most active compounds, for every bacterial strain, were selected and tested at the screening concentration of 100 μg/mL, for evaluating their dispersal activity against the 24 h preformed biofilm. No derivatives was able to interfere with the biofilm architecture; only compound 2m showed weak dispersal activity eliciting a percentage of inhibition of 36% against P. aeruginosa at the screening concentration. Biological results highlighted the ability of the new compounds to interfere with the first stage of the biofilm life cycle, which consists in the bacterial adhesion to surfaces [21]. Anti-adhesion agents represent a valuable alternative to antibiotics, since they deprive the bacterium of its pathogenicity by preventing its adhesion to the host cells.

3. Materials and Methods

3.1. Chemistry

3.1.1. General

All melting points were taken on a Büchi-Tottoly capillary apparatus (Büchi, Cornaredo, Italy) and are uncorrected. IR spectra were determined in bromoform with a Shimadzu FT/IR 8400S spectrophotometer (Shimadzu Corporation, Milan, Italy). 1H and 13C NMR spectra were measured at 200 and 50.0 MHz, respectively, in DMSO-d6 solution, using a Bruker Avance II series 200 MHz spectrometer (Bruker, Milan, Italy). Column chromatography was performed with Merk silica gel 230–400 mesh ASTM or with Büchi Sepacor chromatography module (prepacked cartridge system). Elemental analyses (C, H, and N) were within ± 0.4% of theoretical values. The purity of all the tested compounds was greater than 95%, as determined by HPLC (Agilent 1100 Series).

3.1.2. General Procedures for the Synthesis of Thioamides 3a–c, 4a–d, 5a–d, 6d, 7a, and 8a

These compounds were prepared using procedures previously reported [17,18]. Analytical and spectroscopic data are in agreement with those previously reported.

3.1.3. General Procedures for the Synthesis of 3-bromoacetyl compounds 11 and 12

These compounds were prepared using known procedures (80–90%). Analytical and spectroscopic data are compatible with those previously reported [19,20].

3.1.4. General Procedure for the Synthesis of Thiazole Derivatives (1a–n) and (2a–n)

A suspension of the proper thioamides 3a–c, 4a–d, 5a–d, 6d, 7a, 8a (2 mmol) and bromoacetyl derivatives 11, 12 (2 mmol) in anhydrous ethanol (8 mL) was refluxed for 30 min. After cooling, the obtained precipitate was filtered off, dried, and recrystallized from ethanol to give the desired thiazoles 1a–n and 2a–n.
Tert-Butyl-3-[4-(Thiophen-3-yl)-1,3-Thiazol-2-yl]-1H-Indole-1-Carboxylate (1a)
Yellow solid; yield: 79%; mp: 219–220 °C; IR cm−1: 1750 (CO); 1H NMR (200 MHz, DMSO-d6) δ: 1.68 (s, 9H, 3 x CH3), 7.40–7.53 (m, 2H, H-5′ and H-6′), 7.66–7.74 (m, 2H, H-4″ and H-5″), 8.00 (s, 1H, H-5), 8.10 (dd, 1H, J = 2.8, 1.3 Hz, H-2″), 8.16–8.20 (m, 1H, H-7′), 8.33 (s, 1H, H-2′), 8.47–8.52 (m, 1H, H-4′); 13C (50 MHz, DMSO-d6) δ: 27.6 (3 x q), 84.8 (s), 112.2 (d), 114.9 (d), 121.5 (d), 122.5 (d), 123.8 (d), 125.5 (d), 125.6 (d), 126.3 (d), 126.6 (s), 126.8 (s), 127.1 (d), 135.0 (s), 136.2 (s), 148.6 (s), 150.9 (s), 160.2 (s). Anal. Calcd for C20H18N2O2S2: C, 62.80; H, 4.74; N, 7.32%. Found: C, 62.59; H, 4.56; N, 7.21%.
1-Methyl-3-[4-(Thiophen-3-yl)-1,3-Thiazol-2-yl]-1H-Indole (1b)
Yellow solid; yield: 98%; mp: 248–249 °C; 1H NMR (200 MHz, DMSO-d6) δ: 3.89 (s, 3H, CH3), 7.23–7.36 (m, 2H, H-5′ and H-6′), 7.55–7.72 (m, 3H, H-4″, H-5″ and H-7′), 7.79 (s, 1H, H-5), 8.03 (dd, 1H, J = 2.8, 1.3 Hz, H-2″), 8.19 (s, 1H, H-2′), 8.31–8.35 (m, 1H, H-4′); 13C (50 MHz, DMSO-d6) δ: 32.9 (q), 109.1 (s), 110.0 (d), 110.6 (d), 120.6 (d), 121.1 (d), 122.2 (d), 122.5 (d), 124.5 (s), 126.3 (d), 127.0 (d), 130.8 (d), 136.2 (s), 137.0 (s), 149.8 (s), 162.5 (s). Anal. Calcd for C16H12N2S2: C, 64.83; H, 4.08; N, 9.45%. Found: C, 65.11; H, 3.91; N, 9.59%.
1-(2-Methoxyethyl)-3-[4-(Thiophen-3-yl)-1,3-Thiazol-2-yl]-1H-Indole (1c)
Orange solid; yield: 80%; mp: 169–170 °C; 1H NMR (200 MHz, DMSO-d6) δ: 3.24 (s, 3H, CH3), 3.72 (t, 2H, J = 5.1 Hz, CH2), 4.46 (t, 2H, J = 5.1 Hz, CH2), 7.23–7.33 (m, 2H, H-5′ and H-6′), 7.62–7.81 (m, 3H, H-4″, H-5″ and H-7′), 7.81 (s, 1H, H-5), 8.04 (dd, 1H, J = 2.8, 1.4 Hz, H-2″), 8.17 (s, 1H, H-2′), 8.30–8.34 (m, 1H, H-4′); 13C (50 MHz, DMSO-d6) δ: 45.7 (t), 58.1 (q), 70.6 (t), 109.3 (s), 110.1 (d), 110.9 (d), 120.5 (d), 121.1 (d), 122.3 (d), 122.5 (d), 124.6 (s), 126.3 (d), 127.0 (d), 130.3 (d), 136.1 (s), 136.5 (s), 149.7 (s), 162.4 (s). Anal. Calcd for C18H16N2OS2: C, 63.50; H, 4.74; N, 8.23%. Found: C, 63.26; H, 4.90; N, 8.02%.
Tert-Butyl 5-Methoxy-3-[4-(Thiophen-3-yl)-1,3-Thiazol-2-yl]-1H-Indole-1-Carboxylate (1d)
Pink solid; yield: 89%; mp: 185–186 °C; IR cm−1: 1733 (CO); 1H NMR (200 MHz, DMSO-d6) δ: 1.67 (s, 9H, 3 x CH3), 3.90 (s, 3H, CH3), 7.09 (dd, 1H, J = 9.0, 2.6 Hz, H-6′), 7.66–7.73 (m, 2H, H-4″ and H-7′), 7.98 (s, 1H, H-5), 8.04–8.07 (m, 3H, H-2″, H-4′ and H-5″), 8.29 (s, 1H, H-2′); 13C (50 MHz, DMSO-d6) δ: 27.6 (3 x q), 55.3 (q), 84.7 (s), 103.8 (d), 112.2 (d), 114.2 (d), 114.7 (s), 115.8 (d), 122.4 (d), 126.1 (d), 126.2 (d), 127.2 (d), 127.6 (s), 129.6 (s), 136.2 (s), 148.6 (s), 150.8 (s), 156.2 (s), 160.4 (s). Anal. Calcd for C21H20N2O3S2: C, 61.14; H, 4.89; N, 6.79%. Found: C, 60.89; H, 5.03; N, 6.56%.
5-Methoxy-1-Methyl-3-[4-(Thiophen-3-yl)-1,3-Thiazol-2-yl]-1H-Indole (1e)
Orange solid; yield: 98%; mp: 232–233 °C; 1H NMR (200 MHz, DMSO-d6) δ: 3.86 (s, 3H, CH3), 3.87 (s, 3H, CH3), 6.95 (dd, 1H, J = 8.9, 2.5 Hz, H-6′), 7.48 (d, 1H, J = 8.9 Hz, H-7′), 7.66–7.69 (m, 2H, H-4″ and H-5″), 7.77 (s, 1H, H-5), 7.83 (d, 1H, J = 2.5 Hz, H-4′), 8.00 (dd, 1H, J = 2.7, 1.5 Hz, H-2″), 8.13 (s, 1H, H-2′); 13C (50 MHz, DMSO-d6) δ: 33.1 (q), 55.3 (q), 102.3 (d), 108.5 (s), 109.8 (d), 111.5 (d), 112.4 (d), 122.2 (d), 125.1 (s), 126.2 (d), 127.1 (d), 131.2 (d), 132.2 (s), 136.0 (s), 149.5 (s), 155.0 (s), 162.7 (s). Anal. Calcd for C17H14N2OS2: C, 62.55; H, 4.32; N, 8.58%. Found: C, 62.31; H, 4.15; N, 8.32%.
5-Methoxy-1-(2-Methoxyethyl)-3-[4-(Thiophen-3-yl)-1,3-Thiazol-2-yl]-1H-Indole (1f)
Yellow solid; yield: 91%; mp: 213–214 °C; 1H NMR (200 MHz, DMSO-d6) δ: 3.24 (s, 3H, CH3), 3.69 (t, 2H, J = 5.1 Hz, CH2), 3.87 (s, 3H, CH3), 4.41 (t, 2H, J = 5.1 Hz, CH2), 6.93 (dd, 1H, J = 8.9, 2.5 Hz, H-6′), 7.55 (d, 1H, J = 8.9 Hz, H-7′), 7.64–7.71 (m, 2H, H-4″ and H-5″), 7.78 (s, 1H, H-5), 7.83 (d, 1H, J = 2.5 Hz, H-4′), 8.00 (dd, 1H, J = 2.7, 1.5 Hz, H-2″), 8.10 (s, 1H, H-2′); 13C (50 MHz, DMSO-d6) δ: 45.9 (t), 55.3 (q), 58.1 (q), 70.7 (t), 102.3 (d), 108.8 (s), 109.8 (d), 111.8 (d), 112.3 (d), 121.2 (d), 125.1 (s), 126.2 (d), 127.1 (d), 130.6 (d), 131.6 (s), 136.1 (s), 149.5 (s), 154.9 (s), 162.6 (s). Anal. Calcd for C19H18N2O2S2: C, 61.60; H, 4.90; N, 7.56%. Found: C, 61.45; H, 4.79; N, 7.39%.
Tert-Butyl 5-Bromo-3-[4-(Thiophen-3-yl)-1,3-Thiazol-2-yl]-1H-Indole-1-Carboxylate (1g)
Pink solid; yield: 85%; mp: 174–175 °C; IR cm−1: 1739 (CO); 1H NMR (200 MHz, DMSO-d6) δ: 1.68 (s, 9H, 3 x CH3), 7.64 (dd, 1H, J = 8.9, 2.0 Hz, H-6′), 7.70–7.71 (m, 2H, H-4″ and H-5″), 8.01 (s, 1H, H-5), 8.04 (dd, 1H, J = 2.1, 1.3 Hz, H-2″), 8.11 (d, 1H, J = 8.9 Hz, H-7′), 8.38 (s, 1H, H-2′), 8.61 (d, 1H, J = 2.0 Hz, H-4′); 13C (50 MHz, DMSO-d6) δ: 27.6 (3 x q), 85.4 (s), 112.6 (d), 116.4 (s), 116.9 (d), 119.3 (d), 122.4 (d), 123.8 (d), 126.2 (d), 127.0 (d), 127.3 (s), 128.1 (d), 128.4 (s), 133.9 (s), 136.1 (s), 148.3 (s), 150.9 (s), 159.8 (s). Anal. Calcd for C20H17BrN2O2S2: C, 52.06; H, 3.71; N, 6.07%. Found: C, 51.85; H, 3.94; N, 6.22%.
5-Bromo-1-Methyl-3-[4-(Thiophen-3-yl)-1,3-Thiazol-2-yl]-1H-Indole (1h)
Orange solid; yield: 90%; mp: 250–251 °C; 1H NMR (200 MHz, DMSO-d6) δ: 3.89 (s, 3H, CH3), 7.44 (dd, 1H, J = 8.7, 1.9 Hz, H-6′), 7.58 (d, 1H, J = 8.7 Hz, H-7′), 7.67–7.68 (m, 2H, H-4″ and H-5″), 7.81 (s, 1H, H-5), 7.99 (dd, 1H, J = 2.1, 1.3 Hz, H-2″), 8.24 (s, 1H, H-2′), 8.47 (d, 1H, J = 1.9 Hz, H-4′); 13C (50 MHz, DMSO-d6) δ: 33.1 (q), 108.8 (s), 110.3 (d), 112.8 (d), 113.8 (s), 122.1 (d), 122.8 (d), 125.0 (d), 126.1 (s), 126.2 (d), 127.1 (d), 132.0 (d), 135.8 (s), 136.4 (s), 150.3 (s), 161.8 (s). Anal. Calcd for C16H11BrN2S2: C, 51.20; H, 2.95; N, 7.46%. Found: C, 50.93; H, 2.90; N, 7.18%.
5-Bromo-1-(2-Methoxyethyl)-3-[4-(Thiophen-3-yl)-1,3-Thiazol-2-yl]-1H-Indole (1i)
Yellow solid; yield: 92%; mp: 226–227 °C; 1H NMR (200 MHz, DMSO-d6) δ: 3.24 (s, 3H, CH3), 3.72 (t, 2H, J = 5.0 Hz, CH2), 4.46 (t, 2H, J = 5.0 Hz, CH2), 7.42 (dd, 1H, J = 8.8, 2.0 Hz, H-6′), 7.65 (d, 1H, J = 8.8 Hz, H-7′), 7.63–7.68 (m, 2H, H-4″ and H-5″), 7.81 (s, 1H, H-5), 7.99 (dd, 1H, J = 2.1, 1.3 Hz, H-2″), 8.22 (s, 1H, H-2′), 8.46 (d, 1H, J = 2.0 Hz, H-4′); 13C (50 MHz, DMSO-d6) δ: 46.0 (t), 58.1 (q), 70.6 (t), 109.0 (s), 110.4 (d), 113.1 (d), 113.8 (s), 122.1 (d), 122.7 (d), 125.0 (d), 126.1 (s), 126.2 (d), 127.1 (d), 131.5 (d), 135.4 (s), 136.3 (s), 150.2 (s), 161.8 (s). Anal. Calcd for C18H15BrN2OS2: C, 51.55; H, 3.61; N, 6.68%. Found: C, 51.27; H, 3.77; N, 6.81%.
5-Fluoro-3-[4-(Thiophen-3-yl)-1,3-Thiazol-2-yl]-1H-Indole (1j)
Yellow solid; yield: 74%; mp: 209–210 °C; IR cm−1: 3270 (NH); 1H NMR (200 MHz, DMSO-d6) δ: 7.10 (td, 1H, J = 11.6, 9.2, 2.6 Hz, H-6′), 7.51 (dd, 1H, J = 11.6, 4.6 Hz, H-7′), 7.64–7.71 (m, 2H, H-4″ and H-5″), 7.79 (s, 1H, H-5), 8.01–8.08 (m, 2H, H-2″ and H-4′), 8.23 (d, 1H, J = 2.9 Hz, H-2′); 11.90 (bs, 1H, NH); 13C (50 MHz, DMSO-d6) δ: 105.3 (d, JC6′-F = 24.4 Hz), 110.0 (d), 110.4 (d, JC7′a-F = 4.6 Hz), 110.2 (d, JC4′F = 26.0 Hz), 113.4 (d, JC7′-F = 9.6 Hz), 122.2 (d), 124.5 (d, JC3′a-F = 10.8 Hz), 126.2 (d), 127.0 (d), 128.7 (d), 133.2 (s), 134.3 (s), 136.4 (s), 150.1 (s), 157.9 (d, JC5′-F = 235 Hz). Anal. Calcd for C15H9FN2S2: C, 59.98; H, 3.02; N, 9.33%. Found: C, 59.67; H, 2.93; N, 9.18%.
5-Fluoro-1-Methyl-3-[4-(Thiophen-3-yl)-1,3-Thiazol-2-yl]-1H-Indole (1k)
Yellow solid; yield: 95%; mp: 231–232 °C; 1H NMR (200 MHz, DMSO-d6) δ: 3.90 (s, 3H, CH3), 7.18 (td, 1H, J = 11.7, 9.2, 2.6 Hz, H-6′), 7.57–7.71 (m, 3H, H-4″, H-5″ and H-7′), 7.78 (s, 1H, H-5), 8.02–8.08 (m, 2H, H-2″ and H-4′), 8.25 (s, 1H, H-2′); 13C (50 MHz, DMSO-d6) δ: 33.2 (q), 105.5 (d, JC6′-F = 24.4 Hz), 109.3 (d, JC7′a-F = 4.6 Hz), 110.0 (d), 110.7 (d, JC4′F = 26.3 Hz), 113.5 (d, JC7′-F = 9.7 Hz), 122.6 (d), 124.8 (d, JC3′a-F = 10.8 Hz), 126.2 (d), 127.0 (d), 132.4 (d), 133.8 (s), 136.3 (s), 150.2 (s), 157.2 (d, JC5′-F = 234 Hz), 162.1 (s). Anal. Calcd for C16H11FN2S2: C, 61.12; H, 3.53; N, 8.91%. Found: C, 60.88; H, 3.47; N, 8.74%.
5-Fluoro-1-(2-Methoxyethyl)-3-[4-(Thiophen-3-yl)-1,3-Thiazol-2-yl]-1H-Indole (1l)
Yellow solid; yield: 88%; mp: 200–201 °C; 1H NMR (200 MHz, DMSO-d6) δ: 3.25 (s, 3H, CH3), 3.72 (t, 2H, J = 5.0 Hz, CH2), 4.46 (t, 2H, J = 5.0 Hz, CH2), 7.16 (td, 1H, J = 11.8, 9.2, 2.6 Hz, H-6′), 7.64–7.71 (m, 3H, H-4″, H-5″ and H-7′), 7.80 (s, 1H, H-5), 8.01–8.07 (m, 2H, H-2″ and H-4′), 8.23 (s, 1H, H-2′); 13C (50 MHz, DMSO-d6) δ: 46.0 (t), 58.1 (q), 70.7 (t), 105.5 (d, JC6′-F = 25.0 Hz), 109.5 (d, JC7′a-F = 4.6 Hz), 110.1 (d), 110.7 (d, JC4′F = 26.1 Hz), 117.3 (d, JC7′-F = 9.8 Hz), 122.3 (d), 124.9 (d, JC3′a-F = 10.7 Hz), 126.2 (d), 127.0 (d), 131.8 (d), 133.3 (s), 136.3 (s), 150.2 (s), 158.1 (d, JC5′-F = 234 Hz), 162.0 (s). Anal. Calcd for C18H15FN2OS2: C, 60.31; H, 4.22; N, 7.82%. Found: C, 60.03; H, 4.05; N, 7.64%.
3-[4-(Thiophen-3-yl)-1,3-Thiazol-2-yl]-1H-Pyrrolo[2,3-b]Pyridine (1m)
Yellow solid; yield: 93%; mp: 268–269 °C; IR cm−1: 3273 (NH); 1H NMR (200 MHz, DMSO-d6) δ: 7.37 (dd, 1H, J = 7.9, 4.9 Hz, H-5′), 7.64–7.73 (m, 2H, H-4″ and H-5″), 7.84 (s, 1H, H-5), 8.09 (dd, 1H, J = 2.8, 1.3 Hz, H-2″), 8.34 (d, 1H, J = 2.0 Hz, H-2′), 8.41 (dd, 1H, J = 4.9, 1.5 Hz, H-6′), 8.80 (dd, 1H, J = 7.9, 1.5 Hz, H-4′), 12.50 (bs, 1H, NH); 13C (50 MHz, DMSO-d6) δ: 111.0 (s), 112.1 (d), 118.2 (d), 120.2 (s), 123.4 (d), 127.2 (d), 128.0 (d), 129.2 (d), 134.4 (d), 137.2 (s), 141.0 (d), 145.2 (s), 151.4 (s), 162.1 (s). Anal. Calcd for C14H9N3S2: C, 59.34; H, 3.20; N, 14.83%. Found: C, 59.03; H, 3.44; N, 15.06%.
1-Methyl-3-[4-(Thiophen-3-yl)-1,3-Thiazol-2-yl]-1H-Pyrrolo[2,3-b]Pyridine (1n)
Yellow solid; yield: 96%; mp: 254–255 °C; 1H NMR (200 MHz, DMSO-d6) δ: 3.92 (s, 3H, CH3), 7.34 (dd, 1H, J = 7.9, 4.7 Hz, H-5′), 7.64–7.73 (m, 2H, H-4″ and H-5″), 7.83 (s, 1H, H-5), 8.07 (dd, 1H, J = 2.8, 1.3 Hz, H-2″), 8.38 (s, 1H, H-2′), 8.42 (dd, 1H, J = 4.7, 1.6 Hz, H-6′), 8.72 (dd, 1H, J = 7.9, 1.6 Hz, H-4′); 13C (50 MHz, DMSO-d6) δ: 31.7 (q), 108.3 (s), 110.7 (d), 117.3 (d), 118.0 (s), 122.4 (d), 126.3 (d), 127.0 (d), 131.1 (2 x d), 136.3 (s), 142.2 (d), 146.0 (s), 150.4 (s), 161.3 (s). Anal. Calcd for C15H11N3S2: C, 60.58; H, 3.73; N, 14.13%. Found: C, C, 60.33; H, 3.59; N, 13.89%.
Tert-Butyl 3-[4-(Pyridin-3-yl)-1,3-Thiazol-2-yl]-1H-Indole-1-Carboxylate Hydrobromide (2a)
Pink solid; yield: 90%; mp: 171–172 °C; IR cm−1: 1737 (CO), 3420 (NH+); 1H NMR (200 MHz, DMSO-d6) δ: 1.69 (s, 9H, 3 x CH3), 7.43–7.54 (m, 2H, H-5′ and H-6′), 8.09 (dd, 1H, J = 8.1, 5.4 Hz, H-5″), 8.14–8.23 (m, 1H, H-7′), 8.44 (s, 1H, H-2′), 8.49–8.53 (m, 1H, H-4′), 8.62 (s, 1H, H-5), 8.88 (d, 1H, J = 5.4 Hz, H-6″), 9.08 (d, 1H, J = 8.1 Hz, H-4″), 9.53 (s, 1H, H-2″); 13C (50 MHz, DMSO-d6) δ: 27.6 (3xq), 85.0 (s), 114.3 (s), 115.0 (d), 118.1 (d), 121.5 (d), 124.0 (d), 125.6 (d), 126.3 (d), 126.5 (s), 127.2 (d), 132.4 (s), 134.9 (s), 140.1 (d), 141.3 (d), 141.6 (d), 148.4 (s), 148.5 (s), 161.8 (s). Anal. Calcd for C21H20BrN3O2S: C, 55.03; H, 4.40; N, 9.17%. Found: C, 54.78; H, 4.57; N, 8.98%.
1-Methyl-3-[4-(Pyridin-3-yl)-1,3-Thiazol-2-yl]-1H-Indole Hydrobromide (2b)
Orange solid; yield: 79%; mp: 266–267 °C; IR cm−1 3423 (NH+); 1H NMR (200 MHz, DMSO-d6) δ: 3.91 (s, 3H, CH3), 7.25–7.38 (m, 2H, H-5′ and H-6′), 7.57–7.61 (m, 1H, H-7′), 8.21 (dd, 1H, J = 8.2, 5.7 Hz, H-5″), 8.29 (s, 1H, H-2′), 8.35–8.40 (m, 1H, H-4′), 8.52 (s, 1H, H-5), 8.94 (d, 1H, J = 5.7 Hz, H-6″), 9.21 (d, 1H, J = 8.2 Hz, H-4″), 9.55 (d, 1H, J = 1.7 Hz, H-2″); 13C (50 MHz, DMSO-d6) δ: 32.9 (q); 108.8 (s), 110.7 (d), 116.2 (d), 120.6 (d), 121.3 (d), 122.7 (d), 124.4 (s), 127.5 (d), 131.4 (d), 133.1 (s), 137.0 (s), 139.0 (d), 140.3 (d), 142.1 (d), 147.5 (s), 163.9 (s). Anal. Calcd for: C17H14BrN3S: C, 54.85; H, 3.79; N, 11.29%. Found: C, 54.64; H, 4.00; N, 11.47%.
1-(2-Methoxyethyl)-3-[4-(Pyridin-3-yl)-1,3-Thiazol-2-yl]-1H-Indole Hydrobromide (2c)
Orange solid; yield: 73%; mp: 190–191 °C; IR cm−1 3425 (NH+); 1H NMR (200 MHz, DMSO-d6) δ: 3.24 (s, 3H, CH3), 3.73 (t, 2H, J = 5.0 Hz, CH2), 4.47 (t, 2H, J = 5.0 Hz, CH2), 7.25–7.35 (m, 2H, H-5′ and H-6′), 7.64–7.68 (m, 1H, H-7′), 8.23 (dd, 1H, J = 8.2, 5.8 Hz, H-5″), 8.27 (s, 1H, H-2′), 8.33–8.37 (m, 1H, H-4′), 8.56 (s, 1H, H-5), 8.82 (d, 1H, J = 5.8 Hz, H-6″), 9.24 (d, 1H, J = 8.2 Hz, H-4″), 9.58 (d, 1H, J = 1.5 Hz, H-2″); 13C (50 MHz, DMSO-d6) δ: 45.8 (t), 50.1 (q), 70.6 (t), 109.1 (s), 111.0 (d), 116.3 (d), 120.6 (d), 121.3 (d), 122.7 (d), 124.5 (s), 127.6 (d), 131.0 (d), 133.1 (s), 136.6 (s), 139.1 (d), 140.4 (d), 142.3 (d), 147.5 (s), 163.9 (s). Anal. Calcd for: C19H18BrN3OS: C, 54.81; H, 4.36; N, 10.09%. Found: C, 54.60; H, 4.21; N, 9.92%.
Tert-Butyl 5-Methoxy-3-[4-(Pyridin-3-yl)-1,3-Thiazol-2-yl]-1H-Indole-1-Carboxylate Hydrobromide (2d)
Orange solid; yield: 88%; mp: 154–155 °C; IR cm−1: 1734 (CO), 3422 (NH+); 1H NMR (200 MHz, DMSO-d6) δ: 1.68 (s, 9H, 3 x CH3), 3.91 (s, 3H, CH3), 7.11 (dd, 1H, J = 9.1, 2.6 Hz, H-6′), 7.82 (d, 1H, J = 2.6 Hz, H-4′), 8.05 (d, 1H, J = 9.1 Hz, H-7′), 8.13 (dd, 1H, J = 8.2, 5.6 Hz, H-5″), 8.38 (s, 1H, H-2′), 8.63 (s, 1H, H-5), 8.91 (d, 1H, J = 5.6 Hz, H-6″), 9.07 (d, 1H, J = 8.2 Hz, H-4″), 9.50 (d, 1H, J = 2.0 Hz, H-2″); 13C (50 MHz, DMSO-d6) δ: 27.6 (3 x q), 55.4 (q), 84.9 (s), 103.8 (d), 114.0 (d), 115.8 (d), 118.0 (d), 126.9 (d), 127.2 (d), 129.5 (s), 132.4 (s), 140.0 (d), 141.2 (d), 141.3 (s), 141.5 (d), 148.2 (s), 148.5 (s), 149.7 (s), 156.2 (s), 161.9 (s). Anal. Calcd for: C22H22BrN3O3S: C, 54.10; H, 4.54; N, 8.60%. Found: C, 54.35; H, 4.30; N, 8.46%.
5-Methoxy-1-Methyl-3-[4-(Pyridin-3-yl)-1,3-Thiazol-2-yl]-1H-Indole Hydrobromide (2e)
Orange solid; yield: 96%; mp: 210–211 °C; IR cm−1 3429 (NH+); 1H NMR (200 MHz, DMSO-d6) δ: 3.87 (s, 3H, CH3), 3.90 (s, 3H, CH3), 6.99 (dd, 1H, J = 8.9, 2.4 Hz, H-6′), 7.63 (d, 1H, J = 8.9 Hz, H-7′), 7.83 (d, 1H, J = 2.4 Hz, H-4′), 8.19–8.25 (m, 2H, H-2′ and H-5″), 8.50 (s, 1H, H-5), 8.94 (d, 1H, J = 5.3 Hz, H-6″), 9.20 (d, 1H, J = 8.3 Hz, H-4″), 9.51 (s, 1H, H-2″); 13C (50 MHz, DMSO-d6) δ: 33.1 (q), 55.4 (q), 102.5 (d), 108.4 (s), 111.6 (d), 112.3 (d), 115.9 (d), 125.0 (s), 127.5 (d), 131.7 (d), 132.2 (s), 133.1 (s), 139.1 (d), 140.4 (d), 141.9 (d), 147.4 (s), 155.1 (s), 164.2 (s). Anal. Calcd for: C18H16BrN3OS: C, 53.74; H, 4.01; N, 10.44%. Found: C, 53.50; H, 3.83; N, 10.70%.
5-Methoxy-1-(2-Methoxyethyl)-3-[4-(Pyridin-3-yl)-1,3-Thiazol-2-yl]-1H-Indole Hydrobromide (2f)
Orange solid; yield: 89%; mp: 122–123 °C; IR cm−1 3426 (NH+); 1H NMR (200 MHz, DMSO-d6) δ: 3.24 (s, 3H, CH3), 3.71 (t, 2H, J = 5.0 Hz, CH2), 3.89 (s, 3H, CH3), 4.42 (t, 2H, J = 5.0 Hz, CH2), 6.95 (dd, 1H, J = 8.9, 2.5 Hz, H-6′), 7.56 (d, 1H, J = 8.9 Hz, H-7′), 7.81 (d, 1H, J = 2.5 Hz, H-4′), 8.18–8.22 (m, 2H, H-2′ and H-5″), 8.50 (s, 1H, H-5), 8.93 (d, 1H, J = 5.2 Hz, H-6″), 9.15 (d, 1H, J = 8.4 Hz, H-4″), 9.51 (d, 1H, J = 1.3 Hz, H-2″); 13C (50 MHz, DMSO-d6) δ: 46.0 (t), 55.4 (q), 58.1 (q), 70.6 (t), 102.5 (d), 108.7 (s), 111.9 (d), 112.2 (d), 115.8 (d), 125.1 (s), 127.3 (d), 131.1 (d), 131.7 (s), 133.0 (s), 139.5 (d), 140.8 (d), 141.6 (d), 147.6 (s), 155.0 (s), 164.1 (s). Anal. Calcd for: C20H20BrN3O2S: C, 53.82; H, 4.52; N, 9.41%. Found: C, 53.65; H, 4.47; N, 9.66%.
Tert-Butyl 5-Bromo-3-[4-(Pyridin-3-yl)-1,3-Thiazol-2-yl]-1H-Indole-1-Carboxylate Hydrobromide (2g)
Yellow solid; yield: 78%; mp: 185–186 °C; IR cm−1: 1749 (CO), 3421 (NH+); 1H NMR (200 MHz, DMSO-d6) δ: 1.68 (s, 9H, CH3); 7.63 (dd, 1H, J = 8.9, 2.0 Hz, H-6′), 8.01–8.13 (m, 2H, H-5″ and H-7′), 8.45 (s, 1H, 2′), 8.57 (d, 1H, J = 2.0 Hz, H-4′), 8.60 (s, 1H, H-5), 8.89 (d, 1H, J = 5.5 Hz, H-6″), 8.99 (d, 1H, J = 8.3 Hz, H-4″), 9.46 (d, 1H, J = 1.8 Hz, H-2″); 13C (50 MHz, DMSO-d6) δ: 27.6 (3 x q), 85.5 (s), 113.4 (s), 116.5 (d), 116.8 (s), 118.2 (d), 123.5 (d), 127.1 (d), 127.6 (d), 128.0 (s), 128.1 (d), 132.2 (s), 133.7 (s), 140.3 (d), 140.9 (d), 141.9 (d), 148.1 (s), 148.5 (s), 161.3 (s). Anal. Calcd for: C21H19Br2N3O2S: C, 46.95; H, 3.56; N, 7.82%. Found: C, 47.18; H, 3.41; N, 7.56%.
5-Bromo-1-Methyl-3-[4-(Pyridin-3-yl)-1,3-Thiazol-2-yl]-1H-Indole Hydrobromide (2h)
Orange solid; yield: 94%; mp: 279–280 °C; IR cm−1: 3420 (NH+); 1H NMR (200 MHz, DMSO-d6) δ: 3.89 (s, 3H, CH3), 7.41 (dd, 1H, J = 8.7, 1.9 Hz, H-6′), 7.56 (d, 1H, J = 8.7 Hz, H-7′), 8.18 (dd, 1H, J = 8.2, 5.6 Hz, H-5″), 8.31 (s, 1H, H-2′), 8.43 (d, 1H, J = 1.9 Hz, H-4′), 8.49 (s, 1H, H-5), 8.92 (d, 1H, J = 5.6 Hz, H-6″), 9.09 (d, 1H, J = 8.2 Hz, H-4″), 9.47 (d, 1H, J = 1.8 Hz, H-2″); 13C (50 MHz, DMSO-d6) δ: 33.2 (q), 108.4 (s), 112.9 (d), 114.1 (s), 116.2 (d), 122.7 (d), 125.2 (d), 125.9 (s), 127.3 (d), 132.7 (d), 132.8 (s), 135.8 (s), 139.6 (d), 141.0 (d), 141.4 (d), 147.8 (s), 163.4 (s). Anal. Calcd for: C17H13Br2N3S: C, 45.26; H, 2.90; N, 9.31%. Found: C, 45.44; H, 2.65; N, 9.47%.
5-Bromo-1-(2-Methoxyethyl)-3-[4-(Pyridin-3-yl)-1,3-Thiazol-2-yl]-1H-Indole Hydrobromide (2i)
Red solid; yield: 87%; mp: 196–197 °C; IR cm−1: 3427 (NH+); 1H NMR (200 MHz, DMSO-d6) δ: 3.23 (s, 3H, CH3), 3.72 (t, 2H, J = 5.0 Hz, CH2), 4.46 (t, 2H, J = 5.0 Hz, CH2), 7.42 (dd, 1H, J = 8.8, 2.0 Hz, H-6′), 7.65 (d, 1H, J = 8.8 Hz, H-7′), 8.18 (dd, 1H, J = 8.2, 5.6 Hz, H-5″), 8.32 (s, 1H, H-2′), 8.44 (d, 1H, J = 2.0 Hz, H-4′), 8.51 (s, 1H, H-5), 8.92 (d, 1H, J = 5.6 Hz, H-6″), 9.10 (d, 1H, J = 8.2 Hz, H-4″), 9.49 (d, 1H, J = 1.7 Hz, H-2″); 13C (50 MHz, DMSO-d6) δ: 46.0 (t), 58.1 (q), 70.6 (t), 108.7 (s), 113.2 (d), 114.0 (s), 116.3 (d), 122.7 (d), 125.2 (d), 126.0 (s), 127.2 (d), 132.2 (d), 132.7 (s), 135.5 (s), 139.8 (d), 141.2 (d), 141.3 (d), 148.0 (s), 163.3 (s). Anal. Calcd for: C19H17Br2N3OS: C, 46.08; H, 3.46; N, 8.48%. Found: C, 46.33; H, 3.60; N, 8.66%.
5-Fluoro-3-[4-(Pyridin-3-yl)-1,3-Thiazol-2-yl]-1H-Indole Hydrobromide (2j)
Yellow solid; yield: 90%; mp: 284–285 °C; IR cm−1: 3159 (NH), 3428 (NH+); 1H NMR (200 MHz, DMSO-d6) δ: 7.13 (td, 1H, J = 11.6, 9.3, 2.5 Hz, H-6′), 7.54 (dd, 1H, J = 9.3, 4.6 Hz, H-7′), 8.06–9.19 (m, 2H, H-4′ and H-5″), 8.34 (d, 1H, J = 2.9 Hz, H-2′), 8.48 (s, 1H, H-5), 8.90 (d, 1H, J = 4.8 Hz, H-6″), 9.14 (d, 1H, J = 8.4 Hz, H-4″), 9.54 (d, 1H, J = 1.7 Hz, H-2″), 12.02 (bs, 1H, NH); 13C (50 MHz, DMSO-d6): 105.4 (d, JC6′-F = 24.2 Hz), 110.0 (d, JC’7a-F = 4.6 Hz), 110.9 (d, JC4′-F = 26.2 Hz), 113.5 (d, JC7′-F = 10.2 Hz), 116.2 (d), 124.4 (d, JC3′a-F = 10.9 Hz), 127.4 (d), 129.4 (d), 133.0 (s), 133.2 (s), 139.4 (d), 140.6 (d), 141.9 (d), 147.6 (s), 158.1 (d, JC5′-F = 234 Hz), 164.1 (s). Anal. Calcd for: C16H11BrFN3S: C, 51.08; H, 2.95; N, 11.17%. Found: C, 51.36; H, 3.09; N, 11.41%.
5-Fluoro-1-Methyl-3-[4-(Pyridin-3-yl)-1,3-Thiazol-2-yl]-1H-Indole Hydrobromide (2k)
Orange solid; yield: 92%; mp: 277–278 °C; IR cm−1: 3420 (NH+); 1H NMR (200 MHz, DMSO-d6) δ: 3.89 (s, 3H, CH3), 7.13 (td, 1H, J = 11.7, 9.2, 2.6 Hz, H-6′), 7.60 (dd, 1H, J = 9.2, 4.4 Hz, H-7′), 8.05 (dd, 1H, J = 11.7, 2.6 Hz, H-4′), 8.16 (dd, 1H, J = 8.2, 5.6 Hz, H-5″), 8.32 (s, 1H, H-2′), 8.48 (s, 1H, H-5), 8.91 (d, 1H, J = 5.6 Hz, H-6″), 9.19 (d, 1H, J = 8.2 Hz, H-4″), 9.52 (d, 1H, J = 1.6 Hz, H-2″); 13C (50 MHz, DMSO-d6): 33.2 (q), 105.6 (d, JC6′-F = 24.9 Hz), 110.0 (d, JC’7a-F = 4.6 Hz), 110.9 (d, JC4′-F = 25.7 Hz), 112.1 (d, JC7′-F = 10.3 Hz), 115.9 (d), 124.7 (d, JC3′a-F = 11.0 Hz), 127.2 (d), 132.8 (s), 133.0 (d), 133.8 (s), 139.7 (d), 141.0 (d), 141.5 (d), 147.8 (s), 158.3 (d, JC5′-F = 236 Hz), 163.6 (s). Anal. Calcd for: C17H13BrFN3S: C, 52.32; H, 3.36; N, 10.77%. Found: C, 52.14; H, 3.48; N, 10.53%.
5-Fluoro-1-(2-Methoxyethyl)-3-[4-(Pyridin-3-yl)-1,3-Thiazol-2-yl]-1H-Indole Hydrobromide (2l)
Orange solid; yield: 88%; mp: 202 °C; IR cm−1: 3421 (NH+); 1H NMR (200 MHz, DMSO-d6) δ: 3.24 (s, 3H, CH3), 3.72 (t, 2H, J = 5.1 Hz, CH2), 4.46 (t, 2H, J = 5.1 Hz, CH2), 7.17 (td, 1H, J = 11.7, 9.2, 2.6 Hz, H-6′), 7.69 (dd, 1H, J = 9.2, 4.5 Hz, H-7′), 8.07 (dd, 1H, J = 11.7, 2.6 Hz, H-4′), 8.16 (dd, 1H, J = 8.2, 5.6 Hz, H-5″), 8.33 (s, 1H, H-2′), 8.50 (s, 1H, H-5), 8.91 (d, 1H, J = 5.6 Hz, H-6″), 9.14 (d, 1H, J = 8.2 Hz, H-4″), 9.54 (d, 1H, J = 1.7 Hz, H-2″); 13C (50 MHz, DMSO-d6): 46.1 (t), 58.1 (q), 70.6 (t), 105.6 (d, JC6′-F = 25.0 Hz), 109.2 (d, JC’7a-F = 4.7 Hz), 110.9 (d, JC4′-F = 26.3 Hz), 112.4 (d, JC7′-F = 9.8 Hz), 116.0 (d), 124.8 (d, JC3′a-F = 10.8 Hz), 127.2 (d), 132.5 (d), 132.8 (s), 133.4 (s), 139.9 (d), 141.2 (d), 141.4 (d), 147.9 (s), 162.1 (d, JC5′-F = 234 Hz), 163.6 (s). Anal. Calcd for: C19H17BrFN3OS: C, 52.54; H, 3.95; N, 9.67. Found: C, 52.23; H, 3.77; N, 9.81.
3-[4-(Pyridin-3-yl)-1,3-Thiazol-2-yl]-1H-Pyrrolo[2,3-b]Pyridine Hydrobromide (2m)
Yellow solid; yield: 95%; mp: 324–325 °C; IR cm−1: 3227 (NH), 3423 (NH+); 1H NMR (200 MHz, DMSO-d6) δ: 7.46 (dd, 1H, J = 7.9, 5.1 Hz, H-5′), 8.23 (dd, J = 8.2, 5.7 Hz, 1H, H-5″), 8.47–8.49 (m, 2H, H-2′ and H-6′), 8.63 (s, 1H, H-5), 8.94–8.95 (m, 2H, H-4′ and H-6″), 9.27 (d, 1H, J = 8.2 Hz, H-4″), 9.63 (d, 1H, J = 1.4 Hz, H-2″), 12.50 (bs, 1H, NH); 13C (50 MHz, DMSO-d6): 109.3 (s), 117.3 (2 x d), 118.4 (s), 127.5 (d), 128.8 (d), 132.3 (d), 132.9 (s), 139.2 (d), 140.5 (d), 141.3 (d), 142.4 (d), 145.4 (s), 147.7 (s), 165.0 (s). Anal. Calcd for: C15H11BrN4S: C, 50.15; H, 3.09; N, 15.60%. Found: C, 50.42; H, 3.20; N, 15.83%.
1-Methyl-3-[4-(Pyridin-3-yl)-1,3-Thiazol-2-yl]-1H-Pyrrolo[2,3-b]Pyridine Hydrobromide (2n)
Yellow solid; yield: 99%; mp: 280–282 °C; IR cm−1: 3425 (NH+); 1H NMR (200 MHz, DMSO-d6) δ: 3.92 (s, 3H, CH3), 7.37 (dd, 1H, J = 7.9, 4.8 Hz, H-5′), 8.21 (dd, J = 8.2, 5.7 Hz, 1H, H-5″), 8.44 (dd, 1H, J = 4.8, 1.5 Hz, H-6′), 8.49 (s, 1H, H-2′), 8.58 (s, 1H, H-5), 8.78 (dd, 1H, J = 7.9, 1.5 Hz, H-4′), 8.95 (d, 1H, J = 5.7 Hz, H-6″), 9.23 (d, 1H, J = 8.2 Hz, H-4″), 9.59 (d, 1H, J = 1.7 Hz, H-2”); 13C (50 MHz, DMSO-d6): 31.6 (q), 107.6 (s), 116.9 (d), 117.3 (s), 117.5 (d), 127.5 (d), 130.2 (d), 131.6 (d), 132.9 (s), 139.1 (d), 140.4 (d), 142.3 (d), 143.2 (d), 146.8 (s), 147.6 (s), and 163.2 (s). Anal. Calcd for: C16H13BrN4S: C, 51.48; H, 3.51; N, 15.01%. Found: C, 51.76; H, 3.72; N, 14.92%.

3.1.5. General Procedure for the Synthesis of Thiazole Compounds (1o–q)

To a suspension of appropriate thiazole 1a,d,g (0.38 mL) in DCM (5 mL) trifluoroacetic acid (7.0 mmol, 0.54 mL) was added, and the mixture was heated under reflux for 24 h. After cooling, the mixture was neutralized with saturated aqueous sodium hydrogen carbonate solution and extracted with dichloromethane (3 x 20 mL). The organic phases were dried (Na2SO4), evaporated under reduced pressure, and the obtained residue was recrystallized with ethanol to afford the desidered thiazoles 1o–q.
3-[4-(Thiophen-3-yl)-1,3-THIAZOL-2-yl]-1H-indole (1o)
Yellow solid; yield: 95%; mp: 181–182 °C; IR cm−1: 3216 (NH); 1H NMR (200 MHz, DMSO-d6) δ: 7.22–7.27 (m, 2H, H-5′ and H-6′), 7.50–7.54 (m, 1H, H-7′), 7.64–7.72 (m, 2H, H-4″ and H-5″), 7.81 (s, 1H, H-5), 8.06 (dd, 1H, J = 2.8, 1.4 Hz, H-2″), 8.19 (d, 1H, J = 2.9 Hz, H-2′), 8.29–8.33 (-1H, H-4′); 11.86 (bs, 1H, NH); 13C (50 MHz, DMSO-d6) δ: 109.8 (s), 110.1 (d), 112.3 (d), 120.3 (d), 121.0 (d), 122.4 (d), 122.5 (d), 124.2 (s), 126.3 (d), 127.1 (d), 127.2 (d), 135.9 (s), 136.5 (s), 149.4 (s), 163.0 (s). Anal. Calcd for C15H10N2S2: C, 63.80; H, 3.57; N, 9.92%. Found: C, 63.57; H, 3.45; N, 10.22%.
5-Methoxy-3-[4-(Thiophen-3-yl)-1,3-THIAZOL-2-yl]-1H-indole (1p)
Orange solid; yield: 98%; mp: 183–184 °C; IR cm−1: 3264 (NH); 1H NMR (200 MHz, DMSO-d6) δ: 3.87 (s, 3H, CH3), 6.89 (dd, 1H, J = 8.8, 2.5 Hz, H-6′), 7.40 (d, 1H, J = 8.8 Hz, H-7′), 7.63–7.75 (m, 2H, H-4″ and H-5″), 7.75 (s, 1H, H-5), 7.84 (d, 1H, J = 2.5 Hz, H-4′), 8.00 (dd, 1H, J = 2.8, 1.4 Hz, H-2″), 8.07 (d, 1H, J = 2.9 Hz, H-2′), 11.63 (bs, 1H, NH); 13C (50 MHz, DMSO-d6) δ: 55.2 (q), 102.1 (d), 109.6 (d), 110.1 (s), 112.4 (d), 112.9 (d), 122.0 (d), 124.8 (s), 126.2 (d), 127.0 (d), 127.2 (d), 131.5 (s), 135.5 (s), 150.0 (s), 154.6 (s), 163.0 (s). Anal. Calcd for C16H12N2OS2: C, 61.51; H, 3.87; N, 8.97%. Found: C, 61.30; H, 3.68; N, 9.15%.
5-Bromo-3-[4-(Thiophen-3-yl)-1,3-Thiazol-2-yl]-1H-Indole (1q)
Yellow solid; yield: 72%; mp: 164–165 °C; IR cm−1: 3269 (NH); 1H NMR (200 MHz, DMSO-d6) δ: 7.37 (dd, 1H, J = 8.9, 1.9 Hz, H-6′), 7.49 (d, 1H, J = 8.9 Hz, H-7′), 7.68–7.69 (m, 2H, H-4″ and H-5″), 7.80 (s, 1H, H-5), 8.00 (t, 1H, J = 2.1 Hz, H-2″), 8.22 (d, 1H, J = 2.8 Hz, H-2′), 8.61 (d, 1H, J = 1.9 Hz, H-4′), 11.99 (bs, 1H, NH); 13C (50 MHz, DMSO-d6) δ: 110.0 (s), 110.2 (d), 113.4 (s), 114.2 (d), 122.0 (d), 122.7 (d), 125.0 (d), 126.0 (s), 126.2 (d), 127.1 (d), 128.2 (d), 135.3 (s), 136.5 (s), 150.3 (s), 162.2 (s). Anal. Calcd for C15H9BrN2S2: C, 49.87; H, 2.51; N, 7.75%. Found: C, 49.66; H, 2.42; N, 7.57%.

3.1.6. General Procedure for the Synthesis of Thiazole Derivatives (2o–q)

To a suspension of appropriate thiazole 2a,d,g (0.38 mL) in DCM (5 mL), trifluoroacetic acid (7.0 mmol, 0.54 mL) was added, and the mixture was heated under reflux for 24 h. After cooling, the solvent was evaporated under reduced pressure, and the obtained residue was recrystallized with ethanol to afford the desidered thiazoles 2-q.
3-[4-(Pyridin-3-yl)-1,3-Thiazol-2-yl]-1H-Indole Hydrobromide (2o)
Yellow solid; yield: 72%; mp: 204–205 °C; IR cm−1: 3558 (NH), 3426 (NH+); 1H NMR (200 MHz, DMSO-d6) δ: 7.24–7.31 (m, 2H, H-5′ and H-6′), 7.49–7.57 (m, 1H, H-7′), 8.05 (dd, 1H, J = 8.1, 5.4 Hz, H-5″), 8.25 (d, 1H, J = 2.9 Hz, H-2′), 8.35–8.39 (m, 1H, H-4′), 8.41 (s, 1H, H-5), 8.85 (dd, 1H, J = 5.4, 1.8 Hz, H-6″), 8.99–9.05 (m, 1H, H-4″), 9.49 (d, 1H, J = 1.8 Hz, H-2″), 11.90 (bs, 1H, NH); 13C (50 MHz, DMSO-d6) δ: 109.9 (s), 112.3 (d), 115.8 (d), 120.5 (d), 121.0 (d), 122.6 (d), 124.1 (s), 127.2 (d), 127.6 (d), 132.9 (s), 136.6 (s), 139.9 (d), 141.1 (d), 141.4 (d), 147.8 (s), 164.4 (s). Anal. Calcd for: C16H12BrN3S: C, 53.64; H, 3.38; N, 11.73%. Found: C, 53.43; H, 3.24; N, 11.96%.
5-Methoxy-3-[4-(Pyridin-3-yl)-1,3-Thiazol-2-yl]-1H-Indole Hydrobromide (2p)
Orange solid; yield: 95%; mp: 228–229 °C; IR cm−1: 3313 (NH), 3421 (NH+); 1H NMR (200 MHz, DMSO-d6) δ: 3.89 (s, 3H, CH3), 6.72 (dd, 1H, J = 8.8, 2.5 Hz, H-6′), 7.43 (d, 1H, J = 8.8 Hz, H-7′), 7.84 (d, 1H, J = 2.5 Hz, H-4′), 8.09 (dd, 1H, J = 8.1, 5.5 Hz, H-5″), 8.19 (d, 1H, J = 2.9 Hz, H-2′), 8.42 (s, 1H, H-5), 8.87 (d, 1H, J = 5.5 Hz, H-6″), 9.06 (d, 1H, J = 8.1 Hz, H-4″), 9.50 (d, 1H, J = 2.0 Hz, H-2″), 11.79 (d, 1H, J = 2.9 Hz, NH); 13C (50 MHz, DMSO-d6) δ: 55.3 (q), 102.3 (d), 109.7 (s), 112.4 (d), 113.0 (d), 115.1 (d), 124.7 (s), 126.9 (d), 127.9 (d), 131.6 (s), 132.6 (s), 140.4 (d), 140.6 (d), 141.9 (d), 148.0 (s), 154.8 (s), 164.5 (s). Anal. Calcd for: C17H14BrN3OS: C, 52.59; H, 3.63; N, 10.82%. Found: C, 52.35; H, 3.51; N, 11.08%.
5-Bromo-3-[4-(Pyridin-3-yl)-1,3-Thiazol-2-yl]-1H-Indole Hydrobromide (2q)
Yellow solid; yield: 86%; mp: 245–246 °C; IR cm−1: 3193 (NH), 3422 (NH+); 1H NMR (200MHz, DMSO-d6) δ: 7.40 (dd, 1H, J = 8.6, 2.0 Hz, H-6′), 7.51 (d, 1H, J = 8.6 Hz, H-7′), 8.00 (dd, 1H, J = 8.1, 5.4 Hz, H-5″), 8.31 (d, 1H, J = 2.9 Hz, H-2′), 8.39 (s, 1H, H-5), 8.49 (d, 1H, J = 2.0 Hz, H-4′), 8.82 (d, 1H, J = 5.4 Hz, H-6″), 8.91 (d, 1H, J = 8.1 Hz, H-4″), 9.44 (d, 1H, J = 1.6 Hz, H-2″), 12.09 (bs, 1H, NH); 13C (50 MHz, DMSO-d6) δ: 109.5 (s), 113.6 (s), 114.4 (d), 115.6 (d), 122.6 (d), 125.2 (d), 125.8 (s), 126.7 (d), 129.0 (d), 132.4 (s), 135.3 (s), 140.1 (d), 140.9 (d), 142.3 (d), 148.4 (s), 163.7 (s). Anal. Calcd for: C16H11Br2N3S: C, 43.96; H, 2.54; N, 9.61%. Found: C, 43.68; H, 2.68; N, 9.42%.

3.2. Biology

3.2.1. Minimum Inhibitory Concentrations (MICs) Determination

MICs were determined by using a microdilution method as recommended by CLSI for bacteria that grow aerobically (CLSI) (Clinical and Laboratory Standards Institute. Methods for Dilution Antimicrobial Susceptibility Tests for Bacteria That Grow Aerobically; Approved Standard—Ninth Edition. CLSI document M07-A9 (ISBN 1-56238-783-9 [Print]; ISBN 1-56238-784-7 [Electronic])) and Tryptic Soy Broth (TSB) (VWR International, Leuven, Belgium) as medium. It starts with the preparation of the bacterial suspension by diluting the bacteria grown at 37 °C for 24 h on Tryptic Soy Agar (TSA) (VWR International, LLC, Leuven, Belgium ) in 5 mL of 0.9% NaCl to obtain a culture suspension whose optical density (O.D.) at 570 nm is of about 0.190 (corresponding to 106 colony-forming units CFU/mL); a further dilution 1:20 is always carried out in physiological solution. Serial dilutions 1:2 of the substance to be tested are performed, starting from the highest concentration, in culture medium (TSB); then, 10 μL of the prepared inoculum was added to each well containing substance solution. A positive growth control (test bacterial strain in the medium without inhibitor), a substance control (only the substance solution without inoculum), and a negative control (only the medium without inoculum), to check respectively the bacterial growth, the absorbance of substance at the highest concentration, and the sterility of medium, were also included in the assay. Thus, the plate prepared is incubated at 37 °C for 24 h, MICs were read by a microplate spectrophotometer (GloMax®-Multi Detection System, Promega Italia s.r.l, Milan, Italy) as the lowest concentration of sample whose O.D. at 570 nm is comparable to O.D. values of negative control wells.

3.2.2. Inhibition of Biofilm Formation (Crystal Violet Method)

Bacterial strains were incubated in test tubes with TSB (5 mL) containing 2% w/v glucose at 37 °C for 24 h. After that, the bacterial suspensions were diluted to achieve a turbidity equivalent to a 0.5 McFarland standard. The diluted suspension (2.5 μL) was added to each well of a single cell culture polystyrene sterile, flat-bottom 96-well plate filled with TSB (200 μL) with 2% w/v glucose. Sub-MIC concentration values of all compounds were directly added to the wells to reach concentrations ranging from 100 to 0.1 μM to assess BIC50 values—that is, the concentration at which the percentage of inhibition of biofilm formation is equal to 50%. Plates were incubated at 37 °C for 24 h. After biofilm growth, the content of each well was removed, wells were washed twice with sterile NaCl 0.9% and stained with 200 μL of 0.1% w/v crystal violet solution for 15 min at 37 °C. Excess solution was removed, and the plate was washed twice, using tap water. A volume of 200 μL of ethanol was added to each stained well to solubilize the dye. Optical density (O.D.) was read at 600 nm using a microplate reader (GloMax®-Multi Detection System, Promega Italia s.r.l, Milan, Italy).
The experiments were run at least in triplicates, and three independent experiments were performed.
The percentage of inhibition was calculated through the formula:
% Inhibition = (OD growth − OD sample/OD growth control) × 100.

3.2.3. Antibiofilm Activity Against Pre-Formed Biofilm

A suspension of bacteria (0.5 McFarland standard) was obtained using the procedure described above for the inhibition of biofilm formation test. First, 2.5 mL of suspension was added to each well of a 96-well plate containing TSB (200 μL) with 2% w/v glucose. After the growth of a biofilm (24 h old), the content of each well was removed; then, wells were washed up twice with sterile PBS (Phosphate Buffered Saline) and filled with fresh TSB medium (200 μL). After that, different concentrations of compounds were added starting from a concentration equal or greater than the MIC obtained against the planktonic form of tested strains using TSB as the medium. The microtiter plate was sealed and incubated at 37 °C for further 24 h. The content of each well was removed, wells were washed twice with sterile PBS (100 mL to each well) and the 96-well plate was placed at 37 °C for 1 h before staining with a 0.1% w/v crystal violet solution. After 30 min, plates were washed with tap water to remove any excess stain.
Biofilm formation was determined by solubilizing crystal violet as above described, and the absorbance was read at 540 nm using a microplate reader (Glomax Multidetection System Promega, Promega Italia s.r.l, Milan, Italy). The percentages of inhibition were calculated with the above-reported. Each assay was performed in triplicate and repeated at least twice.

3.2.4. Inhibition of Biofilm Formation (Viable Plate Count)

Compounds 1l, 2b, 2c, 2i, and 2k, which exhibited the highest potency in inhibiting S.aureus ATCC 25923 biofilm formation by the crystal violet method, were tested against the same strain by using a viable plate counts method [22]. Briefly, a suspension of the tested strain was obtained as described in Section 3.2.2. Polystyrene flat-bottom 24-well plates were filled with 2 mL of TSB with 2% w/v glucose; then, we added 25 μL of bacterial suspension and sub-MIC concentrations (10; 5; 1; 0.1 μg/mL) of the above-mentioned compounds and incubated them for 24 h at 37 °C. After that time, the wells were washed 3 times with 1 mL of sterile NaCl (0.9% v/v solution), and the surface of each well was scraped 3 times. The inocula were put in test tubes with 10 mL of NaCl (0.9% v/v solution) and sonicated (ultrasonic nominal power equal to 215 kHz) for 2 min. Eight serial dilutions 1:10 were prepared and 100 μL aliquots of each dilution were plated onto tryptic soy agar (TSA). Then, petri dishes were incubated at 37 °C and CFU/mL were counted after 24 h. Each assay was performed in triplicate and repeated at least twice. Activity was expressed as log reduction with respect to the not treated growth control.

3.2.5. Statistical Analysis

Mean values, standard deviation (SD), and significance testing (p-value) were calculated on a PC with the computer program, Microsoft Excel 2019 (Microsoft Corporation, Redmond, WA, USA).

4. Conclusions

With the aim to identify novel therapeutic approaches targeting antibiotic resistance mechanisms, two new series of 3-[4-(thiophen-3-yl)-1,3-thiazol-2-yl]-1H-indoles 1a-n and 3-[4-(pyridin-3-yl)-1,3-thiazol-2-yl]-1H-indole hydrobromides 2a-n were efficiently synthesized and evaluated for their anti-biofilm activity. For almost all the new compounds, a marked selectivity toward the staphylococcal strains has been observed. In particular, compounds 1l and 2i showed the highest potency against S. aureus ATCC 25923, eliciting BIC50 values of 3.9 and 1.0 µM, respectively. Whereas, the 3-[4-(thiophen-3-yl)-1,3-thiazol-2-yl]-1H-indole 1a and 3-[4-(pyridin-3-yl)-1,3-thiazol-2-yl]-1H-indole 2m proved to be good inhibitors of P. aeruginosa biofilm formation with BIC50 values of 14.9 and 5.5 µM, respectively.
Among the novel approaches evaluated in response to the emergence of the antibiotic resistance, the anti-virulence strategy is considered one of the most encouraging [23]. Disarming the bacteria from their pathogenicity tools, as the biofilm formation, was found to be more beneficial than interfering with their growth. In this scenario, the new thiazole derivatives 1l, 2b, 2c, 2i, and 2m, which proved to be able to interfere with the biofilm formation, without affecting the microbial vital processes, can be considered promising lead compounds for the development of new anti-virulence agents usable for the treatment of biofilm-associated infections or for the prophylaxis of implant surgery.

Author Contributions

A.C., S.C., B.P., D.C., and C.P. performed chemical research and analyzed the data; D.S. and M.G.C. performed biological research and analyzed the data; P.D. and G.C. participated in the design of the research and the writing of the manuscript. All authors have read and agreed to the published version of the manuscript.

Funding

This research was funded by European Union 2014–2020 PON Ricerca e Innovazione grant from the Italian Ministry of Education, University and Research, entitled “PROGEMA—Processi Green per l’Estrazione di Principi Attivi e la Depurazione di Matrici di Scarto e Non” (ARS01_00432) to P.D.

Conflicts of Interest

The authors declare no conflict of interest. The funders had no role in the design of the study; in the collection, analyses, or interpretation of data; in the writing of the manuscript, or in the decision to publish the results.

Sample Availability

Samples of the compounds are available from the authors.

References

  1. Parrino, B.; Schillaci, D.; Carnevale, I.; Giovannetti, E.; Diana, P.; Cirrincione, G.; Cascioferro, S. Synthetic small molecules as anti-biofilm agents in the struggle against antibiotic resistance. Eur. J. Med. Chem. 2019, 161, 154–178. [Google Scholar] [CrossRef] [PubMed]
  2. Cascioferro, S.; Carbone, D.; Parrino, B.; Pecoraro, C.; Giovannetti, E.; Cirrincione, G.; Diana, P. Therapeutic strategies to counteract antibiotic resistance in MRSA biofilm-associated infections. ChemMedChem 2020, 15, 1–17. [Google Scholar] [CrossRef]
  3. Potera, C. ANTIBIOTIC RESISTANCE: Biofilm Dispersing Agent Rejuvenates Older Antibiotics. Environ. Heal. Perspect. 2010, 118, A288. [Google Scholar] [CrossRef]
  4. Sun, F.; Qu, F.; Ling, Y.; Mao, P.; Xia, P.; Chen, H.; Zhou, D. Biofilm-associated infections: Antibiotic resistance and novel therapeutic strategies. Futur. Microbiol. 2013, 8, 877–886. [Google Scholar] [CrossRef]
  5. Parrino, B.; Diana, P.; Cirrincione, G.; Cascioferro, S. Bacterial Biofilm Inhibition in the Development of Effective Anti-Virulence Strategy. Open Med. Chem. J. 2018, 12, 84–87. [Google Scholar] [CrossRef][Green Version]
  6. Parrino, B.; Carbone, D.; Cascioferro, S.; Pecoraro, C.; Giovannetti, E.; Deng, D.; Di Sarno, V.; Musella, S.; Auriemma, G.; Cusimano, M.G.; et al. 1,2,4-Oxadiazole topsentin analogs as staphylococcal biofilm inhibitors targeting the bacterial transpeptidase sortase A. Eur. J. Med. Chem. 2021, 209, 112892. [Google Scholar] [CrossRef]
  7. Cascioferro, S.; Parrino, B.; Carbone, D.; Schillaci, D.; Giovannetti, E.; Cirrincione, G.; Diana, P. Thiazoles, Their Benzofused Systems, and Thiazolidinone Derivatives: Versatile and Promising Tools to Combat Antibiotic Resistance. J. Med. Chem. 2020, 63, 7923–7956. [Google Scholar] [CrossRef]
  8. Beno, B.R.; Yeung, K.-S.; Bartberger, M.D.; Pennington, L.D.; Meanwell, N.A. A Survey of the Role of Noncovalent Sulfur Interactions in Drug Design. J. Med. Chem. 2015, 58, 4383–4438. [Google Scholar] [CrossRef]
  9. More, P.G.; Karale, N.N.; Lawand, A.S.; Narang, N.; Patil, R.H. Synthesis and anti-biofilm activity of thiazole Schiff bases. Med. Chem. Res. 2014, 23, 790–799. [Google Scholar] [CrossRef]
  10. Stefanska, J.; Nowicka, G.; Struga, M.; Szulczyk, D.; Koziol, A.E.; Augustynowicz-Kopec, E.; Napiorkowska, A.; Bielenica, A.; Filipowski, W.; Filipowska, A.; et al. Antimicrobial and anti-biofilm activity of thiourea derivatives incorporating a 2-aminothiazole scaffold. Chem. Pharm. Bull. 2015, 63, 225–236. [Google Scholar] [CrossRef]
  11. Cascioferro, S.; Attanzio, A.; Di Sarno, V.; Musella, S.; Tesoriere, L.; Cirrincione, G.; Diana, P.; Parrino, B. New 1,2,4-Oxadiazole Nortopsentin Derivatives with Cytotoxic Activity. Mar. Drugs 2019, 17, 35. [Google Scholar] [CrossRef] [PubMed]
  12. Parrino, B.; Attanzio, A.; Spanò, V.; Cascioferro, S.; Montalbano, A.; Barraja, P.; Tesoriere, L.; Diana, P.; Cirrincione, G.; Carbone, A. Synthesis, antitumor activity and CDK1 inhibiton of new thiazole nortopsentin analogues. Eur. J. Med. Chem. 2017, 138, 371–383. [Google Scholar] [CrossRef] [PubMed]
  13. Spanò, V.; Attanzio, A.; Cascioferro, S.; Carbone, A.; Montalbano, A.; Barraja, P.; Tesoriere, L.; Cirrincione, G.; Diana, P.; Parrino, B. Synthesis and Antitumor Activity of New Thiazole Nortopsentin Analogs. Mar. Drugs 2016, 14, 226. [Google Scholar] [CrossRef] [PubMed]
  14. Carbone, A.; Parrino, B.; Cusimano, M.G.; Spanò, V.; Montalbano, A.; Barraja, P.; Schillaci, D.; Cirrincione, G.; Diana, P.; Cascioferro, S. New Thiazole Nortopsentin Analogues Inhibit Bacterial Biofilm Formation. Mar. Drugs 2018, 16, 274. [Google Scholar] [CrossRef]
  15. Sommer, R.; Rox, K.; Wagner, S.; Hauck, D.; Henrikus, S.S.; Newsad, S.; Arnold, T.; Ryckmans, T.; Brönstrup, M.; Imberty, A.; et al. Anti-biofilm Agents against Pseudomonas aeruginosa: A Structure-Activity Relationship Study of C-Glycosidic LecB Inhibitors. J. Med. Chem. 2019, 62, 9201–9216. [Google Scholar] [CrossRef]
  16. Nagender, P.; Reddy, G.M.; Kumar, R.N.; Poornachandra, Y.; Kumar, C.G.; Narsaiah, B. Synthesis, cytotoxicity, antimicrobial and anti-biofilm activities of novel pyrazolo[3,4-b]pyridine and pyrimidine functionalized 1,2,3-triazole derivatives. Bioorg. Med. Chem. Lett. 2014, 24, 2905–2908. [Google Scholar] [CrossRef]
  17. Totsika, M.; Vagenas, D.; Paxman, J.J.; Wang, G.; Dhouib, R.; Sharma, P.; Martin, J.L.; Scanlon, M.J.; Heras, B. Inhibition of Diverse DsbA Enzymes in Multi-DsbA Encoding Pathogens. Antioxid Redox Signal 2018, 29, 653–666. [Google Scholar] [CrossRef]
  18. Carbone, A.; Parrino, B.; Di Vita, G.; Attanzio, A.; Spanò, V.; Montalbano, A.; Barraja, P.; Tesoriere, L.; Livrea, M.A.; Diana, P.; et al. Synthesis and antiproliferative activity of thiazolyl-bis-pyrrolo[2,3-b]pyridines and indolyl-thiazolyl-pyrrolo[2,3-c]pyridines, nortopsentin analogues. Mar. Drugs 2015, 13, 460–492. [Google Scholar] [CrossRef]
  19. La Regina, G.; Bai, R.; Rensen, W.; Coluccia, A.; Piscitelli, F.; Gatti, V.; Bolognesi, A.; Lavecchia, A.; Granata, I.; Porta, A.; et al. Design and Synthesis of 2-Heterocyclyl-3-arylthio-1H-indoles as Potent Tubulin Polymerization and Cell Growth Inhibitors with Improved Metabolic Stability. J. Med. Chem. 2011, 54, 8394–8406. [Google Scholar] [CrossRef]
  20. Wang, H.-Y.; Huang, K.; De Jesús, M.; Espinosa, S.; Piñero-Santiago, L.E.; Barnes, C.L.; Ortiz-Marciales, M. Synthesis of enantiopure 1,2-azido and 1,2-amino alcohols via regio- and stereoselective ring-opening of enantiopure epoxides by sodium azide in hot water. Tetrahedron Asymmetry 2016, 27, 91–100. [Google Scholar] [CrossRef]
  21. Cascioferro, S.; Cusimano, M.G.; Schillaci, D. Antiadhesion agents against Gram-positive pathogens. Futur. Microbiol. 2014, 9, 1209–1220. [Google Scholar] [CrossRef] [PubMed]
  22. Di Stefano, V.; Pitonzo, R.; Schillaci, D. Phytochemical and anti-staphylococcal biofilm assessment of Dracaena draco L. Spp. draco resin. Pharmacogn. Mag. 2014, 10, S434–S440. [Google Scholar]
  23. Parrino, B.; Carbone, D.; Cirrincione, G.; Diana, P.; Cascioferro, S. Inhibitors of antibiotic resistance mechanisms: Clinical applications and future perspectives. Futur. Med. Chem. 2020, 12, 357–359. [Google Scholar] [CrossRef] [PubMed]
Figure 1. Chemical structures of the thiazole compounds 1a,b; 2a,b; and 3.
Figure 1. Chemical structures of the thiazole compounds 1a,b; 2a,b; and 3.
Molecules 26 00081 g001
Scheme 1. Synthesis of new thiazole derivatives of type 1a–q and 2a–q. Reagents: (i) (a) Br2, DCM, r.t., 1 h; (b) aq. NaHCO3, 80%; (ii) (a) 48% HBr, r.t. then 80 °C, Br2, 2 h; (b) acetone, 0 °C, 90%; (iii) EtOH, reflux, 30 min, 74–98% for 1a–n and 73–99% for 2a–n; (iv) (a) TFA, DCM, reflux, 24 h; (b) aq NaHCO3, 72–98%; (v) TFA, DCM, reflux, 24 h, 77–95%.
Scheme 1. Synthesis of new thiazole derivatives of type 1a–q and 2a–q. Reagents: (i) (a) Br2, DCM, r.t., 1 h; (b) aq. NaHCO3, 80%; (ii) (a) 48% HBr, r.t. then 80 °C, Br2, 2 h; (b) acetone, 0 °C, 90%; (iii) EtOH, reflux, 30 min, 74–98% for 1a–n and 73–99% for 2a–n; (iv) (a) TFA, DCM, reflux, 24 h; (b) aq NaHCO3, 72–98%; (v) TFA, DCM, reflux, 24 h, 77–95%.
Molecules 26 00081 sch001
Figure 2. Inhibition of staphylococcal biofilm formation (viable plate count). Activity expressed in terms of log reduction. Each value is the average (reported with the SD values and error bars) from at least two independent experiments, p < 0.05.
Figure 2. Inhibition of staphylococcal biofilm formation (viable plate count). Activity expressed in terms of log reduction. Each value is the average (reported with the SD values and error bars) from at least two independent experiments, p < 0.05.
Molecules 26 00081 g002
Table 1. Substituted 3-[4-(thiophen-3-yl)-1,3-thiazol-2-yl]-1H-indoles 1a–q.
Table 1. Substituted 3-[4-(thiophen-3-yl)-1,3-thiazol-2-yl]-1H-indoles 1a–q.
Molecules 26 00081 i001
CompdRR1XCompdRR1X
1aHBocCH1jFHCH
1bHMeCH1kFMeCH
1cHCH2CH2OMeCH1lFCH2CH2OMeCH
1dOMeBocCH1mHHN
1eOMeMeCH1nHMeN
1fOMeCH2CH2OMeCH1oHHCH
1gBrBocCH1pOMeHCH
1hBrMeCH1qBrHCH
1iBrCH2CH2OMeCH
Table 2. Substituted 3-[4-(pyridin-3-yl)-1,3-thiazol-2-yl]-1H-indole hydrobromides 2a–q.
Table 2. Substituted 3-[4-(pyridin-3-yl)-1,3-thiazol-2-yl]-1H-indole hydrobromides 2a–q.
Molecules 26 00081 i002
CompdRR1XCompdRR1X
2aHBocCH2jFHCH
2bHMeCH2kFMeCH
2cHCH2CH2OMeCH2lFCH2CH2OMeCH
2dOMeBocCH2mHHN
2eOMeMeCH2nHMeN
2fOMeCH2CH2OMeCH2oHHCH
2gBrBocCH2pOMeHCH
2hBrMeCH2qBrHCH
2iBrCH2CH2OMeCH
Table 3. Inhibition of biofilm formation, BIC50, µg/mL and µM.
Table 3. Inhibition of biofilm formation, BIC50, µg/mL and µM.
CompS.aureus ATCC 25923S. aureus ATCC 6538P. aeruginosa ATCC 15442
µg/mLµMµg/mLµMµg/mLµM
1an.s.n.s.14.5 ± 0.937.95.7 ± 0.514.9
1bn.s.n.s.n.s.n.s.14.7 ± 1.249.5
1c5.7 ± 0.716.76.6 ± 0.519.3n.s.n.s.
1dn.s.n.s.5.7 ± 0.313.825.7 ± 1.762.2
1en.s.n.s.38.1 ± 1.8116.711.2 ± 0.834.3
1f18.5 ± 0.949.9n.s.n.s.n.s.n.s.
1g8.1 ± 0.417.512.7 ± 0.927.510.6 ± 0.922.9
1h10.1 ± 0.126.9n.s.n.s.n.s.n.s.
1i11.2 ± 0.826.72.04 ± 0.074.8n.s.n.s.
1jn.s.n.s.19.1 ± 0.963.535.6 ± 1.3118.5
1kn.s.n.s.3.9 ± 0.112.4n.s.n.s.
1l1.4 ± 0.093.94.6 ± 0.212.8n.s.n.s.
1mn.s.n.s.3.7 ± 0.0813.0n.s.n.s.
1on.s.n.s.21.8 ± 1.377.112.6 ± 0.744.6
1pn.s.n.s.n.s.n.s.13.6 ± 1.143.5
1qn.s.n.s.16.4 ± 1.245.48.1 ± 0.622.4
2b2.6 ± 0.16.912.9 ± 0.934.6n.s.n.s.
2c3.8 ± 0.29.114.4 ± 1.134.513.3 ± 0.531.9
2en.s.n.s.4.8 ± 0.211.9n.s.n.s.
2hn.s.n.s.17.1 ± 0.937.9n.s.n.s.
2i0.5 ± 0.0081.010.4 ± 0.820.1n.s.n.s.
2j5.6 ± 0.414.89.2 ± 0.724.4n.s.n.s.
2k3.2 ± 0.28.13.0 ± 0.017.6n.s.n.s.
2l6.9 ± 0.415.8n.s.n.s.12.5 ± 1.528.7
2mn.s.n.s.n.s.n.s.0.2 ± 0.0075.5
2o15.2 ± 1.242.46.9 ± 0.519.2n.s.n.s.
2pn.s.n.s.9.8 ± 0.325.2n.s.n.s.
n.s.: not significant because lower than 20% of inhibition percentage at the screening concentration of 100 µg/mL. The averages from at least three independent experiments are reported with standard deviation (SD).
Publisher’s Note: MDPI stays neutral with regard to jurisdictional claims in published maps and institutional affiliations.

Share and Cite

MDPI and ACS Style

Carbone, A.; Cascioferro, S.; Parrino, B.; Carbone, D.; Pecoraro, C.; Schillaci, D.; Cusimano, M.G.; Cirrincione, G.; Diana, P. Thiazole Analogues of the Marine Alkaloid Nortopsentin as Inhibitors of Bacterial Biofilm Formation. Molecules 2021, 26, 81. https://doi.org/10.3390/molecules26010081

AMA Style

Carbone A, Cascioferro S, Parrino B, Carbone D, Pecoraro C, Schillaci D, Cusimano MG, Cirrincione G, Diana P. Thiazole Analogues of the Marine Alkaloid Nortopsentin as Inhibitors of Bacterial Biofilm Formation. Molecules. 2021; 26(1):81. https://doi.org/10.3390/molecules26010081

Chicago/Turabian Style

Carbone, Anna, Stella Cascioferro, Barbara Parrino, Daniela Carbone, Camilla Pecoraro, Domenico Schillaci, Maria Grazia Cusimano, Girolamo Cirrincione, and Patrizia Diana. 2021. "Thiazole Analogues of the Marine Alkaloid Nortopsentin as Inhibitors of Bacterial Biofilm Formation" Molecules 26, no. 1: 81. https://doi.org/10.3390/molecules26010081

APA Style

Carbone, A., Cascioferro, S., Parrino, B., Carbone, D., Pecoraro, C., Schillaci, D., Cusimano, M. G., Cirrincione, G., & Diana, P. (2021). Thiazole Analogues of the Marine Alkaloid Nortopsentin as Inhibitors of Bacterial Biofilm Formation. Molecules, 26(1), 81. https://doi.org/10.3390/molecules26010081

Article Metrics

Back to TopTop