Copper Complexes as Alternative Redox Mediators in Dye-Sensitized Solar Cells
Abstract
1. Introduction
2. Copper Complexes as Redox Mediators in DSSCs
2.1. A Few Representative Examples before 2016
2.2. Copper Complexes with Phenanthroline Ligands
2.3. Copper Complexes with Bipyridine Ligands
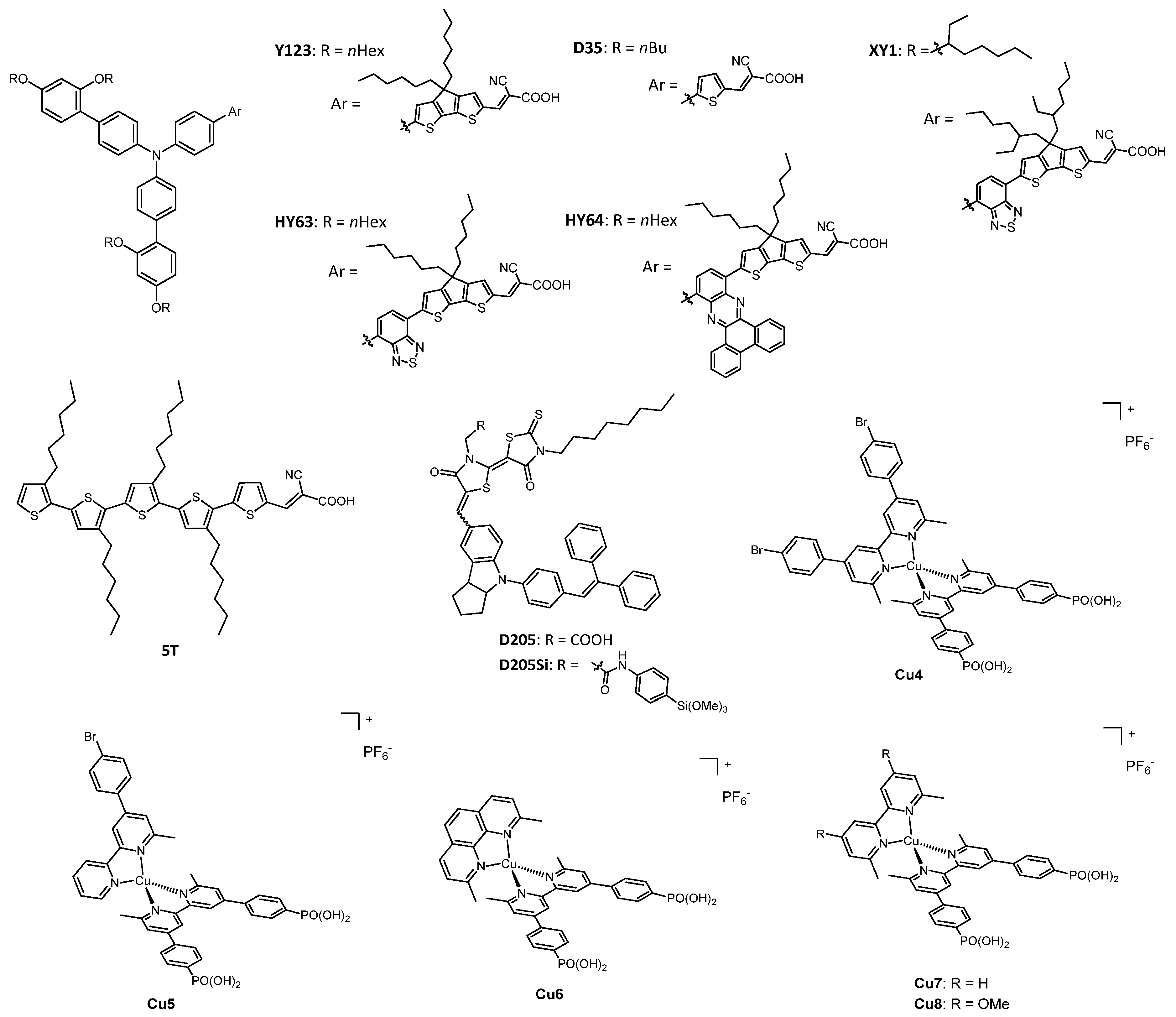
2.4. Copper Complexes with Other Types of Ligands
3. Conclusions
Author Contributions
Funding
Data Availability Statement
Acknowledgments
Conflicts of Interest
References
- O’Regan, B.; Grätzel, M. A Low-Cost, High-Efficiency Solar Cell Based on Dye-Sensitized Colloidal TiO2 Films. Nature 1991, 353, 737–740. [Google Scholar] [CrossRef]
- Nazeeruddin, M.K.; Klein, C.; Liska, P.; Grätzel, M. Synthesis of novel ruthenium sensitizers and their application in dye-sensitized solar cells. Coord. Chem. Rev. 2005, 249, 1460–1467. [Google Scholar] [CrossRef]
- Bredas, J.-L.; Durrant, J.-R. Organic Photovoltaics. Acc. Chem. Res. 2009, 42, 1689–1690. [Google Scholar] [CrossRef] [PubMed]
- Grätzel, M. Recent advances in sensitized mesoscopic solar cells. Acc. Chem. Res. 2009, 42, 1788–1798. [Google Scholar] [CrossRef] [PubMed]
- Nozik, A.J.; Miller, J. Introduction to Solar Photon Conversion. Chem. Rev. 2010, 110, 6443–6445. [Google Scholar] [CrossRef]
- Hagfeldt, A.; Boschloo, G.; Sun, L.; Kloo, L.; Pettersson, H. Dye-Sensitized Solar Cells. Chem. Rev. 2010, 110, 6595–6663. [Google Scholar] [CrossRef]
- Snaith, H.J. Estimating the Maximum Attainable Efficiency in Dye-Sensitized Solar Cells. Adv. Funct. Mater. 2010, 20, 13–19. [Google Scholar] [CrossRef]
- Caramori, S.; Bignozzi, C.A. Electrochemistry of Functional Supramolecular Systems; John Wiley and Sons: Hoboken, NJ, USA, 2010; pp. 523–579. [Google Scholar]
- Vougioukalakis, G.C.; Philippopoulos, A.I.; Stergiopoulos, T.; Falaras, P. Contributions to the development of ruthenium-based sensitizers for dye-sensitized solar cells. Coord. Chem. Rev. 2011, 255, 2602. [Google Scholar] [CrossRef]
- Dragonetti, C.; Valore, A.; Colombo, A.; Roberto, D.; Trifiletti, V.; Manfredi, N.; Salamone, M.M.; Ruffo, R.; Abbotto, A. A new thiocyanate-free cyclometallated ruthenium complex for dye-sensitized solar cells: Beneficial effects of substitution on the cyclometallated ligand. J. Organomet. Chem. 2012, 714, 88–93. [Google Scholar] [CrossRef]
- Abbotto, A.; Coluccini, C.; Dell’Orto, E.; Manfredi, N.; Trifiletti, V.; Salamone, M.M.; Ruffo, R.; Acciarri, M.; Colombo, A.; Dragonetti, C.; et al. Thiocyanate-free cyclometalated ruthenium sensitizers for solar cells based on heteroaromatic-substituted 2-aryl-pyridines. Dalton Trans. 2012, 41, 11731. [Google Scholar] [CrossRef]
- Colombo, A.; Dragonetti, C.; Valore, A.; Coluccini, C.; Manfredi, N.; Abbotto, A. Thiocyanate-free ruthenium(II) 2,2’-bipyridyl complexes for dye-sensitized solar cells. Polyhedron 2014, 82, 50–56. [Google Scholar] [CrossRef]
- Colombo, A.; Dragonetti, C.; Magni, M.; Roberto, D.; Demartin, F.; Caramori, S.; Bignozzi, C.A. Efficient Copper Mediators Based on Bulky Asymmetric Phenanthrolines for DSSCs. ACS Appl. Mater. Interfaces 2014, 6, 13945–13955. [Google Scholar] [CrossRef] [PubMed]
- Li, L.-L.; Diau, E.W.-G. Porphyrin-sensitized solar cells. Chem. Soc. Rev. 2013, 42, 291. [Google Scholar] [CrossRef] [PubMed]
- Housecroft, C.E.; Constable, E.C. The emergence of copper(I)-based dye sensitized solar cells. Chem. Soc. Rev. 2015, 44, 8386. [Google Scholar] [CrossRef] [PubMed]
- Wu, J.; Lan, Z.; Lin, J.; Huang, M.; Huang, Y.; Fan, L.; Luo, G. Electrolytes in Dye-Sensitized Solar Cells. Chem. Rev. 2015, 115, 2136. [Google Scholar] [CrossRef] [PubMed]
- Magni, M.; Giannuzzi, R.; Colombo, A.; Cipolla, M.P.; Dragonetti, C.; Caramori, S.; Carli, S.; Grisorio, R.; Suranna, G.P.; Bignozzi, C.A.; et al. Tetracoordinated Bis-phenanthroline Copper-Complex Couple as Efficient Redox Mediators for Dye Solar Cells. Inorg. Chem. 2016, 55, 5245–5253. [Google Scholar] [CrossRef] [PubMed]
- Sandroni, M.; Pellegrin, Y.; Odobel, F. Heteroleptic bis-diimine copper(I) complexes for applications in solar energy conversion. C. R. Chim. 2016, 19, 79. [Google Scholar] [CrossRef]
- Magni, M.; Biagini, P.; Colombo, A.; Dragonetti, C.; Roberto, D.; Valore, A. Versatile copper complexes as a convenient springboard for both dyes and redox mediators in dye sensitized solar cells. Coord. Chem. Rev. 2016, 322, 69. [Google Scholar] [CrossRef]
- Büttner, A.; Brauchli, S.Y.; Constable, E.C.; Housecroft, C.E. Effects of introducing methoxy groups into the ancillary ligands in bis(diimine) copper(I) dyes for dye-sensitized solar cells. Inorganics 2018, 6, 40. [Google Scholar] [CrossRef]
- Saygili, Y.; Stojanovic, M.; Flores-Díaz, N.; Zakeeruddin, S.M.; Vlachopoulos, N.; Grätzel, M.; Hagfeldt, A. Metal coordination complexes as redox mediators in regenerative dye-sensitized solar cells. Inorganics 2019, 7, 30. [Google Scholar] [CrossRef]
- Iftikhar, H.; Lund, P.D.; Sonai, G.G.; Nogueira, A.F.; Hashmi, S.G. Progress on electrolytes development in dye-sensitized solar cells. Materials 2019, 12, 1998. [Google Scholar] [CrossRef] [PubMed]
- Kavan, L. Electrochemistry and dye-sensitized solar cells. Curr. Opin. Electrochem. 2017, 2, 88–96. [Google Scholar] [CrossRef]
- Mathew, S.; Yella, A.; Gao, P.; Humphry-Baker, R.; Curchod, B.F.E.; Ashari-Astani, N.; Tavernelli, I.; Rothlisberger, U.; Nazeeruddin, M.K.; Grätzel, M. Dye-sensitized solar cells with 13% efficiency achieved through the molecular engineering of porphyrin sensitizers. Nat. Chem. 2014, 6, 242. [Google Scholar] [CrossRef] [PubMed]
- Yella, A.; Lee, H.-W.; Tsao, H.N.; Yi, C.; Chandiran, A.K.; Nazeeruddin, M.K.; Diau, E.W.-G.; Yeh, C.-Y.; Zakeeruddin, S.M.; Graetzel, M. Porphyrin-Sensitized Solar Cells with Cobalt (II/III)-Based Redox Electrolyte Exceed 12% Efficiency. Science 2011, 334, 629. [Google Scholar] [CrossRef] [PubMed]
- Volz, D.; Zink, D.M.; Bocksrocker, T.; Friedrichs, J.; Nieger, M.; Baumann, T.; Lemmer, U.; Bräse, S. Molecular Construction Kit for Tuning Solubility, Stability and Luminescence Properties: Heteroleptic MePyrPHOS-Copper Iodide-Complexes and their Application in Organic Light-Emitting Diodes. Chem. Mater. 2013, 25, 3414–3426. [Google Scholar] [CrossRef]
- Zink, D.M.; Volz, D.; Baumann, T.; Mydlak, M.; Flügge, H.; Friedrichs, J.; Nieger, M.; Bräse, S. Heteroleptic, Dinuclear Copper(I) complexes for Application in Organic Light-Emitting Diodes. Chem. Mater. 2013, 25, 4471–4486. [Google Scholar] [CrossRef]
- Robertson, N. CuI versus RuII: Dye-sensitized solar cells and beyond. ChemSusChem 2008, 1, 977–979. [Google Scholar] [CrossRef]
- Benesperi, I.; Singh, R.; Freitag, M. Copper coordination complexes for energy-relevant applications. Energies 2020, 13, 2198. [Google Scholar] [CrossRef]
- Lazorski, M.S.; Castellano, F.N. Advances in the light conversion properties of Cu(I)-based photosensitizers. Polyhedron 2014, 82, 57–70. [Google Scholar] [CrossRef]
- Hattori, S.; Wada, Y.; Yanagida, S.; Fukuzumi, S. Blue Copper Model Complexes with Distorted Tetragonal Geometry Acting as Effective Electron-Transfer Mediators in Dye-Sensitized Solar Cells. J. Am. Chem. Soc. 2005, 127, 9648–9654. [Google Scholar] [CrossRef]
- Bai, Y.; Yu, Q.; Cai, N.; Wang, Y.; Zhang, M.; Wang, P. High-efficiency organic dye-sensitized mesoscopic solar cells with a copper redox shuttle. Chem. Commun. 2011, 47, 4376–4378. [Google Scholar] [CrossRef] [PubMed]
- Freitag, M.; Giordano, F.; Yang, W.; Pazoki, M.; Hao, Y.; Zietz, B.; Grätzel, M.; Hagfeldt, A.; Boschloo, G. Copper Phenanthroline as a Fast and High-Performance Redox Mediator for Dye-Sensitized Solar Cells. J. Phys. Chem. C 2016, 120, 9595–9603. [Google Scholar] [CrossRef]
- Freitag, M.; Daniel, Q.; Pazoki, M.; Sveinbjörnsson, K.; Zhang, J.; Sun, L.; Hagfeldt, A.; Boschloo, G. High-efficiency dye-sensitized solar cells with molecular copper phenanthroline as solid hole conductor. Energy Environ. Sci. 2015, 8, 2634–2637. [Google Scholar] [CrossRef]
- Colombo, A.; Di Carlo, G.; Dragonetti, C.; Magni, M.; Orbelli Biroli, A.; Pizzotti, M.; Roberto, D.; Tessore, F.; Benazzi, E.; Bignozzi, C.A.; et al. Coupling of Zinc Porphyrin Dyes and Copper Electrolytes: A Springboard for Novel Sustainable Dye-Sensitized Solar Cells. Inorg. Chem. 2017, 56, 14189–14197. [Google Scholar] [CrossRef]
- Higashino, T.; Iiyama, H.; Nishimura, I.; Imahori, H. Exploration on the Combination of Push-Pull Porphyrin Dyes and Copper(I/II) Redox Shuttles toward High-performance Dye-sensitized Solar Cells. Chem. Lett. 2020, 49, 936–939. [Google Scholar] [CrossRef]
- Benazzi, E.; Magni, M.; Colombo, A.; Dragonetti, C.; Caramori, S.; Bignozzi, C.A.; Grisorio, R.; Suranna, G.P.; Cipolla, M.P.; Manca, M.; et al. Bis(1,10-phenanthroline) copper complexes with tailored molecular architecture: From electrochemical features to application as redox mediators in dye-sensitized solar cells. Electrochim. Acta 2018, 271, 180–189. [Google Scholar] [CrossRef]
- Higashino, T.; Iiyama, H.; Nimura, S.; Kurumisawa, Y.; Imahori, H. Effect of Ligand Structures of Copper Redox Shuttles on Photovoltaic Performance of Dye-Sensitized Solar Cells. Inorg. Chem. 2020, 59, 452–459. [Google Scholar] [CrossRef]
- Dragonetti, C.; Magni, M.; Colombo, A.; Melchiorre, F.; Biagini, P.; Roberto, D. Coupling of a Copper Dye with a Copper Electrolyte: A Fascinating Springboard for Sustainable Dye-Sensitized Solar Cells. ACS Appl. Energy Mater. 2018, 1, 751–756. [Google Scholar] [CrossRef]
- Dragonetti, C.; Magni, M.; Colombo, A.; Fagnani, F.; Roberto, F.; Melchiorre, F.; Biagini, P.; Fantacci, S. Towards efficient sustainable full-copper dye-sensitized solar cells. Dalton Trans. 2019, 48, 9818–9823. [Google Scholar] [CrossRef]
- Colombo, A.; Dragonetti, C.; Fagnani, F.; Roberto, D.; Melchiorre, F.; Biagini, P. Improving the efficiency of copper-dye-sensitized solar cells by manipulating the electrolyte solution. Dalton Trans. 2019, 48, 9818–9823. [Google Scholar] [CrossRef]
- Kavan, L.; Saygili, Y.; Freitag, M.; Zakeeruddin, S.M.; Hagfeldt, A.; Grätzel, M. Electrochemical Properties of Cu(II/I)-Based Redox Mediators for Dye-Sensitized Solar Cells. Electrochim. Acta 2017, 227, 194–202. [Google Scholar] [CrossRef]
- Kavan, L.; Krysova, H.; Janda, P.; Tarabkova, H.; Saygili, Y.; Freitag, M.; Zakeeruddin, S.M.; Hagfeldt, A.; Grätzel, M. Novel highly active Pt/graphene catalyst for cathodes of Cu(II/I)-mediated dye-sensitized solar cells. Electrochim. Acta 2017, 251, 167–175. [Google Scholar] [CrossRef]
- Ferdovsi, P.; Saygili, Y.; Zakeeruddin, S.M.; Mokhtari, J.; Grätzel, M.; Hagfeldt, A.; Kavan, L. Alternative bases to 4-tert-butylpyridine for dye-sensitized solar cells employing copper redox mediator. Electrochim. Acta 2018, 265, 194–201. [Google Scholar] [CrossRef]
- Saygili, Y.; Söderberg, M.; Pellet, N.; Giordano, F.; Cao, Y.; Muñoz-García, A.B.; Zakeeruddin, S.M.; Vlachopoulos, N.; Pavone, M.; Boschloo, G.; et al. Copper Bipyridyl Redox Mediators for Dye-Sensitized Solar Cells with High Photovoltage. J. Am. Chem. Soc. 2016, 138, 15087–15096. [Google Scholar] [CrossRef]
- Freitag, M.; Teuscher, J.; Saygili, Y.; Zhang, X.; Giordano, F.; Liska, P.; Hua, J.; Zakeeruddin, S.M.; Moser, J.-E.; Grätzel, M.; et al. Dye-sensitized solar cells for efficient power generation under ambient lighting. Nature Photonics 2017, 11, 372–378. [Google Scholar] [CrossRef]
- Tanaka, E.; Michaels, H.; Freitag, M.; Robertson, N. Synergy of co-sensitizers in a copper bipyridyl redox system for efficient and cost-effective dye-sensitized solar cells in solar and ambient light. J. Mater. Chem. A 2020, 8, 1279–1287. [Google Scholar] [CrossRef]
- Jiang, H.; Ren, Y.; Zhang, W.; Wu, Y.; Socie, E.C.; Irving Carlsen, B.; Moser, J.-E.; Tian, H.; Zakeeruddin, M.S.; Zhu, W.-H.; et al. Phenanthrene-Fused-Quinoxaline as a Key Building Block for Highly Efficient and Stable Sensitizers in Copper-Electrolyte-Based Dye-Sensitized Solar Cells. Angew. Chem. Int. Ed. 2020, 59, 9324–9329. [Google Scholar] [CrossRef]
- Glinka, A.; Gierszewski, M.; Gierczyk, B.; Burdziński, G.; Michaels, H.; Freitag, M.; Ziółek, M. Interface Modification and Exceptionally Fast Regeneration in Copper Mediated Solar Cells Sensitized with Indoline Dyes. J. Phys. Chem. C 2020, 124, 2895–2906. [Google Scholar] [CrossRef]
- Saygili, Y.; Stojanovic, M.; Kim, H.-S.; Teuscher, J.; Scopelliti, R.; Freitag, M.; Zakeeruddin, S.M.; Moser, J.-E.; Grätzel, M.; Hagfeldt, A. Liquid State and Zombie Dye Sensitized Solar Cells with Copper Bipyridine Complexes Functionalized with Alkoxy Groups. J. Phys. Chem. C 2020, 124, 7071–7081. [Google Scholar] [CrossRef]
- Karpacheva, M.; Malzner, F.J.; Wobill, C.; Büttner, A.; Constable, E.C.; Housecroft, C.E. Cuprophilia: Dye-sensitized solar cells with copper(I) dyes and copper(I)/(II) redox shuttles. Dyes Pigment. 2018, 156, 410–416. [Google Scholar] [CrossRef]
- Cong, J.; Kinschel, D.; Daniel, Q.; Safdari, M.; Gabrielsson, E.; Chen, H.; Svensson, P.H.; Sun, L.; Kloo, L. Bis(1,1-bis(2-pyridyl)ethane)copper(I/II) as an efficient redox couple for liquid dye-sensitized solar cells. J. Mater. Chem. A 2016, 4, 14550–14554. [Google Scholar] [CrossRef]
- Michaels, H.; Benesperi, I.; Edvinsson, T.; Muñoz-Garcia, A.B.; Pavone, M.; Boschloo, G.; Freitag, M. Copper Complexes with Tetradentate Ligands for Enhanced Charge Transport in Dye-Sensitized Solar Cells. Inorganics 2018, 6, 53. [Google Scholar] [CrossRef]
- Rodrigues, R.R.; Lee, J.M.; Taylor, N.S.; Cheema, H.; Chen, L.; Fortenberry, R.C.; Delcamp, J.H.; Jurss, J.W. Copper-based redox shuttles supported by preorganized tetradentate ligands for dye-sensitized solar cells. Dalton Trans. 2020, 49, 343–355. [Google Scholar] [CrossRef] [PubMed]







| Dye | Redox Couple | Voc (mV) | Jsc (mA cm−2) | FF | PCE (%) | ηrel, iodine (%) | CE 2,3 | Ref |
|---|---|---|---|---|---|---|---|---|
| LEG4 | Ph2 4 | 1020 | 12.6 | 0.62 | 8.3 | - | PEDOT | [33] |
| LEG4 | Ph2 5 | 1035 | 9.4 | 0.62 | 6.0 | - | PEDOT | [34] |
| LEG4 | Ph2 6 | 1010 | 13.8 | 0.59 | 8.2 | - | PEDOT | [34] |
| LEG4 | Ph2 7 | 1030 | 10.1 | 0.592 | 6.12 | - | Pt | [38] |
| LEG4 | Ph7 7 | 836 | 10.4 | 0.634 | 5.53 | - | Pt | [38] |
| LEG4 | Ph8 7 | 794 | 7.82 | 0.505 | 3.09 | - | Pt | [38] |
| LEG4 | Ph9 7 | 803 | 6.45 | 0.449 | 2.33 | - | Pt | [38] |
| LEG4 | Ph10 7 | 799 | 4.30 | 0.602 | 2.06 | - | Pt | [38] |
| G3 8 | Ph2 9 | 860 | 3.8 | 0.59 | 1.9 | 44.2 10 | Pt | [17] |
| G3 8 | Ph3 9 | 720 | 9.3 | 0.66 | 4.4 | 102 10 | Pt | [17] |
| G3 8 | Ph3 9 | 740 | 8.2 | 0.67 | 4.1 | 95.3 10 | PEDOT | [17] |
| G3 8 | Ph4 11 | 830 | 11.4 | 0.59 | 5.6 | 107 12 | Pt | [37] |
| G3 8 | Ph5 11 | 880 | 8.0 | 0.69 | 4.9 | 94.2 12 | Pt | [37] |
| G3 8 | Ph6 11 | 870 | 11.1 | 0.62 | 6.0 | 115 12 | Pt | [37] |
| G3 8 | Ph7 11 | 860 | 10.1 | 0.66 | 5.7 | 109 12 | Pt | [37] |
| G4 13 | Ph4 11 | 840 | 11.7 | 0.54 | 5.3 | - | Pt | [37] |
| G4 13 | Ph5 11 | 810 | 10.2 | 0.58 | 4.8 | - | Pt | [37] |
| G4 13 | Ph6 11 | 870 | 11.1 | 0.62 | 6.0 | - | Pt | [37] |
| G4 13 | Ph7 11 | 780 | 10.1 | 0.63 | 4.9 | - | Pt | [37] |
| Zn1 | Ph2 14 | 860 | 3.5 | 0.70 | 2.1 | 61.7 15 | PEDOT | [35] |
| Zn1 | Ph3 14 | 680 | 5.6 | 0.77 | 2.9 | 85.3 15 | PEDOT | [35] |
| Zn1 | Ph4 14 | 810 | 5.9 | 0.77 | 3.7 | 109 15 | PEDOT | [35] |
| Zn2 | Ph4 14 | 750 | 4.8 | 0.74 | 2.7 | - | PEDOT | [35] |
| Zn3 16 | Ph2 17 | 890 | 6.89 | 0.65 | 3.98 | - | Pt | [36] |
| Zn3 16 | BP2 17 | 907 | 8.33 | 0.67 | 5.07 | - | Pt | [36] |
| Zn4 16 | Ph2 17 | 864 | 5.06 | 0.69 | 3.03 | - | Pt | [36] |
| Zn4 16 | BP2 17 | 892 | 6.86 | 0.71 | 4.36 | - | Pt | [36] |
| Cu1 | Ph2 16 | 750 | 4.7 | 0.36 | 1.3 | 36.1 17 | Pt | [39] |
| Cu1 | Ph7 16 | 610 | 6.3 | 0.53 | 2.0 | 55.5 17 | Pt | [39] |
| Cu1 | Ph2 16 | 694 | 2.9 | 0.36 | 0.7 | 11.5 (14.9) 18 | Pt | [40] |
| Cu1 | Ph7 16 | 593 | 3.8 | 0.61 | 1.4 | 22.9 (29.8) 18 | Pt | [40] |
| Cu1 | Ph7 19 | 622 | 5.77 | 0.70 | 2.51 | 82.3 (82.8) 20 | Pt | [41] |
| Cu2 | Ph2 16 | 647 | 2.6 | 0.35 | 0.6 | 10.7 (11.5) 18 | Pt | [40] |
| Cu2 | Ph7 16 | 570 | 3.2 | 0.67 | 1.2 | 21.4 (23.1) 18 | Pt | [40] |
| Cu3 | Ph2 16 | 370 | 0.9 | 0.37 | 0.1 | 1.7 (1.9) 18 | Pt | [40] |
| Cu3 | Ph7 16 | 573 | 2.8 | 0.62 | 1.0 | 17.2 (17.8) 18 | Pt | [40] |
| Dye | Redox Couple | Voc (mV) | Jsc (mA cm−2) | FF | PCE (%) | CE | Ref |
|---|---|---|---|---|---|---|---|
| Y123 2 | BP1 3 | 1070 | 14.15 | 0.687 | 10.0 | PEDOT | [45] |
| Y123 | BP2 3 | 1040 | 15.53 | 0.640 | 10.3 | PEDOT | [45] |
| Y123 | BP2 4 | 1070 | 1.50 | 0.71 | 8.01 | PEDOT | [49] |
| Y123 5 | BP2 4 | 1010 | 9.96 | 0.72 | 7.21 | PEDOT | [49] |
| Y123 6 | BP2 4 | 1030 | 10.82 | 0.71 | 7.86 | PEDOT | [49] |
| Y123 2 | BP2 7 | 1087 | 11.815 | 0.786 | 10.06 | PEDOT | [50] |
| Y123 | BP2 8 | 1082 | 10.79 | 0.727 | 8.48 | PEDOT | [50] |
| Y123 | BP2 9 | 1028 | 13.33 | 0.75 | 10.3 | PEDOT | [48] |
| Y123 2 | BP3 10 | 1080 | 12.392 | 0.781 | 10.42 | PEDOT | [50] |
| Y123 | BP3 8 | 918 | 7.57 | 0.772 | 5.43 | PEDOT | [50] |
| Y123 2 | BP4 7 | 1010 | 11.851 | 0.783 | 10.18 | PEDOT | [50] |
| Y123 | BP4 8 | 911 | 3.06 | 0.841 | 2.36 | PEDOT | [50] |
| Y123 | Ph2 11 | 1060 | 13.61 | 0.692 | 10.3 | PEDOT | [45] |
| D35 | BP2 12 | 1100 | 12.48 | 0.72 | 9.90 | PEDOT | [46] |
| D35 | BP2 12,13 | 1010 | 1.63 | 0.74 | 9.90 | PEDOT | [46] |
| D35/XY1 10:1 | BP2 12 | 1050 | 13.26 | 0.71 | 9.90 | PEDOT | [46] |
| D35/XY1 10:1 | BP2 12,13 | 960 | 1.73 | 0.78 | 10.6 | PEDOT | [46] |
| D35/XY1 4:1 | BP2 12 | 1030 | 16.19 | 0.68 | 11.3 | PEDOT | [46] |
| D35/XY1 4:1 | BP2 12,13 | 960 | 2.17 | 0.78 | 13.2 | PEDOT | [46] |
| D35/XY1 1:1 | BP2 12 | 1030 | 15.54 | 0.68 | 10.8 | PEDOT | [46] |
| D35/XY1 1:1 | BP2 12,13 | 960 | 2.07 | 0.79 | 12.6 | PEDOT | [46] |
| D35/XY1 1:4 | BP2 12 | 1030 | 14.66 | 0.67 | 10.1 | PEDOT | [46] |
| D35/XY1 1:4 | BP2 12,13 | 970 | 2.03 | 0.78 | 12.3 | PEDOT | [46] |
| D35/XY1 1:10 | BP2 12 | 1020 | 15.00 | 0.66 | 10.1 | PEDOT | [46] |
| D35/XY1 1:10 | BP2 12,13 | 950 | 2.00 | 0.78 | 11.9 | PEDOT | [46] |
| XY1 | BP2 14 | 1020 | 14.56 | 0.67 | 10.2 | PEDOT | [47] |
| XY1 | BP2 14,15 | 960 | 1.94 | 0.78 | 11.8 | PEDOT | [47] |
| XY1 16 | BP2 14 | 1050 | 11.4 | 0.76 | 9.1 | PEDOT | [47] |
| XY1 | BP2 14,15 | 940 | 1.2 | 0.76 | 8.6 | PEDOT | [47] |
| 5T 17 | BP2 14 | 970 | 9.9 | 0.77 | 7.5 | PEDOT | [47] |
| 5T | BP2 14,15 | 870 | 0.96 | 0.78 | 6.5 | PEDOT | [47] |
| XY1/5T 1:1 18 | BP2 14 | 1040 | 11.8 | 0.74 | 9.1 | PEDOT | [47] |
| XY1/5T 1:1 18 | BP2 14,15 | 950 | 11.25 | 0.80 | 9.4 | PEDOT | [47] |
| HY63 | BP2 9 | 986 | 13.71 | 0.76 | 10.3 | PEDOT | [48] |
| HY63 | BP2 9,19 | 951 | 6.98 | 0.80 | 10.7 | PEDOT | [48] |
| HY63 | BP2 9,15 | 884 | 1.37 | 0.78 | 9.5 | PEDOT | [48] |
| HY64 | BP2 9 | 1025 | 15.76 | 0.77 | 12.5 | PEDOT | [48] |
| HY64 | BP2 9,19 | 1008 | 7.90 | 0.79 | 12.6 | PEDOT | [48] |
| HY64 | BP2 9,15 | 951 | 1.58 | 0.76 | 11.3 | PEDOT | [48] |
| D205 | BP2 4 | 890 | 6.25 | 0.79 | 4.43 | PEDOT | [49] |
| D205 5 | BP2 4 | 920 | 5.86 | 0.82 | 4.38 | PEDOT | [49] |
| D205 6 | BP2 4 | 890 | 6.33 | 0.81 | 4.57 | PEDOT | [49] |
| D205Si | BP2 4 | 890 | 5.76 | 0.77 | 3.92 | PEDOT | [49] |
| D205Si 5 | BP2 4 | 950 | 5.98 | 0.78 | 4.41 | PEDOT | [49] |
| D205Si 6 | BP2 4 | 880 | 6.22 | 0.80 | 4.37 | PEDOT | [49] |
| Cu4 | BP1 20 | 784 | 2.14 | 0.66 | 1.12 | Pt | [51] |
| Cu4 | BP5 21 | 558 | 1.10 | 0.55 | 0.33 | Pt | [51] |
| Cu5 | BP1 20 | 710 | 2.15 | 0.55 | 0.84 | Pt | [51] |
| Cu5 | BP6 22 | 662 | 1.69 | 0.55 | 0.61 | Pt | [51] |
| Cu5 | Ph2 20 | 812 | 3.09 | 0.72 | 1.82 | Pt | [51] |
| Cu6 | BP1 20 | 679 | 2.21 | 0.64 | 0.97 | Pt | [51] |
| Cu6 | BP6 22 | 655 | 1.88 | 0.52 | 0.64 | Pt | [51] |
| Cu6 | BP7 20 | 681 | 3.44 | 0.75 | 1.76 | Pt | [51] |
| Cu6 | Ph2 20 | 804 | 2.98 | 0.74 | 1.76 | Pt | [51] |
| Cu7 | BP1 20 | 689 | 2.29 | 0.60 | 0.95 | Pt | [51] |
| Cu7 | BP6 22 | 648 | 1.97 | 0.43 | 0.54 | Pt | [51] |
| Cu7 | BP7 20 | 686 | 3.85 | 0.76 | 2.00 | Pt | [51] |
| Cu7 | Ph2 20 | 796 | 2.80 | 0.73 | 1.63 | Pt | [51] |
| Cu8 | BP1 20 | 702 | 2.27 | 0.61 | 0.97 | Pt | [51] |
| Cu8 | BP7 20 | 684 | 4.01 | 0.75 | 2.06 | Pt | [51] |
| Cu8 | Ph2 20 | 788 | 2.66 | 0.73 | 1.53 | Pt | [51] |
| Dye | Redox Couple | Voc (mV) | Jsc (mA cm−2) | FF | PCE (%) | CE | Ref |
|---|---|---|---|---|---|---|---|
| LEG4 | Cu(bpye)2 2 | 904 | 13.8 | 0.718 | 9.0 | PEDOT | [52] |
| LEG4 | Cu(bpye)2 2,3 | 895 | 14.1 | 0.713 | 9.0 | PEDOT | [52] |
| LEG4 | Cu(bpye)2 2,4 | 885 | 7.3 | 0.764 | 9.9 | PEDOT | [52] |
| LEG4 | Cu(bpye)2 2,5 | 842 | 1.3 | 0.808 | 8.7 | PEDOT | [52] |
| Y123 | Cu(oxabpy) 6 | 920 | 9.75 | 0.69 | 6.2 | PEDOT | [53] |
| Y123 | Cu(oxabpy) 6,7 | 855 | 1.32 | 0.79 | 8.9 | PEDOT | [53] |
| Y123 | BP1 6,8 | 1040 | 10.5 | 0.71 | 7.8 | PEDOT | [53] |
| Y123 | BP1 6, 7,8 | 875 | 1.44 | 0.78 | 10.0 | PEDOT | [53] |
| Y123 | Cu(1) 9 | 689 | 5.7 | 0.77 | 3.1 | PEDOT | [54] |
| Y123 | Cu(1) 9,10 | 618 | 4.2 | 0.67 | 1.8 | PEDOT | [54] |
| Y123 | Cu(1) 9,11 | 605 | 2.9 | 0.74 | 1.4 | PEDOT | [54] |
| Y123 | Cu(1) 9,12 | 470 | 0.5 | 0.62 | 0.2 | PEDOT | [54] |
| Y123 | Cu(2) 9 | 693 | 10.2 | 0.72 | 4.7 | PEDOT | [54] |
| Y123 | Cu(2) 9,13 | 712 | 10.7 | 0.68 | 4.8 | PEDOT | [54] |
| Y123 | Cu(2) 9,10 | 784 | 7.4 | 0.76 | 4.5 | PEDOT | [54] |
| Y123 | Cu(2) 9 | 641 | 14.1 | 0.45 | 4.1 | Pt | [54] |
| Y123 | Cu(2) 9,13 | 671 | 13.0 | 0.49 | 4.4 | Pt | [54] |
| Y123 | Cu(2) 9,10 | 630 | 12.5 | 0.42 | 3.2 | Pt | [54] |
| Y123 | Cu(2) 9,11 | 686 | 12.3 | 0.47 | 3.9 | Pt | [54] |
| Y123 | Cu(2) 9,14 | 643 | 8.1 | 0.60 | 3.1 | Pt | [54] |
| Y123 | Cu(3) 9 | 792 | 7.9 | 0.75 | 4.3 | PEDOT | [54] |
| Y123 | Cu(3) 9 | 678 | 10.2 | 0.45 | 3.2 | Pt | [54] |
| Y123 | Cu(bpye)2 9,15 | 627 | 13.2 | 0.65 | 5.6 | PEDOT | [54] |
| Y123 | Cu(bpye)2 9,15 | 651 | 9.7 | 0.48 | 3.1 | Pt | [54] |
Publisher’s Note: MDPI stays neutral with regard to jurisdictional claims in published maps and institutional affiliations. |
© 2021 by the authors. Licensee MDPI, Basel, Switzerland. This article is an open access article distributed under the terms and conditions of the Creative Commons Attribution (CC BY) license (http://creativecommons.org/licenses/by/4.0/).
Share and Cite
Colombo, A.; Dragonetti, C.; Roberto, D.; Fagnani, F. Copper Complexes as Alternative Redox Mediators in Dye-Sensitized Solar Cells. Molecules 2021, 26, 194. https://doi.org/10.3390/molecules26010194
Colombo A, Dragonetti C, Roberto D, Fagnani F. Copper Complexes as Alternative Redox Mediators in Dye-Sensitized Solar Cells. Molecules. 2021; 26(1):194. https://doi.org/10.3390/molecules26010194
Chicago/Turabian StyleColombo, Alessia, Claudia Dragonetti, Dominique Roberto, and Francesco Fagnani. 2021. "Copper Complexes as Alternative Redox Mediators in Dye-Sensitized Solar Cells" Molecules 26, no. 1: 194. https://doi.org/10.3390/molecules26010194
APA StyleColombo, A., Dragonetti, C., Roberto, D., & Fagnani, F. (2021). Copper Complexes as Alternative Redox Mediators in Dye-Sensitized Solar Cells. Molecules, 26(1), 194. https://doi.org/10.3390/molecules26010194

