Abstract
The reaction between Dy(NO3)3∙6H2O and the bulky Schiff base ligand, N-naphthalidene-2-amino-5-chlorobenzoic acid (nacbH2), in the presence of the organic base NEt3 has led to crystallization and structural, spectroscopic and magnetic characterization of a new heptanuclear [Dy7(OH)6(OMe)2(NO3)1.5(nacb)2(nacbH)6(MeOH)(H2O)2](NO3)1.5 (1) compound in ~40% yield. Complex 1 has a unique hourglass-like metal topology, among all previously reported {Dy7} clusters, comprising two distorted {Dy4(μ3-OH)3(μ3-OMe)}8+ cubanes that share a common metal vertex (Dy2). Peripheral ligation about the metal core is provided by the carboxylate groups of four η1:η1:η1:μ single-deprotonated nacbH− and two η1:η1:η2:η1:μ3 fully-deprotonated nacb2− ligands. Complex 1 is the first structurally characterized 4f-metal complex bearing the chelating/bridging ligand nacbH2 at any protonation level. Magnetic susceptibility studies revealed that 1 exhibits slow relaxation of magnetization at a zero external dc field, albeit with a small energy barrier of ~5 K for the magnetization reversal, most likely due to the very fast quantum-tunneling process. The combined results are a promising start to further explore the reactivity of nacbH2 upon all lanthanide ions and the systematic use of this chelate ligand as a route to new 4f-metal cluster compounds with beautiful structures and interesting magnetic dynamics.
1. Introduction
The recent interest in 4f-metal chemistry has leaned towards the fields of molecular nanomagnetism, spintronics and quantum computation [1]. This is primarily due to the ability of several lanthanide complexes to act as single-ion/molecule magnets (SIMs/SMMs) under an appropriate crystal field [2,3,4]. The large number of unpaired electrons, in combination with the significant magnetic anisotropy originating from the unquenched spin-orbit coupling and the ligand field effects, of some lanthanide ions, such as DyIII and TbIII, render them promising candidates for SIM/SMM behaviors [5,6,7,8]. The latter are molecular, 0-D compounds that exhibit slow relaxation of their magnetization in the absence of an external magnetic field [9], as evidenced by the appearance of frequency-dependent out-of-phase (χΜ′′) signals below a blocking temperature (TB) and hysteresis loops, the diagnostic property of a magnet [10]. To this end, the optimization of the lanthanide’s coordination polyhedron appears as a prerequisite for the synthesis of efficient SIMs with large energy barriers (Ueff) and high TB [11]; indeed, a recently reported organometallic dysprosium metallocene displayed magnetic hysteresis above liquid-nitrogen temperatures and a Ueff barrier of 1541 cm−1 [12].
In contrast to mononuclear SIMs, the polynuclear 4f-metal clusters usually exhibit weak SMM behaviors due to the fast-tunneling rates, which is a consequence of the different lanthanide coordination environments with distorted, low-symmetry geometries and the random orientation of the individual anisotropy axes [13]. However, this drawback is compensated by the aesthetically beautiful structures that these nanoscale molecular compounds frequently possess [14]. These structural motifs often resemble, at the molecular level, the repeating units and properties of some important nanoscale materials, such as brucites, perovskites and honeycombs, to name a few. The aggregation process in 4f-metal cluster chemistry is mostly based on the metal-assisted hydrolysis reactions in the presence of organic chelating/bridging ligands, which assist towards the stabilization of the internal {LnxOy(OH)z} metal cores and the crystallization of the resulting molecular species [15]. Hence, it becomes apparent that the choice of the organic chelate ligand is of paramount importance in the quest for high-nuclearity 4f-metal complexes and SMMs.
Our group has had a longstanding interest in the use of Schiff base ligands that resemble the scaffold of the well-known N-salicylidene-o-aminophenol (saphH2, Scheme 1) chelate towards the synthesis of nanosized 3d- and 4f-metal compounds with potentially interesting magnetic and optical properties [16,17]. The first member of this family of chelates has been the N-salicylidene-2-amino-5-chlorobenzoic acid (sacbH2, Scheme 1), a tetradentate chelating and bridging ligand that has proved its ability to stabilize high-nuclearity 3d-metal clusters [18] and polymers [19] with unprecedented structures but with rather trivial magnetic properties. However, when sacbH2 was used in DyIII chemistry, a small in nuclearity {Dy2} compound was isolated, but its magnetic characterization unveiled an interesting SMM behavior with an energy barrier of 109 K and out-of-phase peaks of signals below ~25 K [20]. Based on these findings, we have decided to turn our attention to the chemically and electronically similar ligand N-naphthalidene-2-amino-5-chlorobenzoic acid (nacbH2, Scheme 1), which is sterically though more rigid, and its solubility in organic solvents differs significantly from that of sacbH2. These combined factors were the main reasons for the isolation and structural characterization of a series of totally different 3d-metal/nacb2− clusters [21,22] when compared to the obtained results from similar systems with sacbH2 chelate.
Scheme 1.
Structural formulae and abbreviations of the Schiff base ligands discussed in the text.
Given the absence of any previous use of nacbH2 in 4f-metal chemistry, we herein report our first results from the study of the tertiary DyIII/NO3−/nacbH2 system, which has led us to the crystallization, spectroscopic and magnetic characterization of a new [Dy7(OH)6(OMe)2(NO3)1.5(nacb)2(nacbH)6(MeOH)(H2O)2](NO3)1.5 (1) cluster with a unique hourglass-like metal topology and slow relaxation of magnetization. It is worth noting that the same reaction system, but with sacbH2 in place of nacbH2, has yielded the dinuclear compound [Dy2(NO3)4(sacbH)2(H2O)2(MeCN)2] with different structural and magnetic properties [20].
2. Results and Discussion
2.1. Synthetic Comments
At first glance, the tertiary DyIII/NO3−/nacbH2 reaction system appears as a simple synthetic scheme to employ for the preparation of high-nuclearity 4f-metal clusters. However, this route allows nacbH2 to unveil (under the deprotonated forms, i.e., nacbH− and/or nacb2−) its bridging/chelating affinity to the lanthanide metal centers, free of any ancillary bridging anions, such as carboxylates, β-diketonates or pseudohalides, which are frequently used in more complicated reactions schemes [23]. The NO3− ions can—in principle—play a dual role; they can act as bidentate chelating groups (through their O-donor atoms) to fulfill the large coordination numbers of the oxophilic 4f-metal ions, and they can also act as counterions to stabilize cationic cluster compounds in solution and, subsequently, in the solid-state. In such a reaction scheme, the presence of an external organic base, such as NEt3, is an important synthetic parameter; a relatively weak base can behave as a proton acceptor to facilitate the complete deprotonation of the organic chelate, thus unfolding all the coordination capacity of the ligand’s donor atoms, and promote further the metal-assisted deprotonation of H2O (from starting materials and solvents) to O2− and/or OH− groups, which are usually holding the metal centers together in the internal cluster cores [24]. A strong base, such as R4NOH (R = Me, Et, Bu), could also play a similar role, but their use is often accompanied by the formation of amorphous lanthanide oxides or hydroxides, which are detrimental to the crystallization of a high-nuclearity compound. Therefore, the 1:1:3 reaction between Dy(NO3)3∙5H2O, nacbH2 and NEt3, in a solvent mixture comprising MeOH and MeCN, has led to the heptanuclear cluster compound [Dy7(OH)6(OMe)2(NO3)1.5(nacb)2(nacbH)6(MeOH)(H2O)2](NO3)1.5 (1) as yellow needle-like crystals of 40% isolated yield. The general formation of 1 is summarized by the following stoichiometric Equation (1).
7 Dy(NO3)3∙5H2O + 8 nacbH2 + 3 MeOH + 18 NEt3 →
[Dy7(OH)6(OMe)2(NO3)1.5(nacb)2(nacbH)6(MeOH)(H2O)2](NO3)1.5 +
18 (Et3NH)(NO3) + 27 H2O
[Dy7(OH)6(OMe)2(NO3)1.5(nacb)2(nacbH)6(MeOH)(H2O)2](NO3)1.5 +
18 (Et3NH)(NO3) + 27 H2O
The choice of the organic solvate media was proved to be a decisive factor for the growth of single crystals of 1∙5MeOH∙MeCN suitable for X-ray diffraction studies. When only MeOH was used as the reaction solvent, a yellow crystalline solid was isolated and identified as 1, on the basis of IR spectroscopy and elemental (C, H and N) analyses. In contrast, when MeCN was solely used as the reaction solvent, orange-colored amorphous precipitates were formed that we were unable to characterize and derive any accurate conclusions. Reactions in different solvent mixtures did not afford any additional crystalline products. Undoubtedly, MeOH is a key reagent for the synthesis and crystallization of 1; in addition to all the aforementioned characteristics, MeOH appears as the only supplier of bridging MeO− groups within the structure of 1 (vide infra).
2.2. Description of Structure
A partially labeled representation of the cation of complex 1 is shown in Figure 1. The cluster cation [Dy7(OH)6(OMe)2(NO3)1.5(nacb)2(nacbH)6(MeOH)(H2O)2]1.5+ is counterbalanced by three NO3− counterions of 50% occupancy each in the crystal lattice. The NO3− counterions, together with the lattice solvate molecules (MeOH and MeCN), occupy the voids between the {Dy7} clusters in the crystal lattice (Figure S1). Selected interatomic distances and angles of 1 are listed in Table 1. Bond valence sum (BVS) calculations for the inorganic μ3-bridging O-atoms gave values of 1.30 (for O2), 1.15 (for O4), 1.29 (for O6), 1.01 (for O8), 1.07 (for O14) and 1.18 (for O16) in excellent agreement with their assignment as OH− groups. Furthermore, BVS calculations for the terminally bound O25 and O39 atoms gave the same value of 0.39, assigned to coordinated H2O molecules. Oxygen BVS values in the ~1.7–2.0, ~1.0–1.3 and ~0.2–0.4 ranges are indicative of non-, single- and double-protonation, respectively [25].
Figure 1.
Partially labeled representation of the cation of complex 1. Color scheme: DyIII, yellow; Cl, cyan; O, red; N, blue and C, gray. H atoms are omitted for clarity.
Table 1.
Selected interatomic distances (Å) and angles (°) for complex 1.
The cation of complex 1 (Figure 1) consists of seven DyIII ions held together by six and two μ3-bridging OH− and OMe− groups, respectively. This arrangement results in an hourglass-like metal topology, comprising two distorted {Dy4(μ3-OH)3(μ3-OMe)}8+ cubanes of virtual C2 symmetry that share a common metal vertex, the Dy2 (Figure 2). Peripheral bridging about the overall {Dy7(μ3-OH)6(μ3-OMe)2}13+ inorganic core (blue thick lines in Figure 3) is provided by the carboxylate moieties of two η1:η1:η2:η1:μ3 nacb2− and four η1:η1:η1:μ nacbH− ligands (Figure 3 and Figure 4). The remaining two nacbH− groups act as bidentate chelating ligands to Dy1 and Dy3, using their naphthoxido and carboxylate O-atoms (Figure 4). The dangling carboxylate O-atoms of these nacbH− groups are H-bonded to two μ3-OH− ions (O2 and O6, respectively). In all nacbH− groups, there appears to be a migration of the phenol H-atom to the imino N-atom; the latter therefore becomes positively charged and—as expected—remains unbound to the metal centers. Finally, additional ligation about the metal core is provided by a monodentate NO3− group of 100% occupancy (N9 and its O-partners), one bidentate chelating NO3− group of 50% occupancy (N13 and its riding O-atoms) and two and one terminally bound H2O and MeOH solvate molecules, respectively.
Figure 2.
(left) The metal vertex-sharing, dicubane {Dy7(μ3-OH)6(μ3-OMe)2}13+ core of 1 and (right, enclosed in the box) its hourglass-like metal topology. Color scheme as in Figure 1.
Figure 3.
Labelled representation of the complete {Dy7(μ3-OH)6(μ3-OMe)2(μ3-O2CR)2(μ-O2CR)4}7+ core of 1, where the RCO2−-bridging moieties belong to the 2-amino-5-chlorobenzoate part of the nacbH−/nacb2− groups. The blue, thick lines highlight the internal dicubane core. Color scheme as in Figure 1.
Figure 4.
Crystallographically established coordination modes of nacbH− (top) and nacb2− (bottom) ligands present in complex 1.
All DyIII ions in complex 1 are eight-coordinate, and their coordination geometries were determined by the continuous shape measures (CShM) of the SHAPE program [26]. This program is widely used in lanthanide coordination chemistry for the quantitative calculation of the deviation of a specific polyhedron from the ideal shape. The best fits were obtained for the square antiprismatic (CShM values = 1.49, 1.38, 0.84, 0.56 and 0.94 for Dy1, Dy3, Dy4, Dy5 and Dy6, respectively) and triangular dodecahedral (CShM values = 1.52 and 0.86 for Dy2 and Dy7, respectively) geometries (Figure 5). Values of CShM ranging from 0.1 to 3 usually correspond to a small distortion from the ideal geometry [27].
Figure 5.
Square antiprismatic and triangular dodecahedral coordination geometries of the Dy atoms in 1. Points connected by the black, thin lines define the vertices of the ideal polyhedra. Color scheme as in Figure 1.
Complex 1 joins a relatively small family of DyIII clusters of nuclearity seven. Since most of these have been reported only within the last several years, we have collected them in Table 2 for a convenient comparison of their structural types and pertinent magnetic data, such as the effective energy barriers (Ueff) for the magnetization reversal (vide infra). Examination of Table 2 reveals that complex 1 has a prototype structural motif, and it displays SMM features with a small Ueff barrier of similar magnitude with that of the majority of cage-like {Dy7} clusters. Exceptions to this rule are only the cyclic-like {Dy7} complexes prepared by Collison, Zheng and co-workers.
Table 2.
Structural types and effective energy barriers, Ueff, for heptanuclear DyIII clusters. a
2.3. Solid-State Magnetic Susceptibility Studies
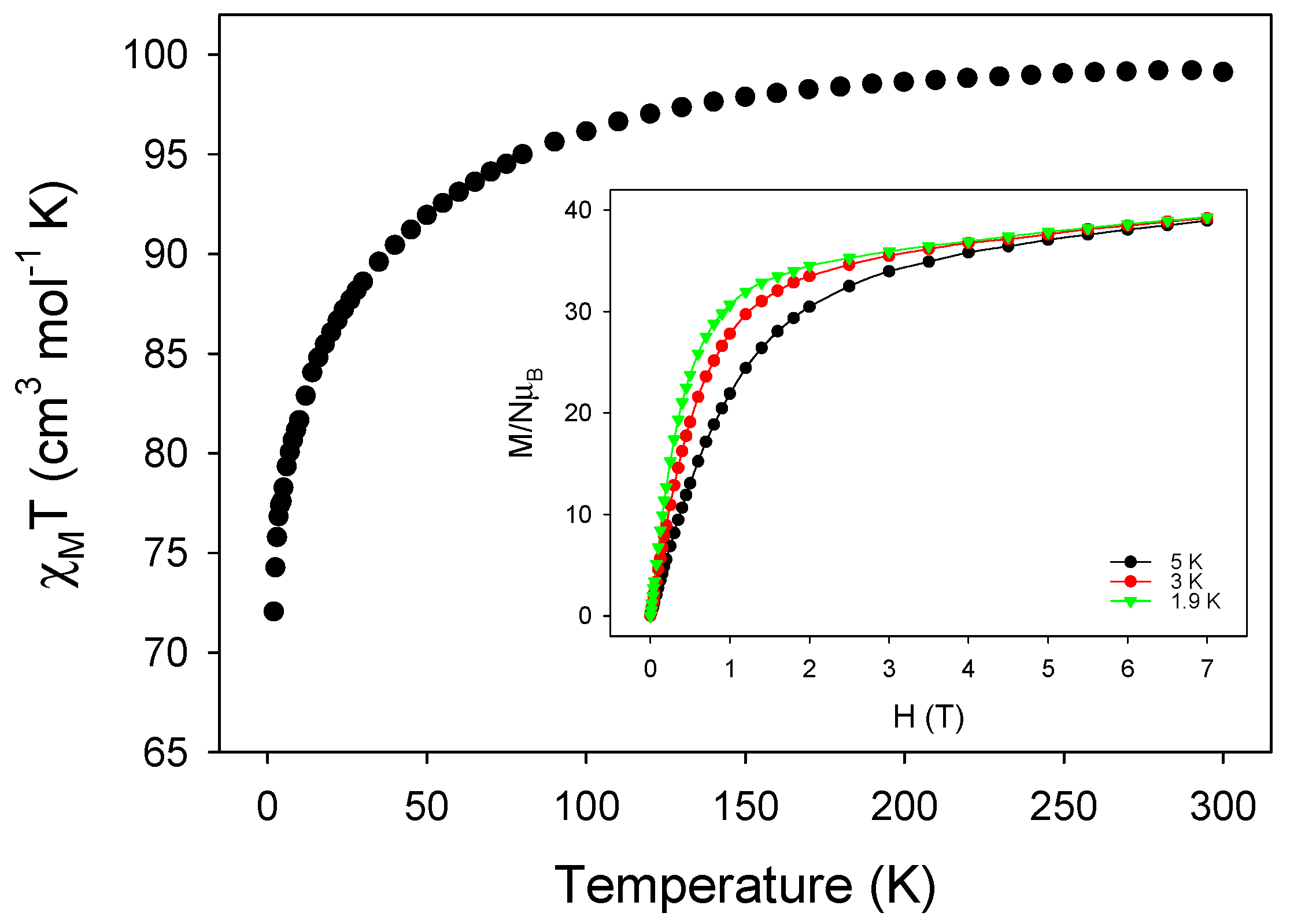
Direct current (dc) magnetic susceptibility measurements were performed on a microcrystalline sample of 1∙MeOH (as analyzed by elemental analyses studies) in the 2–300 K range under an applied magnetic field of 0.1 T (Figure 6). The room temperature χΜT value of 99.12 cm3 Kmol−1 is very close to the theoretical value of 99.19 cm3 Kmol−1 for seven noninteracting DyIII ions (6H15/2, S = 5/2, L = 5 and g = 4/3). The χΜT product decreases very smoothly on cooling until ~90 K and then, sharply, reaches a value of 72.05 cm3 Kmol−1 at 2 K. The abrupt decline of the χΜT product as the temperature is lowered is mostly due to the depopulation of the crystal field (CF) mJ states and the presence of some weak intramolecular antiferromagnetic interactions between the DyIII ions [37]. This type of magnetic behavior is not uncommon in high-nuclearity DyIII complexes with a closed cage-like topology and a combination of bridging hydroxido, alkoxido and carboxylate groups [38]. The field (H) dependence of the magnetization (M) at 1.9, 3 and 5 K shows a relatively steep increase at low fields without reaching saturation at 7 T; this behavior is suggestive of the presence of magnetic anisotropy (Figure 6, inset). Moreover, the magnetization value at 7 T is ~36.5 NμB, much lower than the expected value of magnetization saturation (MS) for seven DyIII ions (MS/NμB = ngJJ = 70 NμB for n = 7, gJ = 4/3 and J = 15/2); this response is attributed to the CF effects that induce an appreciable magnetic anisotropy. Furthermore, the reduced magnetization plot of M/NμB versus H/T (Figure S2) at different magnetic fields (0.1 to 7.0 T) and low temperatures revealed the separation of the isofield curves, in accordance with the presence of magnetic anisotropy and/or low-lying excited S states.
Figure 6.
Temperature dependence of the χΜT product for 1∙MeOH at 0.1 T (inset). Plots of magnetization (M) versus field (H) for 1∙MeOH at the indicated low temperatures.
The evaluation of the magnetic dynamics of complex 1 was probed by alternating current (ac) magnetic susceptibility measurements at a zero applied dc field under a weak ac field of 3.0 G oscillating at the frequencies 3–1000 Hz. The compound exhibits frequency-dependent tails of peaks in the in-phase (χΜ′) and out-of-phase (χΜ′′) susceptibilities versus T plots at temperatures below ~8 K, suggesting the onset of slow magnetization relaxation and SMM behavior (Figure 7). The tails of signals are indicative of the presence of the fast quantum tunneling of magnetization (QTM) and, consequently, a small energy barrier for the magnetization reversal. This is a common phenomenon in polynuclear 4f-SMMs with low symmetry structures, in which the metal centers adopt various distorted coordination geometries with a random orientation of their single-ion anisotropies, with respect to the molecular easy-axis. In particular, for Kramers ions, such as DyIII, in the majority of coordination environments, the presence of an easy-axis anisotropy, dipole-dipole and hyperfine interactions allow the mixing of the individual DyIII ground states in a zero dc field, thus amplifying the QTM mechanism over the thermally assisted relaxation processes [39]. To overcome the efficient QTM pathway, an external optimum dc field is usually applied to the ac magnetometry, aiming at the shift of the χΜ′′ signals at higher temperatures and the observation of entirely visible peaks [20]. However, in the case of complex 1, a representative diagram of χΜ′′ versus dc fields at the lowest possible temperature of 2 K and a fixed ac frequency of 1000 Hz (Figure S3) did not show any peaks of signals at any of the applied dc fields, which suggests that QTM is still the most operative mechanism for magnetization relaxation.
Figure 7.
Temperature dependence of the in-phase (χΜ′, left) and out-of-phase (χΜ′′, right) ac magnetic susceptibilities in a zero dc field for 1, measured in a 3.0-G ac field oscillating at the frequencies 3–1000 Hz. The solid lines are guides only.
In addition, the Cole-Cole diagrams (Figure S4) for 1 in the temperature range 1.9–8 K did not show any peaks in the semicircular plots, further supporting the presence of fast QTM. No further ac studies were performed under an external dc field, and we have thus focused on quantifying the energy barrier and relaxation time of 1 using the ac data at a zero dc field. Assuming that the magnetization relaxation has only one characteristic time that corresponds to a Debye relaxation process, the SMM parameters can be deduced by applying the Kramers-Kronig equations [40], which result in the combined Equation (2), where ω is the angular frequency, τ0 is the pre-exponential factor, Ueff is the effective energy barrier for the magnetization reversal and kB is the Boltzmann’s constant.
ln(χ′′/χ′) = ln(ωτ0) + Ueff/kBT
Equation (2) is a valuable tool in determining the most important SMM parameters, such as the Ueff and τ0, when the out-of-phase peak maxima are not fully resolved in the χ′′M versus T plots [41]. Based on Equation (2), the best-fit parameters obtained for complex 1 (Figure 8) were: Ueff = 3.2(1) cm−1 (~4.6(1) K) and τ0 = 3.7(2) × 10−6 s, consistent with the expected τ0 values for a fast-relaxing SMM. The resulting energy barrier is very small, and thus, a thermally assisted Orbach process may be discarded as an operative mechanism for the magnetization relaxation process in complex 1 [42].
Figure 8.
Debye plots of complex 1 for the indicated ac frequencies. The solid lines correspond to the fit of the data by applying Equation (2); see the text for the fit parameters.
3. Materials and Methods
3.1. Materials, Physical and Spectroscopic Measurements
All manipulations were performed under aerobic conditions using materials (reagent grade) and solvents as received unless otherwise noted. The Schiff base ligand nacbH2 was prepared, purified and characterized as described elsewhere [21,22]. Infrared spectra were recorded in the solid state on a Bruker’s FT-IR spectrometer (ALPHA’s Platinum ATR single reflection, in the 4000–400 cm−1 range. Elemental analyses (C, H and N) were performed on a Perkin-Elmer 2400 Series II Analyzer. Magnetic susceptibility studies were performed at the temperature range 1.9-300 K using a Quantum Design MPMS XL-7 SQUID magnetometer equipped with a 7 T magnet. Pascal’s constants were used to estimate the diamagnetic correction, which was subtracted from the experimental susceptibility to give the molar paramagnetic susceptibility (χM) [43].
3.2. Synthesis of [Dy7(OH)6(OMe)2(NO3)1.5(nacb)2(nacbH)6(MeOH)(H2O)2](NO3)1.5 (1)
To a stirred, yellow solution of nacbH2 (0.07 g, 0.20 mmol) and NEt3 (84 μL, 0.60 mmol) in a solvent mixture comprising MeOH/MeCN (20 mL, 5:1 v/v) was added solid Dy(NO3)3∙5H2O (0.09 g, 0.20 mmol). The resulting orange-yellow suspension was stirred for 30 min, during which time, all the solids were dissolved. The solution was then filtered, and the filtrate was left to evaporate slowly at room temperature. After ten days, X-ray quality yellow needle-like crystals of 1∙5MeOH∙MeCN appeared, and these were collected by filtration, washed with cold MeOH (2 × 2 mL) and MeCN (2 × 2 mL) and dried in the air for 24 h. The yield was 40% (based on the ligand available). The air-dried microcrystalline solid was satisfactorily analyzed as 1∙MeOH. Anal. calc. for C148H110N11O45Dy7Cl8 (found values in parentheses): C 42.49% (42.61%), H 2.65% (2.76%) and N 3.68% (3.59%). Selected IR data (ATR): ν = 1585 (vs), 1539 (s), 1470 (m), 1417 (m), 1352 (s), 1309 (m), 1269 (m), 1211 (m), 1177 (m), 1160 (m), 1141 (m), 1111 (m), 1040 (m), 974 (m), 886 (m), 868 (m), 831 (m), 811 (m), 738 (s), 707 (m), 660 (m), 629 (m), 606 (m), 534 (m), 470 (mb), 438 (m) and 425 (m).
3.3. Single-Crystal X-ray Crystallography
A crystal of complex 1 was selected and mounted on MiteGen dual thickness micromountsTM using inert oil. Diffraction data were collected on a D8 VENTURE diffractometer equipped with a multilayer mirror monochromator and a Mo Kα microfocus sealed tube (λ = 0.71073 Å). Images were processed with the software SAINT+ [44,45], and absorption effects were corrected with the multi-scan method implemented in SADABS [46]. The structure was solved using the Bruker SHELXTL inside the APEX-III software package and refined using the SHELXLE and PLATON programs [47]. The structure was examined using the Addsym subroutine of PLATON [48] to ensure that no additional symmetry could be applied to the model.
The non-hydrogen atoms of the crystal structure were successfully refined using anisotropic displacement parameters, and the hydrogen atoms bonded to the carbon of the ligands and those of the hydroxyl groups were placed at their idealized positions using the appropriate HFIX instructions in SHELXL. All these atoms were included in subsequent refinement cycles in riding-motion approximation with isotropic thermal displacement parameters (Uiso) fixed at 1.2 or 1.5× Ueq of the relative atom. Substantial electron density was found on the data of compound 1∙5MeOH∙MeCN, most likely due to additional disordered solvate molecules occupying the spaces originated by the close packing of the complex. Our efforts to properly locate, model and refine these residues were unsuccessful, and the investigation for the total potential solvent area using the software package PLATON confirmed clearly the existence of cavities with potential solvent-accessible void volumes. Consequently, the original dataset was treated with the program SQUEEZE [49], a part of the PLATON package of crystallographic software, which calculates the contribution of the smeared electron density in the lattice voids and adds this to the calculated structure factors from the structural model when refining against the .hkl file [50]. All the structural figures of 1 were created using the programs Diamond [51] and Mercury [52].
Unit cell parameters, structure solution and refinement details for 1∙5MeOH∙MeCN are summarized in Table 3. Further crystallographic details can be found in the corresponding CIF file provided in the ESI. Crystallographic data (excluding structure factors) for the structure reported in this work have been deposited to the Cambridge Crystallographic Data Centre (CCDC) as supplementary publication number: CCDC-1994400. Copies of the data can be obtained online using https://summary.ccdc.cam.ac.uk/structure-summary-form.
Table 3.
Crystallographic data for complex 1∙5MeOH∙MeCN.
4. Conclusions and Perspectives
In conclusion, we have herein reported the synthesis, structural and magnetic characterizations of a new heptanuclear DyIII complex 1 with an hourglass-like metal topology, comprising two {Dy4(μ3-OH)3(μ3-OMe)}8+ cubanes that share a common metal vertex. In addition to the structural interest, complex 1 exhibits slow magnetization relaxation, albeit with a small energy barrier due to the onset of a fast-tunneling mechanism for the magnetization reversal. The employment of the Schiff base ligand N-naphthalidene-2-amino-5-chlorobenzoic acid (nacbH2) for a first time in 4f-metal chemistry was proved to be a promising route to the preparation of structurally and magnetically appealing molecular nanoscale materials. This work is still in progress, and we are currently trying to alter the chemical, structural and magnetic features of complex 1 by performing chemical reactivity studies, which include variations in the DyIII starting materials, the reaction solvents and the introduction of additional bridging/chelating groups.
Supplementary Materials
The CIF and the checkCIF output files of complex 1∙5MeOH∙MeCN are available online at https://www.mdpi.com/1420-3049/25/9/2191/s1. In addition, the following figures are available at the same link. Figure S1: A small portion of the crystal packing of complex 1∙5MeOH∙MeCN, emphasizing with a space-filling model the NO3− counterions and the lattice solvate molecules that occupy the voids between the {Dy7} clusters. H atoms are omitted for clarity. Figure S2: Plot of reduced magnetization (M/NμB) versus H/T for complex 1 at different fields and temperatures. The solid lines are guides for the eye only. Figure S3: Field (H) dependence of the out-of-phase (χΜ′′) ac signals for complex 1, measured at 2.0 K under an ac field of 3.0 G oscillating at a frequency of 1000 Hz. Figure S4: Cole-Cole plots for 1 obtained using the ac susceptibility data at a zero applied dc field.
Author Contributions
K.N.P., P.S.P. and S.G. conducted the syntheses, crystallization, purification, optimization, conventional characterization and interpretation of the structural, spectroscopic and magnetic data of complex 1. C.L. collected single-crystal X-ray diffraction data, solved the structure and performed the complete refinement of the reported cluster compound. J.T. collected, plotted and discussed the magnetic data of 1. T.C.S. coordinated the research, contributed to the interpretation of the results and wrote the paper based on the reports of his collaborators. All the authors exchanged ideas and comments regarding the explanation of the results and discussed upon the manuscript at all stages. All authors have read and agreed to the published version of the manuscript
Funding
This research was mainly supported by the regular annual budget of the University of Patras to T.C.S. J.T acknowledges financial support from the National Natural Science Foundation of China (Grants 21525103 and 21871247).
Conflicts of Interest
The authors declare no conflicts of interest.
References
- Atzori, M.; Sessoli, R. The second quantum revolution: Role and challenges of molecular chemistry. J. Am. Chem. Soc. 2019, 141, 11339–11352. [Google Scholar] [CrossRef] [PubMed]
- Zhang, P.; Zhang, L.; Wang, C.; Xue, S.; Lin, S.-Y.; Tang, J. Equatorially coordinated lanthanide single ion magnets. J. Am. Chem. Soc. 2014, 136, 4484–4487. [Google Scholar] [CrossRef] [PubMed]
- Cucinotta, G.; Perfetti, M.; Luzon, J.; Etienne, M.; Car, P.-E.; Caneschi, A.; Calvez, G.; Bernot, K.; Sessoli, R. Magnetic anisotropy in a dysprosium/DOTA single-molecule magnet: Beyond simple magneto-structural correlations. Angew. Chem. Int. Ed. 2012, 51, 1606–1610. [Google Scholar] [CrossRef] [PubMed]
- Boulon, M.-E.; Cucinotta, G.; Luzon, J.; Degl’ Innocenti, C.; Perfetti, M.; Bernot, K.; Calvez, G.; Caneschi, A.; Sessoli, R. Magnetic anisotropy and spin-parity effect along the series of lanthanide complexes with DOTA. Angew. Chem. Int. Ed. 2013, 52, 350–354. [Google Scholar] [CrossRef]
- Woodruff, D.N.; Winpenny, R.E.P.; Layfield, R.A. Lanthanide single-molecule magnets. Chem. Rev. 2013, 113, 5110–5148. [Google Scholar] [CrossRef] [PubMed]
- Sessoli, R.; Powell, A.K. Strategies towards single molecule magnets based on lanthanide ions. Coord. Chem. Rev. 2009, 253, 2328–2341. [Google Scholar] [CrossRef]
- Car, P.-E.; Perfetti, M.; Mannini, M.; Favre, A.; Caneschi, A.; Sessoli, R. Giant field dependence of the low temperature relaxation of the magnetization in a dysprosium(III)-DOTA complex. Chem. Commun. 2011, 47, 3751–3753. [Google Scholar] [CrossRef]
- Lucaccini, E.; Sorace, L.; Perfetti, M.; Costes, J.-P.; Sessoli, R. Beyond the anisotropy barrier: Slow relaxation of the magnetization in both easy-axis and easy-plane Ln(trensal) complexes. Chem. Commun. 2014, 50, 1648–1651. [Google Scholar] [CrossRef]
- Gatteschi, D.; Sessoli, R.; Villain, J. Molecular Nanomagnets; Oxford University Press: Oxford, MS, USA, 2006. [Google Scholar]
- Bagai, R.; Christou, G. The Drosophila of single-molecule magnetism: [Mn12O12(O2CR)16(H2O)4]. Chem. Soc. Rev. 2009, 38, 1011–1026. [Google Scholar] [CrossRef]
- Rinehart, J.D.; Long, J.R. Exploiting single-ion anisotropy in the design of f-element single-molecule magnets. Chem. Sci. 2011, 2, 2078–2085. [Google Scholar] [CrossRef]
- Guo, F.-S.; Day, B.M.; Chen, Y.-C.; Tong, M.-L.; Mansikkamäki, A.; Layfield, R.A. Magnetic hysteresis up to 80 kelvin in a dysprosium metallocene single-molecule magnet. Science 2018, 362, 1400–1403. [Google Scholar] [CrossRef] [PubMed]
- Layfield, R.; Murugesu, M. Lanthanides and Actinides in Molecular Magnetism; Wiley-VCH: Weinheim, Germany, 2015. [Google Scholar]
- Zheng, X.-Y.; Xie, J.; Kong, X.-J.; Long, L.-S.; Zheng, L.-S. Recent advances in the assembly of high-nuclearity lanthanide clusters. Coord. Chem. Rev. 2019, 378, 222–236. [Google Scholar] [CrossRef]
- Zhang, Z.; Zhang, Y.; Zheng, Z. Lanthanide hydroxide cluster complexes via ligand-controlled hydrolysis of the lanthanide ions. In Recent Development in Clusters of Rare Earths and Actinides: Chemistry and Materials; Struct. Bonding; Zheng, Z., Ed.; Springer: Berlin/Heidelberg, Germany, 2016; Volume 173, pp. 1–49. [Google Scholar]
- Alexandropoulos, D.I.; Nguyen, T.N.; Cunha-Silva, L.; Zafiropoulos, T.F.; Escuer, A.; Christou, G.; Stamatatos, T.C. Slow magnetization relaxation in unprecedented MnIII4DyIII3 and MnIII4DyIII5 clusters from the use of N-salicylidene-o-aminophenol. Inorg. Chem. 2013, 52, 1179–1181. [Google Scholar] [CrossRef]
- Mazarakioti, E.C.; Cunha-Silva, L.; Bekiari, V.; Escuer, A.; Stamatatos, T.C. New structural topologies in 4f-metal cluster chemistry from vertex-sharing butterfly units: {LnIII7} complexes exhibiting slow magnetization relaxation and ligand-centred emissions. RSC Adv. 2015, 5, 92534–92538. [Google Scholar] [CrossRef]
- Athanasopoulou, A.A.; Pilkington, M.; Raptopoulou, C.P.; Escuer, A.; Stamatatos, T.C. Structural aesthetics in molecular nanoscience: A unique Ni26 cluster with a ‘rabbit-face’ topology and a discrete Ni18 ‘molecular chain’. Chem. Commun. 2014, 50, 14942–14945. [Google Scholar] [CrossRef] [PubMed]
- Pantelis, K.N.; Karotsis, G.; Lampropoulos, C.; Cunha-Silva, L.; Escuer, A.; Stamatatos, T.C. ‘Metal complexes as ligands’ for the synthesis of coordination polymers: A MnIII monomer as a building block for the preparation of an unprecedented 1-D {MnIIMnIII}n linear chain. Materials 2020, 13, 1352. [Google Scholar] [CrossRef]
- Mazarakioti, E.C.; Regier, J.; Cunha-Silva, L.; Wernsdorfer, W.; Pilkington, M.; Tang, J.; Stamatatos, T.C. Large energy barrier and magnetization hysteresis at 5 K for a symmetric {Dy2} complex with spherical tricapped trigonal prismatic DyIII ions. Inorg. Chem. 2017, 56, 3568–3578. [Google Scholar] [CrossRef]
- Perlepe, P.S.; Cunha-Silva, L.; Bekiari, V.; Gagnon, K.J.; Teat, S.J.; Escuer, A.; Stamatatos, T.C. Structural diversity in NiII cluster chemistry: Ni5, Ni6, and {NiNa2}n complexes bearing the Schiff-base ligand N-naphthalidene-2-amino-5-chlorobenzoic acid. Dalton Trans. 2016, 45, 10256–10270. [Google Scholar] [CrossRef]
- Perlepe, P.S.; Cunha-Silva, L.; Gagnon, K.J.; Teat, S.J.; Lampropoulos, C.; Escuer, A.; Stamatatos, T.C. “Ligands-with-benefits”: Naphthalene-substituted Schiff bases yielding new NiII metal clusters with ferromagnetic and emissive properties and undergoing exciting transformations. Inorg. Chem. 2016, 55, 1270–1277. [Google Scholar] [CrossRef]
- Papatriantafyllopoulou, C.; Moushi, E.E.; Christou, G.; Tasiopoulos, A.J. Filling the gap between the quantum and classical worlds of nanoscale magnetism: Giant molecular aggregates based on paramagnetic 3d metal ions. Chem. Soc. Rev. 2016, 45, 1597–1628. [Google Scholar] [CrossRef]
- Li, X.-Y.; Su, H.-F.; Li, Q.-W.; Feng, R.; Bai, H.-Y.; Chen, H.-Y.; Xu, J.; Bu, X.-H. A giant Dy76 cluster: A fused bi-nanopillar structural model for lanthanide clusters. Angew. Chem. Int. Ed. 2019, 131, 10290–10294. [Google Scholar] [CrossRef]
- Liu, W.; Thorp, H.H. Bond valence sum analysis of metal-ligand bond lengths in metalloenzymes and model complexes. 2. Refined distances and other enzymes. Inorg. Chem. 1993, 32, 4102–4105. [Google Scholar] [CrossRef]
- Llunell, M.; Casanova, D.; Girera, J.; Alemany, P.; Alvarez, S. SHAPE; Version 2.0; Universitat de Barcelona: Barcelona, Spain, 2010. [Google Scholar]
- Alvarez, S.; Alemany, P.; Casanova, D.; Cirera, J.; Llunell, M.; Avnir, D. Shape maps and polyhedral interconversion paths in transition metal chemistry. Coord. Chem. Rev. 2005, 249, 1693–1708. [Google Scholar] [CrossRef]
- Sharples, J.W.; Zheng, Y.-Z.; Tuna, F.; McInnes, E.J.L.; Collison, D. Lanthanide discs chill well and relax slowly. Chem. Commun. 2011, 47, 7650–7652. [Google Scholar] [CrossRef]
- Tian, H.; Bao, S.-S.; Zheng, L.-M. Cyclic single-molecule magnets: From the odd-numbered heptanuclear to a dimer of heptanuclear dysprosium clusters. Chem. Commun. 2016, 52, 2314–2317. [Google Scholar] [CrossRef]
- Tian, H.; Bao, S.-S.; Zheng, L.-M. Cyclic single-molecule magnets: From even-numbered hexanuclear to odd-numbered heptanuclear dysprosium clusters. Eur. J. Inorg. Chem. 2016, 2016, 3184–3190. [Google Scholar] [CrossRef]
- Guo, F.-S.; Guo, P.-H.; Meng, Z.-S.; Tong, M.-L. Slow magnetic relaxation in a novel heptanuclear Dy7 cluster with five edge-sharing Dy3 triangles. Polyhedron 2011, 30, 3079–3082. [Google Scholar] [CrossRef]
- Goura, J.; Walsh, J.P.S.; Tuna, F.; Chandrasekhar, V. Synthesis, structure, and magnetism of non-planar heptanuclear lanthanide(III) complexes. Dalton Trans. 2015, 44, 1142–1149. [Google Scholar] [CrossRef]
- Canaj, A.B.; Tzimopoulos, D.I.; Philippidis, A.; Kostakis, G.E.; Milios, C.J. A strongly blue-emitting heptametallic [DyIII7] centered-octahedral single-molecule magnet. Inorg. Chem. 2012, 51, 7451–7453. [Google Scholar] [CrossRef]
- Taylor, S.M.; Sanz, S.; McIntosh, R.D.; Beavers, C.M.; Teat, S.J.; Brechin, E.K.; Dalgarno, S.J. p-tert-butylcalix[8]arene: An extremely versatile platform for cluster formation. Chem. Eur. J. 2012, 18, 16014–16022. [Google Scholar] [CrossRef]
- Peng, G.; Zhang, Y.-Y.; Li, Z.-Y.; Kostakis, G.E. First examples of polynuclear lanthanide diethylene glycol based coordination clusters. Eur. J. Inorg. Chem. 2017, 26, 2700–2706. [Google Scholar] [CrossRef]
- Mazarakioti, E.C.; Poole, K.M.; Cunha-Silva, L.; Christou, G.; Stamatatos, T.C. A new family of Ln7 clusters with an ideal D3h metal-centered trigonal prismatic geometry, and SMM and photoluminescence behaviors. Dalton Trans. 2014, 43, 11456–11460. [Google Scholar] [CrossRef] [PubMed]
- Tang, J.; Zhang, P. Lanthanide Single Molecule Magnets; Springer-Verlag: Berlin, Germany, 2015. [Google Scholar]
- Peng, J.B.; Kong, X.J.; Zhang, Q.C.; Orendáč, M.; Prokleška, J.; Ren, Y.P.; Long, L.S.; Zheng, Z.; Zheng, L.S. Beauty, symmetry, and magnetocaloric effect—Four-shell keplerates with 104 lanthanide atoms. J. Am. Chem. Soc. 2014, 136, 17938–17941. [Google Scholar] [CrossRef] [PubMed]
- Liddle, S.T.; Van Slageren, J. Improving f-element single molecule magnets. Chem. Soc. Rev. 2015, 44, 6655–6669. [Google Scholar] [CrossRef] [PubMed]
- Cole, K.S.; Cole, R.H. Dispersion and absorption in dielectrics I. Alternating current characteristics. J. Chem. Phys. 1941, 9, 341–351. [Google Scholar] [CrossRef]
- Bartolomé, J.; Filoti, G.; Kuncser, V.; Schinteie, G.; Mereacre, V.; Anson, C.E.; Powell, A.K.; Prodius, D.; Turta, C. Magnetostructural correlations in the tetranuclear series of {Fe3LnO2} butterfly core clusters: Magnetic and Mössbauer spectroscopic study. Phys. Rev. B. 2009, 80, 014430–014446. [Google Scholar] [CrossRef]
- Guo, Y.-N.; Xu, G.-F.; Guo, Y.; Tang, J. Relaxation dynamics of dysprosium(III) single molecule magnets. Dalton Trans. 2011, 40, 9953–9963. [Google Scholar] [CrossRef]
- Bain, G.A.; Berry, J.F. Diamagnetic corrections and Pascal’s constants. J. Chem. Educ. 2008, 85, 532–536. [Google Scholar] [CrossRef]
- SAINT+, Data Integration Engine; Version 7.23a; Bruker AXS: Madison, WI, USA, 2005.
- APEX2, Data Collection Software; Version 2.1-RC13; Bruker AXS: Delft, The Netherlands, 2006.
- Sheldrick, G.M. SADABS v.2.01, Bruker/Siemens Area Detector Absorption Correction Program; Bruker AXS: Madison, WI, USA, 1998. [Google Scholar]
- Hübschle, C.B.; Sheldrick, G.M.; Dittrich, B. ShelXle a Qt graphical user interface for SHELXL. J. Appl. Cryst. 2011, 44, 1281–1284. [Google Scholar] [CrossRef]
- Spek, A.L. Structure validation in chemical crystallography. Acta Crystallogr. D 2009, 65, 148–155. [Google Scholar] [CrossRef]
- Spek, A.L. Single-crystal structure validation with the program PLATON. J. Appl. Crystallogr. 2003, 36, 7–13. [Google Scholar] [CrossRef]
- Spek, A.L. PLATON, An integrated tool for the analysis of the results of a single crystal structure determination. Acta Cryst. A 1990, 46, C34. [Google Scholar]
- Bradenburg, K. DIAMOND, Visual Crystal Structure Information System; Version 3.1f; Crystal Impact GbR: Bonn, Germany, 2008. [Google Scholar]
- Bruno, I.J.; Cole, J.C.; Edgington, P.R.; Kessler, M.K.; Macrae, C.F.; McCabe, P.; Pearson, J.; Taylor, R. New software for searching the Cambridge structural database and visualizing crystal structures. Acta Cryst. 2002, B58, 389–397. [Google Scholar] [CrossRef] [PubMed]
Sample Availability: Samples of the compounds are not available from the authors. |
© 2020 by the authors. Licensee MDPI, Basel, Switzerland. This article is an open access article distributed under the terms and conditions of the Creative Commons Attribution (CC BY) license (http://creativecommons.org/licenses/by/4.0/).








