Abstract
The reaction of the Schiff base ligand o-OH-C6H4-CH=N-C(CH2OH)3, H4L, with Ni(O2CMe)2·4H2O and lanthanide nitrate salts in a 4:2:1 ratio lead to the formation of the trinuclear complexes [Ni2Ln(H3L)4(O2CMe)2](NO3) (Ln = Sm (1), Eu (2), Gd (3), Tb (4)). The complex cations contain the strictly linear NiII-LnIII-NiII moiety. The central LnIII ion is bridged to each of the terminal NiII ions through two deprotonated phenolato groups from two different ligands. Each terminal NiII ion is bound to two ligands in distorted octahedral N2O4 environment. The central lanthanide ion is coordinated to four phenolato oxygen atoms from the four ligands, and four carboxylato oxygen atoms from two acetates which are bound in the bidentate chelate mode. The lattice structure of complex 4 consists of two interpenetrating, supramolecular diamond like lattices formed through hydrogen bonds among neighboring trinuclear clusters. The magnetic properties of 1–4 were studied. For 3 the best fit of the magnetic susceptibility and isothermal M(H) data gave JNiGd = +0.42 cm−1, D = +2.95 cm−1 with gNi = gGd = 1.98. The ferromagnetic nature of the intramolecular Ni···Gd interaction revealed ground state of total spin S = 11/2. The magnetocaloric effect (MCE) parameters for 3 show that the change of the magnetic entropy (−ΔSm) reaches a maximum of 14.2 J kg−1 K−1 at 2 K. A brief literature survey of complexes containing the NiII-LnIII-NiII moiety is discussed in terms of their structural properties.
1. Introduction
The nature and magnitude of the exchange interaction between a 3d metal ion and various 4f metal ions have been the subject of intense investigation in the last decades. Lanthanide ions exhibit large and, in some cases, highly anisotropic magnetic moments, which in combination with different paramagnetic metal ions have led to polynuclear complexes presenting a wide variety of magnetic properties. The combination of 3d/4f metal ions in one molecule can achieve high spin ground states (via the involvement of the 3d metal ions) along with large single-ion anisotropy (via the presence of the 4f metal ions) and can provide, in most cases, single molecule magnets (SMMs) [1,2], i.e., quantum spin systems with well-defined ground state spin S. SMMs are easily synthesized and modified by wet chemistry methods at low temperatures and their particular characteristics such as monodispersity, crystallinity, and nanoscale dimensions provide the possibility for potential applications in data storage, quantum computing, and molecule-based spintronics devices [3].
The interest for 3d/4f heterometallic complexes arose rapidly after the observation of ferromagnetic interactions between the metal ions in a Cu2Gd complex by Gatteschi et al. [4]. Thereafter, synthetic strategies were developed for the designed synthesis of dinuclear 3d/4f complexes by Costes [5] and other researchers [6] in order to delve into the nature and magnitude of the magnetic interactions between the metal ions. It was concluded that in CuLn and NiLn dinuclear complexes the magnetic exchange interaction is antiferromagnetic for the 4f1–5 ions and ferromagnetic for the 4f7–11 ions [6]. Trinuclear 3d/4f/3d complexes have been also reported and some have been found to display SMM properties [7,8,9]. Considering the NiII-LnIII-NiII complexes, a handful of examples has been reported with magnetic behavior ranging from ferro- to antiferromagnetic depending on the nature of the lanthanide ion. The ligands used are mainly Schiff bases based on salicylaldehyde, o-vanillin and tripodal, dipodal aliphatic and aromatic amines; few examples are reported with other type of ligands, e.g., β-diketonato or thiourea derivatives.
The structurally characterized NiII-LnIII-NiII complexes can be classified in different ways, based on the type of ligands, the number and type of bridging atoms, and the topological characteristics of the trinuclear moiety. A survey of the literature reveals that the known NiII-LnIII-NiII complexes show some common characteristics, irrespective of the type of ligands used. In the majority of the cases the bridging between the terminal NiII ions and the central LnIII ion is provided by two or three phenolato oxygen atoms of the ligands. In few cases, carboxylato ligands can contribute to the bridging. The NiII-LnIII-NiII moiety can be linear or bent with angles in the wide range 54–180° [10].
Complexes [(NiL1)2Ln](ClO4) (H3L1 = (S)P[N(Me)N=CH-C6H3-2-OH-3-OMe]3, LnIII = La-Er, except Pm) [11,12], [(NiL2)2Gd](NO3) (H3L2 = 6,6′-((1E)-((2-(((E)-(2-hydroxy-3-methoxybenzylidene)amino)methyl)-2-methylpropane-1,3-diyl)bis(azanylylidene))bis(methanyl ylidene))bis(2-methoxyphenol) [13], [(NiL3)2Ln](NO3) (LnIII = Gd, Tb, Dy) and [(NiL3)2Dy](ClO4) (H3L3 = 6,6′,6″-((1E,1′E)((nitrilotris(ethane-2,1-diyl))tris(azanylylidene))tris(methanylylidene))tris(2-methoxyphenol) [14], [(NiL4)2Ln(H2O)1/0](ClO4) (H3L4 = 6,6′,6″-((1,4,7-triazonane-1,4,7-triyl)tris(methyl ene))tris(2-methoxy-3-methylphenol), LnIII = Y, La, Ce-Lu, except Pr, Pm, Yb) [15], [(NiL5)Tb](ClO4) (H3L5 = 6,6′,6″-((1,4,7-triazonane-1,4,7-triyl)tris(methylene)) tris(2,3-dimethylphenol) [16], [(NiL63)2Ln](NO3) (HL6 = (Z)-2-methoxy-6-((phenylimino)methyl)phenol, LnIII = La, Pr, Gd, Tb) [17,18], and [{Ni{L7)1.5}2Ln(OH)] (H2L7 = 7,7′-(ethane-1,1-diyl)bis(quinolin-8-ol), LnIII = Eu, Tb, Gd) [19] contain a linear Ni-Ln-Ni moiety (Ni-Ln-Ni ≈ 165–180°) in which the metal ions are bridged through three phenolato oxygen atoms from three ligands (Scheme 1a). Complexes [(NiL8)2Ln(NO3)] (H3L8 = 2,2′-((1E)-((2-(((E)-(2-hydroxybenzylidene) amino)methyl)-2-methylpropane-1,3-diyl)bis(azanylylidene))bis(methanylylidene)) diphenol, LnIII = Gd, Eu, Tb, Dy) [20,21], [(NiL9)2Ln(solv)x)](ClO4) (H3L9 = 2,2′-(((2-(((2-hydroxybenzyl)amino)methyl)-2-methylpropane-1,3-diyl)bis(azanediyl))bis(me thylene))diphenol, LnIII = La, Pr, Nd, Gd, Dy, Ho, Er, Yb; solv = H2O/MeOH/EtOH; x = 1,2) [22], [(NiL10)2Ln(MeCN)2](ClO4) (H3L10 = 2,2′,2″-((1,4,7-triazonane-1,4,7-triyl)tris(methylenen))triphenol, LnIII = La, Nd, Gd, Dy, Yb) [23] and [{Ni(L11)3}2La(L11)] (HL11 = quinoline-8-ol) [24] also contain a Ni-Ln-Ni moiety (Ni-Ln-Ni ≈ 129–158°) in which the metal ions are bridged through three phenolato oxygen atoms (Scheme 1a).
Scheme 1.
The crystallographically established metal cores in Ni2Ln complexes found in refs. [11,12,13,14,15,16,17,18,19,20,21,22,23,24] (a), [25,26,27,28,29,30,31,32,33,34] (b), [35,36,37,38] (c), [39] (d), [40,41,42] (e), (f) [43], and (g) [44,45].
Each of the terminal NiII ions in the above complexes [11,12,13,14,15,16,17,18,19,20,21,22,23,24] is coordinated to three phenolato oxygen atoms and three nitrogen atoms, consisting of in situ formed (NiL)− metalloligand. The coordination geometry around the NiII ions is distorted octahedral except in the case of [{Ni{L7)1.5}2Ln(OH)] [19] in which the N3O3 atoms create a regular trigonal-antiprismatic geometry around the NiII ions. The N3O3 coordination around each NiII ion in the above complexes [11,12,13,14,15,16,17,18,19,20,21,22,23,24] imposes chirality thus, each NiII ion is chiral with either a Δ or a Λ configuration due to the screw coordination arrangement of the achiral ligands around the metal ion. When two chiral molecules associate, both homochiral (Δ-Δ or Λ-Λ) and heterochiral (Δ-Λ) pairs are possible. Since the above complexes [11,12,13,14,15,16,17,18,19,20,21,22,23,24] crystallize in centrosymmetric space groups, molecules with Δ-Δ and Λ-Λ pairs coexist in the crystals to form racemic crystals. The LnIII ions present coordination modes which vary from distorted octahedral and quasi trigonal prism for O6 coordination [14,15,16,22,23], capped trigonal prism and capped octahedron for O7 coordination [14,15,22], square antiprism and bicapped octahedron for O8 and NO7 coordination [20,21,23,24], tricapped trigonal prism for O9 coordination [19], and distorted icosahedron for O12 coordination [11,12,17,18].
Complexes [{Ni(HL12)2}2La(NO3)](NO3)2 (H2L12 = (Z)-2-(((2-(hydroxymethyl) phenyl)imino)methyl)-6-methoxyphenol [25], [{Ni(H3L13)2}2Ln](NO3)3 (H4L13 = (Z)-2-((2-hydroxy-3-(hydroxymethyl)benzylidene)amino)-2-methylpropane-1,3-diol, LnIII = Gd, Tb, Dy, Ho) [26], [{NiL14(H2O)}2Ln(H2O)](trif)3 (H2L14 = 6,6′-((1E,1′E)-((2,2-dimethylpropane-1,3-diyl)bis(azanylylidene))bis(methanylylidene))bis(2-methoxyphe nol), LnIII = Gd, Eu, trif = triflate anion) [27], [(NiL15)2Ln(NO3)2(MeOH)4](NO3) (H2L15 = 1,1′-(pyridine-2,6-diyl)bis(butane-1,3-dione), LnIII = La, Ce, Pr, Nd, Sm, Eu, Gd), [(NiL15)2Ln(NO3)2(H2O)2(MeOH)2](NO3) (LnIII = Sm, Eu, Gd), [(NiL15)2Ln(NO3)3(MeOH)4] (LnIII = Gd, Tb, Dy), and [(NiL15)2Ln(NO3)2(H2O)(MeOH)3](NO3) (LnIII = Ho, Er, Tm, Yb, Lu) [28] contain linear Ni-Ln-Ni moiety (Ni-Ln-Ni ≈ 169–180°) in which the central lanthanide ion is bridged to the two terminal NiII ions through two phenolato oxygen atoms (Scheme 1b). The coordination environment around the NiII ions consists of two imino nitrogen atoms and four oxygen atoms [25,26], or six oxygen atoms [28] and is distorted octahedral. In the case of [{NiL14(H2O)}2Ln(H2O)](trif)3 the NiII ion is five-coordinate, linked to the N2O2 site of the ligand in the equatorial plane and to a water molecule in the apical position.
Complexes [(NiL16)2Ln(MeOH)](NO3) (H3L16 = 2,2′,2″-(((nitrilotris(ethane-2,1-diyl))tris(azanediyl))tris(methylene)triphenol, all LnIII except Ce and Pm), [(NiL16)2Ln(MeOH)](ClO4) (LnIII = La, Pr, Nd, Sm, Gd, Dy, Ho, Er) [29,30], [(NiL17)2Ln)](ClO4) (H3L17 = 6,6′,6″-(((nitrilotris(ethane-2,1-diyl))tris(azanediyl))tris (methylene))tris(2-methoxyphenol), LnIII = Gd, Dy) [31], [(NiL18)2Ln(NO3)2](NO3) (H2L18 = 6,6′-((1E,1′E)-(ethane-1,2-diylbis(azanylylidene))bis (methanylylidene)) bis(2-ethoxyphenol), LnIII = La, Ce) [32], [(NiL19)2Ce(NO3)2](NO3) (H2L19 = 6,6′-((1E,1′E)-(ethane-1,2-diylbis(azanylylidene))bis(methanylylidene))bis(2methoxyphe nol)) [33] and [(NiL20)2Ce(NO3)3] (H2L20 = 2,2′-((1E,1′E)-(propane-1,3-diylbis(azanylylidene))bis(ethan-1-yl-1-ylidene))dephenol) [34], contain a bent Ni-Ln-Ni moiety with angles in the range 139–144° [29,30], 113° [31], 123° [34], and 62–68° [32,33]. The central lanthanide ion is bridged to the two terminal NiII ions through two oxygen atoms (Scheme 1b). The coordination geometry around the NiII ions is distorted octahedral with N4O2 chromophore [29,30,31] and square planar with N2O2 chromophore [32,33,34]. The coordination geometry around the central LnIII ion is described as flattened pentagonal bipyramid for O7 coordination [29,30], distorted dodecahedron [31], and square antiprism for O8 coordination [26], sphenocorona [25], hexadecahedron and distorted tetradecahedron for O10 and N2O8 coordination [28,34], and distorted icosahedron for O12 coordination [32,33].
Complexes [(NiL21)2Ln(O2CMe)2(MeOH)2](NO3) (H2L21 = 6,6′-((1E,1′E)-(propane-1,3-diylbis(azanylylidene)) bis(methanylylidene))bis(4-bromo-2-methoxy phenol, LnIII = La, Nd, Ce, Pr) [35,36], [(NiL22)2Ln(O2CMe)3(MeOH)x] (H2L22 = 3,3′-(pyridine-2,6-diyl)bis(1-phenylpropane-1,3-dione, LnIII = Gd, Ce; x = 2 or 3), [(NiL22)2Ln(O2CPh)3(solv)x] (LnIII = Gd, solv = MeOH, x = 2; Ce, solv = MeOH/H2O x = 2) [37] and [(NiL23)2Pr(O2CMe)3(MeOH)2] (H2L23 = N2,N6-bis(diethylcarbamo thioyl)pyridine-2,6-dicarboxamide) [38] contain a linear Ni-Ln-Ni moiety (Ni-Ln-Ni ≈ 175–180°) in which the central LnIII ion is bridged to each of the terminal NiII ions through two oxygen atoms of the ligands and one carboxylato group (Scheme 1c). Each NiII ion in [(NiL21)2Ln(O2CMe)2(MeOH)2](NO3) is coordinated to the N2O2 donor atoms of the ligands, one bridging acetato oxygen atom and one MeOH in distorted octahedron. Each NiII ion in [(NiL22)2Ln(O2CMe)3(MeOH)x], [(NiL22)2Ln(O2CPh)3(solv)x] and [(NiL23)2Pr(O2CMe)3(MeOH)2] presents distorted octahedral coordination derived by the O,O or O,S atoms of the ligands, one carboxylate oxygen and one MeOH. The geometry around the LnIII ions is described as hula-hoop HH-9 for N2O7 coordination [37], pentagonal antiprismatic for O10 coordination [35,36], staggered dodecahedron SDD-10 for N2O8 coordination [37], and double-capped square antiprism for N2O8 coordination [38].
Complexes [{Ni(H2L24)(tren)2}2Ln](NO3)3 (H4L24 = 3,3′-((1E,1′E)-((((2-aminoethyl)azanediyl)bis(ethane-2,1-diyl))bis(azanylylidene))bis(methanylylidene)) bis(2-hydroxybenzoic acid; LnIII = Gd, Dy, Er, Lu; tren = tris(2-aminoethyl)-amine) contain a V-shaped Ni-Ln-Ni moiety with angles 93–95° [39]. The central LnIII ion is bridged with each of the terminal NiII ions through the carboxylate group of the ligands (Scheme 1d). Each of the NiII ions presents N5O distorted octahedral coordination and the central LnIII ions shows O8 distorted square antiprismatic geometry.
Complexes (Me4N)[{(Ni(L25)3}2Ln(L25)2] (LnIII = La, Ce, Pr, Nd, Sm) and (Et4N)2[{(Ni(L25)3}2Ln(dcnm)2](ClO4) (LnIII = La, Ce) contain a ligand formed in situ via transition metal promoted nucleophilic addition of MeOH to a nitrile group of dicyanonitrosomethanide (dcnm) [40]. Both types of complexes contain bent Ni-Ln-Ni moiety with angles ~142 and ~133° respectively. The central LnIII ion is bound to each of the NiII ions through three N-O groups from three ligands (Scheme 1e). The NiII ions present N6 distorted octhahedral coordination and the LnIII ions show N2O8 coordination with geometry described as sphenocorona JSPC-10. Similar bridging mode with three oximato N-O groups is observed in the linear complexes [{Ni(L26)3}2Tb](NO3) [41] and [(Ni(HL27)3}2Tb](NO3) [42] (HL26 = (Z)-1-(pyridine-2-yl)ethenone oxime, and HL27 = (E)-N′-hydroxypyrimidine-2-carboximidamide) which contain two terminal NiII ion in N6 distorted octahedron and a central TbIII ion bound to six oximato oxygen atoms.
Complexes [{Ni(piv)3(bpy)}2Ln(NO3)]·MeCN (Hpiv = pivalic acid, bpy = 2,2′-bipyridine, LnIII = Gd, Sm) are isomorphous and contain a Ni-Ln-Ni moiety with angles ~153° in which the central LnIII ion is bridged to each of the terminal NiII ions through two syn,syn pivalato groups and one μ-O carboxylate oxygen (Scheme 1f) [43]. The distorted octahedral coordination around each NiII ion consists of four carboxylato oxygen atoms and two nitrogen atoms of the bpy. Replacement of the bidentate bpy ligand with two monodentate ligands, i.e., Hpiv and MeCN, gave the isomorphous complexes [{Ni(piv)3(Hpiv)(MeCN)}2Ln(NO3)] (LnIII = La, Pr, Sm, Eu, Gd) which contain a Ni-Ln-Ni moiety with angles ~144° [43]. The metal ions are bridged in similar fashion as above (Scheme 1f). The NiII ions show NO5 distorted octahedral coordination and the central LnIII is bound to six carboxylato oxygen atoms and one chelate nitrato group in single-capped pentagonal bipyramid.
Complexes [Ni2(L28′)3(L28″)Ln(NO3)(H2O)](ClO4)2 (L28′ = ethoxydi(pyridine-2-yl)methanol, L28″ = di(pyridin-2-yl)methanediol, LnIII = Gd, Tb) and [Ni2(L28′)4Ln(NO3)(H2O)][Ln(NO3)5](ClO4)2 (LnIII = Tb, Dy, Y) consist of dications which contain triangular Ni-Ln-Ni moieties with angles ~54° [44,45]. The metal ions are linked through one μ3-O atom and three μ2-O atoms from the ligands (Scheme 1g).
The magnetic susceptibility measurements of the above NiII-LnIII-NiII complexes reveal the presence of dominant antiferromagnetic interactions in the case of LnIII = Ce, Pr, Nd, and ferromagnetic interactions for LnIII = Gd, Tb, Dy, Ho, Er, and Yb. In the Ni2Gd complexes the presence of the isotropic GdIII ion facilitated the fitting of the magnetic data and the determination of the Ni···Gd exchange coupling constant which is approximately +0.5 cm−1. Magnetization data vs. applied magnetic field at low temperatures revealed a ground state with total spin S = 11/2 in agreement with ferromagnetic interactions between two NiII (S = 1) and one GdIII (S = 7/2) ions. In two cases, the magnetocaloric effect of the Ni2Gd complexes was determined by heat capacity and isothermal magnetization measurements yielding magnetic entropy change (−ΔSm) in the range ~12–14 Jkg−1K−1 [17,26]. In some cases, complexes with LnIII = Dy, Tb showed zero-field or field-induced slow relaxation of the magnetization.
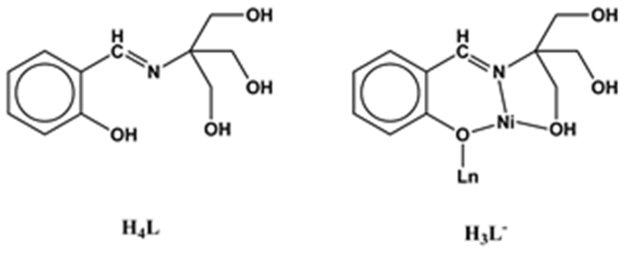
With these considerations in mind we have explored a general reaction scheme involving Ni(O2CMe)2·4H2O, lanthanide nitrates, and the tetradentate Schiff base ligand H4L = o-OH-C6H4-CH=N-C(CH2OH)3 (Scheme 2) in an attempt to prepare oligo-/polynuclear Ni/Ln complexes for further studies of their magnetic behavior. We have isolated the trinuclear complexes of general formula [Ni2Ln(H3L)4(O2CMe)2](NO3), Ln = Sm (1), Eu (2), Gd (3), and Tb (4), containing the monoanion of H4L ligand. We present herein their synthesis, crystallographic characterization, and magnetic properties studies.
Scheme 2.
The ligand used in this work and its coordination mode in 1–4.
2. Results and Discussion
2.1. Synthesis and Spectroscopic Characterization
The reaction of two equivalents of Ni(O2CMe)2·4H2O with one equivalent of Ln(NO3)3·6H2O (SmIII (1), EuIII (2), GdIII (3), TbIII (4)) and four equivalents of H4L in EtOH afforded trinuclear compounds of the general formula [Ni2Ln(H3L)4(O2CMe)2](NO3) according to Equation (1). Precipitation of the microcrystalline and/or single crystal X-ray diffraction quality crystals of 1–4 was achieved by layering of the reaction solution with mixture of Et2O/n-hexane.
The identity of 1–4 was confirmed by single crystal X-ray crystallography, infrared spectroscopy and microanalytical techniques. Initial attempts to prepare 1–4 from MeOH solutions gave microcrystalline products in very low yield (only few crystals). Subsequently, we changed the reaction solvent to EtOH and we managed to increase the yield of 1–4 and determine the crystal structure of 4·4EtOH·4H2O. The identity of 3 was confirmed by unit cell determination [46].
The IR spectra of all complexes (Figure S1) exhibit broad bands in the range 3437–3461 cm−1 attributed to the ν(OH) vibrations due to the presence of alkoxo groups of the ligand. The band at ~1635 cm−1 in the free ligand is due to ν(C=N) vibration. The shifting of this band to lower frequency (~1600 cm−1) in the spectra of all complexes suggests coordination of the metal ions through the imino nitrogen. The ν(C-O) stretching frequency of the phenolic oxygen of the ligand is seen at 1395 cm−1 and shifts to lower frequency in the spectra of all complexes, in the range 1317–1320 cm−1, indicating coordination to the metal ions [47]. The strong bands at ~1555 and ~1444 cm−1 are attributed to the νas(CO2) and νs(CO2) stretching vibrations of the bidentate chelate acetato ligands. The difference Δ = νas(CO2) − νs(CO2) is 110–114 cm−1 and agrees with the low difference values found in rare earth acetates with chelating coordination mode [48,49,50]. The strong band at ~1384 cm−1 in the spectra of all compounds is attributed to the presence of ν3(E′) [νd(NO)] mode of the uncoordinated D3h ionic nitrates [51].
2.2. Description of the Structure
Compounds [Ni2Gd(H3L)4(O2CMe)2](NO3) (3) and [Ni2Tb(H3L)4(O2CMe)2](NO3) (4) are isomorphous as established by unit cell determinations. The molecular structure of 4 consists of [Ni2Tb(H3L)4(O2CMe)2]+ cations, NO3− counteranions and solvate molecules. Compound 4 crystallizes in the centrosymmetric orthorhombic space group Pnnn. The asymmetric unit cell contains 1/4 of the trinuclear molecule, 1/4 of the nitrate counteranion and solvate molecules; the latter will not be discussed further. The central TbIII ion resides on site symmetry 222 at (3/4, 1/4, 3/4), Wyckoff position 2d, and the terminal NiII ions reside on two-fold axis of symmetry at (3/4, y, 3/4), Wyckoff position 4i. The carbon atoms of the acetato ligands also reside on two-fold axis of symmetry at (3/4, 1/4, z), Wyckoff position 4l. The nitrate counteranion is bisected by a two-fold axis of symmetry passing through the nitrogen and one of the oxygen atoms, both reside at sites (x, 1/4, 1/4), Wyckoff position 4g; the NO3− is disordered over two positions around site symmetry 222. Due to the symmetry described above, the angle defined by the metal ions in 4 is strictly 180° with interatomic distances Ni···Tb = 3.447 Å. The central TbIII ion is linked to each of the NiII ions through two deprotonated phenolato oxygen atoms from two different ligands (Figure 1). Each terminal NiII ion is coordinated to two ligands through their phenolato oxygen, the imino nitrogen atoms and one of the protonated alkoxo groups. The coordination environment around the terminal NiII ions is distorted octahedral. The central TbIII ion is coordinated to four phenolato oxygen atoms from the four ligands, and four carboxylato oxygen atoms from two acetates which are bound in the bidentate chelate mode. The eight coordination polyhedron around the LnIII ion, according to the Continuous Shape Measures approach (CShM) by using the program SHAPE [52], is best described as square antiprism, SAPR-8, with the two bases formed by O(5)/O(1′)/O(5″)/O(1′″) and O(1)/O(5′)O(1″)/O(5′″), respectively. Selected bond distances are listed in Table 1.
Figure 1.
(a) Partially labeled plot of the cationic part of 4. Color code: NiII green; TbIII tan; O red; N blue; C grey. Symmetry operations: (′) 1.5-x, 0.5-y, z; (″) x, 0.5-y, 1.5-z; (′″) 1.5-x, y, 1.5-z. (b) The square antiprism around the TbIII ion.
Table 1.
Selected bond distances (Å) in 4·4EtOH·4H2O.
The lattice structure of 4 is built due to hydrogen bonding interactions (Table 2). Each trinuclear cluster acts as a 4-connected node and is linked to four neighboring clusters through eight hydrogen bonds developed between the protonated pendant alkoxide groups of H3L− (Figure 2a) which expands to a 3D diamondlike network. Each trinuclear cluster is translated along a-axis resulting in a second 3D diamondlike network interacting weakly with the first one through Van der Waals forces, and thus the final architecture of the structure consists of two interpenetrating diamond lattices (Figure 2a,b). The topology of each independent lattice is described by the 66 Well point symbols or with Schläfli symbol (6,4) and the overall structure as 2-fold based on the Bratten-Robson classification scheme [53] or with topology dia belonging to Class Ia, with Translational Degree of interpenetration Zt = 2 and translation along [1,0,0] (10.0634 Å) according to Blatov et al. [54]. The characteristic interlocked adamantane units of two independent interpenetrating diamondlike lattices [53] observed in the structure of compound 4 are shown in Figure S2. Schiff bases have been proved to build very interesting supramolecular structures, with the involvement of solvent molecules or not [55]. Diamondlike interpenetrating lattices, and especially those created through supramolecular interactions, have attracted the interest of researchers as it is possible to control, both the density and the pore size of the materials [56]. The center/nodes in the diamondoid lattices are at 14.386 Å apart. In channels created along the a-axis of compound 4, the NO3− counteranions and the lattice solvents (water and ethanol molecules) are hosted (Figure 2b). The channels along the a-axis occupy the ~38% of the total unit cell volume (with a volume of 1374.9 Å3 out of a total of 3642.9 Å3).
Table 2.
Hydrogen bonds in 4·4EtOH·4H2O.
Figure 2.
(a) The two 4-connected nodes of trinuclear clusters in 4. The clusters/nodes creating one of the two interpenetrating lattices are indicated in pink color and the corresponding hydrogen bonds are shown as light green dashed lines. Those of the second lattice are indicated with violet color and the corresponding hydrogen bonds with dark green dashed lines. (b) A small part of the 3D supramolecular network of 4 using only the nodes in the representation consisting of two interpenetrating diamondlike lattices, indicated with pink and violet colors. In the channels formed along a-axis the counteranion and the solvent molecules are hosted.
2.3. Magnetic Measurements
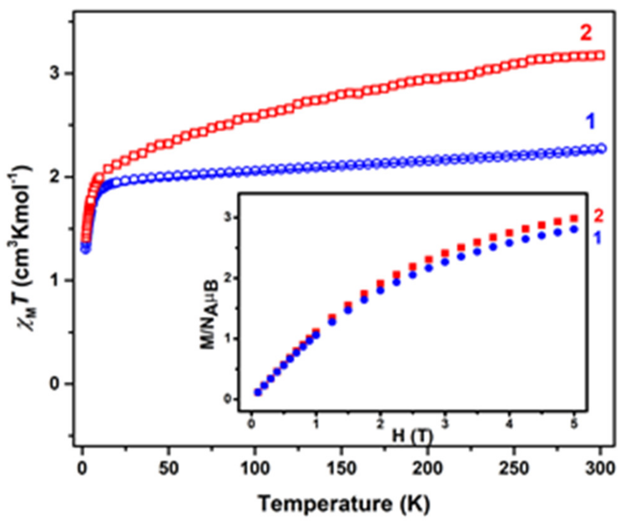
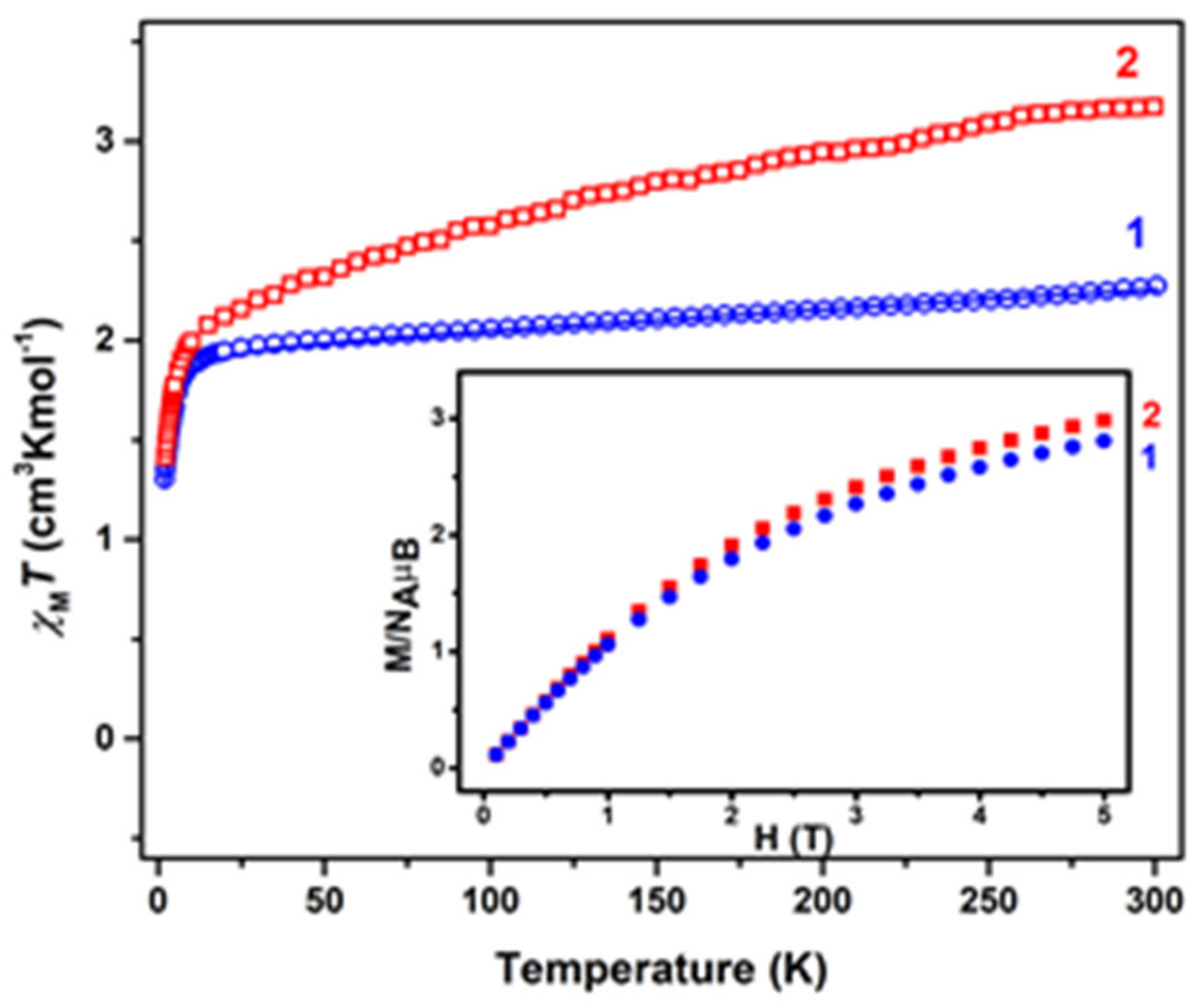
The χMT product of 1 at room temperature is 2.27 cm3Kmol−1, which is larger than the calculated value of 2.09 cm3Kmol−1 for two NiII (S = 1, g = 2.0, χMT = 2.0 cm3Kmol−1) and one SmIII non-interacting ions (χMT = 0.09 cm3Kmol−1). The value of χMT product decreases slightly upon lowering the temperature, reaches a value of 1.94 cm3Kmol−1 at 20 K and then drops to 1.30 cm3Kmol−1 at 2 K (Figure 3). The susceptibility data were fitted considering (a) the intramolecular magnetic interaction between the two NiII ions, J, and (b) the magnetic anisotropy of the NiII ions, D, according to the spin Hamiltonian:
Figure 3.
Plots of χMT vs. T at 1000 Oe and M vs. H at 2 K (inset) for 1 (blue) and 2 (red). Solid line for 1 represents the best fit obtained with the magnetic model described in the text.
The best fit gave J = −0.02 cm−1, D = −7.67 cm−1 with g = 1.97 and TIP = 0.001 cm3mol−1. Taking into account the negligible value of J, which is in agreement with the very large intramolecular Ni···Ni distance, the fit of the χMT vs. T data was repeated considering only the magnetic anisotropy of the NiII ions, and gave D = −8.07 cm−1 with g = 1.97 and TIP = 0.001 cm3mol−1. These values for the zero field splitting parameter D are extremely large for this type of complexes, suggesting that antiferromagnetic intramolecular interactions are present and affect the decrease of χMT product at low temperatures. The χMT vs. T data could be nicely fitted considering only the magnetic interaction between the NiII ions, leading to the value of J = −0.37 cm−1 with g = 1.97 and TIP = 0.001 cm3mol−1 (blue line in Figure 3).
The χMT product of 2 at 300 K is 3.17 cm3Kmol−1, significantly higher than expected for two non-interacting NiII (S = 1, g = 2.0) ions and one EuIII ion (S = 0). This behavior can be explained if we assume that the first excited states for the EuIII ion are energetically close enough to the ground state so that can be thermally populated at 300 K. As the temperature decreases, the χMT product of 2, decreases to ~2 cm3Kmol−1 at 10 K (Figure 3). This is expected due to the progressive and final depopulation of the magnetic excited states of the EuIII ions. Below 10 K, the χMT product of 2 decreases to 1.41 cm3Kmol−1 at 2 K, which is close to the value of the χMT product of 1 at 2 K, suggesting that both compounds exhibit similar ground states and that the EuIII low-lying excited states in 2 are completely depopulated at 2 K.
Field dependent magnetization measurements were performed up to 5 T for 1 and 2 at 2 K; these are shown as insets in Figure 3. In both cases, the magnetization increases gradually in low magnetic fields and reaches 2.80 NμB for 1 and 2.98 NμB for 2 at 5 T, without reaching saturation.
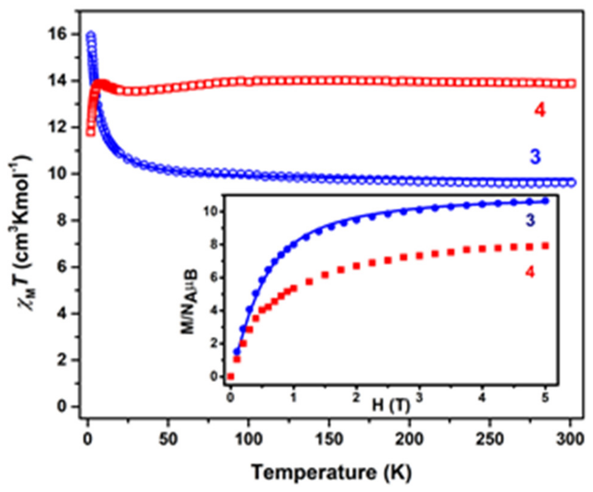
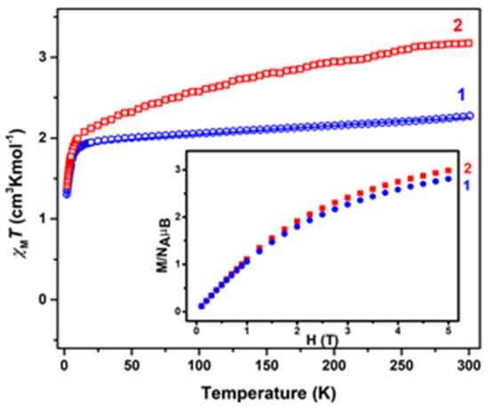
The χMT product of 3 at 300 K is 9.63 cm3Kmol−1 which is in very good agreement with the theoretic value (9.88 cm3Kmol−1) expected for two non-interacting NiII (S = 1, g = 2.0) and one GdIII (S = 7/2, J = 7/2, g = 2.0) ions. Between 300 and 60 K, the χMT product remains practically constant, and then increases slightly up to ~30 K; below that temperature the χMT product increases rapidly and reaches the value of 15.92 cm3Kmol−1 at 2 K (Figure 4). The overall behavior is consistent with the presence of dominant ferromagnetic Ni···Gd interactions within the trinuclear complex. Magnetization measurements at 2 K show a rapid increase upon increasing of the magnetic field reaching a value of 10.64 NμB at 5 T (Figure 4, inset) very close to the theoretical value for a S = 11/2 spin ground state corresponding to ferromagnetic coupling between two NiII and one GdIII ions. Complex 3 is isomorphous to 4 as determined by unit cell measurements. For the latter, the molecular symmetry implies strictly linear metal arrangement and two equal Ni···Ln distances, which would require only one exchange parameter JNiGd. The magnetic susceptibility and isothermal M(H) data were fitted by using the spin Hamiltonian:
where SNi = 1 and SGd = 7/2 and D the magnetic anisotropy of the NiII ions. The best fit gave JNiGd = +0.42 cm−1, D = +2.95 cm−1 with gNi = gGd = 1.98 (solid lines in Figure 4). These values agree with those found in other linear trinuclear Ni2Gd complexes [13,20].
Figure 4.
Plots of χMT vs. T at 1000 Oe and M vs. H at 2 K (inset) for 3 (blue) and 4 (red). Solid lines for 3 represent the best fit obtained with the magnetic model described in the text.
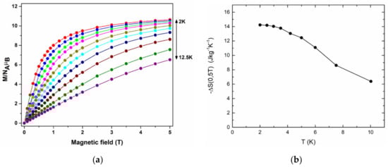
The magnetocaloric effect of 3 was determined by isothermal magnetization measurements in the temperature range 2–12.5 K under applied magnetic fields up to 5 T (Figure 5). The magnetic entropy change can be obtained by using Maxwell’s relation
where B is the applied magnetic induction in Tesla, Bi and Bf are the initial and final applied magnetic induction. A simple numerical approach can be used to obtain the experimental value of the entropy from the M vs. H curves using Equation (5)
where Mi and Mi+1 are the magnetization values measured in a field H at temperatures Ti and Ti+1, respectively.
Figure 5.
(a) Field dependent isothermal magnetization of 3 in the temperature range 2–12.5 K. (b) A plot of the maximum entropy change from 0 to 5 Tesla, against temperature for 3, calculated from the Equation (5). Solid lines are guide to the eye.
The change of the magnetic entropy was calculated |S(0,5T)| = 14.2 Jkg−1K−1 at T = 2 K in agreement with the values found in the literature [17]. Moreover, the estimated value of the |S(0,5T)| is lower than the theoretically expected for three independent ions (two NiII S = 1 and one GdIII S = 7/2), ΔS = 2Rln(3) + Rln(8) = 4.276R Jmol−1K−1 ≡ 35 Jmol−1K−1. With a molecular weight of 1.35 kgmol−1 for 3, an entropy change of 26.33 Jkg−1K−1 is expected. This difference can be attributed to the presence of non-zero exchange interactions. Nevertheless, our results are comparable with the values found in the literature in a similar Ni2Gd cluster [17].
The χMT product of 4 at 300 K is 13.88 cm3Kmol−1, which is close to the theoretical value of 13.81cm3Kmol−1, for two NiII (S = 1, g = 2.0) and one TbIII (S = 3, J = 6, g = 3/2) non-interacting ions (Figure 4). The χMT product of 4 remains practically constant in the temperature range 300–80 K and then decreases slightly to the value of 13.54 cm3Kmol−1 at 25 K. This behavior indicates dominant intramolecular antiferromagnetic interactions between the metal ions and/or thermal depopulation of the TbIII excited states. Between 25 and 8 K, the χMT product increases slightly to reach the value of 13.88 cm3Kmol−1 and then drops to 11.79 cm3Kmol−1 at 2 K. This behavior could be attributed to ferromagnetic interactions between the metal ions that could result in a high spin ground state.
The field dependence of the magnetization for 4 is shown in Figure 4 inset. The magnetization of 4 at 2 K reaches 7.92 NμB at 5 T. The curve does not level out as magnetization does not saturate suggesting that ground spin state is not fully populated because other excited states remain populated to some extent.
3. Materials and Methods
3.1. General and Spectroscopic Measurements
All manipulations were performed under aerobic conditions using materials as received (Aldrich Co). All chemicals and solvents were of reagent grade. The ligand OH-C6H4-CH=NC(CH2OH)3, H4L was synthesized as described previously [57]. Elemental analysis for carbon, hydrogen, and nitrogen was performed on a Perkin Elmer 2400/II automatic analyzer. Infrared spectra were recorded as KBr pellets in the range 4000–400 cm−1 on a Bruker Equinox 55/S FT-IR spectrophotometer. Variable-temperature magnetic susceptibility measurements were carried out on polycrystalline samples of 1–4 by using a SQUID magnetometer (Quantum Design MPMS 5.5). Diamagnetic corrections were estimated from Pascal′s constants. The program PHI was used for simulations of the magnetic susceptibility data of 3 [58].
3.2. Compound Preparations
3.2.1. General Synthetic Route for [Ni2Ln(H3L)4(O2CMe)2](NO3) (1–4)
Solid Ln(NO3)3·6H2O (0.25 mmol) was added under stirring to a yellow solution of H4L (1.00 mmol, 0.2252 g) in EtOH (20 mL). The solution was refluxed for three hours until solid Ni(O2CMe)2·4H2O (0.50 mmol, 0.1244 g) was added and continue refluxing for two more hours. The final green solution was layered with mixture of Et2O/n-hexane (1:1 v/v) to afford light green microcrystalline solid or X-ray quality single crystals after approximately two weeks. The material was filtered off and dried in vacuo.
3.2.2. [Ni2Sm(H3L)4(O2CMe)2](NO3) (1)
Sm(NO3)3·6H2O (0.25 mmol, 0.1111 g), Yield: 0.069 g, ~20% based on SmIII. C48H62N5O23Ni2Sm requires C, 42.87; H, 4.65; N, 5.21%. Found: C, 42.78; H, 4.63; N, 5.19%. FT-IR (KBr pellets, cm−1): 3452(br), 2980(w), 2940(w), 2895(w), 1638(vs), 1600(m), 1556(s), 1473(m), 1442(m), 1384(vs), 1350(sh), 1317(sh), 1284(m), 1251(m), 1199(m), 1150(m), 1128(w), 1057(vs), 942(m), 919(w), 890(m), 857(w), 810(m), 764(m), 742(m), 675(m), 634(m), 610(w), 588(m), 541(w), 455(w).
3.2.3. [Ni2Eu(H3L)4(O2CMe)2](NO3) (2)
Eu(NO3)3·6H2O (0.25 mmol, 0.1115 g), Yield: 0.046 g, ~14% based on EuIII. C48H62N5O23Ni2Eu requires C, 42.82; H, 4.64; N, 5.20%. Found: C, 42.73; H, 4.23; N, 5.18%. FT-IR (KBr pellets, cm−1): 3450(br), 2940(w), 2895(w), 1638(vs), 1599(m), 1556(s), 1473(m), 1444(m), 1384(vs), 1348(w), 1284(m), 1251(m), 1200(m), 1150(m), 1128(w), 1050(vs), 941(m), 890(m), 855(w), 811(m), 765(m), 742(m), 675(m), 633(m), 610(w), 587(m), 540(w), 455(w).
3.2.4. [Ni2Gd(H3L)4(O2CMe)2](NO3) (3)
Gd(NO3)3·6H2O (0.25 mmol, 0.1128 g), Yield: 0.070 g, ~21% based on GdIII. C48H62N5O23Ni2Gd requires C, 42.65; H, 4.62; N, 5.18%. Found: C, 42.56; H, 4.60; N, 5.16%. FT-IR (KBr pellets, cm−1): 3437(br), 2940(w), 2855(w), 1637(vs), 1598(s), 1556(s), 1474(s), 1445(s), 1384(vs), 1340(w), 1317(w), 1286(vs), 1250(w), 1201(m), 1149(m), 1045(vs), 943(m), 889(m), 857(w), 813(m), 774(s), 742(m), 686(m), 634(m), 613(w), 584(m), 548(w), 517(w), 497(w), 475(w), 453(w).
3.2.5. [Ni2Tb(H3L)4(O2CMe)2](NO3) (4)
Tb(NO3)3·6H2O (0.25 mmol, 0.1133 g), Yield: 0.047 g, ~14% based on TbIII. C48H62N5O23Ni2Tb requires C, 42.60; H, 4.62; N, 5.18%. Found: C, 42.51; H, 4.60; N, 5.16%. FT-IR (KBr pellets, cm−1): 3461(br), 2940(w), 2860(w), 1638(vs), 1600(s), 1556(s), 1474(s), 1446(s), 1384(vs), 1344(w), 1320(w), 1285(s), 1253(m), 1202(m), 1150(m), 1126(m), 1045(s), 986(w), 944(m), 890(m), 857(m), 810(m), 772(s), 742(m), 684(m), 633(m), 613(w), 586(w), 546(w), 519(w), 479(w), 453(w).
3.3. Single Crystal X-ray Crystallography
Crystals of 4·4EtOH·4H2O (0.07 × 0.10 × 0.42 mm) were taken from the mother liquor and immediately cooled to −113 °C. Diffraction measurements were made on a Rigaku R-AXIS SPIDER Image Plate diffractometer using graphite monochromated Cu Kα radiation. Data collection (ω-scans) and processing (cell refinement, data reduction and empirical absorption correction) were performed using the CrystalClear program package [59]. The structure was solved by direct methods using SHELXS v.2013/1 and refined by full-matrix least-squares techniques on F2 with SHELXL ver2014/6 [60,61] (see Appendix A). Important crystallographic and refinement data are listed in Table 3. Further experimental crystallographic details for 4·4EtOH·4H2O: 2θmax = 130°; reflections collected/unique/used, 14249/3026 [Rint = 0.0671]/3026; 180 parameters refined; (Δ/σ)max = 0.002; (Δρ)max/(Δρ)min = 3.761/−1.538 e/Å3; R1/wR2 (for all data), 0.1016/0.2418. Hydrogen atoms were either located by difference maps and were refined isotropically or were introduced at calculated positions as riding on bonded atoms. All non-hydrogen atoms were refined anisotropically. Plots of the structure were drawn using the Diamond 3 program package [62].
Table 3.
Crystallographic data for 4·4EtOH·4H2O.
4. Conclusions
We have demonstrated the preparation of the trinuclear complexes of general formula [Ni2Ln(H3L)4(O2CMe)2](NO3), Ln = Sm (1), Eu (2), Gd (3), Tb (4), which contain the monoanion of the tetradentate Schiff base ligand H4L: o-OH-C6H4-CH=N-C(CH2OH)3. The crystal structure of 4 revealed the presence of complex cations and nitrate anions. The complex cations contain two terminal NiII ions and one central TbIII ion in linear arrangement. Both NiII ions present distorted octahedral geometry and are bound to two H3L− ligands through their phenolato oxygen, the imino nitrogen atoms and one of the protonated alkoxo groups. The TbIII ion is coordinated to four phenolato oxygen atoms from the four ligands, and four carboxylato oxygen atoms from two acetates which are bound in the bidentate chelate mode. The use of Continuous Shape Measures approach (CShM) revealed that the coordination polyhedron around the terbium ion in 4 is square antiprism, SAPR-8. The pendant alkoxide arms of the ligands participate in an extensive network of hydrogen bonds. The final architecture of the lattice structure consists of two interpenetrating 3D diamond lattices which host the NO3− counteranions and the lattice solvents. The identity of 3 was confirmed by unit cell determination and it was found isomorphous to complex 4. The chemical identity and similarity of 1–4 were confirmed by infrared spectroscopy. The magnetic study of these complexes demonstrated the nature of the magnetic exchange between the metal ions in 1–4. The magnetic susceptibility measurements revealed weak antiferromagnetic coupling between the NiII ions in 1. The contribution of the magnetic anisotropy of the NiII ions (S = 1) during the fit of the susceptibility data of 1 led to unrealistic high values for the parameter D and was not taken into account. The significantly high value of the χMT product of 2 at 300 K is consistent with the presence of first excited states which are sufficiently low in energy and are thermally populated at r.t. The experimental χMT vs. T curve for 4 indicates the presence of intramolecular antiferromagnetic interactions between the metal ions; the decrease of the χMT products at low temperatures are consistent with the thermal depopulation of the TbIII excited states. The magnetic study of 3 revealed dominant ferromagnetic interactions between the NiII and GdIII ions with JNiGd = +0.42 cm−1, D = +2.95 cm−1 (gNi = gGd = 1.98), resulting in S = 11/2 spin ground state. The change of the magnetic entropy of 3 was calculated |ΔS(0,5T)| = 14.2 Jkg−1K−1 at T = 2 K in agreement with the values found in the literature.
Further work is in progress in our lab with other lanthanides in order to systematically delve into the magnetic properties of these complexes.
Supplementary Materials
The following are available online. Figure S1: The FT-IR spectra of complexes 1–4. Figure S2: The characteristic interlocked adamantane units of two independent interpenetrating diamondlike lattices observed in the structure of compound 4.
Author Contributions
A.N.G. performed the synthesis of 1–4; M.P. and Y.S. performed and interpreted the magnetic properties of 1–4; V.P. and C.P.R. performed the crystallographic analysis of 1–4. C.P.R. was responsible for coordinating the work and measurements and for writing—review-editing of the manuscript. All authors contributed to the writing—review and editing of the manuscript. All authors have read and agreed to the published version of this manuscript.
Funding
This research received no external funding.
Acknowledgments
This research is implemented through the project “Development of Materials and Devices for Industrial, Health, Environmental and Cultural Applications” (MIS 5002567) which is implemented under the “Action for the Strategic Development on the Research and Technological Sector”, funded by the Operational Programme “Competitiveness, Entrepreneurship and Innovation” (NSRF 2014-2020) and co-financed by Greece and the European Union (European Regional Development Fund. V.P. would like to thank the Special Account of NCSR “Demokritos” for financial support regarding the operation of the X-ray facilities at INN through the internal program entitled ‘Structural study and characterization of crystalline materials’ (NCSR Demokritos, ELKE #10 813).
Conflicts of Interest
The authors declare no conflict of interest.
Appendix A
CCDC 1994669 contains the supplementary crystallographic data for this paper. These data can be obtained free of charge from The Cambridge Crystallographic Data Centre via www.ccdc.cam.ac.uk/data_request/cif.
References and Notes
- See for example: Chakraborty, A.; Goura, J.; Bag, P.; Chandrasekhar, V. NiII-LnIII Heterometallic Complexes as Single-Molecule Magnets. Eur. J. Inorg. Chem. 2019, 1180–1200. [Google Scholar] [CrossRef]
- Dey, A.; Acharya, J.; Chandrasekhar, V. Heterometallic 3d-4f Complexes as Single Molecule Magnets. Chem. Asian J. 2019, 14, 4433–4453. [Google Scholar] [CrossRef] [PubMed]
- Single-Molecule Magnets: Molecular Architectures and Building Blocks for Spintronics; Holyńska, M., Ed.; Wiley-VCH Verlag GmbH & Co. KGaA: Weinheim, Germany, 2019; pp. 19–28. [Google Scholar]
- Benchini, A.; Benelli, C.; Caneschi, A.; Carlin, R.L.; Dei, A.; Gatteschi, D. Crystal and Molecular Structure of and Magnetic Coupling in two Complexes Containing Gadolimium(III) and Copper(II) Ions. J. Am. Chem. Soc. 1985, 107, 8128–8136. [Google Scholar] [CrossRef]
- Costes, J.-P.; Dahan, F.; Dupuis, A.; Laurent, J.P. A Genuine Example of a Discrete Bimetallic (Cu, Gd) Complex: Structural Determination and Magnetic Properties. Inorg. Chem. 1996, 35, 2400–2402. [Google Scholar] [CrossRef] [PubMed]
- Pasatoiu, T.D.; Sutter, J.-P.; Madalan, A.M.; Fellah, F.Z.C.; Duhayon, C.; Andruh, M. Preparation, Crystal Structures, and Magnetic Features for a Series of Dinuclear [NiIILnIII] Schiff-Base Complexes: Evidence for Slow Relaxation of the Magnetization for the DyIII Derivative. Inorg. Chem. 2011, 50, 5890–5898. [Google Scholar] [CrossRef] [PubMed]
- Chandrasekhar, V.; Pandian, B.M.; Azhakar, R.; Vittal, J.J.; Clérac, R. Linear Trinuclear Mixed-Metal CoII-GdIII-CoII Single-Molecule Magnet: [L2Co2Gd][NO3].2CHCl3 (LH3 = (S)P[N(Me)N=CH-C6H3-2-OH-3-OMe]3). Inorg. Chem. 2007, 46, 5140–5142. [Google Scholar] [CrossRef] [PubMed]
- Chandrasekhar, V.; Pandian, B.M.; Vittal, J.J.; Clérac, R. Synthesis, Structure, and Magnetism of Heterobimetallic Trinuclear Complexes {[L2Co2Ln][X]} [Ln = Eu, X = Cl; Ln = Tb, Dy, Ho, X = NO3; LH3 = (S)P[N(Me)N=CH-C6H3-2-OH-3-OMe]3]: A 3d-4f Family of Single-Molecule Magnets. Inorg. Chem. 2009, 48, 1148–1157. [Google Scholar] [CrossRef]
- Yamaguchi, T.; Costes, J.-P.; Kishima, Y.; Kojima, M.; Sunatsuki, Y.; Bréfuel, N.; Tuchagues, J.-P.; Vendier, L.; Wernsdorfer, W. Face-Sharing Heterotrinuclear MII-LnIII-MII (M = Mn, Fe, Co, Zn; Ln = La, Gd, Tb, Dy) Complexes: Synthesis, Structures, and Magnetic Properties. Inorg. Chem. 2010, 49, 9125–9135. [Google Scholar] [CrossRef]
- The literature listed below covers the period 2000-2019.
- Chandrasekhar, V.; Pandian, B.M.; Boomishankar, R.; Steiner, A.; Vittal, J.J.; Houri, A.; Clérac, R. Trinuclear Heterobimetallic Ni2Ln Complexes [L2Ni2Ln][ClO4] (Ln = La, Ce, Pr, Nd, Sm, Eu, Gd, Tb, Dy, Ho, and Er; LH3 = (S)P[N(Me)N=CH-C6H3-2-OH-3-OMe]3]: From Simple Paramagnetic Complexes to Single-Molecule Magnet Behavior. Inorg. Chem. 2008, 47, 4918–4929. [Google Scholar] [CrossRef]
- Singh, S.K.; Rajeshkumar, T.; Chandrasekhar, V.; Rajaraman, G. Theoretical Studies on {3d-Gd} and {3d-Gd-3d} Complexes: Effect of Metal Substitution on the Effective Exchange Interaction. Polyhedron 2013, 66, 81–86. [Google Scholar] [CrossRef]
- Costes, J.-P.; Yamaguchi, T.; Kojima, M.; Vendier, L. Experimental Evidence for the Participation of 5d GdIII Orbitals in the Magnetic Interaction in Ni-Gd Complexes. Inorg. Chem. 2009, 48, 5555–5561. [Google Scholar] [CrossRef] [PubMed]
- Yao, M.-X.; Zhu, Z.-X.; Lu, X.-Y.; Deng, X.-W.; Jing, S. Synthetic Ability of Dinuclear Mesocates Containing 1,3-bis(diazinecarboxamide)benzene Bridging Ligands to Form Complexes of Increased Nuclearity. Crystal Structures, Magnetic Properties and Theoretical Studies. Dalton Trans. 2016, 45, 10689–10695. [Google Scholar] [CrossRef] [PubMed]
- Comba, P.; Enders, M.; Groẞhauser, M.; Hiller, M.; Müller, D.; Wadepohl, H. Solution and Solid State Structures and Magnetism of a Series of Linear Trinuclear Compounds with a Hexacoordinate LnIII and two Terminal NiII Centers. Dalton Trans. 2017, 46, 138–149. [Google Scholar] [CrossRef] [PubMed]
- Wen, H.-R.; Zhang, J.-L.; Liang, F.-Y.; Yang, K.; Liu, S.-J.; Liao, J.-S.; Liu, C.-M. TbIII/3d-TbIII Clusters Derived from a 1,4,7-triazacyclononane-based Hexadentate Ligand with Field-Induced Slow Magnetic Relaxation and Oxygen-Sensitive Luminescence. New J. Chem. 2019, 43, 4067–4074. [Google Scholar] [CrossRef]
- Upadhyay, A.; Komatireddy, N.; Ghirri, A.; Tuna, F.; Langley, S.K.; Srivastava, A.K.; Sañudo, E.C.; Moubaraki, B.; Murray, K.S.; McInnes, E.J.L.; et al. Synthesis and Magnetothermal Properties of a Ferromagnetically Coupled NiII-GdIII-NiII Cluster. Dalton Trans. 2014, 43, 259–266. [Google Scholar] [CrossRef] [PubMed]
- Upadhyay, A.; Das, C.; Langley, S.K.; Murray, K.S.; Srivastava, A.K.; Shanmugam, M. Heteronuclear Ni(II)-Ln(III) (Ln = La, Pr, Tb, Dy) Complexes: Synthesis and Single-Molecule Magnet Behaviour. Dalton Trans. 2016, 45, 3616–3626. [Google Scholar] [CrossRef]
- Zhu, Y.; Luo, F.; Song, Y.-M.; Feng, X.-F.; Luo, M.-B.; Liao, Z.-W.; Sun, G.-M.; Tian, X.-Z.; Yuan, Z.-J. The First One-Pot Synthesis of Multinuclear 3d-4f Metal-Organic Compounds Involving a Polytopic N,O-Donor Ligand Formed in Situ. Cryst. Growth Des. 2012, 12, 2158–2161. [Google Scholar] [CrossRef]
- Yamaguchi, T.; Sunatsuki, Y.; Kojima, M.; Akashi, H.; Tsuchimoto, M.; Re, N.; Osa, S.; Matsumoto, N. Ferromagnetic NiII-GdIII Interactions in Complexes with NiGd, NiGdNi, and NiGdGdNi Cores Supported by Tripodal Ligands. Chem. Commun. 2004, 1048–1049. [Google Scholar] [CrossRef]
- Yamaguchi, T.; Sunatsuki, Y.; Ishida, H.; Kajima, M.; Akashi, H.; Re, N.; Matsumoto, N.; Pochaba, A.; Mroziński, J. Synthesis, Structures, and Magnetic Properties of Doubly Face-Sharing Heterotrinuclear NiII-LnIII-NiII (Ln = Eu, Gd, Tb, and Dy) Complexes. Bull. Chem. Soc. Jpn. 2008, 81, 598–605. [Google Scholar] [CrossRef]
- Xu, Z.; Read, P.W.; Hibbs, D.E.; Hursthouse, M.B.; Abdul Malik, K.M.; Patrick, B.O.; Rettig, S.J.; Seid, M.; Summers, D.A.; Pink, M.; et al. Coaggregation of Paramagnetic d- and f-Block Metal Ions with a Podant-Framework Amino Phenol Ligand. Inorg. Chem. 2000, 39, 508–516. [Google Scholar] [CrossRef]
- Barta, C.A.; Bayly, S.R.; Read, P.W.; Patrick, B.O.; Thompson, R.C.; Orvig, C. Molecular Architectures for Trimetallic d/f/d Complexes: Structural and Magnetic Properties of a LnNi2 Core. Inorg. Chem. 2008, 47, 2280–2293. [Google Scholar] [CrossRef] [PubMed]
- Deacon, G.B.; Forsyth, C.M.; Junk, P.C.; Leary, S.G. A Rare Earth Alloy as a Synthetic Reagent: Contrasting Homometallic Rare Earth and Heterobimetallic Outcomes. New J. Chem. 2006, 30, 592–596. [Google Scholar] [CrossRef]
- Ahmed, N.; Das, C.; Vaidya, S.; Kumar Srivastava, A.; Langley, S.K.; Murray, K.S.; Shanmugam, M. Probing the Magnetic and Magnetothermal Properties of M(II)-Ln(III) Complexes (where M(II) = Ni or Zn; Ln(III) = La or Pr or Gd). Dalton Trans. 2014, 43, 17375–17384. [Google Scholar] [CrossRef] [PubMed]
- Das, S.; Dey, A.; Kundu, S.; Biswas, S.; Mota, A.J.; Colacio, E.; Chandrasekhar, V. Linear {NiII-LnIII-NiII} Complexes Containing Twisted Planar Ni(μ-phenolate)2Ln Fragments: Synthesis, Structure, and Magnetothermal Properties. Chem. Asian. J. 2014, 9, 1876–1887. [Google Scholar] [CrossRef] [PubMed]
- Costes, J.-P.; Donnadieu, B.; Gheorghe, R.; Novitchi, G.; Tuchagues, J.-P.; Vendier, L. Di- or Trinuclear 3d-4f Schiff Base Complexes: The Role of Anions. Eur. J. Inorg. Chem. 2008, 5235–5244. [Google Scholar] [CrossRef]
- Shiga, T.; Ito, N.; Hidaka, A.; Okawa, H.; Kitagawa, S.; Ohba, M. Series of Trinuclear NiIILnIIINiII Complexes Derived from 2,6-Di(acetoacetyl)pyridine: Synthesis, Structure, and Magnetism. Inorg. Chem. 2007, 46, 3492–3501. [Google Scholar] [CrossRef] [PubMed]
- Bayly, S.R.; Xu, Z.; Patrick, B.O.; Rettig, S.J.; Pink, M.; Thompson, R.C.; Orvig, C. d/f Complexes with Uniform Coordination Geometry: Structural and Magnetic Properties of an LnNi2 Core Supported by a Hepradentate Amine Phenol Ligand. Inorg. Chem. 2003, 42, 1576–1583. [Google Scholar] [CrossRef]
- Mustapha, A.; Reglinski, J.; Kennedy, A.R. The Use of Hydrogenated Schiff Base Ligands in the Synthesis of Multi-Metallic Compounds. Inorg. Chim. Acta 2009, 362, 1267–1274. [Google Scholar] [CrossRef]
- Wen, H.-R.; Dong, P.-P.; Liu, S.-J.; Liao, J.-S.; Liang, F.-Y.; Liu, C.-M. 3d-4f Heterometallic Trinuclear Complexes Derived from Amine-Phenol Tripodal Ligands Exhibiting Magnetic and Luminescent Properties. Dalton Trans. 2017, 46, 1153–1162. [Google Scholar] [CrossRef]
- Sui, Y.; Hu, R.-H.; Liu, D.-S.; Wu, Q. Adjustment of the Structures and Biological Activities by the Ratio of NiL to RE for Two Sets of Schiff Base Complexes [(NiL)nRE] (n = 1 or 2; RE = La or Ce). Inorg. Chem. Comm. 2011, 14, 396–398. [Google Scholar] [CrossRef]
- Ali Güngör, S.; Kose, M. Synthesis, Crystal Structure, Photoluminescence and Electrochemical Properties of a Sandwiched Ni2Ce Complex. J. Mol. Struct. 2017, 1150, 274–278. [Google Scholar] [CrossRef]
- Ghosh, S.; Ghosh, A. Coordination of Metalloligand [NiL] (H2L = Salen Type N2O2 Schiff Base Ligand) to the f-Block Elements: Structural Elucidation and Spectrophotometric Investigation. Inorg. Chim. Acta 2016, 442, 64–69. [Google Scholar] [CrossRef]
- Cristovao, B.; Kłak, J.; Miroslaw, B. Synthesis, Crystal Structures and Magnetic Behavior of NiII-4f-NiII Compounds. Polyhedron 2012, 43, 47–54. [Google Scholar] [CrossRef]
- Cristóvão, B.; Kłak, J.; Pełka, R.; Miroslaw, B.; Hnatejko, Z. Heterometallic Trinuclear 3d-4f-3d Compounds Based on a Hexadentate Schiff Base Ligand. Polyhedron 2014, 68, 180–190. [Google Scholar] [CrossRef]
- Trieu, T.N.; Nguyen, M.H.; Abram, U.; Nguyen, H.H. Synthesis and Structures of New Trinuclear MIILnMII (M = Ni, Co; Ln = Gd, Ce) Complexes with 2,6-Bis(acetobenzoyl)pyridine. Z. Anorg. Allg. Chem. 2015, 641, 863–870. [Google Scholar] [CrossRef]
- Nguyen, H.H.; Jegathesh, J.J.; Takiden, A.; Hauenstein, D.; Pham, C.T.; Le, C.D.; Abram, U. 2,6-Dipicolinoylbis(N,N-dialkylthioureas) as Versatile Building Blocks for Oligo- and Polynuclear Architectures. Dalton Trans. 2016, 45, 10771–10779. [Google Scholar] [CrossRef]
- Bhunia, A.; Yadav, M.; Lan, Y.; Powell, A.K.; Menges, F.; Riehn, C.; Niedner-Schatteburg, G.; Jana, P.P.; Riedel, R.; Harms, K.; et al. Trinulcear Nickel-Lanthanide Compounds. Dalton Trans. 2013, 42, 2445–2450. [Google Scholar] [CrossRef]
- Chesman, A.S.R.; Turner, D.R.; Moubaraki, B.; Murray, K.S.; Deacon, G.B.; Batten, S.R. Synthesis and Magnetic Properties of a Series of 3d/4f/3d Heterometallic Trinuclear Complexes Incorporating in Situ Ligand Formation. Inorg. Chim. Acta 2012, 389, 99–106. [Google Scholar] [CrossRef]
- Papatriantafyllopoulou, C.; Estrader, M.; Efthymioua, C.G.; Dermitzaki, D.; Gkotsis, K.; Terzis, A.; Diaz, C.; Perlepes, S.P. In search for mixed transition metal/lanthanide single-molecule magnets: Synthetic routes to NiII/TbIII and NiII/DyIII clusters featuring a 2-pyridyl oximate ligand. Polyhedron 2009, 28, 1652–1655. [Google Scholar] [CrossRef]
- Kalogridis, C.; Palacios, M.A.; Rodríguez-Diéguez, A.; Mota, A.J.; Choquesillo-Lazarte, D.; Brechin, E.K.; Colacio, E. Heterometallic Oximato-Bridged Linear Trinuclear NiII−MIII−NiII (MIII = Mn, Fe, Tb) Complexes Constructed with the fac-O3 [Ni(HL)3]− Metalloligand (H2L = pyrimidine-2-carboxamide oxime): A Theoretical and Experimental Magneto-Structural Study. Eur. J. Inorg. Chem. 2011, 2011, 5225–5232. [Google Scholar] [CrossRef]
- Burkovskaya, N.P.; Orlova, E.V.; Kiskin, M.A.; Efimov, N.N.; Bogomyakov, A.S.; Fedin, M.V.; Kolotilov, S.V.; Minin, V.V.; Aleksandrov, G.G.; Sidorov, A.A.; et al. Synthesis, structure, and magnetic properties of heterometallic trinuclear complexes {MII–LnIII–MII} (MII = Ni, Cu; LnIII = La, Pr, Sm, Eu, Gd). Russ. Chem. Bull Int. Ed. 2011, 60, 2490–2503. [Google Scholar] [CrossRef]
- Efthymiou, C.G.; Georgopoulou, A.N.; Papatriantafyllopoulou, C.; Terzis, A.; Raptopoulou, C.P.; Escuer, A.; Perlepes, S.P. Initial employment of di-2-pyridyl ketone as a route to nickel(ii)/lanthanide(iii)clusters: Triangular Ni2Ln complexes. Dalton Trans. 2010, 39, 8603–8605. [Google Scholar] [CrossRef] [PubMed]
- Georgopoulou, A.N.; Efthymiou, C.G.; Papatriantafyllopoulou, C.; Psycharis, V.; Raptopoulou, C.P.; Manos, M.; Tasiopoulos, A.J.; Escuer, A.; Perlepes, S.P. Triangular NiII2LnIII and NiII2YIII complexes derived from di-2-pyridyl ketone: Synthesis, structures and magnetic properties. Polyhedron 2011, 30, 2978–2986. [Google Scholar] [CrossRef]
- Unit cell determination of 3 from EtOH/Et2O/n-hexane: a = 10.089(2), b = 18.200(4), c = 19.871(4) Å, V = 3648.77 Å3. See Table 3.
- Mounika, K.; Anupama, B.; Pragathi, J.; Gyanakumari, C. Synthesis, Characterization and Biological Activity of a Schiff Base Derived from 3-Ethoxy Salicylaldehyde and 2-Amino Benzoic Acid and its Transition Metal Complexes. J. Sci. Res. 2010, 2, 513–524. [Google Scholar] [CrossRef]
- Deacon, G.B.; Phillips, R.J. Relationships between the Carbon-Oxygen Stretching Frequencies of Carboxylato Complexes and the Type of Carboxylate Coordination. Coord. Chem. Rev. 1980, 33, 227–250. [Google Scholar] [CrossRef]
- Patil, K.C.; Chandrashekhar, G.V.; George, M.V.; Rao, C.N.R. Infrared Spectra and Thermal Decompositions of Metal Acetates and Dicarboxylates. Can. J. Chem. 1968, 46, 257–265. [Google Scholar] [CrossRef]
- Ribot, F.; Toledano, P.; Sanchez, C. X-ray and Spectroscopic Investigations of the Structure of Yttrium Acetate Tetrahydrate. Inorg. Chim. Acta 1991, 185, 239–245. [Google Scholar] [CrossRef]
- Nakamoto, K. Infrared and Raman Spectra of Inorganic and Coordination Compounds, 4th ed.; Wiley: New York, NY, USA, 1986. [Google Scholar]
- Llunell, M.; Casanova, D.; Girera, J.; Alemany, P.; Alvarez, S. SHAPE, version 2.0; Universitat de Barcelona: Barselona, Spain, 2010. [Google Scholar]
- Batten, S.R.; Robson, R. Interpenetrating Nets: Ordered, Periodic Entanglement. Angew. Chem. Int. Ed. 1998, 37, 1460–1494. [Google Scholar] [CrossRef]
- Blatov, V.A.; Carlucci, L.; Ciani, G.; Proseprio, D.M. Interpenetrating metal–organic and inorganic 3D networks: A computer-aided systematic investigation. Part I. Analysis of the Cambridge structural database. CrystEngComm 2004, 6, 377–395. [Google Scholar] [CrossRef]
- Lazarou, K.N.; Savvidou, A.; Raptopoulou, C.P.; Psycharis, V. 3D supramolecular networks based on hydroxyl-rich Schiff-base copper(II) complexes. Polyhedron 2018, 152, 125–137. [Google Scholar] [CrossRef]
- Miller, S.J. Interpenetrating Lattices Materials of the Future. Adv. Mater. 2001, 13, 525–527. [Google Scholar] [CrossRef]
- Raptopoulou, C.P.; Sanakis, Y.; Psycharis, V.; Pissas, M. Zig-zag [MnIII4] Clusters from Polydentate Schiff Base Ligands. Polyhedron 2013, 64, 181–188. [Google Scholar] [CrossRef]
- Chilton, N.F.; Anderson, R.P.; Turner, L.D.; Soncini, A.; Murray, K.S. PHI: A Powerful New Program for the Analysis of Anisotropic Monomeric and Exchange-Coupled Polynuclear d- and f-Block Complexes. J. Comput. Chem. 2013, 34, 1164–1175. [Google Scholar] [CrossRef] [PubMed]
- Rigaku/MSC. Crystal Clear; Rigaku/MSC Inc.: The Woodlands, TX, USA, 2005. [Google Scholar]
- Sheldrick, G.M. A Short History of SHELX. Acta Cryst. 2008, A64, 112–122. [Google Scholar] [CrossRef] [PubMed]
- Sheldrick, G.M. Crystal Structure Refinement with SHELXL. Acta Cryst. 2015, C71, 3–8. [Google Scholar] [CrossRef]
- DIAMOND—Crystal and Molecular Structure Visualization; Ver. 3.1, Crystal Impact; K. Brandenburg & H. Putz GbR: Bonn, Germany, 2008.
© 2020 by the authors. Licensee MDPI, Basel, Switzerland. This article is an open access article distributed under the terms and conditions of the Creative Commons Attribution (CC BY) license (http://creativecommons.org/licenses/by/4.0/).






