Nitroso Diels-Alder Cycloadducts Derived From N-Acyl-1,2-dihydropyridines as a New Platform to Molecular Diversity
Abstract
1. Introduction
2. Discussion
2.1. Direct NDA Cycloadducts
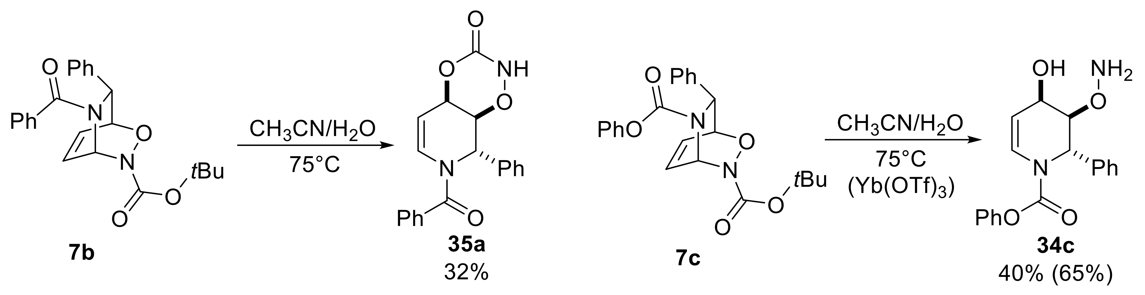
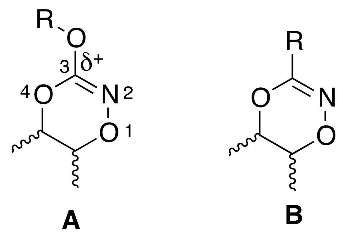
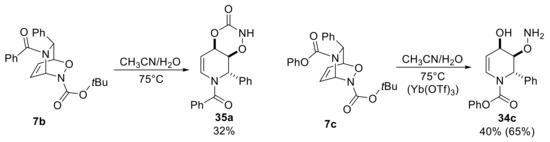
2.2. Elaboration of Inverse Cycloadducts
2.3. Reductive Elaboration of 1,4,2-Dioxazines
3. Conclusions
Funding
Acknowledgments
Conflicts of Interest
References
- Bodnar, B.S.; Miller, M.J. The nitrosocarbonyl hetero-Diels-Alder reaction as a useful tool for organic synthesis. Angew. Chem. Int. Ed. 2011, 50, 5630–5647. [Google Scholar] [CrossRef]
- Carosso, S.; Miller, M.J. Nitroso Diels-Alder (NDA) reaction as an efficient tool for the functionalization of diene-containing natural products. Org. Biomol. Chem. 2014, 12, 7445–7468. [Google Scholar] [CrossRef] [PubMed]
- Yamamoto, Y.; Yamamoto, H. Recent Advances in Asymmetric Nitroso Diels-Alder Reactions. Eur. J. Org. Chem. 2006, 2031–2043. [Google Scholar] [CrossRef]
- Adamo, M.F.A.; Bruschi, S. Generation of nitroso species and their use as dienophiles in the hetero Diels Alder reaction. Targets Heterocycl. Chem. Chem. Prop. 2007, 11, 396–430. [Google Scholar]
- Baeyer, A. Nitrosobenzol und nitrosonaphtalin. Chem. Ber. 1874, 7, 1638–1640. [Google Scholar] [CrossRef]
- Taylor, E.C.; Tseng, C.-P.; Rampal, J.B. Conversion of a primary amino group into a nitroso group. Synthesis of nitroso-substituted heterocycles. J. Org. Chem. 1982, 47, 552–555. [Google Scholar]
- Memeo, M.G.; Quadrelli, P. Generation and trapping of nitrosocarbonyl intermediate. Chem. Rev. 2017, 117, 2108–2200. [Google Scholar] [CrossRef] [PubMed]
- Kirby, G.W.; Sweeny, J.G. Nitrosocarbonyl compounds as intermediates in the oxidative cleavage of hydroxamic acids. Chem. Soc. Chem. Commun. 1973, 704–705. [Google Scholar] [CrossRef]
- Frazier, C.P.; Engelking, J.R.; Read de Alaniz, J. Copper-catalyzed aerobic oxidation of hydroxamic acids leads to a mild and versatile acylnitroso ene reaction. J. Am. Chem. Soc. 2011, 133, 10430–10433. [Google Scholar] [CrossRef]
- Flower, K.R.; Lighfoot, A.P.; Wan, H.; Whiting, A. Direct evidence for a ruthenium(iv) oxo complex-mediated oxidation of a hydroxamic acid in the presence of phosphine oxide donors. Chem. Commun. 2001, 1812–1813. [Google Scholar] [CrossRef]
- Adamo, M.F.A.; Bruschi, S. Generation of acylnitroso dienophiles: A study of metal catalysis. J. Org. Chem. 2007, 72, 2666–2669. [Google Scholar] [CrossRef] [PubMed]
- Yamamoto, Y.; Yamamoto, H. Catalytic, highly enantio, and diastereoselective nitroso Diels−Alder reaction. J. Am. Chem. Soc. 2004, 126, 4128–4129. [Google Scholar] [CrossRef] [PubMed]
- Jana, C.K.; Studer, A. Divergent reactions for racemates: Catalytic, enantioselective, and regiodivergent nitroso Diels-Alder reactions. Angew. Chem. Int. Ed. 2007, 46, 6542–6544. [Google Scholar] [CrossRef] [PubMed]
- Maji, B.; Yamamoto, H. Catalytic enantioselective nitroso-Diels-Alder reaction. J. Am. Chem. Soc. 2015, 137, 15957–15963. [Google Scholar] [CrossRef] [PubMed]
- Pous, J.; Courant, T.; Bernadat, G.; Iorga, B.I.; Blanchard, F.; Masson, G. Regio-, Diastereo-, and Enantioselective Nitroso-Diels–Alder Reaction of 1,3-Diene-1-carbamates Catalyzed by Chiral Phosphoric Acids. J. Am. Chem. Soc. 2015, 137, 11950–11953. [Google Scholar] [CrossRef] [PubMed]
- Flower, K.R.; Lightfoot, A.P.; Wanc, H.; Whiting, A. The development and application of ruthenium catalyzed oxidations of a hydroxamic acid and in situ Diels–Alder trappingm of the acyl nitroso derivative. J. Chem. Soc. Perkin Trans. 2002, 18, 2058–2064. [Google Scholar] [CrossRef]
- Chow, C.P.; Shea, K.J. Dual Function Catalysts. Dehydrogenation and Asymmetric Intramolecular Diels-Alder Cycloaddition of N-Hydroxy Formate Esters and Hydroxamic Acids: Evidence for a Ruthenium-Acylnitroso Intermediate. J. Am. Chem. Soc. 2005, 127, 3678–3679. [Google Scholar] [CrossRef]
- Lenci, E.; Guarna, A.; Trabocchi, A. Diversity-oriented synthesis as a tool for chemical genetics. Molecules 2014, 19, 16506–16528. [Google Scholar] [CrossRef]
- Schreiber, S.L. Target-oriented and diversity-oriented synthesis in drug discovery. Science 2000, 287, 1964–1969. [Google Scholar] [CrossRef]
- Wencewicz, T.A.; Yang, B.; Rudloff, J.R.; Oliver, A.J.; Miller, M.J. NO chemistry for antibiotics: Discovery of N-alkyl-N-(pyridin-2-yl)hydroxylamine scaffolds as selective antibacterial agents using nitroso Diels-Alder and ene chemistry. J. Med. Chem. 2011, 54, 6843–6858. [Google Scholar] [CrossRef]
- Bull, J.A.; Mosseau, J.J.; Pelletier, J.; Charette, A.B. Synthesis of pyridine and dihydropyridine derivatives by regio- and stereoselective addition to N-activated pyridines. Chem. Rev. 2012, 112, 2642–2713. [Google Scholar] [CrossRef] [PubMed]
- Fowler, F.W. Synthesis of 1,2- and 1,4-dihydropyridines. J. Org. Chem. 1972, 37, 1321–1323. [Google Scholar] [CrossRef]
- Vitaku, E.; Smith, D.T.; Njardarson, J.T. Analysis of the Structural Diversity, Substitution Patterns, and Frequency of Nitrogen Heterocycles among U.S. FDA Approved Pharmaceuticals. J. Med. Chem. 2014, 57, 10257–10274. [Google Scholar] [CrossRef] [PubMed]
- Dubey, S.K.; Knaus, E.E. Some regio- and stereochemical aspects of the Diels-Alder reaction of nitrosocarbonyl compounds with N-substituted 1,2-dihydropyridines. J. Org. Chem. 1985, 50, 2080–2086. [Google Scholar] [CrossRef]
- Defoin, A.; Fritz, H.; Schmidlin, C.; Streith, J. Synthesis of diaminodideoxylyxose using acylnitroso dienophiles. Helv. Chim. Acta 1987, 70, 554–569. [Google Scholar] [CrossRef]
- Streith, J.; Defoin, A. Azasugar Synthesis and multistep cascade rearrangemements via hetero Diels-Alder cycloadditions with nitroso dienophiles. Synlett 1996, 189–200. [Google Scholar] [CrossRef]
- Scholz, S.; Plietker, B. Fe-Catalyzed reductive NO-bond cleavage—A route to the diastereoselective 1,4-aminohydroxylation of 1,3-dienes. Org. Chem. Front. 2016, 10, 1295–1298. [Google Scholar]
- Kresze, G.; Schulz, G. Polyhydroxyamine via dien-synthese mit nitroso-verbindungen. Angew. Chem. Int. Ed. 1963, 375. [Google Scholar] [CrossRef]
- Cicchi, S.; Goti, A.; Brandi, A.; Guarna, A.; De Sarlo, F. 1,3-Aminoalcohols by reductive cleavage of isoxazolidines with molybdenum hexacarbonyl. Tetrahedron Lett. 1990, 31, 3351–3354. [Google Scholar] [CrossRef]
- Zhang, D.; Ghosh, A.; Stüling, C.; Miller, M.J. Efficient functionalization of acylnitroso cycloadducts: Application to the syntheses of carbocyclic nucleoside precursors. Tetrahedron Lett 1996, 37, 3799–3802. [Google Scholar] [CrossRef]
- Mattingly, P.G.; Miller, M.J. Titanium trichloride reduction of substituted N-hydroxy-2-azetidinones and other hydroxamic acids. J. Org. Chem. 1980, 45, 410–415. [Google Scholar] [CrossRef]
- Cesario, C.; Tardibono, L.P., Jr.; Miller, M.J. Titanocene(III) chloride-mediated reductions of oxazines, hydroxamic acids, and N-hydroxy carbamates. J. Org. Chem. 2009, 74, 448–451. [Google Scholar] [CrossRef]
- Keck, G.E.; Wager, T.T.; McHardy, S.F. Reductive cleavage of N-O bonds in hydroxylamines and hydroxamic acid derivatives using samarium diiodide. Tetrahedron Lett. 1995, 36, 7419–7422. [Google Scholar] [CrossRef]
- Streith, J.; Augelmann, G.; Fritz, H.; Strub, H. A facile three-step synthesis of a racemic 4,5-diamino-dideoxy-α-D., β-L-lyxopyranose. Tetrahedron Lett. 1982, 23, 1909–1912. [Google Scholar] [CrossRef]
- Berti, F.; Di Bussolo, V.; Pineschi, M. Synthesis of protected (1-phenyl-1H-pyrrol-2-yl)-alkane-1-amines from phenylnitroso Diels-Alder adducts with 1,2-dihydropyridines. J. Org. Chem. 2013, 78, 7324–7329. [Google Scholar] [CrossRef] [PubMed]
- Berti, F.; Di Bussolo, V.; Pineschi, M. Synthesis of 2,7-Diazabicyclo[2.2.1]heptenes by N–O Bond Cleavage of Arylnitroso Diels–Alder 1,2-Dihydropyridine Cycloadducts. Synthesis 2015, 47, 647–652. [Google Scholar] [CrossRef]
- Lutz, J.P.; Chau, S.T.; Doyle, A.G. Nickel-catalyzed enantioselective arylation of pyridine. Chem. Sci. 2016, 7, 4105–4109. [Google Scholar] [CrossRef]
- Lemire, A.; Beaudoin, D.; Grenon, M.; Charette, A.B. [4+2] Cycloaddition of 2-substituted 1,2-dihydropyridines with nitrosobenzene: Asymmetric synthesis of trans-2-substituted 3-amino-1,2,3,6-tetrahydropyridines. J. Org. Chem. 2005, 70, 2368–2371. [Google Scholar] [CrossRef]
- Backenstrass, F.; Streith, J.; Tschamber, T. Stereospecific double glycolisation of 1,2-dihydropyridines with OsO4. Synthesis of (±)-aminoarabinose and of (±) aminoaltrose derivatives. Tetrahedron Lett. 1990, 31, 2139–2142. [Google Scholar] [CrossRef]
- Crotti, S.; Berti, F.; Pineschi, M. Copper-catalyzed Perkin acyl-Mannich reaction of acetic anhydride with pyridine: Expeditious entry to unconventional piperidines. Org. Lett. 2011, 13, 5152–5155. [Google Scholar] [CrossRef]
- Nishimura, Y. Gem-diamine 1-N-iminosugars as versatile glycomimetics: Synthesis, biological activity and therapeutic potential. J. Antibiot. 2009, 62, 407–423. [Google Scholar] [CrossRef] [PubMed]
- Tong, S.; Wang, D.-X.; Zhao, L.; Zhu, J.; Wang, M.-X. Enantioselective synthesis of 4-hydroxytetrahydropyridine derivatives by intramolecular addition of tertiary enamides to aldehydes. Angew. Chem. Int. Ed. 2012, 51, 4417–4419. [Google Scholar] [CrossRef]
- Yedoyan, J.; Wurzer, N.; Klimczak, U.; Ertl, T.; Reiser, O. Regio- and stereoselective synthesis of functionalized dihydropyridines, pyridines, and 2H-pyrans: Heck coupling of monocyclopropanated heterocycles. Angew. Chem. Int. Ed. 2019, 58, 3594–3598. [Google Scholar] [CrossRef] [PubMed]
- Berti, F.; Menichetti, A.; Di Bussolo, V.; Favero, L.; Pineschi, M. Synthesis of bicyclic piperidinyl enamides and enecarbamates by hetero-cope rearrangement of nitroso cycloadducts. Chem. Heterocycl. Compd. 2018, 54, 458–468. [Google Scholar] [CrossRef]
- Berti, F.; Menichetti, A.; Favero, L.; Marchetti, F.; Pineschi, M. Regio- and stereodivergent allylic reductions of bicyclic piperidine enecarbamate derivatives. J. Org. Chem. 2018, 83, 12221–12228. [Google Scholar] [CrossRef]
- Mandai, T.; Matsumoto, T.; Kawada, M.; Tsuji, J. Stereocontrolled formation of cis and trans ring junctions in hydrindane and decalin systems by palladium-catalyzed regioselective and stereospecific hydrogenolysis of allylic formates. J. Org. Chem. 1992, 57, 1326–1327. [Google Scholar] [CrossRef]
- Mirza-Aghayan, M.; Boukherroub, R.; Bolourtchian, M. A mild and efficient palladium–triethylsilane system for reduction of olefins and carbon–carbon double bond isomerization. Appl. Organometal. Chem. 2006, 20, 214–219. [Google Scholar] [CrossRef]
- Huy, P.H.; Westphal, J.C.; Koskinen, A.M.P. Concise, stereodivergent and highly stereoselective synthesis of cis- and trans-2-substituted 3-hydroxypiperidines—Development of a phosphite-driven cyclodehydration. Beilstein J. Org. Chem. 2014, 10, 369–383. [Google Scholar] [CrossRef]
- Hélal, B.; Ferreira, F.; Botuha, C.; Chemla, F.; Pérez-Luna, A. Concise synthesis of (2S,3R)-3-hydroxy-2-phenylpiperidine: An advanced key intermediate of human non-peptide NK-1 receptor antagonists. Synlett 2009, 19, 3115–3118. [Google Scholar]
- Garrido, N.M.; García, M.; Sánchez, M.R.; Díez, D.; Urones, J.G. Enantioselective synthesis of (+)-L-733,060 and (+)-CP-99,994: Application of an Ireland–Claisen rearrangement/Michael addition domino sequence. Synlett 2010, 3, 387–390. [Google Scholar] [CrossRef]
- Pineschi, M.; Berti, F.; Menichetti, A. 1,3-Diazo-4-oxa-[3.3.1]-bicyclic Derivatives, Process for Their Manufacture and Their Use as a Medicament, in Particular for Treating Diabetes. Patent Application WO 2018/220542, 30 May 2018. [Google Scholar]























© 2020 by the authors. Licensee MDPI, Basel, Switzerland. This article is an open access article distributed under the terms and conditions of the Creative Commons Attribution (CC BY) license (http://creativecommons.org/licenses/by/4.0/).
Share and Cite
Menichetti, A.; Berti, F.; Pineschi, M. Nitroso Diels-Alder Cycloadducts Derived From N-Acyl-1,2-dihydropyridines as a New Platform to Molecular Diversity. Molecules 2020, 25, 563. https://doi.org/10.3390/molecules25030563
Menichetti A, Berti F, Pineschi M. Nitroso Diels-Alder Cycloadducts Derived From N-Acyl-1,2-dihydropyridines as a New Platform to Molecular Diversity. Molecules. 2020; 25(3):563. https://doi.org/10.3390/molecules25030563
Chicago/Turabian StyleMenichetti, Andrea, Francesco Berti, and Mauro Pineschi. 2020. "Nitroso Diels-Alder Cycloadducts Derived From N-Acyl-1,2-dihydropyridines as a New Platform to Molecular Diversity" Molecules 25, no. 3: 563. https://doi.org/10.3390/molecules25030563
APA StyleMenichetti, A., Berti, F., & Pineschi, M. (2020). Nitroso Diels-Alder Cycloadducts Derived From N-Acyl-1,2-dihydropyridines as a New Platform to Molecular Diversity. Molecules, 25(3), 563. https://doi.org/10.3390/molecules25030563

