Biotechnological Approaches on Two High CBD and CBG Cannabis sativa L. (Cannabaceae) Varieties: In Vitro Regeneration and Phytochemical Consistency Evaluation of Micropropagated Plants Using Quantitative 1H-NMR
Abstract
1. Introduction
2. Results
2.1. Shoot Multiplication, Elongation and Regeneration
2.2. Rooting of Shoots In Vitro
2.3. Acclimatization
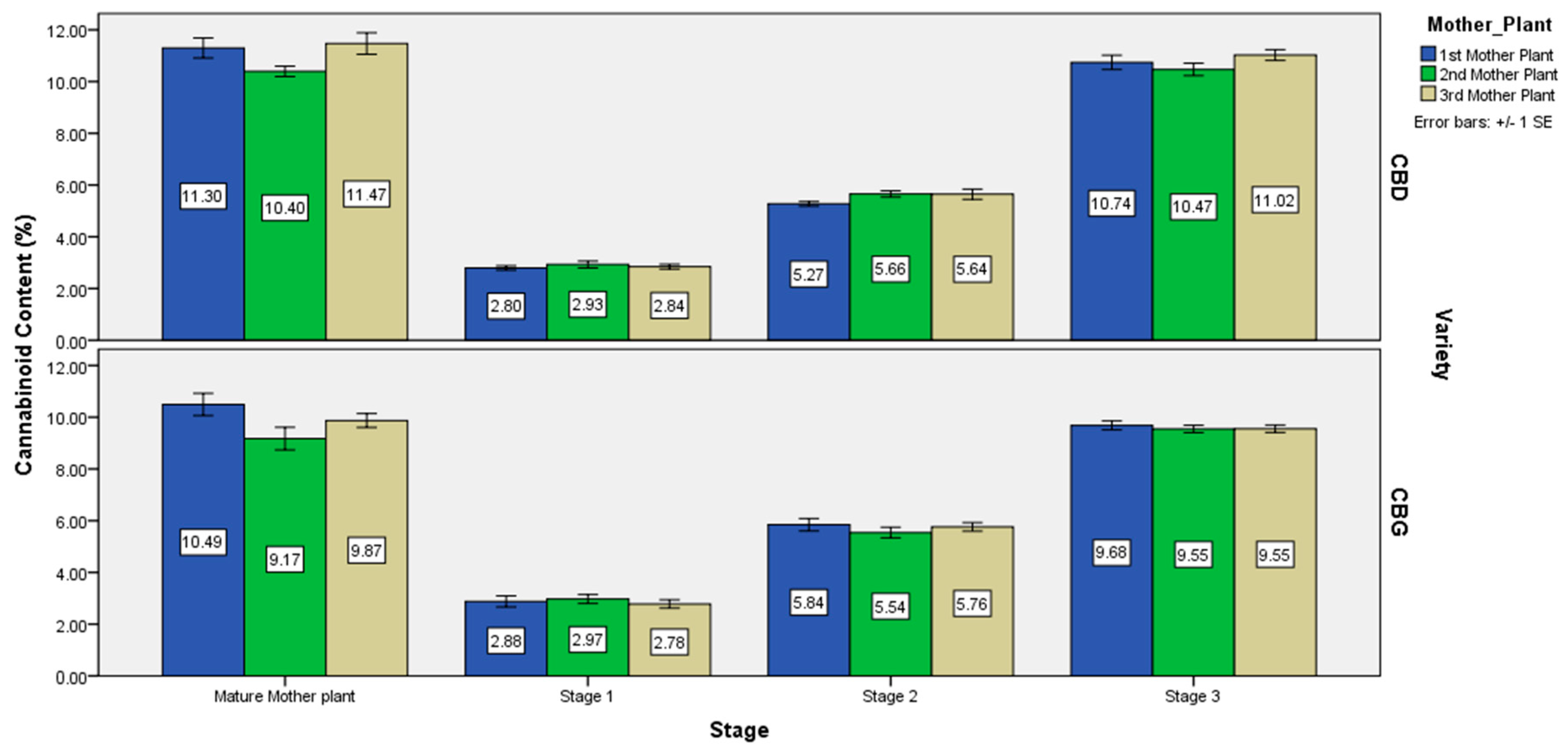
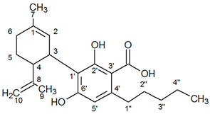
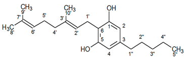
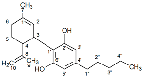
2.4. Chemical Analysis
3. Discussion
3.1. Shoot Multiplication, Elongation and Regeneration
3.2. Rooting of Shoots In Vitro
3.3. Acclimatization
3.4. Chemical Analysis
4. Materials and Methods
4.1. Plant Material—Explants Disinfestation—Culture Establishment
4.2. Shoot Multiplication, Elongation and Regeneration
4.3. Rooting of Shoots In Vitro
4.4. Acclimatization
4.5. Chemical Analysis
4.6. Statistical Analysis
5. Conclusions
Supplementary Materials
Author Contributions
Funding
Acknowledgments
Conflicts of Interest
References
- Pedanius, D.; Goodyer, J.; Gunther, R.T. The Greek Herbal of Dioscorides; Hafner Pub. Co.: New York, NY, USA, 1968. [Google Scholar]
- Sumler, A. Cannabis in the Ancient Greek and Roman World; Lexington Books: London, UK, 2018. [Google Scholar]
- Booth, M. Cannabis: A History; Macmillan Publishers Ltd.: London, UK, 2015; p. 472. [Google Scholar]
- Li, H.-L. An archaeological and historical account of Cannabis in China. Econ. Bot. 1973, 28, 437–448. [Google Scholar] [CrossRef]
- Schultes, R.E.; Klein, W.M.; Plowman, T.; Lockwood, T.E. Cannabis: An example of taxonomic neglect. Bot. Mus. Leafl. Harv. Univ. 1974, 23, 337–367. [Google Scholar]
- Salami, S.A.; Martinelli, F.; Giovino, A.; Bachari, A.; Arad, N.; Mantri, N. It is our turn to get cannabis high: Put cannabinoids in food and health baskets. Molecules 2020, 25, 4036. [Google Scholar] [CrossRef] [PubMed]
- McPartland, J.M.; Russo, E.B. Cannabis and Cannabis Extracts: Greater than the sum of their parts? J. Cannabis Ther. 2001, 1, 103–132. [Google Scholar] [CrossRef]
- Gill, E.W.; Paton, W.D.M.; Pertwee, R.G. Preliminary experiments on the chemistry and pharmacology of Cannabis. Nature 1970, 228, 134–136. [Google Scholar] [CrossRef] [PubMed]
- Mechoulam, R.; Gaoni, Y. Recent Advances in the Chemistry of Hashish. In Fortschritte der Chemie Organischer Naturstoffe/Progress in the Chemistry of Organic Natural Products/Progrès dans la Chimie des Substances Organiques Naturelles; Ashurst, P.R., Bohlmann, F., Farkas, L., Gaoni, Y., Kling, H., Mechoulam, R., Morrison, G.A., Pallos, L., et al., Eds.; Springer: Vienna, Austria, 1967; pp. 175–213. ISBN 978-3-7091-8164-5. [Google Scholar]
- Russo, E.B. Taming THC: Potential cannabis synergy and phytocannabinoid-terpenoid entourage effects. Br. J. Pharmacol. 2011, 163, 1344–1364. [Google Scholar] [CrossRef]
- Small, E. Evolution and classification of Cannabis sativa (Marijuana, Hemp) in relation to human utilization. Bot. Rev. 2015, 81, 189–294. [Google Scholar] [CrossRef]
- ElSohly, M.A. Chemical constituents of Cannabis. In Cannabis and Cannabinoids: Pharmacology, Toxicology, and Therapeutic Potential; Grotenhermen, F., Russo, E., Eds.; Haworth Integrative Healing Press: New York, NY, USA, 2002; ISBN 978-0-7890-1507-5. [Google Scholar]
- Citti, C.; Linciano, P.; Russo, F.; Luongo, L.; Iannotta, M.; Maione, S.; Laganà, A.; Capriotti, A.L.; Forni, F.; Vandelli, M.A.; et al. A novel phytocannabinoid isolated from Cannabis sativa L. with an in vivo cannabimimetic activity higher than Δ9-tetrahydrocannabinol: Δ9-Tetrahydrocannabiphorol. Sci. Rep. 2019, 9, 20335. [Google Scholar] [CrossRef]
- Hanuš, L.O.; Meyer, S.M.; Muñoz, E.; Taglialatela-Scafati, O.; Appendino, G. Phytocannabinoids: A unified critical inventory. Nat. Prod. Rep. 2016, 33, 1357–1392. [Google Scholar] [CrossRef]
- Citti, C.; Linciano, P.; Panseri, S.; Vezzalini, F.; Forni, F.; Vandelli, M.A.; Cannazza, G. Cannabinoid profiling of hemp seed oil by liquid chromatography coupled to high-resolution mass spectrometry. Front. Plant Sci. 2019, 10, 120. [Google Scholar] [CrossRef]
- Pavlovic, R.; Panseri, S.; Giupponi, L.; Leoni, V.; Citti, C.; Cattaneo, C.; Cavaletto, M.; Giorgi, A. Phytochemical and ecological analysis of two varieties of hemp (Cannabis sativa L.) grown in a mountain environment of Italian Alps. Front. Plant Sci. 2019, 10, 1265. [Google Scholar] [CrossRef] [PubMed]
- Pertwee, R.G. Cannabinoid pharmacology: The first 66 years. Br. J. Pharmacol. 2006, 147, S163–S171. [Google Scholar] [CrossRef] [PubMed]
- ElBatsh, M.M.; Moklas, M.A.A.; Marsden, C.A.; Kendall, D.A. Antidepressant-like effects of Δ9-tetrahydrocannabinol and rimonabant in the olfactory bulbectomised rat model of depression. Pharmacol. Biochem. Behav. 2012, 102, 357–365. [Google Scholar] [CrossRef] [PubMed]
- Pisanti, S.; Malfitano, A.M.; Ciaglia, E.; Lamberti, A.; Ranieri, R.; Cuomo, G.; Abate, M.; Faggiana, G.; Proto, M.C.; Fiore, D.; et al. Cannabidiol: State of the art and new challenges for therapeutic applications. Pharmacol. Ther. 2017, 175, 133–150. [Google Scholar] [CrossRef] [PubMed]
- Mandolini, G.M.; Lazzaretti, M.; Pigoni, A.; Oldani, L.; Delvecchio, G.; Brambilla, P. Pharmacological properties of cannabidiol in the treatment of psychiatric disorders: A critical overview. Epidemiol. Psychiatr. Sci. 2018, 27, 327–335. [Google Scholar] [CrossRef]
- Hill, A.J.; Williams, C.M.; Whalley, B.J.; Stephens, G.J. Phytocannabinoids as novel therapeutic agents in CNS disorders. Pharmacol. Ther. 2012, 133, 79–97. [Google Scholar] [CrossRef]
- Borrelli, F.; Fasolino, I.; Romano, B.; Capasso, R.; Maiello, F.; Coppola, D.; Orlando, P.; Battista, G.; Pagano, E.; Di Marzo, V.; et al. Beneficial effect of the non-psychotropic plant cannabinoid cannabigerol on experimental inflammatory bowel disease. Biochem. Pharmacol. 2013, 85, 1306–1316. [Google Scholar] [CrossRef]
- Borrelli, F.; Pagano, E.; Romano, B.; Panzera, S.; Maiello, F.; Coppola, D.; De Petrocellis, L.; Buono, L.; Orlando, P.; Izzo, A.A. Colon carcinogenesis is inhibited by the TRPM8 antagonist cannabigerol, a Cannabis-derived non-psychotropic cannabinoid. Carcinogenesis 2014, 35, 2787–2797. [Google Scholar] [CrossRef]
- Couch, D.G.; Maudslay, H.; Doleman, B.; Lund, J.N.; O’Sullivan, S.E. The use of cannabinoids in colitis: A systematic review and meta-analysis. Inflamm. Bowel Dis. 2018, 24, 680–697. [Google Scholar] [CrossRef]
- Fournier, G.; Richez-Dumanois, C.; Duvezin, J.; Mathieu, J.-P.; Paris, M. Identification of a new chemotype in Cannabis sativa: Cannabigerol—Dominant plants, biogenetic and agronomic prospects. Planta Med. 1987, 53, 277–280. [Google Scholar] [CrossRef]
- Tzadok, M.; Uliel-Siboni, S.; Linder, I.; Kramer, U.; Epstein, O.; Menascu, S.; Nissenkorn, A.; Yosef, O.B.; Hyman, E.; Granot, D.; et al. CBD-enriched medical cannabis for intractable pediatric epilepsy. Seizure 2016, 35, 41–44. [Google Scholar] [CrossRef] [PubMed]
- Brierley, D.I.; Samuels, J.; Duncan, M.; Whalley, B.J.; Williams, C.M. A cannabigerol-rich Cannabis sativa extract, devoid of ∆9-tetrahydrocannabinol, elicits hyperphagia in rats. Behav. Pharmacol. 2017, 28, 280–284. [Google Scholar] [CrossRef] [PubMed]
- Hill, T.D.M.; Cascio, M.-G.; Romano, B.; Duncan, M.; Pertwee, R.G.; Williams, C.M.; Whalley, B.J.; Hill, A.J. Cannabidivarin-rich cannabis extracts are anticonvulsant in mouse and rat via a CB1 receptor-independent mechanism. Br. J. Pharmacol. 2013, 170, 679–692. [Google Scholar] [CrossRef] [PubMed]
- De Meijer, E.P.M.; Hammond, K.M. The inheritance of chemical phenotype in Cannabis sativa L. (II): Cannabigerol predominant plants. Euphytica 2005, 145, 189–198. [Google Scholar] [CrossRef]
- Simmler, C.; Napolitano, J.G.; McAlpine, J.B.; Chen, S.-N.; Pauli, G.F. Universal quantitative NMR analysis of complex natural samples. Curr. Opin. Biotechnol. 2014, 25, 51–59. [Google Scholar] [CrossRef] [PubMed]
- Nikolantonaki, M.; Magiatis, P.; Waterhouse, A.L. Direct analysis of free and sulfite-bound carbonyl compounds in wine by two-dimensional quantitative proton and carbon nuclear magnetic resonance spectroscopy. Anal. Chem. 2015, 87, 10799–10806. [Google Scholar] [CrossRef]
- Ioannidis, K.; Melliou, E.; Alizoti, P.; Magiatis, P. Identification of Black pine (Pinus nigra Arn.) heartwood as a rich source of bioactive stilbenes by qNMR. J. Sci. Food Agric. 2017, 97, 1708–1716. [Google Scholar] [CrossRef]
- Ioannidis, K.; Melliou, E.; Magiatis, P. High-Throughput 1H-Nuclear magnetic resonance-based screening for the identification and quantification of heartwood diterpenic acids in four Black pine (Pinus nigra Arn.) marginal provenances in Greece. Molecules 2019, 24, 3603. [Google Scholar] [CrossRef]
- Wan Nurul Hidayah, W.A.; Norrizah, J.S.; Sharifah Aminah, S.M.; Sharipah Ruzaina, S.A.; Faezah, P. Effect of medium strength and hormones concentration on regeneration of Pogostemon cablin using nodes explant. Asian J. Biotechnol. 2012, 4, 46–52. [Google Scholar] [CrossRef][Green Version]
- Kumar, M.; Shiva Prakash, N.; Prasad, U.S.; Bhalla-Sarin, N. A Novel approach of regeneration from nodal explants of field-grown litchi (Litchi chinensis Sonn.) fruit trees. J. Plant Sci. 2006, 1, 240–246. [Google Scholar] [CrossRef]
- Jain, N.; Bairu, M.W.; Stirk, W.A.; Van Staden, J. The effect of medium, carbon source and explant on regeneration and control of shoot-tip necrosis in Harpagophytum procumbens. S. Afr. J. Bot. 2009, 75, 117–121. [Google Scholar] [CrossRef][Green Version]
- Grigoriadou, K.; Leventakis, N.; Vasilakakis, M. Effect of various culture conditions on proliferation and shoot tip necrosis in the pear cultivars ‘William’s’ and ‘Highland’ grown in vitro. Acta Hortic. 2000, 520, 103–108. [Google Scholar] [CrossRef]
- Villamor, C.C. Influence of media strength and sources of nitrogen on micropropagation of ginger, Zingiber officinale Rosc. Int. Sci. Res. J. 2010, 2, 6. [Google Scholar]
- Fadel, D.; Kintzios, S.; Economou, A.S.; Moschopoulou, G.; Constantinidou, H.-I.A. Effect of different strength of medium on organogenesis, phenolic accumulation and antioxidant activity of spearmint (Mentha spicata L.). Open Hortic. J. 2010, 3, 31–35. [Google Scholar] [CrossRef]
- Taheri, A.; Kosari-Nasab, M.; Movafeghi, A. Effects of different strengths of medium on production of phenolic and flavonoid compounds in regenerated shoots of Ziziphora persica. Russ. Agric. Sci. 2015, 41, 225–229. [Google Scholar] [CrossRef]
- Rezali, N.I.; Jaafar Sidik, N.; Saleh, A.; Osman, N.I.; Mohd Adam, N.A. The effects of different strength of MS media in solid and liquid media on in vitro growth of Typhonium flagelliforme. Asian Pac. J. Trop. Biomed. 2017, 7, 151–156. [Google Scholar] [CrossRef]
- Hatzilazarou, S.; Kostas, S.; Economou, A.; Scaltsoyiannes, A. Efficient propagation of Nerium oleander L. through tissue culture. Propag. Ornam. Plants 2017, 17, 64–74. [Google Scholar]
- Richez-Dumanois, C.; Braut-Boucher, F.; Cosson, L.; Paris, M. Multiplication végétative in vitro du chanvre (Cannabis sativa L.). Application à la conserva-tion des clones sélectionnés. Agronomie 1986, 6, 487–495. [Google Scholar] [CrossRef]
- Lata, H.; Chandra, S.; Khan, I.; ElSohly, M.A. Thidiazuron-induced high-frequency direct shoot organogenesis of Cannabis sativa L. In Vitro Cell. Dev. Biol. Plant 2009, 45, 12–19. [Google Scholar] [CrossRef]
- Lata, H.; Chandra, S.; Khan, I.A.; ElSohly, M.A. In vitro propagation of Cannabis sativa L. and evaluation of regenerated plants for genetic fidelity and cannabinoids content for quality assurance. In Protocols for In Vitro Cultures and Secondary Metabolite Analysis of Aromatic and Medicinal Plants, 2nd ed.; Jain, S.M., Ed.; Methods in Molecular Biology; Springer: New York, NY, USA, 2016; Volume 1391, pp. 275–288. ISBN 978-1-4939-3330-3. [Google Scholar]
- Wang, Q.; Jia, M.; Huh, J.-H.; Muchlinski, A.; Peters, R.J.; Tholl, D. Identification of a dolabellane type diterpene synthase and other root-expressed diterpene synthases in Arabidopsis. Front. Plant Sci. 2016, 7, 1760. [Google Scholar] [CrossRef]
- Lata, H.; Chandra, S.; Khan, I.A.; ElSohly, M.A. Propagation through alginate encapsulation of axillary buds of Cannabis sativa L.—An important medicinal plant. Physiol. Mol. Biol. Plants 2009, 15, 79–86. [Google Scholar] [CrossRef]
- Lata, H.; Chandra, S.; Techen, N.; Khan, I.A.; ElSohly, M.A. In vitro mass propagation of Cannabis sativa L.: A protocol refinement using novel aromatic cytokinin meta-topolin and the assessment of eco-physiological, biochemical and genetic fidelity of micropropagated plants. J. Appl. Res. Med. Aromat. Plants 2016, 3, 18–26. [Google Scholar] [CrossRef]
- Huetteman, C.A.; Preece, J.E. Thidiazuron: A potent cytokinin for woody plant tissue culture. Plant Cell Tissue Organ Cult. 1993, 33, 105–119. [Google Scholar] [CrossRef]
- Ślusarkiewicz-Jarzina, A.S.; Ponitka, A.; Kaczmarek, Y. Influence of cultivar, explant source and plant growth regulator on callus induction and plant regeneration of Cannabis sativa L. Acta Biol. Crac. Ser. Bot. 2005, 47, 145–151. [Google Scholar]
- Sauer, A.; Walther, F.; Preil, W. Different suitability for in vitro propagation of rose cultivars. Gartenbauwissenschaft 1985, 3, 133–138. [Google Scholar]
- Patel, R.M.; Shah, R.R. Regeneration of stevia plant through callus culture. Indian J. Pharm. Sci. 2009, 71, 46–50. [Google Scholar] [CrossRef] [PubMed]
- Bidarigh, S.; Hatamzadeh, A.; Azarpour, E. The study effect of IBA hormone levels on rooting in micro cuttings of tea (Camellia sinensis L.). World Appl. Sci. J. 2012, 20, 1051–1054. [Google Scholar]
- Phatak, S.V.; Heble, M.R. Organogenesis and terpenoid synthesis in Mentha arvensis. Fitoterapia 2002, 73, 32–39. [Google Scholar] [CrossRef]
- Sha Valli Khan, P.S.; Hausman, J.F.; Rao, K.R. Effect of agar, MS medium strength, sucrose and polyamines on in vitro rooting of Syzygium alternifolium. Biol. Plant. 1999, 42, 333–340. [Google Scholar] [CrossRef]
- Lata, H.; Chandra, S.; Khan, I.A.; ElSohly, M.A. High frequency plant regeneration from leaf derived callus of high Δ9-tetrahydrocannabinol yielding Cannabis sativa L. Planta Med. 2010, 76, 1629–1633. [Google Scholar] [CrossRef]
- Movahedi, M.; Ghasemi-Omran, V.; Torabi, S. The effect of different concentrations of TDZ and BA on in vitro regeneration of Iranian cannabis (Cannabis sativa) using cotyledon and epicotyl explants. J. Plant Mol. Breed. 2015, 3, 20–27. [Google Scholar] [CrossRef]
- Chandra, S.; Lata, H.; Mehmedic, Z.; Khan, I.A.; ElSohly, M.A. Assessment of cannabinoids content in micropropagated plants of Cannabis sativa and their comparison with conventionally propagated plants and mother plant during developmental stages of growth. Planta Med. 2010, 76, 743–750. [Google Scholar] [CrossRef] [PubMed]
- Ferreira, C.M.; Handro, W. Production, maintenance and plant regeneration from cell suspension cultures of Stevia rebaudiana (Bert.) Bertoni. Plant Cell Rep. 1988, 7, 123–126. [Google Scholar] [CrossRef]
- Aminah, H.; Dick, J.M.; Leakey, R.R.B.; Grace, J.; Smith, R.I. Effect of indole butyric acid (IBA) on stem cuttings of Shorea leprosula. For. Ecol. Manag. 1995, 72, 199–206. [Google Scholar] [CrossRef]
- Nadeem, M.; Palni, L.M.S.; Purohit, A.N.; Pandey, H.; Nandi, S.K. Propagation and conservation of Podophyllum hexandrum Royle: An important medicinal herb. Biol. Conserv. 2000, 92, 121–129. [Google Scholar] [CrossRef]
- Zygomala, A.M.; Ioannidis, C.; Koropouli, X. In vitro propagation of Cistus creticus L. Acta Hortic. 2003, 391–396. [Google Scholar] [CrossRef]
- Smýkalová, I.; Vrbová, M.; Cvečková, M.; Plačková, L.; Žukauskaitė, A.; Zatloukal, M.; Hrdlička, J.; Plíhalová, L.; Doležal, K.; Griga, M. The effects of novel synthetic cytokinin derivatives and endogenous cytokinins on the in vitro growth responses of hemp (Cannabis sativa L.) explants. Plant Cell Tissue Organ Cult. PCTOC 2019, 139, 381–394. [Google Scholar] [CrossRef]
- Ma, X.; Gang, D.R. Metabolic profiling of in vitro micropropagated and conventionally greenhouse grown ginger (Zingiber officinale). Phytochemistry 2006, 67, 2239–2255. [Google Scholar] [CrossRef]
- Sahoo, S.; Singh, S.; Sahoo, A.; Sahoo, B.C.; Jena, S.; Kar, B.; Nayak, S. Molecular and phytochemical stability of long term micropropagated greater galanga (Alpinia galanga) revealed suitable for industrial applications. Ind. Crops Prod. 2020, 148, 112274. [Google Scholar] [CrossRef]
- Behera, S.; Kar, S.K.; Rout, K.K.; Barik, D.P.; Panda, P.C.; Naik, S.K. Assessment of genetic and biochemical fidelity of field-established Hedychium coronarium J. Koenig regenerated from axenic cotyledonary node on meta-topolin supplemented medium. Ind. Crops Prod. 2019, 134, 206–215. [Google Scholar] [CrossRef]
- Bhardwaj, A.K.; Singh, B.; Kaur, K.; Roshan, P.; Sharma, A.; Dolker, D.; Naryal, A.; Saxena, S.; Pati, P.K.; Chaurasia, O.P. In vitro propagation, clonal fidelity and phytochemical analysis of Rhodiola imbricata Edgew: A rare trans-Himalayan medicinal plant. Plant Cell Tissue Organ Cult. 2018, 135, 499–513. [Google Scholar] [CrossRef]
- Murashige, T.; Skoog, F. A revised medium for rapid growth and bio assays with tobacco tissue cultures. Physiol. Plant. 1962, 15, 473–497. [Google Scholar] [CrossRef]
- Choi, Y.H.; Hazekamp, A.; Peltenburg-Looman, A.M.G.; Frédérich, M.; Erkelens, C.; Lefeber, A.W.M.; Verpoorte, R. NMR assignments of the major cannabinoids and cannabiflavonoids isolated from flowers of Cannabis sativa. Phytochem. Anal. 2004, 15, 345–354. [Google Scholar] [CrossRef] [PubMed]
- Hazekamp, A.; Choi, Y.H.; Verpoorte, R.A. Quantitative analysis of cannabinoids from Cannabis sativa using 1H-NMR. Chem. Pharm. Bull. 2004, 52, 718–721. [Google Scholar] [CrossRef] [PubMed]



| Medium Strength | Concentration (μΜ) | Average Number of Shoots per Explant | Average Shoot Length (cm) | Average Shooting Percentage (%) |
|---|---|---|---|---|
| MS 1X | No PGR | 1.79 ijk | 2.42 hi | 58.33 cd |
| 1.0 μM BA | 2.08 ghi | 2.48 ghi | 79.17 abc | |
| 2.0 μM BA | 2.67 cde | 3.98 cd | 87.50 a | |
| 4.0 μM BA | 3.63 a | 5.66 a | 95.83 a | |
| 8.0 μM BA | 2.71 cd | 3.67 de | 100.00 a | |
| 1.0 μM TDZ | 2.21 efghi | 2.87 fgh | 87.50 a | |
| 2.0 μM TDZ | 2.83 cd | 3.22 defg | 100.00 a | |
| 4.0 μM TDZ | 3.29 ab | 5.38 a | 95.83 a | |
| 8.0 μM TDZ | 2.13 fghi | 3.73 de | 91.67 a | |
| MS 1/2X | No PGR | 1.42 k | 2.09 i | 41.67 d |
| 1.0 μM BA | 1.58 jk | 2.47 ghi | 54.17 d | |
| 2.0 μM BA | 2.42 defgh | 4.50 bc | 87.50 a | |
| 4.0 μM BA | 3.13 bc | 5.09 ab | 91.67 a | |
| 8.0 μM BA | 2.38 defgh | 3.68 de | 87.50 a | |
| 1.0 μM TDZ | 1.75 ijk | 2.53 fghi | 62.50 bcd | |
| 2.0 μM TDZ | 2.50 defg | 3.19 efg | 83.33 ab | |
| 4.0 μM TDZ | 2.58 def | 4.97 ab | 91.67 a | |
| 8.0 μM TDZ | 1.96 hij | 3.25 def | 79.17 abc | |
| MS 1X | No PGR | 0.96 g | 0.92 g | 45.83 c |
| 1.0 μM IBA | 1.13 fg | 1.12 efg | 54.17 bc | |
| 2.0 μM IBA | 3.13 a | 1.93 abc | 87.50 a | |
| 4.0 μM IBA | 3.17 a | 1.87 abcd | 87.50 a | |
| 8.0 μM IBA | 2.13 bcde | 1.54 bcdefg | 66.67 abc | |
| 1.0 μM NAA | 1.29 efg | 1.02 fg | 54.17 bc | |
| 2.0 μM NAA | 1.46 efg | 1.15 efg | 62.50 abc | |
| 4.0 μM NAA | 2.92 abc | 2.27 a | 83.33 ab | |
| 8.0 μM NAA | 2.04 cdef | 1.88 abcd | 75.00 abc | |
| MS 1/2X | No PGR | 1.17 fg | 1.26 defg | 66.67 abc |
| 1.0 μM IBA | 1.42 efg | 1.11 efg | 54.17 bc | |
| 2.0 μM IBA | 2.83 abc | 1.74 abcde | 87.50 a | |
| 4.0 μM IBA | 2.96 ab | 1.67 abcdef | 87.50 a | |
| 8.0 μM IBA | 1.88 defg | 1.43 cdefg | 66.67 abc | |
| 1.0 μM NAA | 1.33 efg | 1.08 fg | 62.50 abc | |
| 2.0 μM NAA | 1.75 efg | 1.34 cdefg | 70.83 abc | |
| 4.0 μM NAA | 3.04 a | 2.10 ab | 83.33 ab | |
| 8.0 μM NAA | 2.67 abcd | 1.98 abc | 83.33 ab |
| Medium Strength | Concentration (μΜ) | Average Number of Shoots per Explant | Average Shoot Length (cm) | Average Shooting Percentage (%) |
|---|---|---|---|---|
| MS 1X | No PGR | 1.54 hij | 2.14 i | 45.83 d |
| 1.0 μM BA | 1.88 fghij | 3.34 fgh | 75.00 abc | |
| 2.0 μM BA | 2.79 bc | 4.65 cd | 100.00 a | |
| 4.0 μM BA | 3.38 a | 6.23 a | 95.83 a | |
| 8.0 μM BA | 2.46 cde | 4.32 cde | 91.67 a | |
| 1.0 μM TDZ | 1.71 ghij | 2.76 hi | 54.17 cd | |
| 2.0 μM TDZ | 2.54 cd | 3.93 def | 95.83 a | |
| 4.0 μM TDZ | 3.21 a | 5.97 ab | 100.00 a | |
| 8.0 μM TDZ | 1.96 fghi | 4.25 def | 83.33 ab | |
| MS 1/2X | No PGR | 1.46 j | 2.44 hi | 45.83 d |
| 1.0 μM BA | 1.67 hij | 3.00 ghi | 66.67 bcd | |
| 2.0 μM BA | 2.17 def | 5.15 bc | 79.17 ab | |
| 4.0 μM BA | 3.08 ab | 5.99 ab | 100.00 a | |
| 8.0 μM BA | 2.04 efgh | 4.03 def | 79.17 ab | |
| 1.0 μM TDZ | 1.50 j | 2.68 hi | 50.00 d | |
| 2.0 μM TDZ | 2.13 defg | 3.97 def | 91.67 a | |
| 4.0 μM TDZ | 2.42 cde | 5.67 ab | 91.67 a | |
| 8.0 μM TDZ | 1.75 fghij | 3.66 efg | 75.00 abc | |
| MS 1X | No PGR | 0.83 g | 0.76 g | 45.83 c |
| 1.0 μM IBA | 0.96 fg | 0.97 fg | 54.17 bc | |
| 2.0 μM IBA | 2.71 a | 1.67 abc | 87.50 a | |
| 4.0 μM IBA | 2.88 a | 1.63 abcd | 87.50 a | |
| 8.0 μM IBA | 1.92 bcd | 1.35 bcdefg | 70.83 abc | |
| 1.0 μM NAA | 1.17 defg | 0.92 fg | 62.50 abc | |
| 2.0 μM NAA | 1.21 defg | 1.01 efg | 62.50 abc | |
| 4.0 μM NAA | 2.79 a | 1.88 a | 87.50 a | |
| 8.0 μM NAA | 1.75 cdef | 1.54 abcde | 75.00 abc | |
| MS 1/2X | No PGR | 1.00 fg | 1.10 defg | 66.67 abc |
| 1.0 μM IBA | 1.25 defg | 0.90 fg | 50.00 c | |
| 2.0 μM IBA | 2.50 abc | 1.59 abcd | 87.50 a | |
| 4.0 μM IBA | 2.67 ab | 1.54 abcde | 87.50 a | |
| 8.0 μM IBA | 1.83 cde | 1.38 abcdef | 70.83 abc | |
| 1.0 μM NAA | 1.08 efg | 1.00 efg | 62.50 abc | |
| 2.0 μM NAA | 1.50 defg | 1.24 cdefg | 66.67 abc | |
| 4.0 μM NAA | 2.75 a | 1.85 ab | 83.33 ab | |
| 8.0 μM NAA | 2.42 abc | 1.78 abc | 83.33 ab |
| CBD+CBDA (%) | CBG+CBGA (%) | ||||||
|---|---|---|---|---|---|---|---|
| Mother Plant | 1 | 2 | 3 | 1 | 2 | 3 | |
| 11.30 a | 10.40 a | 11.47 a | 10.49 b | 9.17 b | 9.87 b | ||
| Clone | 1 | 10.90 a | 10.28 a | 10.57 a | 10.01 b | 9.51 b | 9.52 b |
| 2 | 10.22 a | 10.25 a | 11.09 a | 9.62 b | 9.75 b | 9.60 b | |
| 3 | 11.10 a | 10.88 a | 11.41 a | 9.41 b | 9.39 b | 9.55 b | |
| Clone Mean | 10.74 a | 10.47 a | 11.02 a | 9.68 b | 9.55 b | 9.55 b | |
| Overall Mother Plant Mean | 11.05 a | 9.84 b | |||||
| Overall Clone Mean | 10.74 a | 9.59 b | |||||
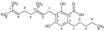
| Cannabinoids | MW | Structure | Proton Signal | δ in ppm |
|---|---|---|---|---|
| CBD | 314.5 | ![]() | H-10 trans | 4.67 |
| H-10 cis | 4.57 | |||
| H-2 | 5.59 | |||
| CBDA | 358.5 | ![]() | H-5′ | 6.27 |
| H-10 trans | 4.55 | |||
| H-10 cis | 4.41 | |||
| H-2 | 5.56 | |||
| CBG | 316.5 | ![]() | H-2/H-4 | 6.25 |
| H-1′a/H-1′b | 3.43 | |||
| H-2′ | 5.29 | |||
| H-6′ | 5.07 | |||
| CBGA | 360.5 | ![]() | H-4 | 6.27 |
| H-1′a/H-1′b | 3.45 | |||
| H-2′ | 5.30 | |||
| H-6′ | 5.07 |
Sample Availability: Not available. |
Publisher’s Note: MDPI stays neutral with regard to jurisdictional claims in published maps and institutional affiliations. |
© 2020 by the authors. Licensee MDPI, Basel, Switzerland. This article is an open access article distributed under the terms and conditions of the Creative Commons Attribution (CC BY) license (http://creativecommons.org/licenses/by/4.0/).
Share and Cite
Ioannidis, K.; Dadiotis, E.; Mitsis, V.; Melliou, E.; Magiatis, P. Biotechnological Approaches on Two High CBD and CBG Cannabis sativa L. (Cannabaceae) Varieties: In Vitro Regeneration and Phytochemical Consistency Evaluation of Micropropagated Plants Using Quantitative 1H-NMR. Molecules 2020, 25, 5928. https://doi.org/10.3390/molecules25245928
Ioannidis K, Dadiotis E, Mitsis V, Melliou E, Magiatis P. Biotechnological Approaches on Two High CBD and CBG Cannabis sativa L. (Cannabaceae) Varieties: In Vitro Regeneration and Phytochemical Consistency Evaluation of Micropropagated Plants Using Quantitative 1H-NMR. Molecules. 2020; 25(24):5928. https://doi.org/10.3390/molecules25245928
Chicago/Turabian StyleIoannidis, Kostas, Evangelos Dadiotis, Vangelis Mitsis, Eleni Melliou, and Prokopios Magiatis. 2020. "Biotechnological Approaches on Two High CBD and CBG Cannabis sativa L. (Cannabaceae) Varieties: In Vitro Regeneration and Phytochemical Consistency Evaluation of Micropropagated Plants Using Quantitative 1H-NMR" Molecules 25, no. 24: 5928. https://doi.org/10.3390/molecules25245928
APA StyleIoannidis, K., Dadiotis, E., Mitsis, V., Melliou, E., & Magiatis, P. (2020). Biotechnological Approaches on Two High CBD and CBG Cannabis sativa L. (Cannabaceae) Varieties: In Vitro Regeneration and Phytochemical Consistency Evaluation of Micropropagated Plants Using Quantitative 1H-NMR. Molecules, 25(24), 5928. https://doi.org/10.3390/molecules25245928





