Strawberry Puree Functionalized with Natural Hydroxytyrosol: Effects on Vitamin C and Antioxidant Activity
Abstract
1. Introduction
2. Results and Discussion
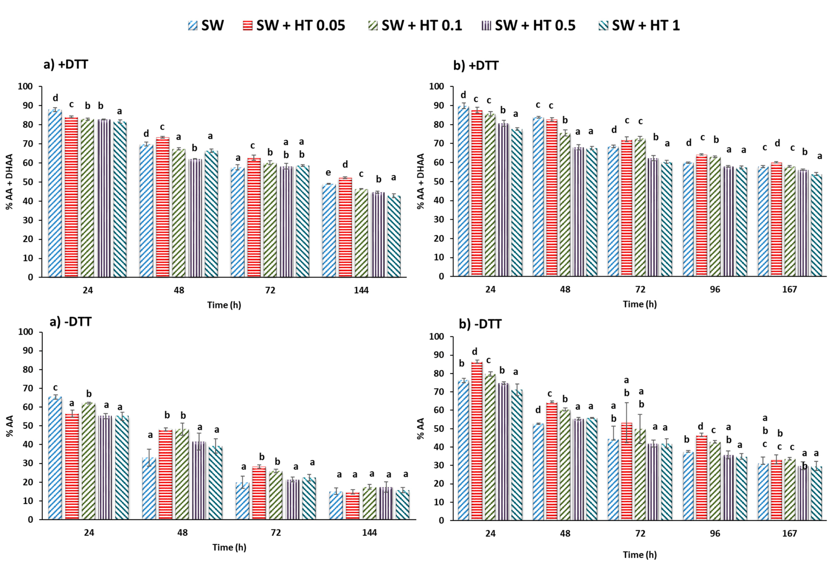
2.1. Evolution of Vitamin C and Hydroxytyrosol in a Model (Ascorbic Acid) Solution and in Strawberry Puree
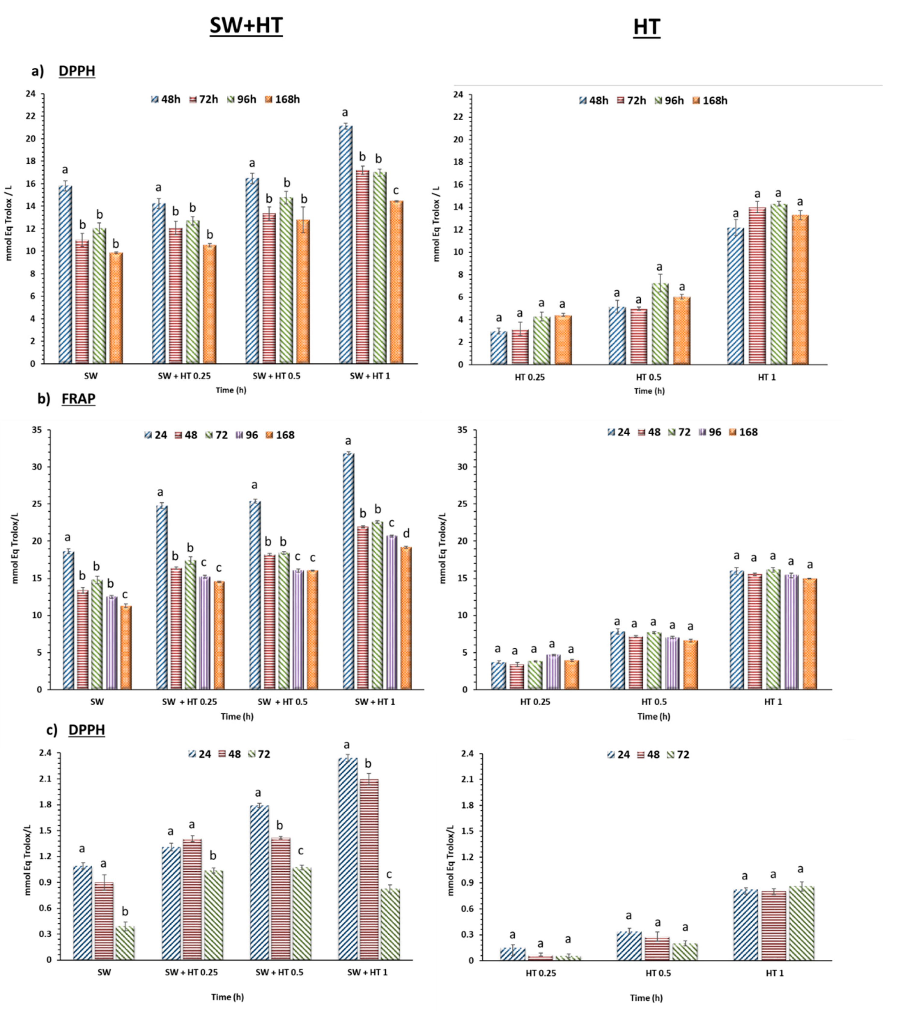
2.2. Antioxidant Activity of Functionalized Strawberry Puree
3. Materials and Methods
3.1. Materials
3.2. Sample Preparation
3.2.1. Strawberry Puree Sample Preparation
3.2.2. Model System Solution of Ascorbic Acid (AA) with HT
3.3. Extraction of Vitamin C in Strawberries
3.4. Determination of Vitamin C (Total Acid Ascorbic)
3.5. Determination of Hydroxytyrosol by HPLC-DAD
3.6. Determination of the Total Phenolic Content
3.7. Antiradical Activity: 2,2-diphenyl-1-picrylhydrazyl (DPPH)
3.8. Ferric Reducing Antioxidant Power (FRAP)
3.9. CompuSyn Analysis
3.10. Statistical Analysis
4. Conclusions
Author Contributions
Funding
Conflicts of Interest
References
- Stoner, G.D.; Wang, L.S.; Casto, B.C. Laboratory and clinical studies of cancer chemoprevention by antioxidants in berries. Carcinogenesis 2008, 29, 1665–1674. [Google Scholar] [CrossRef]
- Basu, A.; Nguyen, A.; Betts, N.M.; Lyons, T.J. Strawberry as a functional food: An evidence-based review. Crit. Rev. Food Sci. Nutr. 2014, 54, 790–806. [Google Scholar] [CrossRef]
- Giampieri, F.; Tulipani, S.; Alvarez-Suarez, J.M.; Quiles, J.L.; Mezzetti, B.; Battino, M. The strawberry: Composition, nutritional quality, and impact on human health. Nutrition 2012, 28, 9–19. [Google Scholar] [CrossRef]
- Phaniendra, A.; Jestadi, D.B.; Periyasamy, L. Free radicals: Properties, sources, targets, and their implication in various diseases. Indian J. Clin. Biochem. 2015, 30, 11–26. [Google Scholar] [CrossRef]
- Smirnoff, N. Ascorbic acid metabolism and functions: A comparison of plants and mammals. Free Radic. Biol. Med. 2018, 122, 116–129. [Google Scholar] [CrossRef]
- Rickman, J.C.; Bruhn, C.M.; Barrett, D.M. Nutritional comparison of fresh, frozen, and canned fruits and vegetables ii. Vitamin A and carotenoids, vitamin E, minerals and fiber. J. Sci. Food Agric. 2007, 87, 1185–1196. [Google Scholar] [CrossRef]
- Lopes-da-Silva, F.; de Pascual-Teresa, S.; Rivas-Gonzalo, J.C.; Santos-Buelga, C. Identification of anthocyanin pigments in strawberry (cv Camarosa) by LC using DAD and ESI-MS detection. Eur. Food Res. Technol. 2002, 214, 248–253. [Google Scholar] [CrossRef]
- Du, H.; Wu, J.; Li, H.; Zhong, P.-X.; Li, C.-H.; Wang, L.S. Polyphenols and triterpenes from Chaenomeles fruits: Chemical analysis and antioxidant activities assessment. Food Chem. 2013, 141, 4260–4268. [Google Scholar] [CrossRef]
- Tulipani, S.; Mezzetti, B.; Capocasa, F.; Bompadre, S.; Beekwilder, J.; De Vos, R.C.H.; Capanoglu, E.; Bovy, A.; Battino, M. Antioxidants, phenolic compounds, and nutritional quality of different strawberry genotypes. J. Agric. Food Chem. 2008, 56, 696–704. [Google Scholar] [CrossRef]
- Herbig, A.L.; Renard, C.M.G.C. Factors that impact the stability of vitamin C at intermediate temperatures in a food matrix. Food Chem. 2017, 220, 444–451. [Google Scholar] [CrossRef] [PubMed]
- Rice-Evans, C.; Miller, N.; Paganga, G. Antioxidant properties of phenolic compounds. Trends Plant Sci. 1997, 2, 152–159. [Google Scholar] [CrossRef]
- Glegg, M.K.; Morton, A.D. The phenolic compounds of blackcurrant juice and their protective effect on ascorbic acid II. The stability of ascorbic acid in model systems containing some of the phenolic compounds associated with blackcurrant juice. J. Food Technol. 1968, 3, 277–284. [Google Scholar]
- Harper, K.A.; Morton, A.D.; Rolfe, E.J. The phenolic compounds of blackcurrant juice and their protective effect on ascorbic acid III. The mechanism of ascorbic acid oxidation and its inhibition by flavonoids. J. Food Technol. 1969, 4, 255–267. [Google Scholar] [CrossRef]
- Williams, D.J.; Edwards, D.; Pun, S.; Chaliha, M.; Sultanbawa, Y. Profiling ellagic acid content: The importance of form and ascorbic acid levels. Food Res. Int. 2014, 66, 100–106. [Google Scholar] [CrossRef]
- Kaack, K.; Austed, T. Interaction of vitamin C and flavonoids in elderberry (Sambucus nigra L.) during juice processing. Plant Foods Hum. Nutr. 1998, 52, 187–198. [Google Scholar] [CrossRef]
- Chen, Z.Y.; Zhu, Q.Y.; Wong, Y.F.; Zhang, Z.S.; Chung, H.Y. Stabilizing effect of ascorbic acid on green tea catechins. J. Agric. Food Chem. 1998, 46, 2512–2516. [Google Scholar] [CrossRef]
- Espin, J.C.; Tomás–Barberá, F.A.; García, M.C.; Fereres, F.; Soler, C.; Wichers, H.J. Síntesis Enzimática del Antioxidante Hidroxitirosol. WO Patent No. 02/16628A1, 28 February 2002. [Google Scholar]
- Lopez-Huertas, E.; Fonolla, J. Hydroxytyrosol supplementation increases vitamin C in vivo. A human volunteer trial. Redox Biol. 2017, 11, 384–389. [Google Scholar] [CrossRef] [PubMed]
- Marković, A.K.; Torić, J.; Barbaric, M.; Brala, C.J. Hydroxytyrosol, tyrosol and derivatives and their potential effects on human health. Molecules 2019, 24, 2001. [Google Scholar] [CrossRef] [PubMed]
- Larrosa, M.; Juan Carlos, E.; Tomás-Barberán, F.A. Antioxidant capacity of tomato juice functionalised with enzymatically synthesised hydroxytyrosol. J. Sci. Food Agric. 2003, 83, 658–666. [Google Scholar] [CrossRef]
- Rodríguez, G.; Rodríguez, R.; Fernández-Bolaños, J.; Guillén, R.; Jiménez, A. Antioxidant activity of effluents during the purification of hydroxytyrosol and 3,4-dihydroxyphenyl glycol from olive oil waste. Eur. Food Res. Technol. 2007, 224, 733–741. [Google Scholar] [CrossRef]
- Odriozola-Serrano, I.; Hernández-Jover, T.; Martín-Belloso, O. Comparative evaluation of UV-HPLC methods and reducing agents to determine vitamin C in fruits. Food Chem. 2007, 105, 1151–1158. [Google Scholar] [CrossRef]
- Oszmianski, J.; Wojdyło, A.; Kolniak, J. Effect of l-ascorbic acid, sugar, pectin and freeze-thaw treatment on polyphenol content of frozen strawberries. Food Sci. Technol. 2009, 42, 581–586. [Google Scholar] [CrossRef]
- Cornwell, D.G.; Ma, J. Nutritional benefit of olive oil: The biological effects of hydroxytyrosol and its arylating quinone adducts. J. Agric. Food Chem. 2008, 56, 8774–8786. [Google Scholar] [CrossRef] [PubMed]
- Aka, J.-P.; Courtois, F.; Louarme, L.; Nicolas, J.; Billau, C. Modelling the interactions between free phenols, l-ascorbic acid, apple polyphenoloxidase and oxygen during a thermal treatment. Food Chem. 2013, 138, 1289–1297. [Google Scholar] [CrossRef] [PubMed]
- Chou, T.-C.; Talalay, P. Quantitative analysis of dose-effect relationships: The combined effects of multiple drugs or enzyme inhibitors. Adv. Enzym. Regul. 1984, 22, 27–55. [Google Scholar] [CrossRef]
- Chou, T.-C. Drug Combination Studies and Their Synergy Quantification Using the Chou-Talalay Method. Cancer Res. 2010, 70, 440–446. [Google Scholar] [CrossRef] [PubMed]
- Fernández-Bolaños, J.; Rodríguez-Gutiérrez, G.; Lama-Muñoz, A.; Rubio-Senent, F.; Fernández-Bolaños, J.M.G.; Maya, I.; López, O.; Marset, A. Method for Obtaining Hydroxytyrosol Extract, Mixture of Hydroxytyrosol and 3,4-Dihydroyphenylglycol Extract, and Hydroxytyrosol Acetate Extract, from By-Products of the Olive Tree, and the Purification Thereof. WIPO Patent WO2013/007850A1, 17 January 2013. [Google Scholar]
- Fernández-Bolaños, J.; Guillén, R.; Jiménez, A.; Rodríguez, R.; Rodríguez-Gutiérrez, G.; Lama-Muñoz, A. Method for Purifying 3,4-Dihydroxyphenylglycol (DHPG) from Plant Products. WIPO Patent WO2010/070168A1, 24 June 2010. [Google Scholar]
- Van de Velde, F.; Pirovani, M.E.; Cámara, M.S.; Güemes, D.R.; Bernard, C.M.H. Optimization and Validation of a UV–HPLC Method for Vitamin C Determination in Strawberries (Fragaria ananassa Duch.), Using Experimental Designs. Food Anal. Method 2012, 5, 1097–1104. [Google Scholar] [CrossRef]
- Stevens, R.; Buret, M.; Garchery, C.; Carretero, Y.; Causse, M. Technique for Rapid, Small-Scale Analysis of Vitamin C Levels in Fruit and Application to a Tomato Mutant Collection. J. Agric. Food Chem. 2006, 54, 6159–6165. [Google Scholar] [CrossRef]
- Singleton, V.L.; Rossi, J.A. Colorimetry of total phenolics with phosphomolybdic-phosphotungstic acid reagents. Am. J. Enol. Vitic. 1965, 16, 144–158. [Google Scholar]
- Rodríguez, R.; Jaramillo, S.; Rodríguez, G.; Espejo, J.A.; Guillén, R.; Fernández-Bolaños, J.; Heredia, A.; Jiménez, A. Antioxidant activity of ethanolic extracts from several asparagus cultivars. J. Agric. Food Chem. 2005, 53, 5212–5217. [Google Scholar] [CrossRef]
- Fuentes-Alventosa, J.M.; Rodríguez-Gutiérrez, G.; Jaramillo-Carmona, S.; Espejo-Calvo, J.A.; Rodríguez-Arcos, R.; Fernández-Bolaños, J.; Guillén-Bejarano, R.; Jiménez-Araujo, A. Effect of extraction method on chemical composition and functional characteristics of high dietary fibre powders obtained from asparagus by-products. Food Chem. 2009, 113, 665–671. [Google Scholar] [CrossRef]




| (a) | |||||||||||||||||
|---|---|---|---|---|---|---|---|---|---|---|---|---|---|---|---|---|---|
| HT Loaded (mg/mL) | 24 h | 48 h | 72 h | 96 h | |||||||||||||
| ± | SD | ± | SD | ± | SD | ± | SD | ||||||||||
| RT | 0.05 | 0.04 | ± | 0.02 | a | 0.04 | ± | 0.02 | a | 0.04 | ± | 0.01 | a | 0.04 | ± | 0.01 | a |
| 0.10 | 0.09 | ± | 0.00 | a | 0.09 | ± | 0.00 | a | 0.08 | ± | 0.00 | a | 0.08 | ± | 0.00 | a | |
| 0.50 | 0.49 | ± | 0.01 | a | 0.48 | ± | 0.02 | a | 0.48 | ± | 0.02 | a | 0.42 | ± | 0.01 | b | |
| 1.00 | 0.99 | ± | 0.01 | a | 0.98 | ± | 0.00 | a | 0.95 | ± | 0.01 | b | 0.88 | ± | 0.02 | c | |
| 4 °C | 0.05 | 0.05 | ± | 0.00 | a | 0.04 | ± | 0.00 | a | 0.04 | ± | 0.00 | a | 0.04 | ± | 0.00 | a |
| 0.10 | 0.11 | ± | 0.01 | a | 0.09 | ± | 0.00 | a | 0.09 | ± | 0.01 | a | 0.09 | ± | 0.00 | a | |
| 0.50 | 0.50 | ± | 0.03 | a | 0.49 | ± | 0.02 | a | 0.43 | ± | 0.02 | b | 0.44 | ± | 0.00 | b | |
| 1.00 | 0.92 | ± | 0.05 | a | 0.86 | ± | 0.01 | b | 0.93 | ± | 0.03 | a | 0.88 | ± | 0.01 | b | |
| (b) | |||||||||||||||||
| HT Loaded (mg/g Strawberry) | 24 h | 48 h | 72 h | 96 h | |||||||||||||
| ± | SD | ± | SD | ± | SD | ± | SD | ||||||||||
| 0.05 | 0.05 | ± | 0.00 | a | 0.05 | ± | 0.00 | a | 0.05 | ± | 0.00 | a | 0.05 | ± | 0.00 | a | |
| 0.10 | 0.11 | ± | 0.01 | a | 0.10 | ± | 0.00 | a | 0.09 | ± | 0.00 | a | 0.09 | ± | 0.00 | a | |
| 0.50 | 0.50 | ± | 0.01 | a | 0.40 | ± | 0.02 | b | 0.39 | ± | 0.02 | b | 0.38 | ± | 0.01 | b | |
| 1.00 | 0.92 | ± | 0.12 | a | 0.79 | ± | 0.02 | b | 0.76 | ± | 0.03 | b | 0.72 | ± | 0.05 | b | |
| CI | |||||
|---|---|---|---|---|---|
| mg HT/mg Strawberry | Strawberry (mg) | HT (mg) | 24 h | 48 h | 144 h |
| 0.25 | 30 | 7.5 | 1.216 | 0.854 | 0.853 |
| 0.25 | 40 | 10 | 1.039 | 0.891 | 1.112 |
| 0.25 | 50 | 12.5 | 1.146 | 0.915 | 1.362 |
| 0.5 | 10 | 5 | 1.916 | 0.702 | |
| 0.5 | 20 | 10 | 0.758 | 0.917 | 1.260 |
| 0.5 | 30 | 15 | 1.025 | 1.034 | 1.060 |
| 0.5 | 40 | 20 | 0.950 | 1.069 | 1.565 |
| 1 | 10 | 10 | 1 | ||
| 1 | 20 | 20 | 0.950 | 1.069 | 1.565 |
| 1 | 30 | 30 | 0.943 | 0.951 | 1.750 |
Sample Availability: Samples of hydroxytyrosol are available from the authors. |
Publisher’s Note: MDPI stays neutral with regard to jurisdictional claims in published maps and institutional affiliations. |
© 2020 by the authors. Licensee MDPI, Basel, Switzerland. This article is an open access article distributed under the terms and conditions of the Creative Commons Attribution (CC BY) license (http://creativecommons.org/licenses/by/4.0/).
Share and Cite
Bermúdez-Oria, A.; Bouchal, Y.; Fernández-Prior, Á.; Vioque, B.; Fernández-Bolaños, J. Strawberry Puree Functionalized with Natural Hydroxytyrosol: Effects on Vitamin C and Antioxidant Activity. Molecules 2020, 25, 5829. https://doi.org/10.3390/molecules25245829
Bermúdez-Oria A, Bouchal Y, Fernández-Prior Á, Vioque B, Fernández-Bolaños J. Strawberry Puree Functionalized with Natural Hydroxytyrosol: Effects on Vitamin C and Antioxidant Activity. Molecules. 2020; 25(24):5829. https://doi.org/10.3390/molecules25245829
Chicago/Turabian StyleBermúdez-Oria, Alejandra, Yougourthane Bouchal, África Fernández-Prior, Blanca Vioque, and Juan Fernández-Bolaños. 2020. "Strawberry Puree Functionalized with Natural Hydroxytyrosol: Effects on Vitamin C and Antioxidant Activity" Molecules 25, no. 24: 5829. https://doi.org/10.3390/molecules25245829
APA StyleBermúdez-Oria, A., Bouchal, Y., Fernández-Prior, Á., Vioque, B., & Fernández-Bolaños, J. (2020). Strawberry Puree Functionalized with Natural Hydroxytyrosol: Effects on Vitamin C and Antioxidant Activity. Molecules, 25(24), 5829. https://doi.org/10.3390/molecules25245829

