Selective Oxidation of Ethane to Acetic Acid Catalyzed by a C-Scorpionate Iron(II) Complex: A Homogeneous vs. Heterogeneous Comparison
Abstract
1. Introduction
2. Results and Discussion
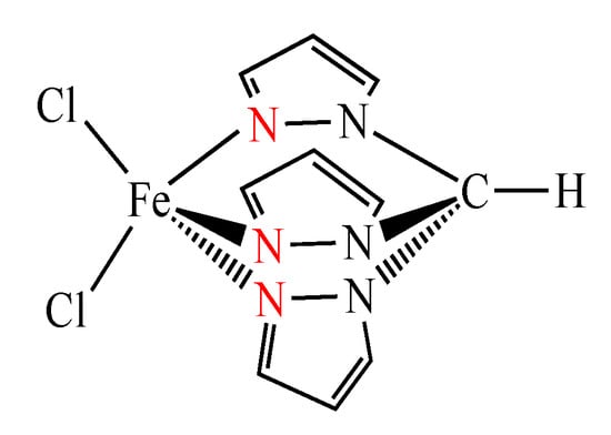
2.1. Oxidation of Ethane Catalysed by [FeCl2{κ3-HC(pz)3}]
2.2. Oxidation of Ethane Catalysed by the Magnetic Fe3O4/TiO2/[FeCl2{κ3-HC(pz)3}] Composite
2.3. Green Metrics
3. Methods and Materials
3.1. Synthesis of Magnetic Fe3O4/TiO2/[FeCl2{κ3-HC(pz)3}] Composite
3.2. Catalytic Oxidation of Ethane to Acetic Acid
4. Conclusions
Author Contributions
Funding
Conflicts of Interest
References
- Global Acetic Acid Market to Reach 24.51 Million Tons by 2025. Available online: https://www.expertmarketresearch.com/pressrelease/global-acetic-acid-market (accessed on 8 October 2020).
- Global Organic Acid Market by Region. Available online: https://www.maximizemarketresearch.com/wp-content/uploads/2019/07/Global-Organic-Acid-Market-By-Region.png (accessed on 8 October 2020).
- Ullmann’s Encyclopedia of Industrial Chemistry, 6th ed.; Wiley-VCH: Weinheim, Germany, 2002.
- Pombeiro, A.J.L.; Silva, M.F.C.G. (Eds.) Alkane Functionalization; Wiley & Sons: Hoboken, NJ, USA, 2019; Chapter 6; pp. 173–187. ISBN 978-1-119-37880-8. [Google Scholar]
- Martins, L.M.D.R.S. C-scorpionate complexes: Ever young catalytic tools. Coord. Chem. Rev. 2019, 396, 89–102. [Google Scholar] [CrossRef]
- Nishiguchi, T.; Nakata, K.; Takaki, K.; Fujiwara, Y. Transition metal catalyzed acetic acid synthesis from methane and CO. Chem. Lett. 1992, 21, 1141–1142. [Google Scholar] [CrossRef]
- Silva, T.F.; Luzyanin, K.V.; Kirillova, M.V.; Silva, M.F.G.; Martins, L.M.D.R.S.; Pombeiro, A.J.L. Novel scorpionate and pyrazole dioxovanadium complexes, catalysts for carboxylation and peroxidative oxidation of alkanes. Adv. Synth. Catal. 2010, 352, 171–187. [Google Scholar] [CrossRef]
- Kirillova, M.V.; Kirillov, A.M.; Kuznetsov, M.L.; Silva, J.A.; Silva, J.J.F.; Pombeiro, A.J. Alkanes to carboxylic acids in aqueous medium: Metal-free and metal-promoted highly efficient and mild conversions. Chem. Commun. 2009, 17, 2353–2355. [Google Scholar] [CrossRef] [PubMed]
- Kirillova, M.V.; Silva, J.A.; Silva, J.J.F.; Palavra, A.; Pombeiro, A.J. Highly efficient direct carboxylation of propane into butyric acids catalyzed by vanadium complexes. Adv. Syn. Cat. 2007, 349, 1765–1774. [Google Scholar] [CrossRef]
- Available online: https://www.icis.com/explore/resources/news/2005/05/24/679925/saudi-arabia-s-sabic-starts-up-acetic-acid-plant-at-yanbu/ (accessed on 10 October 2020).
- Armstrong, R.D.; Hutchings, G.J.; Taylor, S.H. An overview of recent advances of the catalytic selective oxidation of ethane to oxygenates. Catalysts 2016, 6, 71. [Google Scholar] [CrossRef]
- Ribeiro, A.P.C.; Martins, L.M.D.R.S.; Pombeiro, A.J.L. N2O-free single-pot conversion of cyclohexane to adipic acid catalysed by an iron(II) scorpionate complex. Green Chem. 2017, 19, 1499. [Google Scholar] [CrossRef]
- Martins, L.M.D.R.S.; Pombeiro, A.J.L. Tris(pyrazol-1yl)methane metal complexes for catalytic mild oxidative functionalizations of alkanes, alkenes and ketones. Coord. Chem. Rev. 2014, 265, 74–88. [Google Scholar] [CrossRef]
- Silva, T.F.S.; Alegria, E.C.B.A.; Martins, L.M.D.R.S.; Pombeiro, A.J.L. Scorpionate vanadium, iron and copper complexes as selective catalysts for the peroxidative oxidation of cyclohexane under mild conditions. Adv. Synth. Catal. 2008, 350, 706–716. [Google Scholar] [CrossRef]
- Martins, L.M.D.R.S.; Martins, A.; Alegria, E.C.B.A.; Carvalho, A.P.; Pombeiro, A.J.L. Efficient cyclohexane oxidation with hydrogen peroxide catalysed by a C-scorpionate iron (II) complex immobilized on desilicated MOR zeolite. Appl. Catal. A 2013, 464, 43–50. [Google Scholar] [CrossRef]
- Martins, L.M.D.R.S.; Almeida, M.P.; Carabineiro, S.A.C.; Figueiredo, J.L.; Pombeiro, A.J.L. Heterogenisation of a C-scorpionate feii complex on carbon materials for cyclohexane oxidation with hydrogen peroxide. ChemCatChem 2013, 5, 3847–3856. [Google Scholar] [CrossRef]
- Martins, L.M.D.R.S.; Ribeiro, A.P.C.; Carabineiro, S.A.C.; Figueiredo, J.L.; Pombeiro, A.J.L. Highly efficient and reusable CNT supported iron(II) catalyst for microwave assisted alcohol oxidation. Dalton Trans. 2016, 45, 6816. [Google Scholar] [CrossRef]
- Ribeiro, A.P.C.; Martins, L.M.D.R.S.; Carabineiro, S.A.C.; Buijnsters, J.G.; Figueiredo, J.L.; Pombeiro, A.J.L. Heterogenised C-scorpionate iron(II) complex on nanostructured carbon materials as catalysts for microwave-assisted oxidation reactions. ChemCatChem 2018, 10, 1821–1828. [Google Scholar] [CrossRef]
- Van-Dúnem, V.; Carvalho, A.P.; Martins, L.M.D.R.S.; Martins, A. Improved cyclohexane oxidation catalyzed by a heterogenised iron(II) complex on hierarchical Y zeolite through surfactant mediated technology. ChemCatChem 2018, 10, 4058–4066. [Google Scholar] [CrossRef]
- Ribeiro, A.P.C.; Matias, I.A.S.; Alegria, E.C.B.A.; Ferraria, A.M.; Rego, A.M.B.; Pombeiro, A.J.L.; Martins, L.M.D.R.S. New trendy magnetic C-scorpionate iron catalyst and its performance towards cyclohexane oxidation. Catalysts 2018, 8, 69. [Google Scholar] [CrossRef]
- Matias, I.A.S.; Ribeiro, A.P.C.; Alegria, E.C.B.A.; Pombeiro, A.J.L.; Martins, L.M.D.R.S. C-scorpionate iron(II) complexes as highly selective catalysts for the hydrocarboxylation of cyclohexane. Inorg. Chim. Acta 2019, 489, 269–274. [Google Scholar] [CrossRef]
- Ribeiro, A.P.C.; Martins, L.M.D.R.S.; Kuznetsov, M.L.; Pombeiro, A.J.L. Tuning cyclohexane oxidation: Combination of microwave irradiation and ionic liquid with the C-scorpionate [FeCl2(Tpm)] catalyst. Organometallics 2016, 36, 192–198. [Google Scholar] [CrossRef]
- Ribeiro, A.P.C.; Martins, L.M.D.R.S.; Pombeiro, A.J.L. Carbon dioxide-to-methanol single-pot conversion using a C-scorpionate iron(II) catalyst. Green Chem. 2017, 19, 4811–4815. [Google Scholar] [CrossRef]
- Andrade, M.A.; Mestre, A.S.; Carvalho, A.P.; Pombeiro, A.J.L.; Martins, L.M.D.R.S. The role of nanoporous carbon materials in catalytic cyclohexane oxidation. Catal. Today 2019, 357, 46–55. [Google Scholar] [CrossRef]
- Trofimenko, S. Scorpionates: The Coordination Chemistry of Polypyrazolylborate Ligands; Imperial College Press: London, UK, 1999. [Google Scholar]
- Matias, I.A.S.; Ribeiro, A.P.C.; Ferraria, A.M.; Rego, A.M.B.; Martins, L.M.D.R.S. Catalytic performance of a magnetic core-shell Iron(II) C-scorpionate under unconventional oxidation conditions. Nanomaterials 2020, 10, 2111. [Google Scholar] [CrossRef]
- Baig, R.B.N.; Varma, R.S. Organic synthesis via magnetic attraction: Benign and sustainable protocols using magnetic nanoferrites. Green Chem. 2013, 15, 398–417. [Google Scholar] [CrossRef]
- Munz, M.; Strassner, T. Alkane C–H Functionalization and Oxidation with Molecular Oxygen. Inorg. Chem. 2015, 54, 5043–5052. [Google Scholar] [CrossRef]
- Alegria, E.C.; Kirillova, M.V.; Martins, L.M.D.R.S.; Pombeiro, A.J.L. Pyrazole and trispyrazolylmethane rhenium complexes as catalysts for ethane and cyclohexane oxidations. Appl. Catal. A 2007, 317, 43–52. [Google Scholar] [CrossRef]
- Kirillov, A.M.; Haukka, M.; Kirillova, M.V.; Pombeiro, A.J.L. Single-pot ethane carboxylation catalyzed by new oxorhenium(V) complexes with N,O ligands. Adv. Synth. Catal. 2005, 347, 1435–1446. [Google Scholar] [CrossRef]
- Kirillova, M.V.; Kirillov, A.M.; Reis, P.M.; Silva, J.A.; Silva, J.J.F.; Pombeiro, A.J.L. Group 5–7 transition metal oxides as efficient catalysts for oxidative functionalization of alkanes under mild conditions. J. Catal. 2007, 248, 130–136. [Google Scholar] [CrossRef]
- Kirillova, M.V.; Silva, J.A.; Silva, J.J.F.; Pombeiro, A.J.L. Direct and efficient transformation of gaseous alkanes into carboxylic acids catalyzed by vanadium containing heteropolyacids. Appl. Catal. A 2007, 332, 159–165. [Google Scholar] [CrossRef]
- Takanabe, K.; Iglesia, E. Mechanistic aspects and reaction pathways for oxidative coupling of methane on Mn/Na2WO4/SiO2 catalysts. J. Phys. Chem. C 2009, 113, 10131–10145. [Google Scholar] [CrossRef]
- Shul’pina, L.S.; Kirillova, M.V.; Pombeiro, A.J.L.; Shul’pin, G.B. Alkane oxidation by the H2O2-NaVO3-H2SO4 system in acetonitrile and water. Tetrahedron 2009, 65, 2424–2429. [Google Scholar] [CrossRef]
- Tse, C.-W.; Chow, T.W.-S.; Guo, Z.; Lee, H.K.; Huang, J.-S.; Che, C.-M. Nonheme iron mediated oxidation of light alkanes with oxone: Characterization of reactive oxoiron(IV) ligand cation radical intermediates by spectroscopic studies and dft calculations. Angew. Chem. Int. Ed. 2014, 53, 798–803. [Google Scholar] [CrossRef]
- Lin, M.; Sen, A. A highly catalytic system for the direct oxidation of lower alkanes by dioxygen in aqueous medium. A formal heterogeneous analog of alkane monooxygenases. J. Am. Chem. Soc. 1992, 114, 7307–7308. [Google Scholar] [CrossRef]
- Shul’pin, G.B.; Sooknoi, T.; Romakh, V.B.; Süss-Fink, G.; Shul’pina, L.S. Regioselective alkane oxygenation with H2O2 catalyzed by titanosilicalite Ts-1. Tetrahedron Lett. 2006, 47, 3071–3075. [Google Scholar] [CrossRef]
- Alvarez, L.X.; Sorokin, A.B. Mild oxidation of ethane to acetic acid by H2O2 catalyzed by supported μ-nitrido diiron phthalocyanines. J. Organomet. Chem. 2015, 793, 139–144. [Google Scholar] [CrossRef]
- Rahman, A.K.M.L.; Indo, R.; Hagiwara, H.; Ishihara, T. Direct conversion of ethane to acetic acid over H-ZSM-5 using H2O2 in aqueous phase. Appl. Catal. A Gen. 2013, 456, 82–87. [Google Scholar] [CrossRef]
- Anastas, P.T. Handbook of Green Chemistry; Constable, D.J.C., Gonzales, C.J., Eds.; Wiley-VCH: Weinheim, Germany, 2018; Volume 11. [Google Scholar]
- Sheldon, R.A. The E factor: Fifteen years on. Green Chem. 2007, 9, 1273–1283. [Google Scholar] [CrossRef]
- Phan, T.V.T.; Gallardo, C.; Mane, J. GREEN MOTION: A new and easy to use green chemistry metric from laboratories to industry. Green Chem. 2015, 17, 2846–2852. [Google Scholar] [CrossRef]











| Entry | Cat/mmol | T/°C | C2H6/atm | Time/h | Solvent | Yield b/% | TON c |
|---|---|---|---|---|---|---|---|
| 1 | 0.02 | 80 | 3 | 20 | TFA | 6.8 | 6 |
| 2 | 0.04 | 80 | 3 | 20 | TFA | 13.6 | 6 |
| 3 | 0.02 | 80 | 3 | 20 | ACN/H2O | 4.7 | 4 |
| 4 | 0.04 | 80 | 3 | 6 | ACN/H2O | 4.9 | 2 |
| 5 | 0.04 | 80 | 3 | 20 | ACN/H2O | 10.1 | 4 |
| 6 | 0.04 | 80 | 3 | 72 | ACN/H2O | 12.3 | 5 |
| 7 | 0.04 | 80 | 3 | 20 | H2O | 4.6 | 2 |
| 8 | 0.04 | 80 | 3 | 20 | ACN | 0.0 | 0 |
| 9 | 0.04 | 80 | 5 | 20 | ACN/H2O | 10.3 | 7 |
| 10 | 0.04 | 50 | 3 | 20 | ACN/H2O | 5.2 | 2 |
| 11 d | 0.04 | 80 | 3 | 20 | ACN/H2O | 0.0 | 0 |
| 12 | - | 80 | 3 | 6 | ACN/H2O | 3.9 | 0 |
| 13 e | 0.04 | 80 | 3 | 20 | ACN/H2O | 4.2 | 2 |
| Entry | Cat/mmol | T/°C | C2H6/atm | Time/h | Solvent | Aditive | Yield b/% | TON c |
|---|---|---|---|---|---|---|---|---|
| mmol | ||||||||
| 1 | 0.02 | 80 | 3 | 20 | TFA | - | 3.0 | 3 |
| 2 | 0.04 | 80 | 3 | 20 | TFA | - | 3.3 | 1 |
| 3 | 0.04 | 80 | 3 | 6 | ACN/H2O | - | 2.5 | 1 |
| 4 | 0.04 | 80 | 3 | 20 | ACN/H2O | - | 29.1 | 12 |
| 5 | 0.02 | 80 | 3 | 20 | ACN/H2O | - | 21.3 | 18 |
| 6 | 0.02 | 80 | 3 | 72 | ACN/H2O | - | 25.6 | 21 |
| 7 d | 0.02 | 80 | 3 | 20 | ACN/H2O | 8 | 2.7 | 2 |
| 8 e | 0.02 | 80 | 3 | 20 | ACN/H2O | 8 | 2.2 | 2 |
| 9 | 0.02 | 50 | 3 | 20 | ACN/H2O | - | 18.3 | 15 |
| 10 | 0.02 | 100 | 3 | 20 | ACN/H2O | - | 21.5 | 18 |
| 11 | 0.02 | 80 | 5 | 20 | ACN/H2O | - | 16.5 | 23 |
| 12 | 0.02 | 80 | 20 | 20 | ACN/H2O | - | 13.7 | 75 |
| 13 | 0.02 | 80 | 3 | 20 | ACN | - | 0.0 | 0 |
| 14 | 0.02 | 80 | 3 | 20 | H2O | - | 5.9 | 5 |
| 15 | 0.00 | 80 | 3 | 20 | ACN/H2O | - | 0.0 | 0 |
| 16 f | 0.08 | 80 | 3 | 20 | ACN/H2O | - | 6.7 | 6 |
| 17 f | 0.02 | 80 | 3 | 20 | ACN/H2O | - | 0.6 | 0 |
| 18 g | 0.02 | 80 | 3 | 20 | ACN/H2O | - | 0.0 | 0 |
| Entry | Solvent | Catalyst | E-Factor a | AE/% b | AU/% c | f d |
|---|---|---|---|---|---|---|
| 1 | H2O/ACN | [FeCl2{κ3-HC(pz)3}] | 0.5 | 20.0 | 100 | 108.4 |
| 2 | TFA | 2.7 | 702.3 | |||
| 3 | H2O/ACN | Fe3O4/TiO2/ [FeCl2{κ3-HC(pz)3}] | 0.7 | 20.0 | 100 | 122.1 |
| 4 | TFA | 1.9 | 570.3 |
Publisher’s Note: MDPI stays neutral with regard to jurisdictional claims in published maps and institutional affiliations. |
© 2020 by the authors. Licensee MDPI, Basel, Switzerland. This article is an open access article distributed under the terms and conditions of the Creative Commons Attribution (CC BY) license (http://creativecommons.org/licenses/by/4.0/).
Share and Cite
Matias, I.A.S.; Ribeiro, A.P.C.; Martins, L.M.D.R.S. Selective Oxidation of Ethane to Acetic Acid Catalyzed by a C-Scorpionate Iron(II) Complex: A Homogeneous vs. Heterogeneous Comparison. Molecules 2020, 25, 5642. https://doi.org/10.3390/molecules25235642
Matias IAS, Ribeiro APC, Martins LMDRS. Selective Oxidation of Ethane to Acetic Acid Catalyzed by a C-Scorpionate Iron(II) Complex: A Homogeneous vs. Heterogeneous Comparison. Molecules. 2020; 25(23):5642. https://doi.org/10.3390/molecules25235642
Chicago/Turabian StyleMatias, Inês A. S., Ana P. C. Ribeiro, and Luísa M. D. R. S. Martins. 2020. "Selective Oxidation of Ethane to Acetic Acid Catalyzed by a C-Scorpionate Iron(II) Complex: A Homogeneous vs. Heterogeneous Comparison" Molecules 25, no. 23: 5642. https://doi.org/10.3390/molecules25235642
APA StyleMatias, I. A. S., Ribeiro, A. P. C., & Martins, L. M. D. R. S. (2020). Selective Oxidation of Ethane to Acetic Acid Catalyzed by a C-Scorpionate Iron(II) Complex: A Homogeneous vs. Heterogeneous Comparison. Molecules, 25(23), 5642. https://doi.org/10.3390/molecules25235642

