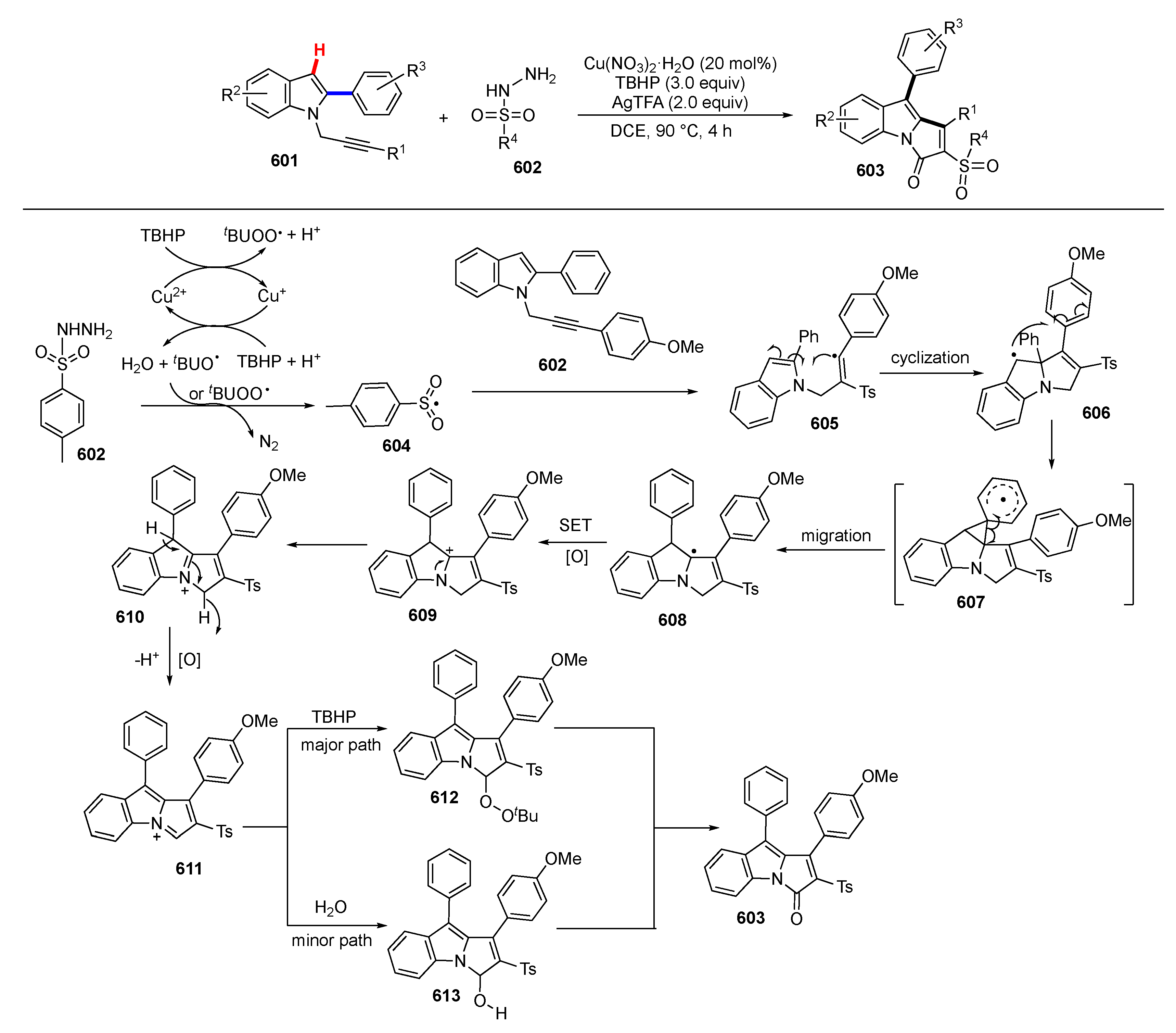
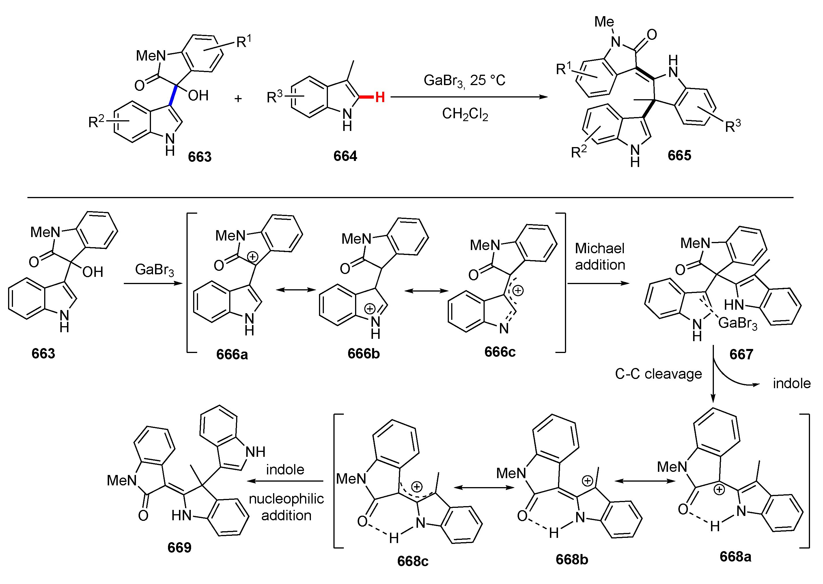
Abstract
The functionalization of C–H bonds has become a major thread of research in organic synthesis that can be assessed from different angles, for instance depending on the type of catalyst employed or the overall transformation that is carried out. This review compiles recent progress in synthetic methodology that merges the functionalization of C–H bonds along with the cleavage of C–C bonds, either in intra- or intermolecular fashion. The manuscript is organized in two main sections according to the type of substrate in which the cleavage of the C–C bond takes place, basically attending to the scission of strained or unstrained C–C bonds. Furthermore, the related research works have been grouped on the basis of the mechanistic aspects of the different transformations that are carried out, i.e.,: (a) classic transition metal catalysis where organometallic intermediates are involved; (b) processes occurring via radical intermediates generated through the use of radical initiators or photochemically; and (c) reactions that are catalyzed or mediated by suitable Lewis or Brønsted acid or bases, where molecular rearrangements take place. Thus, throughout the review a wide range of synthetic approaches show that the combination of C–H and C–C cleavage in single synthetic operations can serve as a platform to achieve complex molecular skeletons in a straightforward manner, among them interesting carbo- and heterocyclic scaffolds.
1. Introduction
The fields of C–H activation/functionalization have become well-established areas in organic synthesis, surging as reliable and powerful tools to achieve a wide range of transformations [1,2,3,4,5,6,7]. The past twenty years have witnessed a great evolution in the approach to perform the functionalization of C–H bonds, enhancing its applicability [8]. Nowadays, there is a growing interest to extend the frontiers of the C–H functionalization field through its merging with other aspects of synthesis, for instance electrochemical [9,10,11]; and photochemical processes [12,13], cascade reactions [14,15], or functionalization of remote positions [16,17,18,19], among others. Parallel to the research on C–H functionalization, the topic of C–C bond cleavage has experienced an exponential development in recent times [20,21,22,23,24,25]. Remarkably, the consideration of ubiquitous C–C bonds as functional groups opens up enormous possibilities for synthesis, generating novel disconnections in retrosynthesis previously thought inaccessible and unveiling new building blocks. In this regard, chemists have tackled the scission of C–C bonds with different hybridization and taken advantage of some features of carbon skeletons such as the favorable release of the strain in small carbocyclic rings [26]. The merge of C–H/C–C bond cleavage can potentially give rise to a vast array of methods that allow straightforward routes to the synthesis of complex organic skeletons, including relevant heterocyclic scaffolds.
This review will focus on the recent advances of synthetic methodology involving transformations where both a C–H and a C–C bond are cleaved in the overall reaction. We have considered those research works where the C–H bond cleavage occurs either through the formation of carbon–metal bonds (C–H activation) or through other processes, for example via the homolytic C–H bond scission. In addition, we have included some interesting reactions where the cleavage of a C–H bond is used as a tool to achieve reactive intermediates that are further transformed, even though when that specific C–H bond is restored in the final organic product arising from the general reaction with apparent no derivatization.
In early 2017 Marek and co-workers reported in a nice review on the C–H/C–C functionalization topic [27], collecting the relevant progress made until that date. Given the dynamism of this field, a considerable amount of work has been carried out in this specific area within the last years, which we have tried to summarize and present in this manuscript. This review focuses on the research made in the field of transition metal-catalysis after the publication of Marek’s revision. Nevertheless, we have not included reactions where the C–C cleavage proceeds via decarboxylative [28,29]/decarbonylative [30] processes or through the use of 2-norbornene auxiliary ligands (Catellani approach) [31,32,33], since these topics have been reviewed recently. We have, however, taken into account those synthetic methods based on the generation of radical or polar intermediates published in the last five years.
We have grouped the different reactions according to the type of substrate in which the C–C scission takes place, basically regarding the two main approaches where either strained or unstrained C–C bonds are cleaved. Within each class there are some sub-groups depending on the specific methodology employed to merge C–H/C–C cleavage. For instance: (a) methods using metal mediated or catalyzed reactions occurring through organometallic intermediates; (b) processes involving radical intermediates, generated either photochemically or thermally; and (c) other methods relying on the use Lewis or Brønsted acid or base as key feature to carry out the reaction.
Furthermore, in order to facilitate the comprehension to the non-specialized reader we have focused the discussion on the mechanistic aspects underneath theses reactions where a series of elementary steps lead to overall complex transformations. We have highlighted the C–H and the C–C bonds that are cleaved during the reaction in red and blue color respectively. Similarly, the new C–C or C–heteroatoms bonds formed are remarked in bold black color.
2. Synthetic Methodology Involving C–H Functionalization Along with the Cleavage of Strained C–C Bonds
As mentioned in the introductory section of this review, the release of the strain of carbocyclic structures is one of the driving forces that can promote the cleavage of C–C bonds [26], generating intermediates of different nature depending on the experimental conditions which can further evolve intra- or intermolecularly to afford new organic scaffolds. This section presents recent progress carried out on the different approaches where the functionalization of a C–H bond is achieved through the use of cyclopropyl and cyclobutyl scaffolds [34,35,36,37,38,39,40,41].
2.1. Reactions Involving Transition-Metal Catalyzed or Mediated Processes and Strained Substrates
Transition-metal catalysis occupies a privileged position in the development of new synthetic methodologies given its enormous versatility in terms of bond activation and bond formation processes, and therefore they have been used extensively to perform either the functionalization of C–H or C–C bonds [23,42,43]. Nevertheless, in some cases these two types of bonds can be activated in a single synthetic operation. In this section, recent examples show the use of precious- or base-metals, or a combination of both, to achieve interesting organic transformations.
The direct C7 allylation of indolines via sequential C–H and C–C activation catalyzed by Rh(III) was reported by Song and co-workers (Scheme 1) [44]. A pyrimidine ring bonded to the nitrogen atom of the indoline core was used as directing group to promote the C7–H metalation of substrates 1. Coordination and migratory insertion of a substituted vinylcyclopropane (VCP) led to the formation of an eight-membered rhodacycle 6. The intramolecular coordination of one of the ester groups in the intermediate 7 would facilitate the C–C cleavage of the cyclopropane fragment to give a coordinated enolate 8. Subsequent protonation would render the desired C7-allylated indoline and restore the active Rh(III) species. The optimal reaction conditions included 20 mol% of AgSbF6 in order to form cationic Rh(III) species in situ and 30 mol% of 1-adamantane carboxylic acid as an additive to promote the metalation step. Further work on this reaction pointed to the possibility to carry out this transformation at room temperature in solvent-free and microwave-assisted conditions through Ru-catalysis [45].
Scheme 1.
Rh-catalyzed functionalization of indolines. Cp* refers to pentamethylcyclopentadienyl ligand.
The Gooßen group exploited the favorable scission of the strained C–C bond inherent to vinylcyclopropenes to form ortho-allylated benzoic acids and esters 10 (Scheme 2) [46]. The use of a catalytic amount of [Ru(p-cymene)Cl2]2 in the presence of a base and HFIP solvent allowed the smooth metalation of the ortho-C–H bond of benzoic acid derivatives. As in other reactions where VCPs are used as coupling partners, the insertion of the olefine in the Ru–C bond was followed by C–C bond cleavage and protodemetalation. The coupling products were isolated as methyl esters upon an in situ methylation step. The scope of the reaction revealed the compatibility of the reaction conditions with the halogen substituents on the aromatic ring. The VCPs 2, however, must bear two electron-withdrawing groups (such as two ester substituents) to allow the C–C bond cleavage to proceed. The yield and E/Z ratio of the allylated products 10 depended inversely on the bulkiness of the ester groups, with the bulkier ones giving lower yields but superior regioselectivities.
Scheme 2.
Ru-catalyzed allylation of benzoic acids.
Following up on the interest to apply base-metal catalysts to the C–H activation field [47], Ackermann showed the possibility to carry out the allylation of indoles via C–H/C–C cleavage thorough the use of vinylcyclopropenes and a Co(III) catalyst [48]. Soon thereafter, both Ackermann’s and Glorius’ groups reported nearly simultaneously the use of Mn species to carry out this transformation (Scheme 3) [49,50]. Both protocols employed substrates bearing a 2-pyridyl directing group to promote the C–H metalation. The insertion of the terminal C=C double present in the vinylcyclopropene coupling partner, followed by β-carbon elimination and protodemetalation would afford the allylated products 18 or 19 as a E/Z mixture of isomers. The E/Z selectivity was affected by the conditions. When the reaction was carried out in concentrated DMF solution or neat conditions using [Mn2(CO)10] as the catalyst, E/Z mixtures ranging from 2.1:1 to 4.7:1 were obtained. The E-diastereoselectivity was improved by the use of [MnBr(CO)5] in the presence of HNCy2, in 1,4-dioxane at 100 °C, reaching E/Z ratios from 4:1 to 10:1. These last conditions were suitable to perform the 2-allylation of tryptophan derivatives precluding the racemization of the chiral center. Several mechanistic experiments were carried out to outline the characteristics features of this reaction. A possible radical pathway could be discarded since the reaction proceeded smoothly in the presence of radical scavengers. The kinetic isotopic effect had a value close to 1, indicating that the C–H activation was not the rate limiting step. In addition, DFT calculations showed that the formation of E isomer was favoured due to the easier coordination of the ester group (present in the starting VCP) to the metal in the transition state involved in the C–C cleavage step.
Scheme 3.
Mn-catalyzed allylation of 2-pyrimidyl arenes and heteroarenes.
In 2017, Ackermann described the use of sustainable Mn catalysis to perform the C–H/C–C activation process taking place in the coupling of imines 20 and methylenecyclopropanes (MCPs) (Scheme 4) [51]. In this case several Mn(I) complexes, and particularly [MnBr(CO)5], were able to successfully deliver the coupling product, overpassing the performance of other transition metal catalyst based on Ru, Rh or Pd. The proposed mechanism is initiated by the coordination of the imine to Mn(I) followed by acetate-assisted C–H activation. The aryl-Mn intermediate 23 evolves through migratory insertion of the terminal olefin present in the MCP coupling partner to give the intermediate 24. Then, the cyclopropyl ring opens and a subsequent intramolecular nucleophilic attack affords the carbocycle 27. In a consecutive second step, the authors performed a Zn-mediated hydroarylation process to get the polycyclic amines 22.
Scheme 4.
Mn-catalyzed functionalization of imines.
A cobalt-catalyzed tandem C–H activation/C–C cleavage/C–H activation process was reported recently by Kwong and co-workers (Scheme 5) [52]. The reaction involved the coupling of N-(quinolin-8-yl)-benzamide substrates 28 and alkylidenecyclopropanes (ACPs). The chelation of the 8-amino-quinolyl fragment to Co(III) species would promote the C–H metalation to give the C,N,N-pincer intermediate 32. Then, coordination and migratory insertion of the exocyclic double bond of the ACP coupling partner would render a seven-membered cobaltacycle 34. Subsequently, the C–C bond of the cyclopropyl ring would be cleaved via β-C elimination to render a σ-alkyl Co(III) intermediate 35. The authors proposed the evolution of 35 through two possible paths. Mechanistic studies point the most probable one to proceed through a C–H activation on the nearby phenyl ring and reductive elimination of Co(I) with C–C bond formation to afford the functionalized benzamide 30. An alternative path involving a single-electron transfer (SET) from the adjacent phenyl ring to the metal seems less probable since no related aryl-TEMPO adducts were observed when the reaction was performed in the presence of the mentioned radical scavenger. In both paths the presence of an oxidant such as AgOAc is necessary to restore the catalytically active Co(III) species. Noteworthily, the reaction conditions tolerate the presence of halides in the aromatic rings of the starting benzamides.
Scheme 5.
Cobalt-catalyzed reaction involving C–H/C–C cleavage.
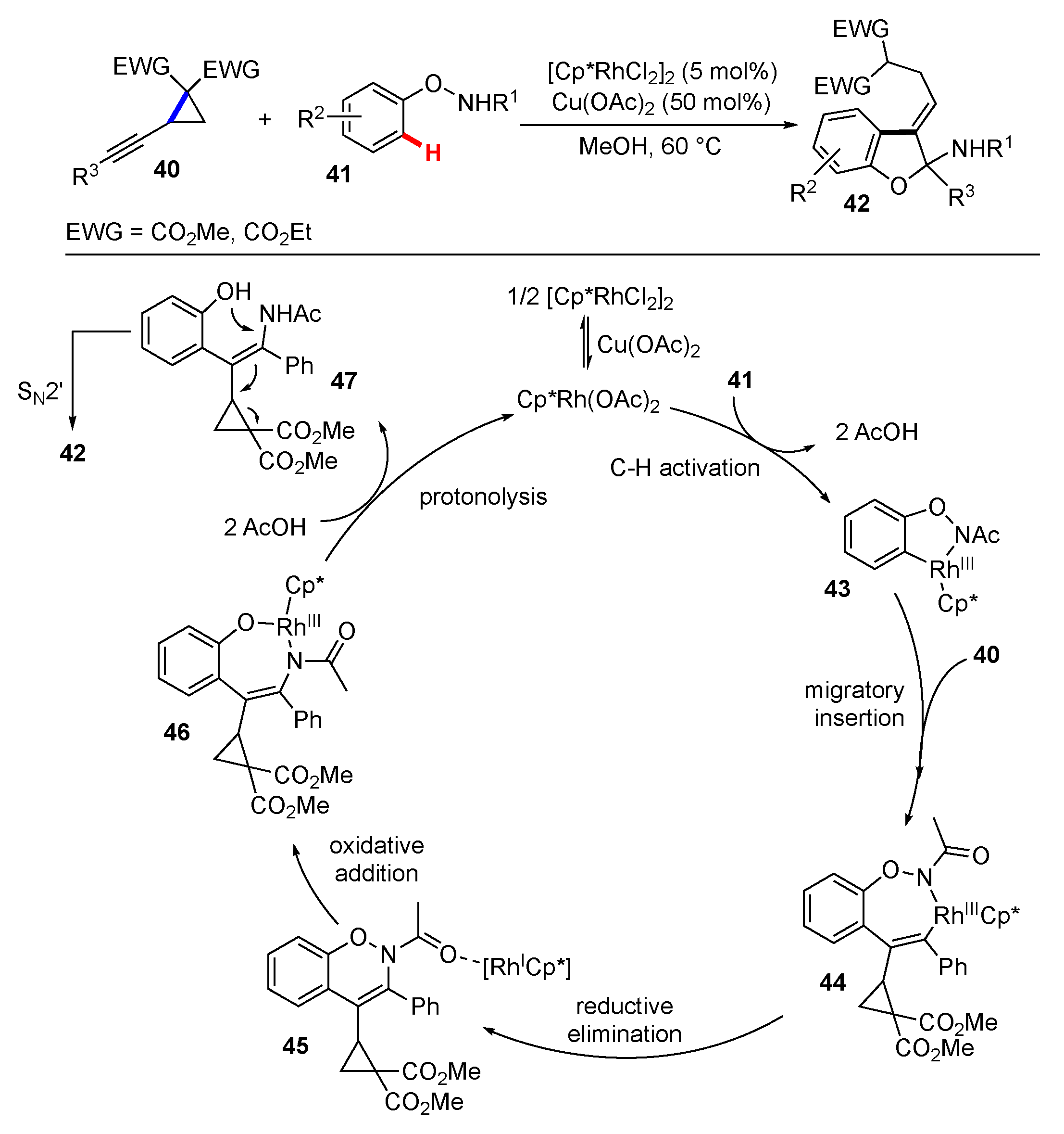
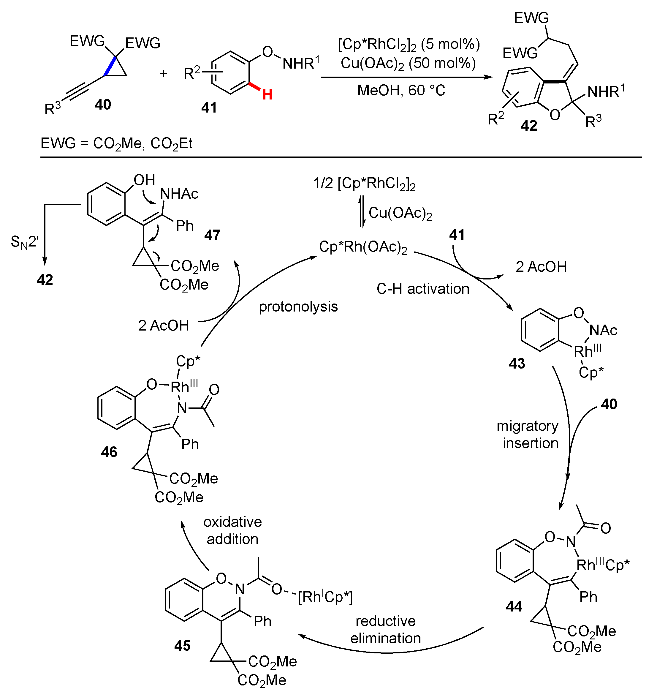
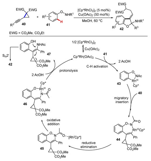
Xu’s group utilized alkynylcyclopropanes 40 to get 2,3-dihydrobenzofuranes 42 through the Rh-catalyzed coupling with N-aryloxyamides 41 (Scheme 6) [53]. The reaction mechanism comprised the oxyamide-directed ortho-C–H metalation followed by migratory insertion of the alkynyl fragment and N–C bond formation to give the intermediate 45. The remaining O–N bond could then add oxidatively to Rh(I). Finally, the acetic acid present in the reaction mixture would activate the opening of the cyclopropyl ring and subsequent intramolecular cyclization to furnish the heterocyclic scaffolds 42.
Scheme 6.
Rh-catalyzed synthesis of 2,3-dihydrobenzofuran derivatives. Cp* refers to pentamethylcyclopentadienyl ligand.
Fu et al. reported the synthesis of fluorinated phenanthrenes 50 through the cleavage of a C–F, C–C and C–H bond present in gem-difluorinated cyclopropanes 48 (Scheme 7) [54]. The coupling reaction of cyclopropyl derivatives 48 and terminal alkynes was carried out utilizing Pd(TFA)2/PtBu3·HBF4 to generate the Pd(0) catalytically active species. The oxidative addition of the strained C–C bond to Pd(0) and β-fluorine elimination gave rise to the π-allyl complex 52 which was further trapped by the terminal alkyne 49. The fluorinated eneyne 54 underwent an isomerization an intramolecular cyclization with the naphthalene core to deliver the phenanthrene structures 50.
Scheme 7.
Pd-catalyzed synthesis of phenanthrenes.
Recently, Cramer et al. developed a Rh(III)-catalyzed diastereoselective synthesis of α-alkoxylated γ-lactams 60 merging C–H and C–C bond activation (Scheme 8) [55]. The three-component reaction coupled arylcyclopropane hydroxamates 58, diazomalonate derivatives 59 and an alcohol. The proposed mechanism starts with the coordination of the hydroxamate moiety of 58 to Rh(III), followed by Csp3–H activation on the cyclopropyl ring to form the five-membered rhodacycle 61. Next, the diazomalonate would transfer the carbene moiety to the metal upon release of a molecule of N2, and a subsequent migratory insertion into the Rh–C bond would give an enlarged six-membered rhodacycle 63. The cyclopropyl ring opening might be triggered by the nucleophilic attack of the alcohol on that intermediate, given the partial charges developed in such species. The C–C bond cleavage would occur with concomitant N–O bond cleavage to give the intermediate 64. Finally, a protodemetalation step would regenerate the Rh(III) catalyst and the free amide that would undergo a 1,4-addition to the conjugated ester to render the N-heterocycle.
Scheme 8.
C–H/C–C activation of cyclopropane hydroxamates.
In 2017, Marek published a protocol to carry out the activation of allylic C–H bonds along with C–C cleavage of ω-ene-cyclopropane substrates 67 as an extension of a previous work on this topic (Scheme 9) [56,57,58].
Scheme 9.
Zr-mediated functionalization of ω-ene-cyclopropane derivatives.
The reaction was mediated by [Cp2Zr(η2-butene)] and the proposed mechanism involved the allylic C–H activation followed by olefin isomerization to reach the intermediate 70, where cyclopropyl ring opening would lead to the four-membered zirconacycle 71. The sequential addition of two electrophilic coupling partners such as ketones, allyl- or acyl halides and iodine among others, allowed the synthesis of the difunctionalized products 68.
Endo et al. developed a silver-catalyzed intramolecular cyclization of 3,3-diaryl or 3,3-aryl,alkyl-cyclopropenes 73 (Scheme 10) [59]. The authors proved that silver salts such as AgOTf, AgOAc or AgF, could promote the opening of the cyclopropane ring to form a vinyl carbene intermediate 75 which could evolve through a Friedel-Crafts-type reaction to afford the desired indene core 74.
Scheme 10.
Silver-catalyzed synthesis of 1H-indene derivatives.
A related strategy was employed by Hashmi et al. to generate interesting heterocyclic scaffolds. In this case, cyclopropene derivatives 79 bearing a tethered heteroaromatic ring on the Csp3 center of the strained ring were used (Scheme 11) [60]. The outcome of the cyclization reaction was heavily dependent on the type of heterocycle present in the substrate. The proposed mechanism involved the opening of the cyclopropene fragment by Au(I) carbene catalyst to generate a vinyl gold carbene intermediate 82. When 79 contained an indole or pyrrole substituent, a Friedel-Crafts cyclization took place to render the tetrahydro-β-carbolines 81.
Scheme 11.
Au-catalyzed synthesis of heterocycles.
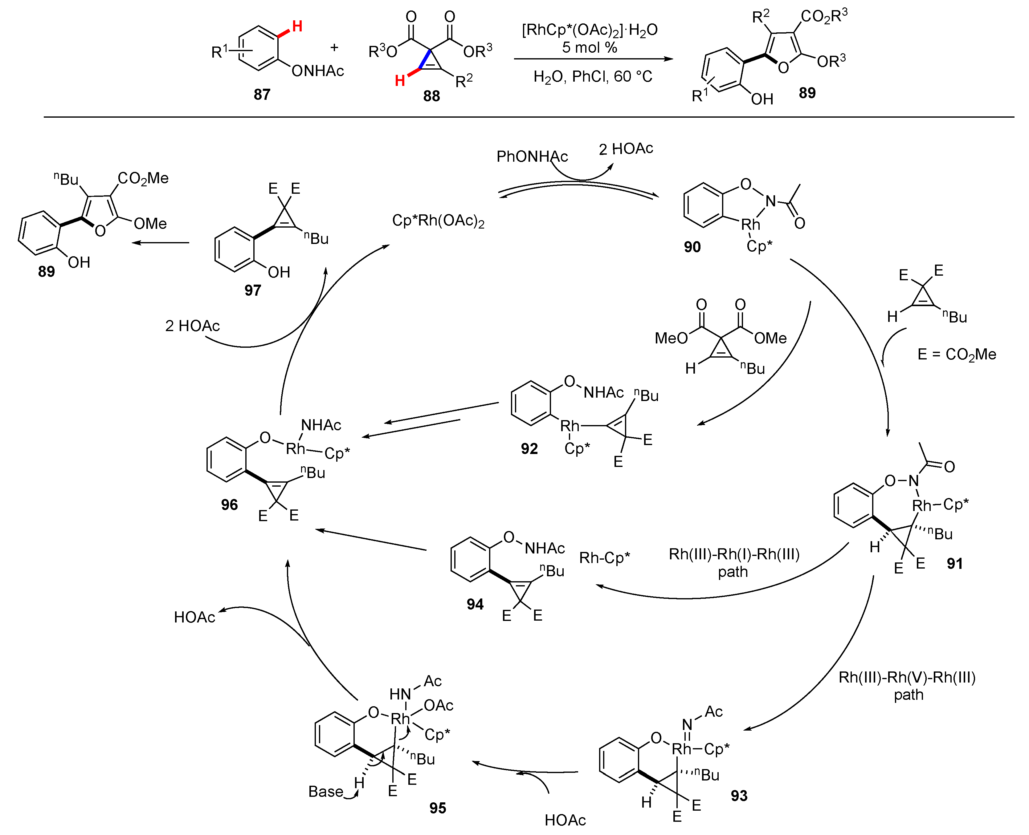
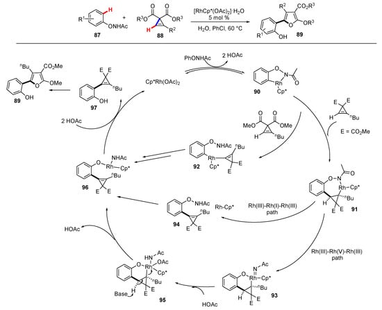
Glorius reported the synthesis of arylated furans 89 by a Rh-catalyzed coupling of N-phenoxyacetamides 87 with cyclopropenyl esters 88 (Scheme 12) [61]. Several mechanistic proposals were assessed experimentally. The authors concluded that the most probable path involved the ortho-metalation of the N-phenoxyacetamide substrate with formation of the five-membered rhodacycle 90. The strained cyclopropenyl derivative would suffer the insertion into the Rh–C bond to give the seven-membered rhodacycle 91. The Rh(III) center would then undergo an oxidative addition of the N–O bond present in the starting phenoxamide, to render a Rh(V) species 93. Next a base-assisted anti β-H elimination would afford the arylated cyclopropene 97. Under the reaction conditions, the cyclopropene unit would undergo a cycloisomerization process involving the cleavage of the C–C bond of the strained carbocycle.
Scheme 12.
Rh-catalyzed coupling of N-phenoxyacetamides with cyclopropenyl esters. Cp* refers to pentamethylcyclopentadienyl ligand.
The Chen group developed the Rh-catalyzed coupling of N-nitrosoanilines 98 and diphenylcyclopropenones 99 to get 4-quinolone scaffolds 100 (Scheme 13) [62]. In this case, the N-nitroso moiety exerted the role of directing group for the ortho-C–H metalation of the substrates 98. Coordination of the carbonyl group present in 99, and regioselective migratory insertion of the C–Rh bond led to the intermediate 103. Further β-C elimination opened the strained ring, and later evolution via reductive elimination with extrusion of NO afforded the desired quinolones 100.
Scheme 13.
Rh-catalyzed synthesis of quinolones. Cp* refers to pentamethylcyclopentadienyl ligand.
Recently, Li described a synthetic route to γ,δ-unsaturated ketones 107 through the Rh-catalyzed hydroacylation of alkylidenecyclopropanes 106 employing salicylaldehydes 105 (Scheme 14) [63]. The reaction would be initiated with the oxidative addition of the C–H bond from the aldehyde moiety to Rh(I). Then, a hydrorhodiation of the alkylidene fragment would give the intermediate 109. Opening of the strained carbocycle through β-C elimination would afford the acyl-alkyl-Rh(III) species 110 from where reductive elimination can take place smoothly. The success of the coupling relied on the presence of the coordinating OH group in the starting aldehyde, able to stabilize the acyl-Rh intermediate 110 and preventing decomposition routes such as decarbonylative processes.
Scheme 14.
Rh-catalyzed functionalization of aldehydes.
In 2019, Loh’s research group reported a solvent-controlled C–H aminomethylation and hydroxymethylation of arenes and heteroarenes (Scheme 15) [64]. The process exploited the cobalt-catalyzed ring-opening reaction of 1,2-oxazetidine derivatives 112, and overall integrated the cleavage of a C–H, C–C and a N–O bond. The screening of the conditions revealed that the use of PhCF3 as the solvent promoted the C–H aminomethylation reaction, while trifluoroethanol favoured the hydroxymethylation instead. The proposed mechanism is triggered by the aryl or heteroaryl (mainly indole) pyrimidine-directed C–H cobaltation to give 115. Then, the coordination of the 1,2-oxazetidine and oxidative addition of the N–O bond to the Co(III) center would afford the N,O-chelated Co(V) intermediate 117, which could undergo two competitive β-carbon elimination process to release either a molecule of formaldehyde (path a), or a molecule or N-protected-formaldimine (path b) and the Co(III) species 118 or 119 respectively. In each path, the C–Co bond could insert into the O=C or N=C bond of the coordinated formaldimine or formaldehyde to give seven-membered cobaltacycles 121 or 120 respectively. Final protodemetalation would afford the functionalized products and regenerate the Co(III) active species. The authors proposed that the solvent might influence the evolution of the intermediate 117, with protic solvents establishing hydrogen-bonding interactions with the imine moiety and favouring the formation of the intermediate 120.
Scheme 15.
Co-catalyzed aminomethylation and hydroxymethylation of arenes. Cp* refers to pentamethylcyclopentadienyl ligand.
Xu and co-workers tackled an enantioselective Sonogashira-type coupling of terminal alkynes with cyclobutatone substrates 122 (Scheme 16) [65]. The palladium/copper-catalyzed process required the use of a phosphoramidate ligand and 1-adamantamine base. The authors proposed two possible paths for this reaction. In both of them, the oxidative addition of the arylhalide to Pd(0) occurs in first place. In the path a, addition to the carbonyl group and regioselective C–C cleavage would render the σ-alkyl Pd(II) intermediate 127, which could then react with the alkynylcopper species formed in situ. The path b would reach to the intermediate 126 upon oxidative addition of the C–CO bond present in the strained cyclobutanone ring. The Pd(IV) species would then evolve through a reductive elimination to give the intermediate 127.
Scheme 16.
Pd-catalyzed synthesis of cyclopentanones.
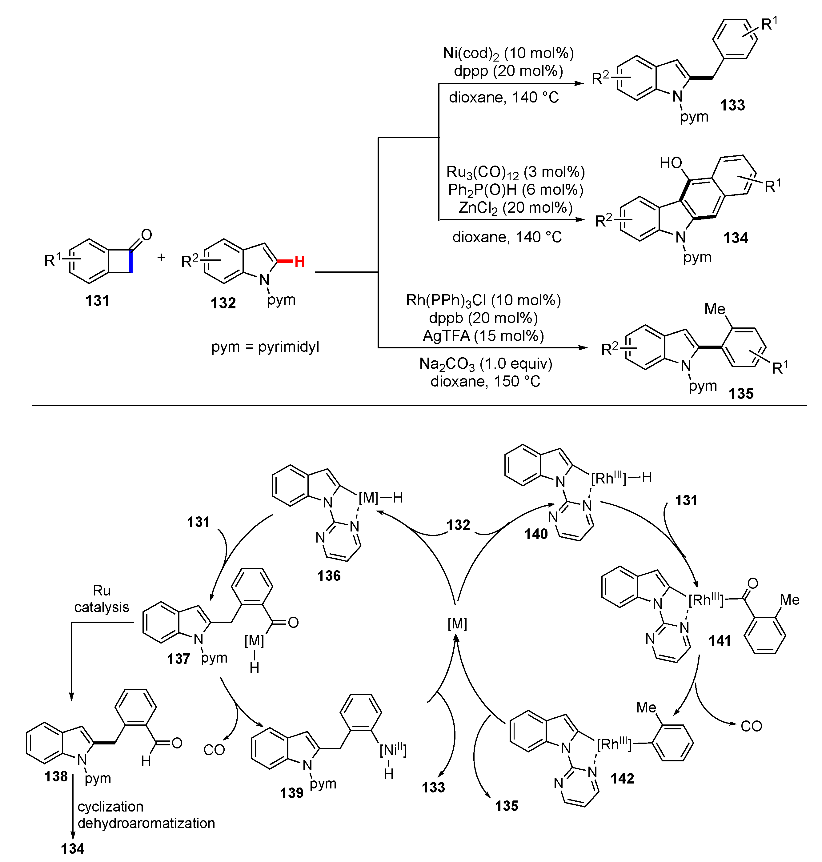
Very recently, Wei et al. exploited the reactivity of cyclobutenones 131 in a divergent cascade process that involved the C–H functionalization of indoles [66]. The result of the coupling reaction was variable according to the metal catalyst of choice (Scheme 17). The use of [Ni(cod)2], [Ru3(CO)12] or [Rh(PPh3)3Cl] as catalyst, led respectively to the formation of 2-benzylindoles 133, benzo[b]carbazoles 134 and 2-arylindoles 135. Mechanistically, regardless the catalyst employed, the three different reactions started with the C–H metalation through the oxidative addition of the N-pyrimidyl indole to the low-valence metal center. In the case of the Rh-catalyzed process, the C(O)-Csp3 bond of the cyclobutanone is cleaved and the resulting alkyl and hydride ligands on the coordination sphere of Rh are coupled to give the intermediate 141. A further decarbonylation step and C–C coupling occurs, furnishing the arylated compound 135. However, in the cases of the Ni- and Ru-catalyzed reactions, upon the C(O)-Csp3 bond scission, a heteroaryl-Csp3 coupling takes place to deliver the intermediate 137. Afterwards the Ni-catalysis produces a decarbonylation and reductive elimination to render 133. The Ru-catalysis affords the aldehyde 138 which evolves through an intramolecular cyclization to give 134.
Scheme 17.
Divergent coupling of cyclobutanone and indole derivatives.
Tertiary alcohols bearing strained rings such as cyclopropanol and cyclobutanol have been widely used in strategies involving transition-metal catalyzed C–C cleavage [38,40,41]. In this regard, Li et al. tackled the synthesis of 2-substituted quinolines 145 through the Rh(III)-catalyzed C–H activation of imidamide substrates 143 and cross-coupling with cyclopropanols (Scheme 18) [67].
Scheme 18.
Pd-catalyzed synthesis of quinolines. Cp* refers to pentamethylcyclopentadienyl ligand.
The reaction was carried out with 4 mol% of [Cp*RhCl2]2 in the presence of NaOAc, [Fe(acac)3] (25 mol%) and 2.1 equivalents of Cu(OAc)2 as oxidant. The plausible catalytic cycle would involve the orthometalation of the amidamide substrate by Rh(III). The coordination of the cyclopropanol, followed by the ring-opening would render the alkyl intermediate 148. Next, β-hydride elimination and insertion of the coordinated olefin gives the alkyl-Rh intermediate 150, which upon reductive elimination affords the ortho-alkylated amidamide 151. An intramolecular cyclization and oxidation process gives rise to the desired 2-substituted quinolones 145. The scope of the reaction included benzyl-, phenoxy- and alkylcyclopropanols.
In 2019, Bi and co-workers performed DFT calculations [68] to deepen in the mechanistic aspects of the related and previously reported Rh-catalyzed ortho alkylation of arenes using cyclopropanol derivatives by means of C–H and C–C cleavage [69,70]. They concluded that the activation of the C–H bond prior to the cyclopropanol ring opening was not favourable thermodynamically. Furthermore, an outer-sphere concerted metalation-deprotonation (CMD) process seems to fit better with the experimental observations than the inner-sphere one, in which the activation energy barrier for the C–H activation is too high for a reaction taking place at room temperature in that case.
Zhang published the Rh-catalyzed synthesis of 1,5 diketones through the coupling of aldehydes and vinylcyclobutanols 156 (Scheme 19) [71]. The reaction would be initiated by the coordination of the cyclobutanol to Rh(I), followed by opening of the ring. Next, β-H elimination and re-insertion of the Rh–H moiety would give the intermediate 161. The oxidative addition of the C–H bond of the aldehyde coupling partner would give the acyl Rh(III) species 163. A hydrometalation step followed by reductive elimination would render the 1,5-diketone 157 and regenerate the Rh(I) active catalyst. A range of both aryl- and alkyladehydes worked out nicely as suitable substrates.
Scheme 19.
Rh-catalyzed synthesis of 1,5-diketones.
One of the strategies to functionalize unreactive remote C–H bonds relays on the generation of a carbon-metal bond on a reactive position of the molecule, which can later undergo a migration of the metal through the molecular skeleton [14,18,72,73]. Yu and co-workers made use of this approach to get the regioselective C–H alkylation of gem-diaryl alkenes 166 (Scheme 20) [74]. In this case the reaction was triggered by the oxidative addition of the C–Br bond present in the aryl group of the substrates 166. 1,4-Pd migration placed the metal on the alkene moiety, which in turn reacted with the cyclobutanol coupling partner to give the alkylated olefins 168, upon C–C cleavage of the strained carbocycle and subsequent reductive elimination. The optimization of the reaction conditions and DFT calculations showed that an auxiliary ligand such as 2-fluorophenol was beneficial to facilitate the 1,4-migration process.
Scheme 20.
Functionalization of gem-diaryl alkenes through 1,4-Pd migration.
2.2. Reactions Involving Radical Intermediates
There is a growing interest in the development of synthetic methods that combine the C–H/C–C bond cleavage of strained carbo- or heterocycles by means of radical intermediates [24,75,76]. There are several approaches in this field, depending on the way to generate the reactive radical species, for instance through the use of photochemical catalysts or the introduction of radical promoters in the reaction mixture.
Inspired by Uemura’s work [77], Sarpong and co-workers developed a synthetic route for the α-C–H arylation of cyclic aliphatic amines such as piperidine or morpholine (Scheme 21) [78]. The sequential C–H and C–C functionalization starts with the conversion of the amines to the α-ketoamide derivatives 172. These molecules can undergo a C–H functionalization by means of a photochemical Norrish-Yang Type II reaction to afford the α-hidroxy-β-lactam 173. Next, the submission of 173 to Pd-catalysis under the conditions depicted in the Scheme 21, led to the arylated products 174a via the following mechanism: first, the oxidative addition of ArBr to Pd(0) would give an Ar–Pd intermediate which could coordinate to the alcohol moiety present in 173. Subsequent β-carbon elimination would lead to the α-palladated amine 177. Finally reductive elimination of Pd(0) would afford the functionalized amine. Remarkably, the use of RuPhos ligand promoted the regioselective lactam ring opening to give the desired organopalladated intermediate 177. In terms of substrate scope, arylbromides could be replaced by arylchlorides although the reaction required the use of XPhos ligand and heating to 100 °C to give moderate yields of the coupling product. Alkenyl- and alkynylbromides were also suitable coupling partners. Interestingly, the reaction with the (bromoethynyl)triisopropylsilane rendered the alkynylated product in β-position 174b, instead of the expected α-functionalized one. This behaviour can be explained through a β-H elimination/re-insertion pathway taking place on the α-palladated heterocycle prior to the reductive elimination step. In addition, the authors observed that when heating the α-hidroxy-β-lactam 173 in the presence of Cs2CO3 without the Pd catalyst, a Cs-promoted distal C–C cleavage could take place to render the α-acylated derivatives 175.
Scheme 21.
Pd-catalyzed functionalization of cyclic amines.
A related strategy was applied to the synthesis of indolizidine derivatives 179 (Scheme 22). In contrast to their previous work where a Pd catalyst was used (Scheme 21), they found that 5 mol% of [Rh(OH)(COD)]2 in the presence of 15 mol% of Xantphos ligand and K2CO3 could selectively promote the cleavage of the distal C–C bond through the β-carbon elimination process in 180 [79]. Then, a decarbonylation step would render the chelated complex 182. The reaction with an acrylate molecule would be followed by the conjugated addition and subsequent intramolecular aldol reaction to furnish the desired indolizidine derivatives 179 as mixture of diastereoisomers. DFT calculations also supported a more favourable distal C–C cleavage over the proximal one in the cyclobutanol moiety under these conditions.
Scheme 22.
Rh-catalyzed functionalization of cyclic amines.
Shi and co-workers took advantage of the photochemical generation of trifluoromethyl radicals from Togni’s reagent to establish a route to 6-(trifluoromethyl)-7,8-dihydrobenzo[k]phenanthridine derivatives 185 (Scheme 23) [80]. The authors employed conveniently designed isonitrile substituted methylenecyclopropane derivatives as starting materials and [Ir(ppy)2(dtbbpy)PF6] as photocatalyst, under blue LED irradiation. The reaction is triggered by the photochemical excitation of the Ir(III) catalyst, promoting an electron transfer to the Togni’s reagent, hence producing an Ir(IV) species, and a trifluoromethyl radical upon homolytic cleavage of the I–CF3 bond. The addition of the CF3 radical to the isonitrile moiety gives rise to the imidoyl intermediate 187. Subsequent intramolecular cyclization and opening of the cyclopropyl unit driven by strain-release afford the intermediate 189. The intramolecular attack of the primary radical to the aryl ring and SET of the resulting intermediate to Ir(IV), restore the Ir(III) active species and the cyclic intermediate 191, which undergoes a deprotonation leading to the formation of the phenanthridine core. Replacing the cyclopropyl by a cyclobutyl ring in the starting material afforded the corresponding products bearing a seven-membered carbocycle.
Scheme 23.
Ir-photocatalyzed synthesis of phenanthridines. The term IrIII* refers to the excited state of the photocatalyst.
Landais et al. studied the synthesis of naphthalenone derivatives 194 through the addition of α-bromoacetophenones onto cyclopropenes in the presence of the photocatalyst fac-Ir(ppy)3 and visible light (Scheme 24) [81]. In this case, the excited photocatalyst can promote the electron transfer to the α-bromoacetophenones 192, which further decomposes generating the radical 195. The addition of such intermediate to the strained olefin renders a new radical intermediate 196 that can easily attack to the aromatic ring. The intermediate 197 is then oxidized by the Ir(IV) species to give the cationic species 198, which recovers the aromaticity upon the loss of a proton. Finally, the basic conditions promote the opening of the cyclopropyl ring upon deprotonation in α-position to the ketone. Interestingly, the overall addition of the phenacyl moiety to the olefin occurs in a syn fashion, preserving the chiral stereocenter present in the cyclopropene starting material.
Scheme 24.
Ir-photocatalyzed synthesis of naphthalenones. The term Ir(ppy)3* refers to the excited state of the photocatalyst.
Nitrogen-centered radical precursors have proven to be versatile and useful species in organic synthesis [82,83,84]. More specifically iminyl radical precursors have been utilized to generate cyanoalkylradical intermediates that can be further cross-coupled [75,85]. Besides, the alkylation of aromatic heterocycles through the addition of radicals, generally known as Minisci-type alkylation, is an interesting approach for C–H functionalization [86]. Hence, the use of cyanoalkylradicals generated through C–C cleavage has been recently incorporated to the Minisci-type synthetic strategy. For instance, Guo’s group reported the direct C–H cyanoalkylation of quinoline N-oxide 200 and 1,4-quinone 201 derivatives employing the cyclobutanone pentafluorobenzoyloxime 202 as the alkylating agent (Scheme 25) [87]. The reaction was catalyzed by NiCl2·diglyme in the presence of a substituted 1,10-phenanthroline ligand. The proposed mechanism involves single electron transfer from the Ni-catalyst to the oxime 202, provoking the homolytic N–O cleavage, and subsequent C–C cleavage of the iminyl radical to generate the cyanoalkylradical species 206. The addition of the radical to the quinoline N-oxide rendered the new intermediate 207, which underwent a single-electron oxidation and deprotonation to furnish the alkylated heterocycle 203.
Scheme 25.
Ni-catalyzed cyanoalkylation of quinoline N-oxides and 1,4-quinolones.
The use of iron catalysts allowed the cyanoalkylation of quinoxalines, coumarines and 2H-indazoles via similar radical mechanism (Scheme 26) [88,89].
Scheme 26.
Fe-catalyzed cyanoalkylation of heterocycles.
The Xu group explored the cyanoalkylation of heterocycles and quinones based on Minisci-type alkylation reactions relying on iminyl-radical species generated through a decarboxylative process of substrates 216 (Scheme 27) [90]. In this case, the process would be triggered by the oxidation of Ag(I) to Ag(II) in the presence of persulfate. In turn, the Ag(II) species would promote an oxidative decarboxylation process on the α-imino-oxy acids, further releasing a molecule of acetone and the corresponding iminyl radical 220, which would evolve as described above. Noteworthy, the reaction also proceeded nicely with less strained imino-oxy acid arising from five-membered cyclic ketones. This strategy is a complementary approach to previous ones based on reductive SET procedures to generate the desired iminyl radical.
Scheme 27.
Radical cyanoalkylation of quinoline N-oxides and 1,4-quinolones.
Shi and co-workers explored a Heck-like coupling of alkenes with the cyclobutanone oxime derivatives 223 (Scheme 28) [91]. The reaction proceeds in the presence of a copper salt, e.g., Cu(OTf)2, CuI or Cu powder in a mixture of 1,4-dioxane/PhCF3 at 100 °C under argon. The mechanistic proposal implies the generation of the iminyl radical upon a single electron transfer from copper species. The homolytic C–C cleavage renders the cyanoalkyl radical 221, which adds to the olefin. The new radical 226 is then oxidized by copper to give a carbocation that can be easily deprotonated leading to the functionalized olefin 225. The presence of radical scavengers totally supressed the progress of the reaction, giving further support to the radical pathway proposal.
Scheme 28.
Radical cyanoalkylation of alkenes.
A more complex cascade reaction was reported by Li’s group (Scheme 29) [92]. They described a NiCl2-catalyzed [2 + 2 + 1] carboanulation of 1,7-eneynes 228 and cyclobutanone-oximes 229, leading to cyano-functionalized 4H-cyclopenta[c]quinolin-4-ones 230. The procedure takes advantage of the cyanoalkyl radical generation upon single electron reduction of the cyclobutanone-oxime. The addition of the cyanoalkyl radical to the olefin enables an intramolecular cascade cyclization and 1,5-H abstraction leading to the species 234 that are finally oxidized by Ni(III) to release the fused carbocycle 230.
Scheme 29.
Ni-catalyzed radical cyanoalkylation/cyclization cascade.
Closely related methodology was employed to obtain 3-cyanoalkylated oxindoles 237 and dihydroquinoline-2(1H)-ones 238 by utilizing N-aryl acrylamides as starting materials (Scheme 30) [93].
Scheme 30.
Synthesis of cyanoalkylated N-heterocycles.
The disclosure of the possibility to generate iminyl radicals under mild conditions through the SET oxidation of readily accessible α-imino-oxy acids using photoredox catalysts has allowed further applications in organic synthesis [94,95,96,97].
For instance, Xia and co-workers employed the oxime esters 242 to carry out the cyanoalkylation of quinolines and isoquinolines among other N-heterocyclic cores, via photocatalysis (Scheme 31) [98]. Under blue LED irradiation, the photoexcitation of fac-Ir(ppy)3 promotes the SET to the O-acyl oxime starting material, provoking the formation of the iminyl species 220 and subsequent homolytic C–C bond cleavage to render the cyanoalkyl radical 221. The scope also included several substituted cycloketone oxime derivatives.
Scheme 31.
Ir-photocatalyzed cyanoalkylation of quinolines.
Xiao’s group developed cascade reactions based on the photochemical generation of cyanoalkyl radicals and trapping with 1,1-disubstituted olefines, leading to the cyanoalkylation of the C–H bond in 246 (Scheme 32) [99]. The authors studied other unsaturated molecules bearing a pendant aryl group where the attack of the radical cyanoalkylated moiety could accomplish the C–H functionalization. For instance, the 2-phenylbenzonitrile 248 was converted to the phenanthridine derivative 249. Related attack of cyanoalkylradicals to aryl cyanides to produce cyclopenta[b]quinoxalines 251 was reported by Zhang [100]. Similarly, the reactions of cyclobutanone oximes 252 containing an aryl group in β-position to the oxime moiety could furnish the 1,2-dihydronaphthalenes 254 by introducing a terminal alkyne in the reaction mixture.
Scheme 32.
Photochemical coupling of cyanoalkyl radicals with unsaturated reagents.
Engaged in the growing interest to explore the chemistry of nitrogen-centered radicals, Xiao and co-workers described a synthetic strategy to get 1,2,3,4-tetrahydrophenanthrenes 261 (Scheme 33) [101].
Scheme 33.
Ir-photocatalyzed synthesis of tetrahydrophenanthrenes. The term *fac-IrIII(ppy)3 refers to the excited state of the photocatalyst.
The overall mechanism is similar to the metal-photocatalyzed cyanoalkylation reactions described above. An excess of α-methyl methacrylate is able to capture the cyanoalkyl radical 263, avoiding the undesired hydrogen atom abstraction that would render the reduced product. The regioselective addition of the secondary radical to the naphthyl ring would afford the cycloalkyl radical intermediate 265. DFT calculations support a more favorable attack to the C–H in alpha position in agreement with the experimental observation. Final SET from 265 to the Ir(IV) gives back Ir(III) and the tetrahydrophenanthrene derivative upon deprotonation.
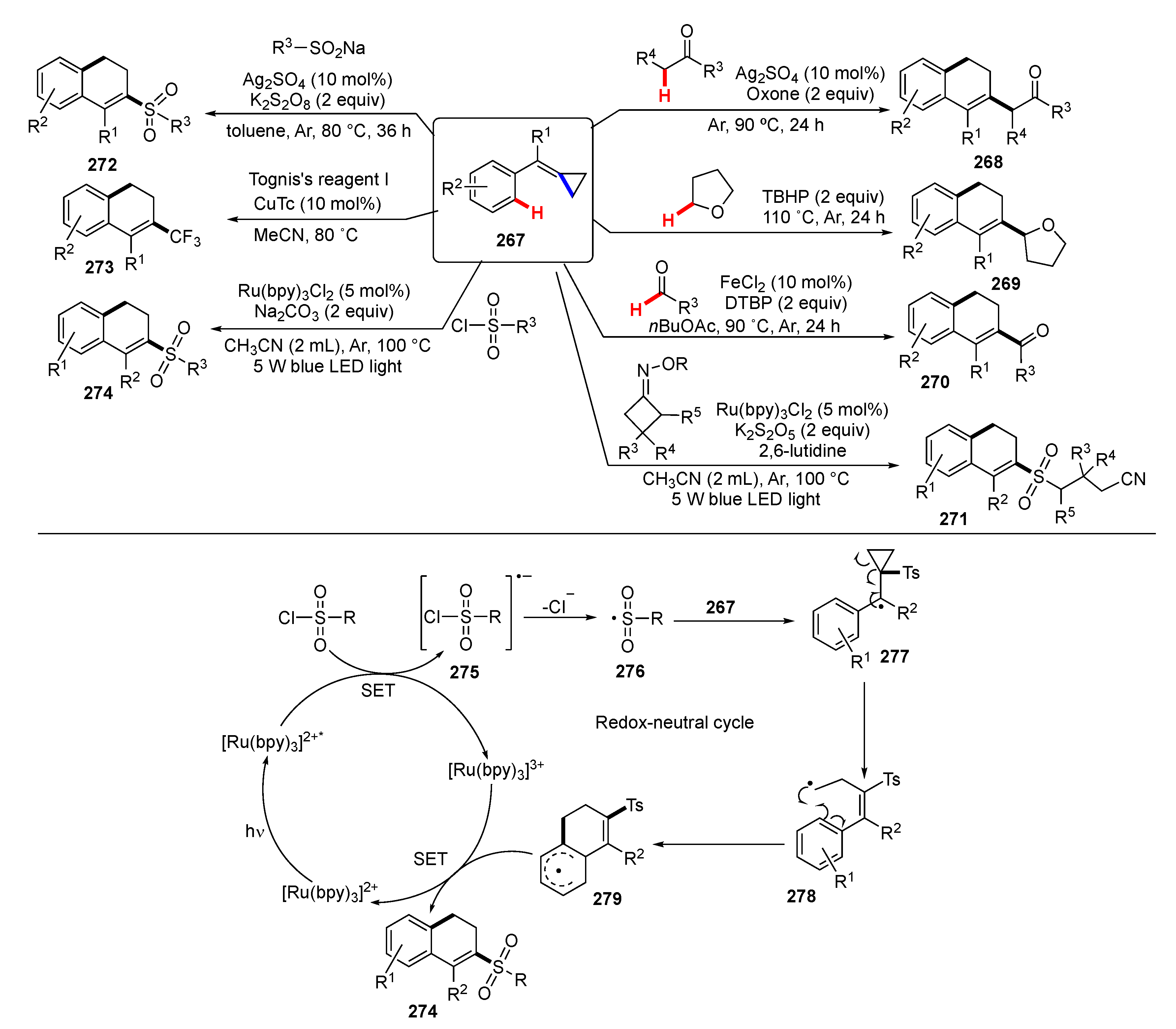
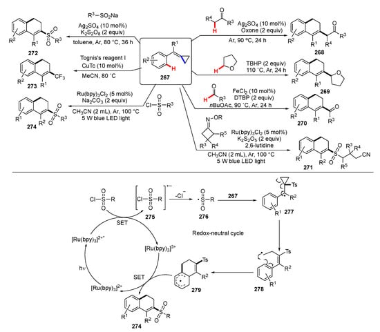
Methylenecyclopropanes (MCPs) are amenable substrates for the trapping of radicals, generating intermediates that are prone to C–C cleavage. Tang and Shi deepened in these strategies based on the attack of radical species generated in situ either chemically or photochemically (for instance CF3 [102], SCF3 [103], alkyl [104,105], acyl [106], sulfonyl [107,108] or cyanoalkylsulfonyl radicals [109]) to the exocyclic C=C bond of the MCP, generating the opening of the cyclopropyl ring and subsequent attack of the resulting alkyl radical to the aromatic ring (Scheme 34). For instance, the Ru-photocatalyzed approach to the synthesis of 3-sulfonyl-1,2-dihydronaphthalenes 274 employed (cyclopropylidenmethyl)benzene derivatives 267 and aryl or alkyl sulfonylchlorides as starting materials, in the presence of 5 mol% of [Ru(bpy)3Cl2] catalyst under blue LED irradiation. The excited Ru catalyst can act as a SET reducing agent, generating the sulfonyl radicals 276 which can add to the C=C bond of the cyclopropyliden derivative, giving rise to the benzyl radical 277. Next, strain-promoted C–C homolytic cleavage would give the alkyl radical species 278, which could subsequently attack the neighbouring aryl group. Finally, single electron oxidation by the Ru(III) species would furnish the functionalized carbocycles 274.
Scheme 34.
Derivatization routes of methylenecyclopropanes. The term [Ru(bpy)3]2+* refers to the excited state of the photocatalyst.
2.3. Reactions Promoted by Lewis or Brønsted Acids or Bases
Alternatively to the transition-metal catalysis and radical approaches described in the previous sections, the opening of strained rings can be promoted thorough the interaction of some substituents tethered to a strained ring with Lewis acids, either metallic cations or proton sources [110]. In some occasions these ring-opening processes are accompanied by additional C–H functionalization steps.
Budynina developed the [3 + 2] cycloaddition reaction of donor-acceptor cyclopropanes 280 and alkynes promoted by Lewis acids such as BF3·Et2O (120 mol%) or triflic acid (10 mol%) (Scheme 35) [111]. In this particular annulation reaction, the donor-acceptor cyclopropane behaves as a 1,3-carbodipole, where the nucleophilic site is the ortho-C–H bond of the aromatic or heteroaromatic ring present in the substrates 280. The opening of the cyclopropyl unit is triggered by the interaction of the Lewis acid with the ester groups. Next, attack of the carbocation to the alkyne followed by intramolecular attack to the aryl ring provokes the C–H functionalization, providing the indene derivatives 282.
Scheme 35.
Lewis-acid promoted C–H/C–C functionalization.
Related methodologies that exploited the Lewis acid-promoted opening of donor-acceptor cyclopropanes 287 to functionalize the C–H bond of indole cores 286 and 289 were reported by Banerjee and Tang (Scheme 36) [112,113].
Scheme 36.
Derivatization of indoles through C–H/C–C bond cleavage.
Shi et al. explored the reactivity of gem-diester substituted cyclopropenes 292 containing a pendant indole core on one of the Csp2 atoms of the strained carbocycle (Scheme 37) [114]. They uncovered a Lewis acid-catalyzed cycloisomerization reaction which outcome depended on the substitution of the second Csp2 of the cyclopropene moiety: when it included a H atom azocino[5,4-b]indoles 293a were obtained, however when it contained an aryl group tetracyclic (epiminoethano)cyclopenta[b]indole derivatives 293b were produced. The proposed reaction path involved the Boc deprotection of the indole, followed by activation of the cyclopropene ring through the Lewis acid (H+, Ag+ or Au+) coordination to the ester groups to give a cationic intermediate. Next, an intramolecular Friedel-Crafts reaction on the C2 position of the indole followed by deprotonation or demetalation would give the derivatives 293a. Interestingly, when the substrate bears an aryl group, the analogue product keeps on reacting to render the tetracyclic structure 293b.
Scheme 37.
Lewis-acid catalyzed opening of gem-diester substituted cyclopropenes.
A related Lewis acid activation of gem-diester cyclopropenes was reported by Tang et al. (Scheme 38) [115]. In this case, the reaction of dialkyl 2-bromo-3-phenylcyclopropene-1,1-dicarboxylate derivatives 298 with anilines, in the presence of a catalytic amount of Ni(ClO4)2·6H2O and 8-hydroxyquinoline ligand, led to the formation of 2,3-disubstituted indoles 299 upon a [3 + 2] annulation reaction. The replacement of anilines by tetrahydroisoquinolines as starting materials gave rise to the tricyclic indole derivatives. In addition, this methodology was implemented in a concise synthesis of Paullone, a potent kinase inhibitor.
Scheme 38.
[3 + 2] Annulation reaction involving C–H/C–C cleavage.
List and co-workers described recently an H3PO4-mediated synthesis of quinoline derivatives (Scheme 39) [116].
Scheme 39.
H3PO4-mediated synthesis of quinoline derivatives.
The reaction employed bis-Boc-protected N-aryl-N′-cyclopropylhydrazine 300 as starting materials. The reaction is initiated through the N-Boc deprotection to generate a protonated hydrazide salt 302. This species can evolve via a pseudo-sigmatropic rearrangement involving the opening of the cyclopropyl ring to deliver the iminium species 303. A re-aromatization would provide the intermediate 304, which further evolves under the experimental conditions through an intramolecular cyclization, elimination of NH3 and oxidation to give the heteroaryls 301. Depending on the conditions other N-heterocycles can be formed.
Oestreich et al. developed an interesting route to silicon-containing polycyclic structures 309 through the coupling of benzyl-substituted VCPs 307 and hydrosilanes 308 (Scheme 40) [117]. The process employed the trityl cation derivative Ph3C+[B(C6F5)4]− as an initiator to generate a silylium-ion from the hydrosylanes 308. The attack of this species to the VCP would render the β-silylcarbenium ion 310, which upon a [1,3]-hydride shift would afford the intermediate 311. The intramolecular interaction of the silylcation with the cyclopropyl ring would promote an intramolecular Friedel-Craft alkylation to render the Wheland intermediate 313, which could be deprotonated by a molecule of Et2SiH2, rendering the desired cyclic compound 309 and regenerating the active silylium-ion species.
Scheme 40.
Coupling of benzyl-substituted VCP’s and hydrosilanes.
3. Synthetic Methodology Involving C–H Functionalization Along with the Cleavage of Unstrained C–C Bonds
The scission of C–C bonds in acyclic carbon skeletons is a challenging topic since these processes lack the release of the strain present in small carbocyclic structures as a driving force. Nevertheless, this fact has not precluded the development of synthetic methods where unstrained C–C bonds are cleaved [22,118,119,120]. Furthermore, in some cases these processes have been engaged with the functionalization of C–H bonds either intra- or intermolecularly.
3.1. Reactions Involving Transition-Metal Catalyzed or Mediated Processes and Unstrained Substrates
As happens with the cyclopropyl and cyclobutyl alcohol derivatives commented in the previous section, the OH group of unstrained alcohols has served as a useful handle to induce the scission of the C–C bond through transition-metal catalysis [118,119].
For instance, Iwasaki et al. exploited the β-carbon elimination of substituted benzyl alcohols 316 in cross-coupling reactions with (Z)-β-halostyrenes 315 to get phenanthrene derivatives (Scheme 41) [121]. They employed 5 mol% of [PdCl2(PhCN)2] and 10 mol% of P(4-CF3-C6H4)3 ligand. The use of an electron poor phosphine was key to control the regioselective oxidative addition of the C–Br bond present in the halostyrenes 315 over the C–Br bond of the coupling partner 316. Two possible reaction paths were proposed according to the results of several mechanistic experiments carried out by the authors. In both of them, the formation of the alkenyl-Pd intermediate 320 would happen in first place. 320 could directly react with the benzyl alcohol 316 to afford the intermediate 321 upon C–C cleavage and reductive elimination (path a). The remaining C–Br bond present in 321 can add oxidatively to Pd(0) and further C–H activation on the neighbouring aryl group would lead to a C,C-palladacycle 323 from where reductive elimination can release the phenanthrene core 317. The path b involves a 1,4-Pd migration in 320 to give the aryl-Pd species 324. Following similar steps to the path a, the reaction with 316 would render the 2-bromobiaryl 327. Next, oxidative addition to Pd(0) and intramolecular Heck coupling with the pending alkene moiety would provide the desired polycyclic compound. The process could also be carried out as a three-component reaction by replacing (Z)-β-halostyrenes 315 by the arylbromide 319 and an alkyne.
Scheme 41.
Pd-catalyzed synthesis of phenanthrenes.
The Rh-catalyzed C-2 heteroarylation of indole derivatives 330 was developed recently by Yu and co-workers (Scheme 42) [122]. The transformation relied on the favourable generation of the five-membered rhodacycle intermediate 334. The coordination of the N-pyrimidyl group to Rh(III) in 333 promoted the β-carbon elimination over the possible β-hydrogen elimination process in the secondary alcohol moiety. The presence of pivalic acid in basic conditions favoured the metalation of heterocycles such as benzoxazoles, 5-substituted oxazoles, or benzothiazoles. Reductive elimination from intermediate 335 with concomitant C–C bond formation affords the heterobiaryls 332 in good yields and Rh(I) species. The presence of Ag2CO3 in the reaction mixture is necessary to re-oxidize the metal catalyst. The authors were able to isolate the rhodacycle 334 from the stoichiometric reaction of the substrate 330 and [RhCp*Cl2]2. This intermediate proved to be competent when used as catalyst in place of [RhCp*Cl2]2.
Scheme 42.
Rh-catalyzed heteroarylation of indole derivatives. Cp* refers to pentamethyl-cyclopentadienyl ligand.
In 2019, Ackermann tackled the use of electricity [25] in place of a stoichiometric amount of oxidant to accomplish the alkenylation of secondary and tertiary benzylic alcohols 336 (Scheme 43) [123].
Scheme 43.
Rh-catalyzed alkenylation through C–C cleavage. Cp* refers to pentamethylcyclopentadienyl ligand.
The reaction conditions involved the use of a mixture of t-AmylOH/water as solvent, KOAc as additive, and 2.5 mol% of [Cp*RhCl2]2 catalyst, in an undivided electrochemical cell containing a platinum plate cathode and a reticulated vitreous carbon (RVC) anode, at 100 °C. Mechanistically, the first steps of this transformation are similar to other reactions based on β-carbon elimination of substituted benzylic alcohols commented above. The migratory insertion of the olefin into the C–Rh bond of the rhodacycle 341 and subsequent β-hydrogen elimination allows the C–H functionalization of a range of styrene coupling partners. Notably, the presence of halogens and cyano groups was tolerated under the reaction conditions. The anodic oxidation of the Rh(I) species to regenerate the active Rh(III) catalyst avoids the generation of metal-containing by products produced when oxidants such as silver or copper salts are employed.
tert-Propargyl alcohols have successfully been used as masked terminal alkynes [124]. Wen and co-workers made use of this ability in an impressive Ru/Cu-catalyzed cascade process to synthesize pyrido[2,1-a]-indoles 346 from 1-(pyridin-2-yl)-1H-indoles 344 (Scheme 44) [125]. The overall transformation involved the cleavage of two C–H, three C–C and one C–N bonds with concomitant formation of various C–C bonds. Several mechanistic experiments revealed that Rh(III) species were responsible of the C–H activation at the 2 position of the indole moiety, while Cu(OAc)2 performed the β-C elimination of the tert-propargyl alcohol 345 to render Cu-alkynyl intermediates. The transmetalation of the alkynyl group from copper to rhodium would precede the reductive elimination of Rh(I) and C–C bond formation, to give the 2-alkynylated indole 350. The mechanistic features to reach the final pyrido[2,1-a]-indoles scaffolds from 350 could not be unveiled. Noteworthy, the replacement of tert-propargyl alcohol 345 by the corresponding terminal alkyne led to a much more extensive formation of undesired alkyne homocoupling products.
Scheme 44.
Rh-catalyzed multiple C–H and C–C bond cleavage.
Further investigation revealed that the reaction could be driven to the synthesis of 2-alkynylated indoles 352 by installing a 6-methylpyridin-2-yl directing group on the nitrogen atom of 351 [126]. Similar experimental conditions for this Ru/Cu-cooperative process were applied to get a broad substrate scope of alkynylated indoles and carbazoles (Scheme 45).
Scheme 45.
Rh-catalyzed C–H alkynylation of indole derivatives.
Li et al. described the Rh-catalyzed/Cu-mediated C–H alkynylation of 2-pyridinone derivatives 353 with propargyl alcohols under air to render 11-acylated imidazo[1,2-a:3,4-a’]dipyridin-5-ium-4-olates 355 (Scheme 46) [127]. The presence of a 2-pyridyl group in 353 promoted the coordination to Rh and subsequent C–H metalation. Alkynyl-Cu species generated upon beta-C cleavage from the propargyl alcohol are transmetallated to the Rh center, which in turn performs the C–C bond formation to give the alkynylated pyridinone 356. Under the reaction conditions, Cu(II) could activate the alkyne to undergo the intramolecular nucleophilic attack of the nitrogen atom from the pyridyl substituent, rendering the intermediate 357. The authors proposed that the reaction with molecular oxygen could afford the peroxycopper species 359, which under these oxidative conditions could evolve to the acylated heterocycle 355. The mechanistic proposal was supported by experiments carried out with H218O, where no incorporation of 18O was observed in the products 355. In addition, the substitution pattern of the propargyl alcohol coupling partner affected deeply to the yield of the process, while those secondary alcohols bearing a phenyl group worked nicely, the tertiary propargyl derivatives failed to provide the coupling product.
Scheme 46.
Rh-catalyzed C–H alkynylation of 2-pyridinone and further cascade process.
The Zhou research group developed the synthesis of 2-arylindoles via annulative coupling of N-aryl-2-aminopyridines 361 and propargyl alcohols involving a selective C–H/C–C bond activation (Scheme 47) [128]. The process required the use a Rh(III) catalyst and 2.5 equivalents of Cu(OAc)2. The proposed mechanism involved the ortho-C–H metalation of the aniline promoted by the pyridine directing group to give the rhodacycle 363. Meanwhile the C–C cleavage of the propargyl alcohol coupling partner could be accomplished by Cu(OAc)2, generating the alkynyl copper species 364. Next, the transmetalation of the alkynyl fragment to the Rh center followed by reductive elimination would form the 2-alkynylated aniline 366. Under the reaction conditions, either Rh or Cu species could activate the internal alkyne moiety in 366 through π–coordination and promote the intramolecular cyclization leading to the desired functionalized indole scaffolds. During their study, the authors were able to isolate the rhodacycle 363 intermediate. They also proved that the C–C cleavage was carried out by Cu(OAc)2, since an independent reaction of propargyl substrates 345 with this copper salt afforded the corresponding Glaser coupling product.
Scheme 47.
Rh-catalyzed synthesis of 2-arylindoles. Cp* refers to pentamethylcyclopentadienyl ligand.
Slightly different experimental conditions allowed the replacement of the tertiary propargyl alcohol by propargylic amines as suitable coupling partners where C–C cleavage could take place [129]. A range of 2-arylated indole derivatives were obtained in moderate to good yields, following a similar reaction pathway.
The C–CN bond activation constitutes an interesting approach for the use of nitriles as coupling partners [130]. Kalyani and co-workers reported a protocol for the C–H arylation of azoles 367 utilizing benzonitriles 368 as the arylating reagents (Scheme 48) [131]. The reaction was carried out employing a 20 mol% of [Ni(COD)2]/dcype as catalyst. These arylations proceed through the oxidative addition of the benzonitrile to Ni(0) to give the aryl-Ni species 370, followed by C–H activation of the azole core, and reductive elimination with C–C bond formation.
Scheme 48.
Ni-catalyzed arylation of azoles.
Liu reported an approach for direct C3–H cyanation of N-protected indoles utilizing MeCN as the cyanide source (Scheme 49) [132]. The transformation required the use of 5 mol% of PdCl2, stoichiometric amounts of Cu(OAc)2 and AgOTf as oxidants, along with 1 equiv. of p-nitrobenzoic acid, under oxygen atmosphere. Under these oxidative conditions MeCN could form in situ the copper cyanide complex 376 which could transmetallate to a 3-palladated indole intermediate 375 previously formed through C–H activation. The C-3-cyanation of indoles utilizing MeCN had been previously explored by Shen, although in that case the C3–H was halogenated in situ by adding stoichiometric I2 to the reaction mixture [133].
Scheme 49.
Pd-catalyzed C3–H cyanation of N-protected indoles.
A powerful strategy to merge C–H and C–C cleavage relies on the use of properly designed coordinating groups to assist either the cleavage of the C–C or the C–H bond, or both [120]. In 2016, Dong’s group reported the Rh-catalyzed synthesis of tetralones 379 via the selective proximal C–C cleavage of cyclopentanones cores 378 [134]. One year later, a finely tuned 2-amino pyridine ligand enabled them to promote the selective cleavage of the distal C–C bond over the proximal one, hence getting the spiroindanones 384 in good yields from ring-fused cylopentanones 383 (Scheme 50) [135]. The key features of this transformation relay on the transient formation of an imine through the condensation of the ketone with the substituted 2-aminopyridine. The imine group in 385 serves as a temporal directing group to promote the C–C activation by Rh(I) which can further promote the C–H activation of the neighbour aryl ring to form the intermediate 387. Protodemetalation of the initial alkyl-Rh bond and reductive elimination with formation of the aryl–acyl bond renders the spirocyclic derivative 384. The distal C–C cleavage selectivity is due to the higher steric hindrance exerted by the 6-substituted pyridine ligand in the transition state.
Scheme 50.
Rh-catalyzed synthesis of cyclopentanones.
In 2018 Engle and collaborators developed an interesting approach for the functionalization of strong Csp3–heteroatom and Csp3–Csp3 bonds by means of a Pd-catalyzed Csp3–H activation/β-group elimination cascade (Scheme 51) [136]. The procedure involved the use of 8-aminoquinolyl amide substrates 388 bearing a heteroatom-based or carbon-based leaving group at the γ-position of the aliphatic chain, 10 mol% of Pd(OAc)2, and 50 mol% of 1-Ada-COOH, along with the presence of a nucleophile such as N-methyl indole. The authors took advantage of the good ability of 8-aminoquinolyl amide directing group to promote a Csp3–H palladation, rendering the C,N,N-pincer type intermediates 390. Under the reaction conditions, the β-carbon elimination of a carbon-based leaving group containing two carbonyl moieties could take place to render the alkenyl derivative 391. The π-coordination of the olefin to Pd(II) promoted its activation towards the nucleophilic attack of N-methylindole, giving a new C,N,N-pincer Pd(II) complex 392, which in turn could undergo a protodepalladation step to render the functionalized product and the active Pd(II) catalytic species. Albeit the yields obtained with the substrates bearing C-based leaving groups were lower compared to other heteroatom-based ones, the overall process highlight the activation of sterically hindered C–C bonds in unstrained systems.
Scheme 51.
Pd-catalyzed remote C–C functionalization through C–H activation.
Related to Engle’s work, a stoichiometric study on the Pd-mediated Csp3–H activation/Csp3–Csp3 bond cleavage on 8-aminoquinolyl amide substrates 393 was reported by Lautens, García-López and co-workers (Scheme 52) [137]. C,N,N-pincer palladacycles 397, obtained upon Csp3–H activation of substrates 393 by reaction with Pd(OAc)2, reacted with carbene precursors such as diazocarbonyl compounds 394. The migratory insertion of the carbene moiety into the Pd–C bond present in 398 did not lead to the expected β-hydrogen elimination. Instead, the reaction evolved through the scission of the Csp3–Csp3 bond, hence giving rise to the olefines 395/395′. The inertness nature of the Pd species produced upon the release of the coupling product precluded the development of a catalytic procedure. Mechanistic experiments and DFT calculations showed that the migratory insertion of the carbene and the C–C cleavage might occur in a concerted asynchronous process. Noteworthy, the overall reaction represents the splitting of an unstrained aliphatic chain.
Scheme 52.
Pd-mediated C–H and C–C functionalization.
Kakiuchi and co-workers described the direct alkenylation of allylarenes 399 bearing a directing group (2-pyridyl or pyrazolyl moieties) in ortho-position (Scheme 53) [138]. The reaction was catalyzed by [Cp*RhCl2]2 and required the use of EtOH as solvent. The process would start with Rh–H, generated in situ from the EtOH solvent. Hydrometalation of the allyl fragment would provide the alkyl species 404, where a β-C elimination would give the rhodacycle 405. Exchange of the coordinated olefin by the substrate 401, migratory insertion into the Rh–C bond, and β-H elimination would be the next steps in the catalytic cycle. In contrast to other Rh-catalyzed reactions where the β-C elimination occurs from alkoxide complexes, in this methodology this step happens directly from alkyl species 404. This methodology has been extended to the use of alkenylarenes 400 in place of the allyl derivatives 399 [139].
Scheme 53.
Rh-catalyzed alkenylation of allylarenes. Cp* refers to pentamethylcyclopentadienyl ligand.
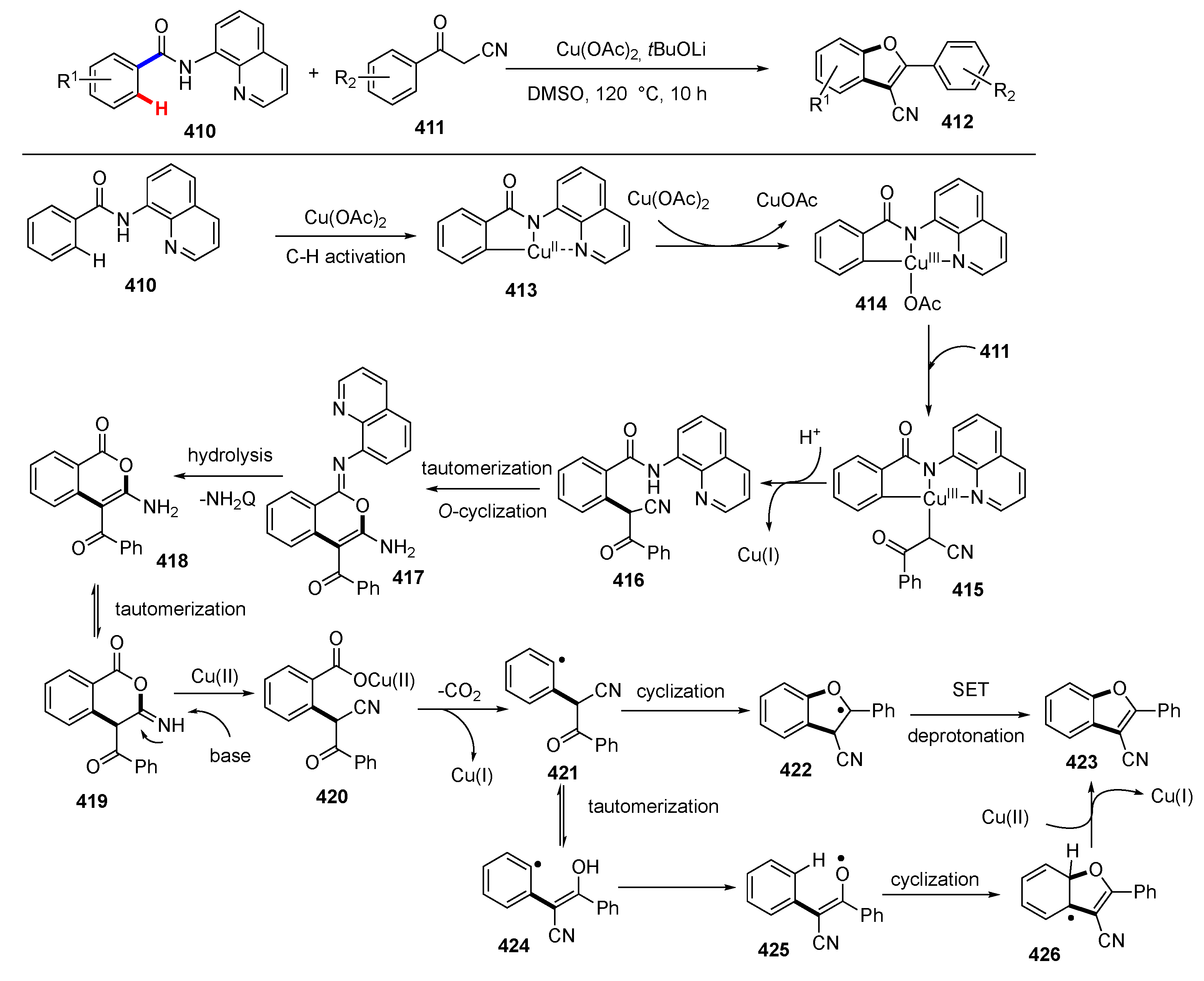
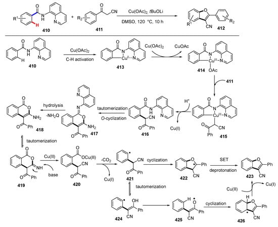
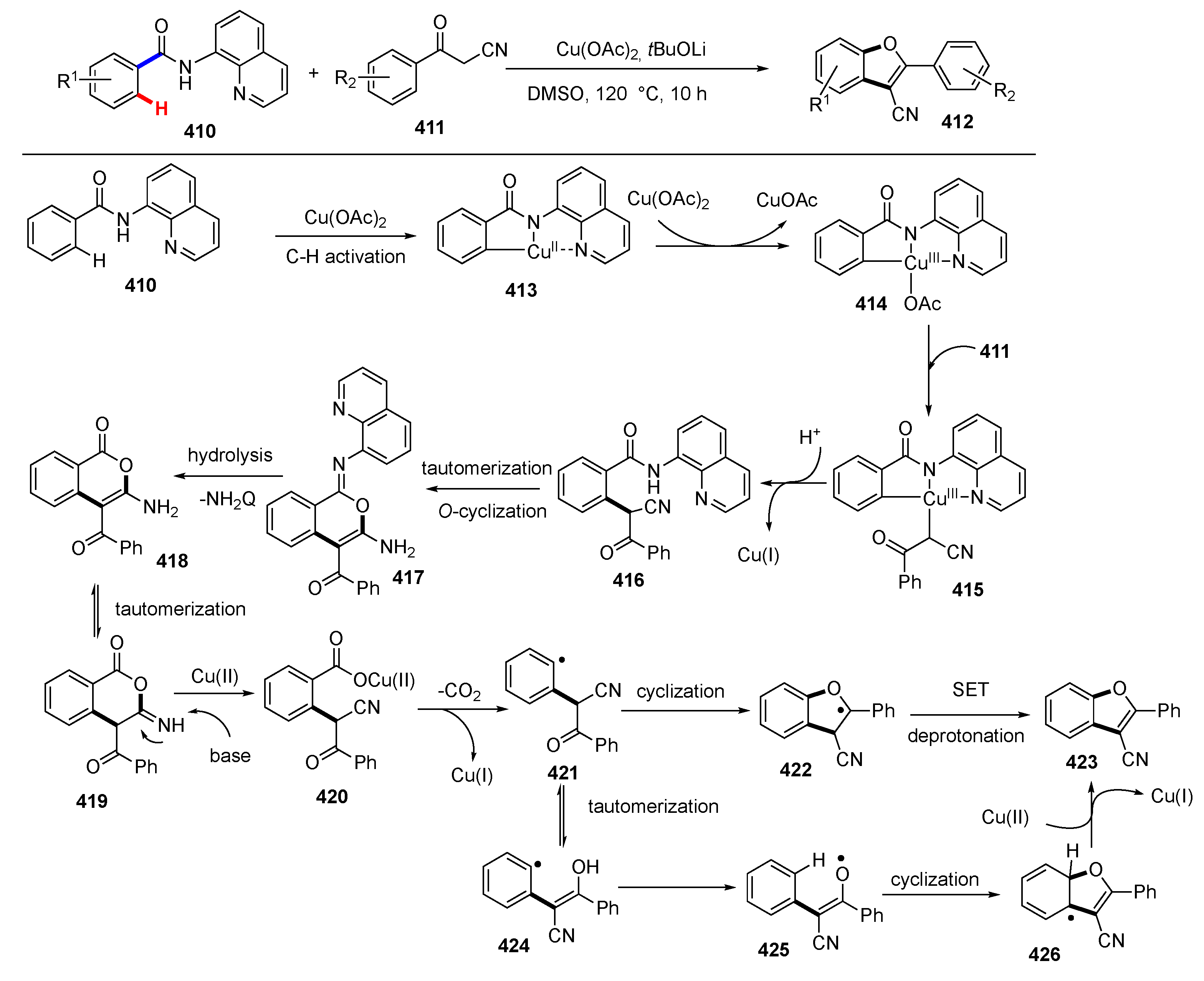
Zhang et al. described a Cu(II)-mediated cascade coupling of benzamides with benzoylacetonitriles to access 2-aryl-3-cyanobenzofuran derivatives 412 (Scheme 54) [140]. The reaction utilized benzamides containing the 8-aminoquinoline moiety as traceless directing group. The proposed mechanism involves the directed ortho-C–H metalation of 410 to give the C,N,N-Cu(II) pincer complex 413. Disproportionation of 413 with an equivalent of Cu(OAc)2 would give the Cu(III) intermediate 414. Benzoylacetonitriles could act as nucleophilic coupling partners, bonding to the metal and undergoing the C–C bond formation to release 416. A series of tautomerization and hydrolysis events would give the carboxylate 420, which in turn would undergo the loss of CO2 to generate an aryl radical. Further intramolecular cyclization and oxidation would furnish the functionalized benzofuran cores.
Scheme 54.
Cu-mediated synthesis of 2-aryl-3-cyanobenzofuranes.
In 2020 Yi et al. explored the Ru-catalyzed alkylation of indoles in the C3-position of the ring through the coupling of 1,2-disubstituted indoles 427 and both saturated and unsaturated ketones and aldehydes (Scheme 55) [141]. The process involved the activation of the Cα–Cβ bond present in the carbonyl coupling partner. The experimental conditions required the presence of molecular hydrogen (or isopropanol to generate it in situ) in order to promote the hydrogenolysis of the C–C bond. The authors carried out several deuterium labelling experiments, measured the carbon kinetic isotope effect, and isolated some organometallic intermediates to propose a suitable mechanistic pathway. The reaction would start with the generation of the complex 432 upon ligand exchange in the catalyst 431 with the indole substrate. Then, the conjugated addition of the indole to the enone moiety would produce the alkylation of the indole core at the 3 position. Next, the metal center could coordinate to both the indole and the ketone groups to then promote the hydrogenolysis of the Csp3–Csp3 bond in 434. The exchange of the functionalized indole by a new molecule of substrate would re-start the catalytic cycle. Saturated carbonyl substrates could also be utilized in this reaction, since the Ru catalyst could perform an in situ dehydrogenation step prior to the coupling with the indole substrate. Furthermore, no external source of hydrogen is required in this case.
Scheme 55.
Ru-catalyzed C3–H alkylation of indoles.
Cui’s group has investigated a Ru-catalyzed synthetic route to 3-(alkoxyalkyl)-1H-indoles 438 from pyrazolidinones 436, 2-acetylenic ketones 437, and alkyl alcohols (Scheme 56) [142].
Scheme 56.
Ru-catalyzed synthesis of 3-(alkoxyalkyl)-1H-indoles.
The mechanistic path starts with the pyrazolidinone-directed C–H metallation, followed by migratory insertion of the acetylenic fragment to give the intermediate 440. Oxidative addition of the N–N bond to Ru(II) and further reductive elimination afforded the indole core 442. The cleavage of the C–C bond was assisted by NaOAc, releasing a 1,3-cyclopentadione leaving group. Final nucleophilic attack of the alcohol would provide the functionalized indole scaffolds 438.
An alternative strategy to merge C–H and C–C cleavage relies on the transition-metal catalyzed functionalization of a C–H bond with an unsaturated coupling partner, to further promote a C–C scission through a retro-Diels Alder, retro-Claisen, retro-aldol or retro-Friedel-Craft reaction.
Li and Ackermann simultaneously reported similar conditions for a Mn(I)-catalyzed C–H allenylation of N-pyridyl-2-pyridones 446 with propargyl carbonates 447 (Scheme 57) [143,144]. Upon directed metalation, the migratory insertion of the alkyne into the Mn–C bond led to the alkenyl intermediate 451, which evolved via β-oxygen elimination to give allenyl derivative 452. Next, intramolecular Diels-Alder reaction involving the pyridine ring, and subsequent C–C cleavage via retro-Diels-Alder furnished the N-heterocycles 448. The approach was also applicable to N-pyrimidylindoles. Noteworthy this route utilizes pyridyl and pyrimidyl moieties as transformable directing groups.
Scheme 57.
C–H activation/retro-Diels-Alder cascade.
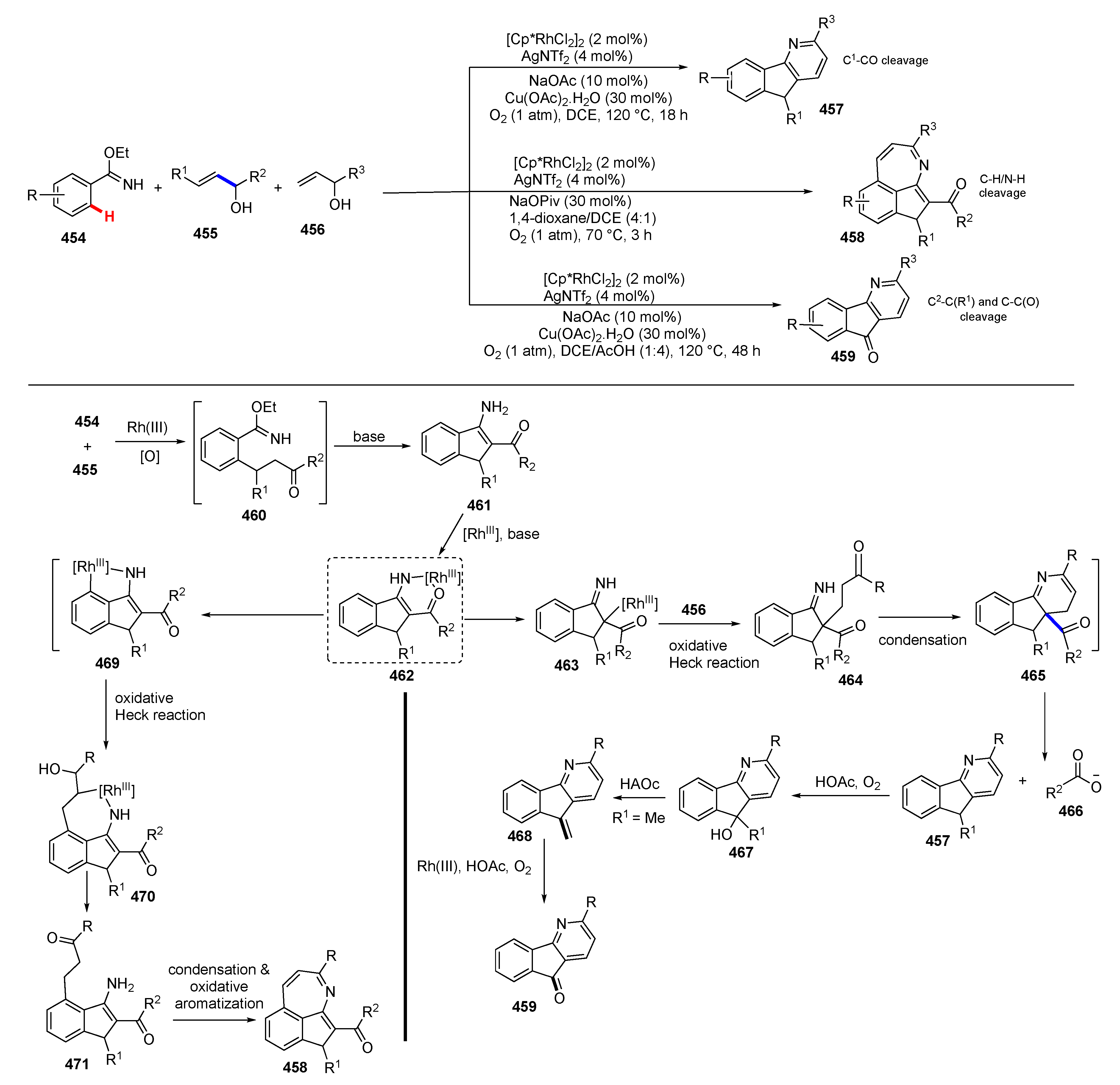
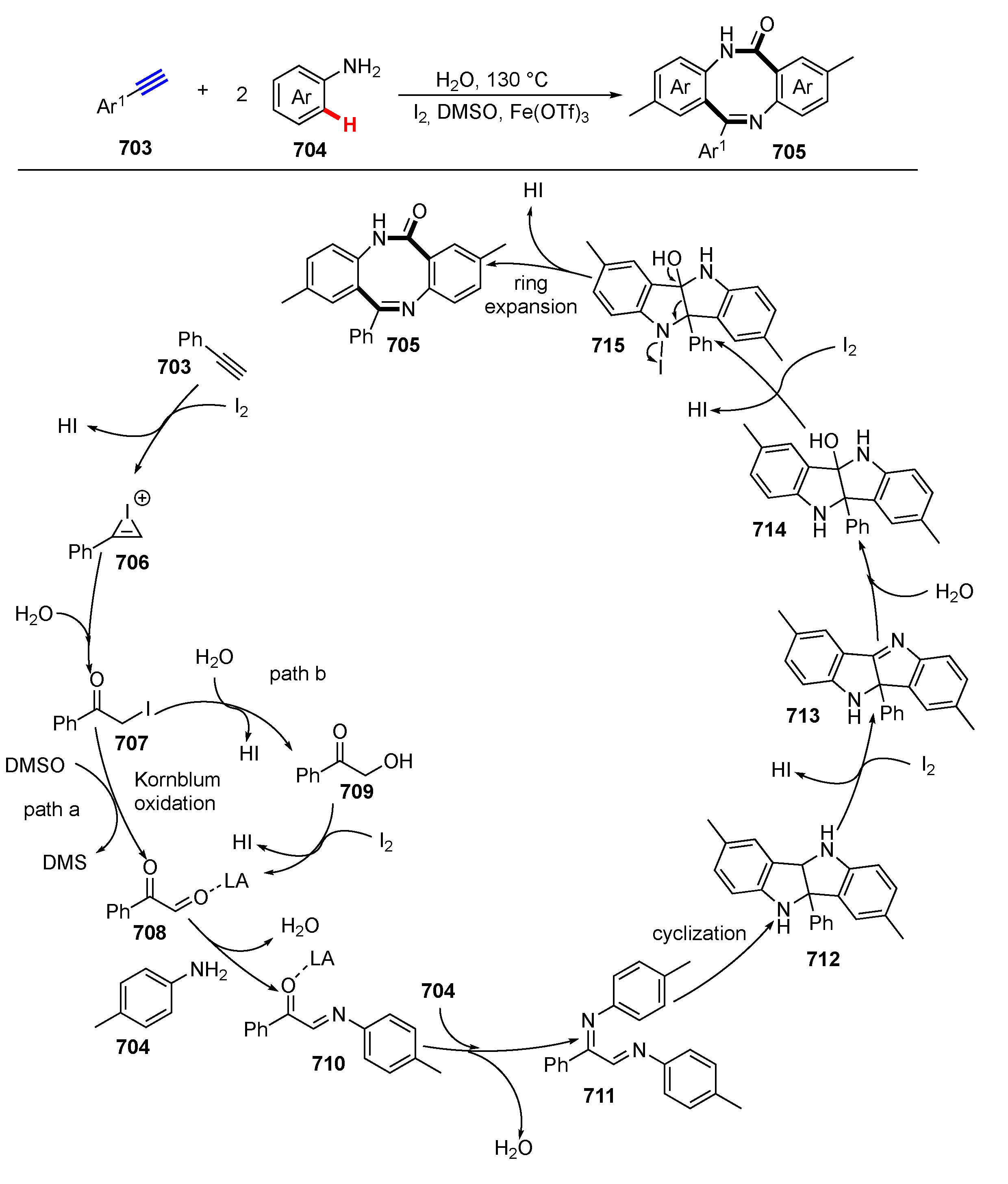
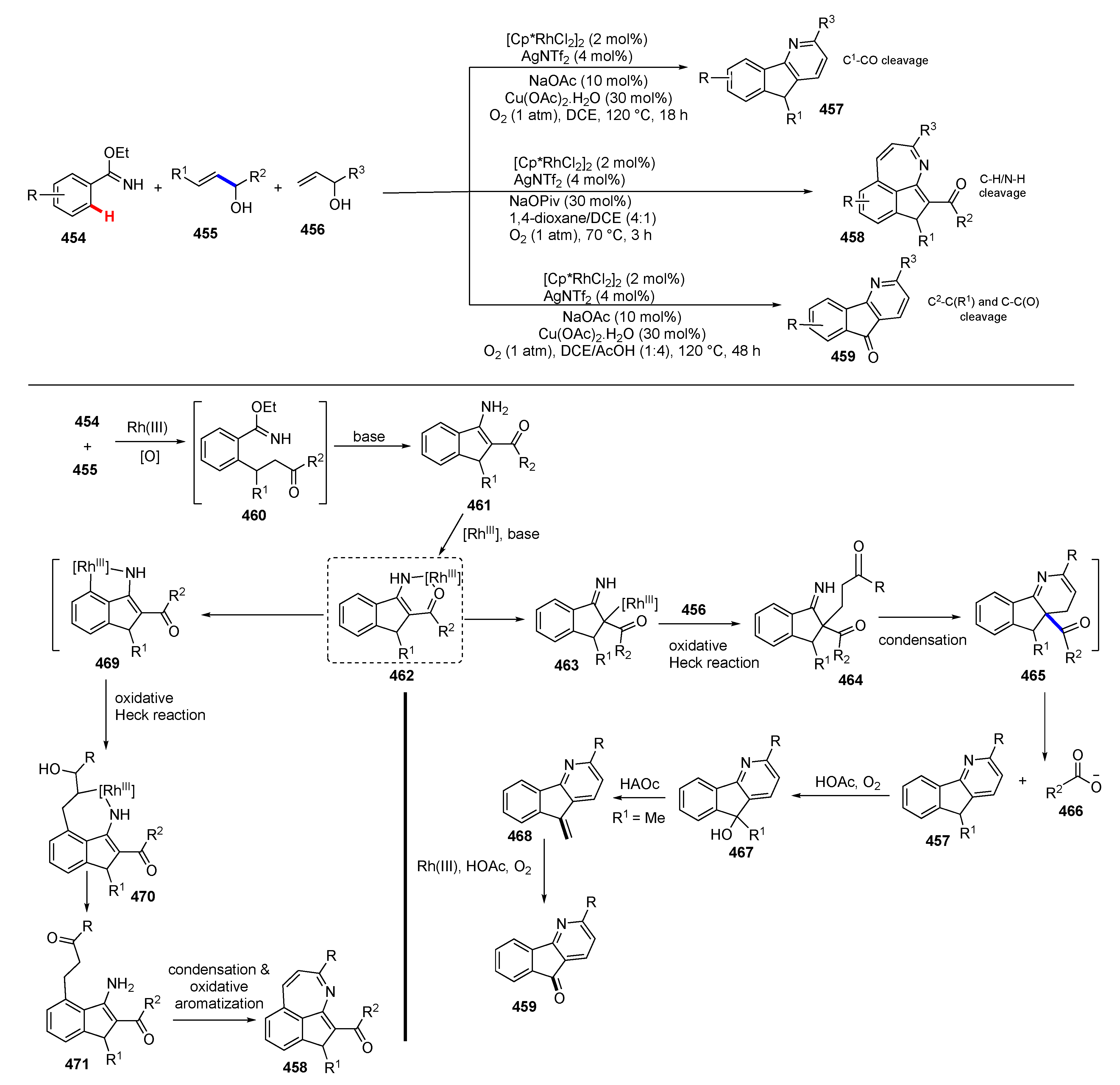
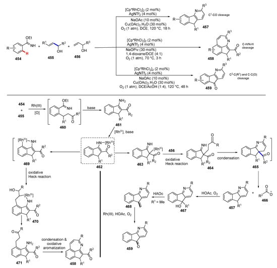
The Li group reported the synthesis of fused pyridines 457, azepines 458 and azafluorenones 459 through the Rh-catalyzed coupling of imidates 454 and allylic alcohols (Scheme 58) [145]. The divergent cascade process was controlled by the experimental conditions, while the use of O2 as oxidant in 1,4-dioxane/DCE at 70 °C afforded the azepines 458 as a the result of double C–H activation and coupling with allylic alcohols 455, the presence of Cu(OAc)2 at 120 °C afforded the pyridine derivatives 457 as a result of a C–H/C–C cleavage sequence. The proposed mechanism involves the amidate group-directed metalation of 454 and coupling with 455 to give the intermediates 460, which under the reaction conditions can cyclize to afford the indene species 461. Then, the coupling with a second molecule of the allylic alcohol and condensation would render the cyclic product 465. Next, a re-aromatization induced C–C(O) cleavage, or a retro-Claisen reaction renders the fused pyridines 457 and the corresponding carboxylate by-product. Furthermore, if acetic acid was added to the reaction set, the products 457 were oxidized to the azafluorenones 459.
Scheme 58.
Divergent cascade leading to pyridines, azepines and azafluorenones. Cp* refers to pentamethylcyclopentadienyl ligand.
Gooßen explored the rhodium-catalyzed annulation of ortho- or meta-substituted benzoic acids with α,β-unsaturated ketones 473 to give indanone derivatives 474 (Scheme 59) [146]. The process involved the insertion of the olefin into the Rh–C bond of 475, previously fromed via concerted metalation-deprotonation from the free carboxylic acid 472. The alkyl-Rh bond present in the intermediate 477 acts as an intramolecular nucleophile to replace the OH group from the acid, rendering the 1,3-dicarbonyl intermediate 478. The optimized reaction conditions include In(OTf)3 which acts as a Lewis acid that promotes a retro-Claisen reaction where the C–C(O) bond is splitted to give the alkylated indanone core 474.
Scheme 59.
Rh-catalyzed synthesis of indanones. Cp* refers to pentamethylcyclopentadienyl ligand.
Li and co-workers reported the synthesis of seven- and eight-membered carbocycles through a Mn(I)-catalyzed C–H activation of N-2-pyrimidyl substrates 479 (Scheme 60) [147]. The approach relied on the generation of the metallatated intermediate 482, which could insert into the alkyne moiety present in the coupling partner 480. An intramolecular addition to the carbonyl group would afford the cyclobutanol intermediate 484, which would evolve through a retro-aldol reaction under the experimental conditions, providing the desired carbocycles 481.
Scheme 60.
Mn-catalyzed synthesis of medium-size carbocycles.
Wang et al. disclosed a Rh(III)-catalyzed route to cyclopenta[b]carbazoles 487 through the coupling of 3-amide substituted indoles 485 and 1,3-diynes 486 (Scheme 61) [148]. Building up on the possibility to remove ketone substituents located at the 3-position of indole cores via retro Friedel-Crafts reaction previously described by Shi et al. [149], Wang employed an N,N-dimethylamide substituent to act as a traceless directing group for the C2–H activation of the heteroaromatic ring and to promote the C3-functionalization through the C–C cleavage of this group. The mechanistic proposal involves the formation of rhodacycle 488 upon C–H activation by cationic Rh(III) species generated in situ from the reaction of [Cp*RhCl2]2 and AgSF6. Next, the coordination of the diyne and migratory insertion of one the triple bonds into the C–Rh bond affords intermediate 490. Subsequently, the de-aromatization of the indole core would give rise to the C,C-rhodacycle 491. Retro-Friedel-Craft reaction with an acetate anion allows the re-aromatization of the heteroarene and the C–C cleavage process, leading to a new organometallic intermediate where the remaining tethered alkyne moiety can undergo migratory insertion. Finally, reductive elimination would form the cyclopenta[b]carbazoles 487 and Rh(I). The use of 2 equiv. of AgOAc is necessary to restore the active Rh(III) species.
Scheme 61.
Rh-catalyzed synthesis of cyclopenta[b]carbazoles. Cp* refers to pentamethylcyclopentadienyl ligand.
The synthesis of phenanthridines 496 by means of a Ru-catalyzed coupling of 2-phenylaniline 494 with acrylonitrile was reported by Baidya et al. (Scheme 62) [150]. The process relied on the amino group directed C–H metalation, with subsequent olefin insertion to give an alkenyl derivative 499 that, under the reaction conditions, would suffer an intramolecular Michael addition to produce the intermediate 500. The authors proposed that the coordination of the Ru catalyst to heterocyclic intermediate might facilitate a carboxylate-assisted deprotonation with MeCN elimination to furnish the observed 6-unsubstituted phenanthridines 496.
Scheme 62.
Ru-catalyzed synthesis of phenanthridines through MeCN elimination.
Cheng’s and Zhou’s respective groups independently described the synthesis of isocoumarines 502 through the Ru-catalyzed C–H/C–C activation of sulfoxonium ylides 501 (Scheme 63) [151,152]. The proposed path starts with the ketone-directed C–H metalation followed by trapping of the resulting metallacycle 503 by a second molecule of sulfonium ylide. The release of DMSO would provoke the generation of a carbene within the coordination sphere of the metal. Next, migratory insertion and protodemetalation would render the ortho-alkylated intermediate 506. Under the basic reaction conditions, an intramolecular cyclization results in the scission of the ylide C–C bond and the formation of the isocoumarin core 502.
Scheme 63.
Ru-catalyzed synthesis of isocoumarines.
Liu et al. disclosed the unexpected route to 9,10-phenanthraquinones 509 as the result of the reaction of o-aryl chalcones 508 with 10 mol% of metallic copper and 2 equivalents of Selectfluor in a MeCN/H2O mixture (Scheme 64) [153]. The proposed mechanism involves the oxycupration of 508 carried out by Cu–OH species generated in the reaction mixture. A C–H activation on the o-aryl group and subsequent C–C coupling would afford the species 512, where a β-C elimination followed by sequential oxidative steps would furnish the 9,10-phenanthraquinones 509. Experiments with 18O labelled water proved that this was the source from where oxygen incorporation to the organic skeleton took place.
Scheme 64.
Cu-catalyzed synthesis of 9,10-phenanthraquinones.
Tobisu’s group found that the reaction of N-heterocycles such as quinoline or quinoxaline with stoichiometric amounts of [IrCl(COD)]2 and imidazolium salts 515 led to the formation of the 2-arylated heterocycles 517 (Scheme 65) [154]. The reaction involved the cleavage of the C–N and C–C bonds present in the imidazolium ligand. The proposed path implies the oxidative addition of the Me–Ar bond to Ir(I) to give the intermediate 519, which could then perform the C–H activation of the heterocycle. Reductive elimination would give rise to the complex 521, which further and not yet completely elucidated evolution would provide the 2-arylated products 517.
Scheme 65.
Ir-mediated arylation of heterocycles.
3.2. Reactions Involving Radical Intermediates
As in the case of transition-metal catalyzed reactions, functionalized alcohols have served as a versatile platform to implement synthetic methodologies based on the generation of radical intermediates [155,156,157], either through the use of radical precursors or via photochemistry.
For instance, Zhu and co-workers developed the heteroarylation of Csp3–H bonds located at γ-positions in the tertiary alcohol substrates 522 (Scheme 66) [158]. The authors employed Ir[(dF(CF3)ppy)2(dtbbpy)]PF6 photocatalyst, K2S2O8 as oxidant, and nBu4NCl additive, in a mixture of PhCF3/H2O as solvent under blue LED irradiation. The proposed mechanism involves the initial generation of the alkoxyl radical 524 through a proton-coupled electron transfer (PCET) carried out by the oxidized Ir(IV) catalyst at room temperature. Next, 1,5-hydrogen atom abstraction (HAT) would afford the alkyl radical intermediate 525. This radical would attack to the heteroaryl ring, promoting the homolytic cleavage of the C–C bond which results in the aryl migration and the generation of the radical 526. Finally, single electron oxidation and deprotonation would afford the γ-heteroarylated ketone. Several heteroaryl rings such as benzothiazole, thiazole or pyridine were studied in the scope of the reaction. The mild conditions to generate the alkoxyl radical compared to other non-photocatalytic methods allowed a broad tolerance to functional groups such as halides, alkenes or alkynes.
Scheme 66.
Ir-catalyzed remote C–H arylation.
The same group further explored the possibilities to combine C–H and C–C functionalization processes in alkynyl tertiary alcohols 528 (Scheme 67) [159]. As in their previous work, they used a photochemical approach to carry out the reaction. However, this time the process did not relay on the generation of an alkoxyl radical but a cabon-centered radical. The synthetic strategy consisted in the photocatalyst-promoted formation of a radical arising from a coupling partner, for instance a CF3· radical delivered by Togni’s reagent II, which would add regioselectively to the alkyne moiety, rendering the alkenyl intermediate 531. This species would evolve through 1,5-HAT giving the new radical intermediate 532 bearing a pending olefine. This step would be favoured given the higher bond energy dissociation of an olefinic Csp2–H bond compared to a Csp3–H one present in the alkyl group. The double C–C bond can then act as an acceptor of the alkyl radical, producing the cyclopentanol intermediate 533. Next, the homolytic cleavage of the cyclic Csp3–Csp3 bond affords the species 534 with the generation of a substituted alkene with E configuration. Finally, single-electron oxidation and deprotonation renders the functionalized ketone 529 containing the pending olefine. Other coupling partners to generate the initial radical moiety could be employed under similar conditions, for instance mono- or difluoroalkyl radical precursors such as BrCHFCO2Et or BrCF2CO2Et. Perfluoroalkylsulfinates could also be used in the reaction, but the generation of the corresponding perfluoroalkyl radical was carried out with the assistance of phenyliodide bis(trifluoroacetate) (PIFA).
Scheme 67.
Ir-catalyzed remote C–H functionalization.
Zhu extended this photochemical C–H/C–C cleavage of alkynyl tertiary alcohols 528 by utilizing sulfonylchlorides as suitable substrates to generate sulfonyl radicals that could engage in the cascade reaction via similar reaction mechanism to give the derivatives 530 (Scheme 67) [160].
Wu described the synthesis of E-vinyl sulfones 537 through 1,5-HAT in the presence of SO2 generated from sodium metabisulfite (Scheme 68) [161]. Under the experimental conditions the aryl diazonium salts decomposed to the aryl radicals, which in turn could attack SO2 to give a sulfonyl radical. The addition of this radical to the alkyne moiety present in the substrates 535 evolved through 1,5-HAT. Similar evolution as commented above for other radical precursors furnished the functionalized sulfones 537.
Scheme 68.
Radical C–H/C-C cleavage leading to sulfone derivatives.
Jiang et al. developed the synthesis of α-alkynyl ketones 540 through the 1,2-migration of the alkynyl moiety promoted by a radical pathway (Scheme 69) [162]. The process took place under air at 120 °C, and involved the use of 1,4-alkynyl substrates such as 538, 10 mol% of FeCl2, DTBP (4 equiv) and a cycloalkane acting as both solvent and coupling partner. The reaction would be triggered by Fe(II)-mediated decomposition of DTBP, generating a tBuO· radical which is able to abstract an H atom from the cycloalkyl substrate. Then, the cycloalkyl radical would add selectively to the terminal carbon of the olefin moiety, rendering the new radical intermediate 542. Next, a 3-exo-dig cyclization and subsequent alkynyl migration via Csp2–Csp3 cleavage leads to the intermediate 544. Finally, single electron oxidation of this species and deprotonation afford the functionalized ketone 540. The formation of products 540 was not observed when the reaction was run in the presence of TEMPO as a radical scavenger, supporting a radical pathway for this transformation. Remarkably, 3-exo-dig cyclizations are considered unfavourable according to Baldwin rules, but in this case the proper design of the substrate forced this type of cyclization due to the initial generation of tertiary radical 542, more stable than the primary one arising from reverse cycloalkyl radical addition to the olefine moiety present in 538. Previous work [163] on alkynyl migration of alkynols were limited to 5- or 6-exo dig cyclizations.
Scheme 69.
Radical C–H/C–C cleavage leading to functionalized ketones.
A complementary approach to promote the C–C cleavage through radical ipso-migration of tertiary alcohols was described by Li and co-workers (Scheme 70) [164]. In this case, acyl radicals generated from benzaldehyde in the presence of FeCl2 and di-tert-butyl peroxide could evolve through the attack to the tethered olefin moiety in substrates 546. Similar evolution as described above would produce the heteroaryl ring migration to afford the diketones 548.
Scheme 70.
Coupling of olefin-tethered alcohols and benzaldehydes.
Ghosh explored a transition-metal free regioselective alkylation of quinoline N-oxides 553 using tertiary and secondary alcohols as alkylating reagents (Scheme 71) [165]. The strategy relied on the oxidative alkyl group migration through C–C bond cleavage promoted by hypervalent iodine reagents such as PhI(OAc)2 (PIDA). The proposed pathway starts with the replacement of an acetate group by the alcohol coupling partner. The remaining acetate group on the iodine atom is then replaced by the N–oxide group, giving the intermediate 558. Homolytic C–C cleavage of the alcohol with elimination of a ketone fragment and iodobenzene, followed by deprotonation, furnishes the 2-alkylated product 555. The N-oxide moiety proved crucial for the success of the coupling, since free quinolines did not undergo the alkylation process under similar conditions.
Scheme 71.
PhI(OAc)2-mediated radical alkylation of quinoline N-oxides.
Liu and co-workers found that the alkylation of N-heterocycles could be carried out not only with tertiary and secondary alcohols, but also with primary ones (Scheme 72) [166]. The key was the use of more electron deficient hypervalent iodine species such as [bis(trifluoroacetoxy)iodo]benzene (PIFA) under blue LED irradiation. This way, the homolytic C–C cleavage could afford the alkyl radical that would further attack the N-heterocycle. The scope of this reaction includes sugars and steroids as alkylating agents and a variety of N-heterocycles 560 such as quinolines, quinoxalines, phthalazines, or phenathridine among others.
Scheme 72.
PIFA-mediated radical alkylation of N-heterocycles.
Xia described a UV-light mediated alkene difunctionalization through aroyl radical addition (Scheme 73) [167]. They found that the aroyl radicals generated upon the C–C cleavage of benzoins 565 under UV-light irradiation could be efficiently trapped by alkenes tethered to an aryl group. The outcome of the reaction was highly dependent on the structure of the olefin coupling partner. While acrylamides 563 gave the oxindole derivatives 566 upon attack of the alkyl radical 569 to the aryl ring, the cinnamic amides 564 led to the open-chain amides 567, through a 1,2-H shift and C–N bond cleavage.
Scheme 73.
UV-mediated aroyl radical generation from benzoins.
Parallelly to the use of the strained cyclobutanone oxime precursors of iminyl radicals discussed above, the analogue open chain derivatives have been utilized as building blocks to promote C–C scission along with C–H functionalization. For instance, Chen et al. engaged Ir-photoredox and Pd catalysis for the C–H acylation of 2-arylpyridines 575 [168]. The protocol utilized the ability of fac-Ir(ppy)3 to generate iminyl radicals from α-keto oxime esters 576, which in turn generated acyl radicals upon C–C cleavage (Scheme 74). The acyl radicals could be trapped by palladated 2-arylpyridines 579, previously formed via C–H activation. The resulting Pd(III) species could undergo a SET oxidation by the Ir(IV) oxidized photocatalyst to give a Pd(IV) intermediate. Reductive elimination would render the acylated products 577 and restore the Pd(II) active catalyst.
Scheme 74.
Pd-catalyzed C–H acylation of 2-arylpyridines. The term *fac-IrIII(ppy)3 refers to the excited state of the photocatalyst.
Wu and co-workers studied a related photochemical C–C/C–H functionalization utilizing oxime ester derivatives 576 (Scheme 75) [169]. The presence of a radical acceptor such as acrylamides 563 in the reaction mixture affords the intermediate 582. The attack of the alkyl radical fragment to the aromatic ring followed by further single electron oxidation and deprotonation gives rise to the alkylation of the C–H bond. The authors proved that oxime esters bearing O-benzoic or O-acetic moieties were competent to promote the N–O bond cleavage. Moreover, a range of alkyl- and aryl- substituents on the carbonyl group rendered good yields of the coupling products arising from the respective alkyl- or aryl-acyl radicals.
Scheme 75.
Ir-photocatalyzed synthesis of functionalized oxindoles. The term [IrIII]* refers to the excited state of the photocatalyst.
The Guo’s research group reported the synthesis of oxindole cores bearing a carbonyl group through the addition of acyl radicals to N-arylacrylamides (Scheme 76) [170]. The generation of the acyl radical was carried out from the homolytic scission of the Csp2–Csp2 bond of α-diketones 585, promoted either by tert-butyl hydroperoxide or oxone. Both aryl/aryl or alkyl/alkyl- substituted diketones performed well in the reaction.
Scheme 76.
Radical synthesis of functionalized oxindoles from α-diketones.
Liu et al. described the C2-acylation of N-(2-pyrimidyl)indoles 588 utilizing α-diketones 585 as acylating reagents [171]. The reaction involved the use of 5 mol% of Pd(OAc)2 as catalyst and TBHP to promote the homolytic cleavage of the CO–CO bond present in the diketone coupling partner (Scheme 77). The reaction was initiated by the C2–H metalation assisted by the pyrimidyl group. The palladacycle 590 could trap the acyl radical to give a Pd(III) or Pd(IV) intermediate. Finally, the C–C coupling would render the desired 2-acylated indole derivatives.
Scheme 77.
Pd-catalyzed acylation of indoles.
Some methodologies relying on radical intermediates exploit intramolecular 1,2-aryl migration processes to promote the homolytic cleavage of C–C bonds. In 2016, Zhao and co-workers [172] deepened on the study of their previously reported work about hypervalent iodine-promoted synthesis of 3-arylquinolin-2-ones from cyclic amides [173]. In this transformation an oxidative annulation involving the C–H bond in ortho-position to the amide group in substrates 564, and a 1,2-aryl migration took place to deliver the structures 592 (Scheme 78).
Scheme 78.
Hypervalent iodine-promoted 3-arylquinolin-2-ones.
Liang et al. exploited a radical aryl migration strategy for the dual functionalization of a C–H and a C–C bond in N-propargylindole substrates 601 (Scheme 79) [174]. The reaction conditions involved the use of TsNHNH2, Cu(NO3)2·3H2O, TBHP, and AgTFA in DCE at 90 °C. The decomposition of TBHP promoted by copper would trigger the generation of sulfonyl radicals 604 from the sulfonyl hydrazide starting material. Next, the attack of the sulfonyl radical to the alkyne moiety present in 601 would render the vinyl intermediate 605, which in turn could undergo an intramolecular cyclization and 1,2-aryl migration. From the intermediate 608, the reaction evolves through a series of single-electron oxidation and deprotonation processes to give the desired 2-sulfonated pyrrolo[1,2-α]indole derivatives 603.
Scheme 79.
Radical methodology to prepare sulfonated pyrrolo[1,2-α]indole derivatives.
Jiao et al. reported the synthesis of cyclic imines and tertiary amines through the intramolecular Csp3–H/C–C bond amination of alkylazide substrates 614 bearing a pendant aryl group (Scheme 80) [175]. They found that in the presence of DDQ oxidant and TFA, the oxidation of substrates 614 could lead to the corresponding benzyl cation 616, which could be attacked intramolecularly by the azide moiety. The six-membered ring intermediate 617 undergoes the loss of N2 and 1,2-alkyl migration to give the imine cation 620. Subsequent reduction with NaBH(OAc)3 furnished the isolable cyclic tertiary amines 615. Noteworthy, the alkyl migration was only observed when a six-membered-ring transition state was formed, shorter or longer alkyl chains were not suitable for this transformation.
Scheme 80.
Synthesis of cyclic imines and amines through the intramolecular Csp3–H/C–C bond amination.
Iodine derivatives have proven to be useful reagents to induce transformations involving C–H/C–C cleavage. Zhang et al. described two different routes to access substituted quinolines from 2-styrylanilines 621 and β-ketoesters 622 by the use of two different sets of experimental conditions (Scheme 81) [176]. When the reaction was carried out in the presence of molecular iodine and NaHCO3, the alkyl or aryl derivatives 624 were obtained via formation of the imine 630. Nevertheless, the use of Mn(OAc)3 promoted a radical path through the abstraction of a hydrogen atom from the β-ketoester unit, delivering the compounds 623.
Scheme 81.
Divergent synthesis of quinoline derivatives.
Wu and co-workers explored the synthesis of arylquinazolines 635 through the oxidative coupling of anilines and acetophenones (Scheme 82) [177]. The reaction required one equivalent of iodine and DMSO as solvent at 140 °C. Under such conditions, the methyl ketones are converted into phenylglyoxal 636 through an iodination/Kornblum oxidation. The intermediate 636 would undergo the condensation with aniline to form a diimine 638, in which a series of intramolecular cyclization/hydration processes result in the functionalization of the ortho-C–H of aniline and splitting of the C(CO)–Me bond of the acetophenone starting material.
Scheme 82.
Oxidative coupling of aniline and acetophenone derivatives.
Lankalapalli described a PhI(OAc)2-mediated rearrangement of unstrained diindolylmethanes 644 in which two C–C and C–H bonds were cleaved (Scheme 83) [178]. The strategy relied on the oxidative dearomatization of the phenol moiety carried out by the hypervalent iodine reagent. From the intermediate 646 a series of aryl migration and cyclization steps gave rise to the 2,3′-diindolylketones 645.
Scheme 83.
PIDA-mediated rearrangement of unstrained diindolylmethanes.
3.3. Reactions Promoted by Lewis or Brønsted Acids or Bases
As happened in the case of the strained systems, it is possible to perform the functionalization of C–H bonds along with the cleavage of unstrained C–C bonds in the presence of Lewis or Brønsted acids, or basic conditions. Recently, Magauer et al. established an acid-catalyzed route to tetralin and chromane derivatives 648 through the cycloisomerization of neopentylic epoxides 647 (Scheme 84) [179]. The presence of 10 mol% of H2SO4 in HFIP promoted the opening of the epoxide ring with subsequent 1,2-migration of the neighbouring alkyl group. Next, the aryl ring present in the substrate could act as a nucleophile for the Friedel-Crafts termination step, rendering the cyclic organic framework. When the substrate contained a cyclobutyl or cyclopentyl moiety in α-position to the epoxide, the reaction provoked the ring expansion through the alkyl migration, rendering tricyclic scaffolds 649. Remarkably, the overall process set two vicinal all-carbon centers in the corresponding tetraline or chromane cores.
Scheme 84.
Sulfuric acid-catalyzed cycloisomerization of neopentylic epoxides.
A trifluoroacetic acid-promoted [5 + 1] annulation of diazocompounds 652 or 653 and 2-arylanilines 651 leading to phenathridine cores was described by Szostak and collaborators (Scheme 85) [180]. The outcome of the reaction was controlled by the substitution pattern present in the diazocompounds. Under acidic conditions, 652/653 could undergo a protonation to deliver the species 656. The nucleophilic attack of the amino group of 651 to 656 with N2 elimination would produce the secondary amine 657. The oxygen atmosphere in which the reaction was carried out promoted the oxidation of 657 to give the imine 658, that could evolve through an electrophilic attack to the aromatic ring to render the cyclized intermediate 659. When the substituents of the diazocompound are -CO2Et and -COPh, a selective de-acylation and oxidation takes place to give the substituted phenanthridine derivative 654. However, when they bear -COPh and -SO2Ph groups, a consecutive de-sulfonylation/de-acylation/oxidative aromatization furnishes the phenanthridines unsubstituted at the 6-position 655.
Scheme 85.
Synthesis of phenanthridines via C–H/C–C cleavage.
Shi described the synthesis of complex 3,3′-bisindole derivatives via gallium-bromide-promoted dearomative indole insertion in 3-indolylmethanols 663 (Scheme 86) [181]. The proposed mechanism relays on the initial generation of the delocalized cation intermediate 666 due to the strong Lewis character of Ga(III). GaBr3 would also favour the C–C cleavage step, upon the nucleophilic attack of 3-methyl-indole coupling partner.
Scheme 86.
GaBr3-catalyzed synthesis of 3,3′-bisindole derivatives.
Jiang disclosed a multicomponent reaction of vinylazides 671 and anilines promoted by Zn(OTf)2 leading to 4-substituted quinolines 672 (Scheme 87) [182]. The proposed mechanism stated the coordination of the Zn(II) to the azide moiety, facilitating the nucleophilic attack of aniline to give the intermediate 674 with loss of N2. The C–C bond cleavage produces the imine 675 with the elimination of benzonitrile as by-product. A [4 + 2] annulation of 675 with another molecule of the azide 671, followed by loss of HN3 and oxidation under air furnish the 4-arylated quinolines 672 in moderate to good yields.
Scheme 87.
Zn(OTf)2-Catalyzed synthesis of 4-substituted quinolones.
Li et al. developed a C–C/C–H bond cleavage approach to functionalized carbazoles by combining a base-promoted C–C scission with an iron-catalyzed skeletal rearrangement (Scheme 88) [183]. The authors described a one-pot two steps process in which the initial coupling of 1-(N-methyl-2-indolyl)alkynyl ketones 680 with α-aryl ketones rendered the derivatives 682. In the first step the generation of a cyclobutanol intermediate 686 was key. The consecutive FeCl3-catalyzed cycloisomerization step furnished the desired carbazole 682. The same authors expanded the scope of this transformation to cyano-substituted carbazoles 684 by employing α-cyano ketones 683 [184].
Scheme 88.
Base-mediated synthesis of carbazoles.
The use of 2-oxo-cyclohexanecarboxylate as coupling partner in this Cs2CO3-mediated methodology and a subsequent step in the presence of one equivalent of ZnI2 and K2S2O8 under air allowed the synthesis of pyranoindolones 690, bearing a fused medium-size carbocyclic ring (Scheme 89) [185].
Scheme 89.
Base-mediated synthesis of pyranoindolones.
4. Reactions Involving Triple Bond Scission
There are some reports where the scission of triple C≡C bonds, generally under oxidative conditions, accompanies the functionalization of a C–H bond. Recent progress in this type of reactions is summarized below.
Li and co-workers obtained indoline-2,3-diones 695 through the C–H functionalization and the cleavage of the triple C≡C bond present in N-arylpropiolamides 694 (Scheme 90) [186]. The oxidative cyclization takes place in the presence of PdBr2 (10 mol%) as the catalyst, and a mixture of oxidants such as CuBr2 (40 mol%), TEMPO and O2 in 1,4-dioxane at 80 °C. The reaction would be initiated by the alkyne activation through the π-coordination to Pd(II), which would promote the nucleophilic attack of H2O, giving rise to the alkenyl-Pd intermediate 698. Next, C–H activation on the aromatic ring would lead to the C,C-palladacycle 699. Subsequently, a Wacker oxidation reaction with another molecule of water assisted by TEMPO would deliver the intermediate 701. The C–C bond in this intermediate is cleaved in the presence of another molecule of water to give the new palladacycle 702 and the corresponding carboxylic acid. Reductive elimination in 702 would afford the desired indoline-2,3-dione and Pd(0). The role of CuBr2 and O2 would be the re-oxidation of Pd(0) to Pd(II). Mechanistic experiments carried out with 18O labelled water corroborated the role of water as coupling partner since both the heterocycles 695 and the side-product 696 contained 18O atoms.
Scheme 90.
Pd-catalyzed synthesis of indoline-2,3-diones.
Wu et al. reported the synthesis of eight-membered N-heterocycles 705 utilizing arylacetylenes as one-carbon synthons (Scheme 91) [187].
Scheme 91.
Synthesis of eight-membered heterocycles through C–H/C–C functionalization.
This work is closely related to the reaction described in the Scheme 82, though replacing acetophenone by arylacetylenes. Indeed, the mechanism relies in the formation of an arylglyoxal through a Kornblum oxidation process, followed by a series of condensation and oxidation processes that render the eight-membered heterocycles 705.
Singh and collaborators described the oxidative acylation of electron-deficient heteroarenes 716 utilizing alkynes as acylating reagents (Scheme 92) [188]. The procedure employed AgNO3 as catalyst and K2S2O8 as oxidant. The reaction would be triggered by the generation of the N-oxide radical 719 upon removal of one electron from 716 by persulfate species. Next, the addition of this to the silver alkynyl species 720 formed in situ, would evolve to produce the ketene intermediate 722. The hydration of 722 leads to the acid derivative 723, which undergoes a silver-catalyzed decarboxylation to render the radical intermediate 724. Further oxidation and hydration afford the acylated heterocycles 718.
Scheme 92.
Radical acylation of electron-deficient heteroarenes.
The You group reported a Rh-catalyzed route to 2H-indazoles 729 consisting in the [4 + 1]-annulation of azoxy compounds 727 with alkynes (Scheme 93) [189]. The reaction would commence with the azoxy-directed C–H metalation to give the rhodacycle 730. Next, migratory insertion of the alkyne and reductive elimination of Rh(I) with C–O bond formation would give 733. This intermediate would further evolve through ring-opening and reaction with HFIP to furnish the 2H-indazole scaffold.
Scheme 93.
Synthesis of 2H-indazole via C–H/C–C cleavage. Cp* refers to pentamethylcyclopentadienyl ligand.
5. Summary and Conclusions
The field of C–H activation and functionalization keeps on being a main avenue of research that, in conjunction with C–C bond cleavage, is giving rise to a great extension of synthetic tools to achieve complex organic transformations. This fact can be appreciated in the increasing number of works dealing with this type of methodology reported in the past few years. The combination of both types of bond functionalization can be assessed through different approaches, from classical transition-metal catalysis to more recent photocatalysis involving radical intermediates. Hence, given the versatility in terms of methodology along with the variability of substrate design, it would be expected that the C–H/C–C functionalization area will continue on attracting the interest of synthetic chemists in the years to come. Surely, new developments relaying on these new reaction manifolds will find applications in several areas of organic chemistry such as the synthesis of heterocyclic, pharmaceutical and natural products or materials science.
Some of the research areas where there are still limitations and room for improvement in the C–H/C–C bond functionalization field are for instance: (a) the deeper insights into the design of transition-metal catalyzed reactions where no directing groups need to be attached to the substrates, since usually the installation/removal of these groups make the overall synthetic processes more costly; (b) further implementation of electrochemical methods to avoid the use of stoichiometric oxidants/reductants and therefore contribute to the development of greener synthetic processes; or (c) the broadening of the routes to tackle the challenging cleavage of unstrained Csp3–Csp3 bonds, which have a ubiquitous presence in organic compounds, hence opening up new disconnections and possibilities in organic synthesis.
Author Contributions
Conceptualization, J.-A.G.-L.; writing—original draft preparation, J.-A.G.-L. and H.A.; writing—review and editing, J.-A.G.-L. and H.A.; funding acquisition, J.-A.G.-L. All authors have read and agreed to the published version of the manuscript.
Funding
This research was funded by MICINN (grant PGC2018-100719-B-I00-with FEDER funding) and Fundación Séneca-Agencia de Ciencia y Tecnología de la Región de Murcia (grant 19890/GERM/15).
Conflicts of Interest
The authors declare no conflict of interest.
References
- Girard, S.A.; Knauber, T.; Li, C.J. The cross-dehydrogenative coupling of Csp3–H bonds: A versatile strategy for C–C bond formations. Angew. Chem. Int. Ed. 2014, 53, 74–100. [Google Scholar] [CrossRef] [PubMed]
- Newton, C.G.; Wang, S.G.; Oliveira, C.C.; Cramer, N. Catalytic Enantioselective Transformations Involving C–H Bond Cleavage by Transition-Metal Complexes. Chem. Rev. 2017, 117, 8908–8976. [Google Scholar] [CrossRef] [PubMed]
- Sambiagio, C.; Schönbauer, D.; Blieck, R.; Dao-Huy, T.; Pototschnig, G.; Schaaf, P.; Wiesinger, T.; Zia, M.F.; Wencel-Delord, J.; Besset, T.; et al. A comprehensive overview of directing groups applied in metal-catalysed C–H functionalisation chemistry. Chem. Soc. Rev. 2018, 47, 6603–6743. [Google Scholar] [CrossRef] [PubMed]
- Ping, L.; Chung, D.S.; Bouffard, J.; Lee, S.G. Transition metal-catalyzed site- and regio-divergent C–H bond functionalization. Chem. Soc. Rev. 2017, 46, 4299–4328. [Google Scholar] [CrossRef]
- He, J.; Wasa, M.; Chan, K.S.L.; Shao, Q.; Yu, J.Q. Palladium-Catalyzed Transformations of Alkyl C–H Bonds. Chem. Rev. 2017, 117, 8754–8786. [Google Scholar] [CrossRef]
- Mihai, M.T.; Genov, G.R.; Phipps, R.J. Access to the meta position of arenes through transition metal catalysed C–H bond functionalisation: A focus on metals other than palladium. Chem. Soc. Rev. 2018, 47, 149–171. [Google Scholar] [CrossRef]
- Chu, J.C.K.; Rovis, T. Complementary Strategies for Directed C(sp3)−H Functionalization: A Comparison of Transition-Metal-Catalyzed Activation, Hydrogen Atom Transfer, and Carbene/Nitrene Transfer. Angew. Chem. Int. Ed. 2018, 57, 62–101. [Google Scholar] [CrossRef]
- Cernak, T.; Dykstra, K.D.; Tyagarajan, S.; Vachal, P.; Krska, S.W. The medicinal chemist’s toolbox for late stage functionalization of drug-like molecules. Chem. Soc. Rev. 2016, 45, 546–576. [Google Scholar] [CrossRef]
- Ma, C.; Fang, P.; Mei, T.S. Recent Advances in C–H Functionalization Using Electrochemical Transition Metal Catalysis. ACS Catal. 2018, 8, 7179–7189. [Google Scholar] [CrossRef]
- Sauermann, N.; Meyer, T.H.; Qiu, Y.; Ackermann, L. Electrocatalytic C–H Activation. ACS Catal. 2018, 8, 7086–7103. [Google Scholar] [CrossRef]
- Dwivedi, V.; Kalsi, D.; Sundararaju, B. Electrochemical-/Photoredox Aspects of Transition Metal-Catalyzed Directed C−H Bond Activation. Chem. Cat. Chem. 2019, 11, 5160–5187. [Google Scholar] [CrossRef]
- Zhou, W.J.; Zhang, Y.H.; Gui, Y.Y.; Sun, L.; Yu, D.G. Merging Transition-Metal Catalysis with Photoredox Catalysis: An Environmentally Friendly Strategy for C–H Functionalization. Synthesis 2018, 50, 3359–3378. [Google Scholar] [CrossRef]
- Siddiqui, R.; Ali, R. Recent developments in photoredox-catalyzed remote ortho and para C–H bond functionalizations. Beilstein J. Org. Chem. 2020, 16, 248–280. [Google Scholar] [CrossRef]
- Mehta, V.P.; García-López, J.A. σ-Alkyl-PdII Species for Remote C−H Functionalization. ChemCatChem 2017, 9, 1149–1156. [Google Scholar] [CrossRef]
- Baccalini, A.; Faita, G.; Zanoni, G.; Maiti, D. Transition Metal Promoted Cascade Heterocycle Synthesis through C−H Functionalization. Chem. Eur. J. 2020, 26, 9749–9783. [Google Scholar] [CrossRef]
- Leow, D.; Li, G.; Mei, T.S.; Yu, J.Q. Activation of remote meta-C–H bonds assisted by an end-on template. Nature 2012, 486, 518–522. [Google Scholar] [CrossRef]
- Schranck, J.; Tlili, A.; Beller, M. Functionalization of remote C–H bonds: Expanding the frontier. Angew. Chem. Int. Ed. 2014, 53, 9426–9428. [Google Scholar] [CrossRef]
- Sommer, H.; Juliá-Hernández, F.; Martin, R.; Marek, I. Walking Metals for Remote Functionalization. ACS Cent. Sci. 2018, 4, 153–165. [Google Scholar] [CrossRef]
- Dey, A.; Sinha, S.K.; Achar, T.K.; Maiti, D. Accessing Remote meta- and para-C(sp2)−H Bonds with Covalently Attached Directing Groups. Angew. Chem. Int. Ed. 2019, 58, 10820–10843. [Google Scholar] [CrossRef]
- Murakami, M.; Ishida, N. Potential of Metal-Catalyzed C–C Single Bond Cleavage for Organic Synthesis. J. Am. Chem. Soc. 2016, 138, 13759–13769. [Google Scholar] [CrossRef]
- Chen, P.H.; Billett, B.A.; Tsukamoto, T.; Dong, G. Cut and Sew Transformations via Transition-Metal-Catalyzed Carbon-Carbon Bond Activation. ACS Catal. 2017, 7, 1340–1360. [Google Scholar] [CrossRef] [PubMed]
- Song, F.; Gou, T.; Wang, B.Q.; Shi, Z.J. Catalytic activations of unstrained C–C bond involving organometallic intermediates. Chem. Soc. Rev. 2018, 47, 7078–7115. [Google Scholar] [CrossRef] [PubMed]
- Wang, B.; Perea, M.A.; Sarpong, R. Transition Metal-Mediated C−C Single Bond Cleavage: Making the Cut in Total Synthesis. Angew. Chem. Int. Ed. 2020, 59, 18898–18919. [Google Scholar] [CrossRef] [PubMed]
- Yu, X.Y.; Chen, J.R.; Xiao, W.J. Visible Light-Driven Radical-Mediated C–C Bond Cleavage/Functionalization in Organic Synthesis. Chem. Rev. 2020. [Google Scholar] [CrossRef]
- Shi, S.-H.; Liang, Y.; Jiao, N. Electrochemical Oxidation Induced Selective C–C Bond Cleavage. Chem. Rev. 2020. [Google Scholar] [CrossRef]
- Fumagalli, G.; Stanton, S.; Bower, J.F. Recent Methodologies That Exploit C–C Single-Bond Cleavage of Strained Ring Systems by Transition Metal Complexes. Chem. Rev. 2017, 117, 9404–9432. [Google Scholar] [CrossRef]
- Nairoukh, Z.; Cormier, M.; Marek, I. Merging C–H and C–C bond cleavage in organic synthesis. Nat. Rev. Chem. 2017, 1, 1–17. [Google Scholar] [CrossRef]
- Wei, Y.; Hu, P.; Zhang, M.; Su, W. Metal-Catalyzed Decarboxylative C–H Functionalization. Chem. Rev. 2017, 117, 8864–8907. [Google Scholar] [CrossRef]
- Zhang, T.; Wang, N.X.; Xing, Y. Advances in Decarboxylative Oxidative Coupling Reaction. J. Org. Chem. 2018, 83, 7559–7565. [Google Scholar] [CrossRef]
- Lu, H.; Yu, T.Y.; Xu, P.F.; Wei, H. Selective Decarbonylation via Transition-Metal-Catalyzed Carbon-Carbon Bond Cleavage. Chem. Rev. 2020. [Google Scholar] [CrossRef]
- Della Ca, N.; Fontana, M.; Motti, E.; Catellani, M. Pd/Norbornene: A Winning Combination for Selective Aromatic Functionalization via C–H Bond Activation. Acc. Chem. Res. 2016, 49, 1389–1400. [Google Scholar] [CrossRef] [PubMed]
- Maestri, G.; Derat, E. Alkenyl boost for Catellani. Nat. Chem. 2019, 11, 1082–1084. [Google Scholar] [CrossRef] [PubMed]
- Cheng, H.G.; Chen, S.; Chen, R.; Zhou, Q. Palladium(II)-Initiated Catellani-Type Reactions. Angew. Chem. Int. Ed. 2019, 58, 5832–5844. [Google Scholar] [CrossRef] [PubMed]
- Seiser, T.; Saget, T.; Tran, D.N.; Cramer, N. Cyclobutanes in catalysis. Angew. Chem. Int. Ed. 2011, 50, 7740–7752. [Google Scholar] [CrossRef] [PubMed]
- Vicente, R. C–C Bond Cleavages of Cyclopropenes: Operating for Selective Ring-Opening Reactions. Chem. Rev. 2020. [Google Scholar] [CrossRef]
- Wang, J.; Blaszczyk, S.A.; Li, X.; Tang, W. Transition Metal-Catalyzed Selective Carbon-Carbon Bond Cleavage of Vinylcyclopropanes in Cycloaddition Reactions. Chem. Rev. 2020. [Google Scholar] [CrossRef]
- Sokolova, O.O.; Bower, J.F. Selective Carbon-Carbon Bond Cleavage of Cyclopropylamine Derivatives. Chem. Rev. 2020. [Google Scholar] [CrossRef]
- Murakami, M.; Ishida, N. Cleavage of Carbon-Carbon σ-Bonds of Four-Membered Rings. Chem. Rev. 2020. [Google Scholar] [CrossRef]
- Rubin, M.; Rubina, M.; Gevorgyan, V. Transition metal chemistry of cyclopropenes and cyclopropanes. Chem. Rev. 2007, 107, 3117–3179. [Google Scholar] [CrossRef]
- Wu, X.; Zhu, C. Recent Advances in Ring-Opening Functionalization of Cycloalkanols by C–C σ-Bond Cleavage. Chem. Rec. 2018, 18, 587–598. [Google Scholar] [CrossRef]
- McDonald, T.R.; Mills, L.R.; West, M.S.; Rousseaux, S.A.L. Selective Carbon–Carbon Bond Cleavage of Cyclopropanols. Chem. Rev. 2020. [Google Scholar] [CrossRef] [PubMed]
- Beaumier, E.P.; Pearce, A.J.; See, X.Y.; Tonks, I.A. Modern applications of low-valent early transition metals in synthesis and catalysis. Nat. Rev. Chem. 2019, 3, 15–34. [Google Scholar] [CrossRef] [PubMed]
- Xia, Y.; Qiu, D.; Wang, J. Transition-Metal-Catalyzed Cross-Couplings through Carbene Migratory Insertion. Chem. Rev. 2017, 117, 13810–13889. [Google Scholar] [CrossRef] [PubMed]
- Wang, Q.; Zhi, C.L.; Lu, P.P.; Liu, S.; Zhu, X.; Hao, X.Q.; Song, M.P. Rhodium(III)-catalyzed direct C7 allylation of indolines via 4 sequential C–H and C–C activation. Adv. Synth. Catal. 2019, 361, 1253–1258. [Google Scholar] [CrossRef]
- Wang, Q.; Shi, L.; Liu, S.; Zhi, C.; Fu, L.R.; Zhu, X.; Hao, X.Q.; Song, M.P. Solvent-free and room temperature microwave-assisted direct C7 allylation of indolines: Via sequential C–H and C–C activation. RSC Adv. 2020, 10, 10883–10887. [Google Scholar] [CrossRef]
- Hu, Z.; Hu, X.Q.; Zhang, G.; Gooßen, L.J. Ring-Opening Ortho-C-H Allylation of Benzoic Acids with Vinylcyclopropanes: Merging Catalytic C–H and C–C Activation Concepts. Org. Lett. 2019, 21, 6770–6773. [Google Scholar] [CrossRef]
- Gandeepan, P.; Müller, T.; Zell, D.; Cera, G.; Warratz, S.; Ackermann, L. 3d Transition Metals for C–H Activation. Chem. Rev. 2019, 119, 2192–2452. [Google Scholar] [CrossRef]
- Zell, D.; Bu, Q.; Feldt, M.; Ackermann, L. Mild C−H/C−C Activation by Z-Selective Cobalt Catalysis. Angew. Chem. Int. Ed. 2016, 55, 7408–7412. [Google Scholar] [CrossRef]
- Lu, Q.; Klauck, F.J.R.; Glorius, F. Manganese-catalyzed allylation: Via sequential C–H and C–C/C–Het bond activation. Chem. Sci. 2017, 8, 3379–3383. [Google Scholar] [CrossRef]
- Meyer, T.H.; Liu, W.; Feldt, M.; Wuttke, A.; Mata, R.A.; Ackermann, L. Manganese(I)-Catalyzed Dispersion-Enabled C−H/C−C Activation. Chem. Eur. J. 2017, 23, 5443–5447. [Google Scholar] [CrossRef]
- Liang, Y.F.; Müller, V.; Liu, W.; Münch, A.; Stalke, D.; Ackermann, L. Methylenecyclopropane Annulation by Manganese(I)-Catalyzed Stereoselective C−H/C−C Activation. Angew. Chem. Int. Ed. 2017, 56, 9415–9419. [Google Scholar] [CrossRef] [PubMed]
- Li, M.; Kwong, F.Y. Cobalt-Catalyzed Tandem C−H Activation/C−C Cleavage/C−H Cyclization of Aromatic Amides with Alkylidenecyclopropanes. Angew. Chem. Int. Ed. 2018, 57, 6512–6516. [Google Scholar] [CrossRef] [PubMed]
- Li, Y.; Shi, D.; He, X.; Wang, Y.; Tang, Y.; Zhang, J.; Xu, S. Redox-Neutral Annulation of Alkynylcyclopropanes with N-Aryloxyamides via Rhodium(III)-Catalyzed Sequential C−H/C−C Activation. J. Org. Chem. 2019, 84, 1588–1595. [Google Scholar] [CrossRef] [PubMed]
- Ahmed, E.A.M.A.; Suliman, A.M.Y.; Gong, T.J.; Fu, Y. Access to Divergent Fluorinated Enynes and Arenes via Palladium-Catalyzed Ring-Opening Alkynylation of gem-Difluorinated Cyclopropanes. Org. Lett. 2020, 22, 1414–1419. [Google Scholar] [CrossRef]
- Audic, B.; Cramer, N. Rhodium(III)-Catalyzed Cyclopropane C–H/C–C Activation Sequence Provides Diastereoselective Access to α-Alkoxylated γ-Lactams. Org. Lett. 2020, 22, 5030–5034. [Google Scholar] [CrossRef]
- Masarwa, A.; Didier, D.; Zabrodski, T.; Schinkel, M.; Ackermann, L.; Marek, I. Merging allylic carbon–hydrogen and selective carbon–carbon bond activation. Nature 2014, 505, 199–203. [Google Scholar] [CrossRef]
- Vasseur, A.; Marek, I. Merging allylic C–H bond activation and C–C bond cleavage en route to the formation of a quaternary carbon stereocenter in acyclic systems. Nat. Protoc. 2017, 12, 74–87. [Google Scholar] [CrossRef]
- Oskar, L.; Perrin, L.; Eisenstein, O.; Marek, I. Zirconocene-Mediated Selective C−C Bond Cleavage of Strained Carbocycles: Scope and Mechanism. J. Org. Chem. 2018, 83, 3497–3515. [Google Scholar] [CrossRef]
- Nakano, T.; Endo, K.; Ukaji, Y. Silver-Catalyzed Allylation of Ketones and Intramolecular Cyclization through Carbene Intermediates from Cyclopropenes under Ambient Conditions. Chem. Asian J. 2016, 11, 713–721. [Google Scholar] [CrossRef]
- Drew, M.A.; Arndt, S.; Richardson, C.; Rudolph, M.; Hashmi, A.S.K.; Hyland, C.J.T. Divergent gold-catalysed reactions of cyclopropenylmethyl sulfonamides with tethered heteroaromatics. Chem. Commun. 2019, 55, 13971–13974. [Google Scholar] [CrossRef]
- Wang, X.; Lerchen, A.; Daniliuc, C.G.; Glorius, F. Efficient Synthesis of Arylated Furans by a Sequential Rh-Catalyzed Arylation and Cycloisomerization of Cyclopropenes. Angew. Chem. Int. Ed. 2018, 57, 1712–1716. [Google Scholar] [CrossRef] [PubMed]
- Liu, Y.; Tian, Y.; Su, K.; Wang, P.; Guo, X.; Chen, B. Rhodium(III)-catalyzed [3 + 3] annulation reactions of: N-nitrosoanilines and cyclopropenones: An approach to functionalized 4-quinolones. Org. Chem. Front. 2019, 6, 3973–3977. [Google Scholar] [CrossRef]
- Li, H.S.; Lu, S.C.; Chang, Z.X.; Hao, L.; Li, F.R.; Xia, C. Rhodium-Catalyzed Ring-Opening Hydroacylation of Alkylidenecyclopropanes with Chelating Aldehydes for the Synthesis of γ,δ-Unsaturated Ketones. Org. Lett. 2020, 22, 5145–5150. [Google Scholar] [CrossRef] [PubMed]
- Li, S.; Shi, P.; Liu, R.H.; Hu, X.H.; Loh, T.P. Cobalt-Catalyzed N–O and C–C Bond Cleavage in 1,2-Oxazetidines: Solvent-Controlled C–H Aminomethylation and Hydroxymethylation of Heteroarenes. Org. Lett. 2019, 21, 1602–1606. [Google Scholar] [CrossRef]
- Sun, F.N.; Yang, W.C.; Chen, X.B.; Sun, Y.L.; Cao, J.; Xu, Z.; Xu, L.W. Enantioselective palladium/copper-catalyzed C-C σ-bond activation synergized with Sonogashira-type C(sp3)–C(sp) cross-coupling alkynylation. Chem. Sci. 2019, 10, 7579–7583. [Google Scholar] [CrossRef]
- Lu, H.; Zhao, T.; Bai, J.; Ye, D.; Xu, P.; Wei, H. Divergent Coupling of Benzocyclobutenones with Indoles via C–H and C–C Activations. Angew. Chem. Int. Ed. 2020, 59. [Google Scholar] [CrossRef]
- Zhou, X.; Qi, Z.; Yu, S.; Kong, L.; Li, Y.; Tian, W.F.; Li, X. Synthesis of 2-Substituted Quinolines via Rhodium(III)-Catalyzed C–H Activation of Imidamides and Coupling with Cyclopropanols. Adv. Synth. Catal. 2017, 359, 1620–1625. [Google Scholar] [CrossRef]
- Meng, R.; Bi, S.; Jiang, Y.Y.; Liu, Y. C–H activation versus ring opening and inner-versus outer-sphere concerted metalation-deprotonation in Rh(III)-catalyzed oxidative coupling of oxime ether and cyclopropanol: A density functional theory study. J. Org. Chem. 2019, 84, 11150–11160. [Google Scholar] [CrossRef]
- Zhou, X.; Yu, S.; Kong, L.; Li, X. Rhodium(III)-Catalyzed Coupling of Arenes with Cyclopropanols via C–H Activation and Ring Opening. ACS Catal. 2016, 6, 647–651. [Google Scholar] [CrossRef]
- Zhou, X.; Yu, S.; Qi, Z.; Kong, L.; Li, X. Rhodium(III)-Catalyzed Mild Alkylation of (Hetero)Arenes with Cyclopropanols via C–H Activation and Ring Opening. J. Org. Chem. 2016, 81, 4869–4875. [Google Scholar] [CrossRef]
- Guo, R.; Zhang, G. Expedient Synthesis of 1,5-Diketones by Rhodium-Catalyzed Hydroacylation Enabled by C–C Bond Cleavage. J. Am. Chem. Soc. 2017, 139, 12891–12894. [Google Scholar] [CrossRef] [PubMed]
- Ma, S.; Gu, Z. 1,4-Migration of rhodium and palladium in catalytic organometallic reactions. Angew. Chem. Int. Ed. 2005, 44, 7512–7517. [Google Scholar] [CrossRef] [PubMed]
- Dhungana, R.K.; Sapkota, R.R.; Niroula, D.; Giri, R. Walking metals: Catalytic difunctionalization of alkenes at nonclassical sites. Chem. Sci. 2020, 11, 9757–9774. [Google Scholar] [CrossRef]
- Wang, Q.; Chen, R.; Lou, J.; Zhang, D.H.; Zhou, Y.G.; Yu, Z. Highly Regioselective C–H Alkylation of Alkenes through an Aryl to Vinyl 1,4-Palladium Migration/C–C Cleavage Cascade. ACS Catal. 2019, 9, 11669–11675. [Google Scholar] [CrossRef]
- Xiao, T.; Huang, H.; Anand, D.; Zhou, L. Iminyl-Radical-Triggered C–C Bond Cleavage of Cycloketone Oxime Derivatives: Generation of Distal Cyano-Substituted Alkyl Radicals and Their Functionalization. Synthesis 2020, 52, 1585–1601. [Google Scholar] [CrossRef]
- Xiao, W.; Wu, J. Recent advances for the photoinduced C–C bond cleavage of cycloketone oximes. Chin. Chem. Lett. 2020. [Google Scholar] [CrossRef]
- Nishimura, T.; Uemura, S. Palladium-Catalyzed Arylation of tert-Cyclobutanols with Aryl Bromide via C−C Bond Cleavage: New Approach for the γ-Arylated Ketones. J. Am. Chem. Soc. 1999, 121, 11010–11011. [Google Scholar] [CrossRef]
- Roque, J.B.; Kuroda, Y.; Jurczyk, J.; Xu, L.P.; Ham, J.S.; Göttemann, L.T.; Roberts, C.A.; Adpressa, D.; Saurí, J.; Joyce, L.A.; et al. C-C Cleavage Approach to C-H Functionalization of Saturated Aza-Cycles. ACS Catal. 2020, 10, 2929–2941. [Google Scholar] [CrossRef]
- Ham, J.S.; Park, B.; Son, M.; Roque, J.B.; Jurczyk, J.; Yeung, C.S.; Baik, M.H.; Sarpong, R. C–H/C–C Functionalization Approach to N-Fused Heterocycles from Saturated Azacycles. J. Am. Chem. Soc. 2020, 142, 13041–13050. [Google Scholar] [CrossRef]
- Yuan, Y.C.; Liu, H.L.; Hu, X.B.; Wei, Y.; Shi, M. Visible-Light-Induced Trifluoromethylation of Isonitrile-Substituted Methylenecyclopropanes: Facile Access to 6-(Trifluoromethyl)-7,8-Dihydrobenzo[k]phenanthridine Derivatives. Chem. Eur. J. 2016, 22, 13059–13063. [Google Scholar] [CrossRef]
- Dange, N.S.; Hussain Jatoi, A.; Robert, F.; Landais, Y. Visible-Light-Mediated Addition of Phenacyl Bromides onto Cyclopropenes. Org. Lett. 2017, 19, 3652–3655. [Google Scholar] [CrossRef] [PubMed]
- Jiang, H.; Studer, A. Chemistry With N-Centered Radicals Generated by Single-Electron Transfer-Oxidation Using Photoredox Catalysis. CCS Chem. 2019, 38–49. [Google Scholar] [CrossRef]
- Xiong, P.; Xu, H.-C. Chemistry with Electrochemically Generated N-Centered Radicals. Acc. Chem. Res. 2019, 52, 3339–3350. [Google Scholar] [CrossRef] [PubMed]
- Hu, X.Q.; Chen, J.R.; Wei, Q.; Liu, F.L.; Deng, Q.H.; Beauchemin, A.M.; Xiao, W.J. Photocatalytic Generation of N-Centered Hydrazonyl Radicals: A Strategy for Hydroamination of β,γ-Unsaturated Hydrazones. Angew. Chem. Int. Ed. 2014, 53, 12163–12167. [Google Scholar] [CrossRef]
- Yu, X.Y.; Zhao, Q.Q.; Chen, J.; Xiao, W.J.; Chen, J.R. When Light Meets Nitrogen-Centered Radicals: From Reagents to Catalysts. Acc. Chem. Res. 2020, 53, 1066–1083. [Google Scholar] [CrossRef]
- Proctor, R.S.J.; Phipps, R.J. Recent Advances in Minisci-Type Reactions. Angew. Chem. Int. Ed. 2019, 58, 13666–13699. [Google Scholar] [CrossRef]
- Gu, Y.R.; Duan, X.H.; Yang, L.; Guo, L.N. Direct C–H Cyanoalkylation of Heteroaromatic N-Oxides and Quinones via C–C Bond Cleavage of Cyclobutanone Oximes. Org. Lett. 2017, 19, 5908–5911. [Google Scholar] [CrossRef]
- Yang, L.; Gao, P.; Duan, X.H.; Gu, Y.R.; Guo, L.N. Direct C–H Cyanoalkylation of Quinoxalin-2(1H)-ones via Radical C–C Bond Cleavage. Org. Lett. 2018, 20, 1034–1037. [Google Scholar] [CrossRef]
- Gao, P.; Cheng, Y.B.; Yang, F.; Guo, L.N.; Duan, X.H. Iron(II)-catalyzed direct C–H cyanoalkylation of 2H-indazoles and coumarins via radical C–C bond cleavage. Tetrahedron Lett. 2019, 60, 150967–150970. [Google Scholar] [CrossRef]
- Li, X.; Yan, X.; Wang, Z.; He, X.; Dai, Y.; Yan, X.; Zhao, D.; Xu, X. Complementary oxidative generation of iminyl radicals from α-imino-oxy acids: Silver-catalyzed C–H cyanoalkylation of heterocycles and quinones. J. Org. Chem. 2020, 85, 2504–2511. [Google Scholar] [CrossRef]
- Zhao, B.; Shi, Z. Copper-Catalyzed Intermolecular Heck-Like Coupling of Cyclobutanone Oximes Initiated by Selective C−C Bond Cleavage. Angew. Chem. Int. Ed. 2017, 56, 12727–12731. [Google Scholar] [CrossRef] [PubMed]
- Yu, J.X.; Teng, F.; Xiang, J.N.; Deng, W.; Li, J.H. One-Carbon Incorporation Using Cyclobutanone Oxime Ester Enabled [2 + 2 + 1] Carboannulation of 1,7-Enynes by C–C/N–O Bond Cleavage and C–H Functionalization. Org. Lett. 2019, 21, 9434–9437. [Google Scholar] [CrossRef] [PubMed]
- Wu, J.; Zhang, J.; Gao, P.; Xu, S.; Guo, L. Copper-Catalyzed Redox-Neutral Cyanoalkylarylation of Activated Alkenes with Cyclobutanone Oxime Esters. J. Org. Chem. 2018, 83, 1046–1055. [Google Scholar] [CrossRef]
- Davies, J.; Booth, S.G.; Essafi, S.; Dryfe, R.A.W.; Leonori, D. Visible-Light-Mediated Generation of Nitrogen-Centered Radicals: Metal-Free Hydroimination and Iminohydroxylation Cyclization Reactions. Angew. Chem. Int. Ed. 2015, 54, 14017–14021. [Google Scholar] [CrossRef] [PubMed]
- Jiang, H.; An, X.; Tong, K.; Zheng, T.; Zhang, Y.; Yu, S. Visible-Light-Promoted Iminyl-Radical Formation from Acyl Oximes: A Unified Approach to Pyridines, Quinolines, and Phenanthridines. Angew. Chem. Int. Ed. 2015, 54, 4055–4059. [Google Scholar] [CrossRef] [PubMed]
- Jiang, H.; Studer, A. Iminyl-Radicals by Oxidation of α-Imino-oxy Acids: Photoredox-Neutral Alkene Carboimination for the Synthesis of Pyrrolines. Angew. Chem. Int. Ed. 2017, 56, 12273–12276. [Google Scholar] [CrossRef]
- Chen, J.R.; Hu, X.Q.; Lu, L.Q.; Xiao, W.J. Visible light photoredox-controlled reactions of N-radicals and radical ions. Chem. Soc. Rev. 2016, 45, 2044–2056. [Google Scholar] [CrossRef]
- Jian, Y.; Chen, M.; Yang, C.; Xia, W.-J. Minisci-Type C–H Cyanoalkylation of Heteroarenes Through N–O/C–C Bonds Cleavage. Eur. J. Org. Chem. 2020, 2020, 1439–1442. [Google Scholar] [CrossRef]
- Yu, X.; Chen, J.; Wang, P.; Yang, M.; Liang, D.; Xiao, W. Photoredox Catalysis A Visible-Light-Driven Iminyl Radical-Mediated C–C Single Bond Cleavage/Radical Addition Cascade of Oxime Esters. Angew. Chem. Int. Ed. 2018, 57, 738–743. [Google Scholar] [CrossRef]
- Yuan, Y.; Dong, W.H.; Gao, X.S.; Xie, X.M.; Zhang, Z.G. Visible-light-induced radical cascade cyclization of oxime esters and aryl isonitriles: Synthesis of cyclopenta[b]quinoxalines. Chem. Commun. 2019, 55, 11900–11903. [Google Scholar] [CrossRef]
- Wang, P.Z.; Yu, X.Y.; Li, C.Y.; He, B.Q.; Chen, J.R.; Xiao, W.J. A photocatalytic iminyl radical-mediated C–C bond cleavage/addition/cyclization cascade for the synthesis of 1,2,3,4-tetrahydrophenanthrenes. Chem. Commun. 2018, 54, 9925–9928. [Google Scholar] [CrossRef] [PubMed]
- Zhu, Z.; Chen, K.; Yu, L.; Tang, X.; Shi, M. Copper(I)-Catalyzed Intramolecular Trifluoromethylation of Methylenecyclopropanes. Org. Lett. 2015, 17, 5994–5997. [Google Scholar] [CrossRef] [PubMed]
- Chen, M.T.; Tang, X.Y.; Shi, M. A facile approach for the trifluoromethylthiolation of methylenecyclopropanes. Org. Chem. Front. 2017, 4, 86–90. [Google Scholar] [CrossRef]
- Liu, Y.; Wang, Q.; Zhou, C.; Xiong, B.; Zhang, P.; Yang, C. Metal-Free Oxidative C−C Bond Functionalization of Methylenecyclopropanes with Ethers Leading to 2-Substituted 3,4-Dihydronaphthalenes. J. Org. Chem. 2017, 82, 7394–7401. [Google Scholar] [CrossRef] [PubMed]
- Liu, Y.; Wang, Q.L.; Chen, Z.; Zhou, Q.; Li, H.; Xu, W.Y.; Xiong, B.Q.; Tang, K.W. Oxone-Mediated Radical C–C Bond Acetmethylation/Arylation of Methylenecyclopropanes and Vinylcyclopropanes with α-Alkyl Ketones: Facile Access to Oxoalkyl-Substituted 3,4-Dihydronaphthalenes. J. Org. Chem. 2019, 84, 5413–5424. [Google Scholar] [CrossRef] [PubMed]
- Liu, Y.; Wang, Q.; Zhou, C.; Xiong, B.; Zhang, P.; Yang, C.; Tang, K. Oxidative C−C Bond Functionalization of Methylenecyclopropanes with Aldehydes for the Formation of 2-Acyl-3,4-dihydronaphthalenes. J. Org. Chem. 2018, 83, 4657–4664. [Google Scholar] [CrossRef]
- Liu, Y.; Wang, Q.; Chen, Z.; Zhou, Q.; Zhou, C.; Xiong, B.; Zhang, P.; Yang, C.; Tang, K. Biomolecular Chemistry sodium sulfinates: Facile access to 3-sulfonyl-1,2-dihydronaphthalenes. Org. Biomol. Chem. 2019, 17, 1365–1369. [Google Scholar] [CrossRef]
- Liu, Y.; Wang, Q.L.; Chen, Z.; Zhou, Q.; Li, H.; Zhou, C.S.; Xiong, B.Q.; Zhang, P.L.; Tang, K.W. Visible-Light-Catalyzed C–C Bond Difunctionalization of Methylenecyclopropanes with Sulfonyl Chlorides for the Synthesis of 3-Sulfonyl-1,2-dihydronaphthalenes. J. Org. Chem. 2019, 84, 2829–2839. [Google Scholar] [CrossRef]
- Liu, Y.; Wang, Q.L.; Chen, Z.; Li, H.; Xiong, B.Q.; Zhang, P.L.; Tang, K.W. Visible-light photoredox-catalyzed dual C–C bond cleavage: Synthesis of 2-cyanoalkylsulfonylated 3,4-dihydronaphthalenes through the insertion of sulfur dioxide. Chem. Commun. 2020, 56, 3011–3014. [Google Scholar] [CrossRef]
- Shao, L.-X.; Shi, M. Lewis and Bronsted Acid Mediated Ring-Opening Reactions of Methylenecyclopropanes and Further Transformation of the Ring-Opened Products. Curr. Org. Chem. 2007, 11, 1135–1153. [Google Scholar] [CrossRef]
- Rakhmankulov, E.R.; Ivanov, K.L.; Budynina, E.M.; Ivanova, O.A.; Chagarovskiy, A.O.; Skvortsov, D.A.; Latyshev, G.V.; Trushkov, I.V.; Melnikov, M.Y. Lewis and Brønsted acid induced (3 + 2)-annulation of donor-acceptor cyclopropanes to alkynes: Indene assembly. Org. Lett. 2015, 17, 770–773. [Google Scholar] [CrossRef] [PubMed]
- Varshnaya, R.K.; Banerjee, P. Lewis Acid-Catalyzed [3 + 3] Annulation of Donor−Acceptor Cyclopropanes and Indonyl Alcohols: One Step Synthesis of Substituted Carbazoles with Promising Photophysical Properties. J. Org. Chem. 2019, 84, 1614–1623. [Google Scholar] [CrossRef] [PubMed]
- Liu, Q.; Yan, W.; Wang, L.; Zhang, X.P.; Tang, Y. One-Pot Catalytic Asymmetric Synthesis of Tetrahydrocarbazoles. Org. Lett. 2015, 17, 4014–4017. [Google Scholar] [CrossRef] [PubMed]
- Zhu, P.L.; Tang, X.Y.; Shi, M. Intramolecular cyclizations of cyclopropenes with indole. Chem. Commun. 2016, 52, 7245–7248. [Google Scholar] [CrossRef]
- Cao, Z.; Zhu, J.B.; Wang, L.; Liao, S.; Tang, Y. A Synthesis of Multifunctionalized Indoles from [3 + 2] Annulation of 2-Bromocyclopropenes with Anilines. Org. Lett. 2019, 21, 4097–4100. [Google Scholar] [CrossRef]
- Gerosa, G.G.; Schwengers, S.A.; Maji, R.; De, C.K.; List, B. Homologation of the Fischer Indolization: A Quinoline Synthesis via Homo-Diaza-Cope Rearrangement. Angew. Chem. Int. Ed. 2020, 59, 20485–20488. [Google Scholar] [CrossRef]
- He, T.; Wang, G.; Long, P.-W.; Kemper, S.; Irran, E.; Klare, H.F.T.; Oestreich, M. Intramolecular Friedel–Crafts alkylation with a silylium-ion-activated cyclopropyl group: Formation of tricyclic ring systems from benzyl-substituted vinylcyclopropanes and hydrosilanes. Chem. Sci. 2020. [Google Scholar] [CrossRef]
- Lutz, M.D.R.; Morandi, B. Metal-Catalyzed Carbon-Carbon Bond Cleavage of Unstrained Alcohols. Chem. Rev. 2020. [Google Scholar] [CrossRef]
- Nogi, K.; Yorimitsu, H. Carbon-Carbon Bond Cleavage at Allylic Positions: Retro-allylation and Deallylation. Chem. Rev. 2020. [Google Scholar] [CrossRef]
- Xia, Y.; Dong, G. Temporary or removable directing groups enable activation of unstrained C–C bonds. Nat. Rev. Chem. 2020, 4, 600–614. [Google Scholar] [CrossRef]
- Iwasaki, M.; Araki, Y.; Nishihara, Y. Phenanthrene Synthesis by Palladium-Catalyzed Benzannulation with o-Bromobenzyl Alcohols through Multiple Carbon-Carbon Bond Formations. J. Org. Chem. 2017, 82, 6242–6258. [Google Scholar] [CrossRef] [PubMed]
- Yu, T.Y.; Zheng, Z.J.; Sun, W.; Qiao, Z.H. Direct C2-Heteroarylation of Indoles by Rhodium-Catalyzed C−C Bond Cleavage of Secondary Alcohols. Asian J. Org. Chem. 2019, 8, 466–469. [Google Scholar] [CrossRef]
- Qiu, Y.; Scheremetjew, A.; Ackermann, L. Electro-Oxidative C–C Alkenylation by Rhodium(III) Catalysis. J. Am. Chem. Soc. 2019, 141, 2731–2738. [Google Scholar] [CrossRef] [PubMed]
- Caspers, L.D.; Nachtsheim, B.J. Directing-Group-mediated C−H-Alkynylations. Chem. Asian J. 2018, 13, 1231–1247. [Google Scholar] [CrossRef] [PubMed]
- Li, T.; Wang, Z.; Zhang, M.; Zhang, H.J.; Wen, T. Bin Rh/Cu-catalyzed multiple C–H, C–C, and C–N bond cleavage: Facile synthesis of pyrido[2,1-a]indoles from 1-(pyridin-2-yl)-1H-indoles and γ-substituted propargyl alcohols. Chem. Commun. 2015, 51, 6777–6780. [Google Scholar] [CrossRef] [PubMed]
- Li, T.; Wang, Z.; Qin, W.B.; Wen, T. Bin Rhodium-Catalyzed/Copper-Mediated Selective C2 Alkynylation of Indoles and C1 Alkynylation of Carbazoles with γ-Substituted tert-Propargyl Alcohols. ChemCatChem 2016, 8, 2146–2154. [Google Scholar] [CrossRef]
- Li, T.; Wang, Z.; Xu, K.; Liu, W.; Zhang, X.; Mao, W.; Guo, Y.; Ge, X.; Pan, F. Rhodium-Catalyzed/Copper-Mediated Tandem C(sp2)-H Alkynylation and Annulation: Synthesis of 11-Acylated Imidazo[1,2-a:3,4-a’]dipyridin-5-ium-4-olates from 2H-[1,2′-Bipyridin]-2-ones and Propargyl Alcohols. Org. Lett. 2016, 18, 1064–1067. [Google Scholar] [CrossRef]
- Yan, X.; Ye, R.; Sun, H.; Zhong, J.; Xiang, H.; Zhou, X. Synthesis of 2-Arylindoles by Rhodium-Catalyzed/Copper-Mediated Annulative Coupling of N-Aryl-2-aminopyridines and Propargyl Alcohols via Selective C–H/C–C Activation. Org. Lett. 2019, 21, 7455–7459. [Google Scholar] [CrossRef]
- He, S.; Yan, X.; Lei, Y.; Xiang, H.; Zhou, X. Rhodium-catalyzed annulative coupling of N-aryl-2-aminopyridine and propargylic amine via selective C–C and C–H bond activation. Chem. Commun. 2020, 56, 2284–2287. [Google Scholar] [CrossRef]
- Nakao, Y. Metal-mediated C–CN Bond Activation in Organic Synthesis. Chem. Rev. 2020. [Google Scholar] [CrossRef]
- Hanson, M.G.; Olson, N.M.; Yi, Z.; Wilson, G.; Kalyani, D. Nickel-Catalyzed Coupling of Azoles with Aromatic Nitriles. Org. Lett. 2017, 19, 4271–4274. [Google Scholar] [CrossRef] [PubMed]
- Liu, B.; Liu, M.; Li, Q.; Li, Y.; Feng, K.; Zhou, Y. The palladium-catalyzed direct C3-cyanation of indoles using acetonitrile as the cyanide source. Org. Biomol. Chem. 2020, 18, 6108–6114. [Google Scholar] [CrossRef] [PubMed]
- Zhao, M.; Zhang, W.; Shen, Z. Cu-Catalyzed Cyanation of Indoles with Acetonitrile as a Cyano Source. J. Org. Chem. 2015, 80, 8868–8873. [Google Scholar] [CrossRef] [PubMed]
- Xia, Y.; Lu, G.; Liu, P.; Dong, G. Catalytic activation of carbon–carbon bonds in cyclopentanones. Nature 2016, 539, 546–550. [Google Scholar] [CrossRef] [PubMed]
- Xia, Y.; Wang, J.; Dong, G. Distal-Bond-Selective C−C Activation of Ring-Fused Cyclopentanones: An Efficient Access to Spiroindanones. Angew. Chem. Int. Ed. 2017, 56, 2376–2380. [Google Scholar] [CrossRef] [PubMed]
- Tran, V.T.; Gurak, J.A.; Yang, K.S.; Engle, K.M. Activation of diverse carbon–heteroatom and carbon–carbon bonds via palladium(II)-catalysed β-X elimination. Nat. Chem. 2018, 10, 1126–1133. [Google Scholar] [CrossRef] [PubMed]
- Pérez-Gómez, M.; Azizollahi, H.; Franzoni, I.; Larin, E.M.; Lautens, M.; García-López, J.A. Tandem Remote Csp3–H Activation/Csp3–Csp3 Cleavage in Unstrained Aliphatic Chains Assisted by Palladium(II). Organometallics 2019, 38, 973–980. [Google Scholar] [CrossRef]
- Onodera, S.; Ishikawa, S.; Kochi, T.; Kakiuchi, F. Direct Alkenylation of Allylbenzenes via Chelation-Assisted C–C Bond Cleavage. J. Am. Chem. Soc. 2018, 140, 9788–9792. [Google Scholar] [CrossRef]
- Onodera, S.; Togashi, R.; Ishikawa, S.; Kochi, T.; Kakiuchi, F. Catalytic, Directed C–C Bond Functionalization of Styrenes. J. Am. Chem. Soc. 2020, 142, 7345–7349. [Google Scholar] [CrossRef]
- Yu, S.; Lv, N.; Liu, Z.; Zhang, Y. Cu(II)-Mediated C−C/C−O Bond Formation via C−H/C−C Bond Cleavage: Access to Benzofurans Using Amide as a Traceless Directing Group. Adv. Synth. Catal. 2020, 362, 118–125. [Google Scholar] [CrossRef]
- Pannilawithana, N.; Yi, C.S. Catalytic Carbon-Carbon Bond Activation of Saturated and Unsaturated Carbonyl Compounds via Chelate-Assisted Coupling Reaction with Indoles. ACS Catal. 2020, 10, 5852–5861. [Google Scholar] [CrossRef]
- Yang, Z.; Yue, Q.; Yang, M.; Zhang, H.; Cui, X. Ru(II)-Catalyzed Tunable Cascade Reaction via C–H/C–C Bond Cleavage. J. Org. Chem. 2020, 85, 12960–12970. [Google Scholar] [CrossRef] [PubMed]
- Zheng, G.; Sun, J.; Xu, Y.; Zhai, S.; Li, X. Mn-Catalyzed Dehydrocyanative Transannulation of Heteroarenes and Propargyl Carbonates through C–H Activation: Beyond the Permanent Directing Effects of Pyridines /Pyrimidines. Angew. Chem. Int. Ed. 2019, 58, 5090–5094. [Google Scholar] [CrossRef] [PubMed]
- Zhu, C.; Kuniyil, R.; Ackermann, L. Manganese(I)-Catalyzed C–H Activation/Diels–Alder/retro-Diels–Alder Domino Alkyne Annulation featuring Transformable Pyridines. Angew. Chem. Int. Ed. 2019, 58, 5338–5342. [Google Scholar] [CrossRef]
- Li, X.; Rao, J.; Ouyang, W.; Chen, Q.; Cai, N.; Lu, Y.; Huo, Y. Sequential C−H and C−C Bond Cleavage: Divergent Constructions of Fused N-Heterocycles via Tunable Cascade. ACS Catal. 2019, 9, 8749–8756. [Google Scholar] [CrossRef]
- Zhang, G.; Hu, Z.; Belitz, F.; Ou, Y.; Pirkl, N.; Gooßen, L.J. Rhodium-Catalyzed Annelation of Benzoic Acids with α,β-Unsaturated Ketones with Cleavage of C−H, CO−OH, and C−C Bonds. Angew. Chem. Int. Ed. 2019, 58, 6435–6439. [Google Scholar] [CrossRef]
- Liu, B.; Yuan, Y.; Hu, P.; Zheng, G.; Bai, D.; Chang, J.; Li, X. Mn(I)-Catalyzed nucleophilic addition/ring expansion: Via C–H activation and C–C cleavage. Chem. Commun. 2019, 55, 10764–10767. [Google Scholar] [CrossRef]
- Wang, Y.; Li, B.; Wang, B. RhIII-Catalyzed Synthesis of Cyclopenta[b]carbazoles via Cascade C–H/C–C Bond Cleavage and Cyclization Reactions: Using Amide as a Traceless Directing Group. Org. Lett. 2020, 22, 83–87. [Google Scholar] [CrossRef]
- Borah, A.J.; Shi, Z. Palladium-catalyzed regioselective C–H fluoroalkylation of indoles at the C4-position. Chem. Commun. 2017, 53, 3945–3948. [Google Scholar] [CrossRef]
- Chowdhury, D.; Dana, S.; Mandal, A.; Baidya, M. A ruthenium-catalyzed free amine directed (5 + 1) annulation of anilines with olefins: Diverse synthesis of phenanthridine derivatives. Chem. Commun. 2019, 55, 11908–11911. [Google Scholar] [CrossRef]
- Wen, S.; Chen, Y.; Zhao, Z.; Ba, D.; Lv, W.; Cheng, G. Ruthenium(II)-Catalyzed Construction of Isocoumarins via Dual C−H/C−C Activation of Sulfoxonium Ylides. J. Org. Chem. 2020, 85, 1216–1223. [Google Scholar] [CrossRef] [PubMed]
- Zhou, M.; Peng, Z.; Wang, H.; Wang, Z.; Hao, D. Ruthenium(II)-Catalyzed Homocoupling of Weakly Coordinating Sulfoxonium Ylides via C–H Activation/Annulations: Synthesis of Functionalized Isocoumarins. Adv. Synth. Catal. 2019, 361, 5191–5197. [Google Scholar] [CrossRef]
- Bao, H.; Xu, Z.; Wu, D.; Zhang, H.; Jin, H.; Liu, Y. Copper(0)/Selectfluor System-Promoted Oxidative Carbon-Carbon Bond Cleavage/Annulation of o-Aryl Chalcones: An Unexpected Synthesis of 9,10-Phenanthraquinone Derivatives. J. Org. Chem. 2017, 82, 109–118. [Google Scholar] [CrossRef] [PubMed]
- Sakurai, S.; Tobisu, M. Iridium-Mediated Arylation of Quinoline via the Cleavage of Carbon-Carbon and Carbon-Nitrogen Bonds of 1,3-Dimesitylimidazol-2-ylidene. Organometallics 2019, 38, 2834–2838. [Google Scholar] [CrossRef]
- Li, W.; Xu, W.; Xie, J.; Yu, S.; Zhu, C. Distal radical migration strategy: An emerging synthetic means. Chem. Soc. Rev. 2018, 47, 654–667. [Google Scholar] [CrossRef] [PubMed]
- Sivaguru, P.; Wang, Z.; Zanoni, G.; Bi, X. Cleavage of carbon-carbon bonds by radical reactions. Chem. Soc. Rev. 2019, 48, 2615–2656. [Google Scholar] [CrossRef]
- Chen, H.; Yu, S. Remote C-C bond formation: Via visible light photoredox-catalyzed intramolecular hydrogen atom transfer. Org. Biomol. Chem. 2020, 18, 4519–4532. [Google Scholar] [CrossRef]
- Wu, X.; Wang, M.; Huan, L.; Wang, D.; Wang, J.; Zhu, C. Tertiary-Alcohol-Directed Functionalization of Remote C(sp3)−H Bonds by Sequential Hydrogen Atom and Heteroaryl Migrations. Angew. Chem. Int. Ed. 2018, 57, 1640–1644. [Google Scholar] [CrossRef]
- Wu, S.; Wu, X.; Wang, D.; Zhu, C. Regioselective Vinylation of Remote Unactivated C(sp3)−H Bonds: Access to Complex Fluoroalkylated Alkenes. Angew. Chem. Int. Ed. 2019, 58, 1499–1503. [Google Scholar] [CrossRef]
- Yang, S.; Wu, X.; Wu, S.; Zhu, C. Regioselective Sulfonylvinylation of the Unactivated C(sp3)−H Bond via a C–Centered Radical-Mediated Hydrogen Atom Transfer (HAT) Process. Org. Lett. 2019, 21, 4837–4841. [Google Scholar] [CrossRef]
- He, F.S.; Yao, Y.; Xie, W.; Wu, J. Metal-Free Synthesis of (E)-Vinyl Sulfones via An Insertion of Sulfur Dioxide/1,5-Hydrogen Atom Transfer Sequence. Adv. Synth. Catal. 2020, 362, 4744–4748. [Google Scholar] [CrossRef]
- Zhao, Q.; Ji, X.S.; Gao, Y.Y.; Hao, W.J.; Zhang, K.Y.; Tu, S.J.; Jiang, B. Merging “Anti-Baldwin” 3-Exo-Dig Cyclization with 1,2-Alkynyl Migration for Radical Alkylalkynylation of Unactivated Olefins. Org. Lett. 2018, 20, 3596–3600. [Google Scholar] [CrossRef] [PubMed]
- Xu, Y.; Wu, Z.; Jiang, J.; Ke, Z.; Zhu, C. Merging Distal Alkynyl Migration and Photoredox Catalysis for Radical Trifluoromethylative Alkynylation of Unactivated Olefins. Angew. Chem. Int. Ed. 2017, 56, 4545–4548. [Google Scholar] [CrossRef] [PubMed]
- Tian, T.; Wang, X.; Lv, L.; Li, Z. Iron-catalyzed acylation-functionalization of unactivated alkenes with aldehydes. Chem. Commun. 2020, 56, 14637–14640. [Google Scholar] [CrossRef]
- Sen, C.; Ghosh, S.C. Transition-Metal-Free Regioselective Alkylation of Quinoline N-Oxides via Oxidative Alkyl Migration and C−C Bond Cleavage of tert-/sec-Alcohols. Adv. Synth. Catal. 2018, 360, 905–910. [Google Scholar] [CrossRef]
- Wang, Y.; Yang, L.; Liu, S.; Huang, L.; Liu, Z.Q. Surgical Cleavage of Unstrained C(sp3)−C(sp3) Bonds in General Alcohols for Heteroaryl C−H Alkylation and Acylation. Adv. Synth. Catal. 2019, 361, 4568–4574. [Google Scholar] [CrossRef]
- Zheng, L.; Huang, H.; Yang, C.; Xia, W. UV light-mediated difunctionalization of alkenes through aroyl radical addition/1,4-/1,2-Aryl shift cascade reactions. Org. Lett. 2015, 17, 1034–1037. [Google Scholar] [CrossRef]
- He, B.Q.; Gao, Y.; Wang, P.Z.; Wu, H.; Zhou, H.B.; Liu, X.P.; Chen, J.R. Dual photoredox/palladium-catalyzed C–H acylation of 2-arylpyridines with oxime esters. Synlett 2020, 31. [Google Scholar] [CrossRef]
- Fan, X.; Lei, T.; Chen, B.; Tung, C.H.; Wu, L.Z. Photocatalytic C–C Bond Activation of Oxime Ester for Acyl Radical Generation and Application. Org. Lett. 2019, 21, 4153–4158. [Google Scholar] [CrossRef]
- Zhang, M.Z.; Ji, P.Y.; Liu, Y.F.; Guo, C.C. Transition-Metal-Free Synthesis of Carbonyl-Containing Oxindoles from N-Arylacrylamides and α-Diketones via TBHP- or Oxone-Mediated Oxidative Cleavage of C(sp2)–C(sp2) Bonds. J. Org. Chem. 2015, 80, 10777–10786. [Google Scholar] [CrossRef]
- Li, C.; Zhu, W.; Shu, S.; Wu, X.; Liu, H. Palladium-catalyzed C2-acylation of indoles with α-diketones assisted by the removable N-(2-pyrimidyl) group. Eur. J. Org. Chem. 2015, 2015, 3743–3750. [Google Scholar] [CrossRef]
- Liu, L.; Zhang, T.; Yang, Y.; Zhang-negrerie, D.; Zhang, X.; Du, Y.; Wu, Y.; Zhao, K. Metal-Free Synthesis of 3-Arylquinolin-2-ones from Acrylic Amides via a Highly Regioselective 1,2-Aryl Migration: An Experimental and Computational Study. J. Org. Chem. 2016, 81, 4058–4065. [Google Scholar] [CrossRef] [PubMed]
- Liu, L.; Lu, H.; Wang, H.; Yang, C.; Zhang, X.; Zhang-Negrerie, D.; Du, Y.; Zhao, K. PhI(OCOCF3)2-Mediated C–C Bond Formation Concomitant with a 1,2-Aryl Shift in a Metal-Free Synthesis of 3-Arylquinolin-2-ones. Org. Lett. 2013, 15, 2906–2909. [Google Scholar] [CrossRef] [PubMed]
- Zhu, X.Y.; Han, Y.P.; Li, M.; Li, X.S.; Liang, Y.M. Copper-Catalyzed Radical Sulfonylation of N-Propargylindoles with Concomitant 1,2-Aryl Migration. Adv. Synth. Catal. 2018, 360, 3460–3465. [Google Scholar] [CrossRef]
- Wen, X.; Li, X.; Luo, X.; Wang, W.; Song, S.; Jiao, N. Intramolecular Csp3–H/C–C bond amination of alkyl azides for the selective synthesis of cyclic imines and tertiary amines. Chem. Sci. 2020, 11, 4482–4487. [Google Scholar] [CrossRef]
- Xu, H.; Yu, F.; Huang, R.; Weng, M.; Chen, H.; Zhang, Z. Synthesis of polysubstituted quinolines through promoter-regulated selective annulation and C–C bond cleavage from 2-styrylanilines and β-keto esters. Org. Chem. Front. 2020, 7, 3368–3373. [Google Scholar] [CrossRef]
- Zhao, P.; Yu, X.X.; Zhou, Y.; Geng, X.; Wang, C.; Huang, C.; Wu, Y.D.; Zhu, Y.P.; Wu, A.X. Splitting Methyl Ketones into Two Parts: Synthesis of 4(3H)-Quinazolinones via Consecutive Cyclization/Ring-Opening Reaction. Org. Lett. 2020, 22, 7103–7107. [Google Scholar] [CrossRef]
- Challa, C.; Varughese, S.; Suresh, C.H.; Lankalapalli, R.S. Metal-Free Multiple Carbon-Carbon and Carbon-Hydrogen Bond Activations via Charge-Switching Mechanism in Unstrained Diindolylmethanes. Org. Lett. 2017, 19, 4219–4222. [Google Scholar] [CrossRef]
- Schmid, M.; Sokol, K.R.; Wein, L.A.; Torres Venegas, S.; Meisenbichler, C.; Wurst, K.; Podewitz, M.; Magauer, T. Synthesis of Vicinal Quaternary All-Carbon Centers via Acid-catalyzed Cycloisomerization of Neopentylic Epoxides. Org. Lett. 2020, 22, 6526–6531. [Google Scholar] [CrossRef]
- Chen, P.; Nan, J.; Hu, Y.; Kang, Y.; Wang, B.; Ma, Y.; Szostak, M. Metal-free tandem carbene N–H insertions and C–C bond cleavages. Chem. Sci. 2020. [Google Scholar] [CrossRef]
- Wang, C.S.; Fan, T.; Zhang, H.H.; Li, C.; Shen, Y.; Mei, G.J.; Shi, F. Gallium Bromide-Promoted Dearomative Indole Insertion in 3-Indolylmethanols: Chemoselective and (Z/E)-Selective Synthesis of 3,3’-Bisindole Derivatives. J. Org. Chem. 2016, 81, 11734–11742. [Google Scholar] [CrossRef] [PubMed]
- Cen, J.; Li, J.; Zhang, Y.; Zhu, Z.; Yang, S.; Jiang, H. Direct Assembly of 4-Substituted Quinolines with Vinyl Azides as a Dual Synthon via C=C and C–N Bond Cleavage. Org. Lett. 2018, 20, 4434–4438. [Google Scholar] [CrossRef] [PubMed]
- Kong, L.; Wang, M.; Wang, Y.; Song, B.; Yang, Y.; Yao, Q.; Li, Y. Merging base-promoted C–C bond cleavage and iron-catalyzed skeletal rearrangement involving C–C/C–H bond activation: Synthesis of highly functionalized carbazoles. Chem. Commun. 2018, 54, 11009–11012. [Google Scholar] [CrossRef] [PubMed]
- Yang, Y.; Huang, J.; Tan, H.; Kong, L.; Wang, M.; Yuan, Y.; Li, Y. Synthesis of cyano-substituted carbazoles via successive C–C/C–H cleavage. Org. Biomol. Chem. 2019, 17, 958–965. [Google Scholar] [CrossRef]
- Wang, M.; Kong, L.; Wang, Y.; Song, B.; Sun, Y.; Tang, R.; Li, Y. Sequential C–C σ-Bond Cleavage/(sp2) C–O Bond Formation via C–H Functionalization toward Pyranoindolones Fused with Medium-Sized Rings. Org. Lett. 2018, 20, 6130–6134. [Google Scholar] [CrossRef]
- Zhou, M.B.; Li, Y.; Ouyang, X.H.; Li, J.H. Transformations of N-arylpropiolamides to indoline-2,3-diones and acids via C≡C triple bond oxidative cleavage and C(sp2)–H functionalization. Sci. China Chem. 2020, 63, 222–227. [Google Scholar] [CrossRef]
- Zhao, P.; Yu, X.-X.; Zhou, Y.; Huang, C.; Wu, Y.-D.; Zhu, Y.-P.; Wu, A.-X. Arylacetylenes as two-carbon synthons: Synthesis of eight-membered rings via C–C bond cleavage. Chem. Commun. 2020, 56, 12554–12557. [Google Scholar] [CrossRef]
- Sharma, S.; Kumar, M.; Vishwakarma, R.A.; Verma, M.K.; Singh, P.P. Room Temperature Metal-Catalyzed Oxidative Acylation of Electron-Deficient Heteroarenes with Alkynes, Its Mechanism, and Application Studies. J. Org. Chem. 2018, 83, 12420–12431. [Google Scholar] [CrossRef]
- Long, Z.; Yang, Y.; You, J. Rh(III)-Catalyzed [4 + 1]-Annulation of Azoxy Compounds with Alkynes: A Regioselective Approach to 2H-Indazoles. Org. Lett. 2017, 19, 2781–2784. [Google Scholar] [CrossRef]
Publisher’s Note: MDPI stays neutral with regard to jurisdictional claims in published maps and institutional affiliations. |
© 2020 by the authors. Licensee MDPI, Basel, Switzerland. This article is an open access article distributed under the terms and conditions of the Creative Commons Attribution (CC BY) license (http://creativecommons.org/licenses/by/4.0/).




























































































