Biotransformation of Oleanane and Ursane Triterpenic Acids
Abstract
1. Introduction
2. Distribution in Nature

3. Biosynthesis of Pentacyclic Triterpenic Acids Using Microorganisms


4. Biological Activities of Triterpenic Acids and Their Native Derivatives




5. Biological Transformation
5.1. Fungal Transformation








5.2. Bacterial Transformation





6. Conclusions
Author Contributions
Funding
Conflicts of Interest
References
- Calixto, J.B. The role of natural products in modern drug discovery. An. Acad. Bras. Ciênc. 2019, 91, e20190105. [Google Scholar] [CrossRef] [PubMed]
- Kumar, D.; Dubey, K.K. Hybrid approach for transformation for betulin (an anti-HIV molecule). In New and Future Developments in Microbial Biotechnology and Bioengineering; Gupta, P., Pandey, A., Eds.; Elsevier BV: Amsterdam, The Netherlands, 2019; pp. 193–203. [Google Scholar] [CrossRef]
- Duric, K.; Kovac-Besovic, E.; Niksic, H.; Sofic, E. Antibacterial activity of methanolic extracts, decoction and isolated triterpene products from different parts of birch, Betula pendula, Roth. J. Plant Stud. 2013, 2, 61–70. [Google Scholar] [CrossRef]
- Song, N.Y.; Cho, J.G.; Im, D.; Lee, D.Y.; Wu, Q.; Seo, W.D.; Kang, H.C.; Lee, Y.H.; Baek, N.I. Triterpenoids from Fragaria ananassa calyx and their inhibitory effects on melanogenesis in B16-F10 mouse melanoma cells. Nat. Prod. Res. 2013, 27, 2219–2223. [Google Scholar] [CrossRef] [PubMed]
- Zou, L.-W.; Dou, T.-Y.; Wang, P.; Lei, W.; Weng, Z.-M.; Hou, J.; Wang, D.-D.; Fan, Y.-M.; Zhang, W.-D.; Ge, G.; et al. Structure-activity relationships of pentacyclic triterpenoids as potent and selective inhibitors against human carboxylesterase 1. Front. Pharmacol. 2017, 8, 435. [Google Scholar] [CrossRef]
- Zhang, J.; Liu, F.; Zhang, X. Inhibition of proliferation of SGC7901 and BGC823 human gastric cancer cells by ursolic acid occurs through a caspase-dependent apoptotic pathway. Med Sci. Monit. 2019, 25, 6846–6854. [Google Scholar] [CrossRef]
- Feng, J.; Yi, X.; Huang, W.; Wang, Y.; He, X. Novel triterpenoids and glycosides from durian exert pronounced anti-inflammatory activities. Food Chem. 2018, 241, 215–221. [Google Scholar] [CrossRef]
- Alho, D.P.S.; Salvador, J.A.R.; Cascante, M.; Marin, S. Synthesis and antiproliferative activity of novel heterocyclic glycyrrhetinic acid derivatives. Molecules 2019, 24, 766. [Google Scholar] [CrossRef]
- Chouaïb, K.; Hichri, F.; Nguir, A.; Daami-Remadi, M.; Elie, N.; Touboul, D.; Ben Jannet, H.; Hamza, M.A. Semi-synthesis of new antimicrobial esters from the natural oleanolic and maslinic acids. Food Chem. 2015, 183, 8–17. [Google Scholar] [CrossRef]
- Grishko, V.V.; Galaiko, N.V.; Tolmacheva, I.A.; Kucherov, I.I.; Eremin, V.F.; Boreko, E.I.; Savinova, O.V.; Slepukhin, P.A. Functionalization, cyclization and antiviral activity of A-secotriterpenoids. Eur. J. Med. Chem. 2014, 83, 601–608. [Google Scholar] [CrossRef]
- Wu, P.P.; Zhang, B.J.; Cui, X.P.; Yang, Y.; Jiang, Z.Y.; Zhou, Z.H.; Zhong, Y.Y.; Mai, Y.Y.; Ouyang, Z.; Chen, H.S.; et al. Synthesis and biological evaluation of novel ursolic acid analogues as potential α-glucosidase inhibitors. Sci. Rep. 2017, 7, 45578. [Google Scholar] [CrossRef]
- Shah, S.A.A.; Tan, H.L.; Sultan, S.; Faridz, M.A.B.M.; Shah, M.A.B.M.; Nurfazilah, S.; Hussain, M. Microbial-catalyzed biotransformation of multifunctional triterpenoids derived from phytonutrients. Int. J. Mol. Sci. 2014, 15, 12027–12060. [Google Scholar] [CrossRef] [PubMed]
- Fu, S.B.; Yang, J.-S.; Cui, J.L.; Sun, D.-A. Biotransformation of ursolic acid by Syncephalastrum racemosum CGMCC 3.2500 and anti-HCV activity. Fitoterapia 2013, 86, 123–128. [Google Scholar] [CrossRef]
- Ma, Y.; Liu, J.M.; Chen, R.; An, X.Q.; Dai, J.G. Microbial transformation of glycyrrhetinic acid and potent neural anti-inflammatory activity of the metabolites. Chin. Chem. Lett. 2017, 28, 1200–1204. [Google Scholar] [CrossRef]
- Yan, S.; Lin, H.; Huang, H.-L.; Yang, M.; Xu, B.; Chen, G.-T. Microbial hydroxylation and glycosidation of oleanolic acid by Circinella muscae and their anti-inflammatory activities. Nat. Prod. Res. 2018, 33, 1849–1855. [Google Scholar] [CrossRef] [PubMed]
- Ludwig, B.; Geib, D.; Haas, C.; Steingroewer, J.; Bley, T.; Muffler, K.; Ulber, R. Whole-cell biotransformation of oleanolic acid by free and immobilized cells of Nocardia iowensis: Characterization of new metabolites. Eng. Life Sci. 2015, 15, 108–115. [Google Scholar] [CrossRef]
- Xu, S.H.; Zhang, C.; Wang, W.W.; Yu, B.Y.; Zhang, J. Site-selective biotransformation of ursane triterpenes by Streptomyces griseus ATCC 13273. RSC Adv. 2017, 7, 20754–20759. [Google Scholar] [CrossRef]
- Zhang, C.; Xu, S.-H.; Ma, B.-L.; Wang, W.-W.; Yu, B.; Zhang, J. New derivatives of ursolic acid through the biotransformation by Bacillus megaterium CGMCC 1.1741 as inhibitors on nitric oxide production. Bioorg. Med. Chem. Lett. 2017, 27, 2575–2578. [Google Scholar] [CrossRef] [PubMed]
- Grishko, V.V.; Tarasova, E.V.; Ivshina, I.B. Biotransformation of betulin to betulone by growing and resting cells of the actinobacterium Rhodococcus rhodochrous IEGM 66. Process. Biochem. 2013, 48, 1640–1644. [Google Scholar] [CrossRef]
- Tarasova, E.V.; Grishko, V.V.; Ivshina, I.B. Cell adaptations of Rhodococcus rhodochrous IEGM 66 to betulin biotransformation. Process. Biochem. 2017, 52, 1–9. [Google Scholar] [CrossRef]
- Laskin, A.I.; Grabowich, P.; Fried, J.; Meyers, C.D.L. Transformations of eburicoic acid. V. Cleavage of ring A by the fungus Glomerella fusarioides. J. Med. Chem. 1964, 7, 406–409. [Google Scholar] [CrossRef]
- Canonica, L.; Jommi, G.; Pagnoni, U.M.; Pelizzoni, F.; Ranzi, B.M.; Scolastico, C. Microbiological oxidation of triterpenoids. I. 7β-Hydroxyglycyrrhetic acid. Gazz. Chim. Ital. 1966, 96, 820–831. [Google Scholar]
- Canonica, L.; Ferrari, M.; Jommi, G.; Pagnoni, U.M.; Pelizzoni, F.; Ranzi, B.M.; Maroni, S.; Nencini, G.; Salvatori, T. Microbiological oxidation of triterpenoids. II. 15α-Hydroxyglycyrrhetic and 7β,15α-dihydroxyglycyrrhetic acids. Gazz. Chim. Ital. 1967, 97, 1032–1051. [Google Scholar]
- Hikino, H.; Nabetani, S.; Takemoto, T. Microbial transformation of oleanolic acid. Yakugaku Zasshi 1969, 89, 809–813. [Google Scholar] [CrossRef]
- Ferrari, M.; Pagnoni, U.M.; Pelizzoni, F.; Ranzi, B.M.; Salvatori, T. Microbiological oxidation of triterpenoids. III. Behavior of 18α-glycyrrhetic, liquiritic, and 18α-liquiritic acids. Gazz. Chim. Ital. 1969, 99, 848–862. [Google Scholar]
- Sakano, K.-I.; Ohshima, M. Structures of conversion products formed from 18β-glycyrrhetinic acid by Streptomyces sp. G-20. Agric. Biol. Chem. 1986, 50, 763–766. [Google Scholar] [CrossRef]
- Sakano, K.-I.; Ohshima, M. Microbial conversion of 18β-glycyrrhetinic acid and 22α-hydroxy-18β-glycyrrhetinic acid by Chainia antibiotic. Agric. Biol. Chem. 1986, 50, 1239–1245. [Google Scholar] [CrossRef]
- Collins, D.O.; Ruddock, P.L.D.; De Grasse, J.C.; Reynolds, W.F.; Reese, P.B. Microbial transformation of cadina-4,10(15)-dien-3-one, aromadendr-1(10)-en-9-one and methyl ursolate by Mucor plumbeus ATCC 4740. Phytochemistry 2002, 59, 479–488. [Google Scholar] [CrossRef]
- Cheng, Z.; Yu, B.-Y.; Cordell, G.A.; Qiu, S.X. Biotransformation of quinovic acid glycosides by microbes: Direct conversion of the ursane to the oleanane triterpene skeleton by Nocardia sp. NRRL 5646. Org. Lett. 2004, 6, 3163–3165. [Google Scholar] [CrossRef]
- Parra, A.; Rivas, F.; Garcia-Granados, A.; Martinez, A. Microbial transformation of triterpenoids. Mini Rev. Org. Chem. 2009, 18, 307–320. [Google Scholar] [CrossRef]
- Bhatti, H.N.; Khera, R.A. Biotransformations of diterpenoids and triterpenoids: A review. J. Asian Nat. Prod. Res. 2013, 16, 70–104. [Google Scholar] [CrossRef]
- Mutafova, B.; Fernandes, P.; Mutafov, S.; Berkov, S.; Pavlov, A. Microbial transformations of plant secondary metabolites. In Bioprocessing of Plant In Vitro Systems; Pavlov, A., Bley, T., Eds.; Springer Science and Business Media LLC: New York, NY, USA, 2018; pp. 85–124. [Google Scholar] [CrossRef]
- Azerad, R. Microbial transformations of pentacyclic triterpenes. In Green Biocatalysis; Patel, R.N., Ed.; John Wiley & Sons, Inc.: Hoboken, NJ, USA, 2016; pp. 675–714. [Google Scholar] [CrossRef]
- Xu, S.H.; Chen, H.L.; Fan, Y.; Xu, W.; Zhang, J. Application of tandem biotransformation for biosynthesis of new pentacyclic triterpenoid derivatives with neuroprotective effect. Bioorg. Med. Chem. Lett. 2020, 30, 126947. [Google Scholar] [CrossRef]
- Grishko, V.V.; Nogovitsina, Y.M.; Ivshina, I.B. Bacterial transformation of terpenoids. Russ. Chem. Rev. 2014, 83, 323–342. [Google Scholar] [CrossRef]
- Hill, R.A.; Connolly, J.D. Triterpenoids. Nat. Prod. Rep. 2012, 29, 780–818. [Google Scholar] [CrossRef]
- Thimmappa, R.; Geisler, K.; Louveau, T.; O’Maille, P.; Osbourn, A. Triterpene Biosynthesis in plants. Annu. Rev. Plant Biol. 2014, 65, 225–257. [Google Scholar] [CrossRef]
- Wu, H.; Li, G.; Liu, S.; Liu, D.; Chen, G.; Hu, N.; Suo, Y.; You, J. Simultaneous determination of six triterpenic acids in some Chinese medicinal herbs using ultrasound-assisted dispersive liquid–liquid microextraction and high-performance liquid chromatography with fluorescence detection. J. Pharm. Biomed. Anal. 2015, 107, 98–107. [Google Scholar] [CrossRef]
- Moldoveanu, S.C.; Scott, W.A. Analysis of four pentacyclic triterpenoid acids in several bioactive botanicals with gas and liquid chromatography and mass spectrometry detection. J. Sep. Sci. 2015, 39, 324–332. [Google Scholar] [CrossRef]
- Peragón, J. Time course of pentacyclic triterpenoids from fruits and leaves of olive tree (Olea europaea L.) cv. Picual and cv. Cornezuelo during ripening. J. Agric. Food Chem. 2013, 61, 6671–6678. [Google Scholar] [CrossRef]
- Kalani, K.; Agarwal, J.; Alam, S.; Khan, F.F.; Pal, A.; Srivastava, S.K. In silico and in vivo anti-malarial studies of 18β-glycyrrhetinic acid from Glycyrrhiza glabra. PLoS ONE 2013, 8, e74761. [Google Scholar] [CrossRef]
- Chen, H.-J.; Kang, S.-P.; Lee, I.-J.; Lin, Y.-L. Glycyrrhetinic acid suppressed NF-κB activation in TNF-α-induced hepatocytes. J. Agric. Food Chem. 2014, 62, 618–625. [Google Scholar] [CrossRef]
- Li, J.; Lee, Y.S.; Choi, J.S.; Sung, H.Y.; Kim, J.K.; Lim, S.S.; Kang, Y.H. Roasted licorice extracts dampen high glucose-induced mesangial hyperplasia and matrix deposition through blocking Akt activation and TGF-β signaling. Phytomedicine 2010, 17, 800–810. [Google Scholar] [CrossRef]
- Ko, B.S.; Jang, J.S.; Hong, S.M.; Sung, S.R.; Lee, J.E.; Lee, M.Y.; Jeon, W.K.; Park, S. Changes in components, glycyrrhizin and glycyrrhetinic acid, in raw Glycyrrhiza uralensis Fisch, modify insulin sensitizing and insulinotropic actions. Biosci. Biotechnol. Biochem. 2007, 71, 1452–1461. [Google Scholar] [CrossRef] [PubMed][Green Version]
- Woźniak, Ł.; Skąpska, S.; Marszałek, K. Ursolic acid—A pentacyclic triterpenoid with a wide spectrum of pharmacological activities. Molecules 2015, 20, 20614–20641. [Google Scholar] [CrossRef] [PubMed]
- Guinda, A.; Rada, M.; Delgado, T.; Gutiérrez-Adánez, P.; Castellano, J.M. Pentacyclic triterpenoids from olive fruit and leaf. J. Agric. Food Chem. 2010, 58, 9685–9691. [Google Scholar] [CrossRef] [PubMed]
- Romero, C.; García, A.; Medina, E.; Ruíz-Méndez, M.V.; De Castro, A.; Brenes, M. Triterpenic acids in table olives. Food Chem. 2010, 118, 670–674. [Google Scholar] [CrossRef]
- Pensec, F.; Pączkowski, C.; Grabarczyk, M.; Woźniak, A.; Bénard-Gellon, M.; Bertsch, C.; Chong, J.; Szakiel, A. Changes in the triterpenoid content of cuticular waxes during fruit ripening of eight grape (Vitis vinifera) cultivars grown in the upper rhine valley. J. Agric. Food Chem. 2014, 62, 7998–8007. [Google Scholar] [CrossRef] [PubMed]
- Wang, C.M.; Chen, H.T.; Li, T.C.; Weng, J.H.; Jhan, Y.L.; Lin, S.X.; Chou, C.H. The role of pentacyclic triterpenoids in the allelopathic effects of Alstonia scholaris. J. Chem. Ecol. 2014, 40, 90–98. [Google Scholar] [CrossRef]
- Alvarado, H.L.; Abrego, G.; Garduño-Ramirez, M.L.; Clares, B.; García, M.L.; Calpena, A.C. Development and validation of a high-performance liquid chromatography method for the quantification of ursolic/oleanic acids mixture isolated from Plumeria obtusa. J. Chromatogr. B 2015, 983, 111–116. [Google Scholar] [CrossRef] [PubMed]
- Hương, N.T.N.; Hung, T.; Dẹp, T.T. A study on morphogenesis of roots of Panax stipuleanatus HT Tsai et KM Feng in vitro and preliminary determination of oleanolic acid in roots. Vietnam. J. Biotechnol. 2016, 14, 49–54. [Google Scholar] [CrossRef]
- Yamamoto, E.S.; Campos, B.L.S.; Laurenti, M.D.; Lago, J.H.G.; Grecco, S.D.S.; Corbett, C.E.P.; Passero, L.F.D. Treatment with triterpenic fraction purified from Baccharis uncinella leaves inhibits Leishmania (Leishmania) amazonensis spreading and improves Th1 immune response in infected mice. Parasitol. Res. 2014, 113, 333–339. [Google Scholar] [CrossRef]
- Falev, D.I.; Kosyakov, D.S.; Ul’Yanovskii, N.V.; Ovchinnikov, D.V. Rapid simultaneous determination of pentacyclic triterpenoids by mixed-mode liquid chromatography–tandem mass spectrometry. J. Chromatogr. A 2020, 1609, 460458. [Google Scholar] [CrossRef]
- Jang, S.-E.; Jeong, J.-J.; Hyam, S.R.; Han, M.J.; Kim, D.-H. Ursolic acid isolated from the seed of Cornus officinalis ameliorates colitis in mice by inhibiting the binding of lipopolysaccharide to toll-like receptor 4 on macrophages. J. Agric. Food Chem. 2014, 62, 9711–9721. [Google Scholar] [CrossRef] [PubMed]
- Zhang, S.; Sun, Y.; Sun, Z.; Wang, X.; You, J.; Suo, Y. Determination of triterpenic acids in fruits by a novel high performance liquid chromatography method with high sensitivity and specificity. Food Chem. 2014, 146, 264–269. [Google Scholar] [CrossRef] [PubMed]
- Fu, Q.; Zhang, L.; Cheng, N.; Jia, M.; Zhang, Y. Extraction optimization of oleanolic and ursolic acids from pomegranate (Punica granatum L.) flowers. Food Bioprod. Process. 2014, 92, 321–327. [Google Scholar] [CrossRef]
- Oancea, I.A.; Van Staden, J.; Koos, F.; Oancea, E.; Ungureanu, E.-M. Electrochemical detection of ursolic acid from spruce (Picea abies) essential oils using modified amperometric microsensors. Anal. Lett. 2019, 52, 2214–2226. [Google Scholar] [CrossRef]
- Choudhary, A.; Mittal, A.K.; Radhika, M.; Tripathy, D.; Chatterjee, A.; Banerjee, U.C.; Singh, I.P. Two new stereoisomeric antioxidant triterpenes from Potentilla fulgens. Fitoterapia 2013, 91, 290–297. [Google Scholar] [CrossRef] [PubMed]
- Li, H.H.; Su, M.H.; Yao, D.H.; Zeng, B.Y.; Chang, Q.; Wang, W.; Xu, J. Anti-hepatocellular carcinoma activity of tormentic acid derived from suspension cells of Eriobotrya japonica (Thunb.) Lindl. Plant Cell Tissue Organ Cult. 2017, 130, 427–433. [Google Scholar] [CrossRef]
- Wang, Z.W.; Wang, J.; Luo, J.; Kong, L. α-Glucosidase inhibitory triterpenoids from the stem barks of Uncaria laevigata. Fitoterapia 2013, 90, 30–37. [Google Scholar] [CrossRef]
- Wu, X.D.; He, J.; Li, X.Y.; Dong, L.B.; Gong, X.; Gao, X.; Song, L.D.; Li, Y.; Peng, L.Y.; Zhao, Q. Triterpenoids and steroids with cytotoxic activity from Emmenopterys henryi. Planta Med. 2013, 79, 1356–1361. [Google Scholar] [CrossRef]
- Zhu, M.; Wang, C.; Sun, W.; Zhou, A.; Wang, Y.; Zhang, G.; Zhou, X.; Huo, Y.; Li, C. Boosting 11-oxo-β-amyrin and glycyrrhetinic acid synthesis in Saccharomyces cerevisiae via pairing novel oxidation and reduction system from legume plants. Metab. Eng. 2018, 45, 43–50. [Google Scholar] [CrossRef]
- Krivoruchko, A.; Nielsen, J. Production of natural products through metabolic engineering of Saccharomyces cerevisiae. Curr. Opin. Biotechnol. 2015, 35, 7–15. [Google Scholar] [CrossRef]
- Lu, C.; Zhang, C.; Zhao, F.; Li, D.; Lu, W. Biosynthesis of ursolic acid and oleanolic acid in Saccharomyces cerevisiae. AIChE J. 2018, 64, 3794–3802. [Google Scholar] [CrossRef]
- Zhao, Y.; Fan, J.; Wang, C.; Feng, X.; Li, C. Enhancing oleanolic acid production in engineered Saccharomyces cerevisiae. Bioresour. Technol. 2018, 257, 339–343. [Google Scholar] [CrossRef] [PubMed]
- Dai, Z.; Wang, B.; Liu, Y.; Shi, M.; Wang, D.; Zhang, X.; Liu, T.; Huang, L.; Zhang, X. Producing aglycons of ginsenosides in bakers’ yeast. Sci. Rep. 2014, 4, 3698. [Google Scholar] [CrossRef] [PubMed]
- Fukushima, E.O.; Seki, H.; Esawai, S.; Suzuki, M.; Ohyama, K.; Saito, K.; Muranaka, T. Combinatorial biosynthesis of legume natural and rare triterpenoids in engineered yeast. Plant Cell Physiol. 2013, 54, 740–749. [Google Scholar] [CrossRef] [PubMed]
- Dale, M.P.; Moses, T.; Johnston, E.J.; Rosser, S.J. A systematic comparison of triterpenoid biosynthetic enzymes for the production of oleanolic acid in Saccharomyces cerevisiae. PLoS ONE 2020, 15, e0231980. [Google Scholar] [CrossRef] [PubMed]
- Li, D.; Wu, Y.; Wei, P.; Gao, X.; Li, M.; Zhang, C.; Zhou, Z.; Lu, W. Metabolic engineering of Yarrowia lipolytica for heterologous oleanolic acid production. Chem. Eng. Sci. 2020, 218, 115529. [Google Scholar] [CrossRef]
- Dai, Z.; Liu, Y.; Sun, Z.; Wang, D.; Qu, G.; Ma, X.; Fan, F.; Zhang, L.; Li, S.; Zhang, X. Identification of a novel cytochrome P450 enzyme that catalyzes the C-2α hydroxylation of pentacyclic triterpenoids and its application in yeast cell factories. Metab. Eng. 2019, 51, 70–78. [Google Scholar] [CrossRef]
- Moses, T.; Pollier, J.; Almagro, L.; Buyst, D.; Van Montagu, M.; Pedreño, M.A.; Martins, J.C.; Thevelein, J.M.; Goossens, A. Combinatorial biosynthesis of sapogenins and saponins in Saccharomyces cerevisiae using a C-16 hydroxylase from Bupleurum falcatum. Proc. Natl. Acad. Sci. USA 2014, 111, 1634–1639. [Google Scholar] [CrossRef]
- Moses, T.; Thevelein, J.M.; Goossens, A.; Pollier, J. Comparative analysis of CYP93E proteins for improved microbial synthesis of plant triterpenoids. Phytochemistry 2014, 108, 47–56. [Google Scholar] [CrossRef]
- Zhang, G.; Cao, Q.; Liu, J.; Liu, B.; Li, J.; Li, C. Refactoring β-amyrin synthesis in Saccharomyces cerevisiae. AIChE J. 2015, 61, 3172–3179. [Google Scholar] [CrossRef]
- Kannan, S.; Sathasivam, G.; Marudhamuthu, M. Decrease of growth, biofilm and secreted virulence in opportunistic nosocomial Pseudomonas aeruginosa ATCC 25619 by glycyrrhetinic acid. Microb. Pathog. 2019, 126, 332–342. [Google Scholar] [CrossRef]
- Jyoti, A.; Zerin, T.; Kim, T.-H.; Hwang, T.-S.; Jang, W.S.; Nam, K.-W.; Song, H.-Y. In vitro effect of ursolic acid on the inhibition of Mycobacterium tuberculosis and its cell wall mycolic acid. Pulm. Pharmacol. Ther. 2015, 33, 17–24. [Google Scholar] [CrossRef] [PubMed]
- Tohmé, M.; Giménez, M.; Peralta, A.; Colombo, M.; Delgui, L.R. Ursolic acid: A novel antiviral compound inhibiting rotavirus infection in vitro. Int. J. Antimicrob. Agents 2019, 54, 601–609. [Google Scholar] [CrossRef]
- Kumar, A.; Choudhir, G.; Shukla, S.K.; Sharma, M.; Tyagi, P.; Bhushan, A.; Rathore, M. Identification of phytochemical inhibitors against main protease of COVID-19 using molecular modeling approaches. J. Biomol. Struct. Dyn. 2020, 1–11. [Google Scholar] [CrossRef] [PubMed]
- Sampangi-Ramaiah, M.H.; Vishwakarma, R.; Shaanker, R.U. Molecular docking analysis of selected natural products from plants for inhibition of SARS-CoV-2 main protease. Curr. Sci. 2020, 118, 1087–1092. [Google Scholar] [CrossRef]
- Villar, V.H.; Vögler, O.; Barceló, F.; Gómez-Florit, M.; Martínez-Serra, J.; Obrador-Hevia, A.; Martín-Broto, J.; Ruíz-Gutierrez, V.; Alemany, R. Oleanolic and maslinic acid sensitize soft tissue sarcoma cells to doxorubicin by inhibiting the multidrug resistance protein MRP-1, but not P-glycoprotein. J. Nutr. Biochem. 2014, 25, 429–438. [Google Scholar] [CrossRef]
- Shan, J.; Xuan, Y.; Zhang, Q.; Zhu, C.; Liu, Z.; Zhang, S. Ursolic acid synergistically enhances the therapeutic effects of oxaliplatin in colorectal cancer. Protein Cell 2016, 7, 571–585. [Google Scholar] [CrossRef][Green Version]
- Jing, B.; Liu, M.; Yang, L.; Cai, H.Y.; Chen, J.B.; Li, W.; Kou, X.; Wu, Y.Z.; Qin, D.J.; Zhou, L.; et al. Characterization of naturally occurring pentacyclic triterpenes as novel inhibitors of deubiquitinating protease USP7 with anticancer activity in vitro. Acta Pharmacol. Sin. 2018, 39, 492–498. [Google Scholar] [CrossRef]
- Yu, F.; Wang, Q.; Zhang, Z.; Peng, Y.; Qiu, Y.; Shi, Y.; Zheng, Y.; Xiao, S.; Wang, H.; Huang, X.; et al. Development of oleanane-type triterpenes as a new class of HCV entry inhibitors. J. Med. Chem. 2013, 56, 4300–4319. [Google Scholar] [CrossRef]
- Zhou, J.; Cai, W.; Jin, M.; Xu, J.; Wang, Y.; Xiao, Y.; Hao, L.; Wang, B.; Zhang, Y.; Han, J.; et al. 18β-Glycyrrhetinic acid suppresses experimental autoimmune encephalomyelitis through inhibition of microglia activation and promotion of remyelination. Sci. Rep. 2015, 5, 13713. [Google Scholar] [CrossRef]
- Ayub, A.; Begum, S.; Ali, S.N.; Siddiqui, B.S. Triterpenoids from the aerial parts of Lantana camara. J. Asian Nat. Prod. Res. 2017, 21, 141–149. [Google Scholar] [CrossRef]
- Lu, M.Y.; Liao, Z.X.; Ji, L.J.; Sun, H.F. Triterpenoids of Chrysosplenium carnosum. Fitoterapia 2013, 85, 119–124. [Google Scholar] [CrossRef]
- Xu, Y.Q.; Zhang, J.H.; Yang, X.S. Corosolic acid induces potent anti-cancer effects in CaSki cervical cancer cells through the induction of apoptosis, cell cycle arrest and PI3K/Akt signalling pathway. Bangladesh J. Pharmacol. 2016, 11, 453. [Google Scholar] [CrossRef]
- Kaweetripob, W.; Mahidol, C.; Prawat, H.; Ruchirawat, S. Lupane, friedelane, oleanane, and ursane triterpenes from the stem of Siphonodon celastrineus Griff. Phytochemistry 2013, 96, 404–417. [Google Scholar] [CrossRef]
- Liang, C.; Ding, Y.; Song, S.B.; Kim, J.A.; Nguyen, M.C.; Ma, J.Y.; Kim, Y.H.; Cuong, N.M. Oleanane-triterpenoids from Panax stipuleanatus inhibit NF-κB. J. Ginseng Res. 2013, 37, 74–79. [Google Scholar] [CrossRef]
- Yan, M.; Zhu, Y.; Zhang, H.J.; Jiao, W.H.; Han, B.N.; Liu, Z.X.; Qiu, F.; Chen, W.S.; Lin, H.W. Anti-inflammatory secondary metabolites from the leaves of Rosa laevigata. Bioorg. Med. Chem. 2013, 21, 3290–3297. [Google Scholar] [CrossRef]
- Kang, H.; Ku, S.K.; Kim, J.; Chung, J.; Kim, S.C.; Zhou, W.; Na, M.; Bae, J.S. Anti-vascular inflammatory effects of pentacyclic triterpenoids from Astilbe rivularis in vitro and in vivo. Chem. Interact. 2017, 261, 127–138. [Google Scholar] [CrossRef]
- Mosquera, C.; Panay, A.J.; Montoya, G. Pentacyclic triterpenes from Cecropia telenitida can function as inhibitors of 11β-hydroxysteroid dehydrogenase type 1. Molecules 2018, 23, 1444. [Google Scholar] [CrossRef]
- Yang, F.; Dong, X.; Yin, X.; Wang, W.; You, L.; Ni, J. Radix Bupleuri: A review of traditional uses, botany, phytochemistry, pharmacology, and toxicology. BioMed Res. Int. 2017, 2017, 7597596. [Google Scholar] [CrossRef]
- Huang, L.R.; Luo, H.; Yang, X.S.; Chen, L.; Zhang, J.X.; Wang, D.P.; Hao, X.J. Enhancement of anti-bacterial and anti-tumor activities of pentacyclic triterpenes by introducing exocyclic α,β-unsaturated ketone moiety in ring A. Med. Chem. Res. 2014, 23, 4631–4641. [Google Scholar] [CrossRef]
- Liang, S.; Li, M.; Yu, X.; Jin, H.; Zhang, Y.; Zhang, L.; Zhou, D.; Xiao, S. Synthesis and structure-activity relationship studies of water-soluble β-cyclodextrin-glycyrrhetinic acid conjugates as potential anti-influenza virus agents. Eur. J. Med. Chem. 2019, 166, 328–338. [Google Scholar] [CrossRef] [PubMed]
- Lee, J.Y.; Choi, J.K.; Jeong, N.-H.; Yoo, J.; Ha, Y.S.; Lee, B.; Choi, H.; Park, P.-H.; Shin, T.-Y.; Kwon, T.K.; et al. Anti-inflammatory effects of ursolic acid-3-acetate on human synovial fibroblasts and a murine model of rheumatoid arthritis. Int. Immunopharmacol. 2017, 49, 118–125. [Google Scholar] [CrossRef] [PubMed]
- Ishida, T.; Miki, I.; Tanahashi, T.; Yagi, S.; Kondo, Y.; Inoue, J.; Kawauchi, S.; Nishiumi, S.; Yoshida, M.; Maeda, H.; et al. Effect of 18β-glycyrrhetinic acid and hydroxypropyl γcyclodextrin complex on indomethacin-induced small intestinal injury in mice. Eur. J. Pharmacol. 2013, 714, 125–131. [Google Scholar] [CrossRef] [PubMed]
- Wiemann, J.; Heller, L.; Csuk, R. Targeting cancer cells with oleanolic and ursolic acid derived hydroxamates. Bioorg. Med. Chem. Lett. 2016, 26, 907–909. [Google Scholar] [CrossRef]
- Yoon, Y.; Lim, J.W.; Kim, J.; Kim, Y.; Chun, K.H. Discovery of ursolic acid prodrug (NX-201): Pharmacokinetics and in vivo antitumor effects in PANC-1 pancreatic cancer. Bioorg. Med. Chem. Lett. 2016, 26, 5524–5527. [Google Scholar] [CrossRef]
- Mendes, V.I.S.; Bartholomeusz, G.A.; Ayres, M.; Gandhi, V.; Salvador, J.A.R. Synthesis and cytotoxic activity of novel A-ring cleaved ursolic acid derivatives in human non-small cell lung cancer cells. Eur. J. Med. Chem. 2016, 123, 317–331. [Google Scholar] [CrossRef]
- Xu, B.; Wu, G.R.; Zhang, X.Y.; Yan, M.M.; Zhao, R.; Xue, N.N.; Fang, K.; Wang, H.; Chen, M.; Guo, W.B.; et al. An overview of structurally modified glycyrrhetinic acid derivatives as antitumor agents. Molecules 2017, 22, 924. [Google Scholar] [CrossRef]
- Ayeleso, T.B.; Matumba, M.G.; Mukwevho, E. Oleanolic acid and its derivatives: Biological activities and therapeutic potential in chronic diseases. Molecules 2017, 22, 1915. [Google Scholar] [CrossRef]
- Mlala, S.; Oyedeji, A.O.; Gondwe, M.; Oyedeji, O. Ursolic acid and its derivatives as bioactive agents. Molecules 2019, 24, 2751. [Google Scholar] [CrossRef]
- Hodon, J.; Borkova, L.; Pokorny, J.; Kazakova, A.; Urban, M. Design and synthesis of pentacyclic triterpene conjugates and their use in medicinal research. Eur. J. Med. Chem. 2019, 182, 111653. [Google Scholar] [CrossRef]
- Isah, M.B.; Ibrahim, M.A.; Mohammed, A.; Aliyu, A.B.; Masola, B.; Coetzer, T.H.T. A systematic review of pentacyclic triterpenes and their derivatives as chemotherapeutic agents against tropical parasitic diseases. Parasitology 2016, 143, 1219–1231. [Google Scholar] [CrossRef] [PubMed]
- Ren, Y.; Kinghorn, A.D. Natural product triterpenoids and their semi-synthetic derivatives with potential anticancer activity. Planta Med. 2019, 85, 802–814. [Google Scholar] [CrossRef] [PubMed]
- Parida, P.K.; Sau, A.; Ghosh, T.; Jana, K.; Biswas, K.; Raha, S.; Misra, A.K. Synthesis and evaluation of triazole linked glycosylated 18β-glycyrrhetinic acid derivatives as anticancer agents. Bioorg. Med. Chem. Lett. 2014, 24, 3865–3868. [Google Scholar] [CrossRef] [PubMed]
- Ghosh, S. Triterpene structural diversification by plant cytochrome P450 enzymes. Front. Plant Sci. 2017, 8, 1886. [Google Scholar] [CrossRef] [PubMed]
- Martinez, A.; Rivas, F.; Perojil, A.; Parra, A.; Garcia-Granados, A.; Fernandez-Vivas, A. Biotransformation of oleanolic and maslinic acids by Rhizomucor miehei. Phytochemistry 2013, 94, 229–237. [Google Scholar] [CrossRef] [PubMed]
- Djerassi, C.; Henry, J.A.; Lemin, A.J.; Rios, T.; Thomas, G.H. Terpenoids. XXIV. The structure of the cactus triterpene queretaroic acid. J. Am. Chem. Soc. 1956, 78, 3783–3787. [Google Scholar] [CrossRef]
- Kinoshita, K.; Yang, Y.; Koyama, K.; Takahashi, K.; Nishino, H. Inhibitory effect of some triterpenes from cacti on 32Pi-incorporation into phospholipids of HeLa cells promoted by 12-O-tetradecanoylphorbol-13-acetate. Phytomedicine 1999, 6, 73–77. [Google Scholar] [CrossRef]
- Fujii, Y.; Hirosue, S.; Fujii, T.; Matsumoto, N.; Agematu, H.; Arisawa, A. Hydroxylation of oleanolic acid to queretaroic acid by cytochrome P450 from Nonomuraea recticatena. Biosci. Biotechnol. Biochem. 2006, 70, 2299–2302. [Google Scholar] [CrossRef]
- Martinez, A.; Perojil, A.; Rivas, F.; Parra, A.; Garcia-Granados, A.; Fernández-Vivas, A. Biotransformation of oleanolic and maslinic methyl esters by Rhizomucor miehei CECT 2749. Phytochemistry 2015, 117, 500–508. [Google Scholar] [CrossRef]
- Sun, H.; Liu, T.; Shen, Y.-J.; Zhang, L.-M.; Wang, M. Preparation and crystal structure of 15α-hydroxyl-oleanolic acid. Jiegou Huaxue 2010, 29, 1789–1801. [Google Scholar]
- Gong, T.; Zheng, L.; Zhen, X.; He, H.-X.; Zhu, H.-X.; Zhu, P. Microbial transformation of oleanolic acid by Trichothecium roseum. J. Asian Nat. Prod. Res. 2014, 16, 383–386. [Google Scholar] [CrossRef]
- Fan, B.; Jiang, B.; Yan, S.; Xu, B.; Huang, H.; Chen, G.-T. Anti-inflammatory 18β-glycyrrhetinin acid derivatives produced by biocatalysis. Planta Med. 2019, 85, 56–61. [Google Scholar] [CrossRef]
- Qin, Y.J.; Feng, B.; Song, X.B.; Zhou, W.B.; Yu, H.S.; Zhao, L.L.; Yu, L.Y.; Ma, B.P. Biotransformation of glycyrrhetinic acid by Cunninghamella blakesleeana. Chin. J. Nat. Med. 2010, 8, 373–381. [Google Scholar] [CrossRef]
- Maatooq, G.T.; Marzouk, A.M.; Gray, A.I.; Rosazza, J.P. Bioactive microbial metabolites from glycyrrhetinic acid. Phytochemistry 2010, 71, 262–270. [Google Scholar] [CrossRef]
- He, C.J.; Yang, Y.M.; Wu, K.Y. Microbial transformation of glycyrrhetinic acid by Colletotrichum lini AS3.4486. Adv. Mater. Res. 2015, 1120, 877–881. [Google Scholar] [CrossRef]
- Choudhary, M.I.; Siddiqui, Z.A.; Nawaz, S.A. Atta-Ur-Rahman Microbial transformation of 18β-glycyrrhetinic acid by Cunninghamella elegans and Fusarium lini, and lipoxygenase inhibitory activity of transformed products. Nat. Prod. Res. 2009, 23, 507–513. [Google Scholar] [CrossRef]
- Huang, F.X.; Yang, W.Z.; Ye, F.; Tian, J.Y.; Hu, H.B.; Feng, L.M.; Guo, D.A.; Ye, M. Microbial transformation of ursolic acid by Syncephalastrum racemosum (Cohn) Schroter AS 3.264. Phytochemistry 2012, 82, 56–60. [Google Scholar] [CrossRef]
- Fu, S.; Meng, Q.; Yang, J.; Tu, J.; Sun, D.-A. Biocatalysis of ursolic acid by the fungus Gliocladium roseum CGMCC 3.3657 and resulting anti-HCV activity. RSC Adv. 2018, 8, 16400–16405. [Google Scholar] [CrossRef]
- Zhang, S.S.; He, L.S.; Zhao, Y.M.; Fu, S.; Liu, D.L.; Yu, Z.H.; Liu, B.C. Three new triterpenoids transformed from ursolic acid by Mucor spinosus AS3.3450 and their cytotoxicity. Phytochem. Lett. 2019, 32, 33–37. [Google Scholar] [CrossRef]
- Zhang, J.; Cheng, Z.H.; Yu, B.Y.; Cordell, G.A.; Qiu, S.X. Novel biotransformation of pentacyclic triterpenoid acids by Nocardia sp. NRRL 5646. Tetrahedron Lett. 2005, 46, 2337–2340. [Google Scholar] [CrossRef]
- Huang, D.; Ding, Y.; Li, Y.; Zhang, W.; Fang, W.-S.; Chen, X. Anti-tumor activity of a 3-oxo derivative of oleanolic acid. Cancer Lett. 2006, 233, 289–296. [Google Scholar] [CrossRef] [PubMed]
- Funari, C.S.; De Almeida, L.; Passalacqua, T.G.; Martinez, I.; Ambrósio, D.L.; Cicarelli, R.M.B.; Silva, D.H.S.; Graminha, M.A.S. Oleanonic acid from Lippia lupulina (Verbenaceae) shows strong in vitro antileishmanial and antitrypanosomal activity. Acta Amaz. 2016, 46, 411–416. [Google Scholar] [CrossRef]
- Krivoruchko, A.V.; Kuyukina, M.S.; Ivshina, I.B. Advanced Rhodococcus biocatalysts for environmental biotechnologies. Catalysts 2019, 9, 236. [Google Scholar] [CrossRef]
- Leipold, D.; Wünsch, G.; Schmidt, M.; Bart, H.-J.; Bley, T.; Neuhaus, H.E.; Bergmann, H.; Richling, E.; Muffler, K.; Ulber, R. Biosynthesis of ursolic acid derivatives by microbial metabolism of ursolic acid with Nocardia sp. strains—Proposal of new biosynthetic pathways. Process. Biochem. 2010, 45, 1043–1051. [Google Scholar] [CrossRef]
- Xu, S.H.; Wang, W.W.; Zhang, C.; Liu, X.F.; Yu, B.Y.; Zhang, J. Site-selective oxidation of unactivated C–H sp 3 bonds of oleanane triterpenes by Streptomyces griseus ATCC 13273. Tetrahedron 2017, 73, 3086–3092. [Google Scholar] [CrossRef]
- Zhu, Y.Y.; Qian, L.W.; Zhang, J.; Liu, J.H.; Yu, B. New approaches to the structural modification of olean-type pentacylic triterpenes via microbial oxidation and glycosylation. Tetrahedron 2011, 67, 4206–4211. [Google Scholar] [CrossRef]
- De Sousa, L.R.F.; Silva, J.A.D.; Vieira, P.C.; Costa, M.B.; Dos Santos, M.L.; Sbardelotto, A.B.; Pessoa, C.D.Ó.; De Moraes, M.O.; Menezes, A.C.S. Chemical constituents of the stem bark of Vochysia thyrsoidea Pohl. (Vochysiaceae) and evaluation of their cytotoxicity and inhibitory activity against cathepsins B and K. Química Nova 2014, 37, 288–292. [Google Scholar] [CrossRef]
- Capel, C.S.; De Souza, A.C.D.; De Carvalho, T.C.; De Sousa, J.P.B.; Ambrósio, S.R.; Martins, C.H.G.; Cunha, W.R.; Hernández-Galán, R.; Furtado, N.A.J.C. Biotransformation using Mucor rouxii for the production of oleanolic acid derivatives and their antimicrobial activity against oral pathogens. J. Ind. Microbiol. Biotechnol. 2011, 38, 1493–1498. [Google Scholar] [CrossRef]
- Chianese, G.; Golin-Pacheco, S.D.; Taglialatela-Scafati, O.; Collado, J.A.; Munoz, E.; Appendino, G.; Pollastro, F. Bioactive triterpenoids from the caffeine-rich plants guayusa and maté. Food Res. Int. 2019, 115, 504–510. [Google Scholar] [CrossRef]
- Sit, N.W.; Chan, Y.; Lai, S.; Lim, L.; Looi, G.; Tay, P.; Tee, Y.; Woon, Y.; Khoo, K.; Ong, H. In vitro antidermatophytic activity and cytotoxicity of extracts derived from medicinal plants and marine algae. J. Mycol. Med. 2018, 28, 561–567. [Google Scholar] [CrossRef]
- Su, H.G.; Peng, X.R.; Shi, Q.Q.; Huang, Y.J.; Zhou, L.; Qiu, M.H. Lanostane triterpenoids with anti-inflammatory activities from Ganoderma lucidum. Phytochemistry 2020, 173, 112256. [Google Scholar] [CrossRef] [PubMed]
- Tian, M.; Zhao, P.-J.; Li, G.; Zhang, K.-Q. In depth natural product discovery from the basidiomycetes Stereum species. Microorganisms. 2020, 8, 1049. [Google Scholar] [CrossRef] [PubMed]
- Ying, Y.M.; Yu, H.F.; Tong, C.P.; Shan, W.G.; Zhan, Z.J. Spiroinonotsuoxotriols A and B, two highly rearranged triterpenoids from Inonotus obliquus. Org. Lett. 2020, 22, 3377–3380. [Google Scholar] [CrossRef] [PubMed]
- Shi, Q.Q.; Huang, Y.J.; Su, H.G.; Gao, Y.; Lu, S.Y.; Peng, X.R.; Li, X.N.; Zhou, L.; Qiu, M.H. Structurally diverse lanostane triterpenoids from medicinal and edible mushroom Ganoderma resinaceum Boud. Bioorg. Chem. 2020, 100, 103871. [Google Scholar] [CrossRef] [PubMed]
- Nursid, M.; Marraskuranto, E.; Chasanah, E. Cytotoxicity and apoptosis induction of sea cucumber Holothuria atra extracts. Pharmacogn. Res. 2019, 11, 41. [Google Scholar] [CrossRef]
- Xu, R.; Fazio, G.C.; Matsuda, S.P.T. On the origins of triterpenoid skeletal diversity. Phytochemistry 2004, 65, 261–291. [Google Scholar] [CrossRef]
- Chubukov, V.; Mukhopadhyay, A.; Petzold, C.J.; Keasling, J.D.; Martin, H.G. Synthetic and systems biology for microbial production of commodity chemicals. NPJ Syst. Biol. Appl. 2016, 2, 16009. [Google Scholar] [CrossRef]
- Heller, L.; Schwarz, S.; Perl, V.; Köwitsch, A.; Siewert, B.; Csuk, R. Incorporation of a Michael acceptor enhances the antitumor activity of triterpenoic acids. Eur. J. Med. Chem. 2015, 101, 391–399. [Google Scholar] [CrossRef]


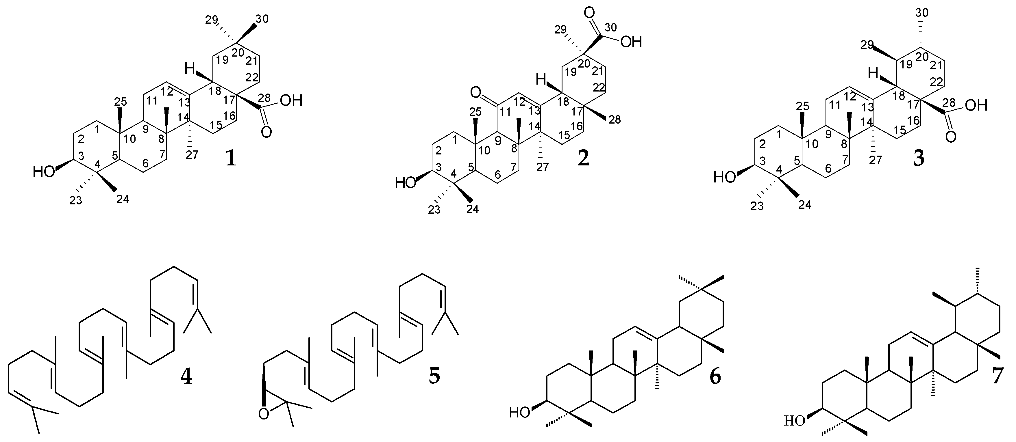
| Compound | Plant Source | Part of Plant | Reference |
|---|---|---|---|
| Apocynaceae Juss., nom. cons. | |||
| OA, UA | Alstonia scholaris (L.) R.Br. | Leaves | [49] |
| OA, UA | Plumeria obtusa L. var. sericifolia | Leaves | [50] |
| Aquifoliaceae DC. ex. A.Rich. | |||
| OA, UA | Ilex guayusa Loes. | Leaves | [39] |
| Araliaceae Juss., nom. cons. | |||
| OA | Panax stipuleanatus H.T.Tsai & K.M.Feng | Roots | [51] |
| Asteraceae Bercht. & J.Presl, nom. cons. | |||
| OA | Baccharis uncinella DC. | Leaves | [52] |
| Betulaceae Gray | |||
| OA | Betula pendula Roth. | Bark | [3,53] |
| Cornaceae Bercht. & J.Presl, nom. cons. | |||
| UA | Cornus officinalis Torr. ex Dur. | Seeds | [54] |
| Ebenaceae Gürke, nom. cons. | |||
| OA, UA | Diospyros L. | Fruits | [55] |
| Ericaceae Juss., nom. cons. | |||
| OA, UA | Arctostaphylos uva-ursi (L.) Spreng. | Fruits | [39] |
| OA, UA | Vaccinium vitis-idaea L. | Fruits | [53] |
| Fabaceae Lindl. | |||
| GA | Glycyrrhiza glabra L. | Roots | [41] |
| Glycyrrhiza uralensis Fisch. | Roots | [42] | |
| Glycyrrhiza inflate Batalin | Roots | [43] | |
| Gentianaceae Juss., nom. cons. | |||
| OA, UA | Comastoma pulmonaria Turcz. | Sprouts, roots | [38] |
| Swertia racemosa Wall. ex Griseb. | Sprouts, roots | ||
| Lamiaceae Martinov | |||
| OA, UA | Ocimum tenuiflorum L. | Leaves | [39] |
| Lavandula angustifolia Mill. | Flowers | ||
| Origanum vulgare L. | Leaves | ||
| Rosmarinus officinalis L. | Leaves | ||
| Salvia officinalis L. | Leaves | ||
| Dracocephalum tanguticum Maxim | Sprouts, roots | [38] | |
| Lythraceae J.St.-Hil. | |||
| OA, UA | Punica granatum L. | Fruits | [38] |
| Punica granatum L.cv. Daqingpi | Flowers | [56] | |
| Malvaceae Juss., nom. cons. | |||
| OA | Durio zibethinus Murr. | Fruits | [7] |
| Myrtaceae Juss., nom. cons. | |||
| OA, UA | Syzygium aromaticum (L.) Merr. & L.M.Perry | Flowers | [39] |
| Eucalyptus globules Labill. | Leaves | ||
| Oleaceae Hoffmanns. & Link, nom. cons. | |||
| OA | Olea europaea L.cv. Picual | Fruits, leaves | [40] |
| Olea europaea L. cv. Cornezuelo | |||
| OA, UA | Olea europaea L. | Leaves | [39] |
| Papaveraceae Juss. | |||
| OA, UA | Meconopsis henrici Bureau & Franch. | Sprouts, roots | [38] |
| Corydalis impatiens (Pall.) Fisch. ex DC. | Sprouts, roots | ||
| Pinaceae Lindl. | |||
| UA | Picea abies (L.) H.Karst. | Resin, cons, sprouts | [57] |
| Rosaceae Juss. | |||
| OA, UA | Malus P. Mill. | Fruits | [55] |
| Pyrus L. | Fruits | ||
| UA | Fragaria ananassa (Duchesne ex Weston) Duchesne ex Rozier | Perianth | [4] |
| UA | Potentilla fulgens Wall. ex Hook. | Roots | [58] |
| OA, UA | Eriobotrya japonica (Thunb.) Lindl | Leaves | [59] |
| Rubiaceae Juss., nom. cons. | |||
| OA | Uncaria laevigata Wall. ex G.Don | Stem bark | [60] |
| UA | Emmenopterys henryi Oliv. | Leaves, sprouts | [61] |
| Vitaceae Juss., nom. cons. | |||
| OA | Vitis vinifera L. | Fruits | [55] |
| Parent Strain | Modification | Product (Yield) | Reference |
|---|---|---|---|
| Saccharomyces cerevisiae INVSc1 | Insertion of βAS, CPR (Lotus japonicus), CYP93E2, and CYP72A61 (Medicago truncatula) | β-Amyrin (6 **, 1.07 mg/L), 24-hydroxy-β-amyrin (13, 0.27 mg/L), and soyasapogenol B (21, 1.35 mg/L) | [67] |
| Insertion of βAS, CPR (L. japonicus), CYP716A12, and CYP72A68 (M. truncatula) | β-Amyrin (6, 0.55 mg/L), erythrodiol (8, 0.09 mg/L), and gypsogenic acid (22, 0.96 mg/L) | ||
| Insertion of βAS, CPR (L. japonicus), CYP716A12, and CYP93E2 (M. truncatula) | Erythrodiol (8), OA, 4-epi-hederagenin (24), and others (trace amount) | ||
| Insertion of βAS, CPR (L. japonicus), CYP72A63, and CYP716A12 (M. truncatula) | Erythrodiol (8), OA, queretaroic acid (25), and others (trace amount) | ||
| Insertion of βAS, CPR (L. japonicus), CYP93E2, and CYP72A63 (M. truncatula) | Probable 11-deoxo-GA (23) and others (trace amount) | ||
| S. cerevisiae BY4742 | Insertion of βAS (Glycyrrhiza glabra) | β-Amyrin (6, 36.2 ± 3.9 mg/L) | [71] |
| Insertion of βAS (M. truncatula) | β-Amyrin (6, 19.0 ± 1.0 mg/L) | ||
| S. cerevisiae TM3 | Insertion of AtATR1 (Arabidopsis thaliana), CYP716Y1 (Bupleurum falcatum), and CYP716A12 (M. truncatula) | β-Amyrin (6), erythrodiol (8), OA (1), oleanolic aldehyde (9), and 16α-hydroxy-oleanolic aldehyde (10) | |
| Insertion of CYP716Y1 (B. falcatum), CYP716A12 (M. truncatula), AtATR1 (A. thaliana), and UGT73C11 (Barbarea vulgaris) | 3-O-Glc-Echinocystic acid (11), 3-O-Glc-OA (12) | ||
| Insertion of AtATR1 (A. thaliana) and CYP93E2 (M. truncatula) | 24-Hydroxy-β-amyrin (13, 1.3%) | [72] | |
| Insertion of AtATR1 (A. thaliana) and CYP93E7 (Lens culinaris) | 24-Hydroxy-β-amyrin (13, 16.2%) | ||
| Insertion of AtATR1 (A. thaliana) and CYP93E8 (Pisum sativum) | 24-Hydroxy-β-amyrin (13, 37.6%), probable 3β-hydroxy-olean-12-en-24-oic acid (14, 3.2%) | ||
| Insertion of AtATR1 (A. thaliana) and CYP93E5 (Cicer arietinum) | 24-Hydroxy-β-amyrin (13, 51.3%), probable 3β-hydroxy-olean-12-en-24-oic acid (14, 7.6%) | ||
| Insertion of AtATR1 (A. thaliana) and CYP93E6 (G. glabra) | 24-Hydroxy-β-amyrin (13, 50.2%), probable 3β-hydroxy-olean-12-en-24-oic acid (14, 6.3%) | ||
| Insertion of AtATR1 (A. thaliana) and CYP93E4 (Arachis hypogaea) | 24-Hydroxy-β-amyrin (13, 47.0%), probable 3β-hydroxy-olean-12-en-24-oic acid (14, 5.5%) | ||
| Insertion of AtATR1 (A. thaliana) and CYP93E1 (Glycine max) | 24-Hydroxy-β-amyrin (13, 58.8%), probable 3β-hydroxy-olean-12-en-24-oic acid (14, 13.5%) | ||
| Insertion of AtATR1 (A. thaliana) and CYP93E9 (Phaseolus vulgaris) | 24-Hydroxy-β-amyrin (13, 67.6%), probable 3β-hydroxy-olean-12-en-24-oic acid (14, 11.8%) | ||
| S. cerevisiae BY4742 | Deletion of TRP1 | Squalene (4, 9.6 mg/L) | [66] |
| S. cerevisiae BY4742-TRP | Overexpression of tHMG1 and LYS2 | Squalene (4, 150.9 mg/L) | |
| S. cerevisiae BY-T1 | Insertion of βAS (G. glabra) Overexpression of ERG1 and ERG9 | β-Amyrin (6, 107.0 mg/L), squalene (4, 183.4 mg/L) | |
| Insertion of βAS (Panax ginseng) Overexpression of ERG1 and ERG9 | β-Amyrin (6, 1.9 mg/L) | ||
| S. cerevisiae BY-βA-G | Insertion of βAS (G. glabra), OAS (M. truncatula), and AtCPR1 (A. thaliana) | OA (1, 71.0 mg/L), β-amyrin (6, 88.6 mg/L), and squalene (4, 141.2 mg/L) | |
| S. cerevisiae INVSc1 | Insertion of βAS (G. glabra) | β-Amyrin (6, 4.16 mg/L) | [73] |
| Insertion of βAS (G. glabra) and ERG1 (Candida albicans) | β-Amyrin (6, 24.50 mg/L) | ||
| Insertion of βAS (G. glabra), ERG1 (C. albicans), IDI (Escherichia coli) Overexpression of ERG9 and ERG20 | β-Amyrin (6, 36.50 mg/L, 75.50 mg/L *) | ||
| Insertion of βAS (G. glabra), ERG1 (C. albicans), IDI (Escherichia coli) Overexpression of ERG9 and ERG20 Reconstruction of SRE into promoter | β-Amyrin (6, 85.78 mg/L, 108.60 mg/L *) | ||
| S. cerevisiae W303-1a | Overexpression of tHMG1 and ERG20 | Squalene (4, 165.28 mg/L) | [64] |
| S. cerevisiae WTE | Insertion of mix-AS (Catharanthus roseus) Overexpression of tHMG1 and ERG20 | β-Amyrin (6, 1.64 mg/L), α-amyrin (7, 5.64 mg/L) | |
| Insertion of mix-AS (Catharanthus roseus) and ERG1 (C. albicans) Overexpression of tHMG1 | β-Amyrin (6, 24.95 mg/L, 44.92 mg/L *), α-amyrin (7, 97.31 mg/L, 175.15 mg/L *) | ||
| S. cerevisiae ScLCZ08 | Insertion of CrOAS (C. roseus) and AtCPR1 (A. thaliana) | OA (1, 29.49 mg/L), UA (3, 24.58 mg/L) | |
| Insertion of MtOAS (M. truncatula) and LjCPR1 (L. japonicus) | OA (1, 24.34 mg/L), UA (3, 23.37 mg/L) | ||
| Insertion of CrOAS (C. roseus) and LjCPR1 (L. japonicus) | OA (1, 23.91 mg/L), UA (3, 22.96 mg/L) | ||
| Insertion of MtOAS (M. truncatula) and AtCPR1 (A. thaliana) | OA (1, 31.41 mg/L, 155.58 mg/L *), UA (3, 25.85 mg/L, 123.37 mg/L *) | ||
| S. cerevisiae JDY52 | Insertion of GgβAS (G. glabra), MtCYP716A12 (M. truncatula), and AtCPR1 (A. thaliana) | OA (1, 2.5 ± 0.2 mg/L) | [65] |
| Insertion of GgβAS (G. glabra), MtCYP716A12 (M. truncatula), and LjCPR (L. japonicus) | OA (1, 6.3 ± 0.3 mg/L) | ||
| Insertion of GgβAS (G. glabra), MtCYP716A12 (M. truncatula), and GuCPR (G. uralensis) | OA (1, 7.1 ± 0.5 mg/L) | ||
| Insertion of GgβAS (G. glabra), MtCYP716A12, and MtCPR (M. truncatula) | OA (1, 9.0 ± 0.7 mg/L) | ||
| Insertion of GgβAS (G. glabra), MtCYP716A12, and MtCPR (M. truncatula) Knocking out of GAL1 | OA (1, 41.3 ± 3.4 mg/L) | ||
| Insertion of GgβAS (G. glabra), MtCYP716A12, and MtCPR (M. truncatula) Knocking out of GAL1 and GAL80 | OA (1, 70.3 ± 7.0 mg/L) | ||
| Insertion of GgβAS (G. glabra), MtCYP716A12, and MtCPR (M. truncatula) Knocking out of GAL1 and GAL80 Overexpression of tHMG1, ERG1, and ERG9 | OA (1, 186.1 ± 12.4 mg/L, 606.9 ± 9.1 mg/L *) | ||
| S. cerevisiae INVSc1 | Insertion of CYP88D6, CYP72A154 (G. uralensis), and ATR1 (A. thaliana) | GA (2, 20.4 ± 7.7 µg/L), 11-oxo-β-amyrin (15, 0.5 ± 0.1 mg/L), β-amyrin (6, 21.23 ± 1.64 mg/L), 11α-hydroxy-β-amyrin (16), 30-hydroxy-11-oxo-β-amyrin (17), and glycyrrhetaldehyde (18) (trace amount) | [62] |
| S. cerevisiae INVSc1 (diploid) | Insertion of CYP88D6, CYP72A154 (G. uralensis), and ATR1 (A. thaliana) | GA (2, 31.8 ± 6.6 µg/L), 11-oxo-β-amyrin (15, 0.5 ± 0.06 mg/L) | |
| S. cerevisiae SGib | Insertion of CYP88D6, CYP72A154 (G. uralensis), and ATR1 (A. thaliana) | GA (2, 33.7 ± 7.4 µg/L), 11-oxo-β-amyrin (15, 7.5 ± 0.5 mg/L) | |
| Insertion of CYP88D6 and ATR1 (A. thaliana) | 11-oxo-β-amyrin (15, 3.1 ± 0.05 mg/L) | ||
| Insertion of Unigene25647 and ATR1 (A. thaliana) | 11-oxo-β-amyrin (15, 6.0 ± 0.1 mg/L) | ||
| Insertion of CYP72A63, Unigene25647 (G. uralensis), and ATR1 (A. thaliana) | GA (2, 40.9 ± 6.4 µg/L), 11-oxo-β-amyrin (15, 9.16 ± 1.20 mg/L) | ||
| Insertion of CYP72A154, Unigene25647 (G. uralensis), and ATR1 (A. thaliana) | GA (2, 42.3 ± 5.8 µg/L), 11-oxo-β-amyrin (15, 7.22 ± 1.58 mg/L) | ||
| Insertion of CYP72A154, Unigene25647, and GuCPR1 (G. uralensis) | GA (2, 517.4 ± 35.5 µg/L), 11-oxo-β-amyrin (15, 15.3 ± 1.6 mg/L) | ||
| Insertion of CYP72A63, Unigene25647, and GuCPR1 (G. uralensis) | GA (2, 7.4 ± 1.0 mg/L, 18.9 ± 2.0 mg/L *), 11-oxo-β-amyrin (15, 22.6 ± 0.9 mg/L, ~80 mg/L *) | ||
| S. cerevisiae BY-OA | Insertion of CYP716C49 (Crataegus pinnatifida) | Maslinic acid (19, 0.06 mg/L/OD600) | [70] |
| Insertion of CaCYP716C49 (Centella asiatica) | Maslinic acid (19, 0.2 mg/L/OD600) | ||
| Insertion of codon-optimized CaCYP716C49 (C. asiatica) | Maslinic acid (19, 0.45 mg/L/OD600, 384.3 mg/L *) | ||
| Insertion of mix-AS (Eriobotrya japonica), VvCYP716A15, and CPR (Vitis vinifera) | UA (3, 1.76 mg/L/OD600), OA (2, 0.61 mg/L/OD600) | ||
| Insertion of mix-AS (E. japonica), codon-optimized CaCYP716C49 (C. asiatica), VvCYP716A15, and CPR (V. vinifera) | Corosolic acid (20, 0.39 mg/L/OD600, 141.0 mg/L*) | ||
| S. cerevisiae BY4742 | Insertion of AaβAS (Artemisia annua) | β-Amyrin (6, 10.8 ± 1.0 mg/L) | [68] |
| Insertion of CqβAS (Chenopodium quinoa) | β-Amyrin (6, 10.8 ± 1.0 mg/L) | ||
| Insertion of PtβAS (Polygala tenuifolia) | β-Amyrin (6, 9.0 ± 0.7 mg/L) | ||
| Insertion of LjβAS (L. japonicus) | β-Amyrin (6, 8.2 ± 1.0 mg/L) | ||
| Insertion of EtβAS (Euphorbium tirucalli) | β-Amyrin (6, 8.0 ± 0.2 mg/L) | ||
| Insertion of SlβAS (Solanum lycopersicum) | β-Amyrin (6, 2.9 ± 0.3 mg/L) | ||
| Insertion of CYP716AL1 (C. roseus) and ATR2 (A. thaliana) | OA (1, 14.3 ± 1.6 mg/L), erythrodiol (8), and oleanolic aldehyde (9) (trace amount) | ||
| Insertion of CYP716A52v2 (P. ginseng) and ATR2 (A. thaliana) | OA (1, 3.0 ± 0.0 mg/L), erythrodiol (8), and oleanolic aldehyde (9) (trace amount) | ||
| Insertion of SlβAS (S. lycopersicum), CYP716AL1 (C. roseus), and ATR2 (A. thaliana) | OA (1, 3.9 ± 0.2 mg/L) | ||
| Insertion of SlβAS (S. lycopersicum), CYP716A52v2 (P. ginseng), and ATR2 (A. thaliana) | OA (1, 2.8 ± 0.0 mg/L) | ||
| Insertion of AaβAS (A. annua), CYP716AL1 (C. roseus), and ATR2 (A. thaliana) | OA (1, 8.5 ± 0.2 mg/L) | ||
| Yarrowia lipolytica ATCC 201249 | Insertion of βAS (C. roseus) | β-Amyrin (6, 16.0 mg/L) | [69] |
| Insertion of βAS (C. roseus), CYP716A12 (M. truncatula), and ATR1 (A. thaliana) | OA (1, 16.3 mg/L) | ||
| Insertion of βAS (C. roseus), CYP716A12 (M. truncatula), and ATR1(A. thaliana) Overexpression of ERG1, ERG9, ERG20, tHMG1 | OA (1, 92.1 mg/L) | ||
| Insertion of βAS (C. roseus) and CYP716A2-linker (GSTSSG)-t46ATR1 Overexpression of ERG9, ERG20, and tHMG1 | OA (1, 129.9 mg/L, 540.7 mg/L*) |
| Microorganism | Initial Compound, Concentration | Derivative, Yield | Biological Activity | Reference |
|---|---|---|---|---|
| Fungi | ||||
| Rhizomucor miehei CECT 2749 | OA, 0.5 g/L | 1β,30-dihydroxy-OA (47), 5.0% | - * | [108] |
| 7β,30-dihydroxy-OA (48), 6.0% | - | |||
| 30-hydroxy-OA (25, queretaroic acid), 5.0% | Antitumor | |||
| OA methyl ester, 0.3 g/L | Methyl 3β,7β,30-trihydroxy-oleane-9(11),12-dien-28-oate (49), 15.0% | - | [112] | |
| Trichothecium roseum (M 95.56) | OA, 0.08 g/L | 7β,15α-dihydroxy-3-oxo-olean-12-en-28-oic acid (51), 7.5% | Anti-inflammatory | [114] |
| 15α-hydroxy-3-oxo-olean-12-en-28-oic acid (52), 6.25% | - | |||
| Circinella muscae AS 3.2695 | OA, 0.02 g/L | 7β,15α-dihydroxy-3-oxo-olean-12-en-28-oic acid (51), 6.1% | Anti-inflammatory | [15] |
| 7β-hydroxy-OA (53), 5.8% | Anti-inflammatory | |||
| 7β,21β-dihydroxy-OA (54), 4.2% | - | |||
| 7α,21β-dihydroxy-OA (55), 3.1% | - | |||
| 7β,15α-dihydroxy-OA (56), 4.9% | Anti-inflammatory | |||
| 7β-hydroxy-3-oxo-olean-12-en-28-oic acid (57), 3.8% | - | |||
| 7β,15α-dihydroxy-OA 28-O-β-d-glucopyranosyl ester (58), 4.7% | Anti-inflammatory | |||
| 21β-hydroxy-OA 28-O-β-D-glucopyranosyl ester (59), 5.1% | Anti-inflammatory | |||
| OA 28-O-β-D-glucopyranosyl ester (60), 5.5% | Anti-inflammatory | |||
| GA, 0.06 g/L | 7β-hydroxy-GA (61), 1.5% | Anti-inflammatory Antimicrobial | [115] | |
| 15α-hydroxy-GA (62), 1.9% | Anti-inflammatory | |||
| 7β,15α-dihydroxy-GA (63), 1.8% | Anti-inflammatory Antioxidant Hepatoprotective | |||
| 3,11-dioxo-7β-hydroxy-18β-olean-12-en-30-oic acid (64), 1.7% | Anti-inflammatory Antimicrobial | |||
| 7β,15α-dihydroxy-3,11-dioxo-18β-olean-12-en-30-oic acid (65), 2.2% | Anti-inflammatory | |||
| 7β-hydroxy-11-oxo-18β-olean-12-en-30-oic acid 3-O-β-d-glucopyranoside (66), 1.8% | Anti-inflammatory | |||
| 7β-hydroxy-11-oxo-18β-olean-12-en-30-oic acid 3-O-β-d-6′-O-acetyl-glucopyranoside (67), 1.1% | Anti-inflammatory | |||
| 15α-hydroxy-11-oxo-18β-olean-12-en-30-oic acid 3-O-β-d-glucopyranoside (68), 2.5% | Anti-inflammatory | |||
| 15α-hydroxy-11-oxo-18β-olean-12-en-30-oic acid 3-O-β-d-6′-O-acetyl-glucopyranoside (69), 1.8% | Anti-inflammatory | |||
| 7β-hydroxy-GA 30-O-β-d-glucopyranoside (70), 2.2% | Anti-inflammatory | |||
| Rhizopus arrhizus AS 3.2893 | GA, 0.06 g/L | 7β-hydroxy-GA (61), 2.8% | Anti-inflammatory Antimicrobial | [115] |
| 15α-hydroxy-GA (62), 2.2% | Anti-inflammatory | |||
| 7β,15α-dihydroxy-GA (63), 1.7% | Anti-inflammatory Antioxidant Hepatoprotective | |||
| 3β-acetoxy-7β-hydroxy-11-oxo-18β-olean-12-en-30-oic acid (71), 1.7% | Anti-inflammatory | |||
| 7-oxo-GA (72), 1.3% | Anti-inflammatory | |||
| 7α-hydroxy-GA (73), 2.6% | Anti-inflammatory | |||
| 15α-hydroxy-7-oxo-GA (74), 1.3% | Anti-inflammatory | |||
| Colletotrichum lini AS 3.4486 | GA, 0.25 g/L | 7β,15α-dihydroxy-GA (63), NR ** | Anti-inflammatory Antioxidant Hepatoprotective | [118] |
| Absidia pseudocylinderospora ATCC 24169 | GA, 1.0 g/L | 7β,15α-dihydroxy-GA (63), 18.0% | Anti-inflammatory Antioxidant Hepatoprotective | [117] |
| Cunninghamella blakesleana CGMCC 3.970 | GA, 0.1 g/L | 15α,24-dihydroxy-GA (75), 0.11% | Anti-inflammatory | [14] |
| 15α,24-dihydroxy-3,11-dioxo-18β-olean-12-en-30-oic acid (76), 0.75% | - | |||
| 7β,24-dihydroxy-3,11-dioxo-18β-olean-12-en-30-oic acid (77), 0.16% | - | |||
| 3,11-dioxo-7β,15α,24-trihydroxy-18β-olean-12-en-30-oic acid (78), 0.29% | Anti-inflammatory | |||
| 7α,24-dihydroxy-3,11-dioxo-18β-olean-12-en-30-oic acid (79), 1.27% | Anti-inflammatory | |||
| C. blakesleana CGMCC 3.970 | GA, 0.3 g/L | 7β-hydroxy-GA (61), 30.0% | Anti-inflammatory Antimicrobial | [116] |
| 3,11-dioxo-7β-hydroxy-18β-olean-12-en-30-oic acid (64), 25.0% | Anti-inflammatory Antimicrobial | |||
| C. elegans TSY-0865 | GA, 0.4 g/L | 7β-hydroxy-GA (61), 2.5% | Anti-inflammatory Antimicrobial | [119] |
| Syncephalastrum racemosum GCMCC 3.2500 | UA, 0.1 g/L | 7β,21β-dihydroxy-UA (80), 12.9% | - | [13] |
| 1β,21β-dihydroxy-UA (81), 3.9% | - | |||
| 1β-hydroxy-21-oxo-UA (82), 12.1% | - | |||
| 3β,21β-dihydroxy-urs-11-en-28,13-olide (83), 3.4% | Antihepatitis | |||
| 3β,7β,21β-trihydroxy-urs-11-en-28,13-olide (84), 2.9% | Antihepatitis | |||
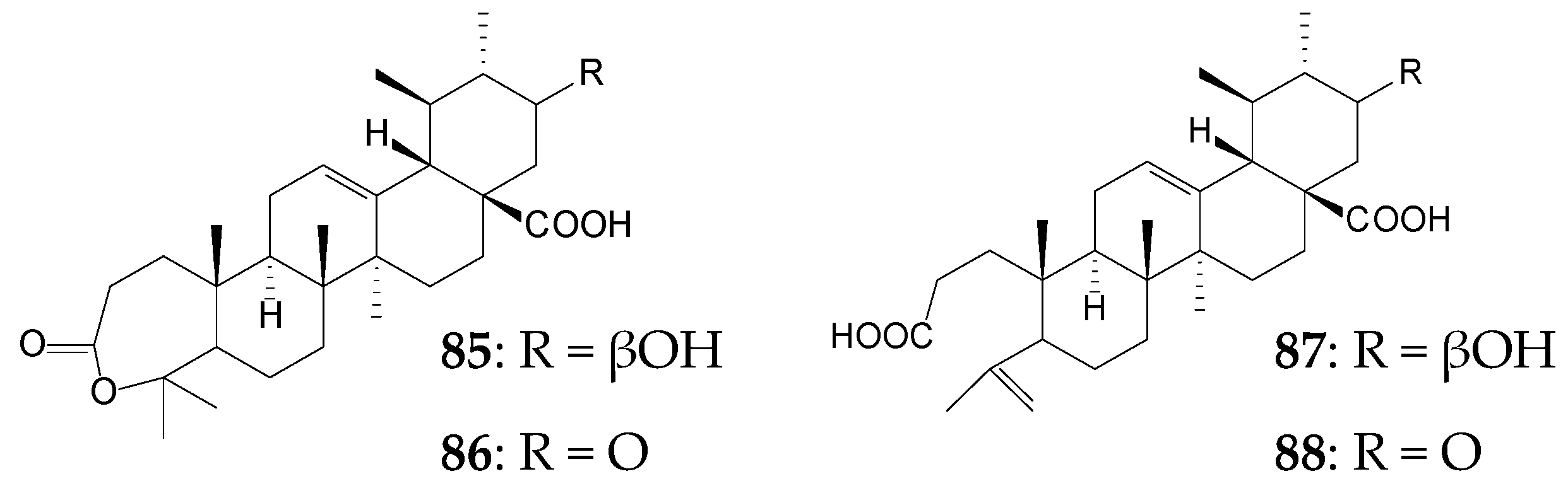
| Gliocladium roseum CGMCC 3.3657 | UA, 0.1 g/L | 21β-hydroxy-3-oxo-urs-12-en-3,4-olide-28-oic acid (85), 8.0%) | - | [121] |
| 3,21-dioxo-urs-12-en-3,4-olide-28-oic acid (86), 6.25% | Antihepatitis | |||
| 21β-hydroxy-3,4-seco-ursane-4(23),12-diene-3,28-dioic acid (87), 1.5% | - | |||
| 21-oxo-3,4-seco-ursane-4(23),12-diene-3,28-dioic acid (88), 1.0% | Antihepatitis | |||
| Mucor spinosus AS 3.3450 | UA, 0.3 g/L | 7β-hydroxy-UA 28-ethanone (89), 5.04% | Antitumor | [122] |
| 7β,21β-dihydroxy-UA (81), 1.64% | - | |||
| 21β-hydroxy-urs-12-en-28-oic acid 3-O-β-d-glucopyranoside (90), 2.13% | - | |||
| Rhizopus chinensis CICC 40335 | OA, 0.2 g/L | 7β,21β-dihydroxy-OA (54), 53.75% | - | [34] |
| GA, 0.2 g/L | 7β-hydroxy-GA (61), 77.5% | Anti-inflammatory Antimicrobial | ||
| Bacteria | ||||
| Nocardia iowensis (DSM 45197, NRRL 5646) | OA, 0.3 g/L | Methyl 3β-hydroxy-olean-12-en-28-oat (91), 63.0% | Antitumor | [16] |
| Methyl 3-oxo-olean-12-en-28-oat (92, oleanonic acid methyl ester), 5.0% | Antitumor Antiprotozoal | |||
| Metabolite 93 with hydroxyl and methyl groups, 2.0% | - | |||
| Streptomyces griseus ATCC 13273 | OA, 0.04 g/L | 3β-hydroxy-olean-12-ene-28,29-dioic acid (94), 21.9% | - | [128] |
| 3β,24-dihydroxy-olean-12-ene-28,29-dioic acid (95), 32.7% | - | |||
| 3β,21β,24-trihydroxy-olean-12-ene-28,29-dioic acid (96), 5.9% | Anti-inflammatory | |||
| S. griseus ATCC 13273 | UA, 0.04 g/L | 3β-hydroxy-urs-12-ene-28,30-dioic acid (97), 30.4% | - | [17] |
| 3β,24-dihydroxy-urs-12-ene-28,30-dioic acid (98), 31.6% | - | |||
| 3-oxo-UA, 0.04 g/L | 3-oxo-urs-12-ene-28,30-dioic acid (100), 24,1% | - | ||
| 24-hydroxy-3-oxo-urs-12-ene-28,30-dioic acid (101), 45.9% | - | |||
| 2α-hydroxy-UA, 0.04 g/L | 2α,3β-dihydroxy-urs-12-ene-28,30-dioic acid (102), 29.0% | - | ||
| 2α,3β,24-trihydroxy-urs-12-ene-28,30-dioic acid (103), 15.9% | - | |||
| Bacillus megaterium CGMCC 1.1741 | UA, 0.2 g/L | 1β,11α-dihydroxy-UA (104), 26.87% | - | [18] |
| 3-oxo-urs-12-en-28-oic acid (99), 6.23% | Anti-leishmania | |||
| 1β,11α-dihydroxy-3-oxo-urs-12-en-28-oic acid (105), 13.5% | Anti-inflammatory | |||
| 1β-hydroxy-3-oxo-urs-12-en-28,13-olide (106), 5.03% | Anti-inflammatory | |||
| 1β,11α-dihydroxy-3-oxo-urs-12-en-28-O-β-d-glucopyranoside (107), 8.57% | - | |||
| B. subtilis ATCC 6633 | 7β,21β-dihydroxy-OA, 0.2 g/L | 7β,21β-dihydroxy-olean-12-en-28-oic acid 3-O-β-d-glucopyranoside (108), 46.5% | - | [34] |
| GA, 0.2 g/L | GA 30-O-β-d-glucopyranoside (111), 27.5% | - | ||
| 7β-hydroxy-GA, 0.2 g/L | 7β-hydroxy-GA 30-O-β-d-glucopyranoside (68), 44.0% | - | ||
| S. griseus ATCC 13273 | 7β,21β-dihydroxy-OA, 0.2 g/L | 7β,21β,29-trihydroxy-OA (109), 26.0% | - | |
| 3β,7β,21β-trihydroxy-olean-12-ene-28,29-dioic acid (110), 15.0% | Neuroprotective | |||
Publisher’s Note: MDPI stays neutral with regard to jurisdictional claims in published maps and institutional affiliations. |
© 2020 by the authors. Licensee MDPI, Basel, Switzerland. This article is an open access article distributed under the terms and conditions of the Creative Commons Attribution (CC BY) license (http://creativecommons.org/licenses/by/4.0/).
Share and Cite
Luchnikova, N.A.; Grishko, V.V.; Ivshina, I.B. Biotransformation of Oleanane and Ursane Triterpenic Acids. Molecules 2020, 25, 5526. https://doi.org/10.3390/molecules25235526
Luchnikova NA, Grishko VV, Ivshina IB. Biotransformation of Oleanane and Ursane Triterpenic Acids. Molecules. 2020; 25(23):5526. https://doi.org/10.3390/molecules25235526
Chicago/Turabian StyleLuchnikova, Natalia A., Victoria V. Grishko, and Irina B. Ivshina. 2020. "Biotransformation of Oleanane and Ursane Triterpenic Acids" Molecules 25, no. 23: 5526. https://doi.org/10.3390/molecules25235526
APA StyleLuchnikova, N. A., Grishko, V. V., & Ivshina, I. B. (2020). Biotransformation of Oleanane and Ursane Triterpenic Acids. Molecules, 25(23), 5526. https://doi.org/10.3390/molecules25235526

