Electrical Properties Enhancement of Carbon Nanotube Yarns by Cyclic Loading
Abstract
1. Introduction
2. Experimental
2.1. Materials
2.2. Methods
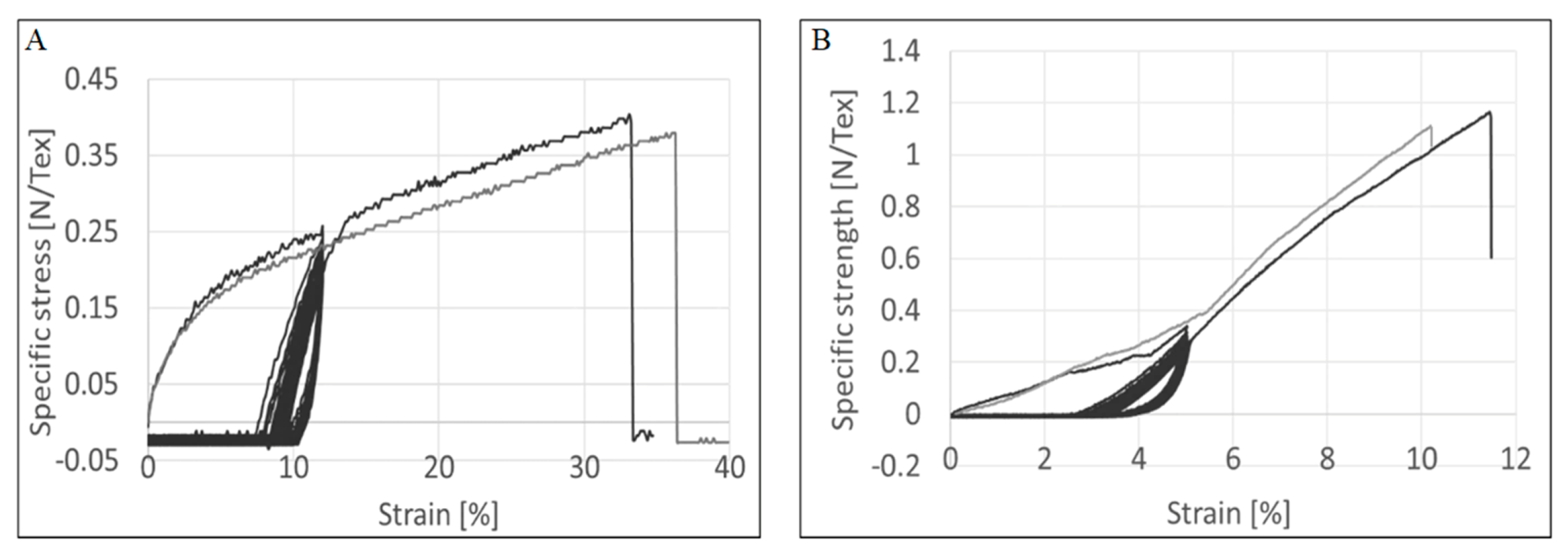
3. Results and Discussion
Cyclic Loading of CNTYs
4. Conclusions
Author Contributions
Funding
Conflicts of Interest
References
- Cai, L.; Wang, C. Carbon Nanotube Flexible and Stretchable Electronics. Nanoscale Res. Lett. 2015, 10, 1–21. [Google Scholar] [CrossRef] [PubMed]
- Mendoza, A.; Asrat, T.; Liu, F.; Wonnenberg, P.; Zestos, A.G. Carbon Nanotube Yarn Microelectrodes Promote High Temporal Measurements of Serotonin Using Fast Scan Cyclic Voltammetry. Sensors 2020, 20, 1173. [Google Scholar] [CrossRef] [PubMed]
- Mello, L.A.M.; Cardoso, V.F.; Rosa, R.L.S.; Kuebler, D.A.; Brodeur, G.E.; Alotaibi, A.H.; Coene, M.P.; Coene, L.M.; Jean, E.; Santiago, R.C.; et al. Foil Strain Gauges Using Piezoresistive Carbon. Sensors 2018, 18, 464. [Google Scholar]
- Zestos, A.G. Carbon Nanoelectrodes for the Electrochemical Detection of Neurotransmitters. Int. J. Electrochem. 2018, 2018, 3679627. [Google Scholar] [CrossRef]
- Raju, D.; Mendoza, A.; Sarbanes, M.; Truong, C.; Wonnenberg, P.; Mohanaraj, S.; Zestos, A.G. Polymer modified carbon fiber-microelectrodes and waveform modifications enhance neurotransmitter metabolite detection. Anal. Methods 2019, 11, 1620–1630. [Google Scholar] [CrossRef]
- Lekawa-Raus, A.; Patmore, J.; Kurzepa, L.; Bulmer, J.; Koziol, K. Electrical properties of carbon nanotube based fibers and their future use in electrical wiring. Adv. Funct. Mater. 2014, 24, 3661–3682. [Google Scholar] [CrossRef]
- Kuznetsov, A.A.; Fonseca, A.F.; Baughman, R.H.; Zakhidov, A.A. Structural model for dry-drawing of sheets and yarns from carbon nanotube forests. ACS Nano 2011, 5, 985–993. [Google Scholar] [CrossRef]
- Zhang, M.; Atkinson, K.R.; Baughman, R.H. Multifunctional carbon nanotube yarns by downsizing an ancient technology. Science 2004, 306, 1358–1361. [Google Scholar] [CrossRef]
- Evora, M.C.; Lu, X.; Hiremath, N.; Kang, N.; Hong, K.; Uribe, R.; Bhat, G.; Mays, J. Single-step process to improve the mechanical properties of carbon nanotube yarn. Beilstein J. Nanotechnol. 2018, 13, 545–554. [Google Scholar] [CrossRef]
- Miller, S.G.; Williams, T.S.; Baker, J.S.; Solá, F.; Lebron-Colon, M.; McCorkle, L.S.; Wilmoth, N.G.; Gaier, J.; Chen, M.; Meador, M.A. Increased tensile strength of carbon nanotube yarns and sheets through chemical modification and electron beam irradiation. ACS Appl. Mater. Interfaces 2014, 6, 6120–6126. [Google Scholar] [CrossRef]
- Lu, X. Effect of Crosslinking on Carbon Nanotube Materials through Chemical Treatment and Irradiation. Nanotechnology 2017, 28, 14. [Google Scholar]
- Bekyarova, E.; Thostenson, E.T.; Yu, A.; Kim, H.; Gao, J.; Tang, J.; Hahn, H.T.; Chou, T.W.; Itkis, M.E.; Haddon, R.C. Multiscale carbon nanotube-carbon fiber reinforcement for advanced epoxy composites. Langmuir 2007, 23, 3970–3974. [Google Scholar] [CrossRef] [PubMed]
- Lee, Y.R.; Park, J.; Jeong, Y.; Park, J.S. Improved Mechanical and Electrical Properties of Carbon Nanotube Yarns by Wet Impregnation and Multi-ply Twisting. Fibers Polym. 2018, 19, 2478–2482. [Google Scholar] [CrossRef]
- Zhao, Y.; Wei, J.; Vajtai, R.; Ajayan, P.M.; Barrera, E.V. Iodine doped carbon nanotube cables exceeding specific electrical conductivity of metals. Sci. Rep. 2011, 1, 1–5. [Google Scholar] [CrossRef] [PubMed]
- Liu, K.; Sun, Y.; Zhou, R.; Zhu, H.; Wang, J.; Liu, L.; Fan, S.; Jiang, K. Carbon nanotube yarns with high tensile strength made by a twisting and shrinking method. Nanotechnology 2010, 21, 7. [Google Scholar] [CrossRef]
- Jiang, K.; Li, Q.; Fan, S. Spinning continuous carbon nanotube yarns. Nature 2002, 419, 1274014. [Google Scholar] [CrossRef] [PubMed]
- Miao, M. Particuology Yarn spun from carbon nanotube forests: Production, structure, properties and applications. Particuology 2013, 11, 378–393. [Google Scholar] [CrossRef]
- Liu, L.; Ma, W.; Zhang, Z. Macroscopic Carbon Nanotube Assemblies: Preparation, Properties, and Potential Applications. Nano Micro Small 2011, 7, 1504–1520. [Google Scholar] [CrossRef]
- Sugimoto, Y.; Shioya, M.; Matsumoto, H.; Minagawa, M.; Tanioka, A. Structure changes during tensile deformation and mechanical properties of a twisted carbon nanotube yarn. Carbon N. Y. 2013, 60, 193–201. [Google Scholar] [CrossRef]
- Lu, W.; Zu, M.; Byun, J.H.; Kim, B.S.; Chou, T.W. State of the art of carbon nanotube fibers: Opportunities and challenges. Adv. Mater. 2012, 24, 1805–1833. [Google Scholar] [CrossRef]
- Xin, W.; Severino, J.; Venkert, A.; Yu, H.; Knorr, D.; Yang, J.; Carlson, L.; Hicks, R.; Rosa, I. De Fabrication and Characterization of Solid Composite Yarns from Carbon Nanotubes and Poly (dicyclopentadiene). Nanomaterials 2020, 10, 717. [Google Scholar] [CrossRef] [PubMed]
- Liu, P.; Hu, D.C.M.; Tran, T.Q.; Jewell, D.; Duong, H.M. Colloids and Surfaces A: Physicochemical and Engineering Aspects Electrical property enhancement of carbon nanotube fibers from post treatments. Colloids Surf. A Physicochem. Eng. Asp. 2016, 509, 384–389. [Google Scholar] [CrossRef]
- Schauler, M.W.; Erick, C.; Towle, R.S. Carbon Nanotubes Structures and Methods for Production Thereof. U.S. Patent WO2016126818A1, 11 August 2016. [Google Scholar]
- Singleton, J.W.; Cobb, G.R.; Misak, H.E.; Kemnitz, R.A. Quantifying the Electrical Behavior of Carbon Nanotube Sheet Enhanced with Acid Functionalization and Polymer Intercalation. Results Mater. 2020, 100059. [Google Scholar] [CrossRef]
- Weizman, J.L.O.; Mead, H.; Kenig, D.; Kenig, S. Enhancement of the Electrical Properties of Directly Spun CNT Yarns by Cyclic Loading. U.S. Patent Application No. 62,944,018, 5 December 2019. [Google Scholar]
- Miralon Yarn. Available online: https://www.miralon.com/yarn (accessed on 1 September 2020).
- Zhao, Z.L.; Zhao, H.P.; Wang, J.S.; Zhang, Z.; Feng, X.Q. Mechanical properties of carbon nanotube ropes with hierarchical helical structures. J. Mech. Phys. Solids 2014, 71, 64–83. [Google Scholar] [CrossRef]
- Li, Y.-H.; Wei, J.; Zhang, X.; Xu, C.; Wu, D.; Lu, L.; Wci, B. Mechanical and electrical properties of carbon nanotube ribbons. Chem. Phys. Lett. 2002, 365, 95–100. [Google Scholar] [CrossRef]
- Umr, L.C.; Paris, E.C. Tensile behaviour of a twisted carbon nanotube yarns. Int. J. Nanosci. 2010, 9, 69–73. [Google Scholar]
- Miao, M. Carbon Nanotube Fibres and Yarns: Production, Properties and Applications in Smart Textiles; Woodhead Publishing: Cambridge, UK, 2019; ISBN 9780081026861. [Google Scholar]
- Davis, V.A.; Ericson, L.M.; Parra-vasquez, A.N.G.; Fan, H.; Wang, Y.; Prieto, V.; Longoria, J.A.; Ramesh, S.; Saini, R.K.; Kittrell, C.; et al. Phase Behavior and Rheology of SWNTs in Superacids. Macromolecules 2004, 37, 154–160. [Google Scholar] [CrossRef]
- Talmon, Y. Direct Imaging of Carbon Nanotube Liquid-Crystalline Phase Development in True Solutions. Langmuir 2017, 33, 4011–4018. [Google Scholar]
- Zhao, H.; Zhang, Y.; Bradford, P.D.; Zhou, Q.; Jia, Q.; Yuan, F.-G.; Zhu, Y. Carbon nanotube yarn strain sensors. Nanotechnology 2010, 21, 305502. [Google Scholar] [CrossRef]
- Badaire, S.; Pichot, V.; Zakri, C.; Poulin, P.; Launois, P.; Vavro, J.; Guthy, C.; Chen, M.; Fischer, J.E.; Badaire, S.; et al. Correlation of properties with preferred orientation in coagulated and stretch-aligned single-wall carbon nanotubes. Appl. Phys. 2004, 96, 7509. [Google Scholar] [CrossRef]
- Alvarez, N.T.; Miller, P.; Haase, M.R.; Lobo, R.; Malik, R.; Shanov, V. Tailoring Physical Properties of Carbon Nanotube Threads During Assembly. Carbon 2019, 144, 55–62. [Google Scholar] [CrossRef]
- Qi, H.J.; Boyce, M.C. Stress—Strain behavior of thermoplastic polyurethanes. Mech. Mater. 2005, 37, 817–839. [Google Scholar] [CrossRef]
- Lee, K.; Kim, K. Stress-Strain Behavior of the Electrospun Thermoplastic Polyurethane Elastomer Fiber Mats. Macromol. Res. 2005, 13, 441–445. [Google Scholar] [CrossRef]
- Sui, T.; Salvati, E.; Ying, S.; Sun, G.; Dolbnya, I.P.; Dragnevski, K.; Prisacariu, C.; Korsunsky, A.M. Strain softening of nano-scale fuzzy interfaces causes Mullins effect in thermoplastic polyurethane. Sci. Rep. 2017, 7, 1–9. [Google Scholar] [CrossRef]
- Shang, Y.; Li, Y.; He, X.; Zhang, L.; Li, Z.; Li, P.; Shi, E.; Wu, S.; Cao, A. Elastic carbon nanotube straight yarns embedded with helical loops. Nanoscale 2013, 5, 2403–2410. [Google Scholar] [CrossRef] [PubMed]
- Li, D.; Yang, Q.S.; Liu, X.; Shang, J.J. Experimental investigation on tensile properties of carbon nanotube wires. Mech. Mater. 2017, 105, 42–48. [Google Scholar] [CrossRef]









| Extension | Load | Specific Stress | Tensile Strain | |
|---|---|---|---|---|
| (mm) | (N) | (N/Tex) | (%) | |
| Untreated CNTYs | 27.4 ± 0.46 | 3.8 ± 0.04 | 0.4 ± 0.01 | 45.7 ± 0.77 |
| Post treated CNTYs | 6.4 ± 0.17 | 33.8 ± 1.34 | 1.2 ± 0.05 | 10.6 ± 0.28 |
| Maximum Strain for Cyclic Stretching [%] | Apparent Young’s Modulus at the First Cycle [N/Tex] | Apparent Young’s Modulus at the 100th Cycle [N/Tex] | Specific STRESS at the first Cycle for the Max. Strain * [N/Tex] | Specific Stress at the 100th Cycle for the Max. Strain * [N/Tex] | |
|---|---|---|---|---|---|
| Untreated CNTYs | 5 | 7.38 ± 0.38 | 8.05 ± 0.58 | 0.17 ± 0.00 | 0.15 ± 0.01 |
| 7 | 8.82 ± 0.86 | 0.20 ± 0.02 | 0.22 ± 0.04 | ||
| 10 | 8.52 ± 0.22 | 0.23 ± 0.02 | 0.21 ± 0.08 | ||
| 12 | 8.60 ± 0.05 | 0.24 ± 0.01 | 0.21 ± 0.04 | ||
| Post treated CNTYs | 1 | 13.54 ± 1.22 | 14.63 ± 1.01 | 0.10 ± 0.08 | 0.14 ± 0.01 |
| 3 | 15.60 ± 0.22 | 0.27 ± 0.10 | 0.27 ± 0.10 | ||
| 5 | 16.86 ± 0.06 | 0.41 ± 0.14 | 0.36 ± 0.15 |
Sample Availability: Samples of the compounds are not available from the authors. | |
Publisher’s Note: MDPI stays neutral with regard to jurisdictional claims in published maps and institutional affiliations. |
© 2020 by the authors. Licensee MDPI, Basel, Switzerland. This article is an open access article distributed under the terms and conditions of the Creative Commons Attribution (CC BY) license (http://creativecommons.org/licenses/by/4.0/).
Share and Cite
Weizman, O.; Mead, J.; Dodiuk, H.; Kenig, S. Electrical Properties Enhancement of Carbon Nanotube Yarns by Cyclic Loading. Molecules 2020, 25, 4824. https://doi.org/10.3390/molecules25204824
Weizman O, Mead J, Dodiuk H, Kenig S. Electrical Properties Enhancement of Carbon Nanotube Yarns by Cyclic Loading. Molecules. 2020; 25(20):4824. https://doi.org/10.3390/molecules25204824
Chicago/Turabian StyleWeizman, Orli, Joey Mead, Hanna Dodiuk, and Samuel Kenig. 2020. "Electrical Properties Enhancement of Carbon Nanotube Yarns by Cyclic Loading" Molecules 25, no. 20: 4824. https://doi.org/10.3390/molecules25204824
APA StyleWeizman, O., Mead, J., Dodiuk, H., & Kenig, S. (2020). Electrical Properties Enhancement of Carbon Nanotube Yarns by Cyclic Loading. Molecules, 25(20), 4824. https://doi.org/10.3390/molecules25204824

