NMR Profiling of North Macedonian and Bulgarian Honeys for Detection of Botanical and Geographical Origin
Abstract
1. Introduction
2. Results and Discussion
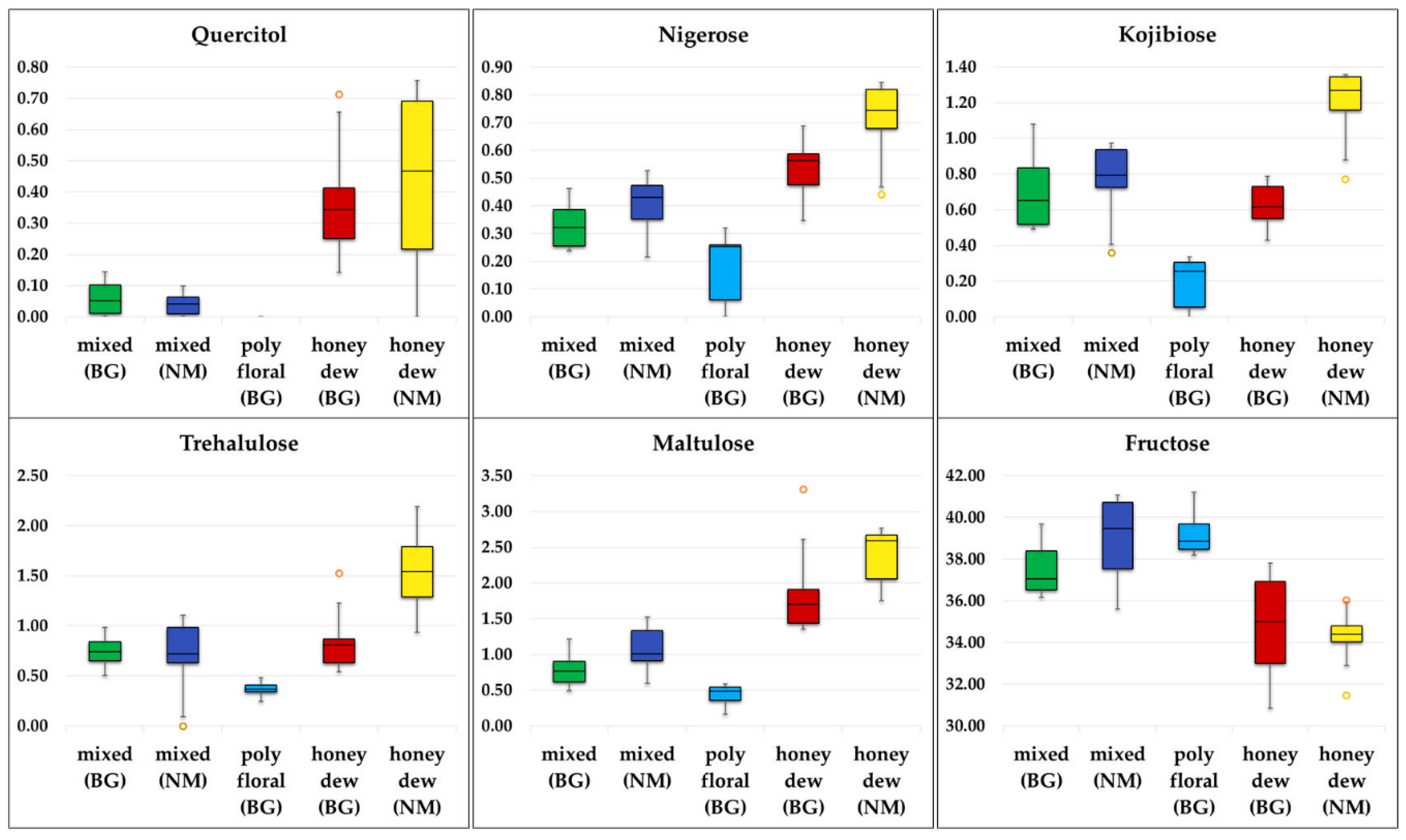
2.1. NMR Analysis and Identification of Honey Constituents
2.2. Chemometric Analysis
3. Materials and Methods
3.1. Honey Samples
3.2. Sample Preparation
3.3. NMR Spectroscopy
3.4. Semiquantitative Analysis
3.5. Multivariate Data Analysis
4. Conclusions
Supplementary Materials
Author Contributions
Funding
Conflicts of Interest
References
- Gonzalez-Paramas, A.M.; Garcıa-Villanova, R.J.; Gomez Barez, J.A.; Sanchez, J.; Ardanuy Albajar, R. Botanical origin of monovarietal dark honeys (from heather, holm oak, Pyrenean oak and sweet chestnut) based on their chromatic characters and amino acid profiles. Eur. Food Res. Technol. 2007, 226, 87–92. [Google Scholar] [CrossRef]
- Seraglio, S.K.T.; Silva, B.; Bergamo, G.; Brugnerotto, P.; Gonzaga, L.V.; Fett, R.; Costa, A.C.O. An overview of physicochemical characteristics and health-promoting properties of honeydew honey. Food Res. Int. 2019, 119, 44–66. [Google Scholar] [CrossRef] [PubMed]
- Pita-Calvo, C.; Vázquez, M. Honeydew honeys: A review on the characterization and authentication of floral and geographical origins. J. Agric. Food Chem. 2018, 66, 2523–2537. [Google Scholar] [CrossRef] [PubMed]
- Sanz, M.L.; Polemis, N.; Morales, V.; Corzo, N.; Drakoularakou, A.; Gibson, G.R.; Rastall, R.A. In Vitro investigation into the potential prebiotic activity of honey oligosaccharides. J. Agric. Food Chem. 2005, 53, 2914–2921. [Google Scholar] [CrossRef] [PubMed]
- Kortesniemi, M.; Slupsky, C.M.; Ollikka, T.; Kauko, L.; Spevacek, A.R.; Sjövall, O.; Yang, B.; Kallio, H. NMR profiling clarifies the characterization of Finnish honeys of different botanical origins. Food Res. Int. 2016, 86, 83–92. [Google Scholar] [CrossRef]
- Bogdanov, S.; Ruoff, K.; Persano Oddo, L. Physico-chemical methods for the characterisation of unifloral honeys: A review. Apidologie 2004, 35, S4–S17. [Google Scholar] [CrossRef]
- Hatzakis, E. Nuclear magnetic resonance (NMR) spectroscopy in food science: A comprehensive review. Compr. Rev. Food Sci. Food Saf. 2019, 18, 189–220. [Google Scholar] [CrossRef]
- Consonni, R.; Cagliani, L.R.; Cogliati, C. NMR characterization of saccharides in Italian honeys of different floral sources. J. Agric. Food Chem. 2012, 60, 4526–4534. [Google Scholar] [CrossRef] [PubMed]
- Spiteri, M.; Jamin, E.; Thomas, F.; Rebours, A.; Lees, M.; Rogers, K.M.; Rutledge, D.N. Fast and global authenticity screening of honey using 1H-NMR profiling. Food Chem. 2015, 189, 60–66. [Google Scholar] [CrossRef] [PubMed]
- Chin, N.L.; Sowndhararajan, K. A review on analytical methods for honey classification, identification and authentication. In Honey Analysis; De Toledo, V.D.A.A., Chambó, E.D., Eds.; IntechOpen: London, UK, 2020; pp. 320–352. ISBN 978-1-78985-120-5. [Google Scholar] [CrossRef]
- Simova, S.; Atanassov, A.; Shishiniova, M.; Bankova, V. A rapid differentiation between oak honeydew honey and nectar and other honeydew honeys by NMR spectroscopy. Food Chem. 2012, 134, 1706–1710. [Google Scholar] [CrossRef] [PubMed]
- Alanon, M.E.; Diaz-Maroto, M.C.; Diaz-Maroto, I.; Vila-Lameiro, J.P.; Perez-Coello, M.S. Cyclic polyalcohols: Fingerprints to identify the botanical origin of natural woods used in wine aging. J. Agric. Food Chem. 2011, 59, 1269–1274. [Google Scholar] [CrossRef] [PubMed]
- Singh, R.; Navneet; Mansotra, D.K.; Kumar, A. Ethnobotanical and pharmacological aspects of Ipomoea carena Jacq. and Celosia cristata Linn. In Current Status of Researches in Biosciences; Joshi, P.C., Joshi, N., Reshman, Y., Mansotra, D.K., Eds.; Today & Tomorrow’s Printers and Publishers: New Delhi, India, 2020; pp. 493–506. [Google Scholar]
- Tulloch, P. Glycosides of hydroxy fatty acids. In Glycolipids, Phosphoglycolipids, and Sulfoglycolipids; Kates, M., Ed.; Springer: New York, NY, USA, 1990; pp. 463–487. [Google Scholar]
- Silchenko, A.S.; Kalinovsky, A.I.; Avilov, S.A.; Andryjaschenko, P.V.; Dmitrenok, P.S.; Kalinin, V.I.; Chingizova, E.A.; Minin, K.V.; Stonik, V.A. Structures and biogenesis of fallaxosides D4, D5, D6 and D7, trisulfated non-holostane triterpene glycosides from the sea cucumber Cucumaria fallax. Molecules 2016, 21, 939. [Google Scholar] [CrossRef] [PubMed]
- de la Fuente, E.; Sanz, M.L.; Martínez-Castro, I.; Sanz, J.; Ruiz-Matute, A.I. Volatile and carbohydrate composition of rare unifloral honeys from Spain. Food. Chem. 2007, 105, 84–93. [Google Scholar] [CrossRef]
- Mannu, A.; Karabagias, I.K.; Di Pietro, M.E.; Baldino, S.; Karabagias, V.K.; Badeka, A.V. 13C NMR-Based Chemical Fingerprint for the Varietal and Geographical Discrimination of Wines. Foods 2020, 9, 1040. [Google Scholar] [CrossRef] [PubMed]
- Mazzoni, V.; Bradesi, P.; Tomi, F.; Casanova, J. Direct qualitative and quantitative analysis of carbohydrate mixtures using 13C NMR spectroscopy: Application to honey. Magn. Reson. Chem. 1997, 35, 81–90. [Google Scholar] [CrossRef]
- Excel How to. Available online: https://www.excelhowto.com/nightingale-rose-diagram-excel-template/ (accessed on 13 October 2020).
- Sartorius. Available online: https://umetrics.com/kb/simca-15 (accessed on 13 October 2020).
Sample Availability: Samples of the honeys studied are available from the authors. | |
Publisher’s Note: MDPI stays neutral with regard to jurisdictional claims in published maps and institutional affiliations. |







| 13C δ [ppm] | Components | F (α = 0.1, F crit = 2.12) |
|---|---|---|
| Monosaccharides | ||
| 67.54 | Fructose (F) | 12.89 |
| 74.10 | Glucose (G) | 4.32 |
| 97.83 | Quinovose (Qui) | 1.19 |
| Disaccharides | ||
| 76.36 | Sucrose (Su) | 1.10 |
| 89.30 | Kojibiose (Kb) | 25.59 |
| 93.00 | αα-Trehalose (ααTr) | 1.75 |
| 97.69 | Trehalulose (Tru) | 12.68 |
| 97.73 | Isomaltose (IMa) | 11.32 |
| 98.80 | Nigerose (Ng) | 21.51 |
| 99.48 | Maltose (Ma) | 5.84 |
| 100.04 | Leucrose (Lu) | 7.53 |
| 100.28 | Maltulose (Mu) | 24.93 |
| 100.65 | Turanose (Tu) | 19.24 |
| 102.45 | Gentiobiose (Gb) | 0.61 |
| 102.69 | α,β-Trehalose (αβTr) | 15.56 |
| 104.65 | Isomaltulose (IMu) | 5.50 |
| Trisaccharides | ||
| 76.24 | Raffinose (Rf) | 13.69 |
| 83.36 | Melezitose (Mz) | 3.36 |
| 92.28 | Isokestose (1-Ks) | 8.94 |
| 99.56 | Panose (Pa) | 5.67 |
| 99.59 | Erlose (Er) | 2.61 |
| Other compounds | ||
| 16.68 | Meso 2,3-butanediol (mBd) | 7.62 |
| 17.76 | Racemic 2,3-butanediol (rBd) | 8.51 |
| 23.65 | Proline (Pro) | 1.69 |
| 33.22 | Quercitol (Q) | 11.83 |
| Unidentified compounds | ||
| 11.93 | U16 | 2.74 |
| 96.71 | U15 | 1.03 |
| 97.79 | U14 | 1.17 |
| 98.16 | U13 | 26.62 |
| 99.16 | U12 | 0.89 |
| 100.76 | U11 | 14.92 |
| 101.23 | U10 | 2.80 |
| 101.70 | U9 | 2.53 |
| 102.30 | U8 | 1.02 |
| 102.77 | U7 | 3.27 |
| 103.31 | U6 | 2.43 |
| 103.38 | U5 | 1.63 |
| 103.42 | U4 | 4.09 |
| 103.49 | U3 | 5.34 |
| 103.59 | U2 | 5.50 |
| 104.11 | U1 | 10.37 |
| Predicted | Members | Correct | Mixed (BG) | Mixed (NM) | Hdew (BG) | Hdew (NM) | Polyfloral (BG) | No Class | |
|---|---|---|---|---|---|---|---|---|---|
| Actual | |||||||||
| mixed (BG) | 6 | 100% | 6 | 0 | 0 | 0 | 0 | 0 | |
| mixed (NM) | 9 | 88.89% | 0 | 8 | 1 | 0 | 0 | 0 | |
| hdew (BG) | 10 | 100% | 0 | 0 | 10 | 0 | 0 | 0 | |
| hdew (NM) | 7 | 100% | 0 | 0 | 0 | 7 | 0 | 0 | |
| polyfloral (BG) | 6 | 100% | 0 | 0 | 0 | 0 | 6 | 0 | |
| No class | 0 | 0 | 0 | 0 | 0 | 0 | 0 | ||
| Total | 38 | 97.37% | 6 | 8 | 11 | 7 | 6 | 0 | |
| Fisher’s exact test | 1.40 × 10−22 | ||||||||
© 2020 by the authors. Licensee MDPI, Basel, Switzerland. This article is an open access article distributed under the terms and conditions of the Creative Commons Attribution (CC BY) license (http://creativecommons.org/licenses/by/4.0/).
Share and Cite
Gerginova, D.; Simova, S.; Popova, M.; Stefova, M.; Stanoeva, J.P.; Bankova, V. NMR Profiling of North Macedonian and Bulgarian Honeys for Detection of Botanical and Geographical Origin. Molecules 2020, 25, 4687. https://doi.org/10.3390/molecules25204687
Gerginova D, Simova S, Popova M, Stefova M, Stanoeva JP, Bankova V. NMR Profiling of North Macedonian and Bulgarian Honeys for Detection of Botanical and Geographical Origin. Molecules. 2020; 25(20):4687. https://doi.org/10.3390/molecules25204687
Chicago/Turabian StyleGerginova, Dessislava, Svetlana Simova, Milena Popova, Marina Stefova, Jasmina Petreska Stanoeva, and Vassya Bankova. 2020. "NMR Profiling of North Macedonian and Bulgarian Honeys for Detection of Botanical and Geographical Origin" Molecules 25, no. 20: 4687. https://doi.org/10.3390/molecules25204687
APA StyleGerginova, D., Simova, S., Popova, M., Stefova, M., Stanoeva, J. P., & Bankova, V. (2020). NMR Profiling of North Macedonian and Bulgarian Honeys for Detection of Botanical and Geographical Origin. Molecules, 25(20), 4687. https://doi.org/10.3390/molecules25204687

